|
(21), (22) Заявка: 93053940/04, 12.02.1992
(24) Дата начала отсчета срока действия патента:
12.02.1992
(30) Конвенционный приоритет:
12.02.1991 DE P4104227.1
(43) Дата публикации заявки: 20.06.1996
(46) Опубликовано: 10.01.2008
(56) Список документов, цитированных в отчете о поиске:
ЕР 0046626, 03.03.1982. DE 1237094, 23.03.1967. ЕР 0007687, 06.02.1980. ЕР 0030138, 10.06.1981. SU 1187700, 23.10.1985.
(85) Дата перевода заявки PCT на национальную фазу:
11.08.1993
(86) Заявка PCT:
DE 92/00304 (12.02.1992)
(87) Публикация PCT:
WO 92/13845 (20.08.1992)
Адрес для переписки:
129010, Москва, ул. Б.Спасская, 25, стр.3, ООО “Юридическая фирма Городисский и Партнеры”, пат.пов. Е.Е.Назиной, рег. № 517
|
(72) Автор(ы):
ОРТ Освальд (DE), БАУЕР Клаус (DE), БИРИНГЕР Херманн (DE)
(73) Патентообладатель(и):
БАЙЕР КРОПСАЙЕНС АГ (DE)
|
(54) АРИЛСУЛЬФОНИЛМОЧЕВИНЫ, СПОСОБ ИХ ПОЛУЧЕНИЯ И ИХ ПРИМЕНЕНИЕ В КАЧЕСТВЕ ГЕРБИЦИДОВ
(57) Реферат:
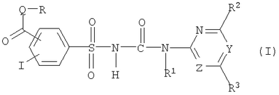
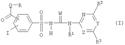
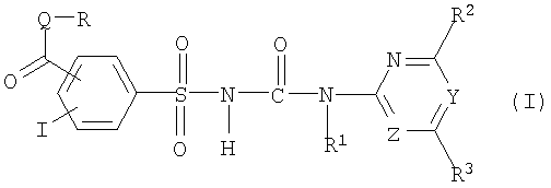
Изобретение относится к новым арилсульфонилмочевинам формулы (I)

где Q обозначает кислород;
Y обозначает СН или N;
Z обозначает N;
R обозначает водород; (С1-С12)-алкил; (С2-С10)-алкенил;
R1 обозначает Н, C1-С3-алкил; R2 обозначает Н, галоген, C1-С3-алкил, C1-С3-алкокси, причем оба указанных последними остатка незамещены или одно- или многократно замещены галогеном или C1-С3-алкокси;
R3 обозначает Н, галоген, C1-С3-алкил, C1-С3-алкокси, С1-С4-алкилтио, причем указанные алкилсодержащие остатки незамещены или одно- или многократно замещены галогеном или одно- или двукратно замещены C1-С3-алкокси или C1-С3-алкилтио, или обозначает NR5R6; R5 и R6 независимо обозначают Н, С1-С4-алкил.
Соединения I проявляют гербицидную активность, что позволяет использовать их в гербицидной композиции для селективной борьбы с вредными растениями. Описаны промежуточные соединения и способы получения соединения I. 8 н. и 6 з.п. ф-лы, 22 табл.
Изобретение относится к арилсульфонилмочевинам, способу их получения и области средств защиты растений, в особенности к селективным гербицидам и регуляторам роста типа гетероциклически замещенных арилсульфонилмочевин.
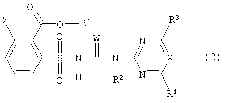
Из европейского патента ЕР-А-007687, между прочим, уке известны сульфонилмочевины формулы (I)

где R2 обозначает Н, Cl, Br, F, (С1-С3)-алкил; – NO2; -SO2CH3; -OCH3; -SCH3; -CF3; -N(CH3)2; -NH2 или -CN;
R3 обозначает H, Cl, Br, F или CH3;
X обозначает CH или N;
Q обозначает кислород, серу или в случае необходимости замещенный NH и
Y, Z обозначают H, Cl или различные органические остатки.
Соединения описаны в качестве гербицидов и регуляторов роста растений.
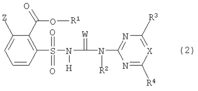
Из европейского патента EP-A-0291851 и патента ФРГ ДЕ-А-3900472 известны гербицидные и регулирующие рост растений сульфонилмочевины формулы (2)

где Z=F, Cl или Br;
R1=H, в случае необходимости замещенный алкил, алкенил, алкинил или циклоалкил;
R2=H, CH3 или C2Н5;
R3=H, F, Cl, Br, CH3, или OCH3;
R4=H, CH3, (C1-C4)-алкоксил и
X=CH или N.
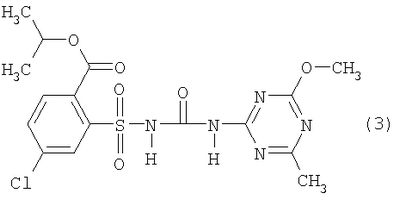
Кроме того, в патенте США №4566898 описывается сульфонилмочевина формулы (3)

в качестве гербицида с превосходными свойствами, в особенности, для контроля лисохвоста полевого в пшенице и ячмене.
Неожиданно было найдено, что некоторые иодсодержащие арилсульфонилмочевины обладают выгодными свойствами.
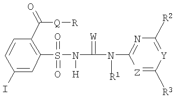
Предметом настоящего изобретения поэтому являются соединения формулы (I) и их соли.

где Q обозначает кислород, серу или -N(R4)-, предпочтительно кислород или серу, в особенности кислород;
W обозначает кислород или серу, предпочтительно кислород;
Y, Z, независимо друг от друга, обозначают CH или N, причем
Y и Z одновременно не обозначают CH, предпочтительно
Y=CH или N, а
Z=N;
R обозначает водород; (С1-C12)-алкил; (C2-С10)-алкенил; (C2-C10)-алкинил; (C1-C6)-алкил, который одно- – четырехкратно замещен остатками из группы, включающей галоген, (С1-С4)-алкоксил, (С1-C4)-тиоалкил, -CN, (С2-C5)-алкоксикарбонил и (C2-С6)-алкенил; (С3-C8)-циклоалкил, который незамещен или замещен остатками из группы, включающей (С1-С4)-алкил, (С1-C4)-алкоксил, (С1-С4)-алкилтио и галоген; (С5-C8)-циклоалкенил; фенил-(С1-С4)-алкил, который в фенильном остатке незамещен или замещен, или остаток формул A-1÷A-10:

где Х обозначает O, S, S(O) или SO2;
R1 обозначает водород или (С1-C3)-алкил;
R2 обозначает водород, галоген, предпочтительно хлор, (С1-С3)-алкил, (С1-С3)-алкоксил, причем оба указанных последними остатка незамещены или одно- или многократно замещены галогеном или (С1-С3)-алкоксилом;
R3 обозначает водород, галоген, предпочтительно хлор; (С1-С3)-алкил, (C1-С3)-алкоксил или (С1-С3)-алкилтио, причем вышеуказанные алкилсодержащие остатки незамещены или одно- или многократно замещены галогеном или одно- или двукратно замещены (C1-C3)-алкоксилом или (С1-C3)-алкилтио; или остаток формулы NR5R6, (C3-C6)-циклоалкил, (С2-C4)-алкенил, (С2-С4)-алкинил, (C3-C4)-алкенилокси или (C3-C6)-алкинилокси;
R4 обозначает водород, (C1-C4)-алкил или (С1-С4)-алкоксил и R5 и R6, независимо друг от друга, обозначают водород, (C1-C4)-алкил, (С3-С4)-алкенил, (C1-С4)-галогеналкил или (С1-С4)-алкоксил.
В формуле (I) и в последующем алкильные, алкоксильные, галогеналкильные, алкиламино- и алкилтио-остатки, а также соответствующие незамещенные и/или замещенные остатки, смотря по обстоятельствам, могут быть линейными или разветвленными. Алкильные остатки, также в составных значениях, как алкоксил, галогеналкил и т.д., обозначают, например, метильные, этильные, н- или изо-пропильные, н-, изо-, трет- или 2-бутильные остатки и т.д. Алкенильные и алкинильные остатки имеют значение, соответствующее алкильным остаткам, возможных ненасыщенных остатков как, например, 2-пропенил, 2- или 3-бутенил, 2-пропинил, 2- или 3-бутинил. “Галоген” обозначает фтор, хлор, бром или иод. “Арил” обозначает предпочтительно карбоциклическое или гетероциклическое ароматическое кольцо, которое в случае необходимости еще может быть конденсировано с алифатическим или ароматическим кольцом. “Арил” в особенности обозначает фенил. Замещенный фенил обозначает фенил, который, например, замещен одним или несколькими, предпочтительно одним – тремя остатками, выбираемыми из группы, включающей галоген, (С1-С4)-алкил, (С1-С4)-алкоксил, (С1-C4)-галогеналкил, (С1-С4)-тиоалкил, (C2-C5)-алкоксикарбонил, (C2-C5)-алкилкарбонилокси, карбонамид, (С2-С5)-алкилкарбониламино, (C2-C5)-алкиламинокарбонил, ди-[(C1-C4)-алкил]аминокарбонил и нитрогруппу. Соответствующее имеет значение для замещенного арила.
Соединения формулы (I) могут образовывать соли, в которых водород -SO2-NH-группы заменяется на пригодный в сельском хозяйстве катион. Этими солями являются, например, соли металлов, в особенности соли щелочных или щелочноземельных металлов, или также аммониевые соли или соли с органическими аминами. Также солеобразование можно осуществлять путем присоединения сильной кислоты к гетероциклической части соединений формулы (I). Пригодными для этой цели кислотами являются, например, HCl, HNO3, трихлоруксусная кислота, уксусная кислота или пальмитиновая кислота.
Некоторые соединения формулы (I) могут содержать один или несколько асимметрических С-атомов или также двойные связи, которые в общей формуле (I) отдельно не указаны. Определенные своей специфической пространственной формой, возможные стереоизомеры, как энантиомеры, диастереомеры, Z- и Е-изомеры, однако, все охватываются формулой (I) и могут получаться обычными методами из смесей стереоизомеров или также могут получаться путем стереоселективных реакций в комбинации с использованием стереохимически чистых исходных веществ. Указанные стереоизомеры в чистой форме также, как их смеси, составляют предает настоящего изобретения.
Особый интерес представляют предлагаемые в изобретении соединения формулы (I) или их соли, где
R обозначает водород, (С1-C6)-алкил; (C2-C6)-алкенил; (С2-С6)-алкинил; (С1-С4)-алкил, который одно- – четырехкратно, предпочтительно однократно, замещен остатками из группы, включающей галоген, (C1-C2)алкоксил, (C1-C2)-тиоалкил, (С2-C3)-алкоксикарбонил и (C2-С4)-алкенил; (C5-C6)-циклоалкил, который незамещен или замещен остатками из группы, включающей (С1-C4)-алкил, (C1-С4)-алкоксил, (С1-C4)-алкилтио и галоген; (С5-C6)-щиклоалкенил; бензил, который в фенильном остатке незамещен или замещен одним – тремя остатками из группы, включающей галоген, (C1-C2)-алкил, (С1-С2)-алкоксил, (C1-C2)-галогеналкил, (С1-С2)-тиоалкил и (С2-C4)-алкоксикарбонил, или остаток указанных формул A-1÷A-10, где
Х обозначает кислород, серу, S(O) или SO2, предпочтительно O.
