|
(21), (22) Заявка: 2005108942/28, 28.03.2005
(24) Дата начала отсчета срока действия патента:
28.03.2005
(43) Дата публикации заявки: 10.09.2006
(46) Опубликовано: 10.01.2008
(56) Список документов, цитированных в отчете о поиске:
SU 181331 A1, 15.06.1966. Борьба с шумом и звуковой вибрацией, материалы семинаров, М., Московский дом научно-технической пропаганды имени Ф.Э. Дзержинского, 1974, СС.88-942. RU 2133332 C1, 20.07.1999. JP 2001263370 A, 26.09.2001.
Адрес для переписки:
625000, г.Тюмень, ул. Володарского, 38, ТюмГНГУ, патентно-информационный отдел
|
(72) Автор(ы):
Савиных Юрий Александрович (RU), Дунаев Сергей Александрович (RU)
(73) Патентообладатель(и):
Государственное образовательное учреждение высшего профессионального образования “Тюменский государственный нефтегазовый университет” (RU)
|
(54) СПОСОБ СНИЖЕНИЯ ВИБРАЦИЙ НАСОСНО-КОМПРЕССОРНЫХ ТРУБ
(57) Реферат:
Изобретение относится к нефтяной промышленности, в частности к области снижения вибраций насосно-компрессорных труб, оборудованных центробежными погружными электронасосами. Техническим результатом изобретения является снижение уровня корпусной вибрации насосно-компрессорных труб в низкочастотном спектре. Способ снижения вибраций насосно-компрессорных труб, создаваемых зашумленным потоком жидкости над погружным центробежным электронасосом, заключается в размещении в переходнике одного или набора четвертьволновых резонаторов и установке его в насосно-компрессорные трубы над погружным центробежным электронасосом. 2 ил.
Изобретение относится к нефтяной промышленности, в частности к области снижения вибраций насосно-компрессорных труб, оборудованных погружными центробежными электронасосами.
Известны способы снижения вибраций путем вибропоглощения. Основной эффект вибропоглощения заключается в повышении коэффициента потерь исходной конструкции при нанесении вибропоглощающего покрытия /1. Борьба с шумом на производстве: Справочник / Е.Я.Юдин, Л.А.Борисов, И.В.Горенштейн и др. – М.: Машиностроение, 1985. – С.263/. Недостаток данного способа заключается в том, что для снижения вибрации насосно-компрессорных труб, размещенных в скважине на глубине 1500-1700 м, невозможно нанести вибропоглощающее покрытие и звуковые волны низких частот практически не поглощаются.
Известен способ снижения шума в воздуховодах, по которым транспортируются зашумленные потоки, глушителями шума /Е.Я.Юдин, Л.А.Борисов, И.В.Горенштейн и др. – М.: Машиностроение, 1985. – С.283/. Недостаток данного способа заключается в том, что снижение уровня шума осуществляется для уменьшения передачи шума в воздуховодах.
Наиболее близким по технической сущности является способ затухания звука путем поглощения его в волноводе, облицованном звукопоглощающим материалом, за счет трансформации нормальных волн низкой частоты в резонаторных отростках волновода в нормальные волны высоких порядков /SU 181331 А1, опубл. 1966/. Недостатком является то, что затухание нормальных волн в волноводе, облицованном звукопоглощающим материалом, резко замедляется при уменьшении их номера.
