|
(21), (22) Заявка: 2006117138/06, 18.05.2006
(24) Дата начала отсчета срока действия патента:
18.05.2006
(46) Опубликовано: 10.01.2008
(56) Список документов, цитированных в отчете о поиске:
Защита, контроль и мониторинг электроприводов Accutronix MX, abhvs Limitorque Corporation, 2000, рекламный проспект, 2000. RU 2154219 C1, 10.08.2000. SU 534012 A, 22.10.1976. US 4862045 A, 29.08.1989. ЕР 0647009 В1, 05.04.1995.
Адрес для переписки:
634050, г.Томск, ул. Набережная реки Ушайки, 24, ОАО “Центрсибнефтепровод”, пат. пов. Ю.П. Марценюку
|
(72) Автор(ы):
Черемисин Виктор Николаевич (RU), Каракулов Александр Сергеевич (RU), Антропов Антон Александрович (RU)
(73) Патентообладатель(и):
Открытое акционерное общество “Акционерная компания по транспорту нефти “Транснефть” (RU), Открытое акционерное общество “Магистральные нефтепроводы Центральной Сибири” (RU)
|
(54) УСТРОЙСТВО УПРАВЛЕНИЯ ЭЛЕКТРОПРИВОДОМ ЗАПОРНОЙ АРМАТУРЫ
(57) Реферат:
Устройство предназначено для использования в устройствах управления электроприводами запорной арматуры (задвижек, клапанов, кранов) при транспорте нефти и нефтепродуктов, в химической и нефтехимической отраслях. Устройство управления электроприводом запорной арматуры содержит оптомеханический датчик положения, бесконтактный коммутатор напряжения. Блок крутящего момента выполнен с возможностью вычисления крутящего момента на валу асинхронного электродвигателя как функции тока статора асинхронного электродвигателя в электроприводе, частоты вращения его ротора, частоты тока и с возможностью вычисления крутящего момента на выходе передаточного механизма электропривода согласно зависимости
М=Км×Ма.д., где
М – крутящий момент на выходе передаточного механизма электропривода,
Км= ×Кр,
Км – коэффициент передачи по моменту,
– поправочный коэффициент, учитывающий состояние электропривода и вид передачи,
Кр – передаточное число передаточного механизма,
Ма.д. – крутящий момент на валу асинхронного электродвигателя, а также с возможностью задания предельного крутящего момента на выходе передаточного механизма электропривода. Частота вращения ротора асинхронного электродвигателя для блока крутящего момента определяется по показанию оптомеханического датчика положения. Упрощается конструкция, уменьшаются габариты и повышается надежность. 1 ил.
Изобретение относится к устройствам управления электроприводами запорной арматуры (задвижек, клапанов, кранов). Изобретение может быть использовано на трубопроводах при транспорте нефти, нефтепродуктов, в химической и нефтехимической отраслях.
Известно устройство управления электроприводом (патент РФ на изобретение №2154219, F16K 31/05, опубликованное 10.08.2000, бюллетень №22), содержащее кулачковую муфту ограничения крутящего момента, преобразователь и соединенное с ним регистрирующее устройство. Преобразователь кинематически связан с муфтой ограничения крутящего момента. Муфта ограничения крутящего момента выполнена в виде подпружиненной подвижной и неподвижной полумуфт. При возрастании величины крутящего момента на выходном валу электропривода осевое перемещение подвижной полумуфты передается преобразователю, который при соответствующей механически заданной в нем величине крутящего момента для данного направления вращения вала механически воздействует на регистрирующее устройство. Регистрирующее устройство срабатывает и отключает электрическое питание электродвигателя. Недостатком этого устройства является неточность отключения электродвигателя муфтой по отношению к заданному крутящему моменту и непредусмотренное срабатывание муфты при запуске привода.
Погрешность отключения составляет от 40 до 100%. Кроме того, после отключения электродвигателя от сети детали электропривода испытывают ударную нагрузку, что приводит к их сотрясению и износу и снижает надежность работы и срок службы электропривода. Муфта излишне нагружает шпиндель запорной арматуры за счет инерции вращающихся деталей и создает ударные нагрузки на деталях электропривода и на арматуре.
