|
(21), (22) Заявка: 2006123894/09, 05.07.2006
(24) Дата начала отсчета срока действия патента:
05.07.2006
(46) Опубликовано: 10.01.2008
(56) Список документов, цитированных в отчете о поиске:
JP 2004086305, 18.03.2004. RU 2002119664 A, 10.02.2004. RU 2017217 C1, 30.07.1994. JP 63127386, 31.05.1988. JP 6251194, 09.09.1994. US 5680171 A, 21.10.1997.
Адрес для переписки:
115280, Москва, ул. Мастеркова, 4, ЗАО “Штрих-М” Генеральному директору А.И. Журавлеву
|
(72) Автор(ы):
Краснобаев Антон Александрович (RU)
(73) Патентообладатель(и):
Закрытое акционерное общество “Штрих-М” (RU)
|
(54) СПОСОБ НАХОЖДЕНИЯ ШТРИХОВЫХ КОДОВ В КАДРЕ ВИДЕОИЗОБРАЖЕНИЯ
(57) Реферат:
Заявляемое изобретение относится к области автоматического считывания и распознавания линейных штриховых кодов при помощи системы, работающей с видеоизображением. Технический результат заключается в повышении скорости считывания штрихового кода, повышении устойчивости к помехам и не целостности изображения, увеличении надежности отделения штрихового кода от высококонтрастных объектов, например, таких как текст. В способе при обработке оцифрованного изображения проводят нахождение абсолютных значений компонент градиента изображения вдоль четырех направлений, повернутых друг относительно друга на угол 45 градусов, двухмерную низкочастотную фильтрацию, прореживание изображений, определяют поэлементные абсолютные разницы для двух пар взаимно перпендикулярных направлений компонент и сравнивают яркости точек, а также локализуют линейные штриховые коды по расположению единичных фигур в полученном изображении. 2 з.п. ф-лы, 1 табл., 5 ил.
Заявляемое изобретение относится к области автоматического считывания и распознавания линейных штриховых кодов при помощи системы, работающей с видеоизображением.
В последние несколько лет большое распространение получила технология штрихового кодирования. Это связано с надежностью, компактностью и дешевизной наносимого символа, с возможностью выбора оборудования для работы с ним. Штриховое кодирование широко применяется в розничной торговле, почтовых и грузовых перевозках, для идентификации электронных компонентов и медицинских препаратов.
Сканирование линейных штриховых символик обычно осуществляется либо сканерами с линейкой ПЗС (Прибор с Зарядовой Связью) в качестве чувствительного элемента, либо различными типами лазерных сканеров, либо сканерами, осуществляющими чтение символик на основе видеоизображения, полученного с ПЗС матриц.
Сканер, использующий линейку ПЗС в качестве чувствительного элемента, работает с яркостями изображения вдоль единственной прямой линии. Он не содержит механических частей, может использовать принудительную подсветку линии сканирования.
Из уровня техники известен способ нахождения штриховых кодов лазерным сканером (RU 2017217 С1, 30.07.1994), который включает сканирование элементов штрихового кода вдоль прямой или прямых линий за счет последовательного однонаправленного перемещения лазерного луча и направления считывания яркости. Лазерный луч является принудительной подсветкой точки сканирования в текущий момент времени и содержит механические части, осуществляющие отклонение луча лазера и направления считывания яркости.
Наиболее близким аналогом из известных является способ нахождения линейных штриховых кодов в кадре видеоизображения, включающий обработку оцифрованного изображения в получаемом кадре с помощью системы, работающей с видеоизображением (RU 2002119664 А, 10.02.2004).
К недостаткам данного способа можно отнести низкую скорость считывания информации, которая обусловлена тем, что обработка изображения начинается после окончания формирования изображения и дополнительной буферизации во внутренней памяти компьютера. Кроме этого, при захвате видеоизображения используется карта захвата и персональный компьютер, функционирующий в операционной системе Windows, что дополнительно усложняет способ.
Задачей заявляемого изобретения является создание быстрого и надежного способа нахождения штриховых кодов в кадре видеоизображения, который может применяться в сканерах работающих с видеоизображением.
Решение указанной задачи обеспечивает технический результат, заключающийся в повышении скорости считывания штрихового кода, повышении устойчивости к помехам и не целостности изображения, увеличении надежности отделения штрихового кода от высококонтрастных объектов, например, таких как текст.