Особый интерес представляют соединения согласно изобретению формулы (I) или их соли, где
R1 обозначает водород или CH3;
R2 обозначает водород; галоген, предпочтительно хлор; (С1-С2)-алкил; (C1-C2)-алкоксил, причем оба указанных последними остатка незамещены или одно- или многократно замещены галогеном или (С1-C3)-алкоксилом;
R3 обозначает водород; галоген, предпочтительно хлор; (C1-C2)-алкил, (C1-C2)-алкоксил или (С1-C2)-алкилтио, причем вышеуказанные алкилсодержащие остатки незамещены или одно- или многократно замещены галогеном или одно- или двукратно замещены (С1-C2)-алкоксилом или (С1-C2)-алкилтио; или остаток формулы NR5R6;
R4 обозначает водород или (С1-C2)-алкил и
R5 и R6, независимо друг от друга, обозначают водород или (C1-C2)-алкил.
Предпочтительны предлагаемые в изобретении соединения формулы (I) или их соли, в которых
W обозначает кислород и
R1 обозначает водород или CH3.
Особенно предпочтительны соединения формулы (I) или их соли, в которых
Y обозначает CH или N;
Z обозначает N и
R2 обозначает водород, CH3, CH2CH3, OCH3, OCH2CH3, OCHF2, Cl и
R3 обозначает водород, CH3, CH2CH3, OCH3, OCH2CH3, OCHF2, NH(CH3), N(CH3)2, CF3, OCH2CF3 или Cl.
Также предпочтительны такие предлагаемые в изобретении соединения, которые обладают комбинацией вышеуказанных предпочтительных признаков.
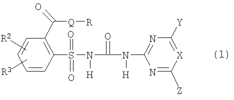
Дальнейшим предметом настоящего изобретения являются способы получения соединений общей формулы (I) или их солей, отличающиеся тем, что
а) соединение формулы (II)

вступает во взаимодействие с гетероциклическим карбаматом формулы (III)

где R1 обозначает незамещенный или замещенный арил или алкил, предпочтительно незамещенный или замещенный фенил или (C1-C4)-алкил, в особенности фенил или метил, или
б) фенилсульфонилкарбамат формулы (IV)

вступает во взаимодействие с аминогетероциклом формулы (V)

или
в) сульфонилизоцианат формулы (VI)

вступает во взаимодействие с аминогетероциклом указанной в п.(б) формулы (V).
Взаимодействие соединений формул (II) и (III) осуществляют катализом с помощью оснований в инертном растворителе, как, например, ацетонитрил, диоксан или тетрагидрофуран, при температурах от 0°С до температуры кипения растворителя. В качестве основания предпочтительно применяют 1,8-диазабицикло[5.4.0]-ундец-7-ен (ДБУ).
Сульфонамиды (II) являются новыми соединениями; они и их получение также являются предметом настоящего изобретения (см. ниже таблицы 1a и 1b). Их получают исходя из соответствующих галоидангидридов сульфокислот, предпочтительно из соответствующих сульфохлоридов, которые вводят во взаимодействие либо непосредственно с аммиаком, либо с трет-бутиламином и путем последующего отщепления защитных групп, например путем обработки с помощью трифторуксусной кислоты, получают сульфонамиды формулы (II).
Используемые в способе галоидангидриды сульфокислот можно получать из соответствующих анилинов путем диазотирования и обмена диазогруппы с помощью диоксида серы в присутствии катализатора, как хлорид меди (I), в соляной кислоте или уксусной кислоте, см. Meerwein, Chem. Ber. 90, 841-852 (1957). Карбаматы формулы (III) можно получать способами, которые описаны в южноафриканских патентных заявках №82/5671 и №82/5045 (или в европейских патентах А-0072347, соответственно, А-0070802).
Взаимодействия соединений (IV) с аминогетероциклами (V) осуществляют предпочтительно в инертных апротонных растворителях, как, например, диоксан, ацетонитрил или тетрагидрофуран, при температурах от 0°С до температуры кипения растворителя. Необходимые исходные соединения формулы (V) известны или их можно получать в принципе известными способами, см. “The Chemistry of Heterocyclic Compounds”, т.XVI (1962), Interscience Publ., Нью-Йорк-Лондон, и дополнение I к этому руководству. Об амино-замещенных производных триазина сообщено Smolin и Rapaport в “The Chemistry of Heterocyclic Compounds”, т.XIII (1959), Interscience Publ., Нью-Йорк-Лондон. Иодированные фенилсульфонилкарбаматы (IV) получают аналогично способам, которые указаны в европейском патенте А-0237292 или ЕР-А-0044808.
Иодированные арилсульфонилизоцианаты формулы (VI) являются новыми соединениями и также составляют предмет изобретения. Их можно получать аналогично способам из европейского патента EP-A-0184385 и вводить во взаимодействие с вышеуказанными аминогетероциклами формулы (V).
Соли соединений формулы (I) получают предпочтительно в инертных растворителях, как, например, вода, метанол, дихлорметан или ацетон, при температурах 0-100°С. Пригодными основаниями для получения предлагаемых согласно изобретению солей являются, например, карбонаты щелочных металлов как карбонат калия; гидроксиды щелочных и щелочноземельных металлов, аммиак или этаноламин. В качестве кислот для солеобразования особенно пригодны HCl, HNO3, трихлоруксусная кислота, уксусная кислота или пальмитиновая кислота.
Предлагаемые согласно изобретению соединения формулы (I) обладают отличной гербицидной активностью против широкого спектра однодольных и двудольных вредных растений, представляющих трудности в хозяйстве. Также биологически активными веществами хорошо охватываются многолетние сорняки, с которыми трудно бороться и которые вырастают из корневищ, кусков корней или других перманентных органов. При этом безразлично, наносятся ли вещества по предвсходовому, послевсходовому или предпосевному способу. В частности, следует, например, назвать некоторых представителей флоры одно- и двудольных сорняков, которых можно контролировать благодаря предлагаемым в изобретении соединениям, без необходимости ограничения для указания определенных видов.
Со стороны однодольных видов сорняков хорошо охватываются, например, Avena, Lolium, Alopecurus, Phalaris, Echinochloa, Digitaria, Setaria и т.д., а также виды Cyperus из группы однолетних растений, а со стороны многолетних видов хорошо охватываются Agropyron, Cynodol, Imperata, а также сорго и т.д., и, кроме того, также многолетние виды Cyperus.
В случае двудольных видов сорняков спектр действия распространяется на такие виды, как, например, Galium, Viola, Veronica, Lamium, Stellaria, Amaranthus, Sinapis, Ipomoea, Matricaria, Abutilon, Sida и т.д., со стороны однолетних растений, а также Convolvulus, Cirsium, Rumex, Artemisia и т.д., в случае многолетних сорняков.
С помощью предлагаемых в изобретении биологически активных веществ также превосходно борются с имеющимися при специфических условиях культивирования в рисе сорняками, как, например, Sagittaria, Alisma, Eleocharis, Scirpus, Cyperus и т.д.
Если предлагаемые согласно изобретению соединения наносят на поверхность почвы до прорастания, то либо полностью предотвращается появление всходов сорняков, либо сорняки вырастают вплоть до стадии зародышевого листка, однако, затем их рост прекращается и по истечении трех – четырех недель они полностью погибают. При нанесении биологически активных веществ на зеленые части растений по послевсходовому способу также очень быстро после обработки наступает внезапное прекращение роста, и сорняки остаются в имеющейся на момент нанесения стадии роста или спустя известное время более или менее быстро погибают, так что таким образом за счет использования новых, предлагаемых в изобретении, соединений можно очень рано и на продолжительное время устранять вредную для культурных растений конкуренцию сорняков.
Хотя предлагаемые в изобретении соединения обладают отличной гербицидной активностью против одно- и двудольных сорняков, культурные растения хозяйственно имеющих значение культур, как, например, пшеница, ячмень, рожь, кукуруза, рис, сахарная свекла, хлопок и соя, повреждаются только незначительно или вовсе не повреждаются. Соединения согласно изобретению по этим причинам очень хорошо пригодны для селективной борьбы с нежелательным ростом растений в сельскохозяйственных насаждениях полезных растений.
Сверх того, предлагаемые согласно изобретению соединения обладают рострегулирующими свойствами в случае культурных растений. Они регулирующе вмешиваются в свойственный растениям обмен веществ и таким образом могут использоваться для облегчения сбора урожая, как, например, путем вызывания десиккации, абсциссии и остановки роста. Далее, они также пригодны для общего регулирования и подавления нежелательного вегетативного роста, не вызывая при этом гибели растений. Подавление вегетативного роста при этом в случае многих одно- и двудольных культур играет большую роль, так как благодаря этому можно уменьшать или полностью предотвращать полегание.
Предлагаемые согласно изобретению соединения можно формулировать различным образом, в зависимости от того, какие заданы биологические и/или физико-химические параметры. В качестве возможностей формулирования принимают во внимание, например, смачивающиеся порошки (WP), водорастворимые порошки (SP), водорастворимые концентраты, эмульгируемые концентраты (EC); эмульсии (EW), как эмульсии масло-в-воде или вода-в-масле; растворы для опрыскивания или эмульсии для опрыскивания; суспензионные концентраты (SC); дисперсии на основе масла или воды; смешивающиеся с маслом растворы; суспоэмульсии; капсульные суспензии (CS); препараты для опыливания (DP); протравные средства; грануляты для нанесения путем разбрасывания на почву; грануляты (GR) в форме микрогранулятов, а также полученные путем нанесения опрыскиванием покрытия и адсорбции гранулятов; диспергирующиеся в воде грануляты (WG); водорастворимые грануляты (SG); ультранизкообъемные формулировки, микрокапсулы и воски.
Эти отдельные типы формулирований в принципе известны и описываются, например, в Winnacker-Küchler, “Chemische Technologie”, т.7. изд. G.Hauser, Мюнхен, 4-е издание, 1986: van Valkenburg “Pesticides Formulations”, Marcel Dekker N.Y., 2-е изд., 1972-1973; K.Martens “Spray Drying Handbook”, 3-е изд., 1979. G.Goodwin Ltd., Лондон.
