|
|
(21), (22) Заявка: 2006101981/09, 22.06.2004
(24) Дата начала отсчета срока действия патента:
22.06.2004
(30) Конвенционный приоритет:
25.06.2003 US 10/607,406
(43) Дата публикации заявки: 10.06.2006
(46) Опубликовано: 10.01.2008
(56) Список документов, цитированных в отчете о поиске:
US 2003/0076889 A1, 24.04.2003. RU 2160509 C1, 10.12.2000. RU 2145152 C1, 27.01.2000. US 6081555 A, 27.07.2000. US 5822371 A, 13.10.1998.
(85) Дата перевода заявки PCT на национальную фазу:
25.01.2006
(86) Заявка PCT:
US 2004/019909 (22.06.2004)
(87) Публикация PCT:
WO 2005/004371 (13.01.2005)
Адрес для переписки:
129010, Москва, ул. Б. Спасская, 25, стр.3, ООО “Юридическая фирма Городисский и Партнеры”, пат.пов. Ю.Д.Кузнецову, рег.№ 595
|
(72) Автор(ы):
БОРРАН Мохаммад Джабер (US), ВАРШНИ Прабодх (US), ЛИЛЛЕБЕРГ Йорма (FI)
(73) Патентообладатель(и):
СПАЙДЕР НАВИГЕЙШНЗ ЭЛ.ЭЛ.СИ. (US)
|
(54) КОМБИНАЦИИ СИГНАЛОВ ДЛЯ СИСТЕМ С НЕСКОЛЬКИМИ НЕСУЩИМИ
(57) Реферат:
Комбинация сигналов для систем проводной или беспроводной связи с несколькими несущими, таких как системы OFDM или MC-CDMA. Комбинация сигналов представляется в виде точек, разнесенных друг от друга на расстояние максимизированной минимальной разности между распределениями условных вероятностей, такого как расстояние Кулбека-Лейблера (KL). Предпочтительно точки комбинации размещены в концентрических окружностях с или без точки в начале координат, при этом соседние окружности повернуты таким образом, чтобы максимизировать угловое расстояние между точками на соседних окружностях. Символы пилот-сигнала, вставляемые в передаваемый сигнал, используются приемным устройством, чтобы оценить канал системы с несколькими несущими. Различные комбинации сигналов обеспечивают оптимальную производительность связи при различных состояниях канала связи, особенно в среде с быстрыми замираниями. Для оценки канала используется отношение сигнал-шум, определенное на различном числе отводов. При этом число используемых канальных отводов может быть меньше числа пилот-сигналов на символ OFDM или MC-CDMA. 4 н. и 13 з.п. ф-лы, 34 ил.
Область техники, к которой относится изобретение
Настоящее изобретение относится, в общем, к комбинациям сигналов для цифровой связи с несколькими несущими и критериям разработки этих комбинаций сигналов. Настоящее изобретение, в частности, направлено на комбинации сигналов, основанные на максимизации минимального расстояния Кулбака-Лайбера между статистическими распределениями, которые могут быть использованы, но необязательно, только в среде с быстрым замиранием сигналов и в среде с высоким отношением сигнал-шум (SNR).
Уровень техники
Мультиплексирование с частотным разделением (или уплотнением) каналов (FDM) – это технология, которая передает несколько сигналов одновременно по одному каналу передачи, например кабелю или беспроводной системе. Каждый сигнал перемещается в рамках собственного уникального частотного диапазона (называемого несущей, поднесущей или подканалом), который модулируется данными (текстом, голосом, видео и т.д.). Каждый сигнал является последовательностью битов или символов, отображаемых (преобразуемых) из комбинации сигналов (в случае передаваемого сигнала) или в комбинацию сигналов (в случае принимаемого сигнала). Комбинация сигналов может быть представлена графически как множество точек, расположенных на некотором расстоянии друг от друга на двух- или трехмерной диаграмме, но сама комбинация является просто семейством точек, расположенных на некотором расстоянии друг от друга конкретным способом.
Технология расширенного спектра ортогонального FDM (OFDM) распределяет данные по большому числу несущих, которые расположены на расстоянии заданных частот. Это размещение с интервалом предоставляет “ортогональность” в подходе OFDM и не допускает, чтобы модуляторы видели частоты, отличные от их собственных частот. Преимуществами OFDM является высокая спектральная эффективность, устойчивость к радиочастотным помехам и более низкое искажение, обусловленное многолучевым распространением. Это полезно, поскольку в типичной реализации наземной беспроводной связи предусмотрены многолучевые каналы (т.е. передаваемый сигнал поступает в приемное устройство с помощью различных трактов разной длины). Поскольку несколько версий сигнала создают помехи друг другу (межсимвольные помехи (ISI)), становится трудно извлекать исходную информацию. Раздельная многочастотная модуляция и CDMA с несколькими несущими (MC-CDMA) – это другие методы с несколькими несущими. Модуляция с несколькими несущими оговорена в стандартах цифровой широковещательной передачи аудио и видео, беспроводных локальных вычислительных сетях (ЛВС, LAN) асимметричных DSL и VDSL, и это лишь некоторые из уже используемых беспроводных и приводных вариантов применения.
OFDM успешно развернута во внутренней беспроводной ЛВС и внешних широковещательных применениях. OFDM выгодно снижает влияние ISI и также, как признано, хорошо работает в многолучевых каналах с замираниями. Эти и другие преимущества представляют подход передачи данных с несколькими несущими, и особенно OFDM, серьезным кандидатом на использование в будущих системах мобильной связи, таких как те, которые названы в данном документе как 4G (четвертое поколение).
В частотноизбирательном канале с замираниями каждая поднесущая ослабляется отдельно. Результирующие частотные функции подканалов являются переменными по частоте и также могут быть переменными во времени, т.е. амплитуда канала может серьезно колебаться между поднесущими и может варьироваться от символа к символу. При благоприятных условиях значительные объемы данных могут надежно передаваться посредством канала. Тем не менее, поскольку канал изменяется во времени, параметры связи также изменяются. При изменившихся условиях предшествующие скорости передачи данных, методы кодирования и форматы данных могут больше не быть допустимыми. Например, когда производительность канала падает, передаваемые данные могут сталкиваться с искажениями, превышающими допустимые, приводящими к недопустимым параметрам связи, таким как превышающие допустимые частоты ошибок по битам или частоты ошибок по пакетам. Ухудшение характеристик канала может быть обусловлено множеством факторов, например общим шумом в канале, потерей траектории радиоволны при распространении в пределах прямой видимости, превышающей допустимую внутриканальную помеху (CCI), помехой от других сотовых пользователей в рамках или рядом с конкретной сотой и замиранием вследствие многолучевого распространения, при которых принятая амплитуда и фаза сигнала варьируются во времени.
В беспроводной связи информация о состоянии канала (CSI) в приемном устройстве обычно получается посредством передачи ряда известных символов пилот-сигнала или обучающих символов, чтобы компенсировать ухудшение характеристик канала. Типично алгоритм оценки в приемном устройстве использует символы пилот-сигнала или обучающие символы, чтобы оценивать неизвестный канал на основе знаний передаваемых символов. Дисперсия оценки зависит от дисперсии шума, числа компонентов канала, которые должны быть оценены, и числа символов пилот-сигнала или обучающих символов (числа независимых измерений). В целом, чем больше число измерений характеристик канала, тем ниже дисперсия оценки. Для канала с медленными замираниями, где коэффициенты затухания остаются приблизительно постоянными на множестве символьных интервалов, передающее устройство может отправить большое число обучающих символов или символов пилот-сигнала на реализацию канала без значительной потери в скорости передачи данных и дать возможность приемному устройству точно оценить коэффициенты затухания. В этом случае специалист по разработке систем может безопасно использовать точно допущение по CSI, чтобы разрабатывать оптимальные коды и комбинации. Комбинации сигналов предшествующего уровня техники, такие как традиционная фазовая манипуляция (PSK) и квадратурная амплитудная модуляция (QAM), которые основаны на минимальном эвклидовом кодовом расстоянии между точками комбинации, основаны на этом допущении. На практике вследствие обязательно конечной длины обучающей последовательности всегда будут некоторые ошибки в оценках характеристик канала. Тем не менее, системы связи предшествующего уровня техники сопоставляют символы с комбинациями сигналов, такими как QAM, которые были извлечены с допущением точного знания состояния канала в приемном устройстве.