Указанный технический результат достигается за счет того, что в способе, включающем обработку оцифрованного изображения в получаемом кадре, согласно предложенному изобретению при обработке оцифрованного изображения проводят нахождение абсолютных значений компонент градиента изображения вдоль четырех направлений, повернутых друг относительно друга на угол 45 градусов, с последующей двухмерной низкочастотной фильтрацией и прореживанием изображений абсолютных значений компонент градиента. Затем определяют поэлементные абсолютные разницы между полученными результатами для двух пар взаимно перпендикулярных направлений компонент и осуществляют сравнение яркостей точек двух полученных изображений с пороговым значением. После этого между полученными бинарными изображениями проводят поэлементную логическую операцию ИЛИ. Затем осуществляют локализацию линейных штриховых кодов по расположению единичных фигур в полученном изображении. Нахождение абсолютных значений компонент градиента изображения осуществляют с помощью локальных дифференцирующих фильтров. Все операции обработки оцифрованного изображения, начиная с операции нахождения абсолютных значений компонент градиента изображения и заканчивая операцией поэлементного логического ИЛИ, которые являются локальными операциями, выполняют на программируемой логической интегральной схеме (ПЛИС) с обеспечением обработки изображения в течение получения кадра.
Штриховой код, так же как и текст, имеет довольно резкое, многократно изменяющееся на небольших площадях, значение яркости. Но, в отличие от текста, это изменение имеет определенную пространственную монотонность вдоль штрихов. Таким образом, локально анализируя направления градиента яркости изображения, можно различать штриховые коды по схожей направленности градиентов на некоторой площади.
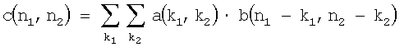
В представленном способе для нахождения абсолютных значений компонент градиента использовались простейшие локальные дифференцирующие фильтры. Осуществлялось дифференцирование исходного изображения приведенными в таблице дифференцирующими матрицами (см. табл.1)

a – дифференцирующая матрица;
b – исходное изображение;
k1, k2 – индексы, пробегающие по всем элементам дифференцирующей матрицы.

Линейный штриховой код имеет определенное направление штрихов, следовательно, в местах расположения штрихового кода направления градиентов будут одинаковы с некоторым допуском. Для уменьшения объемов вычислений, связанных с оценкой углов поворота градиента, решено было разбить всевозможные направления (360°) на 4 дискретных направления (см. фиг.1), отстоящих друг от друга на 45°. Этот факт объясняет необходимость использования дополнительно пары диагонально дифференцирующих матриц.
Каждая из пар дифференцирующих матриц 1 и 2, 3 и 4 является линейно независимой и ортогональной. Каждая пара находит максимальный отклик значений компонент градиента яркости в двух взаимно перпендикулярных направлениях. Таким образом, для части изображения, содержащего штриховой код, справедливо, что хотя бы для одной пары дифференцирующих матриц среднее на некоторой площади значение абсолютных компонент градиента в одном направлении будет значительно превышать среднее значение абсолютных компонент градиента в перпендикулярном ему направлении. Следовательно, для нахождения вероятных мест расположения штрихового кода достаточно объединить результаты абсолютных разностей средних значений компонент градиента для двух пар взаимно перпендикулярных направлений.
Нахождение средних на некоторой площади значений компонент градиента осуществляется двумерной низкочастотной фильтрацией. Для уменьшения избыточности информации и увеличения быстродействия системы, после операции низкочастотной фильтрации проводится операция прореживания.
Прореженные изображения компонент градиента для взаимно перпендикулярных направлений вычитаются с нахождением абсолютных значений. После этой операции, кроме областей, занимаемых штриховыми кодами, значительной яркостью обладают области, содержащие элементы, имеющие определенную пространственную направленность. Такими элементами могут являться, например, одиноко расположенные контрастные линии. Осреднение их отклика по площади имеет малые, по сравнению с результатами для штриховых кодов, значения, следовательно, от них можно избавиться, сравнивая каждое значение с некоторым пороговым значением. Применение операции сравнения с порогом даст единицы в местах предположительного расположения штрихового кода и нули во всех остальных.
Затем осуществляется логическая операция поэлементного ИЛИ между двумя результатами сравнения с порогом. Полученная бинарная картина характеризует расположение штриховых кодов в кадре изображения.