Необходимые для форлулирования средства, как инертные материалы, поверхностно-активные вещества, растворители и другие добавки, также известны и описываются, например, в Watkins “Handbook of Insecticide Dust Diluents and Carriers”, 2-е изд., Darland Books, Galdwell N.J.; H.V.Olphen “Introduction to Clay Colloid Chemistry”, 2-е изд., J.Wiley and Sons, N.Y.; Marsden “Solvents Guide”, 2-е изд., Interscience N.Y., 1950; McCutcheon’s “Detergents and Emulsifiers Annual”, MG Publ. Corp., Ridgewood N.J.; Sisley and Wood, “Encyclopedia of Surface Active Agents”, Chem. Publ. Co. Inc., N.Y., 1964; Schönfeldt “Grenzflächenaktive Äthylenoxidaddukte”, Wiss. Verlagsgesell., Штутгарт, 1976; Winnacker-Küchler “Chemiche Technologie”, т.7. изд. G.Hauser, Мюнхен, 4-е изд., 1986.
Смачивающиеся порошки представляют собой равномерно диспергирующиеся в воде препараты, которые наряду с биологически активным веществом, кроме разбавителя или инертного вещества, содержат еще смачиватель, например, как полиоксиэтилированные алкилфенолы, полиоксиэтилированные жирные спирты и жирные амины, сульфаты простых полигликолевых эфиров жирных спиртов, алкансульфонаты или алкиларилсульфонаты, и диспергатор, например, как лигнинсульфонат натрия, 2,2′-динафтилметан-6,6′-дисульфонат натрия, дибутилнафталинсульфонат натрия или также олеилметилтаурат натрия.
Эмульгируемые концентраты получают путем растворения биологически активного вещества в органическом растворителе, например, как бутанол, циклогексанон, диметилформамид, ксилол или также более высококипящие ароматические углеводороды или углеводороды при добавке одного или нескольких эмульгаторов. В качестве эмульгаторов, например, можно применять алкиларилсульфонаты кальция, как додецилбензолсульфонат кальция, или неионные эмульгаторы, как сложные полигликолевые эфиры жирных кислот, алкиларилполигликолевые простые эфиры, простые полигликолевые эфиры жирных спиртов, продукты конденсации пропиленоксида с этиленоксидом (например, блоксополимеры), простые алкилполигликолевые эфиры, сложные эфиры сорбитан-жирные кислоты, сложные эфиры полиоксиэтиленсорбитан-жирные кислоты или сложные полиоксиэтиленсорбитовые эфиры.
Препараты для опыливания получают путем размалывания биологически активного вещества с высокодисперсными твердыми веществами, например, как тальк; природные глины, как каолин, бентонит и пирофиллит; или диатомовые земли.
Грануляты можно получать либо путем опрыскивания биологически активным веществом способного адсорбировать, гранулированного инертного материала, либо путем нанесения концентратов биологически активных веществ с помощью клеев, например, как поливиниловый спирт, полиакрилат натрия, или также с помощью минеральных масел, на поверхности носителей, как песок, каолиниты, или гранулированного инертного материала. Также пригодные биологически активные вещества можно гранулировать обычным для приготовления гранулятов удобрений образом, в желательном случае в смеси с удобрениями.
Грануляты, получаемые по способу с псевдоожиженным слоем, на тарельчатой машине, по способу экструдирования и нанесения опрыскиванием, можно приготовлять обычными способами; см., например, способы в “Spray Dyring Handbook”, 3-е изд., 1979, G.Goodwin Ltd, Лондон; J.E.Browning “Agglomeration”, Chemical and Engineering, 1967, с.147 и последующие; “Perry’s Chemical Enginnering Handbook”, 5-е изд., McGraw-Hill, Нью-Йорк, 1973, с.8-57.
Дальнейшие информации по формулированию средств защиты растений, см., например, G.G.Klingman “Weed Control as a Science”, John Wiley and Sons, Inc., Нью-Йорк, 1961, с.81-96, и J.D.Freye’s A.Evans” Weed Control Handbook”, 5-е изд., Blackwell Scientific Publications, Оксфорд, 1968, c.101-103.
В смачивающихся порошках концентрация биологически активного вещества составляет, например, примерно 10-90 вес.%, остаток до 100 вес.% состоит из обычных составных частей для формулирования. В случае эмульгируемых концентратов концентрация биологически активного вещества может составлять примерно 1-80 вес.%. Пылевидные формулировки содержат чаще всего 1-20 вес.% биологически активного вещества, растворы для опрыскивания – примерно 0,2-20 вес.%. В случае гранулятов содержание биологически активного вещества зависит отчасти от того, является ли активное соединение жидким или твердым. Чаще всего в случае диспергирующихся в воде гранулятов содержание биологически активного вещества составляет 10-90 вес.%.
Наряду с этим, указанные формулировки биологически активных веществ в случае необходимости содержат обычные, смотря по обстоятельствам, прилипатели, смачиватели, диспергаторы, эмульгаторы, способствующие пенетрации средства, растворители, наполнители или носители.
На основе этих формулировок такие можно приготовлять комбинации с другими, эффективными в растениеводстве, веществами, например, как пестициды, как инсектициды, акарициды, фунгициды и гербициды, и/или удобрения и/или регуляторы роста, например, в форме готовой формулировки или в виде Tank-смеси.
В особенности можно применять предлагаемые согласно изобретению соединения формулы (I) вместе с другими гербицидами, которые известны, например, из Weed Research, 26, 441-5 (1986), или “The Pesticide Manual”, 9-е изд., The Britich Corp. Protection Council, 1990, Англия. В качестве примеров известных из литературы гербицидов, которые можно комбинировать согласно изобретению с соединениями формулы (I), нужно назвать следующие биологически активные вещества (для биологически активных веществ, смотря по обстоятельствам, указано общепринятое название или фирменное кодовое название, а затем дано химическое название):
АС 263222 = 2-[4,5-дигидро-4-метил-4-(1-метилэтил)-5-оксо-1Н-имидазол-2-ил]-5-метил-3-пиридин-карбоновая кислота;
Ацетохлор = 2-хлор-N-(этоксиметил)-N-(2-этил-6-метилфенил)-ацетамид;
Ацифлуорфен = 5-[2-хлор-4-(трифторметил)-фенокси]-2-нитробензойная кислота;
Аклонифен = 2-хлор-6-нитро-3-феноксианилин;
АКН 7088 = метил-[[[1-[5-[2-хлор-4-(трифторметил)фенокси]-2-нитрофенил]-2-метоксиэтилиден]-амино]-окси]-ацетат;
Алахлор = 2-хлор-N-(2,6-диэтилфенил)-N-(метоксиметил)-ацетамид;
Аллоксидим = метил-3-[1-(аллилоксиимино)-бутил]-4-гидрокси-6,6-диметил-2-циклогекс-3-ен-карбоксилат;
Аметрин = N-этил-N’-(1-метилэтил)-6-(метилтио)-1,3,5-триазин-2,4-диамин;
Амидосульфурон = 1-[N-метил-N-(метилсульфонил)аминосульфонил]-3-(4,6-диметокси-пиримидин-2-ил)-мочевина;
Амитрол = 1Н-1,2,4-триазол-3-амин;
AMS = сульфамат аммония;
Анилофос = S-[2-[(4-хлорфенил)(1-метилэтил)амино]-2-оксоэтил]-О,О-диметил-фосфородитиоат;
Азулам = метил-[(4-аминофенил)сульфонил]-карбамат;
Атразин = 6-хлор-N-этил-N’-(1-метилэтил)-1,3,5-триазин-2,4-диамин;
Азипротрин = 2-азидо-N-(1-метилэтил)-6-метилтио-1,3,5-триазин-2-амин;
Барбан = 4-хлор-2-бутинил-3-хлорфенилкарбамат;
BAS 516 Н = 5-фтор-2-фенил-4Н-3,1-бензоксазин-4-он;
Беназолин = 4-хлор-2-оксо-3(2Н)-бензотиазолуксусная кислота;
Бенфлуралин = N-бутил-N-этил-2,6-динитро-4-(трифторметил)-бензоламин;
Бенфурезат = 2,3-дигидро-3,3-диметилбензофуран-5-ил-этансульфонат;
Бенсульфурон-метил = метиловый эфир 2-[[[[[(4,6-диметокси-2-пиримидинил)-амино]-карбонил)-амино]-сульфонил]-метил]-бензойной кислоты;
Бенсулид = O,O-бис-(1-метилэтил)-S-[2-[(фенилсульфонил)-амино]-этил]-фосфородитиоат;
Бентазон = 3-(1-метилэтил)-1Н-2,1,3-бензотиадиазин-4(3Н)-он-2,2-диоксид;
Бензофенап = 2-[[4-(2,4-дихлор-3-метилбензоил)-1,3-диметил-1Н-пиразол-5-ил]-окси]-1-(4-метилфенил)-этанон;
Бензофлуор = N-[4-(этилтио)-2-(трифторметил)фенил]метансульфонамид;
Бензоилпроп-этил = этиловый эфир N-бензоил-N-(3,4-дихлорфенил)-аланина;