Допущение точного CSI в приемном устройстве главным образом не подходит в системах связи с несколькими несущими. Для каналов с быстрыми замираниями, в которых коэффициенты замирания изменяются слишком быстро, чтобы предоставить длительный период обучения, или для систем с многолучевым распространением, где очень длинные обучающие последовательности необходимы, чтобы точно обучить все возможные каналы от передающего устройства к приемному устройству, получение точной оценки характеристик канала в приемном устройстве не всегда может быть возможным.
В каналах с быстрыми замираниями подход отправки большого числа обучающих символов или символов пилот-сигнала недопустим вследствие быстрых изменений в канале или приводит к значительной потере в фактической скорости передачи данных вследствие части пропускной способности, потраченной на обучение. В результате, в средах с высокой мобильностью число измерений на реализацию канала относительно мало, и качество оценки затрагивается одним или обоими следующими эффектами:
– Число измерений на компонент канала очень мало при большей дисперсии оценки вследствие аддитивного шума.
– Некоторые из компонентов канала не оцениваются вообще (к примеру, каналы с небольшим количеством энергии в среде с многолучевым распространением). Эти компоненты появляются как аддитивные условия в дисперсии оценки, которые не исчезают при высоком значении SNR и приводят к минимальному уровню ошибок в рабочих характеристиках.
При наличии ошибок оценки характеристик канала вследствие вышеупомянутых эффектов комбинации, которые предназначены для случая идеального CSI, уже не являются оптимальными. Использование комбинаций сигналов предшествующего уровня техники часто приводит к низкой производительности и высокому минимальному уровню ошибок в средах с быстрыми замираниями и большому распространению задержек.
В данной области техники необходим новый тип комбинации сигналов, который способствует допустимым частотам ошибок в среде канала с быстрыми замираниями, где могут быть доступны только приблизительные оценки характеристик канала, особенно для многоканальной среды, в которой передающее устройство и/или приемное устройство используют несколько антенн. Идеально – прогресс в данной области техники лучше всего обслуживается методом разработки такой комбинации сигналов для облегчения дополнительных усовершенствований.
Сущность изобретения
Настоящее изобретение может быть осуществлено в блоке связи для обмена данными по проводной или беспроводной системе с несколькими несущими. В одном аспекте изобретения блок связи включает в себя носитель хранения данных для сохранения комбинации сигналов, которая может быть в форме поисковой таблицы или алгоритма. Комбинация сигналов составлена из множества точек комбинации. Две ближайшие точки комбинации задают минимальное разнесение D друг от друга, которое основано на максимизированной минимальной разности между распределениями условных вероятностей. Предпочтительно разнесение D – это максимизированное минимальное расстояние Кулбака-Лайбера.
Блок связи также включает в себя передающее устройство или приемное устройство. Передающее устройство включает в себя блок преобразования для преобразования сигнала, который должен быть передан, который входит в блок преобразования, во множество символов, при этом каждый символ соответствует, по меньшей мере, одной из точек комбинации. Передающее устройство также включает в себя цепь пилот-сигнала для добавления символов пилот-сигнала во входной сигнал, который должен быть передан, и модулятор для модуляции символов в соответствии с методом передачи данных с несколькими несущими.
Приемное устройство включает в себя блок оценки канала для оценки канала в системе с несколькими несущими с помощью символов пилот-сигнала принятого набора символов, демодулятор для демодуляции, по меньшей мере, части принятого набора символов в соответствии с методом передачи данных с несколькими несущими, и блок обратного преобразования для преобразования демодулированных символов во множество сигналов данных. Сигналы передачи данных, либо каждый отдельно, либо их группы, соответствуют точке комбинации. Приемное устройство может использовать Np символов пилот-сигнала в интервале когерентности, чтобы оценить Nt отводов многолучевого канала из общего числа L отводов, при этом число Nt выбирается, чтобы минимизировать дисперсию оценки с элементом разрешения по частоте, заданным посредством схемы модуляции с несколькими несущими. Если многочастотные символы являются короткими, приемное устройство может использовать Np символов пилот-сигнала в интервале когерентности, который меньше, чем число L канальных отводов.
Предпочтительно точки комбинации расположены во множестве концентрических окружностей, и одна точка может лежать в начале координат окружностей. Эти окружности повернуты относительно друг друга так, чтобы минимальное угловое расстояние между точкой комбинации одного подмножества и точкой комбинации другого подмножества было максимизировано.
В другом аспекте настоящего изобретения, поскольку комбинации сигналов оптимизированы для различных значений SNR, блок связи включает в себя носитель данных для сохранения, по меньшей мере, двух комбинаций сигналов, и одна или другая используется блоком преобразования/блоком обратного преобразования в зависимости от того, находится ли SNR канала выше или ниже порогового значения.
Мобильный терминал для обмена данными по радиоканалу с быстрыми замираниями и несколькими несущими является еще одним аспектом настоящего изобретения. Мобильный терминал включает в себя демодулятор для демодуляции сигнала, принятого из радиоканала с несколькими несущими, блок оценки канала для оценки радиоканала с несколькими несущими с помощью, по меньшей мере, нескольких пилот-сигналов принятого сигнала, комбинацию сигналов, реализованную на носителе данных вычислительной машины, и машинный код, реализованный на носителе данных вычислительной машины для сопоставления символа принятого сигнала с комбинацией сигналов. Носитель данных вычислительной машины может быть, а может и не быть тем же носителем, на котором реализована комбинация сигналов. Уравнение, оговаривающее минимальное разнесение между ближайшими точками комбинации сигналов, приведено ниже в уравнении (24).
Предпочтительно мобильный терминал также включает в себя модулятор для модуляции сигнала, который должен быть передан по радиоканалу с несколькими несущими, блок вставки пилот-сигнала для добавления пилот-сигналов к сигналу, который должен быть передан, и второй машинный код, реализованный на носителе данных вычислительной машины для сопоставления сигнала, который должен быть передан, с комбинацией сигналов.
Другим аспектом настоящего сигнала является способ передачи сигнала по системе с несколькими несущими. Способ заключается в том, что сопоставляют сигнал, который должен быть передан, с комбинацией сигналов, добавляют пилот-сигналы к сигналу, который должен быть передан, и модулируют сигнал, который должен быть передан, в соответствии с методом модуляции с несколькими несущими. Комбинация сигналов задает множество точек комбинации так, чтобы минимальное разнесение между двумя точками комбинации определялось на основе максимизированной минимальной разности между распределениями условных вероятностей.
Краткое описание чертежей
Фиг.1A – это блок-схема высокого уровня модема OFDM с N поднесущими в рамках предшествующего уровня техники.
Фиг.1B – это блок-схема высокого уровня модема MC-CDMA с Nb поднесущими в рамках предшествующего уровня техники.
Фиг.2 – это схема снимка функции частоты амплитуды двухлучевого релеевского канала с замираниями.
Фиг.3A – это диаграмма, показывающая разброс задержек с шестью лучами и энергию канала международного союза электросвязи (ITU) подвижного средства A.
Фиг.3B – это диаграмма, показывающая канал с четырьмя отводами и энергию отвода после выборки канала с шестью лучами фиг.3A.
Фиг.4A – это диаграмма, показывающая оценку дисперсии для различного числа оценок канальных отводов при значении SNR в 5 дБ для шестнадцати пилот-сигналов, вставленных в символ OFDM в канале ITU подвижного средства A.
Фиг.4B – это диаграмма, аналогичная фиг. 4A, но для значения SNR в 25 дБ.
Фиг.5A – это диаграмма, аналогичная фиг.4A, но для восьми пилот-сигналов.
