|
(21), (22) Заявка: 2005129189/28, 19.09.2005
(24) Дата начала отсчета срока действия патента:
19.09.2005
(43) Дата публикации заявки: 27.03.2007
(46) Опубликовано: 10.01.2008
(56) Список документов, цитированных в отчете о поиске:
RU 2035718 C1, 20.05.1995. RU 99105885 A1, 20.01.2001. RU 99105766 A1, 20.01.2001. EP 0101364 A2, 22.02.1984.
Адрес для переписки:
644047, г.Омск, ул. Герцена, 48, ОАО “АК “Омскагрегат”
|
(72) Автор(ы):
Морев Сергей Александрович (RU), Шишкин Дмитрий Сергеевич (RU), Кузнецов Андрей Альбертович (RU), Одинец Александр Ильич (RU)
(73) Патентообладатель(и):
ОАО “АК “Омскагрегат” (RU)
|
(54) СПОСОБ ОПРЕДЕЛЕНИЯ СОДЕРЖАНИЯ МАССОВЫХ ДОЛЕЙ ЭЛЕМЕНТОВ В МАТЕРИАЛАХ И СПЛАВАХ
(57) Реферат:
Изобретение относится к эмиссионному спектральному анализу. Для определения содержания массовых долей элементов в материалах и сплавах производится возбуждение излучения образца в низкотемпературной плазме, регистрация эмиссионного спектра образца, измерение интенсивности аналитической линии элемента и линии сравнения, расчет содержания искомого элемента в пробе по физической модели, содержащей выражения для параметров, характеризующих устойчивое состояние низкотемпературной плазмы в стандартном образце по отношению к пробе и способность к излучению низкотемпературной плазмы относительно стандартного образца по каждому элементу. Технический результат – повышение точности и достоверности определения количественного содержания элементов в материалах и сплавах. 1 ил., 1 табл.
Изобретение относится к атомному эмиссионному спектральному анализу материалов и сплавов, а именно к определению содержания массовых долей элементов в материалах и сплавах.
В классическом атомном эмиссионном анализе известен ряд способов определения содержания массовых долей элементов в материалах и сплавах.
Так, например, известен способ определения массовых долей при эмиссионном спектральном анализе материалов и изделий, имеющий в своей основе эмпирическую формулу Ломакина-Шейбе – представление зависимости интенсивности I излучения низкотемпературной плазмы (НТП) от величины массовых долей элементов Ci в исследуемом материале [1].
По данному способу расчет параметров массовых долей элементов Ci производится по градуировочным графикам I=f(lgCi) в небольших интервалах изменения Ci, причем границы данных интервалов определяются экспериментально соответствующим подбором стандартных образцов-эталонов (СО).
Недостатком данного способа является необходимость иметь большое количество стандартных образцов, что приводит к дополнительным затратам времени на их анализ и создает определенные трудности в экспресс анализах.
Известны технические решения, в которых с помощью одного комплекта СО анализируют около 50 марок алюминиевых сплавов на многоканальных атомно-эмиссионных спектрометрах. Разработан метод построения эмпирических градуировочных характеристик на больших диапазонах изменения содержания таких, элементов как медь, цинк, магний [2].
В связи с тем, что такое построение с помощью одной аналитической линии для некоторых элементов невозможно из-за реабсорбции и самопоглощения, то задача решена с помощью двух аналитических линий определяемого элемента. Нелинейность учтена с помощью полиномиальных моделей градуировочных характеристик (ГХ), коэффициенты которых рассчитывались по методу наименьших квадратов.
Для повышения точности определения примесей в алюминиевых сплавах по единому комплекту государственных СО (ГСО) введено “инструментальное” взвешивание, сущность которого сводится к набору таких ГХ, по которым при определении состава пробы обеспечивается максимальная вероятность получения фактически наблюдаемых содержаний элементов. “Инструментальное” взвешивание позволяет сократить число используемых комплектов СО, градуировочных графиков, постоянно находящихся в памяти ЭВМ, или специальных таблиц.
Описанный выше способ оптического спектрального анализа основан на косвенных измерениях химического состава, причем за меру процентного содержания определяемого элемента в пробе сплава принимается относительная интенсивность спектральной линии этого элемента при существовании фундаментальной связи между ними.
Связь устанавливается по данным градуировки спектрометра с помощью комплекта ГСО известного состава.
Однако реализация данного способа требует:
большого объема работ, связанных с занесением в память ЭВМ градуировочных характеристик;
наличия комплекта из нескольких СО;
при проведении анализа возбуждения спектра не только пробы, но и комплекта ГСО, а также измерения интенсивности спектральных линий пробы и ГСО.
Наиболее близким решением, взятым в качестве прототипа, является способ определения содержания массовых долей элементов в материалах и сплавах, в котором количество СО уменьшено до одного [3].
Известный способ включает возбуждение излучения образца, измерение почернения основной линии элемента и линии сравнения, расчет содержания испытуемого элемента в образце, регистрацию эмиссионного спектра СО для определения параметра Мэ, характеризующего способность к излучению НТП пробы относительно СО по каждому элементу, и параметра (АХ)эп, характеризующего устойчивое состояние НТП в СО по отношению к пробе, связанные соотношением

