Патент на изобретение №2314306
|
||||||||||||||||||||||||||||||||||||||||||||||
(54) ПРОИЗВОДНЫЕ ХИНУКЛИДИНАМИДА, СПОСОБ ИХ ПОЛУЧЕНИЯ И ИХ ПРИМЕНЕНИЕ, ФАРМАЦЕВТИЧЕСКАЯ КОМПОЗИЦИЯ, КОМБИНИРОВАННЫЙ ПРОДУКТ И СПОСОБ ИНГИБИРОВАНИЯ МУСКАРИНОВЫХ РЕЦЕПТОРОВ
(57) Реферат:
Изобретение относится к новым производным хинуклидинамида общей формулы (I) и их фармацевтически приемлемым солям, включая соли четвертичного аммония формулы (II), где радикалы и группы принимают значения, указанные в формуле изобретения. Объектами изобретения также являются способы их получения, фармацевтические композиции, включая комбинированный продукт, содержащие указанные соединения, и их применение в терапии в качестве антагонистов мускариновых рецепторов М3 для лечения патологических состояний или заболеваний, интенсивность симптомов которых снижается благодаря антагонистическому воздействию на мускариновые рецепторы М3. 8 н. и 19 з.п. ф-лы.
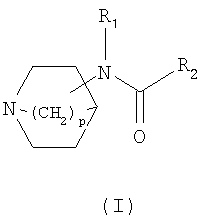
Настоящее изобретение относится к новым терапевтически эффективным производным хинуклидинамида, к некоторым способам их получения и к фармацевтическим композициям, включающим указанные соединения. Новые соединения по изобретению являются антимускариновыми агентами с сильнодействующим и продолжительным действием. Соединения прежде всего обладают высоким сродством к мускариновым рецепторам М3. Этот подвид мускаринового рецептора присутствует в железах и гладких мышцах и опосредует возбуждающие действия парасимпатической системы на железистую секрецию и на сокращение висцеральной гладкой мышцы (Н.Р.Rang и др., Pharmacology, гл.6: Cholinergic Transmission, Churchill Livingstone, New York (1995)). Таким образом установлено, что антагонисты М3 применяются для лечения заболеваний, ассоциированных с повышенным тонусом парасимпатической системы, избыточной железистой секрецией или с сокращением гладкой мышцы (R.M.Eglen и S.S.Hegde, Drug News Perspect, 10(8), 462-469 (1997)). Примерами подобных заболеваний являются респираторные нарушения, такие как хроническое обструктивное заболевание легких (COPD), бронхит, бронхиальная повышенная реактивность, астма, кашель, ринит; урологические нарушения, такие как недержание мочи, поллакиурия, нейрогенный или нестабильный мочевой пузырь, цистоспазматический и хронический цистит; желудочно-кишечные нарушения, такие как синдром раздраженной толстой кишки, спастический колит, дивертикулит и желудочная язва; и сердечнососудистые заболевания, такие как синусная брадикардия, индуцированная блуждающим нервом (Goodman и Gilman, гл.7: Muscarinic Receptor Agonists and Antagonists, The Pharmacological Basis of Therapeutics, 10th edition, McGraw Hill, New York (2001)). Соединения по изобретению можно использовать отдельно или в сочетании с другими лекарственными средствами, эффективными при лечении указанных заболеваний. Например, соединения можно вводить в комбинации с Новые производные хинуклидинамида по изобретению характеризуются формулой (I) где
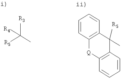
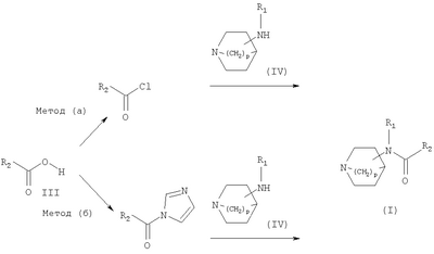
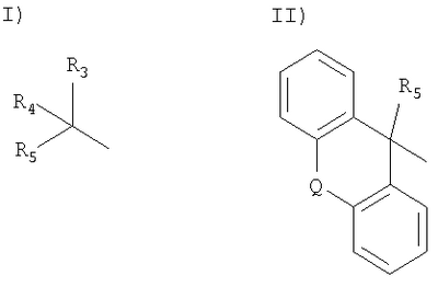
R1 означает водород или необязательно замещенную (низш.)алкильную группу с прямой или разветвленной цепью, R2 означает группу формулы I) или II) где R3 означает группу, выбранную из ряда фенил, 2-фурил, 3-фурил, 2-тиенил или 3-тиенил, R4 означает группу, выбранную из ряда необязательно замещенный (низш.)алкил, необязательно замещенный (низш.)алкенил, необязательно замещенный (низш.)алкинил, циклоалкил, циклоалкилметил, фенил, бензил, фенетил, 2-фурил, 3-фурил, 2-тиенил или 3-тиенил, a R5 означает водород или гидрокси, метил или -СН2ОН группу; бензольные циклы в формуле II) и циклические группы R3 и R4 каждая независимо и необязательно замещены одним, двумя или тремя заместителями, выбранными из группы, включающей галоген, необязательно замещенный (низш.)алкил с прямой или разветвленной цепью, гидрокси, необязательно замещенный (низш.)алкокси с прямой или разветвленной цепью, нитрогруппу, цианогруппу, -СО2R’ или -NR’R”, где R’ и R” каждый независимо означает водород или необязательно замещенный (низш.)алкил с прямой или разветвленной цепью, или R’ и R” вместе с атомом, к которому они присоединены, образуют циклическую группу, Q означает простую связь или -СН2-, -СН2-СН2-, -O-, -О-СН2-, -S-, -S-СН2– или группу -СН=СН-, р равно 1 или 2, а амидная группа расположена в положениях 2, 3 или 4 азабициклического цикла, и включают фармацевтически приемлемые соли указанных соединений, в том числе соли четвертичного аммония, или их индивидуальные стереоизомеры и их смеси, при условии, что, если р равно 2, амидная группа расположена в положении 3 хинуклидинового цикла, R1 означает водород, а R3 и R4 оба означают незамещенный фенил, то – если указанное соединение не означает фармацевтически приемлемую соль или означает гидрохлорид, то R5 не означает водород или гидрокси, и – если указанное соединение означает соль четвертичного аммония, содержащего метильную группу, присоединенную к атому азота хинуклидинового цикла, то R5 не означает гидрокси. Соединения по изобретению включают соли четвертичного аммония формулы (II) где R1, R2 и р имеют значения, указанные выше, m означает целое число от 0 до 8, n означает целое число от 0 до 4, А означает группу, выбранную из ряда -CH2-, -CH=CR’-, -CR’=CH-, -CR’R”-, -С(O)-, -O-, -S-, -S(O)-, -S(O)2– и -NR’-, где R’ и R” имеют значения, указанные выше, R6 означает водород или группу, выбранную из ряда необязательно замещенный (низш.)алкил с прямой или разветвленной цепью, гидрокси, необязательно замещенный (низш.)алкокси с прямой или разветвленной цепью, цианогруппу, нитрогруппу, -CH=CR’R”, -C(O)OR’, -OC(O)R’, -SC(O)R’, -C(O)NR’R”, NR’C(O)OR”, -NR’C(O)NR”, циклоалкил, фенил, нафталинил, 5,6,7,8-тетрагидронафталинил, бензо[1,3]диоксолил, гетероарил или гетероциклил, причем R’ и R” имеют значения, указанные выше; и где циклические группы R6 независимо замещены одним, двумя или тремя заместителями, выбранными из группы, включающей галоген, гидрокси, необязательно замещенный (низш.)алкил с прямой или разветвленной цепью, фенил, -OR’, -SR’, -NR’R”, -NHCOR’, -CONR’R”, -CN, -NO2 и -COOR’, причем R’ и R” имеют значения, указанные выше, X– означает фармацевтически приемлемый анион моно- или поливалентной кислоты, и все инидивидуальные стереоизомеры и их смеси, при условии, что, если р равно 2, амидная группа расположена в положении 3 хинуклидинового цикла, R1 означает водород, а R3 и R4 оба означают незамещенный фенил, R5 означает гидрокси, то в соединениях формулы (II) фрагмент R6-(СН2)n-А-(СН2)m– не означает метильную группу. Другими объектами настоящего изобретения являются способы получения указанных соединений, фармацевтические композиции, включающие эффективное количество указанных соединений, применение соединений для получения лекарственного средства, предназначенного для лечения заболеваний, чувствительных к антагонистам мускариновых рецепторов М3, и способы лечения заболеваний, симптомы которых улучшаются благодаря антагонистам мускариновых рецепторов М3, причем способы включают введение соединений по изобретению субъекту, который нуждается в таком лечении. Некоторые производные хинуклидинамида, которые включены в объем настоящего изобретения, заявлены в JP 09328469 и WO 9316048. Алкильная группа или алкильный остаток означает группу с прямой или разветвленной цепью, обычно (низш.)алкильную группу или остаток. (Низш.)алкильная группа или остаток содержит от 1 до 8, предпочтительно от 1 до 6, наиболее предпочтительно от 1 до 4 атомов углерода. Предпочтительные (низш.)алкильные группы или остатки включают метил, этил, пропил, включая изопропил, или бутил, включая н-бутил, втор-бутил и трет-бутил. Алкенильная группа или алкенильный остаток означает группу с прямой или разветвленной цепью, обычно (низш.)алкенильную группу или остаток. (Низш.)алкенильная группа или остаток содержит от 2 до 8, предпочтительно от 2 до 6, наиболее предпочтительно от 2 до 4 атомов углерода. Предпочтительные (низш.)алкенильные группы или остатки включают винил, аллил или 1-пропенил. Алкинильная группа или алкинильный остаток означает группу с прямой или разветвленной цепью, обычно (низш.)алкинильную группу или остаток. (Низш.)алкинильная группа или остаток содержит от 2 до 8, предпочтительно от 2 до 6, наиболее предпочтительно от 2 до 4 атомов углерода. Предпочтительные (низш.)алкенильные группы или остатки включают 3-бутинил или 1-пропинил. Указанные выше необязательно замещенные (низш.)алкильная, алкенильная или алкинильная группы включают (низш.)алкильную, алкенильную или алкинильную группу с прямой или разветвленной цепью, указанную выше, незамещенную или замещенную в любом положении одним или более заместителями, например одним, двумя или тремя заместителями. При наличии двух или более заместителей они могут быть одинаковыми или различными. Типичными заместителями являются атомы галогена, предпочтительно атомы фтора, гидрокси- или алкоксигруппы. Указанные алкоксигруппы обычно означают (низш.)