Фиг.5B – это диаграмма, аналогичная фиг. 4A, но для восьми пилот-сигналов и значения SNR в 25 дБ.
Фиг.6A-6F – это схемы комбинаций, каждая из которых помечена различным SNR, чтобы соответствовать столбцу табл.1, для системы, в которой шестнадцать пилот-сигналов оценивают восемь отводов канала подвижного средства A с частотой выборки 4915200 выборок в секунду.
Фиг.7 – это диаграмма, показывающая частоты ошибок для комбинаций фиг.6A-6F (каждая с отдельным SNR на бит) по сравнению с частотами ошибок в традиционной комбинации 16QAM.
Фиг.8A-6F – это схемы комбинаций, каждая из которых помечена различным SNR, чтобы соответствовать столбцу табл. 2, для системы, в которой восемь пилот-сигналов оценивают семь отводов канала подвижного средства A с частотой выборки 4915200 выборок в секунду.
Фиг.9 – это диаграмма, показывающая частоты ошибок для комбинаций фиг.8A-8F (каждая с отдельным SNR на бит) по сравнению с частотами ошибок в традиционной комбинации 16QAM, и дополнительно выражающую комбинации 16QAM с блоком оценки канала с шестью отводами и комбинациями фиг.8C и 8D, выраженными по всем значениям SNR, в которой все приемные устройства используют, по меньшей мере, блок оценки канала по методу наименьших квадратов, как отмечено в легенде.
Фиг.10 – это диаграмма, аналогичная фиг.9, но в которой приемное устройство имеет одну антенну, все блоки оценки используют семь отводов и различные кривые представляют различные детекторы (многочастотные или основанные на методе максимального правдоподобия), как отмечено в легенде.
Фиг.11A-11F – это схемы комбинаций, каждая из которых помечена различным SNR, чтобы соответствовать столбцу табл.3, для системы с выборкой вверх/вниз, 128 поднесущими, восемью пилот-сигналами и оценивающей семь отводов канала подвижного средства A.
Фиг.12A – это диаграмма, показывающая частоты ошибок по необработанным символам для каждой из комбинаций на фиг.11A-11F по сравнению с комбинацией 16QAM для блочного канала подвижного средства A.
Фиг.12B – это диаграмма, аналогичная фиг.12A, для фактического канала подвижного средства A на скорости 120 км/ч.
Фиг.13 – это диаграмма, аналогичная фиг.12B, но показывающая сравнительную производительность блоков оценки с 5, 6 и 7 отводами для новой комбинации.
Фиг.14 – это диаграмма, показывающая частоты ошибок по необработанным символам для каждой из комбинаций 16QAM, выраженных с помощью каждого из блока оценки канала с пятью отводами и семью отводами, и новой комбинации, выраженной с помощью каждого из блока оценки канала с пятью отводами и семью отводами, все для системы OFDM с выборкой вверх/вниз, 128 поднесущими и восемью пилот-сигналами в канале подвижного средства A на скорости 120 км/ч.
Подробное описание изобретения
Изобретение может быть реализовано либо в передающем устройстве, либо в приемном устройстве, либо и в том, и в другом в системе с несколькими несущими, такой как OFDM-система или система множественного доступа с кодовым разделением сигналов с несколькими несущими (MC-CDMA), используя программное обеспечение, аппаратные средства или сочетание программного обеспечения и аппаратных средств. Программное обеспечение, как предполагается, должно быть реализовано в качестве поисковой таблицы, алгоритма или другого программного кода, который задает точки комбинации сигналов и к которому осуществляется доступ, чтобы сопоставить сигнал, который должен быть передан, с комбинацией сигналов или сопоставить принятый символ из комбинации сигналов. Одна и та же комбинация сигналов постоянно хранится на одном либо обоих устройствах из передающего устройства 22a и приемного устройства 22b, хотя она не должна быть реализована в том же формате (поисковой таблицы, алгоритма и т.д.).
Блок-схема модема 20 OFDM с N поднесущими, также указываемого ссылкой в данном документе как приемо-передающее устройство с несколькими несущими или система с несколькими несущими, показана на фиг. 1A в качестве только одного примера модема с несколькими несущими, который может выгодно использовать настоящее изобретение. В передающем устройстве 22a модулятор 24 принимает входящий сигнал и осуществляет доступ к носителю 25 данных, который сохраняет комбинацию сигналов, чтобы сопоставлять входной сигнал, который должен быть передан, с символами комбинации сигналов. Сигнал может проходить через контроллер прямого исправления ошибок (FEC) и/или выделитель битов (не показан) до входа в модулятор 24, как известно в данной области техники. Модулятор 24 затем отправляет N сложных символов Sn, 0n, 0n, 0n, 0
Фиг.1B иллюстрирует блок-схему высокого уровня модема MC-CDMA 120 согласно предшествующему уровню техники, который может использовать настоящее изобретение. В передающем устройстве 122a сигнал, который должен быть передан, который представляет несколько пользователей, входит в модулятор 124, который осуществляет доступ к носителю 125 данных, который сохраняет комбинацию сигналов, чтобы сопоставить входной сигнал, который должен быть передан, с символами комбинации сигналов. Модулированные и сопоставленные символы затем проходят через преобразователь 126 последовательного кода в параллельный, где они разбиваются на K блоков J потоков. Потоки, S0,0, S0,j-1,…, Sk-1,j-1 распространяются с помощью кодов Адамара-Уолша C0,…, Cj-1 длины N, затем суммируются в сумматорах 127, чтобы сформировать один поток распространения S0,…, Sk-1. Потоки распространения после этого проходят через второй преобразователь 129 последовательного кода в параллельный, перемежитель 131 и модулятор 133 OFDM (IFFT), где они делятся на Nb элементов разрешения по частоте. Циклический префикс предпочтительно добавляется в модуляторе 133 OFDM, чтобы избежать межсимвольных помех (ISI) и межканальных помех (ICI). Этот сигнал временной области затем проходит через фильтр 137 формирования импульсов и передается по каналу 134, где добавляется шум W 135.
В приемном устройстве 122b MC-CDMA сигнал сначала проходит через фильтр 139 приема, который предпочтительно согласован с фильтром 137 формирования импульсов, чтобы подавлять внеполосные помехи и шум. Отфильтрованный принятый сигнал после этого проходит через демодулятор 141 OFDM (FFT) и затем через обращенный перемежитель 143 и преобразователь 142 параллельного кода в последовательный, который выводит потоки распространения, аппроксимирующие этот выход, из сумматоров 127 в передающем устройстве 122a. Детектор 145 осуществляет доступ к носителю 125 данных и генерирует выходы с жестким или мягким решением для каждого исходного символа или потока.
Настоящее изобретение направлено частично на комбинацию сигналов и, таким образом, не зависит от конкретного типа используемой системы с несколькими несущими, будь то OFDM, MC-CDMA или другие.
Чтобы проиллюстрировать подканалы системы с несколькими несущими и то, как они варьируются от одной к другой, можно предусмотреть, например, модем OFDM с 2048 поднесущими и простой двухлучевой релеевский канал с замираниями с доплеровской частотой 20 Гц. Фиг.2 показывает снимок функции частоты амплитуды канала с замираниями. Можно видеть, что функция частоты широко варьируется в 2048 подканалах.
Критерий разработки комбинации, используемый в этом изобретении, предполагает, что каналом является канал с релеевским плавным замиранием, а ошибка оценки является гауссовой с нулевым средним и известной дисперсией. Даже несмотря на то, что каналы, рассматриваемые в данном документе, не имеют плавное замирание из-за подхода с несколькими несущими, канал, видимый в каждом элементе разрешения по частоте, может приблизительно рассматриваться как канал с плавным замирением. Помимо этого, процесс замирания и аддитивный шум считаются гауссовыми. Как описано ниже, это приводит к гауссовому распределению ошибки оценки.