где М=(2/ )arctg{[Si(Si + Sicp – Sэ)/Si(Si + Siср+ Sэ)]Ciэ};
bээ=1-(1/ )arctg[(АХ)ээCiэ];
Ciэ, Sэ – содержание элемента и разность почернений основной линии и линии сравнения в СО;
Si, Sicp – почернение основной линии и линии сравнения для пробы;
В, D – коэффициенты пропорциональности, определяемые по таблице соответствия по величине М, и рассчитывают ориентировочное содержание искомого элемента в пробе Сх по системе уравнений:

S0=250 – максимальное почернение, определяемое микрофотометром (паспортное значение).
Анализ известных способов определения содержания массовых долей элементов в материалах и сплавах показывает, что использование существующей в настоящее время полуэмпирической теории расчета количественного содержания элементов не предусматривает совокупность существующих объемных взаимодействий частиц в облаке НТП, сопровождающихся энергетическими превращениями атомов и ионов. Именно поэтому диапазон достоверного анализа по методу контрольного СО ограничен, что в значительной мере снижает точность и достоверность анализа при использовании отраслевых СО и СО предприятий.
Ограниченность их применения обуславливается также внутренними энергетическими превращениями при изменении количественных соотношений компонентов проб. Все это приводит к тому, что даже на ограниченном интервале изменения концентрации могут возникать погрешности при определении Сх.
Задачей данного изобретения является дальнейшее повышение точности и достоверности определения количественного содержания элементов в материалах и сплавах.
Поставленная задача достигается тем, что вводятся в рассмотрение изолированные системы расчета и метод последовательных приближений, учитывающие различный матричный состав и возможные различия в условиях проведения эксперимента для эталона и пробы. Для расчета в широком диапазоне изменения концентраций анализируемых элементов используется один контрольный эталон.
Для определения содержания массовых долей элементов в материалах и сплавах используется способ, включающий возбуждение излучения образца в низкотемпературной плазме, регистрацию эмиссионного спектра образца, измерение интенсивности аналитической линии элемента и линии сравнения, расчет содержания искомого элемента в пробе, по физической модели, содержащей выражения параметра ( )эх, характеризующего устойчивое состояние низкотемпературной плазмы в стандартном образце по отношению к пробе, и параметра Мiэ, характеризующего способность к излучению низкотемпературной плазмы относительно стандартного образца по каждому элементу, определяемые соотношениями

где

;
Сэi, Рэi – содержание элемента и разность интенсивностей
анализируемой линии и линии сравнения элемента i в стандартном образце;
Pxi, Pxicp – интенсивности анализируемой линии и линии сравнения элемента i в пробе;
В, D – коэффициенты пропорциональности, определяемые параметром Мэi, рассчитывают энергетические параметры излучения пробы относительно эталона L хэ и L эх

производят корректировку и расчет новых значений интенсивностей спектральных линий в пробе Рх и Рхср так, что

где Рх, Px, – разность и сумма интенсивностей анализируемой линии и линии сравнения элемента в пробе;
P x, P xcp, Рх, Рхср – измеренные и скорректированные параметры пробы;
Lхэ=L хэ+ L ;
L =1-(L хэ+L эх);
рассчитывают содержание искомого элемента в пробе Сх по системе уравнений

где 

причем на промежуточных этапах в качестве эталона принимается расчетное значение концентрации Сст=Сх, определяют расчетное значение интенсивности излучения спектральной линии для эталона по выражению

