Патент на изобретение №2314294
|
||||||||||||||||||||||||||
(54) СПОСОБЫ ПОЛУЧЕНИЯ ПРОИЗВОДНЫХ ПИПЕРАЗИНА И ПРОМЕЖУТОЧНОЕ ВЕЩЕСТВО
(57) Реферат:
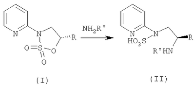
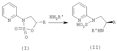
Предложен способ получения производных пиперазина, а именно N-арилпиперазинов формулы VI, где R, Ar и Aryl имеют значения, определенные в формуле изобретения, который включает взаимодействие соединения формулы (I) с NH2R’ и последующее превращение полученного промежуточного вещества формулы (II) в целевое соединение. Кроме того, предложен способ получения промежуточного вещества N1-(2′-пиридил)-1,2-алкандиаминсульфаминовой кислоты формулы (II), где R и R принимают значения, определенные в формуле изобретения, по приведенной схеме реакции. Изобретение также включает соединение формулы (II) и его оптические изомеры. Кроме того, изобретение относится к способу получения промежуточного соединения формулы (V) из промежуточного вещества формулы (II) и способу получения N-арилпиперазинов формулы VI, исходя из промежуточного соединения формулы (V). Технический результат – использование промежуточного вещества формулы (II) позволяет получать хиральные пиперазиновые производные, которые активны в отношении 5-НТ1A-рецептора, стереоселективным и конвергентным образом. 6 н. и 5 з.п. ф-лы.
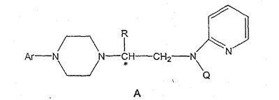
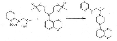
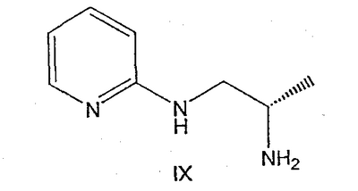
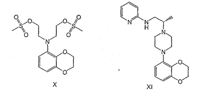
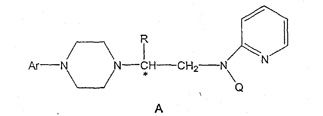
Данное изобретение относится к способам получения N-арилпиперазинов и их промежуточным соединениям. Пиперазины формулы А: где R представляет собой низший алкил, Ar представляет собой незамещенный или замещенный арил или гетероарил, Q представляет собой водород, СО-(низший)алкил, СО-циклоалкил или СО-арил и * показывает хиральный центр, являются высокоэффективными средствами, связывающими 5НТ1А-рецептор. В патенте США № 6127357 описываются производные пиперазина, которые пригодны для лечении расстройств центральной нервной системы (CNS). Энантиомеры таких пиперазинов могут проявлять различную связывающую активность в отношении 5НТ1А-рецепторов. Таким образом, их эффективность, селективность и метаболические эффекты могут различаться. В заявке WO 9703982 указывается, что некоторые энантиомеры таких пиперазинов проявляют улучшенное сродство к связыванию 5НТ1А-рецепторов и биодоступность. Поэтому существует потребность в эффективном, простом, дешевом и безопасном способе получения оптически предпочтительных пиперазинов. В заявке WO 9533725 описывается способ синтеза хиральных пиперазинов формулы А алкилированием соответствующего 1-арилпиперазина энантиомерно чистым 2-(5-метил-2,2-диоксидо-1,2,3-оксатиазолидин-3-ил)пиридином. В заявке WO 9533725 описываются также способы раскрытия нуклеотидного кольца сульфамидатов 1-арилпиперазином, и раскрытие различных первичных и вторичных аминов описано в публикации L.T. Boulton, J.Chem. Soc., Perkin Trans. 1, 1999, 1421-1429. В публикациях WO 97/37655 и Cignarella et al., Farmaco Ed. Sci.; 31; 1976; 194, 196 описывается получение и взаимодействие N1-(2′-пиридил)-1,2-пропандиамина. Данное изобретение касается способа получения N1-(2′-пиридил)-1,2-алкандиаминсульфаминовой кислоты формулы II, включающего взаимодействие соединения формулы I с NH2R’ где R выбран из группы, включающей С1-С3-алкил, и R’ представляет собой Н, С1-С6-алкил, С3-С7-циклоалкил, С2-С7-ацил, С5-С10-арил, С6-С11-ароил, (С3-С7)циклоалкил(С1-С6)алкил, ди-(С3–7)циклоалкил-(С1-С6)алкил, (С5-С10)арил(С1-С6)алкил и ди(С5-С10)арил-(С1-С6)алкил. Изобретение также касается соединения формулы II и его оптических изомеров. Изобретение относится также к способам, которые включают одну или несколько из следующих стадий