Известно устройство управления электроприводом, описанное в Руководстве по хранению, установке и техническому обслуживанию «Приводы для трубопроводной арматуры и системы контроля» (фирма BIFFI, Италия, 1994 г.). Устройство содержит электромеханическую муфту ограничения крутящего момента и потенциометрический датчик положения выходного звена редуктора, при этом муфта и датчик снабжены механизмами настройки срабатывания выключателей электродвигателя соответственно при определенном моменте и при определенном положении.
Недостатками этого устройства вследствие использования электромеханической муфты ограничения крутящего момента являются неточность отключения электродвигателя, наличие ударной нагрузки на детали электропривода и на арматуру при отключении электродвигателя от сети, что приводит к их износу, снижению надежности работы и срока службы. Задание предельного крутящего момента требует удаления кожуха с этого механизма, делая устройство неудобным в эксплуатации.
Недостатком потенциометрического датчика положения выходного звена редуктора является переменная точность измерения, зависящая от пути, пройденного им. Так, точность измерения потенциометрического датчика падает при малом пути прохождения по гиперболической функции.
Известно устройство управления электроприводом, описанное в Рекламном проспекте «Приводы Роторк класса IQ. Новое поколение интеллектуальных необслуживаемых трехфазных электрических приводов» (публикация 110 R, издание 12/2000 г., фирма Роторк, Великобритания, США). Устройство содержит датчик положения затвора выходного звена редуктора электропривода, датчик крутящего момента. Датчиком положения является магнито-импульсный счетчик, основанный на эффекте Холла. Датчик положения преобразует количество оборотов на валу электродвигателя в электрический сигнал, который сравнивается с заданными конечными положениями. Датчик положения питается от электрической сети. При отсутствии питания от сети архивацию данных и калибровку конечных положений выходного звена редуктора поддерживает электрическая батарея. Датчик крутящего момента выполнен как пьезодатчик. Осевая нагрузка вала червяка электродвигателя с помощью пьезодатчика преобразуется в электрический сигнал, прямо пропорциональный развиваемому крутящему моменту в электроприводе и сравниваемый с заданным сигналом предельного крутящего момента.
Недостатками этого устройства являются следующие. При израсходовании ресурса электрической батареи и работе с ручным дублером в датчике положения утрачивается калибровка конечных положений, и требуется новая калибровка. Осевая нагрузка вала червяка электродвигателя может быть распределена неравномерно, что влияет на точность работы датчика крутящего момента.
Известно устройство управления электроприводом, описанное в Рекламном проспекте «Защита, контроль и мониторинг электроприводов Accutronix МХ» фирмы Limitorque Corporation, 2000 г. и выбранное в качестве наиболее близкого аналога. Устройство содержит оптомеханический датчик положения выходного звена передаточного механизма, датчик крутящего момента. Оптомеханический датчик положения является энкодером абсолютного положения (патент США №5640007, G01D 5/347). Сенсорный механизм энкодера включает светоизлучатель и светоприемник (фототранзисторы), которые определяют диапазон кодовых связей, обеспеченных между парой энкодерных колес, чье вращение согласуется с вращением вала (ротора) электродвигателя. Оптомеханический датчик положения энергонезависим от электропитания, то есть отсутствие какого-либо питания у датчика положения не влияет на определение им положения выходного звена передаточного механизма. Датчик крутящего момента определяет «работу на упор», то есть работает по принципу, например, тензодатчика или пьезодатчика. Это устройство обладает следующими недостатками. Наличие датчика крутящего момента приводит при установке устройства на электропривод к вмешательству в конструкцию передаточного механизма (редуктора) и к усложнению, увеличению габаритов и снижению надежности передаточного механизма и электропривода в целом. Кроме того, требуется подбор датчика крутящего момента в зависимости от крутящего момента, на который рассчитан электропривод, а это усложняет сборку электропривода. При использовании подобных датчиков крутящего момента для некоторых типов передаточных механизмов, например, волновых редукторов с промежуточными звеньями, отсутствует линейность в определении крутящего момента в зависимости от нагрузки на электроприводе, что снижает точность определения крутящего момента и надежность работы устройства.