алкоксигруппы с прямой или разветвленной углеводородной цепью, содержащие от 1 до 8, предпочтительно от 1 до 6, наиболее предпочтительно от 1 до 4 атомов углерода, и необязательно замещенные в любом положении одним или более заместителями, например одним, двумя или тремя заместителями. При наличии двух или более заместителей они могут быть одинаковыми или различными. Типичными заместителями являются атомы галогена, предпочтительно атомы фтора, и гидроксигруппы. Предпочтительные необязательно замещенные алкоксигруппы включают метокси, этокси, н-пропокси, изопропокси, н-бутокси, втор-бутокси, трет-бутокси, трифторметокси и дифторметокси, гидроксиметокси, гидроксиэтокси или 2-гидроксипропокси. Указанные выше циклические группы включают карбоциклические и гетероциклические группы. Циклические группы могут содержать один или более циклов. Карбоциклические группы являются ароматическими или алициклическими, например циклоалкильными группами. Гетероциклические группы включают также гетероарильные группы. Если не указано иное, указанные выше циклоалкильные группы и алициклические группы обычно содержат от 3 до 7 атомов углерода. Циклоалкильные группы и алициклические циклы, содержащие от 3 до 7 атомов углерода, включают циклопропил, циклобутил, циклопентил, циклогексил и циклогептил. Ароматическая группа, указанная в тексте заявки, обычно содержит от 5 до 14, предпочтительно от 5 до 10 атомов углерода. Примеры ароматических групп включают фенил или нафталинил. Указанная выше гетероциклическая или гетероароматическая группа обычно содержит от 5 до 10 атомов, например 5, 6 или 7 атомов, и включает один или более гетероатомов, выбранных из N, S и О. Обычно гетероциклическая группа содержит 1, 2, 3 или 4 гетероатома, предпочтительно 1 или 2 гетероатома. Гетероциклическая или гетероароматическая группа может включать один, два или более конденсированных циклов, где по меньшей мере один цикл содержит гетероатом. Примеры гетероциклических групп включают пиперидил, пирролидил, пиперазинил, морфолинил, тиоморфолинил, пирролил, имидазолил, имидазолидинил, пиразолинил, индолинил, изоиндолинил, пиридил, пиразинил, пиримидинил, пиридазинил, индолизинил, изоиндолил, индолил, индазолил, пуринил, хинолизинил, изохинолил, хинолил, фталазинил, нафтиридинил, хиноксалинил, хиназолинил, циннолинил, птеридинил, хинуклидинил, триазолил, пиразолил, тетразолил, тиенил и диоксолил. Примеры гетероароматических групп включают пиридил, тиенил, фурил, пирролил, имидазолил, бензотиазолил, пиридинил, пиразолил, пиразинил, пиримидинил, пиридазинил, индолил, индазолил, пиринил, хинолил, изохинолил, фталазинил, нафтиридинил, хиноксалинил, хиназолил, циннолинил, триазолил и пиразолил. Атомы галогена включают фтор, хлор, бром или иод, обычно фтор, хлор или бром. Фармацевтически приемлемая соль соединения означает соль фармацевтически приемлемой кислоты или основания. Фармацевтически приемлемые соли включают соли неорганических кислот, например хлористоводородной, серной, фосфорной, дифосфорной, бромистоводородной и азотной кислоты, и соли органических кислот, например лимонной, фумаровой, муравьиной, малеиновой, яблочной, аскорбиновой, янтарной, винной, бензойной, уксусной, метансульфоновой, этансульфоновой, бензолсульфоновой или пара-толуолсульфоновой кислоты. Фармацевтически приемлемые основания включают гидроксиды щелочных металлов (например, калия или натрия), щелочноземельных металлов (например, кальция или магния) и органических оснований, например алкиламинов, аралкиламинов и гетероциклических аминов. Предпочтительными солями соединений формулы (I) являются соли, образованные атомом азота азабициклического цикла и неорганической или органической кислотой. Другими предпочтительными солями по изобретению являются соли четвертичного аммония формулы (II), где эквивалент аниона (X–) ассоциирован с положительным зарядом атома азота. X– означает анион различных неорганических кислот, такой как хлорид, бромид, иодид, сульфат, нитрат, фосфат, или анион органической кислоты, такой, например, как ацетат, формиат, малеат, фумарат, цитрат, оксалат, сукцинат, тартрат, малат, манделат, трифторацетат, метансульфонат и пара-толуолсульфонат. Предпочтительно X– означает анион, выбранный из ряда хлорид, бромид, иодид, сульфат, нитрат, ацетат, малеат, оксалат, сукцинат или трифторацетат. Более предпочтительно X– означает хлорид, бромид, трифторацетат или метансульфонат. Предпочтительны соединения формулы (I) или (II), где R1 означает водород, метил или этил, наиболее предпочтительно водород. В некоторых предпочтительных вариантах осуществления изобретения R2 означает группу формулы I), где R3 означает группу, выбранную из ряда фенил, 2-тиенил, 3-тиенил или 2-фурил и необязательно замещенную одним или более атомами галогена. Более предпочтительно R2 означает группу формулы I), где R3 означает группу фенил, 2-тиенил или 2-фурил, необязательно замещенную одним или более галогенами. Наиболее предпочтительно R3 означает фенил или 2-тиенил. Кроме того, предпочтительными соединениями, содержащими группу формулы I), являются соединения, где R4 означает группу с прямой цепью, выбранную из ряда этил, н-бутил, винил, аллил, 1-пропенил и 1-пропинил, или группу, выбранную из ряда циклопентил, циклогексил, фенил, бензил, фенетил, 2-тиенил и 3-фурил, необязательно замещенную одним или более атомами галогена, метальными или метоксигруппами. Более предпочтительными соединениями, содержащими группу формулы I), являются соединения, где R4 означает группу с прямой цепью, выбранную из ряда этил, н-бутил, винил, аллил и 1-пропинил, или группу, выбранную из ряда циклопентил, фенил, бензил, фенетил и 2-тиенил, необязательно замещенную одним или более атомами галогена, метальными или метоксигруппами. Наиболее предпочтительно R4 означает этил, н-бутил, винил, аллил, циклопентил, фенил, бензил или 2-тиенил. В других предпочтительных вариантах изобретения R2 означает группу формулы II), где Q означает простую связь или атом кислорода. В наиболее предпочтительных вариантах изобретения R5 в группах I) или II) означает водород или гидрокси. Предпочтительно в соединениях формулы (I) или (II) р равно 2, а амидная группа расположена в положениях 3 или 4 азабицилического цикла, наиболее предпочтительно в положении 3. Предпочтительны прежде всего соединения формулы (II), в которых m означает целое число от 0 до 6, а n означает целое число от 0 до 4; наиболее предпочтительно m равно от 0 до 5, а n равно от 0 до 2; А означает группу, выбранную из ряда -СН2-, -СН=СН-, -O-, -С(O)-, -NR’- и -S-; наиболее предпочтительно А означает -СН2-, -СН=СН-, -O-; a R6 означает водород, цианогруппу, нитрогруппу, -C(O)OR’, -OC(O)R’, -SC(O)R’, -CH=CH2, -CH=CR’R”, C(O)NR’R”, С1-С4алкильную группу с прямой или разветвленной цепью, необязательно замещенную одним или более галогенами, С1-С4алкоксигруппу с прямой цепью, необязательно замещенную одним или более галогенами или гидроксигруппами, или циклическую группу, необязательно замещенную одним или более заместителями, выбранными из ряда галоген, группы формулы -C(O)NR’R” или метил, гидрокси, нитро или фенил, причем циклическую группу выбирают из ряда циклогексил, фенил, 5,6,7,8-тетрагидронафталинил, 2-тиенил, 1-пирролидинил, 1-пирролил, бензо[1,3]диоксолил, 2-бензотиазолил, нафталинил и диоксолил. Более предпочтительны соединения формулы (II), в которых m равно целому числу от 0 до 5, а n равно целому числу от 0 до 2; А означает группу, выбранную из ряда -СН2-, -СН=СН-, -O-, -С(O)-, -NR’- и -S-; а R6 означает водород, цианогруппу, -C(O)OR’, -OC(O)R’, -SC(O)R’, -CH=CH2, -C(O)NR’R”, С1-С4алкильную группу с прямой или разветвленной цепью, трифторметил или циклическую группу, выбранную из ряда циклогексил, 5,6,7,8-тетрагидронафталинил, 2-тиенил, 1-пирролил, бензо[1,3] диоксолил, 2-бензотиазолил, нафталинил, диоксолил и фенил, который необязательно замещен одним или более заместителями, выбранными из группы, включающей атомы галогена, группы формулы -C(O)NR’R”, метил, гидрокси и фенил. Наиболее предпочтительно R6 выбирают из группы, включающей водород, С1-С4алкил с прямой цепью, -СН=СН2, циклогексил, фенил, незамещенный или замещенный одним или двумя заместителями, выбранными из ряда метил, гидрокси, 5,6,7,8-тетрагидронафталинил и 2-тиенил. Наиболее предпочтительны соединения формулы (II), где фрагмент R6-(СН2)n-А-(СН2)m– означает метил, 3-феноксипропил, 3-(3-гидроксифенокси)пропил, аллил, гептил, 3-фенилпропил, 3-фенилаллил, 2-феноксиэтил, 2-бензилоксиэтил, циклогексилметил, 3-(5,6,7,8-тетрагидронафталин-2-илокси)пропил, 5-(2,6-диметилфенокси)пентил, 3-тиен-2-илпропил или 3-циклогексилпропил, а X– означает бромид или трифторацетат. Соединения по настоящему изобретению формулы (I) или (II), указанные выше, могут содержать один или более асимметрических центров, например атом углерода в положении 3 хинуклидинового цикла; атом углерода, замещенный группами R3, R4 и R5 в соединениях, где R2 означает группу формулы I); или атом углерода, присоединенный к карбонильной группе в соединениях, где R2 означает группу формулы II). Каждый из указанных асимметрических атомов может находиться в R или S конфигурации. Индивидуальные изомеры и смеси изомеров включены в объем настоящего изобретения. Предпочтительные индивидуальные соединения формулы (I) включают N-(1-азабицикло[2.2.2]окт-3-ил)-2-гидрокси-2,2-дитиен-2-илацетамид, N-[(3R)-1-азабицикло[2.2.2]окт-3-ил]-2-гидрокси-2,2-дитиен-2-илацетамид, N-[(3S)-1-азабицикло[2.2.2]окт-3-ил]-2-гидрокси-2,2-дитиен-2-илацетамид, N-[(3R)-1-азабицикло[2.2.2]окт-3-ил]-2,2-дитиен-2-илацетамид, N-[(3R)-1-азабицикло[2.2.2]окт-3-ил]-2-циклопентил-2-гидрокси-2-тиен-2-илацетамид, N-[(3R)-1-азабицикло[2.2.2]окт-3-ил]-2-гидрокси-2-тиен-2-илпент-4-енамид, (2*)-N-[(3R)-1-азабицикло[2.2.2]окт-3-ил]-2-гидрокси-2-тиен-2-илбутанамид (диастереомер 1), (2*)-N-[(3R)-1-азабицикло[2.2.2]окт-3-ил]-2-гидрокси-2-тиен-2-илбутанамид (диастереомер 2), (2*)-N-[(3R)-1-азабицикло[2.2.2]окт-3-ил]-2-гидрокси-2-тиен-2-илбут-3-енамид (диастереомер 1), (2*)-N-[(3R)-1-азабицикло[2.2.2]окт-3-ил]-2-гидрокси-2-тиен-2-илбут-3-енамид (диастереомер 2), N-[(3R)-1-азабицикло[2.2.2]окт-3-ил]-2,3-дифенилпропанамид, N-[(3R)-1-азабицикло[2.2.2]окт-3-ил]-2-циклопентил-2-гидрокси-2-фенилацетамид, N-[(3R)-1-азабицикло[2.2.2]окт-3-ил]-2-фенилгексанамид, N-(1-азабицикло[2.2.2]окт-3-ил)-9Н-ксантен-9-карбоксамид, N-[(3R)-1-азабицикло[2.2.2]окт-3-ил]-9Н-ксантен-9-карбоксамид, N-[(3S)-1-азабицикло[2.2.2]окт-3-ил]-9H-ксантен-9-карбоксамид, N-(1-азабицикло[2.2.2]окт-3-ил)-9-гидрокси-9H-флуорен-9-карбоксамид, N-1-азабицикло[2.2.2]окт-3-ил-N-метил-9Н-ксантен-9-карбоксамид, N-1-азабицикло[2.2.2]окт-3-ил-N-этил-9Н-ксантен-9-карбоксамид, N-1-азабицикло[2.2.2]окт-4-ил-2-циклопентил-2-гидрокси-2-тиен-2-илацетамид, N-[(3R)-1-азабицикло[2.2.2]окт-3-ил]-2-гидрокси-2-фенил-2-тиен-2-илацетамид, N-[(3R)-1-азабицикло[2.2.2]окт-3-ил]-2-(5-бромтиен-2-ил)-2-(4-фтор-3-метилфенил)-2-гидроксиацетамид, N-[(3R)-1-азабицикло[2.2.2]окт-3-ил]-2-фур-2-ил-2-гидроксипент-3-инамид, N-[(3R)-1-азабицикло[2.2.2]окт-3-ил]-2-фур-2-ил-2-гидрокси-4-(4-метоксифенил)бутанамид, N-[(3R)-1-азабицикло[2.2.2]окт-3-ил]-2-фур-3-ил-2-гидрокси-2-тиен-2-илацетамид, N-[(3R)-1-азабицикло[2.2.2]окт-3-ил]-2-циклогексил-2-гидрокси-2-тиен-3-илацетамид, N-[(3R)-1-азабицикло[2.2.2]окт-3-ил]-9-гидрокси-9Н-флуорен-9-карбоксамид, N-[(3R)-1-азабицикло[2.2.2]окт-3-ил]-N-метил-9H-ксантен-9-карбоксамид, (2S)-N-[(3R)-1-азабицикло[2.2.2]окт-3-ил]-2-циклопентил-2-гидрокси-2-тиен-2-илацетамид. ((*) Конфигурация не установлена; можно получить либо (2R)-, либо (2S)-изомеры вышеуказанных соединений). Предпочтительные индивидуальные соединения формулы (II) включают бромид 