реакции. Соединение формулы II может гидрироваться для превращения R’ в Н, если он не является Н, и затем гидролизоваться с использованием кислоты для получения соединения формулы III Далее либо соединение формулы II, где R’=Н, либо соединение формулы III может подвергаться взаимодействию с соединением формулы IV для получения соединения формулы V где Ar представляет собой дигидробензодиоксинил, или бензодиоксинил, или фенил, необязательно замещенный до трехкратно заместителями, независимо выбранными из галогена, метокси, галогенметила, дигалогенметила и тригалогенметила, и L представляет собой подходящую группу, такую как галоген (в частности, хлор или бром), тозилат, мезилат или п-бромфенилсульфонилокси. Соединение формулы V может подвергаться обработке ароильным соединением, выбранным из ароилхлорида, ароилбромида и ароилангидрида, в присутствии основания для получения соединения формулы VI где Aryl представляет собой С6-С12 ароматическую группу, необязательно замещенную до трехкратно заместителями, независимо выбранными из группы, включающей атомы галогенов, алкил, алкокси, алкоксикарбонил, нитро, амино, алкиламино, диалкиламино, галогеналкил, дигалогеналкил, тригалогеналкил, нитрил и амидогруппу, каждый из которых содержит не более шести атомов углерода. Объектом данного изобретения является новое промежуточное соединение формулы II, пригодное для получения N-арилпиперазинов. Следующим объектом данного изобретения является новый способ получения N-арилпиперазинов и промежуточные соединения для него. Еще одним объектом данного изобретения является новый способ получения соединения формулы II. Другие объекты и преимущества данного изобретения раскрываются специалисту приведенным далее подробным описанием данного изобретения и прилагаемой формулой изобретения. Предпочтительная форма осуществления данного изобретения представляет собой новый способ получения N-арилпиперазинов с использованием N1-(2′-пиридил)-1,2-пропандиаминсульфаминовой кислоты, в частности способ получения N-арилпиперазина формулы VI, где Aryl представляет собой 4-цианофенил. Другая предпочтительная форма осуществления данного изобретения представляет собой способ получения N1-(2′-пиридил)-1,2-пропандиаминсульфаминовой кислоты – нового, легко выделяемого твердого промежуточного соединения для получения N-арилпиперазинов и ее новых производных, которые также пригодны для получения N-арилпиперазинов. Некоторые соединения, используемые в способах данного изобретения, содержат один асимметричный атом углерода, что приводит к образованию энантиомерных форм соединений. Следует пояснить, что изобретение включает все энантиомеры таких соединений, в том числе рацемические смеси. Соединения, содержащие основный азот, могут образовывать комплексы со многими кислотами (как протонными, так и апротонными). Изобретение включает также приемлемые солевые формы, полученные в результате реакции присоединения как неорганических, так и органических кислот. Пригодными являются как неорганические кислоты, например соляная кислота (HCl), бромистоводородная кислота (HBr), йодистоводородная кислота (HI), серная кислота, фосфорная кислота, азотная кислота, так и органические кислоты, например уксусная кислота, пропионовая кислота, лимонная кислота, малеиновая кислота, яблочная кислота, винная кислота, фталевая кислота, янтарная кислота, метансульфоновая кислота, толуолсульфоновая кислота, нафталинсульфоновая кислота, камфорсульфоновая кислота, бензолсульфоновая кислота. В предпочтительной форме осуществления данного изобретения соединение формулы IV, где Ar представляет собой дигидробензодиоксинил, получают диалкилированием анилина в присутствии избытка хлорэтанола с последующим превращением полученного гидроксильного фрагмента в подходящую удаляемую группу, например Cl, Br, мезилат