Задачей изобретения является создание устройства управления электроприводом, упрощающего конструкцию, уменьшающего габариты и повышающего надежность работы электропривода.
Технический результат, обеспечиваемый изобретением по сравнению с наиболее близким аналогом, выражается в создании устройства управления электроприводом, исключающего механическое вмешательство в электропривод элемента устройства, определяющего крутящий момент, а также в повышении точности определения крутящего момента на выходе передаточного механизма электропривода этим элементом независимо от нагрузки, на которую рассчитан электропривод, и для любого типа передаточного механизма.
Как и наиболее близкий аналог, устройство содержит оптомеханический датчик положения.
В отличие от наиболее близкого аналога устройство содержит бесконтактный коммутатор напряжения, выполненный с возможностью включения в электрическую сеть, питающую асинхронный электродвигатель электропривода, блок крутящего момента, выполненный с возможностью вычисления крутящего момента на валу асинхронного электродвигателя как функции тока статора асинхронного электродвигателя в электроприводе, частоты вращения его ротора, частоты тока и с возможностью вычисления крутящего момента на выходе передаточного механизма электропривода согласно зависимости
М=Км×Ма.д., где
М – крутящий момент на выходе передаточного механизма электропривода,
Км= ×Кр,
Км – коэффициент передачи по моменту,
– поправочный коэффициент, учитывающий состояние электропривода и вид передачи,
Кр – передаточное число передаточного механизма электропривода,
Ма.д. – крутящий момент на валу асинхронного электродвигателя,
а также с возможностью задания предельного крутящего момента на выходе передаточного механизма электропривода и имеющий первый вход, соединенный с датчиком тока, второй вход, соединенный с оптомеханическим датчиком положения, и выход, соединенный с бесконтактным коммутатором напряжения, задатчик положения, имеющий первый вход задания положения, второй вход, соединенный с оптомеханическим датчиком положения, и выход, подключенный к бесконтактному коммутатору напряжения, при этом устройство выполнено с возможностью определения частоты вращения ротора асинхронного электродвигателя для блока крутящего момента по показанию оптомеханического датчика положения.
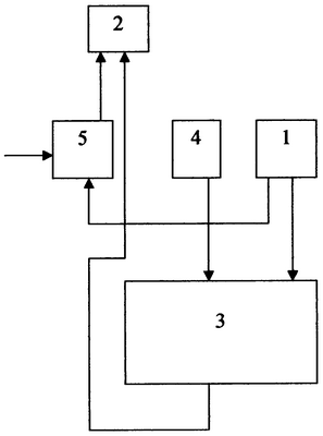
Блок-схема устройства изображена на чертеже со следующими обозначениями: 1 – оптомеханический датчик положения, 2 – бесконтактный коммутатор напряжения, 3 – блок крутящего момента, 4 – датчик тока, 5 – задатчик положения.
Устройство содержит датчик положения 1. Датчик положения 1 предназначен для определения положения выходного звена передаточного механизма электропривода и выполнен оптомеханическим. Под оптомеханическим понимается датчик, состоящий из ряда оптических дисков, связанных между собой механическими звеньями с различными коэффициентами передач, зависящими от способа кодирования и декодирования (например, код Грея, двоичный код и т.д.).
Бесконтактный коммутатор напряжения 2 выполнен с возможностью включения в электрическую сеть, питающую асинхронный электродвигатель электропривода, и представляет собой тиристорный или любой другой регулятор напряжения. Бесконтактный коммутатор напряжения 2 служит для плавного торможения асинхронного электродвигателя с последующим прерыванием его электрического питания при поступлении на бесконтактный коммутатор напряжения 2 сигнала с выхода блока крутящего момента 3 о превышении заданного предельного крутящего момента на выходе передаточного механизма электропривода. Плавное торможение асинхронного двигателя снижает износ элементов электропривода и увеличивает надежность его работы.