Каждая из поднесущих канала 34 ограничена верхним и нижним пределом по частоте, и полоса частот между ними в данном документе называется элементом разрешения по частоте. Интервал когерентности – это T периодов символов, в которых допущение плавного замирания и постоянных коэффициентов замирания применяется к блоку T последовательных символьных интервалов, но коэффициенты замирания могут изменяться на новые, независимые коэффициенты в начале каждого нового блока. Пилот-сигналы вставляются равномерно в частотную область, и алгоритмом оценки характеристик канала является метод максимального правдоподобия (ML) для импульсной характеристики, следующей за преобразованием Фурье, чтобы получить частотную характеристику канала. При условии гауссова аддитивного шума это приводит к оценочной функции по методу наименьших квадратов (LS). Задаются следующие символы:
N: Число элементов разрешения по частоте (размер FFT в случае отсутствия выборки вверх)
L: Число канальных отводов (после выборки профиля задержки на частоте выборки)
h: Импульсная характеристика канала (вектор Lx1)
H: Частотная характеристика канала (вектор Nх1)
W: Первые L столбцов матрицы FFT NxN (матрица NxL)
X: Принятый сигнал в частотной области (вектор Nx1)
n: Принятый шум в частотной области (вектор Nx1) с элементами i.i.d. из распределения N(0, 2).
Np: Число равноотстоящих символов пилот-сигнала в частотной области
Hp: Частотная характеристика канала в позициях пилот-сигнала (вектор Npх1)
Wp: Строки W, соответствующие позициям пилот-сигнала (матрица NpxL)
Xp: Принятый сигнал в позициях пилот-сигнала (вектор Npx1)
np: Принятый шум в позициях пилот-сигнала (вектор Npx1)
Nt: Число оцениваемых отводов
ht: Оцениваемые отводы канала (вектор Ntx1)
hr: Неоцениваемые отводы канала (вектор (Z-Nt)x1)
Wt: Столбцы W, соответствующие оцениваемым отводам (матрица NxNt)
Wr: Столбцы W, соответствующие неоцениваемым отводам (матрица Nx(L – Nt))
Wpt: Столбцы Wp, соответствующие оцениваемым отводам (матрица NpxNt)
Wpr: Столбцы Wp, соответствующие неоцениваемым отводам (матрица Npx(L – Nt))
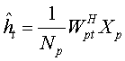
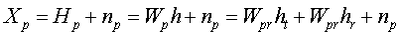
С помощью вышеуказанных обозначений частотная характеристика канала H задается как
(1)
При условии, что символы пилот-сигнала являются действительными и имеют единичную мощность (т.е. единицы)
(2)
Дисперсия ошибки оценки характеристик канала, , извлечена ниже для трех различных случаев: 1) число символов пилот-сигнала на интервал когерентности равно или больше числа канальных отводов, и выборка вверх/вниз не осуществляется в передающем/приемном устройстве; 2) число символов пилот-сигнала на интервал когерентности меньше числа канальных отводов, и выборка вверх/вниз не осуществляется в передающем/приемном устройстве; и 3) осуществляется выборка вверх и/или вниз в передающем/приемном устройстве с помощью фильтра формирования импульсов.
Случай 1: Np
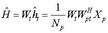
В этом случае оценка по методу максимального правдоподобия (ML) импульсной характеристики канала (в оцениваемых канальных отводах) задается как
(3)
Если пилот-сигналы равноотстоят в частотной области, то , при этом предполагается, что матрица быстрого преобразования Фурье (FFT) не нормализована (т.е. каждая запись имеет единичную норму). Следовательно,
(4)
Применение преобразования Фурье к уравнению (4) возвращает оцениваемую частотную характеристику канала как
(5)
Кроме того, используя те факты, что пилот-сигналы вставляются равномерно в частотной области, и Np>L, имеем
(6)
и
(7)
Подстановка уравнений (6)и (7) в уравнение (5) возвращает
(8)
где
(9)
– это ошибка оценки. Без потери универсальности считается, что оцениваемыми отводами канала являются первые Nt отводов. При условии также, что канальные отводы являются независимыми комплексными гауссовыми случайными переменными с нулевым средним и дисперсией Pi для i-го отвода и не зависят от аддитивного шума, ковариационная матрица ошибки оценки в таком случае
(10)
Поскольку каждый элемент W имеет единичную норму, дисперсия оценки в каждом элементе разрешения по частоте задается как
(11)
Уравнение (11) раскрывает, что дисперсия оценки состоит из двух членов. Первый член обусловлен неоцениваемыми отводами канала, а второй член обусловлен аддитивным шумом. Если Nt>Z, первый член обращается в нуль, и дисперсия оценки увеличивается линейно с дисперсией шума и числом оцениваемых отводов и уменьшается линейно с числом пилот-сигналов. В этом случае оптимальное значение для числа оцениваемых отводов составляет L. Если Ntто существует компромиссное решение; увеличение Nt уменьшает первый член, но увеличивает второй член. Оптимальное значение Nt в таком случае зависит от дисперсии шума, а также профиля задержки канала (значения Pl). При высоком SNR (небольших значениях ) второй член очень маленький, и дисперсия оценки доминирующе определяется вкладом неоцениваемых отводов. Поэтому выгодно оценивать все канальные отводы. Тем не менее, при низком SNR возможно получить меньшую дисперсию посредством меньшего числа отводов. Безотносительно к чему-либо, для фиксированного Nh оценка более значимых отводов приводит к меньшей дисперсии. Также очевидно из уравнения (11), что если все канальные отводы оцениваются, дисперсия оценки стремится к нулю по мере того, как SNR приближается к бесконечности.,>
В качестве примера рассмотрим канал ITU подвижного средства A, в котором выборка осуществляется с частотой 4915200 выборок в секунду (в четыре раза больше скорости передачи элементов сигнала стандарта 1xEV-DV). Фиг.3A показывает первоначальный профиль задержки для данного канала, а фиг.3B показывает дискретизированный профиль задержки для того же канала. Исходный шестилучевой канал (фиг.3A) становится каналом с 14 отводами (фиг.3B) после этой выборки. Даже несмотря на то, что более 96% энергии канала сосредоточено в его первых 6 отводах и примерно 98% энергии канала сосредоточено в первых 7 отводах, ниже продемонстрировано, что даже незначительные (2-4%) ошибки оценок вследствие неоценивания отводов после 6-го или 7-го отвода могут привести к значительному снижению производительности и минимальному уровню ошибок, равному 1% ошибок необработанных символов.
Фиг.4A-4B показывают дисперсию оценки для системы с несколькими несущими в вышеуказанном канале при SNR=5 дБ для фиг.4A и SNR=25 дБ для фиг.4B. В обоих случаях 16 пилот-сигналов равномерно вставляются в символ мультиплексирования с ортогональным частотным разделением сигналов (OFDM). Сделано допущение, что длина символа OFDM и скорость мобильного устройства таковы, что канал остается примерно постоянным в ходе одного символа OFDM. Для SNR в 5 дБ, показанного на фиг.4A, оптимальное число оцениваемых отводов составляет 6, тогда как для SNR в 25 дБ, показанного на фиг.4B, оптимальное число составляет 14, что является общим числом канальных отводов. (Касательно фиг.4B, числовые значения для дисперсий оценок по 14, 15 и 16 оцениваемым отводам составляет 2,8×10-3, 3,0×10-3 и 3,2×10-3, соответственно, подтверждая увеличение дисперсии после 14-го отвода, что может не быть очевидно только из фиг.4B).
Случай 2: Np
В сценариях высокой мобильности (крупных доплеровских распределений) выгодно передавать более короткие символы OFDM (т.е. использовать более широкие поднесущие), так чтобы коэффициенты замирания оставались практически постоянными в течение одного символа OFDM (относительный Доплер был небольшим и ничтожным). Использование коротких символов OFDM подразумевает применение меньшего числа пилот-сигналов на реализацию канала. При условии больших скоростей мобильных устройств или широкополосной системы разумно, чтобы интервал когерентности был уменьшен таким образом, чтобы число пилот-сигналов было меньше, чем фактическое число канальных отводов. Поскольку для того, чтобы иметь обоснованную оценку, число измерений должно быть, по меньшей мере, равно числу переменных, которые требуется оценить, максимальное значение Nt в данном случае составляет Np, и невозможно оценить все канальные отводы. Как подробно описано ниже, оставшиеся неоцениваемые отводы в данном случае приводят к неустранимому минимальному уровню ошибок в рабочих характеристиках.