Бензтиазурон = N-2-бензотиазолил-N’-метилмочевина;
Биалафос = 4-(гидроксиметилфосфинил)-L-2-аминобутаноил-L-аланил-L-аланин;
Бифенокс = метил-5-(2,4-дихлорфенокси)-2-нитробензоат;
Бромацил = бром-6-метил-3-(1-метилпропил)-2,4-(1H,3Н)-пиримидиндион;
Бромобутид = N-[(1,1-диметил)метилфенил)-2-бром-3,3-диметилбутирамид;
Бромофеноксим = 3,5-дибром-4-гидроксибензальдегид-O-(2,4-динитрофенил)-оксим;
Бромоксинил = 3,5-дибром-4-оксибензонитрил;
Бромурон = N’-(4-бромфенил)-N,N-диметилмочевина;
Буминафос = дибутил-[1-(бутиламино)циклогексил]фосфонат;
Бутахлор = N-(бутоксиметил)-2-хлор-N-(2,6-диэтилфенил)ацетамид;
Бутамифос = O-этил-O-(5-метил-2-нитрофенил)-(1-метилпропил)-фосфорамидотиоат;
Бутенахлор = (Z)-N-бут-2-енилоксиметил-2-хлор-2′,6′-диэтилацетанилид;
Бузоксинон = 3-[5-(1,1-диметилэтил)-изоксазол-3-ил]-4-гидрокси-1-метил-2-имидазолидинон;
Бутидазол = 3-[5-(1,1-диметилэтил)-1,3,4-тиадиазол-2-ил]-4-гидрокси-1-метил-2-имидазолидинон;
Бутралин = 4-(1,1-диметилэтил)-N-(1-метилпропил)-2,6-динитробензоламин;
Бутилат = S-этил-бис-(2-метилпропил)-карбамотиоат;
С 4874 = (тетрагидро-2-фуранил)-метиловый эфир 2-[4-[(6-хлор-2-хиноксалинил)окси]фенокси]пропановой кислоты;
Карбетамид = (R)-N-этил-2-[[(фениламино)карбонил]окси]пропанамид;
CDAA = 2-хлор-N,N-ди-2-пропенилацетамид;
CDEC = 2-хлораллилдиэтилдитиокарбамат;
CGA 184927 = 2-пропиниловыи эфир 2-[4-[(5-хлор-3-фтор-2-пиридинил)окси]фенокси]-пропановой кислоты;
Хлорметоксифен = 4-(2,4-дихлорфенокси)-2-метокси-1-нитробензол;
Хлорамбен = 3-амино-2,5-дихлорбензойная кислота;
Хлорбромурон = 3-(4-бром-3-хлорфенил)-1-метокси-1-метилмочевина;
Хлорбуфам = 1-метил-2-пропинил-(3-хлорфенил)-карбамат;
Хлорфенак = 2,3,6-трихлорбензолуксусная кислота;
Хлорфлурекол-метил = метиловый эфир 2-хлор-9-гидрокси-9Н-флуорен-9-карбоновой кислоты;
Хлоридазон = 5-амино-4-хлор-2-фенил-3(2Н)-пиридазинон;
Хлоримурон-этил = этиловый эфир 2-[[[[(4-хлор-6-метокси-2-пиримидинил)-амино]-карбонил]-амино]-сульфонил]-бензойной кислоты;
Хлорнитрофен = 1,3,5-трихлор-2-(4-нитрофенокси)-бензол;
Хлоротолурон = N’-(3-хлор-4-метилфенил)-N,N-диметилмочевина;
Хлороксурон = N’-[4-(4-хлорфенокси)фенил]-N,N-диметилмочевина;
Хлорпрофам = 1-метилэтил-3-хлорфенилкарбамат;
Хлорсульфурон = 2-хлор-N-[[(4-метокси-6-метил-1,3,5-триазин-2-ил)-амино]-карбонил]-бензолсульфонамид;
Хлортал-диметил = диметиловый эфир 2,3,5,6-тетрахлор-1,4-бензолдикарбоновой кислоты;
Хлортиамид = 2,6-дихлорбензолкарботиоамид;
Цинметилин = экзо-1-метил-4-(1-метилэтил)-2-[(2-метилфенил)метокси]-7-оксабицикло[2.2.1]гептан;
Циносульфурон = 1-(4,6-диметокси-1,3,5-триазин-2-ил)-3-[2-(2-метоксиэтокси)-фенилсульфонил]-мочевина;
Клетодим = (Е,Е)-2-[1-[[(3-хлор-2-пропенил)окси]-имино]-пропил]-5-[2-(этилтио)пропил]-3-гидрокси-2-циклогексен-1-он;
Кломазон = 2-[(2-хлорфенил)метил]-4,4-диметил-3-изоксазолидинон;
Кломепроп = анилид [(2,4-дихлор-3-метилфенил)окси]-2-пропионовой кислоты;
Хлопроксидим = (Е,Е)-2-[1-[[(3-хлор-2-пропенил)-окси]-имино]-бутил]-5-[2-(этилтио)-пропил]-3-гидрокси-2-циклогексен-1-он;
Клопиралид = 3,6-дихлор-2-пиридинкарбоновая кислота;
Цианазин = 2-[[4-хлор-6-(этиламино)-1,3,5-триазин-2-ил]амино]-2-метилпропаннитрил;
Циклоат = S-этилциклогексилэтилкарбамотиоат;
Циклоксидим = 2-[1-(этоксиимино)бутил]-5-(тетрагидротиопиран-3-ил)-гидрокси-2-циклогексен-2-он;
Циклурон = 3-циклооктил-1-диметилмочевина;
Циперкват = 1-метил-4-фенилпиридиний;
Ципразин = 2-хлор-4-(циклопропиламино)-6-(изопропиламино)-S-триазин;
Ципразол = N-[5-(2-хлор-1,1-диметилэтил)-1,3,4-тиадиазол-2-ил]-циклопропан-карбоксамид;
2,4-DB = 4-(2,4-дихлорфенокси)-бутановая кислота;
Далапон = 2,2-дихлорпропановая кислота;
Десмедифа = метил-[3-[[(фениламино)карбонил]окси]-фенил]-карбамат;
Десметрин = 2-(изопропиламино)-4-(метиламино)-6-(метилтио)-S-триазин;
Ди-Аллат = S-[2,3-дихлор-2-пропенил]бис[1-метилэтил]-карбамотиоат;
Дикамба = 3,6-дихлор-2-метоксибензойная кислота;
Дихлобенил = 2,6-дихлорбензонитрил;
Дихлорпроп = 2-(2,4-дихлорфенокси)-пропановая кислота;
Диклофоп-метил = метиловый эфир 2-[4-(2,4-дихлорфенокси)фенокси]пропановой кислоты;
Диэтатил = N-(хлорацетил)-N-(2,6-диэтилфенил)-глицин;
Дифеноксурон = N’-[4-(4-метоксифенокси)фенил]-N,N-диметилмочевина;
Дифензокват = 1,2-диметил-3,5-дифенил-1Н-пиразолий;
Дифлуфеникан = N-(2,4-дифторфенил)-2-[3-(трифторметил)-фенокси]-3-пиридинкарбоксамид;
Димефурон = N’-[3-хлор-4-[5-(1,1-диметилэтил)-2-оксо-1,3,4-оксадиазол-3(2Н)-ил]фенил]-N,N-диметилмочевина;
Диметахлор = 2-хлор-N-(2,6-диметилфенил)-N-(2-метоксиэтил)-ацетамид;
Диметаметрин = N-(1,2-диметилпропил)-N’-этил-6-(метилтио)-1,3,5-триазин-2,4-диамин;
Диметипин = 2,3-дигидро-5,6-диметил-1,4-дитиин-1,1,4,4-тетраоксид;
Динитрамин = N3,N3-диэтил-2,4-динитро-6-(трифторметил)-1,3-бензолдиамин;
Диносеб = 2-(метилпропил)-4,6-динитрофенол;
Динотерб = 2-(1,1-диметилэтил)-4,6-динитрофенол;
Дифенамид = N,N-диметил-2,2-дифенилацетамид;
Дипропетрин = 6-этилтио-N,N’-бис(1-метилэтил)-1,3,6-триазин-2,4-диамин;
Дикват = 6,7-дигидродипиридо[1,2-а:2′,1′-с]пиразиндиий;
Дитиопир = 2-(дифторметил)-4-(2-метилпропил)-6-(трифторметил)-3,5-пиридин-дикарботиокислота;
Диурон = N’-(3,4-дихлорфенил)-N,N-диметилмочевина;
DNOC = 2-метил-4,6-динитрофенол;
DPX-A 7881 = метиловый эфир 2-[[[[[4-этокси-6-N-(метил)амино-1,3,5-триазин-2-ил]-амино]-карбонил]-амиино]-сульфонил]-бензойной кислоты;
DPX-E 9636 = N-[[(4,6-диметокси-2-пиримидинил)-амино]-карбонил]-3-(этилсульфонил)-2-пиридинсульфонамид;
Димрон = N-(4-метилфенил)-N’-(1-метил-1-фенилэтил)-мочевина;
Эглиназин-этил = этиловый эфир N-[4-хлор-6-(этиламино)-1,3,5-триазин-2-ил]-глицина;
EL 177 = 5-циано-1-(1,1-диметилэтил)-N-метил-3H-пиразол-4-карбоксамид;
Эндотал = 7-оксабицикло[2.2.1]гептан-2,3-дикарбоновая кислота;
ЕРТС = S-этилдипропилкарбамотиоат;
Эспрокарб = S-(метилфенил)-N-этил-N-(1,2-диметил)пропилкарбамотиоат;
Эталфлуралин = N-этил-N-(2-метил-2-пропенил)-2,6-динитро-4-(трифторметил)-бензоламин;
Этидимурон = N-[5-(этилсульфонил)-1,3,4-тиадиазол-2-ил]-N,N’-диметилмочевина;
Этиозин = 4-амино-6-(1,1-диметилэтил)-3-(этилтио)-1,2,4-триазин-5(4Н)-он;
Этофумезат = 2-этокси-2,3-дигидро-3,3-диметил-5-бензофуранилметансульфонат;
F 5231 = N-[2-хлор-4-фтор-5-[4-(3-фторпропил)-4,5-дигидро-5-оксо-1Н-тетразол-1-ил]-фенил)-этан-сульфон-амид;
Фенопроп = 2-(2,4,5-трихлорфенокси)-пропановая кислота;
Феноксапроп-этил = этиловый эфир 2-[4-[(6-хлор-2-бензоксазолил)-окси]-фенокси]-пропановой кислоты;
Фенурон = N,N-диметил-N’-фенилмочевина;
Флампроп-метил = метиловый эфир N-бензоил-N-(3-хлор-4-фторфенил)-аланина;
Флазасульфурон = 1-(4,6-диметоксипиримидин-2-ил)-3-[3-(трифторметил)-2-пиридил-сульфонил]-мочевина;
Флуазифоп-бутил = бутиловый эфир 2-[4-[[5-(трифторметил)-2-пиридинил]-окси]-фенокси]-пропановой кислоты;
Флухлоралин = N-(2-хлорэтил)-2,6-динитро-N-пропил-4-(трифторметил)-бензоламин;
Флуметурон = N,N-диметил-N’-[3-(трифторметил)фенил]-мочевина;
Флумипропин = 2-[4-хлор-2-фтор-5-[(1-метил-2-пропинил)окси]-фенил]-4,5,6,7-тетрагидро-1Н-изоиндол-1,3(2Н)-дион;
Флуородифен = 2-нитро-1-(4-нитрофенокси)-4-(трифторметил)-бензол;
Флуорогликофен-этил = этиловый эфир карбоксиметил-5-[2-хлор-4-(трифторметил)-фенокси]-2-нитробензойной кислоты;
Флуридон = 1-метил-3-фенил-5-[3-(трифторметил)фенил]-4(1H)-пиридинон;
Флурохлоридон = 3-хлор-4-(хлорметил)-1-[3-(трифторметил)фенил]-2-пирролидинон;
Флуроксипир = 4-амино-3,5-дихлор-6-фтор-2-пиридилоксиуксусная кислота;
Флуртамон = 5-(метиламино)-2-фенил-4-[3-(трифторметил)фенил]-3(2Н)-фуранон;
Фомесафен = 5-[2-хлор-4-(трифторметил)фенокси]-N-(метилсульфонил)-2-нитробензамид;
Фозамин = этилгидрокарбамоилфосфонат;