3-(2-гидрокси-2,2-дитиен-2-илацетиламино)-1-метил-1-азонийбицикло[2.2.2]октана, бромид 3-(2-гидрокси-2,2-дитиен-2-илацетиламино)-1-(3-феноксипропил)-1-азонийбицикло[2.2.2]октана, трифторацетат (3R)-3-(2-гидрокси-2,2-дитиен-2-илацетиламино)-1-метил-1-азонийбицикло[2.2.2]октана, трифторацетат (3R)-1-аллил-3-(2-гидрокси-2,2-дитиен-2-илацетиламино)-1-азонийбицикло[2.2.2]октана, трифторацетат (3R)-1-гептил-3-(2-гидрокси-2,2-дитиен-2-илацетиламино)-1-азонийбицикло[2.2.2]октана, бромид (3R)-3-(2-гидрокси-2,2-дитиен-2-илацетиламино)-1-(3-фенилпропил)-1-азонийбицикло [2.2.2] октана, трифторацетат (3R)-3-(2-гидрокси-2,2-дитиен-2-илацетиламино)-1-((Е)-3-фенилаллил)-1-азонийбицикло[2.2.2]октана, бромид (3R)-3-(2-гидрокси-2,2-дитиен-2-илацетиламино)-1-(2-феноксиэтил)-1-азонийбицикло[2.2.2]октана, бромид (3R)-3-(2-гидрокси-2,2-дитиен-2-илацетиламино)-1-(3-феноксипропил)-1-азонийбицикло[2.2.2]октана, трифторацетат (3R)-3-(2-гидрокси-2,2-дитиен-2-илацетиламино)-1-[3-(3-гидроксифенокси)пропил]-1-азонийбицикло[2.2.2]октана, трифторацетат (3R)-1-(2-бензилоксиэтил)-3-(2-гидрокси-2,2-дитиен-2-илацетиламино)-1-азонийбицикло[2.2.2]октана, бромид (3R)-3-(2-гидрокси-2,2-дитиен-2-илацетиламино)-1-(3-тиен-2-илпропил)-1-азонийбицикло[2.2.2]октана, бромид (3S)-3-(2-гидрокси-2,2-дитиен-2-илацетиламино)-1-(3-феноксипропил)-1-азонийбицикло[2.2.2]октана, бромид (3R)-3-(2,2-дитиен-2-илацетиламино)-1-(3-феноксипропил)-1-азонийбицикло[2.2.2]октана, бромид 1-метил-3-[(9Н-ксантен-9-илкарбонил)амино]-1-азонийбицикло[2.2.2]октана, бромид 1-(3-феноксипропил)-3-[(9Н-ксантен-9-илкарбонил)амино]-1-азонийбицикло[2.2.2]октана, бромид (3R)-1-(3-феноксипропил)-3-[(9Н-ксантен-9-илкарбонил)амино]-1-азонийбицикло[2.2.2]октана, трифторацетат (3S)-1-аллил-3-[(9Н-ксантен-9-илкарбонил)амино]-1-азонийбицикло[2.2.2]октана, трифторацетат (3S)-1-гептил-3-[(9Н-ксантен-9-илкарбонил)амино]-1-азонийбицикло[2.2.2]октана, трифторацетат (3S)-1-циклогексилметил-3-[(9Н-ксантен-9-илкарбонил)амино]-1-азонийбицикло[2.2.2]октана, трифторацетат (3S)-1-(3-циклогексилпропил)-3-[(9Н-ксантен-9-илкарбонил)амино]-1-азонийбицикло[2.2.2]октана, бромид (3S)-1-(3-феноксипропил)-3-[(9Н-ксантен-9-илкарбонил)амино]-1-азонийбицикло[2.2.2]октана, трифторацетат (3S)-1-[3-(5,6,7,8-тетрагидронафталин-2-илокси)пропил]-3-[(9Н-ксантен-9-илкарбонил)амино]-1-азонийбицикло[2.2.2]октана, трифторацетат (3S)-1-[5-(2,6-диметилфенокси)пентил]-3-[(9Н-ксантен-9-илкарбонил)амино]-1-азонийбицикло[2.2.2]октана, бромид 3-{[(9-гидрокси-9Н-флуорен-9-ил)карбонил]амино}-1-метил-1-азонийбицикло[2.2.2]октана, бромид 3-{[(9-гидрокси-9Н-флуорен-9-ил)карбонил]амино}-1-(3-феноксипропил)-1-азонийбицикло[2.2.2]октана, трифторацетат (3R)-1-[3-(2-карбамоилфенокси)пропил]-3-{[(9-гидрокси-9Н-флуорен-9-ил)карбонил]амино}-1-азонийбицикло[2.2.2]октана, трифторацетат (3R)-1-[4-(4-фторфенил)-4-оксобутил]-3-{[(9-гидрокси-9Н-флуорен-9-ил)карбонил]амино}-1-азонийбицикло[2.2.2]октана, трифторацетат (3R)-3-{[(9-гидрокси-9Н-флуорен-9-ил)карбонил]амино}-1-(4-оксо-4-тиен-2-илбутил)-1-азонийбицикло[2.2.2]октана, трифторацетат (3R)-3-{[(9-гидрокси-9Н-флуорен-9-ил)карбонил]амино}-1-[3-(метилфениламино)пропил]-1-азонийбицикло[2.2.2]октана, трифторацетат (3R)-3-{[(9-гидрокси-9Н-флуорен-9-ил)карбонил]амино}-1-(3-фенилсульфанилпропил)-1-азонийбицикло[2.2.2]октана, трифторацетат 3-[метил-(9Н-ксантен-9-илкарбонил)амино]-1-(3-пиррол-1-илпропил)-1-азонийбицикло[2.2.2]октана, трифторацетат 1-[3-(дифенил-4-илокси)пропил]-3-[этил-(9Н-ксантен-9-илкарбонил)амино]-1-азонийбицикло[2.2.2]октана, трифторацетат (3R)-1-[3-(бензо[1,3]диоксол-5-илокси)пропил]-3-(2-гидрокси-2-фенил-2-тиен-2-илацетиламино)-1-азонийбицикло[2.2.2]октана, трифторацетат (3R)-1-[3-(бензотиазол-2-илокси)пропил]-3-(2-гидрокси-2-фенил-2-тиен-2-илацетиламино)-1-азонийбицикло[2.2.2]октана, трифторацетат (3R)-3-(2-фур-2-ил-2-гидроксипент-3-иноиламино)-1-[3-(нафталин-1-илокси)пропил]-1-азонийбицикло[2.2.2]октана, трифторацетат (3R)-3-[2-фур-2-ил-2-гидрокси-4-(4-метоксифенил)бутириламино]-1-[6-(4-фенилбутокси)гексил]-1-азонийбицикло[2.2.2]октана, трифторацетат (3R)-3-(2-циклопентил-2-гидрокси-2-тиен-2-илацетиламино)-1-(2-гидроксиэтил)-1-азонийбицикло[2.2.2]октана, трифторацетат (3R)-3-(2-циклопентил-2-гидрокси-2-тиен-2-илацетиламино)-1-(2-этоксиэтил)-1-азонийбицикло[2.2.2]октана, трифторацетат (3R)-3-(2-циклопентил-2-гидрокси-2-тиен-2-илацетиламино)-1-{2-[2-(2-гидроксиэтокси)этокси]этил}-1-азонийбицикло[2.2.2]октана, трифторацетат (3R)-3-(2-циклопентил-2-гидрокси-2-тиен-2-илацетиламино)-1-(4,4,4-трифторбутил)-1-азонийбицикло[2.2.2]октана, трифторацетат (3R)-1-(4-ацетоксибутил)-3-[2-(5-бромтиен-2-ил)-2-(4-фтор-3-метилфенил)-2-гидроксиацетиламино]-1-азонийбицикло[2.2.2]октана, трифторацетат (3R)-3-[2-(5-бромтиен-2-ил)-2-(4-фтор-3-метилфенил)-2-гидроксиацетиламино]-1-(4-этоксикарбонилбутил)-1-азонийбицикло[2.2.2]октана, трифторацетат (3R)-1-(3-ацетилсульфанилпропил)-3-[2-(5-бромтиен-2-ил)-2-(4-фтор-3-метилфенил)-2-гидроксиацетиламино]-1-азонийбицикло[2.2.2]октана, трифторацетат (3R)-1-(3-цианопропил)-3-(2-гидрокси-2-фенил-2-тиен-2-илацетиламино)-1-азонийбицикло[2.2.2]октана, трифторацетат (3R)-1-(2-карбамоилэтил)-3-(2-гидрокси-2-тиен-2-илпент-4-еноиламино)-1-азонийбицикло[2.2.2]октана, трифторацетат (3R)-1-(2-[1,3]диоксолан-2-илэтил)-3-(2-гидрокси-2-тиен-2-илпент-4-еноиламино)-1-азонийбицикло[2.2.2]октана, трифторацетат 4-(2-циклопентил-2-гидрокси-2-тиен-2-илацетиламино)-1-(4-метилпент-3-енил)-1-азонийбицикло[2.2.2]октана, формиат (3R)-1-[3-(2-карбамоилфенокси)пропил]-3-{[(9-гидрокси-9Н-флуорен-9-ил)карбонил]амино}-1-азонийбицикло[2.2.2]октана, формиат (3R)-1-[4-(4-фторфенил)-4-оксобутил]-3-{[(9-гидрокси-9Н-флуорен-9-ил)карбонил]амино}-1-азонийбицикло[2.2.2]октана, хлорид (3R)-3-{[(9-гидрокси-9Н-флуорен-9-ил)карбонил]амино}-1-[3-(метилфениламино)пропил]-1-азонийбицикло[2.2.2]октана, формиат (3R)-3-{[(9-гидрокси-9Н-флуорен-9-ил)карбонил]амино}-1-(3-фенилсульфанилпропил)-1-азонийбицикло[2.2.2]октана, бромид (3R)-3-[метил-(9Н-ксантен-9-илкарбонил)амино]-1-(3-пиррол-1-илпропил)-1-азонийбицикло[2.2.2]октана, хлорид (3R)-1-[3-(дифенил-4-илокси)пропил]-3-[метил-(9Н-ксантен-9-карбонил)амино]-1-азонийбицикло[2.2.2]октана, хлорид (3R)-3-(2-фур-2-ил-2-гидроксипент-3-иноиламино)-1-[3-(нафталин-1-илокси)пропил]-1-азонийбицикло[2.2.2]октана, бромид (3R)-1-[3-(бензо[1,3]диоксол-5-илокси)пропил]-3-(2-фур-2-ил-2-гидроксипент-3-иноиламино)-1-азонийбицикло[2.2.2]октана, хлорид (3R)-1-[3-(бензотиазол-2-илокси)пропил]-3-(2-фур-2-ил-2-гидроксипент-3-иноиламино)-1-азонийбицикло[2.2.2]октана, бромид (3R)-3-{[(2S)-2-циклопентил-2-гидрокси-2-тиен-2-илацетил]амино}-1-(2-гидроксиэтил)-1-азонийбицикло[2.2.2]октана, формиат (3R)-3-{[(2S)-2-циклопентил-2-гидрокси-2-тиен-2-илацетил]амино}-1-(2-этоксиэтил)-1-азонийбицикло[2.2.2]октана, бромид (3R)-3-{[(2S)-2-циклопентил-2-гидрокси-2-тиен-2-илацетил]амино}-1-(4,4,4-трифторбутил)-1-азонийбицикло[2.2.2]октана, бромид (3R)-1-(4-ацетоксибутил)-3-[2-(5-бромтиен-2-ил)-2-(4-фтор-3-метилфенил)-2-гидроксиацетиламино]-1-азонийбицикло[2.2.2]октана, бромид (3R)-3-[2-(5-бромтиен-2-ил)-2-(4-фтор-3-метилфенил)-2-гидроксиацетиламино]-1-(4-этоксикарбонилбутил)-1-азонийбицикло[2.2.2]октана, формиат (3R)-1-(3-ацетилсульфанилпропил)-3-[2-(5-бромтиен-2-ил)-2-(4-фтор-3-метилфенил)-2-гидроксиацетиламино]-1-азонийбицикло[2.2.2]октана, бромид (3R)-1-(3-цианопропил)-3-[2-фур-2-ил-2-гидрокси-4-(4-метоксифенил)бутириламино]-1-азонийбицикло[2.2.2]октана, формиат (3R)-1-(2-карбамоилэтил)-3-[2-фур-2-ил-2-гидрокси-4-(4-метоксифенил)бутириламино]-1-азонийбицикло[2.2.2]октана, бромид (3R)-1-(2-[1,3]диоксолан-2-илэтил)-3-[2-фур-2-ил-2-гидрокси-4-(4-метоксифенил)бутириламино]-1-азонийбицикло[2.2.2]октана. В другом варианте настоящее изобретение включает способы получения новых производных хинуклидинамида формулы (I) и (II). Соединения формулы (I) можно получить из соответствующей карбоновой кислоты формулы (III) при последующем использовании двух различных методов (а) и (б), показанных на следующей схеме. Некоторые соединения формулы (IV) являются коммерческими препаратами, например 3-аминохинуклидин (фирма Aldrich, дигидрохлорид), (3R)-аминохинуклидин (фирма Aldrich, Finorga, дигидрохлорид) и (3S)-аминохинуклидин (фирма Aldrich, дигидрохлорид). (3R)-N-Метилхинуклидин-3-амин получали, как описано в экспериментальной части. Соединения формулы (I), в которых R2 означает группу формулы I), a R5 означает гидроксигруппу, можно также получить из соединений формулы (V) по реакции с соответствующим металлоорганическим соединением. Соединения формулы (V) получают из соответствующих глиоксиловых кислот, а затем методами, аналогичными матодам (а) и (б), показанным на схеме 1. Некоторые соединения формулы (V) являются новыми и включены в объем настоящего изобретения, например, такие соединения, как N-1-азабицикло[2.2.2]окт-3-ил-2-оксо-2-тиен-2-илацетамид, N-[(3R)-1-азабицикло[2.2.2]окт-3-ил]-2-оксо-2-тиен-2-илацетамид, N-[(3S)-1-азабицикло[2.2.2]окт-3-ил]-2-оксо-2-тиен-2-илацетамид. Как показано на следующей схеме, производные четвертичного аммония формулы (II) получают по реакции соединений формулы (I) с алкилирующим агентом формулы (VI) методами (г) или (д), подробно описанными в экспериментальной части. Метод (д) включает применение методов твердофазной экстракции, которые позволяют одновременно получать несколько соединений. В формуле (VI) W означает любую пригодную уходящую группу, предпочтительно группу X–, указанную выше для соединений формулы (II). Если W является иной уходящей группой (отличной от X–), то соль четвертичного аммония формулы (II) получают из продукта, полученного по способу (d) или (е), по стандартной реакции ионного обмена с заменой аниона W– на требуемый анион X–. Соединения общей формулы (VI), которые не являются коммерческими препаратами, получают стандартными методами. Например, соединения, где n равно 0, а А означает -O-, -S-, NR’, получают по реакции производного соответствующего спирта, тиола или амина, или соответствующей натриевой или калиевой соли, с алкилирующим агентом общей формулы Y-(CH2)m-W, где W имеет значения, указанные выше; наиболее предпочтительно W означает галоген, и Y означает галоген или сульфонатный эфир. В других примерах, соединения общей формулы (VI), где n означает по меньшей мере 1, синтезируют из соответствующего производного спирта общей формулы (VII) известными методами.