или тозилат: Альтернативно, соединение формулы IV, где Ar представляет собой дигидробензодиоксинил, получают диалкилированием анилина посредством алкилгалогенацетата с последующим восстановлением. В предпочтительной форме осуществления данного изобретения соединение формулы I, где R = CH3, раскрывается при использовании аммиака с инверсией стереоцентра и получением N1-(2′-пиридил)-1,2-пропандиаминсульфаминовой кислоты в виде легко выделяемого твердого вещества. В других случаях сульфамидат формулы I раскрывается с использованием аминов, таких как бензиламин или бензгидриламин, с получением соответствующих сульфаминовых кислот. Полученное соединение может гидрироваться в условиях гидрирования с получением сульфаминовой кислоты. Одна такая форма осуществления показана ниже: где R’ представляет собой бензгидрил или бензил. В другом предпочтительном аспекте данного изобретения N1-(2′-пиридил)-1,2-пропандиаминсульфаминовая кислота соединяется с димезилатом с получением пиперазина: где * показывает асимметрический углеродный стереоцентр. Фрагмент сульфаминовой кислоты может также функционировать в качестве защитной группы на стадии сочетания с димезилатом с получением пиперазина. Хиральность пиперазинового соединения остается неизменной при проведении последовательных реакций синтеза. Данное изобретение раскрывает способ с использованием N1-(2′-пиридил)-1,2-пропандиаминсульфаминовой кислоты, который пригоден для одностадийного синтеза оптически активных N,N’-дизамещенных пиперазинов стереоселективным и конвергентным образом. Оптически активные N,N’-дизамещенные пиперазины обладают активностью в качестве антагонистов 5-НТ1А (серотонинового) рецептора. В соединении формулы IV L может представлять собой любую подходящую удаляемую группу. Специалист в данной области без труда сможет определить, какие группы являются подходящими для практического применения изобретения. Примеры таких подходящих удаляемых групп включают хлор, бром, мезилат, тозилат и п-бромфенилсульфонилоксигруппы. Если в реакции данного изобретения необходимо присутствие кислоты, основания или растворителя, могут использоваться любые подходящие кислота, основание или растворитель, известные в данной области. Специалист в данной области легко сможет определить подходящие растворители, кислоты и основания для практического применения данного изобретения. Приведенные далее примеры представлены для иллюстрации некоторых форм осуществления данного изобретения, но не должны рассматриваться как ограничивающие объем притязаний данного изобретения. Реагенты и растворители для отдельной стадии приведены только для иллюстрации и могут быть заменены реагентами и растворителями, известными специалисту в данной области. ПРИМЕР 1: Бензгидриламинное раскрытие сульфамидата К раствору сульфамидата формулы I (R=метил) (8,0 г, 37 ммоль) в ацетонитриле (64 мл) добавляют аминодифенилметан (8,1 г, 44 моль). Реакционную смесь перемешивают при температуре окружающей среды в атмосфере Ar в течение 2 дней, затем нагревают до 55°С и выдерживают при этой температуре в течение 8 часов. Полученную суспензию фильтруют, промывают Et2O (40 мл) и сушат на воздухе, получая 12 г (82%) указанного выше соединения формулы VII в виде не совсем белого твердого вещества. Rf=0,31 (10:1 CHCl3:CH3OH); 1H ЯМР (ДМСО) 13С ЯМР (ДМСО) d 155,2, 146,5, 137,4, 136,4, 129,4, 129,3, 129,2, 129,0, 128,8, 128,1, 127,8, 127,7, 127,5, 127,5, 126,3, 116,0, 114,8, 62,4, 57,3, 53,2, 50,1, 14,4; ИК (KBr): max 3432, 3057, 3010, 2931, 2836, 2663, 2508, 2330, 1599, 1565, 1500, 1474, 1433 см-1. Элементный анализ. Вычислено: С 63,48; Н 5,79; N 10,57; Найдено: С 63,38; Н 5,74; N 10,52. Т.