Фурилоксифен = 3-[5-[2-хлор-4-(трифторметил)фенокси]-2-нитрофенокси]-тетрагидрофуран;
Глуфозинат=4-[гидрокси(метил)фосфиноил]-гомоаланин;
Глифозат = N-(фосфонометил)глицин;
Галосатен = 5-[6-хлор-2-фтор-4-(трифторметил)-фенокси]-N-(этилсульфонил)-2-нитробензамид;
Галоксифоп = 2-[4-[[3-хлор-5-(трифторметил)-2-пиридинил]-окси]-фенокси]-пропановая кислота;
Гексазинон = 3-циклогексил-6-(диметиламино)-1-метил-1,3,5-триазин-2,4-(1H,3Н)-дион;
Hw 52 = N-(2,3-дихлорфенил)-4-(этоксиметокси)бензамид;
Имазаметабенз-метил = метиловый эфир 6-(4-изопропил-4-метил-5-оксо-2-имидазолин-2-ил)-м-толуиловой кислоты и метиловый эфир 6-(4-изопропил-4-метил-5-оксо-2-имидазолин-2-ил)-п-толуиловой кислоты;
Имазапир = 2-[4,5-дигидро-4-метил-4-(1-метилэтил)-5-оксо-1Н-имидазол-2-ил]-3-пиридинкарбоновая кислота;
Имазаквин = 2-[4,5-дигидро-4-метил-4-(1-метилэтил)-5-оксо-1Н-имидазол-2-ил]-3-хинолинкарбоновая кислота;
Имазетапир = 2-[4,5-дигидро-4-метил-4-(1-метилэтил)-5-оксо-1Н-имидазол-2-ил]-5-этил-3-пиридинкарбоновая кислота;
Имазосульфурон = 2-хлор-N-[[(4,6-диметокси-2-пиримидинил)амино]-карбонил]-имидазо[1,2-а]пиридин-3-сульфонамид;
Иоксинил = 4-гидрокси-3,5-дииодбензонитрил;
Изокарбамид = N-(2-метилпропил)-2-оксо-1-имидазолидинкарбоксамид;
Изопропалин = 4-(1-метилэтил)-2, 6-динитро-N,N-дипропилбензоламин;
Изопротурон = N-[4-(метилэтил)фенил]-N’,N’-диметилмочевина;
Изоурон = N’-[5-(1,1-диметилэтил)-3-изоксазолил]-N,N-диметилмочевина;
Изоксабен = N-[3-(1-этил-1-метилпропил)-5-изоксазолил]-2,6-диметоксибензамид;
Изоксапирифоп = 2-[2-[4-[(3,5-дихлор-2-пиридинил)окси]фенокси]-1-оксопропил]-изоксазолидин;
Карбутилат = 3-[[(диметиламино)карбонил]-амино]-фенил-(1,1-диметилэтил)-карбамат;
Лактофен = 2-этокси-1-метил-2-оксоэтил-5-[2-хлор-4-(трифторметил)-фенокси]-2-нитробензоат;
Ленацил = 3-циклогексил-6,7-дигидро-1Н-циклопентапиримидин-2,4-(3Н,5Н)-дион;
Линурон = N’-(3,4-дихлорфенил)-N-метокси-N-метилмочевина;
MCPA = (4-хлор-2-метилфенокси)-уксусная кислота;
МСРВ = 4-(4-хлор-2-метилфенокси)-бутановая кислота;
Мекопроп = 2-(4-хлор-4-метилфенокси)-пропановая кислота;
Мефенацет = 2-бензотиазол-2-ил-окси-N-метилацетанилид;
Мефлуидид = N-[2,4-диметил-5-[[(трифторметил)-сульфонил]-амино]-фенил]-ацетамид;
Метамитрон = 4-амино-3-метил-6-фенил-1,2,4-триазин-5(4Н)-он;
Метазахлор = 2-хлор-N-(2,6-диметилфенил)-N-[1(H)-пиразол-1-ил-метил]-ацетамид;
Метабензтиазурон = 1,3-диметил-3-(2-бензотиазолил)-мочевина;
Метам = метилкарбамодитиокислота;
Метазол = 2-(3,4-дихлорфенил)-4-метил-1,2,4-оксадиазолидин-3,5-дион;
Метоксифенон = (4-метокси-3-метилфенил)(3-метилфенил)-метанон;
Метилдимрон = N-метил-N’-(1-метил-1-фенилэтил)-N-фенилмочевина;
Метобромурон = N’-(4-бромфенил)-N-метокси-N-метилмочевина;
Метолахлор = 2-хлор-N-(2-этил-6-метилфенил)-N-(2-метокси-1-метилэтил)-ацетамид;
Метоксурон = N’-(3-хлор-4-метоксифенил)-N,N-диметилмочевина;
Метрибузин = 4-амино-6-(1,1-диметилэтил)-3-(метилтио)-1,2,4-триазин-5(4Н)-он;
Метсульфурон-метил = метиловый эфир 2-[[[[(4-метокси-6-метил-1,3,5-триазин-2-ил)-амино]-карбонил]-амино]сульфонил]бензойной кислоты;
МН = 1,2-дигидро-3,6-пиридазиндион;
Молинат = S-этилгексагидро-1Н-азепин-1-карботиоат;
Моналид = N-(4-хлорфенил)-2,2-диметилпентанамид;
Монолинурон = 3-(4-хлорфенил)-1-метокси-1-метилмочевина;
Монурон = N’-(4-хлорфенил)-N,N-диметилмочевина;
МТ 128 = 6-хлор-N-(3-хлор-2-пропенил)-5-метил-N-фенил-3-пиридазинамин;
МТ 5950 = N-[3-хлор-4-(1-метилэтил)фенил]-2-метилпентанамид;
Напроанилид = 2-(2-нафталинилокси)-N-фенилпропанамид;
Напропамид = N,N-диэтил-2-(1-нафталинилокси)пропанамид;
Напталам = 2-[(1-нафталиниламино)карбонил]-бензойная кислота;
NC 310 = 4-(2,4-дихлорбензоил)-1-метил-5-бензилоксипиразол;
Небурон = 1-бутил-3-(3,4-дихлорфенил)-1-метилмочевина;
Никосульфурон = 2-[[[[(4,6-диметокси-2-пиримидинил)-амино]-карбонил]-амино]-сульфонил]-N,N-диметил-3-пиридинкарбоксамид;
Нипираклофен = 5-амино-1-[2,6-дихлор-4-(трифторметил)-фенил]-4-нитропиразол;
Нитралин = 4-(метилсульфонил)-2,6-динитро-N,N-дипропиланилин;
Нитрофен = 2,4-дихлор-1-(4-нитрофенокси)бензол;
Нитрофлуорфен = 2-хлор-1-(4-нитрофенокси)-4-(трифторметил)-бензол;
Норфлуразон = 4-хлор-5-(метиламино)-2-[3-(трифторметил)фенил]-3(2Н)-пиридазинон;
Орбенкарб = S-[2-(хлорфенил)-метил]-диэтилкарбамотиоат;
Оризалин = 4-(дипропиламино)-3,5-динитробензолсульфонамид;
Оксадиазон = 3-[2,4-дихлор-5-(1-метилэтокси)-фенил]-5-(1,1-диметилэтил)-1,3,4-оксадиазол-2(3Н)-он;
Оксифлуорфен = 2-хлор-1-(3-этокси-4-нитрофенокси)-4-(трифторметил)-бензол;
Паракват = 1,1′-диметил-4,4′-дипиридиний-ион;
Пебулат = S-пропилбутилэтилкарбамотиоат;
Пендиметалин = N-(1-этилпропил)-3,4-диметил-2,6-динитробензоламин;
Перфлуидон = 1,1,1-трифтор-N-[2-метил-4-(фенилсульфонил)-фенил]-метансульфонамид;
Фенизофам = 3-[[(1-метилэтокси)карбонил]амино]фенилэтилфенилкарбамат;
Фенмедифам = 3-[(метоксикарбонил)амино]фенил-(3-метилфенил)-карбамат;
Пиклорам = 4-амино-3,5,6-трихлор-2-пиридинкарбоновая кислота;
Пиперофос = S-[2-(2-метил-1-пиперидинил)-2-оксоэтил]-O,O-дипропил-фосфородитиоат;
Пирифеноп-бутил = бутиловый эфир 2-[4-[(3,5-дихлор-2-пиридинил)-окси]фенокси]пропановой кислоты;
PPG-1013 = метиловый эфир 5-[2-хлор-4-(трифторметил)фенокси]-2-нитроацетофенон-оксим-О-уксусной кислоты;
Претилахлор = 2-хлор-N-(2,6-диэтилфенил)-N-(2-пропоксиэтил)-ацетамид;
Примисульфурон-метил = метиловый эфир 2-[[[[[4,6-бис(дифторметокси)пиримидин-2-ил]-амино]-карбонил]-амино]-сульфонил]-бензойной кислоты;
Проциазин = 2-[[4-хлор-6-(циклопропиламино)-1,3,5-триазин-2-ил]-амино]-2-метилпропан-нитрил;
Продиамин = 2,4-динитро-N3,N3-дипропил-6-(трифторметил)-1,3-бензолдиамин;
Профлуралин = N-(циклопропилметил)-2,6-динитро-N-пропил-4-(трифторметил)-бензоламин;
Проглиназин-этил = этиловый эфир N-[4-хлор-6-[(1-метилэтил)-амино]-1,3,5-триазин-2-ил]-глицина;
Прометон = 6-метокси-N,N’-бис-(1-метилэтил)-1,3,5-триазин-2,4-диамин;
Прометрин = N,N’-бис-(1-метилэтил)-6-(метилтио)-1,3,5-триазин-2,4-диамин;
Пропахлор = 2-хлор-N-(1-метилэтил)-N-фенилацетамид;
Пропанил = N-(3,4-дихлорфенил)-пропанамид;
Пропаквизафоп = 2-[[(1-метилэтилиден)амино]окси]-этиловый эфир 2-[4-[(6-хлор-2-хиноксалинил)окси]фенокси)пропановой кислоты;
Пропазин = 6-хлор-N,N’-бис-(1-метилэтил)-1,3,5-триазин-2,4-диамин;
Профам = 1-митилэтилфенилкарбамат;
Пропизамид = 3,5-дихлор-N-(1,1-диметил-2-пропинил)бензамид;
Просульфалин = N-[[4-(дипропиламино)-3,5-динитрофенил]-сульфонил]-S,S-диметил-сульфилимин;
Просульфокарб = S-(фенил)метилдипропилкарбамотиоат;
Пропахлор = 2-хлор-N-(1-метил-2-пропинил)-ацетанилид;
Пиразолинат = [4-(2,4-дихлорбензоил)-1,3-диметилпиразол-5-ил]-толуол-4-сульфонат;
Пиразон = 5-амино-4-хлор-2-фенил-3(2Н)-пиридазинон;
Пиразосульфурон-этил = 1-(4,6-диметоксипиримидин-2-ил)-3-[[(1-метил)-4-(этоксикарбонил)-пиразол-5-ил]-сульфонил]-мочевина;
Пиразоксифен = 2-[[4-(2,4-дихлорбензоил)-1,3-диметил-1Н-пиразол-5-ил]окси]-1-фенилэтанон;
Пирибутикарб = O-[3-(1,1-диметилэтил)-фенил]-(6-метокси-2-пиридинил)метилкарбамотиоат;
Пиридат = O-(6-хлор-3-фенил-4-пиридазинил)-S-октилкарбонотиоат;
Квинклорак = 3,7-дихлор-8-хинолинкарбоновая кислота;
Квинмерак = 7-хлор-3-метил-8-хинолинкарбоновая кислота;
Квазалофоп-этил = этиловый эфир 2-[4-[(6-хлор-2-хиноксалинил)-окси]фенокси]пропановой кислоты;
S 275 = 2-[4-хлор-2-фтор-5-(2-пропинилокси)-фенил]-4,5,6,7-тетрагидро-2Н-индазол;
S 482 = 2-[7-фтор-3,4-дигидро-3-оксо-4-(2-пропинил)-2Н-1,4-бензоксазин-6-ил]-4,5,6,7-тетрагидро-1Н-изоиндол-1,3(2Н)-дион;
Секбуметон = N-этил-6-метокси-N’-(1-метилпропил)-1,3,5-триазин-2,4-диамин;
Сетоксидим = 2-[1-(этоксиимино)бутил]-5-[2-(этилтио)пропил]-3-гидрокси-2-циклогексен-1-он;
Сидурон = N-(2-метилциклогексил)-N’-фенилмочевина;