Соединения по настоящему изобретению формулы (I) или (II) могут содержать один или более асимметрических атомов углерода. Все возможные стереоизомеры, индивидуальные изомеры и смеси изомеров также включены в объем настоящего изобретения. Диастереомеры соединений разделяют обычными методами, например хроматографией или кристаллизацией. Строение соединений подтверждали спектроскопией ядерного магнитного резонанса (1Н-ЯМР) и масс-спектрометрией (МС). Спектры ЯМР снимали на спектрометре Varian 300 МГц или Bruker DPX-250. Химические сдвиги выражали в миллионных долях ( Метод (а) Получение N-[(3R)-1-азабицикло[2.2.2]окт-3-ил]-2-фенилгексанамида (Пример 27) 2-Фенилгексановую кислоту получали алкилированием фенилуксусной кислоты 1-хлорбутаном стандартным способом. Затем к раствору 1,62 г 2-фенилгексановой кислоты (0,0084 моля) и диметилформамида (ДМФА, одна капля) в 25 мл CHCl3 (не содержащего этанол) при 0°С добавляли оксалилхлорид (0,88 мл, 0,0101 моля) и смесь премешивали при нагревании до комнатной температуры. Через 1 ч растворители выпаривали, остаток растворяли в CHCl3 и растворитель выпаривали. Указанную процедуру повторяли дважды. Полученное масло растворяли в CHCl3, охлаждали до 0°С, добавляли раствор (3R)-аминохинуклидина (1,28 г, 0,0101 моля) в CHCl3 и смесь перемешивали при нагревании до комнатной температуры. Через 1 ч реакционную смесь разбавляли CHCl3, промывали 10% раствором карбоната калия, водой, сушили над Na2SO4 и упаривали, при этом получали 3,57 г масла, которое очищали хроматографией на колонке с силикагелем (элюент: CHCl3/MeOH/NH4OH, 90:10:1). Соответствующие фракции объединяли и упаривали, при этом получали 2,42 г твердого вещества. После обработки полученного продукта изопропиловым эфиром получали 1,59 г (63,1%) указанного в заголовке соединения в виде смеси диастереомеров. tпл. 136°С. МС: 301 [М+1]+. 1Н-ЯМР (ДМСО-d6): (смесь диастереомеров. 50:50) Получение N-[(3R)-1-азабицикло[2.2.2]окт-3-ил]-N-метил-9Н-ксантен-9-карбоксамида (пример 47) К раствору 9Н-ксантен-9-карбоновой кислоты (1,16 г, 0,0051 моля) и диметилформамида (2 капли) в 20 мл CHCl3 (не содержащего этанол) при 0°С добавляли оксалилхлорид (0,540 мл, 0,0062 моля) и смесь перемешивали при нагревании до комнатной температуры. Через 1 ч реакционную смесь концентрировали в вакууме досуха, остаток растворяли в CHCl3 (15 мл) и концентрировали. Указанную процедуру повторяли дважды. Полученную смесь растворяли в CHCl3, раствор охлаждали до 0°С, добавляли раствор 0,865 г (0,0062 моля) (3R)-N-метилхинуклидин-3-амина (промежуточное соединение 1-4) в 10 мл CHCl3 и смесь перемешивали при нагревании до комнатной температуры. Через 4 ч в реакционную смесь добавляли насыщенный раствор К2СО3 и водную фазу экстрагировали CHCl3. Органические фазы объединяли, промывали насыщенным раствором К2СО3 и водой, сушили над Na2SO4, фильтровали и концентрировали досуха. Полученный остаток очищали хроматографией на колонке с силикагелем (элюент: градиент от CHCl3/NH4OH, 99:1, до CHCl3/MeOH/NH4OH, 98:2:1), при этом получали 900 мг (50%) указанного в заголовке соединения. МС: 349 [М+1]+. 1H-ЯМР (400 МГц, 60°С, CDCl3): Получение (3R)-N-метилхинуклидин-3-амина (промежуточное соединение (I-4) 1 г (0,0079 моля) (3R)-Аминохинуклидина растворяли в 20 мл СН2Cl2 и добавляли 1,22 мл (0,0087 моля) триэтиламина. Полученный раствор охлаждали до 0°С, добавляли ClCO2Et (0,835 мл, 0,0087 моля) и смесь перемешивали при комнатной температуре в течение 15 ч. Затем растворители выпаривали в вакууме, остаток растворяли в CHCl3 и полученный раствор промывали насыщенным раствором К2СО3 и водой. Органическую фазу сушили над Na2SO4, фильтровали и концентрировали в досуха. Полученный остаток использовали без дополнительной очистки, как описано ниже. Продукт растворяли в 15 мл ТГФ, раствор охлаждали до 0°С и несколькими порциями добавляли 0,601 г (0,016 моля) LiAlH4. Реакционную смесь кипятили с обратным холодильником в течение 4 ч, затем охлаждали до 0°С и избыток гидрида разлагали, осторожно добавляя по каплям при перемешивалии 0,6 мл Н2О, 0,6 мл 10% раствора NaOH и 1,8 мл Н2О. После разложения гидрида реакционную смесь фильтровали, остаток на фильтре промывали ТГФ и CHCl3, органические фракции объединяли и концентрировали досуха, при этом получали 830 мг (75%) указанного в заголовке продукта; структуру полученного соединения подтверждали спектрами 1Н-ЯМР и 13С-ЯМР. 13С-ЯМР (CDCl3): Следующие соединения формулы (I) получали из соответствующей карбоновой кислоты как описано в методе (а): N-[(3R)-1-азабицикло[2.2.2]окт-3-ил]-2,3-дифенилпропанамид (из 2,3-дифенилпропионовой кислоты, пример 25), N-(1-азабицикло[2.2.2]окт-3-ил)-9Н-ксантен-9-карбоксамид (пример 28), N-[(3R)-1-азабицикло[2.2.2]окт-3-ил]-9Н-ксантен-9-карбоксамид (пример 31), N-[(3S)-1-азабицикло[2.2.2]окт-3-ил]-9Н-ксантен-9-карбоксамид (пример 33). Последние три соединения получали из 9Н-ксантен-9-карбоновой кислоты. Метод (б) Получение N-[(3R)-1-азабицикло[2.2.2]окт-3-ил]-2,2-дитиен-2-илацетамида (пример 17) 2,2-Дитиен-2-илуксусную кислоту получали гидролизом метилового эфира 2,2-дитиен-2-илуксусной кислоты, предварительно полученного, как описано F.Leonard и I.Ehranthal, J.Am.Chem.Soc, 73, 2216 (1951). 1,2 г (0,0054 моля) 2,2-дитиен-2-илуксусной кислоты растворяли в 25 мл ТГФ. К полученному раствору добавляли 0,96 г (0,00594 моля) 1,1′-карбонилдиимидазола и смесь кипятили с обратным холодильником в течение 1 ч. Реакцию контролировали методом ТСХ по образованию имидазола. По завершении реакции к смеси добавляли 0,75 г (0,00594 моля) (3R)-аминохинуклидина, реакционную смесь кипятили с обратным холодильником в течение 16 ч, охлаждали, разбавляли эфиром и промывали водой. Органический слой экстрагировали 2н. HCl, водный слой подщелачивали добавлением К2СО3 и экстрагировали CHCl3. Органический слой сушили над Na2SO4 и выпаривали растворитель, при этом получали 0,60 г масла, которое очищали хроматографией на колонке с силикагелем (элюент:CHCl3/МеОН/NH4OH, 90:10:1). Фракции, содержащие продукт реакции, объединяли и упаривали, при этом получали 0,31 г (17,3%) указанного в заголовке соединения. tпл. 165°С. МС: 333 [М+1]+. 1H-ЯМР (CDCl3): Получение N-[(3R)-1-азабицикло[2.2.2]окт-3-ил]-9-гидрокси-9Н-флуорен-9-кабоксамида (пример 44) В 50 мл сухого ДМФА растворяли 5 г (0,022 моля) 9-гидрокси-9Н-флуорен-9-карбоновой кислоты, добавляли 4,2 г (0,026 моля) 1,1′-карбонилдиимидазола и смесь перемешивали при комнатной температуре в течение 1 ч. Затем добавляли 3,26 г (0,026 моля) (3R)-аминохинуклидина и 0,324 г (0,0027 моля) ДМАП (4-(диметиламино)пиридина) и реакционную смесь перемешивали при комнатной температуре в течение 14 ч. Затем смесь концентрировали в вакууме для удаления ДМФА, а остаток растворяли в AcOEt. Органический слой промывали насыщенным раствором NaHCO3 и водой, сушили над Na2SO4 и выпаривали растворитель. Полученный продукт очищали хроматографией на колонке с силикагелем (элюент:градиент от CHCl3/NH4OH, 100:1, до CHCl3/МеОН/NH4OH, 80:20:1). Соответствующие фракции объединяли и упаривали, при этом получали 304 мг (4%) указанного в заголовке соединения. МС: 335 [М+1]+. 1H-ЯМР (CDCl3): Получение (2S)-N-[(3R)-1-азабицикло[2.2.2]окт-3-ил]-2-циклопентил-2-гидрокси-2-тиен-2-илацетамида (пример 49) Указанное в заголовке соединение получали из (2S)-2-циклопентил-2-гидрокси-2-тиен-2-илуксусной кислоты, как описано в примере 44. Полученный продукт очищали хроматографией на колонке с силикагелем (элюент: градиент CHCl3/МеОН/NH4OH, от 99:1:1 до 97:3:1), при этом получали 800 мг указанного в заголовке соединения с примесью имидазола. Полученный продукт растворяли в CHCl3 и раствор трижды промывали водой. Органическую фазу сушили над Na2SO4, фильтровали и концентрировали в вакууме, при этом получали 650 мг (44% в расчете на исходную кислоту) указанного в заголовке соединения. Структуру соединения подтверждали спектром 1Н-ЯМР и МС. МС:335 [М+1]+. 1Н-ЯМР (CDCl3): (2S)-2-Циклопентил-2-гидрокси-2-тиен-2-илуксусную кислоту получали как описано в WO /02053564. Следующие соединения формулы (I) получали из соответствующей карбоновой кислоты по методу (б): N-[(3R)-1-азабицикло[2.2.2]окт-3-ил]-2-циклопентил-2-гидрокси-2-тиен-2-илацетамид (пример 19) получали из 2-циклопентил-2-гидрокси-2-тиен-2-илуксусной кислоты, которую получали гидролизом метилового эфира 2-циклопентил-2-гидрокси-2-тиен-2-илуксусной кислоты, описанного Е.Atkinson и др., J. Med. Chem., 20, №12, 1612-1617 (1977) и WO 02/053564, N-[(3R)-1-азабицикло[2.2.2]окт-3-ил]-2-циклопентил-2-гидрокси-2-фенилацетамид (пример 26) получали из 2-циклопентил-2-гидрокси-2-фенилуксусной кислоты, N-(1-азабицикло[2.2.2]окт-3-ил)-9Н-ксантен-9-карбоксамид (пример 28) получали из 9Н-ксантен-9-карбоновой кислоты, N-(1-азабицикло[2.2.2]окт-3-ил)-9-гидрокси-9Н-флуорен-9-карбоксамид (пример 41) получали из 9-гидрокси-9Н-флуорен-9-карбоновой кислоты. Метод (в) Получение N-[(3R)-1-азабицикло[2.2.2]окт-3-ил]-2-оксо-2-тиен-2-илацетамида (промежуточное соединение I-1) К раствору 6,68 г (0,0428 моля) 2-оксо-2-тиен-2-илуксусной кислоты и ДМФА (нескольо капель) в 100 мл CHCl3 (не содержащего этанол) при 0°С добавляли оксалилхлорид (4,5 мл, 0,0516 моля) и смесь перемешивали при нагревании до комнатной температуры. Через 2 ч растворители выпаривали, остаток растворяли в CHCl3 и раствор упаривали. Указанную процедуру повторяли дважды. Полученное масло растворяли в CHCl3, раствор охлаждали до 0°С, добавляли раствор (3R)-аминохинуклидина (5,91 г, 0,0468 моля) в 50 мл CHCl3 и смесь перемешивали при нагревании до комнатной температуры. Через 18 ч реакционную смесь промывали раствором К2СО3 и щелочной водный раствор экстрагировали CHCl3. Органические слои объединяли, промывали водой, сушили над Na2SO4 и упаривали, при этом получали 11,34 г указанного в заголовке соединения. МС: 265 [М+1]+. 1Н-ЯМР (CDCl3): Следующие промежуточные соединения получали аналогично тому, как описано выше: N-[(3S)-1-азабицикло[2.2.2]окт-3-ил]-2-оксо-2-тиен-2-илацетамид (промежуточное соединение 1-2), N-[1-азабицикло[2.2.2]окт-3-ил]-2-оксо-2-тиен-2-илацетамид (промежуточное соединение I-3). Получение N-[(3R)-1-азабицикло[2.2.2]окт-3-ил]-2-гидрокси-2,2-дитиен-2-илацетамида (пример 4) Раствор 15,4 г (0,094 моля) 2-бромтиофена в 150 мл ТГФ обрабатывали 2,27 г (0,094 моля) магния, при этом получали раствор бромида 2-тиенилмагния. Полученный раствор добавляли к раствору 11,34 г (0,043 моля) N-[(3R)-1-азабицикло[2.2.2]окт-3-ил]-2-оксо-2-тиен-2-илацетамида (промежуточное соединение I-1) в 120 мл ТГФ, смесь перемешивали при комнатной температуре в течение 1 ч, кипятили с обратным холодильником в течение 1 ч, охлаждали и обрабатывали насыщенным раствором хлорида аммония. Полученный раствор подщелачивали добавлением раствора К2СО3 и экстрагировали СН2Cl2. Органический слой промывали водой и солевым раствором, сушили над Na2SO4, обрабатывали активированным углем, фильтровали через целит и выпаривали растворитель, при этом получали твердое вещество, которое обарабатывали эфиром и отделяли фильтрованием, при этом получали 8,77 г (56,5%) указанного в заголовке продукта. tпл. 169°C. МС: 349 [М+1]+. 