Блок крутящего момента 3 блок крутящего момента выполнен с возможностью вычисления крутящего момента на валу асинхронного электродвигателя как функции тока статора асинхронного электродвигателя в электроприводе, частоты вращения его ротора, частоты тока. Средством, обеспечивающим вычисление крутящего момента, является микропроцессор. Микропроцессор производит вычисление крутящего момента на валу асинхронного двигателя Ма.д. в функции таких параметров, как ток статора I, частота тока wс, частота вращения ротора wp, например, в соответствии с формулами (1-43) на стр.20 и (1-19) книги авторов Сандлера А.С., Сарбатова Р.С. «Автоматическое частотное управление асинхронными двигателями». М., «Энергия», 1974 г. часть 1, при этом в данном случае вместо параметра используется скольжение S, a w1н=wc:
Ма.д.=(m1×I1 2×r2×S)/(wc×C(S)),
C(S)=r2 2/x0 2+(1+x2 2/x0 2)×S2;
где
m1 – число фаз статора асинхронного двигателя,
I1 – ток статора асинхронного двигателя,
r2, x2, x0 – параметры схемы замещения асинхронного двигателя,
S – скольжение в асинхронном двигателе, вычисленное по формуле ,
wc – частота тока,
wp – частота вращения ротора асинхронного электродвигателя.
Вычисление крутящего момента на валу асинхронного двигателя Ма.д. может производиться по любым другим математическим выражениям, устанавливающим зависимость между крутящим моментом асинхронного двигателя Ма.д. и такими параметрами, как ток статора I, частота тока wc и частота вращения ротора wp1=wc:

где m1 – число фаз статора асинхронного двигателя,
U1 – напряжение питающей сети,
w1=wc – частота тока сети,
S – скольжение в асинхронном двигателе, вычисленное по формуле , где wc – частота тока, wp – частота вращения ротора асинхронного электродвигателя,
c1 – модуль, равный 1,05÷1,02,
r1 r2, x1, x2 – параметры схемы замещения асинхронного двигателя.
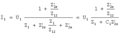
При вычислении момента, как функции тока, применяется выражение (3-125) из указанного выше источника, связывающее напряжение питающей сети и ток в фазах асинхронного двигателя

где

I1 – ток статора асинхронного двигателя,
Z1, Z12, Z2 – комплексные сопротивления схемы замещения асинхронного электродвигателя.
Таким образом, для заявленного устройства не имеет значения способ вычисления крутящего момента на валу асинхронного электродвигателя Ма.д. как функции тока статора асинхронного электродвигателя в электроприводе, частоты вращения его ротора, частоты тока.
Блок крутящего момента 3 выполнен также с возможностью вычисления крутящего момента М на выходе передаточного механизма электропривода согласно зависимости
М=Км×Ма.д., где
М – крутящий момент на выходе передаточного механизма электропривода,
Км= ×Кр,
Км – коэффициент передачи по моменту,
– поправочный коэффициент, учитывающий состояние электропривода и вид передачи,
Кр – передаточное число передаточного механизма,
Ма.д. – крутящий момент на валу асинхронного электродвигателя.
Коэффициент передачи по моменту Км определен с учетом состояния электропривода и вида передачи.
Например, для такого вида передачи, как волновая передача с промежуточными звеньями, существуют четыре основных состояния электропривода, которые могут учитываться при расчете крутящего момента М на выходе передаточного механизма:
1) работа на уплотнение при пуске с ударным приложением момента,
2) работа на уплотнение рабочего органа запорной арматуры при пуске с плавным приложением момента,
3) работа в движении,
4) переход из режима движения в режим работы на уплотнение рабочего органа запорной арматуры.
Экспериментальным путем установлено, что для этих основных состояний электропривода коэффициент передачи по моменту Км соответственно равен: 0,8Кр; 0,65Кр; 0,9Кр; 0,95Кр, где Кр – передаточное число передаточного механизма, а 0,8; 0,65; 0,9; 0,95 – это поправочный коэффициент , учитывающий состояние электропривода и вид передачи.
Тогда крутящий момент М на выходе передаточного механизма вычисляется в виде кусочно-ступенчатой функции по формуле М=Км×Ма.д., где Ма.д. – крутящий момент на валу асинхронного электродвигателя.