Симазин = 6-хлор-N,N’-диэтил-1,3,5-триазин-2,4-диамин;
Симетрин = N,N’-диэтил-6-(метилтио)-1,3,5-триазин-2,4-диамин;
SN 106279 = метиловый эфир 2-[[7-[2-хлор-4-(трифторметил)-фенокси]-2-нафталинил]-окси]-пропановой кислоты;
Сульфометурон-метил = метиловый эфир 2-[[[[(4,6-диметил-2-пиримидинил)-амино]-карбонил]-амино]-сульфонил]-бензойной кислоты;
ТСА = трихлоруксусная кислота;
Тебутам = 2,2-диметил-N-(1-метилэтил)-N-(фенилметил)-пропанамид;
Тебутиурон = N-[5-(1,1-диметилэтил)-1,3,4-тиадиазол-2-ил]-N,N’-диметилмочевина;
Тербацил = 5-хлор-3-(1,1-диметилэтил)-6-метил-2,4-(1Н,3Н)-пиримидиндион;
Тербукарб = 2,6-бис-(1,1-диметилэтил)-4-метилфенил-метилкарбамат;
Тербухлор = N-(бутоксиметил)-2-хлор-N-[2-(1,1-диметилэтил)-6-метилфенил]-ацетамид;
Тербуметон = N-(1,1-диметилэтил)-N’-этил-6-метокси-1,3,5-триазин-2,4-диамин;
Тербутилазин = 6-хлор-N-(1,1-диметилэтил)-N’-этил-1,3,5-триазин-2,4-диамин;
Тербутрин = N-(1,1-диметилэтил)-N’-этил-6-(метилтио)-1,3,5-триазин-2,4-диамин;
TFH 450 = N,N-диэтил-3-[(2-этил-6-метилфенил)-сульфонил]-1Н-1,2,4-триазол-1-карбоксамид;
Тиазафлурон = N,N’-диметил-N-[5-(трифторметил)-1,3,4-тиадиазол-2-ил]-мочевина;
Тифенсульфурон-метил = метиловый эфир 3-[[[[(4-метокси-6-метил-1,3,5-триазин-2-ил)-амино]-карбонил]-амино]-сульфонил]-тиофенкарбоновой кислоты;
Тиобенкарб = S-[(4-хлорфенил)метил]-диэтилкарбамотиоат;
Тиокарбазил = S-(фенилметил)-бис-(1-метилпропил)-карбамотиоат;
Тралкоксидим = 2-[1-(этоксиимино)-пропил]-5-(2,4,6-триметилфенил)-3-гидрокси-2-циклогексен-1-он;
Три-Аллат = S-(2,3,3-трихлор-2-пропенил)-бис-(1-метилэтил)-карбамотиоат;
Триасульфурон = 1-(4-метокси-6-метил-1,3,5-триазин-2-ил)-3-[2-(2-хлорэтокси)-фенилсульфонил]-мочевина;
Триазофенамид = 1-(3-метилфенил)-5-фенил-1,2,4-триазол-2-карбоксамид;
Трибенурон-метил = метиловый эфир 2-[[[[N-(4-метокси-6-метил-1,3,5-триазин-2-ил)-N-метиламино]-карбонил]-амино]-сульфонил]-бензойной кислоты;
Триклопир = [(3,5,6-трихлор-2-пиридинил)окси]-уксусная кислота;
Тридифан = 2-(3,5-дихлорфенил)-2-(2,2,2-трихлорэтил)-оксиран;
Триэтазин = 6-хлор-N,N,N’-метил-1,3,5-триазин-2,4-диамин;
Трифлуралин = 2,6-динитро-N,N-дипропил-4-(трифторметил)-бензоламин;
Триметурон = 1-(4-хлорфенил)-2,3,3-триметилпсевдомочевина;
Вернолат = S-пропилдипропилкарбамотиоат;
WL 110547 = 5-фенокси-1-[3-(трифторметил)фенил]-1Н-тетразол.
Содержание биологически активного вещества в применяемых формах биологически активных веществ может колебаться в широких пределах; например, оно составляет 0.0001 – вплоть до 100 вес.% биологически активного вещества, предпочтительно 0.001-99 вес.% биологически активного вещества.
Агрохимические композиции (формулировки), как правило, содержат 0.1-99 вес.%, в особенности 0.1-95 вес.%, гербицидного биологически активного вещества и 1-99.9 вес.%, предпочтительно 5-99.9 вес.%, инертных в условиях хранения и применения вспомогательных для формулирования средств.
Применение осуществляют обычным, приспособленным к используемым формам, образом.
Например, имеющиеся в продажной форме формулировки для применения в случае необходимости обычным образом разбавляют, например, в случае смачивающихся порошков, эмульгируемых концентратов, дисперсий и диспергируемых в воде гранулятов, – с помощью воды. Пылевидные композиции, грануляты, а также растворы для опрыскивания перед применением обычно более не разбавляются другими инертными веществами.
Необходимая норма расхода предлагаемых согласно изобретению соединений формулы (I) изменяется с внешнини условиями такими, как температура, влажность, род используемого гербицида и другие. Она может колебаться в широких пределах, например от 0.001 до 10.0 кг/га или более, активного вещества, предпочтительно, однако, она составляет 0.005-5 кг/га.
А. ХИМИЧЕСКИЕ ПРИМЕРЫ.
Пример 1. N-трет-Бутил-(2-иод-3-метоксикарбонил)бензолсульфонамид.
К 59.3 г 2-иод-3-метоксикарбонилбензолсульфохлорида в 300 мл дихлорметана при комнатной температуре прикапывают раствор 24.1 г трет-бутиламина в 30 мл дихлорметана. Перемешивают 3 часа при комнатной температуре, промывают 2 н. соляной кислотой, сушат над сульфатом натрия и растворитель выпаривают. Остаток настаивают в эфире. Таким образом получают 30.0 г N-трет-бутил-(2-иод-3-метоксикарбонил)-бензолсульфонамида в виде бесцветных кристаллов с т.пл. 148-149°С.
Пример 2. 2-Иод-3-метоксикарбонилбензолсульфонамид.
27.9 г N-трет-бутил-(2-иод-3-метоксикарбонил)-бензолсульфонамида вместе со 100 мл трифторуксусной кислоты перемешивают в течение 4 часов при комнатной температуре, кипятят 2 часа и затем органическую фазу выпаривают в вакууме. Остаток обрабатывают смесью дихлорметана с водой и смешивают вплоть до нейтральной реакции с карбонатом натрия. Фазы разделяют и водную фазу еще дважды экстрагируют дихлорметаном. Объединенные органические фазы сушат над сульфатом натрия и растворитель выпаривают. После перемешивания остатка с эфиром получают 17.4 г 2-иод-3-метокси-карбонилбензолсульфонамида с т.пл. 155-157°С.
Пример 3. Метил-2-амино-4-иодбензоат.
Раствор из 16.1 г 2-ацетиламино-4-иодбензойной кислоты (т.пл. 233-235°С, получается согласно патенту США №4762838) в 325 мл абсолютного метанола при 0°С насыщают сухим газообразным хлороводородом. Кипятят в течение 15 часов, охлаждают до комнатной температуры, снова насыщают сухим газообразным хлороводородом и оставляют стоять в течение 24 часов при комнатной температуре. Растворитель выпаривают в вакууме, остаток обрабатывают дихлорметаном и органическую фазу промывают насыщенным водным раствором гидрокарбоната натрия до нейтральной реакции. Органическую фазу сушат над сульфатом натрия и выпаривают в вакууме. Получают таким образом 13.8 г метил-2-амино-4-иодбензоата с т.пл. 63-67°С.
Пример 4. Бис-(2-метоксикарбонил-5-иодбензол)-дисульфид.
13.8 г метил-2-амино-4-иодбензоата смешивают с 48 мл ледяной уксусной кислоты и затем с 86 мл концентрированной соляной кислоты. К этой охлажденной до -5°С суспензии медленно прикапывают раствор из 3.8 г нитрита натрия в 15 мл воды и перемешивают дополнительно 30 минут при этой температуре. Этот охлажденный раствор соли диазония при 0°С прикапывают к раствору из 20 мл диоксида серы, 60 мл ледяной уксусной кислоты, 10 мл воды и 3.1 г хлорида меди (II) и дополнительно перемешивают сначала в течение 1 часа при 0°С, затем в течение ночи при комнатной температуре. Реакционную смесь выливают в 1 л ледяной воды и продукт отсасывают. Получают таким образом 12.7 г бис-(2-метоксикарбонил-5-иодбензол)-дисульфида с т.пл. 133-135°С.
Пример 5. 2-Метоксикарбонил-5-иодбензолсульфохлорид.
Через раствор 12.2 г бис-(2-метоксикарбонил-5-иодбензол)-дисульфида в 30 мл 1,2-дихлорэтана и 15 мл 2 н. соляной кислоты при 20-25°С пропускают газообразный хлор вплоть до окончания экзотермической реакции. Отсасывают, водную фазу экстрагируют дихлорметаном, сушат объединенные органические фазы над сульфатом натрия и растворитель выпаривают в вакууме. Таким образом получают, из полученного путем отсасывания и экстракции продукта, общее количество 15.0 г 2-метоксикарбонил-5-иодбензолсульфохлорида с т.пл. 119-120°С (разложение).
Пример 6. 2-Метоксикарбонил-5-иодбензолсульфонамид.
Через раствор 15.0 г 2-метоксикарбонил-5-иодбензолсульфохлорида в 100 мл тетрагидрофурана при комнатной температуре пропускают газообразный аммиак до тех пор, пока аммиак не будет более поглощаться. Раствор выпаривают в вакууме, остаток хорошо перемешивают с водой и продукт отсасывают. После высушивания остатка на фильтре при 70°С в вакууме получают 10.7 г 2-метоксикарбонил-5-иодбензолсульфонамида в виде порошка белого цвета с т.пл. 176-177°С.