1Н-ЯМР (ДМСО-d6): Следующие соединения формулы (I) получали при взаимодействии N-[(3R)-1-азабицикло[2.2.2]окт-3-ил]-2-оксо-2-тиен-2-илацетамида (промежуточное соединение I-1) и реактива Гриньяра по методу (в): N-[(3R)-1-азабицикло[2.2.2]окт-3-ил]-2-гидрокси-2-тиен-2-илпент-4-енамид (пример 20), (2*)-N-[(3R)-1-азабицикло[2.2.2]окт-3-ил]-2-гидрокси-2-тиен-2-илбутанамид (диастереомер 1, пример 21) и (2*)-N-[(3R)-1-азабицикло[2.2.2]окт-3-ил]-2-гидрокси-2-тиен-2-илбутанамид (диастереомер 2, пример 22), указанные диастереомеры разделяли хроматографией на колонке с силикагелем (элюент:CHCl3/MeOH/NH4OH, 90:10:1), в первой фракции получали диастереомер 1, во второй фракции получали диастереомер 2; (2*)-N-[(3R)-1-азабицикло[2.2.2]окт-3-ил]-2-гидрокси-2-илбут-3-енамид (диастереомер 1, пример 23) и (2*)-N-[(3R)-1-азабицикло[2.2.2]окт-3-ил]-2-гидрокси-2-илбут-3-енамид (диастереомер 2, пример 24), указанные диастереомеры разделяли хроматографией на колонке с силикагелем (элюент: CHCl3/MeOH/NH4OH, 90:10:1), в первой фракции получали диастереомер 1, во второй фракции получали диастереомер 2. (*) Конфигурация не определена. Следующие соединения формулы (I) также получали по методу (в): N-[(3S)-1-азабицикло[2.2.2]окт-3-ил]-2-гидрокси-2,2-дитиен-2-илацетамид (пример 15) получали из промежуточного соединения I-2 и 2-тиениллития (коммерческий препарат), N-(1-азабицикло[2.2.2]окт-3-ил)-2-гидрокси-2,2-дитиен-2-илацетамид (пример 1) получали из промежуточного соединения I-3 и 2-тиениллития. Получение N-[(3R)-1-азабицикло[2.2.2]окт-3-ил]-2-(5-бромтиен-2-ил)-2-(4-фтор-3-метилфенил)-2-гидроксиацетамида (пример 48) К суспензии 2-(5-бромтиен-2-ил)-2-оксоуксусной кислоты (2,6 г, 0,011 моля) и двух капель ДМФА в 30 мл CHCl3 (не содержащего этанол) при 0°С добавляли оксалилхлорид (1,16 мл, 0,013 моля) и смесь перемешивали при нагревании до комнатной температуры в течение 1,5 ч. Затем реакционную смесь концентрировали в вакууме досуха, полученный остаток растворяли в CHCl3 (15 мл) и концентрировали. Указанную процедуру повторяли дважды. Полученный остаток растворяли в CHCl3 (30 мл), раствор охлаждали до 0°С и добавляли 1,67 г (0,013 моля) (3R)-аминохинуклидина и смесь нагревали до комнатной температуры и перемешивали в течение 3 ч. Затем реакционную смесь обрабатывали насыщенным раствором К2СО3 и водный слой экстрагировали CH2Cl2. Органические слои объединяли, промывали водой, сушили над Na2SO4, фильтровали и упаривали. Полученный продукт (N-[(3R-)-1-азабицикло[2.2.2]окт-3-ил]-2-(5-бромтиен-2-ил)-2-оксоацетамид) использовали без дополнительной очистки, как описано ниже. Полученный продукт растворяли в сухом ТГФ (45 мл), раствор охлаждали до -80°С, добавляли 14,4 мл 1 М раствора 4-фтор-3-метилфенилмагнийбромида (0,014 моля) в ТГФ и смесь перемешивали при пониженной температуре в течение 3 ч. Затем реакционную смесь обрабатывали насыщенным раствором NH4Cl и экстрагировали AcOEt. Органический слой сушили над Na2SO4, фильтровали и растворитель выпаривали. Полученный продукт очищали хроматографией на колонке с силикагелем (элюент:градиент CHCl3/MeOH/NH4OH, от 99:1:1 до 96:4:1), при этом получали 2,1 г указанного в заголовке соединения (42% в расчете на исходную кислоту) в виде смеси диастереомеров. МС: 453, 455 [М+1]+. 1H-ЯМР (CDCl3): (смесь диастереомеров) 2-(5-Бромтиен-2-ил)-2-оксоуксусную кислоту получали гидролизом этилового эфира 2-(5-бромтиен-2-ил)-2-оксоуксусной кислоты в стандартных условиях (EtOH, 2 н. NaOH, 60°C, 1,5 ч). Получение N-[(3R)-1-азабицикло[2.2.2]окт-3-ил]-2-фур-2-ил-2-гидроксипент-3-инамида (пример 45) К суспензии 1,72 г (0,012 моля) 2-фур-2-ил-2-оксоуксусной кислоты и двух капель ДМФА в 40 мл СНС1з (не содержащего этанол) при 0°С добавляли оксалилхлорид (1,17 мл, 0,013 моля) и полученную смесь перемешивали при нагревании до комнатной температуры в течение 1 ч. Затем смесь концентрировали в вакууме досуха, полученный остаток растворяли в CHCl3 (20 мл) и снова концентрировали. Указанную процедуру повторяли дважды. Полученный продукт растворяли в CHCl3 (50 мл), раствор охлаждали до 0°С, добавляли 1,7 г (0,013 моля) (3R)-аминохинуклидина, смесь нагревали до комнатной температуры и перемешивали в течение 16 ч. Затем реакционную смесь обрабатывали насыщенным раствором К2СО3 и водный слой экстрагировали CH2Cl2. Органические слои объединяли, промывали водой, сушили над Na2SO4, фильтровали и упаривали. Полученный продукт (N-[(3R)-1-азабицикло[2.2.2]окт-3-ил]-2-(2-фурил)-2-оксоацетамид) использовали без дополнительной очистки, как описано ниже. Указанный продукт растворяли в сухом ТГФ (50 мл), полученный раствор охлаждали до -80°С, добавляли 28 мл 0,5 М раствора 1-пропинилмагнийбромида (0,014 моля) в ТГФ и смесь перемешивали при нагревании до комнатной температуры в течение 3 ч. Затем реакционную смесь обрабатывали насыщенным раствором NH4Cl и экстрагировали AcOEt и CH2Cl2. Органические слои объединяли, сушили над Na2SO4, фильтровали и растворитель выпаривали. Полученный продукт очищали хроматографией на колонке с силикагелем (элюент:градиент CHCl3/МеОН/NH4ОН, от 97:3:1 до 94:6:1), при этом получали 1,38 г указанного в заголовке соединения (39% в расчете на исходную кислоту) в виде смеси диастереомеров. МС: 289 [М+1]+. 1H-ЯМР (CDCl3): (смеь диастереомеров) 5 7,36-7,35 (m, 1H), 6,87-6,76 (m, NH, 1H), 6,54-6,52 (m, 1H), 6,34-6,32 (m, 1H), 3,92 (m, 1H), 3,29-3,17 (m, 1H), 2,78-2,64 (m, 4H), 2,47-2,35 (m, 1H), 2,00-1,90 (m, 1H), 1,92 (s, 3H), 1,70-1,39 (m, 4H). Получение N-[(3R)-1-азабицикло[2.2.2]окт-3-ил]-2-фур-2-ил-2-гидрокси-4-(4-метоксифенил)бутанамида (пример 46) Указанный продукт получали по методике, описанной в примере 45. При этом 2 г (0,014 моля) 2-фур-2-ил-2-оксоуксусной кислоту обрабатывали 4-метоксифенетилмагнийхлоридом (0,021 моля, 43 мл 0,5 М раствора в ТГФ) в качестве реактива Гриньяра. Полученный продукт очищали хроматографией на колонке с силикагелем (элюент:градиент CHCl3/МеОН/NH4OH от 99:1:1 до 97:3:1), при этом получали 2,4 г указанного в заголовке соединения (44% в расчете на исходную кислоту) в виде смеси диастереомеров. МС: 385 [М+1]+. 1Н-ЯМР (CDCl3): (смесь диастереомеров) Метод (г) Получение бромида (3R)-1-(3-феноксипропил)-3-[(9Н-ксантен-9-илкарбонил)амино]-1-азонийбицикло[2.2.2]октана (пример 32) 0,3 г (0,00089 моля) N-[(3R)-1-Азабицикло[2.2.2]окт-3-ил]-9Н-ксантен-9-карбоксамида (пример 31) растворяли в 6 мл ТГФ и к полученному раствору добавляли 0,21 мл (0,287 г, 0,001335 моля) (3-бромпропокси)бензола. Смесь кипятили с обратным холодильником в течение 4 ч, а затем перемешивали при комнатной температуре в течение 17 ч. Реакционную смесь фильтровали, полученное твердое вещество промывали несколько раз эфиром и высушивали, при этом получали 0,48 г (98%) указанного в заголовке соединения, tпл. 278,5-279,2°С. МС: 469 [М-Br]+. 1Н-ЯМР (ДМСО-d6): Получение бромида 3-{[(9-гидрокси-9Н-флуорен-9-ил)карбонил]амино}-1-метил-1-азонийбицикло[2.2.2]октана (пример 42) 0,245 г (0,00073 моля) N-(1-азабицикло[2.2.2]окт-3-ил)-9-гидрокси-9Н-флуорен-9-карбоксамида (пример 41) растворяли в 4 мл ацетонитрила и 6 мл CHCl3, к полученному раствору добавляли 5,46 мл 1 М раствора бромистого метила в ацетонитриле и смесь перемешивали при комнатной температуре в атмосфере N2 в течение 96 ч. Затем растворители выпаривали и остаток трижды упаривали в смеси с эфиром. К остатку добавляли эфир и смесь перемешивали. Полученное твердое вещество отделяли фильтрованием и несколько раз промывали эфиром, при этом получали 0,26 г (83,8%) указанного в заголовке соединения. tпл. 197,5-203,6°С. МС: 349 [М-Br]+. 1Н-ЯМР (ДМСО-d6): Метод (д) Получение трифторацетата (3S)-1-циклогексилметил-3-[(9Н-ксантен-9-илкарбонил)амино]-1-азонийбицикло[2.2.2]октана (пример 36) 28,15 мг (0,0842 ммоля) N-[(3S)-1-азабицикло[2.2.2]окт-3-ил]-9Н-ксантен-9-карбоксамида (пример 33) растворяли в 0,5 мл ДМСО, добавляли раствор 74,37 мг (0,421 ммоля) (бромметил)циклогексана в 0,5 мл ДМСО и смесь перемешивали при комнатной температуре в течение ночи. Смесь очищали на картридже с катионитом Mega Bond Elut для твердофазной экстракции, который предварительно промывали 0,1 М NaH2РО4 (рН 7,5). Реакционную смесь наносили на картридж, который промывали 2 мл ДМСО, а затем трижды порциями по 5 мл ацетонитрилом, при этом элюировали все исходные материалы. Производное аммония элюировали 5 мл 0,03 М раствора ТФУ в CH3CN/CHCl3, 2:1. Элюат нейтрализовали добавлением 300 мг поли(4-винилпиридина), фильтровали и упаривали досуха, при этом получали 12,4 мг (27,0%) указанного в заголовке соединения. МС: 431 [М-CF3СОО]+. Получение трифторацетата (3R)-3-(2-гидрокси-2,2-дитиен-2-илацетиламино)-1-[3-(3-гидроксифенокси)пропил]-1-азонийбицикло[2.2.2]октана (пример 12) Указанное в заголовке соединение получали (12,7 мг, 24%), как описано в примере 36 при взаимодействии 30 мг (0,0861 ммоля) N-[(3R)-1-азабицикло[2.2.2]окт-3-ил]-2-гидрокси-2,2-дитиен-2-илацетамида (пример 4) (растворенного в 0,5 мл ДМСО) и 78 мг (0,418 ммоля) 3-(3-хлорпропокси)фенола (растворенного в 0,5 мл ДМСО). МС: 499 [М-CF3СОО]+. Кроме того, в объем настоящего изобретения включены фармацевтические композиции, которые в качестве активного ингредиента содержат по меньшей мере одно производное хинуклидинамида формулы (I) или (II) в смеси с фармацевтически приемлемым носителем или разбавителем. Предпочтительно композицию получают в форме, пригодной для перорального введения. Фармацевтически приемлемый носитель или разбавители, которые смешивают с активным соединением или соединениями с образованием композиции по настоящему изобретению, известны в данной области техники, а выбор фактически используемых эксципиентов зависит от предлагаемого способа введения композиции. Композиции по настоящему изобретению предпочтительно предназначены для перорального введения. Композиции для перорального введения получают в форме таблеток, таблеток с покрытием, жидкой лекарственной формы для ингаляции, порошкообразной лекарственной формы для ингаляции или лекарственной формы в виде аэрозоля, причем все указанные формы содержат одно или более соединений по изобретению. Такие препараты получают известными способами. Разбавители, которые используются