Допущение того, что NP, приводит к широкой матрице Wp (больше столбцов, чем строк). В результате, уравнения (6) и (7), применяемые к первому случаю, недопустимы для этого второго случая. Уравнение (7) вместо этого заменяется на
(12)
где
(13)
А p0 – это индекс первого пилот-сигнала в символе OFDM.
Также вместо уравнения (9) следующее выражение возвращает ошибку оценки для второго случая
(14)
С предыдущими допущениями о распределениях коэффициентов канала и аддитивного шума эта ошибка оценки является гауссовым вектором с нулевым средним. В этом втором случае дисперсия оценки не одинакова для различных элементов разрешения по частоте, как это было в первом случае. Поэтому средняя дисперсия оценки, усредненная по всем элементам разрешения по частоте, является более точным представлением для второго случая. Средняя дисперсия оценки по всем элементам разрешения по частоте составляет
(15)
Уравнение 15 раскрывает, что во втором случае дисперсия оценки состоит из трех членов. Первые два члена обусловлены неоцениваемыми отводами, тогда как третий член обусловлен аддитивным шумом. Уравнение 15 аналогично уравнению (11), как указано ниже, с разницей в том, что некоторые из неоцениваемых отводов дважды делают вклад в дисперсию оценки. Это обусловлено тем, что во втором случае, в отличие от первого случая, проекция неоцениваемых измерений на оцениваемые измерения необязательно равна нулю. Поэтому значения из некоторых неоцениваемых измерений ошибочно появляются в оцениваемых измерениях, что делает их вклад в ошибку оценки двойным вкладом (один раз, поскольку они не оценены, и второй раз, поскольку они прибавляют в ошибку в оцениваемом отводе).
Аналогично первому случаю оптимальное число оцениваемых отводов зависит от дисперсии шума, а также от профиля задержки канала (значений Pi). Тем не менее, в отличие от первого случая дисперсия оценки во втором случае не может быть сделана сколь угодно малой за счет увеличения отношения “сигнал-шум”. При высоком SNR третий член уравнения (15) становится очень маленьким. Второй член также может быть сделан нулем посредством разрешения Nt=Np. Тем не менее первый член всегда будет здесь. Минимально допустимая дисперсия оценки в этом втором случае задается следующим выражением:
(16)
Фиг.5A-5B показывают дисперсию оценки для системы с несколькими несущими в канале подвижного средства A фиг.3A-3B при двух различных значениях SNR в 5 дБ (фиг.5A) и 25 дБ (фиг.5B). В обоих случаях 8 пилот-сигналов равномерно вставляются в символ OFDM. Сделано допущение, что длина символа OFDM и скорость мобильного устройства таковы, что канал остается примерно постоянным в ходе одного символа OFDM. При SNR 5 в дБ (фиг.5A) оптимальное число оцениваемых отводов равно 3, тогда как при SNR в 25 дБ оптимальное число равно 8, что является общим числом пилот-сигналов. При 25 дБ (фиг.5B) даже несмотря на то, что SNR относительно высок, минимальная дисперсия оценки составляет примерно 0,043, большая часть из которой определяется неоцениваемыми отводами, чей вклад задан как уравнение (1-6).
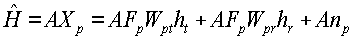
Случай 3: Выборка вверх/вниз с фильтром формирования импульсов
Когда фильтр формирования импульсов используется в передающем устройстве 22, сигнал временной области должен быть выбираем вверх в передающем устройстве и выбираем вниз в приемном устройстве 42. Тем не менее, даже при равноотстоящих пилот-сигналах в исходном символе OFDM требуемые свойства ортогональности матрицы Wp не могут быть гарантированы. Обозначая как F и Fp диагональные матрицы, составленные из частотной характеристики фильтра формирования импульсов передачи при всех элементах разрешения по частоте и элементах разрешения по частоте пилот-сигнала, соответственно, и задавая
(17)
Следовательно, оценка частотной характеристики канала составляет:
 (18)
где Xp – это принятый вектор в позициях пилот-сигнала после отмены эффекта фильтра приема. С помощью уравнения (1) и того факта, что AFpWpt = Wt, ошибка оценки задается следующим образом:
(19)
Из уравнения (19) средняя дисперсия оценки в каждом элементе разрешения по частоте задается как
(20)
Аналогично вышеописанным первому и второму случаю, дисперсия оценки состоит из вкладов от неоцениваемых отводов, а также аддитивного шума.
Критерий разработки комбинации
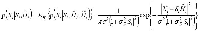
Один аспект настоящего изобретения состоит в том, чтобы изложить критерий разработки комбинаций, особенно частично когерентных комбинаций для систем с несколькими несущими. Обозначая как и переданный сигнал, принятый сигнал, оценку характеристик канала и ошибку оценки, соответственно, в i-м элементе разрешения по частоте условное распределение вероятностей принятого сигнала выражается следующим образом:
(21)
Детектор максимального правдоподобия (ML) максимизирует выражение уравнения (21) по всем возможным значениям Si, чтобы найти переданный символ:
(22)
где C – это комбинация сигналов.
Критерий разработки не стремится максимизировать минимальное эвклидово кодовое расстояние между распределениями условных вероятностей. Предпочтительный подход состоит в том, чтобы получить критерий разработки с помощью расстояния Кулбака-Лайбера (KL) между условными распределениями в качестве критерия производительности. Ожидаемое расстояние KL между точками комбинации задается следующим выражением:

где сi и сj – это две различные точки комбинации. (Здесь комбинация масштабируется посредством инверсии дисперсии шума так, чтобы средняя энергия комбинации была равна соотношению сигнал-шум SNR). Критерий разработки комбинации в таком случае задается как

где М – это общее число точек комбинации (log2M – это спектральная эффективность в бит/с/Гц), a Pav – средняя мощность комбинации или значения SNR в этом случае.
Даже несмотря на то, что критерий разработки предназначен для случая, когда оценка ошибки не зависит от оценок характеристик канала (что не является истиной для используемой в данном документе функции оценки), значительный прирост производительности может по-прежнему быть достигнут с помощью этого критерия разработки для рассматриваемой системы.
Ожидается, что даже больший прирост производительности достижим посредством использования информации о корреляции между оценками характеристик канала и ошибкой оценки, чтобы извлечь новый критерий разработки или усовершенствовать описанный в данном документе критерий. Кроме того, корреляция между ошибками оценки при различных элементах разрешения по частоте не учитывается в данном документе. Это обусловлено тем, что либо принимаются независимые решения по данным при различных элементах разрешения по частоте (т.е. система OFDM), либо используется частотное уплотнение, чтобы эффективно отделить элементы сигнала, вовлеченные в каждый символ (в системе (MC)-CDMA с несколькими несущими), чтобы сделать корреляцию между соответствующими значениями характеристик канала (и, следовательно, ошибками оценки) максимально низкой.
Предпочтительно многоуровневая круговая структура используется для комбинаций настоящего изобретения. Тем не менее вращения составных круговых подмножеств комбинаций разрешены, чтобы получить даже более оптимальные свойства расстояния. Оптимальные значения для угловых смещений между соседними подмножествами основаны на числе точек комбинации в этих подмножествах (т.е. чтобы максимизировать минимальное угловое расстояние между двумя подмножествами). Например, если два соседних подмножества имеют 3 и 4 точки, соответственно, оптимальное относительное угловое смещение между этими двумя подмножествами составляет 15°.