Пример 7. 3-Этоксикарбонил-2-иодбензолсульфохлорид.
24.0 г этил-3-амино-2-иодбензоата растворяют в 60 мл ледяной уксусной кислоты и 120 мл концентрированной соляной кислоты. К этой охлажденной до -5°С суспензии медленно прикапывают раствор из 6.9 г нитрита натрия в 30 мл воды и перемешивают дополнительно 30 минут при этой температуре. Этот охлажденный раствор соли диазония при 5-10°С прикапывают к насыщенному примерно при 10°С диоксидом серы раствору из 70 мл ледяной уксусной кислоты, 70 мл концентрированной соляной кислоты и 3.0 г дигидрата хлорида меди(II). Перемешивают 3 часа при комнатной температуре и затем пропускают газообразный хлор вплоть до прекращения экзотермической реакции. Реакционную смесь выливают в 1 л ледяной воды, продукт отсасывают и сушат при 50°С в вакууме. Таким образом получают 25.3 г 3-этоксикарбонил-2-иодбензолсульфохлорида с т.пл. 80-83°С.
Пример 8. 3-Этоксикарбонил-2-иодбензолсульфонамид.
Аналогично примеру 6 из 25.3 г 3-этоксикарбонил-2-иодбензолсульфохлорида и аммиака получают 20.4 г 3-этоксикарбонил-2-иодбензолсульфонамида с т.пл. 138-139°C.
Пример 9. Метиловый эфир 2-[[[[4,6-диметокси-2-пиримидинил)-амино]-карбонил]-амино]-сульфонил]-4-иодбензойной кислоты.
К смеси из 3.4 г 5-иод-2-метоксикарбонилбензолсульфонамида и 2.8 г O-фенил-(4,6-диметокси-2-пиримидинил)-карбамата в 50 мл абсолютного ацетонитрила при комнатной температуре прикапывают раствор 1.7 г 1,8-диазабицикло[5.4.0]ундец-7-ена в 10 мл абсолютного ацетонитрила. При этой температуре перемешивают в течение 3 часов, концентрируют примерно до 1/3 и выливают на 200 мл ледяной воды. Водную фазу экстрагируют диэтиловым эфиром, подкисляют до рН=1-2 с помощью концентрированной соляной кислоты и продукт отсасывают. После высушивания при 60°С в вакууме получают 3.3 г метилового эфира 2-[[[[(4,6-диметокси-2-пиримидинил)-амино]-карбонил]-амино]-сульфонил]-4-иод-бензойной кислоты с т.пл. 169-171°C.
Пример 10. Этиловый эфир 2-иод-3-[[[[(4-метокси-6-метил-1,3,5-триазин-2-ил)-амино]-карбонил]-амино]-сульфонил]-бензойной кислоты.
В атмосфере защитного газа азота к суспензии 3.6 г 3-этоксикарбонил-2-иодбензолсульфонамида в 100 мл абсолютного дихлорметана прикапывают 14 ммоль триметилалюминия (7 мл 2 М раствора в гексане). После перемешивания в течение 30 минут при комнатной температуре добавляют 2.2 г O-метил-(4-метил-6-метокси-1,3,5-триазин-2-ил)-карбамата в 25 мл дихлорметана и кипятят с обратным холодильником в течение 13 часов. К охлажденному до комнатной температуры раствору при охлаждении льдом прикапывают 25 мл 2 н. соляной кислоты и солянокислую фазу экстрагируют дважды дихлорметаном. Органическую фазу концентрируют в вакууме и остаток смешивают с ацетоном и 100 мл 10%-ного водного раствора ацетата натрия. После перемешивания в течение 3 часов отсасывают, промывают диэтиловым эфиром, водную фазу подкисляют концентрированной соляной кислотой до рН=2-3 и продукт, после перемешивания в течение 15 минут, отсасывают. После высушивания в вакууме при 50°С получают 1.7 г этилового эфира 2-иод-3-[[[[(4-метокси-6-метил-1,3,5-триазин-2-ил)-амино]-карбонил]-амино]-сульфонил]-бензойной кислоты с т.пл. 177-179°С.
Пример 11. 2-Метоксикарбонил-5-иодбензолсульфонилизоцианат.
50 г полученного в примере 6 сульфонамида суспендируют в 150 мл 1,2-дихлорэтана и смешивают с 27.7 мл тионилхлорида. Кипятят в течение 4 часов, охлаждают до 50-55°С, смешивают с 0.5 мл пиридина и теперь через доведенный до кипения раствор в течение 3.5 часов пропускают фосген. Концентрируют при исключении влаги при пониженном давлении. Остающийся сырой сульфонилизоцианат (52.6 г) кристаллизуется при стоянии.
Пример 12. 2-Иод-3-метоксикарбонилбензолсульфонилизоцианат.
27.3 г 2-иод-3-метоксикарбонилбензолсульфонамида и 9.0 мл н-бутилизоцианата в 300 мл абсолютного ацетона при комнатной температуре смешивают с 12 мл ДБУ и кипятят в течение 3 часов. Охлаждают до комнатной температуры, концентрируют примерно до 1/3 объема и реакционный раствор выливают в 1 л воды. Водную фазу подкисляют концентрированной соляной кислотой до рН=1-2 и выпавший осадок отсасывают. Получают 31.3 г метилового эфира 2-иод-[[[(н-бутиламино)-карбонил]-амино]-сульфонил]-бензойной кислоты с т.пл. 163-167°С.
29.0 г таким образом полученной бутилсульфонилмочевины суспендируют в 400 мл хлорбензола и нагревают до кипения. Затем при температуре кипения пропускают фосген. Таким образом полученный бутилизоцианат медленно отгоняют на колонке Вигро длиной 20 см в течение 5 часов в виде смеси с хлорбензолом. Концентрируют в вакууме в отсутствие влаги. Таким образом получают 28.4 г 2-иод-3-метоксикарбонилбензолсульфонилизоцианата в виде масла.
Сульфонамиды таблиц 1а и 1b получают аналогично способам примеров 1-8.
Сульфонилмочевины таблиц 2-6 получают аналогично способам примеров 9 и 10. В таблицах сокращения относятся к общей формуле, предшествующей соответствующей таблице.
Сульфонилизоцианаты таблиц 1с и 1d получают аналогично способам примеров 11 и 12.
Пример 13. Метиловый эфир 4-иод-2-{N-[N-(4-метокси-6-метил-1,3,5-триазин-2-ил)аминокарбонил]аминосульфонил}бензойной кислоты.
К суспензии 84,5 г 2-амино-4-метокси-6-метил-1,3,5-триазина в 670 г этилацетата в атмосфере защитного газа в течение 4 часов прибавляют с постоянной скоростью при 50°С 14,5% раствор (1465 г) метилового эфира 4-иод-2-изоцианатсульфонилбензойной кислоты в ксилоле. После добавления реакция продолжается в течение 4 часов при той же температуре, после чего этилацетат отгоняют под вакуумом (80-60 мбар, Т=50°С). Оставшуюся суспензию отсасывают, твердое вещество промывают многократно разбавленной соляной кислотой и сушат; в случае необходимости можно добавить к соляной кислоте ацетон. Получают 297 г соединения, указанного в названии.
| Таблица 1а |
 |
| IIa |
Q |
R |
I |
Т.пл. (°С) |
| а |
O |
СН3 |
2-1 |
155-157 |
| b |
O |
СН2СН3 |
2-1 |
138-139 |
| с |
O |
СН2СН2СН3 |
2-1 |
130-131 |
| d |
O |
СН(СН3)2 |
2-1 |
133 |
| е |
O |
СН2СН2СН2СН3 |
2-1 |
|
| f |
O |
СН2СН(СН3)2 |
2-1 |
|
| g |
O |
СН(СН3)СН2СН3 |
2-1 |
|
| h |
O |
С(СН3)3 |
2-1 |
|
| i |
O |
CH2CH=CH2 |
2-1 |
|
| j |
O |
СН2С СН |
2-1 |
|
| k |
O |
СН2СН2Cl |
2-1 |
|
| l |
O |
СН2СН2OCH3 |
2-1 |
|
| m |
O |
ц-С6Н11 |
2-1 |
|
| n |
O |
СН3 |
6-1 |
161-2 |
| о |
O |