пл. = 203,5-208°С. ПРИМЕР 2: Гидрирование с получением сульфаминовой кислоты Смесь бензгидрилзащищенной сульфаминовой кислоты формулы VII (5,0 г, 12 ммоль), 10% Pd/C (12,1 г) в EtOH (100 мл) перемешивают при температуре окружающей среды в атмосфере Н2, подаваемого из баллона. Спустя 2 дня реакционную смесь фильтруют через слой целита, промывают теплым EtOH (100 мл) и концентрируют в вакууме, получая 1,98 г (72%) соединения формулы VIII в виде не совсем белого твердого вещества. 1Н ЯМР (ДМСО) 13С ЯМР (ДМСО) d 156,1, 146,8, 136,9, 115,7, 114,6, 50,1, 47,9, 16,7; ИК (KBr): max 3436, 3137, 3073, 2980, 2518, 1629, 1588, 1520, 1465, 1432, 1366, 1286, 1234, 1197, 1146, 1117, 1063, 1042 см-1. Элементный анализ. Вычислено: С 41,6; Н 5,62; N 18,2. Найдено: С 41,1; Н 5,49; N 17,7. Т. пл. 175,5-179°С. ПРИМЕР 3: Раскрытие сульфамидата с помощью аммиака Смесь сульфамидата формулы I (R=метил) (22 г, 0,11 моль) в 2N растворе аммиака в EtOH (216 мл, 0,432 моль) перемешивают при температуре окружающей среды в атмосфере N2 в течение 2 дней. Полученную смесь после этого концентрируют до исходного объема. Смесь фильтруют, промывают Et2O (50 мл) и сушат на воздухе, получая 17 г (72%) сульфаминовой кислоты формулы VIII в виде твердого не совсем белого вещества. ПРИМЕР 4: Гидролиз сульфаминовой кислоты Раствор сульфаминовой кислоты формулы VIII (0,97 г, 4,2 ммоль) в 3N HCl (10 мл) перемешивают при температуре окружающей среды в течение 18 часов. После этого реакционную смесь подщелачивают до рН 13-14 с помощью 6N NaOH (5 мл) и экстрагируют Et2O (3Ч40 мл). Объединенные органические слои сушат над Na2SO4, фильтруют и концентрируют в вакууме, получая 0,49 г (78%) N1-(2′-пиридил)-1,2-пропандиамина в виде желтого масла. 1Н ЯМР (CD3OD) ПРИМЕР 5: Связывание сульфаминовой кислоты и димезилата К раствору димезилата формулы Х (30,5 г, 84 ммоль) в безводном ДМФА (240 мл) добавляют сульфаминовую кислоту VIII (16,2 г, 70 ммоль), карбонат калия (31,0 г, 224 ммоль) и бромида лития (12,8 г, 147 ммоль). Реакционную смесь нагревают на масляной бане до 80-83С и выдерживают при этой температуре в атмосфере N2 в течение 18 часов, затем охлаждают до температуры окружающей среды и выливают в смесь 3N HCl (400 мл) и CHCl3 (200 мл). Полученную смесь перемешивают при температуре окружающей среды в течение 1 часа, затем делят на два слоя. Водный слой промывают CHCl3 (2Ч75 мл) для удаления менее полярных примесей, затем подщелачивают до рН 14 с помощью 5N NaOH (250 мл). Основный водный слой затем экстрагируют CHCl3 (3×150 мл). Объединенные органические слои сушат над Na2SO4, фильтруют, концентрируют в вакууме, получая 23 г (92%) соединения формулы XI в виде коричневого сиропа. ПРИМЕР 6: Получение пиперазинового соединения К раствору димезилата формулы Х (57 мг, 0,14 ммоль) в безводном ацетонитриле (1 мл) добавляют аминопиридин (20 мг, 0,13 ммоль), карбонат калия (52 мг, 0,38 ммоль) и бромид лития (26 мг, 0,30 ммоль). Реакционную смесь кипятят с обратным холодильником в течение 15 часов в атмосфере N2, затем охлаждают до комнатной температуры и фильтруют через рыхлый слой целита. Рыхлый слой целита промывают ацетонитрилом. Объединенные органические слои сушат над Na2SO4, фильтруют и концентрируют в вакууме, получая 52 г (105%) пиперазина XI в виде желтого масла (92% (площ.) ГХ/МС). ПРИМЕР 7: Получение пиперазина дигидрохлорида К пиперазину XI (23 г, 65 ммоль) добавляют 1М раствор HCl в EtOH (125 мл, 125 ммоль). Полученную смесь концентрируют в вакууме, затем снова растворяют в CH3OH (25 мл). После этого медленно добавляют Et2O (25 мл). Полученную смесь оставляют на 18 часов при температуре окружающей среды, после чего наблюдают образование не совсем белого осадка. Твердый осадок отфильтровывают, промывают охлажденным EtOH (5 мл) и сушат на воздухе, получая 4,6 г дигидрохлорида соединения XI в виде твердого не совсем белого вещества. Маточную жидкость оставляют. Через 5 дней наблюдают образование