Частично когерентные комбинации для системы с несколькими несущими
Описание ниже подходит для комбинаций, предназначенных для системы с несколькими несущими в канале подвижного средства A фиг.3A при частоте выборки 4915200 выборок в секунду (в четыре раза больше скорости передачи элементов сигнала стандарта 1xEV-DV). Мы рассмотрели три случая, соответствующие трем подробно описанным случаям (Np>L; Np
Для первого случая система с несколькими несущими имеет шестнадцать пилот-сигналов, вставленных в символ OFDM, и оценивается восемь первых отводов канала подвижного средства A. Дисперсии оценки для системы при различных значениях SNR приведены в таблице 1 ниже. Следует заметить, что оптимальное число оцениваемых отводов в данном случае необязательно равно восьми при всех значениях SNR. Как указывалось выше, при высоком SNR выгодно оценивать все отводы канала. Восемь отводов – оптимальное значение для средних значений SNR, и выбрано сохранять число оцениваемых отводов постоянным для всего диапазона SNR.
| SNR на бит (дБ) |
5 |
10 |
15 |
20 |
25 |
30 |
| Дисперсия оценки |
0,0597 |
0,0327 |
0,0241 |
0,0214 |
0,0206 |
0,0203 |
| dmin, 16QAM |
1,1438 |
1,7872 |
2,2487 |
2,4783 |
2,5648 |
2,5964 |
| dmin, новая комбинация |
1,4422 |
2,2543 |
2,9111 |
3,4601 |
3,8595 |
4,0714 |
Таблица 1. Дисперсии оценки и минимальные расстояния, когда 16 пилот-сигналов оценивают 8 отводов канала подвижного средства A.
Далее, разработаны частично когерентные комбинации на основе значений из таблицы 1 для ошибки оценки и SNR. Результирующие комбинации показаны на фиг.6A-6F и показывают, что когда SNR увеличивается, внешние уровни становятся более отдаленными. Это обусловлено тем, что эффект ухудшения дисперсии оценки становится более значительным при высоких значениях SNR, и для фиксированного значения дисперсии оценки комбинация, разработанная для более высокого SNR, ближе к некогерентной комбинации, чем комбинация, разработанная для более низкого SNR. Для сравнения минимальные расстояния KL между точками комбинации для традиционной комбинации 16QAM и новых комбинаций также показаны в таблице 1 выше.
Используя фиг.6A в качестве примера для используемой в данном документе терминологии, каждая окружность на схеме 52 комбинаций представляет точку комбинации. Точка 54 начала координат размещена в начале схемы (x=0, y=0). Из других комбинаций очевидно (фиг.6C, 6D), что не каждая точка комбинации согласно настоящему изобретению задает точку 54 начала координат. За исключением точки начала координат (если присутствует), абсолютно каждая точка комбинации находится в рамках одного подмножества точек, которые вместе задают окружность, центрированную вокруг начала координат. Первое подмножество точек 56 размещено, например, ближе всего к началу координат. Второе подмножество точек 58, соседнее с первым подмножеством 56, повернуто, чтобы максимизировать минимальное угловое расстояние между двумя ближайшими точками соседних подмножеств 56, 58. Формулируя иначе, допустим первую линию 60 (не часть комбинации), заданную началом координат и первой точкой 62 первого подмножества 56. Допустим также вторую линию 64 (не часть комбинации), заданную началом координат и второй точкой 66 второго подмножества 58, при этом первая точка 62 и вторая точка 66 являются соседними по отношению друг к другу. Угол 68 между первой линией 60 и второй линией 64 достигает наибольшего или максимизированного углового расстояния между искомой точкой первого подмножества 56 (которой может быть, а может и не быть первая точка 62) и точкой второго подмножества 58 (которой может быть, а может и не быть вторая точка 66), которая является ближайшей к искомой точке. Когда подмножества 56, 58 надлежащим образом повернуты относительно друг друга, изменение угла 68 (т.е. дальнейшее вращение второго подмножества 58 относительного первого подмножества 56) приводит к уменьшению углового расстояния между определенной точкой первого подмножества 56 и определенной точкой второго подмножества 58, так что они располагаются ближе, чем максимизированное минимальное угловое расстояние. Вращение подмножеств относительно друг друга определяется посредством максимизации минимального углового расстояния между точками соседних подмножеств. Отделение подмножеств друг от друга (к примеру, диаметр каждого подмножества) определяется посредством максимизации минимального расстояния распределения условных вероятностей (к примеру, расстояния KL) между точками соседних подмножеств (и между всеми точками комбинации).
Комбинации фиг.6A-6F использованы в системе MC-CDMA с 256 поднесущими и коэффициентом распространения 4. Использовалась одна антенна передачи и две антенны приема, а каналом был блочный канал с замираниями с тем же профилем задержки, что и для ITU подвижного средства A. Частота выборки считается равной 4915200 выборок в секунду, и выборка вверх не используется. Приемным устройством является подавление канала с обращением в нуль незначащих коэффициентов, за которым следует согласованный фильтр. Результаты моделирования частоты ошибок по необработанным символам данной системы и этого же показателя в традиционной комбинации 16QAM показаны на фиг.7. Комбинации фиг.6, как проиллюстрировано на фиг.7, выражают минимальный уровень ошибок вследствие многолучевого распространения, который уменьшен более чем на 75%, и значительный прирост производительности достигается особенно при больших значениях SNR по сравнению с традиционными комбинациями 16QAM.
Как отмечалось выше, в средах с высокой мобильностью может потребоваться использовать более короткие символы OFDM, чтобы уменьшить эффект ухудшения характеристик доплеровского распределения. Чтобы сохранить постоянными контрольные служебные пилот-сигналы, следует использовать меньшее число пилот-сигналов для более коротких символов OFDM. Второй описанный выше случай, в котором число отводов превышает число пилот-сигналов, смоделирован с помощью системы с несколькими несущими со 128 поднесущими и 8 пилот-сигналами в каждом символе OFDM, когда оцениваются первые семь отводов канала подвижного средства A. Дисперсии оценки при различных значениях SNR приведены в таблице 2 ниже. Оптимальным числом оцениваемых отводов в данном случае фактически является семь для всего рассматриваемого диапазона SNR. Значения SNR в таблице 2 – это SNR на бит, тогда как значения SNR на фиг.5A-5B – это SNR на символ.
| SNR на бит (дБ) |
5 |
10 |
15 |
20 |
25 |
30 |
| Дисперсия оценки |
0,1095 |
0,0622 |
0,0473 |
0,0473 |
0,0411 |
0,0406 |
| dmin, 16QAM |
0,8928 |
1,4070 |
1,7437 |
1,8966 |
1,9528 |
1,9720 |
| dmin, новая комбинация |
1,2548 |
1,9381 |
2,5434 |
3,0384 |
3,3097 |
3,5006 |
Таблица 2. Дисперсии оценки и минимальные расстояния, когда 8 пилот-сигналов оценивают 7 отводов канала подвижного средства A.
Частично когерентные комбинации, разработанные на основе значений таблицы 2 для дисперсии оценки, показаны на фиг.8A-8F. Аналогично фиг.6A-6F, при высоких значениях SNR внешние уровни комбинации становятся более отдаленными по тем же причинам, упомянутым выше. Для сравнения минимальные расстояния KL между точками комбинации для традиционной комбинации 16QAM и новых комбинаций также показаны в таблице 2 выше.
Результаты моделирования комбинаций фиг.8A-8F в системе MC-CDMA с 128 поднесущими и 8 пилот-сигналам в каждом символе OFDM, оценивающем семь отводов канала подвижного средства A, показаны на фиг.9, где производительность новой комбинации фиг.8A-8F сравнивается с системой, использующей традиционную комбинацию 16QAM. Другие параметры этой системы аналогичны фиг.7. Чтобы продемонстрировать эффект числа оцениваемых отводов на производительность, фиг.9 также включает кривую для системы с комбинацией 16QAM и шестью оцениваемыми отводами. Посредством оценки корректного числа канальных отводов (как предложено посредством минимизации выражения в уравнении (15) для Nt) и с помощью частично когерентных комбинаций, разработанных для соответствующих дисперсий оценки, минимальный уровень ошибки уменьшается более чем на один порядок амплитуды по сравнению с традиционной комбинацией QAM.