при получении композиций, включают жидкие и твердые разбавители, которые совместимы с активным ингредиентом, при необходимости в смеси с красителями и ароматизаторами. Таблетки и таблетки с покрытием обычно содержат от 1 до 500 мг, предпочтительно от 5 до 300 мг активного ингредиента. Композиции для ингаляции могут содержать от 1 до 1000 мкг, предпочтительно от 10 до 800 мкг активного ингредиента. Доза соединения формулы (I) или (II) зависит от требуемого действия и продолжительности лечения, при введении взрослому пациенту доза обычно составляет от 3 до 300 мг в сутки в случае приема таблетки, и от 10 до 800 мкг в сутки при введении ингаляцией. Фармакологическое действие Ниже описан анализ связывания с мускариновыми рецепторами человека и испытания на модели бронхоспазма у морских свинок. Исследование связывания с мускариновым рецептором человека Связывание [3H]-NMS с мускариновыми рецепторами человека определяли, как описано Waelbroeck и др., Mol. PharmacoL, 38, 267-273 (1990). Анализ проводили при 25°С. Использовали мембранные препараты, полученные из стабильно трансфектированных клеток яичника китайского хомячка К-1 (СНО), экспрессирующих гены мускариновых рецепторов М3 человека. Для определения IC50 мембранные препараты суспендировали в DPBS при конечной концентрации подвида М3 89 мкг/мл. Суспению мембран инкубировали с соединением, меченым тритием, в течение 60 мин. После инкубации мембранную фракцию отделяли фильтрованием и определяли связанную радиоактивную метку. Неспецифическое связывание определяли при добавлении 10-4 М атропина. При построении индивидуальных кривых конкурентного связывания анализ проводили с использованием по меньшей мере шести концентраций с двойным повтором. Полученные результаты свидетельствуют о том, что соединения по настоящему изобретению обладают высоким сродством к мускариновым рецепторам М3, предпочтительно мускариновым рецепторам человека. Таким образом, у предпочтительных соединений по изобретению величина IC50 составляет менее 100 нМ. У наиболее предпочтительных соединений, таких как соединения, описанные в примерах 1, 3, 4, 8, 10, 11, 19, 30 и 32, описанных ниже, IC50 составляет менее 60 нМ. Испытания на модели бронхоспазма у морских свинок Испытания проводили, как описано H.Konzett и F.Rossler, Arch. Exp. Path. Pharmacol., 195, 71-74 (1940). Водные растворы анализируемых соединений вводили ингаляцией при распылении анестезированным, находящимся на искусственном дыхании самцам морских свинок (Dunkin-Hartley). До и после введения лекарственного средства определяли бронхиальную ответную реакцию на внутривенное введение ацетилхолина и регистрировали изменение сопротивляемости легких через определенные промежутки времени (в процентах подавления бронхоспазма). Соединения по настоящему изобретению ингибировали ответную реакцию в виде бронхоспазма на ацетилхолин с высоким и продолжительным действием. На основании полученных результатов для специалиста в данной области представляется очевидным, что соединения по настоящему изобретению обладают чрезвычайно высокой антимускариновой М3 активностью и, следовательно, могут применяться для лечения заболеваний, ассоциированных с мускариновым рецептором М3, включая респираторные нарушения, такие как хроническое обструктивное заболевание легких (COPD), бронхит, бронхиальная повышенная реактивность, астма, кашель, ринит; урологические нарушения, такие как недержание мочи, поллакиурия, нейрогенный или нестабильный мочевой пузырь, цистоспазматический и хронический цистит; желудочно-кишечные нарушения, такие как синдром раздраженной толстой кишки, спастический колит, дивертикулит и желудочная язва; и сердечно-сосудистые заболевания, такие как синусная брадикардия, индуцированная блуждающим нервом. Кроме того, в настоящем изобретении предлагается соединение формулы (I) или (II) или фармацевтически приемлемая композиция, включающая соединение формулы (I) или (II), для применения в способе лечения человека или животного, прежде всего для лечения респираторного, урологического или желудочно-кишечного заболевания или нарушения. Кроме того, в настоящем изобретении предлагается применение соединения формулы (I) или (II) или фармацевтически приемлемой композиции, включающей соединение формулы (I) или (II), для получения лекарственного средства, предназначенного для лечения респираторного, урологического или желудочно-кишечного заболевания или нарушения. Кроме того, соединения формулы (I) или (II) и фармацевтические композиции, включающие соединение формулы (I) или (II), можно использовать в способе лечения респираторного, урологического или желудочно-кишечного заболевания или нарушения, причем указанный способ включает введение человеку или животному, которые нуждаются в таком лечении, эффективного и нетоксичного количества соединения формулы (I) или (II) или фармацевтической композиции, включающей соединение формулы (I) или (II). Кроме того, соединения формулы (I) или (II) и фармацевтические композиции, включающие соединение формулы (I) или (II), можно использовать в комбинации с другими лекарственными средствами, эффективными при лечении указанных заболеваний. Например, с Настоящее изобретение иллюстрируется следующими примерами, не ограничивающими его объем. Пример 1 N-(1-Азабицикло[2.2.2]окт-3-ил)-2-гидрокси-2,2-дитиен-2-илацетамид Указанное в заголовке соединение синтезировали по методу в. Выход 0,67 г, 15,2%. tпл. 185°C. MC: 349 [М+1]+. 1H-ЯМР (ДМСО-d6): Пример 2 Бромид 3-(2-гидрокси-2.2-дитиен-2-илацетиламино)-1-метил-1-азонийбицикло[2.2.2]октана Указанное в заголовке соединение синтезировали по методам в и г. Выход на конечной стадии 0,16 г, 68%. МС: 363 [M-Br]+. 1H-ЯМР (ДМСО-d6): Пример 3 Бромид 3-(2-гидрокси-2,2-дитиен-2-илацетиламино)-1-(3-феноксипропил)-1-азонийбицикло[2.2.2]октана Указанное в заголовке соединение синтезировали по методам в и г. Выход на конечной стадии 0,24 г, 82,7%. tпл. 180,6-188,3°C. МС: 483 [М-Br]+. 1H-ЯМР (ДМСО-d6): Пример 4 N-[(3R)-1-Азабицикло[2.2.2]окт-3-ил]-2-гидрокси-2,2-дитиен-2-илацетамид Указанное в заголовке соединение синтезировали по методу в. Выход 8,77 г, 58,5%. tпл. 169°С. МС: 349 [М+1]+. 1Н-ЯМР (ДМСО-d6): Пример 5 Трифторацетат (3R)-3-(2-гидрокси-2,2-дитиен-2-илапетиламино)-1-метил-1-азонийбицикло[2.2.2]октана Указанное в заголовке соединение синтезировали по методам в и д. Выход на конечной стадии 0,0124 г, 30,2%. МС: 363 [М-CF3СОО]+. Пример 6 Трифторацетат (3R)-1-аллил-3-(2-гидрокси-2,2-дитиен-2-илацетиламино)-1-азонийбицикло[2.2.2]октана Указанное в заголовке соединение синтезировали по методам в и д. Выход на конечной стадии 0,010 г, 23,1%. МС: 389 [М-CF3СОО]+. Пример 7 Трифторацетат (3R)-1-гептил-3-(2-гидрокси-2,2-дитиен-2-илацетиламино)-1-азонийбицикло[2.2.2]октана Указанное в заголовке соединение синтезировали по методам в и д. Выход на конечной стадии 0,0118 г, 24,4%. МС: 447 [М-CF3СОО]+. Пример 8 Бромид (3R)-3-(2-гидрокси-2.2-дитиен-2-илацетиламино)-1-(3-фенилпропил)-1-азонийбицикло[2.2.2]октана Указанное в заголовке соединение синтезировали по методам в и г. Выход на конечной стадии 0,49 г, 78%. tпл. 117,3-118,9°С. МС: 467 [М-Br]+. 1Н-ЯМР (ДМСО-d6): Пример 9 Трифторацетат (3R)-3-(2-гидрокси-2,2-дитиен-2-илацетиламино)-1-((Е)-3-фенилаллил)-1-азонийбицикло[2.2.2]октана Указанное в заголовке соединение синтезировали по методам в и д. Выход на конечной стадии 0,0032 г, 6,4%. МС: 465 [М-CF3СОО]+. Пример 10 Бромид (3R)-3-(2-гидрокси-2,2-дитиен-2-илацетиламино)-1-(2-феноксиэтил)-1-азонийбицикло[2.2.2]октана Указанное в заголовке соединение синтезировали по методам в и г. Выход на конечной стадии 0,470 г, 74%. tпл. 112,6-113,9°C. МС: 469 [M-Br]+. 1Н-ЯМР (ДМСО-d6): Пример 11 Бромид (3R)-3-(2-гидрокси-2,2-дитиен-2-илацетиламино)-1-(3-феноксипропил)-1-азонийбицикло[2.2.2]октана Указанное в заголовке соединение синтезировали по методам в и г. Выход на конечной стадии 0,65 г, 80%. tпл. 182°С. МС: 483 [M-Br]+. 1Н-ЯМР (ДМСО-d6): Пример 12 Трифторацетат (3R)-3-(2-гидрокси-2,2-дитиен-2-илацетиламино)-1-[3-(3-гидроксифенокси)пропил]-1-азонийбицикло[2.2.2]октана Указанное в заголовке соединение синтезировали по методам в и д. Выход на конечной стадии 0,0127 г, 24,0%. МС: 499 [М-CF3СОО]+. Пример 13 Трифторацетат (3R)-1-(2-бензилоксиэтил)-3-(2-гидрокси-2,2-дитиен-2-илацетиламино)-1-азонийбицикло[2.2.2]октана Указанное в заголовке соединение синтезировали по методам в и д. Выход на конечной стадии 0,0146 г, 28,4%. МС: 483 [М-CF3СОО]+. Пример 14 Бромид (3R)-3-(2-гидрокси-2,2-дитиен-2-илацетиламино)-1-(3-тиен-2-илпропил)-1-азонийбицикло[2.2.2]октана Указанное в заголовке соединение синтезировали по методам в и г. Выход на конечной стадии 0,49 г, 77%. tпл. 111,1-113,2°С. МС: 473 [М-Br]+. 1H-ЯМР (ДМСО-d6): Пример 15 N-[(3S)-1-Азабицикло[2.2.2]окт-3-ил]-2-гидрокси-2,2-дитиен-2-илацетамид Указанное в заголовке соединение синтезировали по методу в. Выход 0,44 г, 7,67%. МС: 349 [М+1]+. 1H-ЯМР (CDCl3): Пример 16 Бромид (3S)-3-(2-гидрокси-2,2-дитиен-2-илацетиламино)-1-(3-феноксипропил)-1-азонийбицикло[2.2.2]октана Указанное в заголовке соединение синтезировали по методам в и г. Выход на конечной стадии 0,36 г, 70,6%. tпл. 172,8-173,9°C. MC: 483 [M-Br]+. 1H-ЯМР (ДМСО-d6): Пример 17 N-[(3R)-1-Азабицикло[2.2.2]окт-3-ил]-2,2-дитиен-2-илацетамид Указанное в заголовке соединение синтезировали по методу б. Выход 0,31 г, 17,3%. tпл. 165°С. MC: 333 [М+1]+. 1Н-ЯМР (CDCl3): Пример 18 Бромид (3R)-3-(2,2-дитиен-2-илацетиламино)-1-(3-феноксипропил)-1-азонийбицикло[2.2.2]октана Указанное в заголовке соединение синтезировали по методам б и г. Выход на конечной стадии 0,21 г, 79,8%. tпл. 135,6-137,1°С. MC: 467 [М-Br]+. 1Н-ЯМР (ДМСО-d6): Пример 19 N-[(3R)-1-Азабицикло[2.2.2]окт-3-ил]-2-циклопентил-2-гидрокси-2-тиен-2-илацетамид Указанное в заголовке соединение синтезировали в виде смеси диастереомеров по методу б. Выход 0,12 г, 27,9%. MC: 335 [М+1]+. 1Н-ЯМР (ДМСО-d6): (смесь диастереомеров 50:50) Пример 20 N-[(3R)-1-Азабицикло[2.2.2]окт-3-ил]-2-гидрокси-2-тиен-2-илпент-4-енамид Указанное в заголовке соединение синтезировали в виде смеси диастереомеров по методу в. Выход 1,92 г, 82,4%. tпл. 54,4-58,3°C. MC: 307 [M+1]+. 1H-ЯМР (ДМСО-d6): (смесь диастереомеров) Пример 21 (2*)-N-[(3R)-1-Азабицикло[2.2.2]окт-3-ил]-2-гидрокси-2-тиен-2-илбутанамид (диастереомер 1, 70:30) Указанное в заголовке соединение синтезировали по методу в. Выход 0,19 г, 34% (в расчете на один изомер). tпл. 139,0-140,7°С, MC: 295 [М+1]+. 1H-ЯМР (ДМСО-d6): (диастереомер 1, 70:30) (*): Конфигурация не установлена. Пример 22 (2*)-N-[(3R)-1-Азабицикло[2.2.2]окт-3-ил]-2-гидрокси-2-тиен-2-илбутанамид (диастереомер 2, 27:73) Указанное в заголовке соединение синтезировали по методу в. Выход 0,42 г, 75% (в расчете на один изомер). tпл. 68,9-70,2°С. MC: 295 [М+1]+. 