Для других видов передач могут быть установлены экспериментальным путем свои коэффициенты передач по моменту Км, определенные с учетом основных состояний данного вида передачи.
Блок крутящего момента 3 выполнен с возможностью задания предельного крутящего момента на выходе передаточного механизма электропривода. Задание предельного крутящего момента может быть осуществлено с помощью программируемого оператором микропроцессора, установленного в блоке крутящего момента 3. При этом блок крутящего момента 3 выдает команду на бесконтактный коммутатор напряжения 2, который начинает ограничивать напряжение таким образом, чтобы предельный крутящий момент на выходном звене передаточного механизма электропривода не превысил заданный. Зависимость предельного крутящего момента на выходе передаточного механизма от напряжения питания асинхронного двигателя заносится таблично в память микропроцессора блока крутящего момента 3. Если крутящий момент на выходе передаточного механизма электропривода больше предельного крутящего момента, заданного в блоке 3, то происходит переход электропривода в режим работы на уплотнение рабочего органа запорной арматуры вплоть до остановки и обесточивания асинхронного электродвигателя по сигналу с оптомеханического датчика 1.
Блок крутящего момента 3 имеет первый вход, соединенный с датчиком тока 4, второй вход, соединенный с оптомеханическим датчиком положения 1, и выход, соединенный с бесконтактным коммутатором напряжения 2.
Из теории электропривода известно, что крутящий момент на валу асинхронного электродвигателя является функцией f(I2, S) квадрата тока статора I2 и скольжения S в асинхронном двигателе, причем скольжение вычисляют по формуле , где wc – частота тока, wc – частота вращения ротора асинхронного электродвигателя.
Данные о величине тока 1 статора асинхронного электродвигателя и частоте wc тока поступают в блок крутящего момента 3 за счет соединения первого входа этого блока 3 с датчиком тока 4, служащим для определения тока в статорной обмотке асинхронного электродвигателя.
При этом устройство выполнено с возможностью определения частоты вращения ротора асинхронного электродвигателя wp для блока крутящего момента 3 по показанию оптомеханического датчика положения 1, с которым блок крутящего момента 3 соединен вторым входом. Частота вращения ротора wp асинхронного электродвигателя определяется по показанию оптомеханического датчика положения 1 согласно следующим зависимостям:
f(wд)·Tи=Nw (1)
Nw=f(wp) (2),
где wд – частота импульсов оптомеханического датчика положения 1,
f(wд) – функция частоты импульсов оптомеханического датчика положения 1,
Ти – интервал времени, за который измеряется частота импульсов оптомеханического датчика положения 1,
Nw – количество импульсов оптомеханического датчика положения 1 за интервал времени Ти, являющееся кодом и пропорциональное частоте вращения ротора wp асинхронного электродвигателя,
wp – частота вращения ротора асинхронного электродвигателя,
f(wp) – функция частоты вращения ротора асинхронного электродвигателя.
За интервал времени Ти определяют функцию f(wд). По формуле (1) вычисляют код (количество импульсов оптомеханического датчика положения 1) Nw, пропорциональный по формуле (2) частоте вращения ротора асинхронного двигателя. Таким образом, код Nw, полученный по показанию оптомеханического датчика положения 1, пропорционален частоте вращения ротора wp и учитывается блоком крутящего момента 3 при вычислении крутящего момента как величина, соответствующая частоте вращения ротора wp асинхронного электродвигателя.
В устройстве для реализации возможности определения частоты вращения ротора асинхронного электродвигателя wp по показанию оптомеханического датчика положения 1 имеются средство измерения интервала времени Ти, за который измеряется частота импульсов оптомеханического датчики 1, например, таймер, а также счетчик импульсов оптомеханического датчика 1.
На выходе блока 3, соединенном с бесконтактным коммутатором напряжения 2, формируется сигнал о превышении вычисленного текущего крутящего момента на выходе передаточного механизма электропривода над заданным предельным крутящим моментом на выходе передаточного механизма электропривода.