Поскольку использование различных комбинаций при различных значениях SNR может быть не очень практичным, фиг.9 также включает в себя кривые частот ошибок по символам, полученные посредством выбора комбинаций, разработанных для 15 дБ и 20 дБ, и их использования в полном диапазоне SNR. Ожидается, что новая комбинация, разработанная для 15 дБ (отмечена как “Новая (15 дБ)”), имеет производительность, очень близкую к оптимальной кривой при низких значениях SNR, но отклоняется от кривой при высоком SNR, тогда как комбинация, разработанная для 20 дБ (отмечена как “Новая (20 дБ)”), показывает близкую к оптимальной производительность при высоком SNR и немного ухудшенную производительность при низком SNR. Поэтому в зависимости от практического диапазона SNR для реальной системы можно выбрать одну комбинацию, которая дает близкую к оптимальной производительность в данном диапазоне.
Аналогичный прирост производительности может быть достигнут, если используется другое число антенн приема или другой тип детектора (к примеру, максимального правдоподобия ML). Фиг.10 показывает пример с одной антенной приема и приемные устройства с детекторами согласованного фильтра (MF) и ML. Тем не менее, увеличение числа антенн приема увеличивает разрыв между производительностью традиционной и новой комбинации. Причина заключается в том, что расстояние KL между точками комбинации возрастает линейно с числом антенн приема, и, таким образом, разность между минимальными расстояниями традиционных и новых комбинаций также увеличивается по мере увеличения числа антенн приема.
Для вышеупомянутого третьего случая, в котором используется фильтр формирования импульсов, модуляция включала в себя выборку вверх на скорости 4 выборки на элемент сигнала в передающем устройстве 22 и выборку вниз в приемном устройстве 42. Другие параметры системы такие же, как в предыдущем примере выше. Дисперсии оценки при различных значениях SNR для этой системы, полученные из уравнения (20), показаны в таблице 3 ниже.
| SNR на бит (дБ) |
5 |
10 |
15 |
20 |
25 |
30 |
| Дисперсия оценки |
0,2101 |
0,0706 |
0,0265 |
0,0125 |
0,0081 |
0,0067 |
| dmin, |
0,6160 |
1,3296 |
2,1786 |
2,9322 |
3,4148 |
3,6411 |
,>
| dmin, новая комбинация |
0,9854 |
1,8833 |
2,8658 |
3,7796 |
4,4876 |
4,9441 |
Таблица 3. Дисперсии оценки и минимальные расстояния для системы с несколькими несущими с выборкой вверх/вниз, 128 поднесущими, 8 пилот-сигналами и оценкой 7 отводов канала подвижного средства A.
Частично когерентные комбинации, разработанные для вышеприведенных значений таблицы 3 дисперсии оценки, показаны на фиг.11A-11F. Для сравнения минимальные расстояния KL между точками комбинации для традиционной комбинации 16QAM и новых комбинаций также показаны в таблице 3 выше.
Диаграммы фиг.12A-12B сравнивают по производительности вышеуказанные комбинации с традиционной комбинацией 16QAM в блочном канале подвижного средства A (фиг.12A) и в фактическом канале подвижного средства A на скорости 120 км/ч (фиг.12B). В обоих случаях значительное улучшение производительности достигается посредством использования новых комбинаций по сравнению с традиционными комбинациями QAM. Кроме того, вследствие доплеровского распределения минимальные уровни ошибок в фактическом канале фиг.14B выше, чем в блочном канале фиг.12A (обратите внимание на вертикальную шкалу).
Более того, фиг.13 показывает, что оценка немного меньшего числа канальных отводов приводит к более оптимальной производительности в фактическом канале подвижного средства A на скорости 120 км/ч, что не применимо для блочного канала. Фиг.13 отражает только новые комбинации.
Отмеченный прирост производительности, подробно описанный выше, не ограничен системами MC-CDMA. Аналогичный прирост может быть достигнут также в чистой системе OFDM. Фиг.13 показывает сравнение производительности между традиционной комбинацией 16QAM и новыми комбинациями в системе OFDM, с функциями оценки 7 отводов и 5 отводов. Другие параметры системы аналогичны параметрам в предыдущем примере. Для функций оценки 7 отводов и 5 отводов новые комбинации достигают значительного прироста производительности по сравнению с модуляцией 16QAM. Аналогично данным фиг.13, использование функции оценки 5 отводов приводит к более оптимальной производительности по сравнению с функцией оценки 7 отводов в фактическом канале подвижного средства A, что не применимо для блочного канала.
Обобщая, использована дисперсия оценки, чтобы выделить критерий разработки для частично когерентных комбинаций сигналов в системе с несколькими несущими с оценкой на основе пилот-сигналов. Продемонстрировано, что эти новые комбинации достигают значительного улучшения производительности по сравнению с традиционными комбинациями QAM в системах MC-CDMA и OFDM. Улучшение производительности даже более явно выражено в каналах с быстрыми замираниями, когда число измерений на реализацию канала меньше, чем число параметров канала. Использование этих новых комбинаций в системе с несколькими несущими может уменьшить минимальный уровень ошибок вследствие многолучевого распространения на величину, равную порядку амплитуды.
Настоящее изобретение чрезвычайно ценно в системах беспроводной связи, используемых по всему миру мобильными терминалами, такими как сотовые телефоны. Оно также выгодно для проводных систем связи, беспроводных систем ближней связи (к примеру, Bluetooth) и оптических систем, использующих носители передачи прямой видимости или на основе волноводов, или любого другого приложения, использующего систему с несколькими несущими в любом из различных соответствующих носителей передачи.
Хотя было проиллюстрировано и описано то, что в настоящее время считается предпочтительным вариантом осуществления заявленного изобретения, специалистам в данной области техники следует принимать во внимание, что возможно осуществлять множество изменений и модификаций. Например, OFDM и MC-CDMA были использованы в качестве схемы модуляции с несколькими несущими или системы с несколькими несущими, но комбинации настоящего изобретения в равной степени допустимы в любой системе с несколькими несущими. Прилагаемая формула изобретения предназначена охватывать все эти изменения и модификации, которые попадают под сущность и объем применения заявленного изобретения.
Формула изобретения
1. Блок связи, содержащий
носитель данных для сохранения комбинации сигналов, при этом комбинация сигналов содержит
множество точек комбинации, в котором две точки комбинации, задающие минимальное разнесение друг от друга, разнесены на расстояние D на основе максимизированной минимальной разности между распределениями условных вероятностей; и,
по меньшей мере, одно из устройств – передающее устройство или приемное устройство,
при этом передающее устройство содержит блок преобразования, цепь пилот-сигнала и модулятор, причем передающее устройство принимает входной сигнал, осуществляет доступ к носителю данных, преобразует входной сигнал в множество символов данных таким образом, чтобы каждый из указанных символов данных соответствовал, по меньшей мере, одной из точек сохраненной на носителе комбинации сигналов, добавляет символы пилот-сигнала в символы данных и модулирует набор символов данных в соответствии с методом передачи данных с несколькими несущими, и
при этом приемное устройство содержит блок оценки канала, демодулятор и блок обратного преобразования, причем приемное устройство оценивает характеристики радиоканала с помощью символов пилот-сигнала принятого набора символов, демодулирует, по меньшей мере, часть принятого набора символов в соответствии с методом передачи данных с несколькими несущими, осуществляет доступ к носителю данных и осуществляет обратное преобразование демодулированных символов во множество сигналов данных, каждый из которых по отдельности или в сочетании соответствует точке комбинации.
2. Блок связи по п.1, в которой метод передачи данных с несколькими несущими представляет собой один из методов мультиплексирования с ортогональным частотным разделением каналов (OFDM) или множественный доступ с кодовым разделением каналов с несколькими несущими (MC-CDMA).