дополнительного количества твердого осадка. Осадок собирают фильтрованием, промывают охлажденным EtOH (5 мл) и сушат на воздухе, получая дополнительные 3,7 г дигидрохлорида соединения XI в виде твердого не совсем белого вещества. ПРИМЕР 8: Ацилирование пиперазинового соединения К раствору карбоната калия (3,4 г, 24,6 ммоль) в Н2О (5 мл) добавляют дигидрохлорид, полученный в примере 7 (3,0 г, 7,0 ммоль), и затем EtOAc (17 мл). Смесь перемешивают при 0-5оС на ледяной бане в течение 15 минут, затем медленно добавляют 4-цианобензоилхлорид (1,3 г, 7,9 ммоль) в EtOAc (3,5 мл). Спустя 1 час ТСХ показывает небольшое количество исходного вещества. Добавляют дополнительное количество 4-цианобензоилхлорида (100 мг, 0,60 ммоль). Спустя еще 1 час добавляют Н2О (10 мл). Смесь делят на два слоя. Органический слой экстрагируют насыщенным раствором NaCl (10 мл), Н2О (10 мл). Водные слои снова экстрагируют EtOAc (2Ч10 мл). Объединенные органические слои сушат над Na2SO4, фильтруют, концентрируют в вакууме, получая 3,0 г (88%) соединения формулы XII в виде желтой пены. ПРИМЕР 9: Алкилирование бензодиоксананилина до сложного диэфира Смесь бензодиоксананилина (3,0 г, 20 ммоль), этилбромацетата (7,5 мл, 68 ммоль), основания Ханига (12,5 мл, 72 ммоль) и NaI (0,3 г, 2,0 ммоль) в толуоле (30 мл) кипятят с обратным холодильником в течение 23 часов. После этого реакционную смесь охлаждают до комнатной температуры и добавляют воду (23 мл). Смесь делят на два слоя. Водный слой экстрагируют толуолом (25 мл). Объединенные органические слои сушат над Na2SO4, фильтруют и концентрируют в вакууме, получая 6,5 г (100%) сложного диэфира в виде коричневого масла. 1Н ЯМР (CDCl3) ПРИМЕР 10: Восстановление бензодиоксанового диэфира до двухатомного спирта Смесь диэфира (24 г, 74,3 ммоль) в ТГФ (240 мл) охлаждают до 0-5°С, затем медленно добавляют гранулы LAH (9,9 г, 260 ммоль), поддерживая температуру реакции ниже 10оС. После добавления LAH охлаждающую баню убирают и перемешивание продолжают в течение ночи. После перемешивания в течение 18 часов реакционную смесь охлаждают до 0±5°С на охлаждающей бане со смесью сухой лед/IPA. К реакционной смеси медленно добавляют воду (10 мл), затем 15% водный раствор гидроксида натрия (10 мл) и воду (30 мл). Полученную смесь перемешивают в течение 30 минут и затем фильтруют. Твердый осадок промывают ТГФ (100 мл). Фильтрат концентрируют в вакууме, получая 14,5 г (81%) двухатомного спирта формулы IV в виде густого прозрачного масла с чистотой 98% (площ.) (ЖХ-МС). 1Н ЯМР (CDCl3) ПРИМЕР 11: Диалкилирование бензодиоксананилина до двухатомного спирта Смесь бензодиоксананилина с 2-хлорэтанолом (210 мл, 3,1 ммоль) и основания Ханига (105 мл, 0,6 моль) нагревают до 120°С. Спустя 12,5 часов нагревание прекращают и реакционной смеси дают охладиться до комнатной температуры. К смеси добавляют этилацетат (300 мл), раствор промывают разбавленным раствором соли (1×250 мл) и затем насыщенным раствором соли (2×75 мл). Все водные слои объединяют, значение рН доводят до 7 добавление К2СО3 и раствор снова промывают этилацетатом (2×100 мл). Все органические слои объединяют и экстрагируют 2N HCl (3×100 мл). Полученный водный раствор нейтрализуют твердым K2CO3 до рН 7 и экстрагируют этилацетатом (3×100 мл). Органическую фазу сушат MgSO4, концентрируют и добавляют толуол (2×50 мл) для удаления остаточного хлорэтанола, получая 39,6 г (80%) неочищенного продукта в виде темного масла с чистотой 94% (площ.) (ЖХ-МС). 1Н ЯМР (CDCL3) Множество вариантов данного изобретения, не проиллюстрированных в данном описании, понятно квалифицированному специалисту. Данное изобретение не ограничивается представленными в описании иллюстративными примерами, но включает все объекты, составляющие объем притязаний прилагаемой формулы изобретения, и их эквиваленты.