При локализации линейных штриховых кодов осуществляется анализ форм фигур на бинарном изображении с целью разделения и нумерации объектов, а также отбрасывания слишком малых из дальнейшего рассмотрения. Оставленные фигуры характеризуют расположение штриховых кодов в изображении.
Повышение скорости считывания штрихового кода достигается за счет выполнения обработки изображения на ПЛИС по мере получения данных кадра видеоизображения, что возможно из-за локальности всех проводимых операций.
Повышение устойчивости к помехам и не целостности изображения, а также увеличение надежности отделения штрихового кода от высококонтрастных объектов достигается за счет использования двухмерной низкочастотной фильтрации и прореживания, по сути осуществляющих осреднение информации полученной из локальной области изображения.
На ряде фиг.2, 3, 4 и 5 приведен пример работы способа, на вход которого было подано изображение (см. фиг.2), содержащее линейные штриховые коды, ориентированные под различными углами. На всех изображениях примера кружком обведено место расположения одного и того же штрихового кода. При обработке оцифрованного изображения были найдены абсолютные значения компонент градиента с помощью локальных дифференцирующих фильтров, проведена двухмерная фильтрация и прореживание.
На фиг.3 показаны четыре изображения, полученных после применения операций нахождения абсолютных значений компонент градиента, двумерной низкочастотной фильтрации и прореживания. Более яркие области соответствуют большему среднему абсолютному значению компонент градиента в этой области.
Затем была определена поэлементная абсолютная разница между полученными результатами для двух пар взаимно перпендикулярных направлений компонент. На фиг.4 показаны изображения, полученные после операции нахождения абсолютной поэлементной разницы между изображениями компонент градиента взаимно перпендикулярных направлений (изображение направления №1 вычитается из изображения направления №2, изображение направления №3 вычитается из изображения направления №4).
Далее было проведено сравнение яркости точек двух полученных изображений с пороговым значением и поэлементная логическая операция ИЛИ между полученными бинарными изображениями.
Области, занятые белым цветом, говорят о нахождении в этих местах штриховых кодов. Таким образом, по расположению единичных фигур были найдены штриховые коды в кадре видеоизображения.
В результате представленного заявляемого изобретения был создан быстрый и надежный способ нахождения линейных штриховых кодов в кадре видеоизображения, который может применяться в сканерах, осуществляющих декодирование на основе видеоизображения, и обеспечивать технический результат, заключающийся в повышении скорости считывания штрихового кода, повышении устойчивости к помехам и не целостности изображения, увеличении надежности отделения штрихового кода от высококонтрастных объектов, например, таких как текст.
Формула изобретения
1. Способ нахождения линейных штриховых кодов в кадре видеоизображения, включающий обработку оцифрованного изображения в получаемом кадре, отличающийся тем, что при обработке оцифрованного изображения проводят нахождение абсолютных значений компонент градиента изображения вдоль четырех направлений, повернутых друг относительно друга на угол 45°, с последующей двухмерной низкочастотной фильтрацией и прореживанием изображений абсолютных значений компонент градиента, затем определяют поэлементные абсолютные разницы между полученными результатами для двух пар взаимно перпендикулярных направлений компонент и осуществляют сравнение яркостей точек двух полученных изображений с пороговым значением, после чего между полученными бинарными изображениями проводят поэлементную логическую операцию ИЛИ, затем осуществляют локализацию линейных штриховых кодов по расположению единичных фигур в полученном изображении.
2. Способ по п.1, отличающийся тем, что нахождение абсолютных значений компонент градиента изображения осуществляют с помощью локальных дифференцирующих фильтров.
3. Способ по п.1, отличающийся тем, что все операции обработки оцифрованного изображения, начиная с операции нахождения абсолютных значений компонент градиента изображения и заканчивая операцией поэлементного логического ИЛИ, которые являются локальными операциями, выполняют на программируемой логической интегральной схеме с обеспечением обработки изображения в течение получения кадра.
РИСУНКИ
HE4A – Изменение адреса для переписки с обладателем патента Российской Федерации на изобретение
Новый адрес для переписки с патентообладателем:
109202, Москва, а/я 70, Е.А.Левицкой
Извещение опубликовано: 27.01.2008 БИ: 03/2008
|