3. Блок связи по п.1, в котором расстояние D – это максимизированная минимальная разность, заданная как

при этом i и j – это целочисленные индексы, С – комбинация сигналов, сi и cj – точки комбинации, М – общее число точек комбинации, a Pav – одно из: мощность комбинации, отношение мощности сигнала к мощности шума, отношение битовой энергии к спектральной плотности мощности шума или отношение символьной энергии к спектральной плотности мощности шума.
4. Блок связи по п.1, в котором каждая из множества точек комбинации находится в пределах одного из, по меньшей мере, двух подмножеств точек и при этом каждое из, по меньшей мере, двух подмножеств точек формирует концентрическую окружность при нанесении на диаграмму.
5. Блок связи по п.4, в котором, по меньшей мере, два подмножества точек являются соседними по отношению друг к другу и при этом одно из, по меньшей мере, двух подмножеств точек повернуто относительно другого из, по меньшей мере, двух подмножеств точек так, что первая линия, заданная началом координат диаграммы и точкой одного из, по меньшей мере, двух подмножеств, не проходит также через точку другого из, по меньшей мере, двух подмножеств.
6. Блок связи по п.5, в котором угол между первой линией и второй линией, заданной началом координат и точкой в другом из, по меньшей мере, двух подмножеств, задает угол, который дает максимизированное минимальное угловое расстояние между точкой в одном из, по меньшей мере, двух подмножеств и ближайшей точкой в другом из, по меньшей мере, двух подмножеств.
7. Блок связи по п.1, в котором каждая из множества точек комбинации, за исключением точки начала координат, находится в пределах одного из, по меньшей мере, двух подмножеств точек, и при этом каждое из, по меньшей мере, двух подмножеств точек формирует концентрическую окружность при нанесении на диаграмму, и, кроме того, точка начала координат находится в центре концентрических окружностей.
8. Блок связи по п.7, в котором, по меньшей мере, два подмножества точек являются соседними по отношению друг к другу, и при этом одно из, по меньшей мере, двух подмножеств точек повернуто относительно другого из, по меньшей мере, двух подмножеств точек так, что первая линия, заданная точкой начала координат и точкой одного из, по меньшей мере, двух подмножеств, не проходит также через точку другого из, по меньшей мере, двух подмножеств.
9. Блок связи по п.8, в котором угол между первой линией и второй линией, заданной точкой начала координат и точкой в другом из, по меньшей мере, двух подмножеств, задает угол, который дает максимизированное минимальное угловое расстояние между точкой в одном из, по меньшей мере, двух подмножеств и ближайшей точкой в другом из, по меньшей мере, двух подмножеств.
10. Блок связи по п.1, в котором символы пилот-сигнала равноотстоят в частной области.
11. Блок связи по п.1, в котором приемное устройство использует Np символов пилот-сигнала в интервале когерентности, чтобы оценить Nt отводов многолучевого канала из общего числа L отводов, при этом число Nt выбрано таким образом, чтобы минимизировать дисперсию оценки с элементом разрешения по частоте, заданным посредством схемы модуляции с несколькими несущими.
12. Блок связи по п.11, в котором Np
13. Блок связи для обмена данными по беспроводной системе с несколькими несущими, содержащий
носитель данных для сохранения первой комбинации сигналов и второй комбинации сигналов;
при этом первая комбинация сигналов содержит множество точек первой комбинации, из которых две ближайшие точки первой комбинации задают минимальное расстояние D разнесения друг от друга, которое основано на максимизированной минимальной разности между распределениями условных вероятностей, и при этом первая комбинация сигналов используется для обмена данными по беспроводной системе с несколькими несущими, когда одно из отношений: отношение мощности сигнала к мощности шума, отношение битовой энергии к спектральной плотности мощности шума или отношение символьной энергии к спектральной плотности мощности шума превышает пороговое значение;
при этом вторая комбинация сигналов содержит множество точек второй комбинации, из которых две ближайшие точки второй комбинации задают минимальное расстояние D разнесения друг от друга, которое основано на максимизированной минимальной разности между распределениями условных вероятностей, и при этом вторая комбинация сигналов используется для обмена данными по беспроводной системе с несколькими несущими, когда одно из отношений: отношение мощности сигнала к мощности шума, отношение битовой энергии к спектральной плотности мощности шума или отношение символьной энергии к спектральной плотности мощности шума находится ниже порогового значения; и,
по меньшей мере, один из элементов:
передающее устройство, содержащее блок преобразования, цепь пилот-сигнала и модулятор, причем передающее устройство принимает входной сигнал, осуществляет доступ к носителю данных, преобразует входной сигнал в множество символов данных таким образом, чтобы каждый из указанных символов данных соответствовал, по меньшей мере, одной из точек сохраненных на носителе первой или второй комбинаций
сигналов, добавляет символы пилот-сигнала в символы данных и модулирует набор символов данных в соответствии с методом модуляции и данных с несколькими несущими, или
приемное устройство, содержащее блок оценки канала, демодулятор и блок обратного преобразования, причем приемное устройство оценивает характеристики радиоканала с помощью символов пилот-сигнала принятого набора символов, демодулирует, по меньшей мере, часть принятого набора символов в соответствии с методом модуляции данных с несколькими несущими, осуществляет доступ к носителю данных и осуществляет обратное преобразование демодулированных символов во множество сигналов данных, каждый из которых по отдельности или в сочетании соответствует точке комбинации одной из первой или второй комбинации сигналов.
14. Мобильный терминал для обмена данными по радиоканалу с быстрыми замираниями с несколькими несущими, содержащий
приемное устройство, содержащее блок оценки канала, демодулятор и блок обратного преобразования, причем приемное устройство демодулирует сигнал, принятый из радиоканала с несколькими несущими, оценивает характеристики радиоканала с помощью символов пилот-сигналов принятого набора символов;
комбинацию сигналов, реализованную на носителе данных вычислительной машины, при этом комбинация сигналов содержит множество точек, выражающих минимальное разнесение D, заданное как

при этом i и j – это целочисленные индексы, С – комбинация сигналов, сi и cj – точки комбинации, М – общее число точек комбинации, a Pav – одно из: мощность комбинации, отношение мощности сигнала к мощности шума, отношение битовой энергии к спектральной плотности мощности шума или отношение символьной энергии к спектральной плотности мощности шума;
и,
кроме того, приемное устройство дополнительно осуществляет доступ к носителю данных вычислительной машины и осуществляет обратное преобразование демодулированных символов во множество сигналов данных, каждый из которых по отдельности или в сочетании соответствует точке комбинации.
15. Мобильный терминал по п.14, дополнительно содержащий модулятор для модуляции сигнала, который должен быть передан по радиоканалу с несколькими несущими;
блок вставки пилот-сигнала для добавления пилотсигналов к сигналу, который должен быть передан; и
машинный код, реализованный на носителе данных вычислительной машины для сопоставления сигнала, который должен быть передан, с комбинацией сигналов.
16. Мобильный терминал по п.14, в котором радиоканал с несколькими несущими задан посредством одного из методов:
мультиплексирования с ортогональным частотным разделением каналов (OFDM) или множественного доступа с кодовым разделением каналов с несколькими несущими (MC-CDMA).
17. Способ передачи сигнала по системе с несколькими несущими, заключающийся в том, что
преобразуют сигнал, который должен быть передан, в комбинацию сигналов, при этом комбинация сигналов задает множество точек комбинации, в котором минимальное расстояние D разнесения между двумя точками комбинации основано на максимизированной минимальной разности между распределениями условных вероятностей;
добавляют символы пилот-сигнала в сигнал, который должен быть передан, для помощи в оценке канала и
модулируют сигнал, который должен быть передан, в соответствии с методом модуляции с несколькими несущими.
РИСУНКИ
MM4A – Досрочное прекращение действия патента СССР или патента Российской Федерации на изобретение из-за неуплаты в установленный срок пошлины за поддержание патента в силе
Дата прекращения действия патента: 23.06.2009
Извещение опубликовано: 27.07.2010 БИ: 21/2010
;> |
|