Формула изобретения
1. Способ получения N-арилпиперазинов формулы VI
где R представляет собой C1-С3-алкил; Ar представляет собой дигидробензодиоксинил, бензодиоксинил или фенил, необязательно замещенный до трехкратно заместителями, независимо друг от друга выбранными из галогена, метокси, галогенметила, дигалогенметила и тригалогенметила; Ary1 представляет собой С6-С12-ароматическую группу, необязательно одно- трехзамещенную заместителями, независимо друг от друга выбранными из группы, включающей атомы галогенов, алкил, алкокси, алкоксикарбонил, нитро, амино, алкиламино, диалкиламино, галогеналкил, дигалогеналкил, тригалогеналкил, циано и амидогруппу, каждый из которых содержит не более шести атомов углерода, включающий следующие стадии: а) взаимодействие соединения формулы I с NH2R’ где R выбран из группы, включающей C1-С3-алкил, и R’ представляет собой Н, C1-С6-алкил, С3-С7-циклоалкил, С2-С7-ацил, С5-С10-арил, С6-С11-ароил, (С3-С7)циклоалкил(С1-С6)алкил, ди-(С3-С7)циклоалкил-(С1-С6)алкил, (С5-С10)арил(С1-С6)алкил и ди(С5-С10)арил-(С1-С6)алкил; b) гидрирование соединения формулы II, в котором R’ не представляет собой Н, для превращения R’ в Н; c) кислотный гидролиз соединения формулы II, в котором R’ представляет собой Н, с получением соединения формулы III
d) взаимодействие соединения формулы III с соединением формулы IV с получением соединения формулы V
где Ar представляет собой дигидробензодиоксинил, бензодиоксинил или фенил, необязательно одно- трехзамещенный заместителями, независимо друг от друга выбранными из галогена, метокси, галогенметила, дигалогенметила и тригалогенметила, и L представляет собой пригодную удаляемую группу; е) обработку соединения формулы V ароильным соединением, выбранным из ароилхлорида, ароилбромида и ароилангидрида, в присутствии основания с получением целевого соединения формулы VI. 2. Способ по п.1, где R представляет собой метил. 3. Способ по п.1, где Aryl представляет собой 4-цианофенил. 4. Способ получения N1-(2-пиридил)-1,2-алкандиаминсульфаминовой кислоты формулы II, включающий взаимодействие соединения формулы I с NH2R’ где R выбран из группы, включающей C1-С3-алкил, и R’ представляет собой Н, C1-С6-алкил, С3-С7-циклоалкил, С2-С7-ацил, С5-С10-арил, С6-С11-ароил, (С3-С7)циклоалкил(С1-С6)алкил, ди-(С3-С7)циклоалкил-(С1-С6)алкил, (С5-С10)арил(С1-С6)алкил и ди(С5-С10)арил-(С1-С6)алкил. 5. Способ по п.4, где R представляет собой метил. 6. Способ получения соединения формулы III
где R выбран из группы, включающей C1-С3-алкил, включающий гидрирование соединения формулы II
где R выбран из группы, включающей C1-С3-алкил, и R’ выбран из группы, включающей C1-С6-алкил, С3-С7-циклоалкил, С2-С7-ацил, С3-С10-арил, С6-С11-ароил, (С3-С7)циклоалкил(С1-С6)алкил, ди-(С3-С7)циклоалкил-(С1-С6)алкил, (C5-С10)арил(С1-С6)алкил и ди(С5-С10)арил-(С1-С6)алкил, для превращения R’ в Н; и кислотный гидролиз соединения формулы II, в котором R’ представляет собой Н, с получением соединения формулы III. 7. Способ получения соединения формулы V