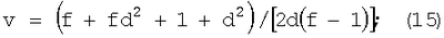
где v=(f+fd2+1+d2)/[2d(f-1)];
d=tg[( /2)·(Pэ+Pэср)/2P0];
h=[tg( /2)·(Pэ/P0)]/[tg( /2)·(Pэср/P0)];
f=Uэхh=(1/Uхэ)h,
а расчет концентрации и корректировку параметров излучения производят до тех пор, пока не выполнится заданная точность вычислений

где Рст – расчетное значение параметра излучения во внутреннем стандарте;
Рх – измеренное значение параметра излучения в пробе;
– относительная погрешность вычислений.
По предлагаемому способу выполняется расчет ряда виртуальных эталонов с контролем по интенсивности излучения, содержание в которых последовательно приближается к искомой величине.
Способ является составной частью автоматизированной системы определения количественного состава элементов в материалах и сплавах с фотоэлектрической регистрацией спектров. В качестве приемников излучения используются твердотельные многоканальные линейные приборы с зарядовой связью, преобразующие интенсивности излучения непрерывного спектра в дискретный сигнал, после обработки которого получают параметры анализируемых спектральных линий. В качестве параметров, участвующих в дальнейшем расчете количественного содержания, выбираются значения максимумов интенсивностей или площади, ограниченные контурами спектральных линий. Независимо от способа регистрации можно принять в качестве измеряемого параметра отображение интенсивности Р.
Исходными данными для расчета являются измеряемые параметры интенсивности излучения спектральных линий исследуемого элемента Рх, Рэ и линий сравнения Рхср, Рэср для эталона и исследуемой пробы, а также концентрация Сэ элемента в эталоне. Для неизолированной системы параметры пробы обозначены P x; P xcp:

где Рэ = Рэ + Рэср; Px = Px + Pxcp;
Рэ = Рэ – Рэср; Рх = Рх – Рхср.
Исходные данные системы (1) переводятся в изолированное состояние, отстраиваясь от различий матричного состава и возможных различий в условиях проведения эксперимента для эталона и исследуемой пробы.
Для этого рассчитываются относительные энергетические параметры излучения пробы относительно эталона Lхэ, Lэх

и параметры усиления спектрального излучения элемента пробы относительно эталона Uхэ, Uэх

где P0 – максимальное значение измеряемого параметра (при фотоэлектрическом анализе V0=10B).
Условием совместимых изолированных систем являются уравнения

Если при этом в системе эталон-проба не происходит поглощение излучения, то эта сумма равна 1. Если же часть энергии поглощается ( L <1) или происходит излучение части энергии в окружающую среду ( L >1), то для приведения системы в изолированное состояние следует учесть эту разницу внесением поправки

В соответствии с полученным Lхэ производится корректировка и получение новых значений Рх и Рхср, при этом следует учитывать, что параметры Px=const и Рэ=const, так как они являются мерой количественного содержания элемента в пробе и эталоне:
tg( /2)Lхэ=( Рх + Рхср)/Рхср( P х – Рэ)/( Р x + Рэ)
после преобразований:
Рхср=( Px P x – Рх Рэ)/[tg( /2)Lхэ( Р х + Рэ) + Рэ – Рх];
и расчетная формула преобразуется к виду:
tg( /2)Lхэ=[( Px + Pxcp)/Pxcp][( Рх + 2Рхср – Рэ)/( Рх + 2Рхср + Рэ)].
После замены искомой величины Рхср, решается приведенное квадратное уравнение следующего вида:

Решением этого уравнения является параметр линии сравнения элемента пробы Рхср и затем из условия Рх = Рх + Рхср определяется интенсивность элемента пробы.
В результате преобразований возникает исходная для вычислений равновесная система с параметрами:

В последующих преобразованиях будем находить параметры внутреннего стандарта и сравнивать полученные значения с исходными измеренными параметрами пробы в изолированной системе (2).
Необходимое условие взаимосвязи внутреннего стандарта и пробы выразим равенством параметров Рэ = Рх = const.
Эта равновесная система для искомых Рх и Рхср будет симметричной относительно данных Рэ/2 и Рх/2, т.е.