1H-ЯМР (ДМСО-d6): (диастереомер 2, 27:73) (*): Конфигурация не установлена. Пример 23 (2*)-N-[(3R)-1-Азабицикло[2.2.2]окт-3-ил]-2-гидрокси-2-тиен-2-илбут-3-енамид (диастереомер 1) Указанное в заголовке соединение синтезировали по методу в. Выход 0,21 г, 18,9% (в расчете на один изомер). tпл. 171,7-173,2°С. МС: 293 [М+1]+. 1Н-ЯМР (ДМСО-d6): (диастереомер 1) (*): Конфигурация не установлена. Пример 24 (2*)-N-[(3R)-1-Азабицикло[2.2.2]окт-3-ил]-2-гидрокси-2-тиен-2-илбут-3-енамид (диастереомер 2) Указанное в заголовке соединение синтезировали по методу в. Выход 0,21 г, 18,9% (в расчете на один изомер). tпл. 53,8-55,0°С. МС: 293 [М+1]+. 1H-ЯМР (ДМСО-d6): (диастереомер 2) (*): Конфигурация не установлена. Пример 25 N-[(3R)-1-Азабицикло[2.2.2]окт-3-ил]-2,3-дифенилпропанамид Указанное в заголовке соединение синтезировали в виде смеси диастереомеров по методу а. Выход 1,21 г, 82,3%. tпл. 142°C. МС: 335 [М+1]+. 1H-ЯМР (ДМСО-d6): (смесь диастереомеров) Пример 26 N-[(3R)-1-Азабицикло[2.2.2]окт-3-ил]-2-циклопентил-2-гидрокси-2-фенилацетамид Указанное в заголовке соединение синтезировали в виде смеси диастереомеров по методу б. Выход 0,25 г, 28,4%. tпл. 69,8-73,3°С. MC: 329 [M+1]+. 1H-ЯМР (ДМСО-d6): (смесь диастереомеров) Пример 27 N-[(3R)-1-Азабицикло[2.2.2]окт-3-ил]-2-фенилгексанамид Указанное в заголовке соединение синтезировали в виде смеси диастереомеров по методу а. Выход 1,59 г, 63,1%. tпл. 136°С. MC: 301 [М+1]+. 1Н-ЯМР (ДМСО-d6): (смесь диастереомеров 50:50) Пример 28 N-(1-Азабицикло[2.2.2]окт-3-ил)-9Н-ксантен-9-карбоксамид Указанное в заголовке соединение синтезировали по методу б. Выход 0,28 г, 19%. tпл. 251°C. MC: 335 [M+1]+. 1Н-ЯМР (ДМСО-d6): Указанное в заголовке соединение синтезировали также по методу а. Выход 2,11 г, 52,6%. Пример 29 Бромид 1-метил-3-[(9Н-ксантен-9-илкарбонил)амино]-1-азонийбицикло[2.2.2]октана Указанное в заголовке соединение синтезировали по методам а и г. Выход на конечной стадии 0,25 г. 77,6%. tпл. 318°С. MC: 349 [M-Br]+. 1Н-ЯМР (ДМСО-d6): Пример 30 Бромид 1-(3-феноксипропил)-3-[(9Н-ксантен-9-илкарбонил)амино]-1-азонийбицикло[2.2.2]октана Указанное в заголовке соединение синтезировали по методам а и г. Выход на конечной стадии 0,44 г, 100%. tпл. 242°C. MC: 469 [M-Br]+. 1Н-ЯМР (ДМСО-d6): Пример 31 N-[(3R)-1-Азабицикло[2.2.2]окт-3-ил]-9Н-ксантен-9-карбоксамид Указанное в заголовке соединение синтезировали по методу а. Выход 1,03 г, 43,4%. tпл. 239,7-241,4°C. MC: 335 [M+1]+. 1H-ЯМР (ДМСО-d6): Пример 32 Бромид (3R)-1-(3-феноксипропил)-3-[(9Н-ксантен-9-илкарбонил)амино]-1-азонийбицикло[2.2.2]октана Указанное в заголовке соединение синтезировали по методам а и г. Выход на конечной стадии 0,48 г, 98%. tпл. 278,5-279,2°C. MC: 469 [М-Br]+. 1Н-ЯМР (ДМСО-d6): Пример 33 N-[(3S)-1-Азабицикло[2.2.2]окт-3-ил]-9Н-ксантен-9-карбоксамид Указанное в заголовке соединение синтезировали по методу а. Выход 1,1 г, 60%. tпл. 244,2-244,9°С. MC: 335 [M+1]+. 1Н-ЯМР (ДМСО-d6): Пример 34 Трифторацетат (3S)-1-аллил-3-[(9Н-ксантен-9-илкарбонил)амино]-1-азонийбицикло[2.2.2]октана Указанное в заголовке соединение синтезировали по методам а и д. Выход на конечной стадии 0,0091 г, 22,1%. МС: 375 [М-CF3СОО]+. Пример 35 Трифторацетат (3S)-1-гептил-3-[(9Н-ксантен-9-илкарбонил)амино]-1-азонийбицикло [2.2.2] октана Указанное в заголовке соединение синтезировали по методам а и д. Выход на конечной стадии 0,0097 г, 21,0%. МС: 433 [М-CF3СОО]+. Пример 36 Трифторацетат (3S)-1-циклогексилметил-3-[(9Н-ксантен-9-илкарбонил)амино]-1-азонийбицикло[2.2.2]октана Указанное в заголовке соединение синтезировали по методам а и д. Выход на конечной стадии 0,0124 г, 27,0%. МС: 431 [М-CF3СОО]+. Пример 37 Трифторацетат (3S)-1-(3-циклогексилпропил)-3-[(9Н-ксантен-9-илкарбонил)амино]-1-азонийбицикло[2.2.2]октана Указанное в заголовке соединение синтезировали по методам а и д. Выход на конечной стадии 0,0045 г, 9,3%. МС: 459 [М-CF3СОО]+. Пример 38 Бромид (3S)-1-(3-феноксипропил)-3-[(9Н-ксантен-9-илкарбонил)амино]-1-азонийбицикло[2.2.2]октана Указанное в заголовке соединение синтезировали по методам а и г. Выход на конечной стадии 0,28 г, 85%. tпл. 279,0-280,4°C. МС: 469 [M-Br]+. 1Н-ЯМР (ДМСО-d6): Пример 39 Трифторацетат (3S)-1-[3-(5,6,7,8-тетрагидронафталин-2-илокси)пропил]-3-[(9Н-ксантен-9-илкарбонил)амино]-1-азонийбицикло[2.2.2]октана Указанное в заголовке соединение синтезировали по методам а и д. Выход на конечной стадии 0,0114 г, 21,2%. МС: 523 [М-CF3СОО]+. Пример 40 Трифторацетат (3S)-1-[5-(2,6-диметилфенокси)пентил]-3-[(9Н-ксантен-9-илкарбонил)амино]-1-азонийбицикло[2.2.2]октана Указанное в заголовке соединение синтезировали по методам а и д. Выход на конечной стадии 0,0101 г, 18,7%. МС: 525 [М-CF3СОО]+. Пример 41 N-(1-Азабицикло[2.2.2]окт-3-ил)-9-гидрокси-9Н-флуорен-9-карбоксамид Указанное в заголовке соединение синтезировали по методу б. Выход 1,06 г, 17,6%. tпл. 230°C. МС: 335 [M+1]+. 1Н-ЯМР (CDCl3): Пример 42 Бромид 3-{[(9-гидрокси-9Н-флуорен-9-ил)карбонил]амино}-1-метил-1-азонийбицикло[2.2.2]октана Указанное в заголовке соединение синтезировали по методам б и г. Выход на конечной стадии 0,26 г, 83,8%. tпл. 197,5-203,6°C. МС: 349 [M-Br]+. 1Н-ЯМР (ДМСО-d6): Пример 43 Бромид 3-{[(9-гидрокси-9Н-флуорен-9-ил)карбонил]амино}-1-(3-феноксипропил)-1-азонийбицикло[2.2.2]октана Указанное в заголовке соединение синтезировали по методам б и г. Выход на конечной стадии 0,35 г, 87,5%. tпл. 264°C. МС: 469 [M-Br]+. 1H-ЯМР (ДМСО-d6): Пример 44 N-[(3R)-1-Азабицикло[2.2.2]окт-3-ил]-9-гидрокси-9Н-флуорен-9-карбоксамид Указанное в заголовке соединение синтезировали по методу б. Выход 0,304 г, 4%. МС: 335 [М+1]+. 1Н-ЯМР (CDCl3): Пример 45 N-[(3R)-1-Азабицикло[2.2.2]окт-3-ил]-2-фур-2-ил-2-гидроксипент-3-иламид Указанное в заголовке соединение синтезировали в виде смеси диастереомеров по методу в. Выход 1,38 г, 39%. МС: 289 [М+1]+. 1H-ЯМР (CDCl3): (смесь диастереомеров) Пример 46 N-[(3R)-1-Азабицикло[2.2.2]окт-3-ил]-2-фур-2-ил-2-гидрокси-4-(4-метоксифенил)бутанамид Указанное в заголовке соединение синтезировали в виде смеси диастереомеров по методу в. Выход 2,4 г, 44%. МС: 385 [М+1]+. 1H-ЯМР (CDCl3): (смесь диастереомеров) Пример 47 N-[(3R)-1-Азабицикло[2.2.2]окт-3-ил]-метил-9Н-ксантен-9-карбоксамид Указанное в заголовке соединение синтезировали по методу а. Выход 0,9 г, 50%. МС: 349 [M+1]+. 1H-ЯМР (400 МГц, 60°С, CDCl3): Пример 48 N-[(3R)-1-Азабицикло[2.2.2]окт-3-ил]-2-(5-бромтиен-2-ил)-2-(4-фтор-3-метилфенил)-2-гидроксиацетамид Указанное в заголовке соединение синтезировали в виде смеси диастереомеров по методу в. Выход 2,1 г, 42%. МС: 453, 455 [М+Н]+. 1Н-ЯМР (CDCl3): (смесь диастереомеров) Пример 49 (2S)-N-[(3R)-1-Азабицикло[2.2.2]окт-3-ил]-2-циклопентил-2-гидрокси-2-тиен-2-илацетамид Указанное в заголовке соединение синтезировали по методу б. Выход 0,650 г,44%.МС: 335 [M+]+. 1Н-ЯМР (CDCl3): Пример 50 Бромид (3R)-3-{[(2S)-2-циклопентил-2-гидрокси-2-тиен-2-илацетил]амино}-1-(2-гидроксиэтил)-1-азонийбицикло[2.2.2]октана Указанное в заголовке соединение синтезировали по методу г из соединения, описанного в примере 49. Время реакции составляло 5 сут (условия: ТГФ, кипячение с обратным холодильником). Полученный продукт очищали несколькими промываниями эфиром. Выход 0,174 г, 84%. МС: 379 [М-Br]+. 1Н-ЯМР (ДМСО-d6): Фармацевтические композиции по настоящему изобретению и способы их получения иллюстрируются следующими примерами. Пример 51 Получение фарамацевтической композиции в виде таблеток Состав
15 г Соединения по настоящему изобретению перемешивали с использованием смесителя с 340,8 г лактозы и 85,2 г микрокристаллической целлюлозы. Смесь подвергали формованию под давлением с использованием валкового пресса с образованием хлопьевидного спрессованного материала. Хлопьевидный спрессованный материал измельчали на молотковой мельнице и порошкообразный материал просеивали через сито 20 меш. Затем к просеянному материалу добавляли 4,5 г рыхлого кремниевого ангидрида и 4,5 г стеарата магния и смесь перемешивали. Смесь прессовали на таблетирующей машине, снабженной формой диаметром 7,5 мм, при этом получали 3000 таблеток, каждая массой 150 мг. Пример 52 Получение фармацевтической композиции в виде таблеток с покрытием Состав:
15 г Соединения по настоящему изобретению смешивали в смесителе для гранулирования в кипящем слое с 285,6 г лактозы и 122,4 г кукурузного крахмала. В отдельном сосуде 22,5 г поливинилпирролидона растворяли в 127,5 г воды для получения связующего раствора. На указанную смесь в машине для гранулирования наносили связующий раствор с образованием гранул. К полученным гранулам добавляли 4,5 г стеарата магния и смесь перемешивали. Полученную смесь прессовали на таблетирующей машине, снабженной двояковогнутой формой диаметром 6,5 мм, при этом получали 3000 таблеток, каждая массой 150 мг. В отдельном сосуде получали раствор покрытия, для этого в 72,6 г воды смешивали 6,9 г гидроксипропилметилцеллюлозы 2910, 1,2 г полиэтиленгликоля 6000, 3,3 г диоксида титана и 2,1 г очищенного талька. Полученным раствором покрывали 3000 таблеток, полученных выше, при этом получали таблетки с пленочным покрытием, каждая массой 154,5 мг. Пример 53 Получение фармацевтической композиции в виде жидкой лекарственной формы для ингаляции Состав
40 мг Соединения по настоящему изобретению растворяли в 90 мл физиологического раствора и доводили до общего объема 100 мл добавлением физиологического раствора. Полученный раствор фасовали по 1 мл в ампулы объемом 1 мл, а затем стерилизовали при 115°С в течение 30 мин с образованием жидкой лекарственной формы для ингаляции. Пример 54 Получение фармацевтической композиции в виде порошкообразной лекарственной формы для ингаляции Состав:
20 г Соединения по настоящему изобретению равномерно смешивали с 400 г лактозы и полученной смесью порциями по 200 мг заполняли ингалятор для эксклюзивного применения в виде порошкообразной лекарственной формы для ингаляции. Пример 55 Получение фармацевтической композиции в виде лекарственной формы для ингаляции аэрозолем Состав:
Концентрат активного ингредиента получали при растворении 0,0480 г соединения по настоящему изобретению в 2,0160 г этилового спирта. Концентрат помещали в соответствующий аппарат для наполнения контейнеров. Затем концентратом активного ингредиента заполняли контейнер, свободное пространство над раствором продували азотом или парами HFC-134А (ингредиенты для продувки должны содержать не более 1 млн. части кислорода) и закрывали клапаном. Затем закрытый контейнер заполняли под давлением 11,2344 г газа-вытеснителя HFC-134А.