Задачей изобретения является обеспечение эффективности работы погружных центробежных насосов, подвешенных в скважине на насосно-компрессорных трубах.
Технический результат заключается в снижении вибрации насосно-компрессорных труб и достигается тем, что в способе снижения уровня шума потока жидкости в насосно-компрессорных трубах, спускаемых в скважину с погружным центробежным электронасосом и акустическим преобразователем, путем поглощения звука от погружного центробежного электронасоса за счет трансформации нормальных волн низких номеров в нормальные волны высоких номеров акустическим преобразователем, снижая тем самым уровень корпусной вибрации в низкочастотном спектре насосно-компрессорных труб, акустический преобразователь устанавливают внутри насосно-компрессорных труб над погружным центробежным электронасосом.
Сопоставительный анализ с прототипом показывает, что в заявленном способе для снижения вибрации насосно-компрессорных труб используют метод трансформации слабозатухающих нормальных волн низких номеров в нормальные волны высоких номеров (в ультразвук) путем размещения в насосно-компрессорных трубах акустических преобразователей шума.
Таким образом, заявляемое изобретение соответствует критерию «новизна».
Сравнение заявляемого решения с другими техническими решениями показывает, что снижение зашумленности потока за счет акустических преобразователей шума известно /1. Борьба с шумом на производстве: Справочник / Е.Я.Юдин, Л.А.Борисов, И.В.Горенштейн и др. – М.: Машиностроение, 1985/.
Однако неизвестно, что уменьшение вибрации насосно-компрессорных труб осуществляется через снижение уровня зашумленного потока (который возбуждает вибрацию с последующим суммированием с корпусной вибрацией от насоса) путем трансформации нормальных волн низких номеров в нормальные волны высоких номеров акустическим преобразователем шума.
Таким образом, заявляемое изобретение соответствует критерию «изобретательский уровень».
Основные положения физической сущности способа снижения вибрации насосно-компрессорных труб.
Основные моменты.
1. Наличие нормальных волн низких номеров в зашумленном потоке жидкости, генерируемых центробежным погружным электронасосом.
2. Преобразование нормальных волн низких номеров в нормальные волны высоких номеров (в ультразвук) в зашумленном потоке жидкости осуществляется акустическим преобразователем, например четвертьволновым резонатором [2].
3. Вибрация стенок насосно-компрессорных труб, вызванная суммированием вибраций – от насоса и от зашумленного потока, уменьшается ввиду отсутствия нормальных волн низких номеров в зашумленном потоке.
А. Известно, что в стенках трубопроводов за насосом, как следствие пульсации давлений в транспортируемой жидкости, возбуждается вибрация, которая суммируется с вибрацией, обусловленной колебаниями корпуса насоса. Приближенно вибрации, вызванные пульсацией давления в жидкости, можно оценить, основываясь на предположении о тесной взаимосвязи параметров звука в жидкости ( 1, c1) и колебаний стенок трубы ( 2, с2).
Взаимосвязь между переменным давлением в жидкости и колебательной скоростью стенки трубы описывается следующим выражением [3]