Для нахождения промежуточного значения концентрации элемента пробы С х=Сст1 на первом этапе расчетов решается тождество относительно Cст1 [1]:

где 
– параметр излучения контрольного эталона;

– задающий энергетический параметр элемента пробы Сх, или эталона Сэ соответственно (восприимчивость к спектральному излучению);

– коэффициент самопоглощения атомов и ионов в низкотемпературной плазме;
Далее, на основе уравнений (2) для Lэх, рассчитывается разность Рст1 элемента пробы, соответствующая найденному по п.5 значению Cст1:

где 



Фиксируются данные контрольного эталона и пробы на начало второго этапа вычислений:

Пункты 4-7 повторяются на втором этапе расчетов. В конце этих вычислений определяются исходные данные равновесной системы аналогичные (18).
Этапы повторяются до тех пор, пока с заданной степенью точности полученное значение разности входных параметров внутреннего стандарта Pстi на последнем этапе вычислений i не будет совпадать с измеренным значением в пробе Рх, т.е.:

для заданного уровня относительной погрешности Р.
Экспериментальные данные определения процентного содержания Si, Си, Mg и Mn в сплаве литейного алюминия АК5М, полученные на модернизированной фотоэлектрической установке МФС-8М, приведены в таблице. В качестве приемников спектрального излучения использованы блоки регистрации типа SKCCD на основе диодных линеек. В качестве контрольного эталона Скэ и исследуемой пробы использованы стандартные образцы из комплекта ГСО №11. Значение исследуемой пробы сравнивалось с заранее известным содержанием Сгсо.
| Таблица |
| Опытные данные способа последовательных приближений |
| Элемент |
Cкэ |
Сгсо |
Данные Сxi по этапам |
C, % |
| C1 |
C2 |
С3 |
C4=Сх |
| Si |
4.09 |
5.29 |
5.124 |
– |
– |
5.331 |
0.78 |
| 6.28 |
5.660 |
6.065 |
– |
6.160 |
1.91 |
| 7.31 |
6.032 |
6.950 |
7.541 |
7.506 |
2.68 |
| Cu |
0.98 |
2.06 |
1.784 |
2.222 |
2.187 |
2.170 |
5.33 |
| 2.84 |
2.378 |
2.755 |
2.821 |
2.726 |
4.01 |
| 6.75 |
5.630 |
6.344 |
6.952 |
6.935 |
2.70 |
| Mg |
0.188 |
0.308 |
0.2757 |
0.321 |
– |
0.315 |
2.27 |
| 0.482 |
0.394 |
0.467 |
– |
0.501 |
3.94 |
| 0.497 |
0.406 |
0.486 |
– |
0.506 |
1.81 |
| Mn |
0.156 |
0.219 |
0.203 |
– |
– |
0.226 |
3.20 |
| 0.402 |
0.355 |
0.414 |
– |
0.391 |
2.74 |
| 0.740 |
0.580 |
0.663 |
0.800 |
0.768 |
3.81 |
Пример расчетов для фотоэлектрического анализа.
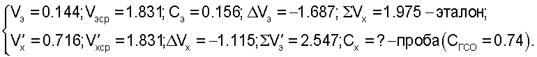
Ниже приведены промежуточные результаты расчетов для Мп в сплаве Ак5М по данным таблицы.
Исходные данные измеренных напряжений, пропорциональные интенсивностям спектральных линий (Vo=10B).

Находим Lхэ, для этого вычисляем L хэ, Lэх и L:
L хэ=0.7137; Lэх=0.1397; L=0.1466; тогда Lхэ=0.8603.
Определяем параметр Vxcp из выражения (17) и затем Vx для равновесной изолированной системы, для которой из соображений симметрии выполняется условие (19). Тогда получим Vxcp=1.5450; Vx=0.4300.
Таким образом, исходная равновесная система на начальном этапе вычислений имеет следующий вид:

Первый этап. Находим содержание Cx1, из решения тождества (10) с использованием (11)-(13), (2), (3):
Cx1=0.58; ax=0.5501; bx=0.9016; Qx=0.4142; aст1=1.6360; bст1=0.9204;
Qст1=0.1160; Кст1=1.3443; Кх=1.4002; Uхэ=3.573; Qст1Uхэ=0.4586.
Тогда Cx1=C1=0.58 – внутренний стандарт первого этапа.
Определяем параметры Vx и Vxcp. Для этого в соответствии с уравнениями (15)-(18) находим значения d, h, К, f и v, а затем параметр Vx= Vст1 из формулы (14) при C1=0.58. Тогда получим:
К(Сх, Сэ)=1.333; aст1=1.6360; bст1=0.9204; Kст1=1.3443; Qст1=0.1160; Qx=0.4140;
d=0.1563; h=0.0765; f=4.8825; v=5.0484.
Тогда Vx= V1=-1.2700, или из соображений симметрии для равновесных систем имеем:
V1=0.9875+( V1/2)=0.9875+0.6350=0.3525;
V1cp=0.9875-( V1/2)=0.9875-0.6350=1.6225.
Второй этап. Исходная система:

Находим Сх2:
Сх2=0.663; ах=0.4444; bx=0.8975; Qx=0.5321; ачт2=0.5501; bст2=0.9016;
Qст2=0.4142; кст2=1.4002; кх=1.4096; Uхэ=1.2843; Qст2Uхэ=0.532.
Тогда Cx2=C2=0.663 – внутренний стандарт второго этапа.
Определим параметры Vx и Vxcp при С3=0.75 по аналогии с предыдущим:
К(Сх, Сст2)-1.0660; Qx=0.5321; Qх=0.4142;
d=0.1563; h=0.2128; f=3.9; v=5.5372.
Тогда Vх= V3=-1.1566, и из условия симметрии для равновесных систем имеем:
V2=0.9875+( V2/2)=9875+0.5783=0.4092;
V2cp=0.9875-( V2/2)=0.9875-0.5783=1.5658.
Третий этап. Исходная система:

Находим Сх3.
Сх3=0.8; ах=0.4212; bx=0.8965; Qx=0.5667; аст3=0.4444; bст3=0.8975;
Qст3=0.5321; кст3=1.4002; кх=1.4118; Ux3=1.066; Qст3Uхэ=0.5671.
Тогда Cx3=C3=0.80 – внутренний стандарт третьего этапа.
Определим параметры Vx и Vxcp при С3=0.8. По аналогии с предыдущим:
К(Сх, Сст3)=1.0660; Qx=0.5667; Qст3=0.5321;
d=0.1563; h=0.2564; f=3.7215; v=5.5915.
Тогда Vx= V3=-1.082, и из условия симметрии для равновесных систем имеем:
V3=0.9875+( V3/2)=0.9875+0.5410=0.4465;
V3ср=0.9875-( V3/2)=0.9875-0.5410=1.5285.
Четвертый этап. Исходная система:

Находим Сх4:
Сх3=0.77; ах=0.4348; bx=0.8971; Qx=0.5459; aст4=0.4212; bст4=0.8965;
Qст4=0.5667; кст4=1.4118; кх=1.4105; Uxст4=0.9524; Qст4Uxэ=0.5397.
Тогда Cx4=Cx=0.768 – внутренний стандарт четвертого этапа.
Определим параметры Vx и Vxcp при C4=0.768. По аналогии:
Vx=(4Vo/ )·arctg[-v±[(v2-1)0.5]];
K(Cx, Cст4)=1.01; Qx=0.5459; Ост4=0.5665;
d=0.1563; h=0.2869; f=3.6532;
v=5.7474. Тогда Vx= V4=-1.114;
и из условия симметрии для равновесных систем имеем:
V4=0.9875+( V1/2)=0.9875+0.5570=0.4305;
V4cp=0.9875-( V1/2)=0.9875-0.5570=1.5455.
Таким образом, на четвертом, заключительном этапе параметры исследуемой аналитической пары имеют следующие численные значения:

Таким образом, относительная погрешность при определении разности напряжений в эталоне по сравнению с разностью напряжений элемента в пробе на четвертом этапе вычислений составила
р=( Vx– Vст4)/ Vср=(1.115-1.114)/1.1145=0.1%.
Погрешность в определении Сх = СГСО =0.740 составила
С=(Сх – СГСО)/СГСО=(0.768-0.74)/0.74=3.8% на уровне Сэ=0.156.
Погрешность аналитических вычислений можно определить из совместного решения уравнений (3), (4), (6) и (7).
Диаграммы изменения процентного содержания элементов и напряжений на выходе диодных линеек изображены на чертеже. Там же указаны получаемые относительные погрешности.
Полученные экспериментальные данные и проведенные вычисления позволяют говорить о более широком диапазоне использования одного контрольного эталона. Как показывают экспериментальные исследования различных марок материалов, содержание элементов в пробах относительно контрольных эталонов может отличаться в 10 и более раз. При этом погрешность конечного результата практически не изменяется и может колебаться в пределах от десятых долей процентов до (5-7)%.
При традиционных методах определения содержания с помощью градуировочных графиков при отношении 10>(Сх/Сэ)>5 относительная погрешность может изменяться в пределах от 5 до 25%. При меньших диапазонах изменения концентраций ошибка измерений уменьшается. Предельным случаем расчетов при традиционных методах обработки результатов измерений является отличие в содержаниях элементов в образцах и пробах не более чем в 10 раз.
Технико-экономическая эффективность предлагаемого способа определения содержания массовых долей элементов в материалах и сплавах заключается в повышении точности и достоверности определения количественного содержания элементов в материалах и сплавах. В результате повышается экономичность, экспрессность и качество проводимых анализов за счет сокращения расходов на приобретение дорогостоящих комплектов ГСО и их использования в текущих анализах, сокращения времени на проведение анализов. Способ обеспечивает необходимые точность и достоверность получаемых результатов в соответствии с требованиями ГОСТ.
Литература
1. Нагибина И.М., Михайловский Ю.К. Фотографические и фотоэлектрические спектральные приборы и техника эмиссионной спектроскопии. – Л.; Машиностроение, 1981. – С.92-103.
2. Морозов Н.А. Методы оптического спектрального анализа алюминиевых сплавов с применением ЭВМ. – Заводская лаборатория, 1986, №9. – С.21-28.
Формула изобретения
Способ определения содержания массовых долей элементов в материалах и сплавах, включающий возбуждение излучения образца в низкотемпературной плазме, регистрацию эмиссионного спектра образца, измерение интенсивности аналитической линии элемента и линии сравнения, расчет содержания искомого элемента в пробе, отличающийся тем, что контролируют интенсивность излучения аналитической линии элемента в эталоне при последовательном приближении содержания элемента к искомой величине и производят корректировку параметров излучения пробы для измерения аналитической линии элемента, при этом используют физическую модель, содержащую выражения параметра ( )эх, характеризующего устойчивое состояние низкотемпературной плазмы в стандартном образце по отношению к пробе и параметра Мiэ, характеризующего способность к излучению низкотемпературной плазмы относительно стандартного образца по каждому элементу, определяемые соотношениями

где 

Сэi Рэi – содержание элемента и разность интенсивностей анализируемой линии и линии сравнения элемента i в стандартном образце;
Pxi, Pxicp – интенсивности анализируемой линии и линии сравнения элемента i в пробе;
В, D – коэффициенты пропорциональности, определяемые параметром Мэi, рассчитывают энергетические параметры излучения пробы относительно эталона L хэ и L эх

производят корректировку и расчет новых значений интенсивностей спектральных линий в пробе Рх и Рхср так, что

где Рх, Рх, – разность и сумма интенсивностей анализируемой линии и линии сравнения элемента в пробе;
P x, P xcp, Рх, Рхср – измеренные и скорректированные параметры пробы;
Lхэ=L хэ+ L ;
L =1-(L хэ+L эх);
рассчитывают содержание искомого элемента в пробе Сх по системе уравнений

где 

причем на промежуточных этапах в качестве эталона принимается расчетное значение концентрации Сст=Сх, определяют расчетное значение интенсивности излучения спектральной линии для эталона по выражению

где v=(f+fd2+1+d2)/[2d(f-1)];
d=tg[( /2)·(Pэ+Pэср)/2P0];
h=[tg( /2)·(Pэ/P0)]/[tg( /2)-(Pэср/P0)];
f=Uэхh=(1/Uэх)h,
а расчет концентрации и корректировку параметров излучения производят до тех пор, пока не выполнится заданная точность вычислений

где Рст – расчетное значение параметра излучения во внутреннем стандарте;
Рх – измеренное значение параметра излучения в пробе;
– относительная погрешность вычислений.
РИСУНКИ
MM4A – Досрочное прекращение действия патента СССР или патента Российской Федерации на изобретение из-за неуплаты в установленный срок пошлины за поддержание патента в силе
Дата прекращения действия патента: 20.09.2008
Извещение опубликовано: 27.07.2010 БИ: 21/2010
|