где R выбран из группы, включающей C1-С3-алкил, Ar представляет собой дигидробензодиоксинил, бензодиоксинил или фенил, необязательно одно- трехзамещенный заместителями, независимо друг от друга выбранными из галогена, метокси, галогенметила, дигалогенметила и тригалогенметила, включающий взаимодействие соединения формулы II
где R выбран из группы, включающей C1-С3-алкил, и R’ выбран из группы, включающей Н, C1-С6-алкил, С3-С7-циклоалкил, С2-С7-ацил, С5-С10-арил, С6-С11-ароил, (С3-С7)циклоалкил(С1-С6)алкил, ди-(С3-С7)циклоалкил-(С1-С6)алкил, (C5-С10)арил(С1-С6)алкил и ди(С5-С10)арил-(С1-С6)алкил, или соединения формулы III
где R выбран из группы, включающей C1-С3-алкил, с соединением формулы IV
Ar представляет собой дигидробензодиоксинил, бензодиоксинил или фенил, необязательно одно – трехзамещенный заместителями, независимо друг от друга выбранными из галогена, метокси, галогенметила, дигалогенметила и тригалогенметила, и L представляет собой пригодную удаляемую группу; с получением соединения формулы V. 8. Способ получения N-арилпиперазинов формулы VI
где R представляет собой C1-С3-алкил; Ar представляет собой дигидробензодиоксинил, бензодиоксинил или фенил, необязательно замещенный до трехкратно заместителями, независимо друг от друга выбранными из галогена, метокси, галогенметила, дигалогенметила и тригалогенметила, Aryl представляет собой С6-С12-ароматическую группу, необязательно одно- трехзамещенную заместителями, независимо друг от друга выбранными из группы, включающей атомы галогенов, алкил, алкокси, алкоксикарбонил, нитро, амино, алкиламино, диалкиламино, галогеналкил, дигалогеналкил, тригалогеналкил, циано- и амидогруппу, каждый из которых содержит не более шести атомов углерода, включающий обработку соединения формулы V
где R выбран из группы, включающей C1-С3-алкил, Ar представляет собой дигидробензодиоксинил, бензодиоксинил или фенил, необязательно одно- трехзамещенный заместителями, независимо друг от друга выбранными из галогена, метокси, галогенметила, дигалогенметила и тригалогенметила, ароильным соединением, выбранным из ароилхлорида, ароилбромида и ароилангидрида, в присутствии основания с получением целевого соединения формулы VI. 9. Способ по п.8, где Aryl представляет собой 4-цианофенил. 10. Соединение формулы II
где R выбран из группы, включающей C1-С3-алкил, и R’ выбран из группы, включающей Н, C1-С6-алкил, С3-С7-циклоалкил, С2-С7-ацил, С5-С10-арил, С6-С11-ароил, (С3-С7)циклоалкил(С1-С6)алкил, ди-(С3-С7)циклоалкил-(С1-С6)алкил, (С5-С10)арил(С1-С6)алкил и ди(С5-С10)арил-(С1-С6)алкил, и его оптические изомеры. 11. Соединение по п.10, где R’ выбран из группы, включающей Н, бензил и бензгидрил.
MM4A – Досрочное прекращение действия патента СССР или патента Российской Федерации на изобретение из-за неуплаты в установленный срок пошлины за поддержание патента в силе
Дата прекращения действия патента: 11.03.2009
Извещение опубликовано: 27.07.2010 БИ: 21/2010
|
||||||||||||||||||||||||||


.









9,77 (ушир.с, 1Н, ОН), 7,15-8,0 (м, 13Н), 6,7-6,8 (м, 1Н), 5,81 (ушир.с, 1Н, NH), 4,1-4,3 (м, 2Н), 3,4 (м, 2Н), 3,4 (м, 2Н), 1,3 (д, J=4,8 Гц, 2Н);










.