где h – толщина стенки; r – внутренний радиус трубы.
После подстановки в уравнение характеристик флюида и стали, разницу между уровнем звука во флюиде (жидкая фаза) Lж и уровнем звуковой вибрации трубы Lт, получаем формулу

где f – частота.
В. Акустический преобразователь шума – четвертьволновый резонатор.
В практике борьбы с шумом в промышленности применяют четвертьволновые резонаторы. В конструктивном отношении – это труба (длиной l), замкнутая с одного конца акустически жестко, а с другого конца – акустически мягко.
Если труба с одного конца (х-l) открыта, а с другого конца (х-l) замкнута акустически жестко, то [4]

и условие для второго конца (х-l) дает


Собственные частоты определяются выражением

где – частота, – длина волны, с – скорость звука в среде, n – целое число.
Эти резонаторы имеют несколько резонансных частот.
Пример расчета.
Известно, что работа погружного электроцентробежного насоса сопровождается колебаниями в звуковом диапазоне частот 1-8000 Гц [3].
Задаемся скоростью звука в газожидкостной смеси с=1500 м/с (резонатор находится в жидкой среде) и длиной резонатора l=0,1 м. Тогда согласно формуле (4) получаем собственную частоту 0=3750 Гц, первую гармонику 1=11250 Гц, вторую гармонику 2=18750 Гц (а это уже ультразвук) и так далее.
Набираем набор четвертьволновых резонаторов и размещаем их в насосно-компрессорных трубах над центробежным погружным электронасосом.
1. Трубы, по которым распространяется звук, с акустической точки зрения, являются волноводами. Как известно, звуковое поле в любом волноводе представляет собой суперпозицию однородных нормальных волн разных типов (номеров). Неоднородные нормальные волны экспоненциально затухают по мере распространения в волноводе, поэтому при достаточном удалении от источника они дают незначительный вклад в полное звуковое поле. Однородные нормальные волны распространяются в волноводе не затухая. Наиболее простой из них является нулевая нормальная волна. Эта волна аналогична плоской волне в свободном пространстве, скорости частиц в ней параллельны направлению распространения, т.е. стенкам волновода.
Одним из распространенных способов уменьшить передачу звука по волноводу является создание поглощения звука на его стенках, которые покрывают звукопоглощающим материалом. Однако все звукопоглощающие материалы эффективны при малых углах падения звуковой волны, поглощение звука при увеличении угла падания быстро уменьшается. По этой причине затухание нормальных волн в волноводе, облицованном звукопоглощающим материалом, резко замедляется при уменьшении их номера. При достаточно большой длине облицованного участка в волноводе остается только нормальная волна самого низкого номера. По затуханию именно этой нормальной волны и оценивается эффективность звукопоглощающего материала на стенках волновода.
Поэтому предлагается способ увеличения затухания звука в волноводе трансформацией слабо затухающих нормальных волн низких номеров в нормальные волны высоких номеров, хорошо поглощаемые в буровом растворе. Нормальные волны трансформируются при помощи резонаторов, акустически присоединяемых к волноводу. Тип резонатора и способ их акустического присоединения к волноводу не имеет принципиального значения. При распространении в волноводе звуковых волн, имеющих частоту, равную собственной частоте резонаторов или близкую к ней, происходит интенсивное рассеяние звука на резонаторах. В результате этого происходит трансформация нормальных волн низких номеров в нормальные волны высоких номеров. Если в волноводе одновременно распространяются звуковые волны с различными частотами, то для увеличения затухания звука к этому волноводу нужно присоединить набор резонаторов с соответствующими собственными частотами.
2. Если в волноводе распространяется нормальная волна номера q с частотой , то для волновода с жесткими стенками эта волна имеет вид [5]

где 
с – скорость звука в жидкости.
Множитель ехр(- i t) здесь и далее опускается. Под действием волны (7) резонатор возбуждается и создает поле Р(х, z). Полное поле в волноводе получается сложением полей Р0 и Р.
Для определения поля Р используется следующий прием. Если размеры резонатора малы по сравнению с длиной волны, то этот резонатор рассматривается как колебательная система с одной степенью свободы. Сосредоточенные параметры системы определяются размерами горла и объемом жидкостной полости резонатора. Обозначают через V0 объемную скорость, создаваемую резонатором при воздействии на него падающего поля P0. Выражают рассеянное поле в волноводе через величину V0. Поле, создаваемое резонатором, равно:

где k= /с; =плотность жидкости;

Здесь и далее верхний знак выбирается при х>0, а нижний – при х<0.
Величину V0 и, следовательно, поле Р (х, z) можно найти используя уравнение вынужденных колебаний резонатора под действием поля Р0 (х, z).
Это уравнение имеет вид:

где М – эффективная масса (масса жидкости в горле резонатора плюс присоединенная масса);
а – ширина горла;
– гибкость;
r0 – сопротивление трения;
r – сопротивление излучения.
Величина r определяется по формуле:

где N – число нормальных волн, распространяющихся в волноводе (кроме нулевой волны).
Решение уравнения (9) можно представить в форме:

где

Следовательно, объемная скорость V0 записывается в виде:

Если частота звука совпадает с собственной частотой резонатора

и сопротивление трения мало по сравнению с сопротивлением излучения (r0<

Пользуясь формулами (8) и (14), получим для рассеянного поля:

где амплитуды Аn нормальных волн вычисляются по формуле:

Из этих формул следует, что амплитуды рассеянных вперед и назад нормальных волн одинаковы. Из формулы (16) видно, что возбуждение нормальных волн в волноводе не зависит от номера q падающей волны. Это объясняется тем, что резонатор реагирует лишь на давление, а давление, создаваемое падающей волной на жесткой стенке волновода, зависит только от амплитуды этой волны. Поскольку амплитуды An обратно пропорциональны величине n, то степень возбуждения нормальной волны возрастает при увеличении ее номера. Наибольшую амплитуду имеет волна, критическая частота которой ближе к частоте звука. В предельном случае совпадения критической частоты для нормальной волны l с частотой звука получим:
Al=-A. An(n=l)=0
При kh-l , где l – любое целое число, возбуждается только нормальная волна номера l, другие волны не возбуждаются.
Таким образом, в волноводе при рассеянии звука на резонаторе нормальные волны низких номеров трансформируются в нормальные волны высоких номеров, которые хорошо поглощаются жидкостью (газожидкостной смесью).
Следовательно, дополнительная вибрация, которая возникает от спектра шумового потока жидкости, уменьшается.
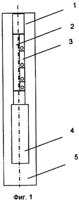
На фиг.1 изображена технологическая схема размещения четвертьволновых резонаторов. На фиг.2 представлены амплитудно-частотные спектры колебаний насосно-компрессорной трубы до и после снижения вибрации.
На фиг.1 изображено: 1 – насосно-компрессорная труба, 2 – преобразовательная насосно-компрессорная труба (переходник), 3 – четвертьволновый резонатор, 4 – погружной центробежный электронасос, 5 – скважина.
На фиг.2 показано: 6 – огибающая амплитудно-частотного спектра вибрации насосно-компрессорных труб до применения четвертьволновых резонаторов, 7 – огибающая амплитудно-частотного спектра вибрации насосно-компрессорных труб со встроенными четвертьволновыми резонаторами.
Пример осуществления способа.
Первая операция. Размещают в переходнике 2 (фиг.1) один или набор четвертьволновых резонаторов 3 (в зависимости от технологических параметров скважины и условий ее эксплуатации).
Вторая операция. Устанавливают переходник 2 в насосно-компрессорные трубы 1 над погружным центробежным электронасосом 4.
Третья операция. Опускают в скважину 5 согласно технологии спуска погружной центробежный электронасос 4.
Четвертая операция. Включают погружной центробежный электронасос 4.
Пятая операция. Создают зашумление потока пульсациями давления в жидкости (газожидкостной смеси) над погружным центробежным электронасосом 4 (гидродинамические силы от неоднородности потока на выходе из рабочего колеса насоса являются одним из наиболее характерных и интенсивных источников гидродинамических колебаний в насосах).
Шестая операция. Преобразуют низкочастотные шумы в зашумленном потоке жидкости погружного центробежного электронасоса 4 в ультразвук.
Седьмая операция. Осуществляют поглощение ультразвука в зашумленном потоке жидкости.
Восьмая операция. Снижают уровень корпусной вибрации насосно-компрессорных труб 6 (фиг.2) до уровня 7 (фиг.2) в низкочастотном спектре насосно-компрессорных труб.
Предлагаемый способ прошел стендовые и промысловые испытания на скважине, эксплуатируемой насосом фирмы “Centrilift” GC 3000 с глубиной спуска 1464 м, дебитом жидкости 330 м3/сут, обводненностью 94%.
Пред спуском в скважину набора четвертьволновых резонаторов проведены замеры уровня шума шумометром ВШВ 003. Далее на геофизическом кабеле через лубрикатор произвели спуск набора четвертьволновых резонаторов лебедкой на глубину 1430 м.
Источники информации
1. Борьба с шумом на производстве. Справочник / Е.Я.Юдин, Л.А.Борисов, И.В.Горенштейн и др. – М.: Машиностроение, 1985 (прототип).
2. Патент 2109134 РФ, МПК 6 Е21В 43/25, опубл. 1998.
3. Справочник по технической акустике. Пер.с нем. / Под ред. М. Хекла и Х.А.Мюллера. – Л.: Судостроение, 1980. – С.218-219.
4. Скучик Е. Основы акустики. T.1. – М.: ИЛ, 1958. – С.169.
5. Лапин А.Д. Применение резонаторов для уменьшения передачи звука в трубах. Борьба с шумами и вибрациями. – М.: Изд-во «Литература по строительству», 1996. – С.304-309.
Формула изобретения
Способ снижения вибраций насосно-компрессорных труб, создаваемых зашумленным потоком жидкости над погружным центробежным электронасосом, заключающийся в размещении в переходнике одного или набора четвертьволновых резонаторов и установке его в насосно-компрессорные трубы над погружным центробежным электронасосом.
РИСУНКИ
),>
|