Формула изобретения
1. Соединение, которое является производным хинуклидинамида формулы
где R1 означает водород или необязательно замещенную (низш.)алкильную группу с прямой или разветвленной цепью, R2 означает группу формулы I) или II) где R3 означает группу, выбранную из ряда: фенил, 2-фурил, 3-фурил, 2-тиенил или 3-тиенил, R4 означает группу, выбранную из ряда: необязательно замещенный (низш.)алкил, необязательно замещенный (низш.)алкенил, необязательно замещенный (низш.)алкинил, циклоалкил, циклоалкилметил, фенил, бензил, фенетил, 2-фурил, 3-фурил, 2-тиенил или 3-тиенил, R5 означает водород или гидрокси, метил или -СН2OH группу, бензольные циклы в формуле II) и циклические группы R3 и R4 каждая независимо и необязательно замещены одним, двумя или тремя заместителями, выбранными из группы, включающей галоген, необязательно замещенный (низш.)алкил с прямой или разветвленной цепью, гидрокси, необязательно замещенный (низш.)алкокси с прямой или разветвленной цепью, нитрогруппу, цианогруппу, -CO2R’ или -NR’-R”, где R’ и R” каждый независимо означает водород или необязательно замещенный (низш.)алкил с прямой или разветвленной цепью, или R’ и R” вместе с атомом, к которому они присоединены, образуют циклическую группу, Q означает простую связь или O-, р равно 1 или 2, а амидная группа расположена в положениях 2, 3 или 4 азабициклического цикла, или фармацевтически приемлемые соли указанных соединений, в том числе соли четвертичного аммония, и все их индивидуальные стереоизомеры и их смеси, при условии, что, если р равно 2, амидная группа расположена в положении 3 хинуклидиновго цикла, R1 означает водород, а R3 и R4 оба означают незамещенный фенил, то, если указанное соединение не означает фармацевтически приемлемую соль или означает гидрохлорид, то R5 не означает водород или гидрокси и, если указанное соединение означает соль четвертичного аммония, содержащего метальную группу, присоединенную к атому азота хинуклидинового цикла, то R5 не означает гидрокси. 2. Соединение по п.1, которое является солью четвертичного аммония формулы (II) где R1, R2 и р имеют значения, указанные в п.1, m означает целое число от 0 до 8, n означает целое число от 0 до 4, А означает группу, выбранную из ряда -СН2-, -СН=СН-, -O-, R6 означает водород, (низш.)алкил с прямой цепью, -СН=СН2, циклогексил, фенил, необязательно замещенный одним или двумя заместителями, выбранными из метильной или гидроксигрупп, 5,6,7,8-тетрагидронафталенил, и 2-тиенил, X– означает фармацевтически приемлемый анион моно- или поливалентной кислоты, и все индивидуальные стереоизомеры и их смеси, при условии, что, если р равно 2, амидная группа расположена в положении 3 хинуклидинового цикла, R1 означает водород, а R3 и R4 оба означают незамещенный фенил, R5 означает гидрокси, то в соединениях формулы (II) фрагмент R6-(СН2)n-А-(СН2)m– не означает метильную группу. 3. Соединение по п.2, где R1 означает водород, метил или этил. 4. Соединение по п.3, где R1 означает водород. 5. Соединение по п.2, где R2 означает группу формулы I), где R3 означает группу, выбранную из ряда: фенил, 2-тиенил, 3-тиенил или 2-фурил, необязательно замещенную одним или более атомами галогена. 6. Соединение по п.5, где R2 означает группу формулы I), где R3 означает фенил, 2-тиенил или 2-фурил, необязательно замещенную одним или более атомами галогена. 7. Соединение по п.5, где R2 означает группу формулы I), где R3 означает фенил или 2-тиенил. 8. Соединение по п.2, где R4 означает группу с прямой цепью, выбранную из ряда: этил, н-бутил, винил, аллил, 1-пропенил и 1-пропинил, или группу, выбранную из ряда: циклопентил, циклогексил, фенил, бензил, фенетил, 2-тиенил и 3-фурил, необязательно замещенную одним или более атомами галогена, метальными или метоксигруппами. 9. Соединение по п.8, где R4 означает группу с прямой цепью, выбранную из ряда этил, н-бутил, винил, аллил и 1-пропинил, или группу, выбранную из ряда циклопентил, фенил, бензил, фенетил и 2-тиенил, необязательно замещенную одним или более атомами галогена, метальными или метоксигруппами. 10. Соединение по п.9, где R4 означает группу, выбранную из ряда этил, н-бутил, винил, аллил, циклопентил, фенил, бензил или 2-тиенил. 11. Соединение по п.2, где R5 означает водород или гидрокси. 12. Соединение по любому из пп.1-11, где р равно 2, а амидная группа расположена в положениях 3 или 4 азабициклического цикла. 13. Соединение по п.12, где амидная группа расположена в положении 3 азабициклического цикла. 14. Соединение по п.2, где фрагмент R6-(CH2)n-A-(CH2)m– означает метил, 3-феноксипропил, 3-(3-гидроксифенокси)пропил, аллил, гептил, 3-фенилпропил, 3-фенилаллил, 2-феноксиэтил, 2-бензилоксиэтил, циклогексилметил, 3-(5,6,7,8-тетрагидронафталин-2-илокси)пропил, 5-(2,6-диметилфенокси)пентил, 3-тиен-2-илпропил или 3-циклогексилпропил, а X– означает бромид или трифторацетат. 15. Соединение по любому из пп.1-12 или 14, которое означает индивидуальный изомер. 16. Соединение по п.1, выбранное из следующих соединений: N-(1-азабицикло[2.2.2]окт-3-ил)-2-гидрокси-2,2-дитиен-2-илацетамид, N-[(3R)-1-азабицикло[2.2.2]окт-3-ил]-2-гидрокси-2,2-дитиен-2-илацетамид, N-[(3S)-1-азабицикло[2.2.2]окт-3-ил]-2-гидрокси-2,2-дитиен-2-илацетамид, N-[(3R)-1-азабицикло[2.2.2]окт-3-ил]-2,2-дитиен-2-илацетамид, N-[(3R)-1-азабицикло[2.2.2]окт-3-ил]-2-циклопентил-2-гидрокси-2-тиен-2-илацетамид, N-[(3R)-1-азабицикло[2.2.2]окт-3-ил]-2-гидрокси-2-тиен-2-илпент-4-енамид, (2*)-N-[(3R)-1-азабицикло[2.2.2]окт-3-ил]-2-гидрокси-2-тиен-2-илбутанамид (диастереомер 1), (2*)-N-[(3R)-1-азабицикло[2.2.2]окт-3-ил]-2-гидрокси-2-тиен-2-илбутанамид (диастереомер 2), (2*)-N-[(3R)-1-азабицикло[2.2.2]окт-3-ил]-2-гидрокси-2-тиен-2-илбут-3-енамид (диастереомер 1), (2*)-N-[(3R)-1-азабицикло[2.2.2]окт-3-ил]-2-гидрокси-2-тиен-2-илбут-3-енамид (диастереомер 2), N-[(3R)-1-азабицикло[2.2.2]окт-3-ил]-2,3-дифенилпропанамид, N-[(3R)-1-азабицикло[2.2.2]окт-3-ил]-2-циклопентил-2-гидрокси-2-фенилацетамид, N-[(3R)-1-азабицикло[2.2.2]окт-3-ил]-2-фенилгексанамид, N-(1-азабицикло[2.2.2]окт-3-ил)-9Н-ксантен-9-карбоксамид, N-[(3R)-1-азабицикло[2.2.2]окт-3-ил]-9Н-ксантен-9-карбоксамид, N-[(3S)-1-азабицикло[2.2.2]окт-3-ил]-9Н-ксантен-9-карбоксамид, N-(1-азабицикло[2.2.2]окт-3-ил)-9-гидрокси-9Н-флуорен-9-карбоксамид, N-[(3R)-1-азабицикло[2.2.2]окт-3-ил]-N-метил-9Н-ксантен-9-карбоксамид, (2S)-N-[(3R)-1-азабицикло[2.2.2]окт-3-ил]-2-циклопентил-2-гидрокси-2-тиен-2-илацетамид. 17. Соединение по п.2, выбранное из следующих соединений: бромид 3-(2-гидрокси-2,2-дитиен-2-илацетиламино)-1-метил-1-азонийбицикло[2.2.2]октана, бромид 3-(2-гидрокси-2,2-дитиен-2-илацетиламино)-1-(3-феноксипропил)-1-азонийбицикло[2.2.2]октана, трифторацетат (3R)-3-(2-гидрокси-2,2-дитиен-2-илацетиламино)-1-метил-1-азонийбицикло[2.2.2]октана, трифторацетат (3R)-1-аллил-3-(2-гидрокси-2,2-дитиен-2-илацетиламино)-1-азонийбицикло[2.2.2]октана, трифторацетат (3R)-1-гептил-3-(2-гидрокси-2,2-дитиен-2-илацетиламино)-1-азонийбицикло[2.2.2]октана, бромид (3R)-3-(2-гидрокси-2,2-дитиен-2-илацетиламино)-1-(3-фенилпропил)-1-азонийбицикло[2.2.2]октана, трифторацетат (3R)-3-(2-гидрокси-2,2-дитиен-2-илацетиламино)-1-((Е)-3-фенилаллил)-1-азонийбицикло[2.2.2]октана, бромид (3R)-3-(2-гидрокси-2,2-дитиен-2-илацетиламино)-1-(2-феноксиэтил)-1-азонийбицикло[2.2.2]октана, бромид (3R)-3-(2-гидрокси-2,2-дитиен-2-илацетиламино)-1-(3-феноксипропил)-1-азонийбицикло [2.2.2] октана, трифторацетат (3R)-3-(2-гидрокси-2,2-дитиен-2-илацетиламино)-1-[3-(3-гидроксифенокси)пропил]-1-азонийбицикло[2.2.2]октана, трифторацетат (3R)-1-(2-бензилоксиэтил)-3-(2-гидрокси-2,2-дитиен-2-илацетиламино)-1-азонийбицикло[2.2.2]октана, бромид (3R)-3-(2-гидрокси-2,2-дитиен-2-илацетиламино)-1-(3-тиен-2-илпропил)-1-азонийбицикло [2.2.2]октана, бромид (3S)-3-(2-гидрокси-2,2-дитиен-2-илацетиламино)-1-(3-феноксипропил)-1-азонийбицикло[2.2.2]октана, бромид (3R)-3-(2,2-дитиен-2-илацетиламино)-1-(3-феноксипропил)-1-азонийбицикло[2.2.2]октана, бромид 1-метил-3-[(9Н-ксантен-9-илкарбонил)амино]-1-азонийбицикло[2.2.2]октана, бромид 1-(3-феноксипропил)-3-[(9Н-ксантен-9-илкарбонил)амино]-1-азонийбицикло[2.2.2]октана, бромид (3R)-1-(3-феноксипропил)-3-[(9Н-ксантен-9-илкарбонил)амино]-1-азонийбицикло[2.2.2]октана, трифторацетат (3S)-1-аллил-3-[(9Н-ксантен-9-илкарбонил)амино]-1-азонийбицикло[2.2.2]октана, трифторацетат (3S)-1-гептил-3-[(9Н-ксантен-9-илкарбонил)амино]-1-азонийбицикло[2.2.2]октана, трифторацетат (3S)-1-циклогексилметил-3-[(9Н-ксантен-9-илкарбонил)амино]-1-азонийбицикло[2.2.2]октана, трифторацетат (3S)-1-(3-циклогексилпропил)-3-[(9Н-ксантен-9-илкарбонил)амино]-1-азонийбицикло[2.2.2]октана, бромид (3S)-1-(3-феноксипропил)-3-[(9Н-ксантен-9-илкарбонил)амино]-1-азонийбицикло[2.2.2]октана, трифторацетат (3S)-1-[3-(5,6,7,8-тетрагидронафталин-2-илокси)пропил]-3-[(9Н-ксантен-9-илкарбонил)амино]-1-азонийбицикло[2.2.2]октана, трифторацетат (3S)-1-[5-(2,6-диметилфенокси)пентил]-3-[(9Н-ксантен-9-илкарбонил)амино]-1-азонийбицикло[2.2.2]октана, бромид 3-{[(9-гидрокси-9Н-флуорен-9-ил)карбонил]амино}-1-метил-1-азонийбицикло[2.2.2]октана, бромид 3-{[(9-гидрокси-9Н-флуорен-9-ил)карбонил]амино}-1-(3-феноксипропил)-1-азонийбицикло[2.2.2]октана, бромид (3R)-3-{[(2S)-2-циклопентил-2-гидрокси-2-тиен-2-илацетил]амино}-1-(2-гидроксиэтил)-1-азонийбицикло[2.2.2]октана. 18. Способ получения соединения формулы (I) по п.1, где R2 означает группу формулы I), a R5 означает гидроксигруппу, причем указанный способ включает взаимодействие соединения формулы (V)
где R1 и R3 имеют значения, указанные в п.1, с соответствующим металлоорганическим соединением, таким как R4-Mg-Hal, где Hal означает галоген или R4Li, где R4 имеет значения, указанные в п.1. 19. Соединение формулы (V), выбранное из ряда N-1-азабицикло[2.2.2]окт-3-ил-2-оксо-2-тиен-2-илацетамид, N-[(3R)-1-азабицикло[2.2.2]окт-3-ил]-2-оксо-2-тиен-2-илацетамид, N-[(3S)-1-азабицикло[2.2.2]окт-3-ил]-2-оксо-2-тиен-2-илацетамид. 20. Способ получения соединения формулы (II) по п.2, включающий взаимодействие соединения формулы (I) по п.1 с алкилирующим агентом формулы R6-(CH2)n-A-(CH2)m-W, где R6, n, А и m имеют значения, указанные в п.2, a W означает любую пригодную уходящую группу. 21. Фармацевтическая композиция, обладающая активностью антагонистов мускариновых рецепторов М3 и содержащая соединение по любому из пп.1-11, 14, 16 или 17, в смеси с фармацевтически приемлемым носителем или разбавителем. 22. Соединение по любому из пп.1-11, 14, 16 или 17, для лечения патологического состояния или заболевания, интенсивность симптомов которого снижается благодаря антагонистическому воздействию на мускариновые рецепторы М3. 23. Применение соединения по любому из пп.1-11, 14, 16 или 17 для получения лекарственного средства, обладающего активностью антагонистов мускариновых рецепторов М3 и предназначенного для лечения патологического состояния или заболевания, интенсивность симптомов которого снижается благодаря антагонистическому воздействию на мускариновые рецепторы М3. 24. Применение по п.23, где патологическое состояние означает респираторное, урологическое или желудочно-кишечное заболевание или нарушение. 25. Способ ингибирования мускариновых рецепторов у субъекта, страдающего от патологического состояния, включающий введение указанному субъекту эффективного количества соединения по любому из пп.1-11, 14, 16 или 17. 26. Способ по п.25, где патологическое состояние означает респираторное, урологическое или желудочно-кишечное заболевание или нарушение. 27. Комбинированный продукт, включающий (1) соединение по любому из пп.1-11, 14, 16 или 17 и (2) агонист
PC4A – Регистрация договора об уступке патента СССР или патента Российской Федерации на изобретение
Прежний патентообладатель:
(73) Патентообладатель:
Договор № РД0038884 зарегистрирован 25.07.2008
Извещение опубликовано: 10.09.2008 БИ: 25/2008
|
||||||||||||||||||||||||||||||||||||||||||||||


2-агонистами, стероидами, антиаллергическими средствами, ингибиторами фосфодиэстеразы IV и/или антагонистами лейкотриена D4 (LTD4) при одновременном, раздельном или последовательном применении при лечении респираторного нарушения.






, част./млн) по отношению к внутреннему стандарту (тетраметилсилану). Степень очистки соединений определяли методом обращенно-фазовой ЖХВР на хроматографе Waters. Молекулярные ионы получали методом ионизации электрораспылением на масс-спектрометре Hewlett Packard.


