|
(21), (22) Заявка: 2006114187/09, 25.04.2006
(24) Дата начала отсчета срока действия патента:
25.04.2006
(46) Опубликовано: 10.01.2008
(56) Список документов, цитированных в отчете о поиске:
КАШКИН В.Б., СУХИНИН А.И. Дистанционное зондирование Земли из космоса. Цифровая обработка изображений. Москва, Логос, 2001, с.175-177. RU 2267232 С1, 27.12.2005. US 2005047663 A1, 03.03.2005. US 2004109608 A1, 10.06.2004. SU 1709357 A1, 30.01.1992.
Адрес для переписки:
664009, г.Иркутск, ул. 1-я Советская, 176, Иркутское высшее военное авиационное инженерное училище (военный институт), НИО
|
(72) Автор(ы):
Миронов Борис Михайлович (RU)
(73) Патентообладатель(и):
Иркутское высшее военное авиационное инженерное училище (военный институт) (RU)
|
(54) СПОСОБ КЛАССИФИКАЦИИ ПОДСТИЛАЮЩЕЙ ПОВЕРХНОСТИ ПО МНОГОКАНАЛЬНОМУ ИЗОБРАЖЕНИЮ
(57) Реферат:
Изобретение относится к способам цифровой обработки изображений и может использоваться для классификации подстилающей поверхности (ПП) в многоканальных системах дистанционного зондирования. Технический результат заключается в повышении точности классификации ПП по многоканальному изображению. Способ заключается в том, что формируют изображение ПП в q спектральных каналах различными локационными датчиками, производят геометрическую коррекцию и представление компонентных изображений в единой системе пространственных координат, преобразуют плотность вероятности значений яркости к гауссовскому виду тех компонентных изображений, у которых она отличается от гауссовской, определяют номер класса ПП каждого элемента многоканального изображения, а при формировании компонентных изображений ПП для каждого элемента компонентного изображения определяют апостериорные вероятности принадлежности данного элемента компонентного изображения к k-му классу ПП (k=1, 2, …, К), для каждого элемента многоканального изображения определяют апостериорные вероятности принадлежности данного элемента многоканального изображения к k-му классу ПП путем сложения соответствующих апостериорных вероятностей компонентных изображений и их нормировки к количеству каналов q, определяют номер класса ПП каждого элемента многоканального изображения по максимальному значению апостериорной вероятности принадлежности данного элемента многоканального изображения к k-му классу ПП. 1 ил.
Изобретение относится к способам цифровой обработки изображений и может использоваться для классификации подстилающей поверхности в многоканальных системах дистанционного зондирования.
Известны способы классификации подстилающей поверхности по многоканальному изображению (полученному с использованием различных локационных датчиков – радиолокационных, оптоэлектронных), к которым относятся способ параллелепипедов, способ максимального правдоподобия (см., например, Кашкин В.Б., Сухинин А.И. Дистанционное зондирование Земли из космоса. Цифровая обработка изображений. – М.: Логос, 2001, – с.175-180).
Из известных способов классификации подстилающей поверхности по многоканальному изображению наиболее близким по технической сущности является способ максимального правдоподобия (см., например, Кашкин В.Б., Сухинин А.И. Дистанционное зондирование Земли из космоса. Цифровая обработка изображений. – М.: Логос, 2001, – с.175-177) (прототип).
Формируют изображение подстилающей поверхности в q спектральных каналах различными локационными датчиками (радиолокационными, оптоэлектронными). Сформированное изображение представляет собой совокупность пикселов, причем яркость (i,j)-го пиксела описывается вектором fijij определяют значение условной плотности вероятности p(fij/k) для каждого класса k (k=1, 2, …, K), определяемой гауссовским законом распределения
,
где k – вектор математического ожидания;
Rk – корреляционная матрица;
– определитель корреляционной матрицы;
Rk -1 – обратная к Rk матрица;
(fij– k)T – транспонированный вектор (fij– k).
Вектор математического ожидания k для каждого класса и корреляционную матрицу Rk определяют по ранее полученному изображению, на котором по наземным данным определены участки, отвечающие различным классам (например, водоемы, сельхозпосевы и т.п.). Полученные для каждого пиксела К значений условных плотностей вероятностей сравниваются с некоторым порогом Qks, определяемым функцией риска (ценой) принятия определенного решения и априорными вероятностями каждого класса. На основе сравнения принимают решение о принадлежности пиксела к определенному классу. Например, при выполнении неравенства для классов k и s

более правдоподобным является принадлежность пиксела к k-му классу. Признаками аналога, совпадающими с существенными признаками заявляемого изобретения, являются:
1) Формируют изображение подстилающей поверхности в q спектральных каналах различными локационными датчиками;
2) Производят геометрическую коррекцию и представление компонентных изображений в единой системе пространственных координат;
3) Преобразуют плотность вероятности значений яркости к гауссовскому виду тех компонентных изображений, у которых она отличается от гауссовской.