Задатчик положения 5 имеет первый вход для задания положения и второй вход, соединенный с оптомеханическим датчиком положения 1, а также выход, подключенный к бесконтактному коммутатору напряжения 2. Задатчик положения 5 выполнен в виде устройства, запоминающего сигналы положения, задающиеся через первый вход, и сравнивающего с ними сигнал, поступающий на второй вход задатчика положения 5 от оптомеханического датчика положения 1 о текущем положении выходного звена передаточного механизма электропривода. При достижении выходным звеном передаточного механизма заданного положения на выходе задатчика положения 5 формируется сигнал об этом.
Выход задатчика положения 5 соединен с бесконтактным коммутатором напряжения 2, который плавно тормозит и отключает электродвигатель при поступлении сигнала с выхода задатчика положения 5 о достижении выходным звеном передаточного механизма заданного положения.
Устройство работает следующим образом.
Поочередно устанавливают выходное звено передаточного механизма электропривода в необходимые положения и задают в задатчике положения 5 сигналы в виде кодов, соответствующие этим положениям. Передаточный механизм может быть выполнен, например, в виде червячного, волнового редуктора, редуктора с промежуточными звеньями, кулисы.
В блоке крутящего момента 3 задают предельный крутящий момент на выходе передаточного механизма электропривода.
Асинхронный электродвигатель приводит в движение передаточный механизм электропривода. Оптомеханический датчик положения 1 определяет положение выходного звена передаточного механизма на всем пути его движения и выдает информацию о положении в виде сигналов-кодов.
При достижении выходным звеном передаточного механизма установленного положения сигнал от оптомеханического датчика положения 1 поступает к задатчику положения 5. Задатчик положения 5 сравнивает его с заданным в нем сигналом и передает сигнал на свой выход о достижении установленного положения. Задатчик положения 5 передает сигнал со своего выхода на бесконтактный коммутатор напряжения 2. Бесконтактный коммутатор напряжения 2 плавно тормозит и отключает электродвигатель в электроприводе.
Предельный крутящий момент на выходе передаточного механизма электропривода, заданный в блоке крутящего момента 3 программируемым путем, сравнивается с вычисляемым в этом же блоке 3 текущим крутящим моментом на выходе передаточного механизма электропривода. Сигнал о превышении предельного крутящего момента на выходе передаточного механизма электропривода поступает на выход блока крутящего момента 3, соединенный с бесконтактным коммутатором напряжения 2. Бесконтактный коммутатор напряжения 2 плавно тормозит и отключает асинхронный электродвигатель от питающей сети.
Формула изобретения
Устройство управления электроприводом запорной арматуры, содержащее оптомеханический датчик положения, отличающееся тем, что оно содержит бесконтактный коммутатор напряжения, выполненный с возможностью включения в электрическую сеть, питающую асинхронный электродвигатель электропривода, блок крутящего момента, выполненный с возможностью вычисления крутящего момента на валу асинхронного электродвигателя как функции тока статора асинхронного электродвигателя в электроприводе, частоты вращения его ротора, частоты тока и с возможностью вычисления крутящего момента на выходе передаточного механизма электропривода согласно зависимости
М=Км·Ма.д.,
где М – крутящий момент на выходе передаточного механизма электропривода;
Км= ·Кр;
Км – коэффициент передачи по моменту;
– поправочный коэффициент, учитывающий состояние электропривода и вид передачи;
Кр – передаточное число передаточного механизма;
Ма.д. – крутящий момент на валу асинхронного электродвигателя,
а также с возможностью задания предельного крутящего момента на выходе передаточного механизма электропривода и имеющий первый вход, соединенный с датчиком тока, второй вход, соединенный с оптомеханическим датчиком положения, и выход, соединенный с бесконтактным коммутатором напряжения, задатчик положения, имеющий первый вход задания положения, второй вход, соединенный с оптомеханическим датчиком положения, и выход, подключенный к бесконтактному коммутатору напряжения, при этом устройство выполнено с возможностью определения частоты вращения ротора асинхронного электродвигателя для блока крутящего момента по показанию оптомеханического датчика положения.
РИСУНКИ
|