Недостатком данного способа классификации подстилающей поверхности по многоканальному изображению является его невысокая точность, так как он не учитывает статистические связи между соседними элементами на компонентных изображениях.
Задачей, на решение которой направлено данное изобретение, является повышение точности классификации подстилающей поверхности по многоканальному изображению.
Это достигается тем, что каждую строку компонентного изображения представляют дискретной последовательностью цифровых кодов яркости его элементов, значение каждого из которых определяется отражательной способностью (интенсивностью теплового излучения для теплового ИК-диапазона – с длиной волны более 4 мкм) участка местности подстилающей поверхности в спектральном диапазоне соответствующего локационного датчика. Поскольку переход от участка местности с одной отражательной способностью к участку местности с другой отражательной способностью происходит в случайные моменты времени, то каждый локационный датчик рассматривают как систему со случайной структурой [1]. Присваивают каждому из возможных значений отражательной способности подстилающей поверхности свой номер, который соответствует номеру класса подстилающей поверхности. На основе обработки каждого компонентного изображения определяют апостериорные вероятности принадлежности каждого элемента компонентного изображения к k-му классу подстилающей поверхности. При этом уравнение, описывающее процесс формирования значений яркости элементов строки компонентного изображения, представляют в виде
,
где fn+1 – значение яркости (n+1)-го элемента компонентного изображения;
n – номер элемента компонентного изображения по строке;
а(k)=ехр(- (k) ) – коэффициенты, учитывающие корреляционную связь между соседними элементами компонентного изображения k-го класса, 1/ (k) – интервал корреляции для k-го класса подстилающей поверхности компонентного изображения, – шаг дискретизации;
fn – значение яркости n-го элемента компонентного изображения;
n (k) – независимые гауссовские случайные величины.
Процесс смены номеров классов подстилающей поверхности при переходе от одного элемента к другому компонентного изображения описывают дискретной последовательностью { n, n=0,1,2,…}, состояния которой являются номерами классов подстилающей поверхности k=1,2,…,К.
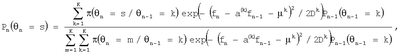
Апостериорные вероятности принадлежности n-го элемента компонентного изображения к s-му классу подстилающей поверхности Pn( n=s) определяют на основе следующего выражения [2, 3]:
где Pn( n=s) – апостериорная вероятность принадлежности n-го элемента изображения к s-му классу подстилающей поверхности;
( n=s/ n-1=k) – вероятность перехода от класса k к классу s, определяемая свойствами подстилающей поверхности:
fn – значение яркости n-го элемента компонентного изображения;
а(k) – коэффициенты, учитывающие корреляционную связь между соседними элементами компонентного изображения k-го класса;
k – математическое ожидание яркости для класса k подстилающей поверхности компонентного изображения;
Dk – дисперсия яркости элементов компонентного изображения для класса k;
Pn-1( n-1=k) – апостериорная вероятность принадлежности (n-1)-го элемента изображения к k-му классу подстилающей поверхности;
К – количество классов подстилающей поверхности.
Затем определяют апостериорные вероятности принадлежности n-го элемента многоканального изображения к k-му классу подстилающей поверхности Pq n( n=k) путем сложения соответствующих апостериорных вероятностей компонентных изображений и их нормировки к количеству каналов q.
Решение о принадлежности n-го элемента многоканального изображения к k-му классу подстилающей поверхности принимают по критерию максимума апостериорной вероятности
,
где ^ n – оценка номера класса подстилающей поверхности n-го элемента многоканального изображения;
Рq n( n=k) – апостериорные вероятности принадлежности n-го элемента многоканального изображения к k-му классу подстилающей поверхности (k=1,2,…,K).
Таким образом, способ классификации подстилающей поверхности по многоканальному изображению включает следующие операции:
1) формируют изображение подстилающей поверхности в q спектральных каналах различными локационными датчиками;
2) производят геометрическую коррекцию и представление компонентных изображений в единой системе пространственных координат:
3) преобразуют плотность вероятности значений яркости к гауссовскому виду тех компонентных изображений, у которых она отличается от гауссовской;
4) вычисляют апостериорные вероятности принадлежности элемента компонентного изображения к k-му классу подстилающей поверхности (k=1,2,…,К);
5) вычисляют апостериорные вероятности принадлежности элемента многоканального изображения к k-му классу подстилающей поверхности (k=1,2,…,К);
6) определяют номер класса подстилающей поверхности элемента многоканального изображения по максимальному значению апостериорной вероятности.
Применение данного способа классификации подстилающей поверхности по многоканальному изображению позволяет повысить точность классификации подстилающей поверхности, так как он учитывает статистические связи между соседними элементами на компонентных изображениях: посредством коэффициентов а(k) и вероятностей переходов ( n=m/ n-1=k).
На чертеже приведена структурная схема устройства, реализующего данный способ.
Устройство для реализации способа содержит блоки 1-1…1-q локационных датчиков по числу спектральных каналов, блоки 2-1…2-q геометрической коррекции и представления компонентных изображений в единой системе пространственных координат, блоки 3-1…3-q преобразования плотности вероятности значений яркости к гауссовскому виду, блоки 4-1…4-q вычисления апостериорной вероятности принадлежности элемента компонентного изображения к k-му классу (k=1,2,…,K) подстилающей поверхности, блоки 5-1…5-К вычисления апостериорной вероятности принадлежности элемента многоканального изображения к k-му классу (k=1,2,…,K) подстилающей поверхности, блок 6 определения номера класса подстилающей поверхности элемента многоканального изображения
Способ реализуется устройством следующим образом.
Блоки 1-1…1-q формируют компонентные изображения подстилающей поверхности в соответствующих спектральных каналах. С помощью блоков 2-1…2-q производят геометрическую коррекцию и представление компонентных изображений в единой системе пространственных координат. Блоки 3-1…3-q преобразуют плотность вероятности значений яркости к гауссовскому виду тех компонентных изображений, у которых она отличается от гауссовской. В блоках 4-1…4-q производят поэлементную обработку компонентных изображений, в них вычисляют апостериорные вероятности принадлежности каждого элемента компонентного изображения к k-му классу (k=1,2,…,K) подстилающей поверхности. В блоках 5-1…5-К вычисляют апостериорные вероятности принадлежности каждого элемента многоканального изображения к k-му классу (k=1,2,…,K) подстилающей поверхности путем сложения соответствующих апостериорных вероятностей компонентных изображений и их нормировки к количеству каналов q. В блоке 6 определяют номер класса подстилающей поверхности каждого элемента многоканального изображения по максимальному значению апостериорной вероятности принадлежности данного элемента многоканального изображения к k-му классу (k=1,2,…,K) подстилающей поверхности.
Литература
1. Казаков И.Е., Артемьев В.И. Оптимизация динамических систем случайной структуры. – М.: Наука, 1980. – 384 с.
Формула изобретения
Способ классификации подстилающей поверхности по многоканальному изображению, заключающийся в том, что формируют изображение подстилающей поверхности в q спектральных каналах различными локационными датчиками, производят геометрическую коррекцию и представление компонентных изображений в единой системе пространственных координат, преобразуют плотность вероятности значений яркости к гауссовскому виду тех компонентных изображений, у которых она отличается от гауссовской, определяют номер класса подстилающей поверхности каждого элемента многоканального изображения, отличающийся тем, что, с целью повышения точности способа, при формировании компонентных изображений подстилающей поверхности для каждого элемента компонентного изображения определяют апостериорные вероятности принадлежности данного элемента компонентного изображения к k-му классу подстилающей поверхности (k=1, 2, …, К), для каждого элемента многоканального изображения определяют апостериорные вероятности принадлежности данного элемента многоканального изображения к k-му классу подстилающей поверхности путем сложения соответствующих апостериорных вероятностей компонентных изображений и их нормировки к количеству каналов q, определяют номер класса подстилающей поверхности каждого элемента многоканального изображения по максимальному значению апостериорной вероятности принадлежности данного элемента многоканального изображения к k-му классу подстилающей поверхности.
РИСУНКИ
MM4A – Досрочное прекращение действия патента СССР или патента Российской Федерации на изобретение из-за неуплаты в установленный срок пошлины за поддержание патента в силе
Дата прекращения действия патента: 26.04.2008
Извещение опубликовано: 20.09.2009 БИ: 26/2009
|