СН2СН3 |
6-1 |
|
| p |
O |
СН2СН2СН3 |
6-1 |
|
| q |
O |
СН(СН3)2 |
6-1 |
|
| r |
O |
СН2СН2СН2СН3 |
6-1 |
|
| s |
O |
СН2СН(СН3)2 |
6-1 |
|
| t |
O |
СН(СН3)СН2СН3 |
6-1 |
|
| u |
O |
С(СН3)3 |
6-1 |
|
| v |
O |
СН2СН=СН2 |
6-1 |
|
| w |
O |
СН2С СН |
6-1 |
|
| x |
O |
СН2СН2Cl |
6-1 |
|
| у |
O |
СН2СН2OCH3 |
6-1 |
|
| z |
O |
ц-С6Н11 |
6-1 |
|
| Таблица 1b |
 |
| IIb |
Q |
R |
I |
Т.пл. (°С) |
| а |
O |
СН3 |
3-1 |
194-6 |
| b |
O |
СН2СН3 |
3-1 |
|
| с |
O |
СН2СН2СН3 |
3-1 |
|
| d |
O |
СН(СН3)2 |
3-1 |
|
| е |
O |
СН2СН2СН2СН3 |
3-1 |
|
| f |
O |
СН2СН(СН3)2 |
3-1 |
|
| g |
O |
СН(СН3)СН2СН3 |
3-1 |
|
| h |
O |
С(СН3)3 |
3-1 |
|
| I |
O |
СН2СН=СН2 |
3-1 |
|
| j |
O |
СН2С СН |
3-1 |
|
| k |
O |
СН2СН2Cl |
3-1 |
|
| l |
O |
СН2СН2OCH3 |
3-1 |
|
| m |
O |
ц-С6Н11 |
3-1 |
|
| n |
O |
СН3 |
5-1 |
181-182 |
| о |
O |
СН2СН3 |
5-1 |
162 |
| p |
O |
СН2СН2СН3 |
5-1 |
|
| q |
O |
СН(СН3)2 |
5-1 |
139 |
| r |
O |
СН2СН2СН2СН3 |
5-1 |
|
| s |
O |
СН2СН(СН3)2 |
5-1 |
|
| t |
O |
СН(СН3)СН2СН3 |
5-1 |
|
| u |
O |
С(СН3)3 |
5-1 |
|
| v |
O |
СН2СН=СН2 |
5-1 |
|
| w |
O |
СН2С СН |
5-1 |
|
| x |
O |
СН2СН2Cl |
5-1 |
|
| У |
O |
СН2СН2OCH3 |
5-1 |
|
| z |
O |
ц-С6Н11 |
5-1 |
|
| aa |
O |
СН3 |
6-1 |
213-5 |
| ab |
O |
СН2СН3 |
6-1 |
|
| ac |
O |
СН2СН2СН3 |
6-1 |
|
| ad |
O |
СН(СН3)2 |
6-1 |
|
| ae |
O |
СН2СН2СН2СН3 |
6-1 |
|
| af |
O |
СН2СН(СН3)2 |
6-1 |
|
| ag |
O |
СН(СН3)СН2СН3 |
6-1 |
|
| ah |
O |
С(СН3)3 |
6-1 |
|
| ai |
O |
СН2СН=СН2 |
6-1 |
|
| aj |
O |
CH2C CH |
6-1 |
|
| ak |
O |
СН2СН2Cl |
6-1 |
|
| al |
O |
СН2СН2OCH3 |
6-1 |
|
| am |
O |
ц-С6Н11 |
6-1 |
|
| Таблица 1с |
 |
| VIa |
Q |
R |
I |
ИК-полоса (см-1) |
| а |
O |
СН3 |
3-1 |
2225 |
| b |
O |
СН2СН3 |
3-1 |
2230 |
| с |
O |
СН2СН2СН3 |
3-1 |
2225 |
| d |
O |
СН(СН3)2 |
3-1 |
2225 |
| е |
O |
СН2СН2СН2СН3 |
3-1 |
|
| f |
O |
СН2СН(СН3)2 |
3-1 |
|
| g |
O |
СН(СН3)СН2СН3 |
3-1 |
|
| h |
O |
С(СН3)3 |
3-1 |
|
| i |
O |
СН2СН=СН2 |
3-1 |
|
| j |
O |
СН2С СН |
3-1 |
|
| k |
O |
СН2СН2Cl |
3-1 |
|
| l |
O |
СН2СН2OCH3 |
3-1 |
|
| m |
O |
ц-С6Н11 |
3-1 |
|
| n |
O |
СН3 |
5-1 |
2225 |
| о |
O |
СН2СН3 |
5-1 |
|
| р |
O |
СН2СН2СН3 |
5-1 |
|
| q |
O |
СН(СН3)2 |
5-1 |
|
| r |
O |
СН2СН2СН2СН3 |
5-1 |
|
| s |
O |
СН2СН(СН3)2 |
5-1 |
|
| t |
O |
СН(СН3)СН2СН3 |
5-1 |
|
| u |
O |
С(СН3)3 |
5-1 |
|
| v |
O |
СН2СН=СН2 |
5-1 |
|
| w |
O |
СН2С СН |
5-1 |
|
| х |
O |
СН2СН2Cl |
5-1 |
|
| У |
O |
СН2СН2OCH3 |
5-1 |
|
| z |
O |
С-С6Н11 |
5-1 |
|
| аа |
O |
СН3 |
6-1 |
|
| ab |
O |
СН2СН3 |
6-1 |
|
| ас |
O |
СН2СН2СН3 |
6-1 |
|
| ad |
O |
СН(СН3)2 |
6-1 |
|
| ае |
O |
СН2СН2СН2СН3 |
6-1 |
|
| af |
O |
СН2СН(СН3)2 |
6-1 |
|
| ag |
O |
СН(СН3)СН2СН3 |
6-1 |
|
| ah |
O |
С(СН3)3 |
6-1 |
|
| ai |
O |
СН2СН=СН2 |
6-1 |
|
| aj |
O |
СН2С СН |
6-1 |
|
| ak |
O |
СН2СН2Cl |
6-1 |
|
| al |
O |
СН2СН2OCH3 |
6-1 |
|
| am |
O |
ц-С6Н11 |
6-1 |
|
| Таблица 1d |
 |
| VIb |
Q |
R |
I |
ИК-полоса (см-1) |
| a |
O |
СН3 |
3-1 |
2230 |
| b |
O |
СН2СН3 |
3-1 |
|
| с |
O |
СН2СН2СН3 |
3-1 |
|
| d |
O |
СН(СН3)2 |
3-1 |
|
| e |
O |
СН2СН2СН2СН3 |
3-1 |
|
| f |
O |
СН2СН(СН3)2 |
3-1 |
|
| g |
O |
СН(СН3)СН2СН3 |
3-1 |
|
| h |
O |
С(СН3)3 |
3-1 |
|
| i |
O |
CH2CH=CH2 |
3-1 |
|
| j |
O |
СН2С СН |
3-1 |
|
| k |
O |
СН2СН2Cl |
3-1 |
|
| l |
O |
СН2СН2OCH3 |
3-1 |
|
| m |
O |
ц-С6Н11 |
3-1 |
|
| n |
O |
СН3 |
5-1 |
2230 |
| о |
O |
СН2СН3 |
5-1 |
2225 |
| p |
O |
СН2СН2СН3 |
5-1 |
|
| q |
O |
СН(СН3)2 |
5-1 |
2225 |
| r |
O |
СН2СН2СН2СН3 |
5-1 |
|
| s |
O |
СН2СН(СН3)2 |
5-1 |
|
| t |
O |
СН(СН3)СН2СН3 |
5-1 |
|
| u |
O |
С(СН3)3 |
5-1 |
|
| v |
O |
СН2СН=СН2 |
5-1 |
|
| w |
O |
СН2С СН |
5-1 |
|
| x |
O |
СН2СН2Cl |
5-1 |
|
| y |
O |
СН2СН2OCH3 |
5-1 |
|
| z |
O |
ц-С6Н11 |
5-1 |
|
| aa |
O |
СН3 |
6-1 |
222-225 |
| ab |
O |
СН2СН3 |
6-1 |
|
| ас |
O |
СН2СН2СН3 |
6-1 |
|
| ad |
O |
СН(СН3)2 |
6-1 |
|
| ae |
O |
СН2СН2СН2СН3 |
6-1 |
|
| af |
O |
СН2СН(СН3)2 |
6-1 |
|
| ag |
O |
СН(СН3)СН2СН3 |
6-1 |
|
| ah |
O |
С(СН3)3 |
6-1 |
|
| ai |
O |
СН2СН=СН2 |
6-1 |
|
| aj |
O |
СН2С СН |
6-1 |
|
| ak |
O |
СН2СН2Cl |
6-1 |
|
| al |
O |
СН2СН2OCH3 |
6-1 |
|
| am |
O |
ц-С6Н11 |
6-1 |
|
| Таблица 2 |
 |
| Пример 1 |
Q |
R |
R1 |
R2 |
R3 |
W |
Y |
Z |
Т.пл. (°С) |
| 1 |
O |
СН3 |
Н |
ОСН3 |
ОСН3 |
O |
СН |
N |
216-217 |
| 2 |
O |
СН3 |
СН3 |
ОСН3 |
ОСН3 |
O |
СН |
N |
181-182 |
| 3 |
O |
СН3 |
СН3 |
ОСН3 |
СН3 |
O |
N |
N |
133-134 |
| 4 |
O |
СН3 |
Н |
СН3 |
СН3 |
O |
СН |
N |
210 |
| 5 |
O |
СН3 |
Н |
ОСН3 |
СН3 |
O |
СН |
N |
201-202 |
| 6 |
O |
СН3 |
Н |
СН3 |
СН3 |
O |
N |
N |
|
| 7 |
O |
СН3 |
Н |
ОСН3 |
СН3 |
O |
N |
N |
196 (разложение) |
| 8 |
O |
СН3 |
Н |
ОСН3 |
ОСН3 |
O |
N |
N |
205-6 |
| 9 |
O |
СН3 |
Н |
ОСН3 |
Cl |
O |
СН |
N |
218-21 |
| 10 |
O |
СН3 |
Н |
OCF2H |
СН3 |
O |
CH |
N |
|
| 11 |
O |
СН3 |
Н |
OCF2H |
OCF2H |
O |
СН |
N |
192-3 |
| 12 |
O |
СН3 |
Н |
ОСН3 |
Br |
O |
СН |
N |
|
| 13 |
O |
СН3 |
Н |
ОСН3 |
ОС2Н5 |
O |
СН |
N |
|
| 14 |
O |
СН3 |
Н |
ОСН3 |
SCH3 |
O |
СН |
N |
|
| 15 |
O |
СН3 |
Н |
ОСН3 |
ОС2Н5 |
O |
N |
N |
|
| 16 |
O |
СН3 |
Н |
ОСН3 |
ОС3Н7 |
O |
СН |
N |
|
| 17 |
O |
СН3 |
Н |
ОСН3 |
Cl |
O |
N |
N |
|
| 18 |
O |
СН3 |
Н |
Cl |
ОС2Н5 |
O |
СН |
N |
|
| 19 |
O |
СН3 |
Н |
ОС2Н5 |
ОС2Н5 |
O |
СН |
N |
|
| 20 |
O |
СН3 |
Н |
С2Н5 |
ОСН3 |
O |
СН |
N |
|
| 21 |
O |
СН3 |
Н |
CF3 |
ОСН3 |
O |
СН |
N |
|
| 22 |
O |
СН3 |
Н |
ОСН2CF3 |
СН3 |
O |
СН |
N |
|
| 23 |
O |
СН3 |
Н |
ОСН2CF3 |
ОСН3 |
O |
СН |
N |
|
| 24 |
O |
СН3 |
Н |
ОСН2CF3 |
ОСН2CF3 |
O |
СН |
N |
|
| 25 |
O |
СН3 |
Н |
ОСН2CF3 |
ОСН3 |
O |
N |
N |
|
| 26 |
O |
СН3 |
Н |
ОСН3 |
NHCH3 |
O |
N |
N |
|
| 27 |
O |
СН3 |
Н |
ОС2Н5 |
NHCH3 |
O |
N |
N |
|
| 28 |
O |
СН3 |
Н |
С2Н5 |
ОС2Н5 |
O |
N |
N |
|
| 29 |
O |
СН3 |
Н |
ОСН3 |
СН3 |
O |
N |
N |
|
| 30 |
O |
СН3 |
Н |
Cl |
СН3 |
O |
N |
N |
|
| 31 |
O |
СН3 |
Н |
СН3 |
СН3 |
O |
N |
N |
|
| 32 |
O |
СН3 |
Н |
ОСН3 |
ОСН3 |
S |
СН |
N |
|
| 33 |
O |
СН3 |
Н |
ОСН3 |
СН3 |
S |
СН |
N |
|
| 34 |
O |
СН3 |
Н |
СН3 |
СН3 |
S |
СН |
N |
|
| 35 |
O |
СН3 |
Н |
ОСН3 |
ОСН3 |
S |
N |
N |
|
| 36 |
O |
СН3 |
Н |
ОСН3 |
СН3 |
S |
N |
N |
|
| 37 |
O |
СН3 |
Н |
СН3 |
СН3 |
S |
N |
N |
|
| 38 |
O |
С2Н5 |
Н |
ОСН3 |
ОСН3 |
О |
СН |
N |
|
| 39 |
O |
С2Н5 |
СН3 |
ОСН3 |
ОСН3 |
О |
CH |
N |
|
| 40 |
O |
C2H5 |
СН3 |
ОСН3 |
СН3 |
О |
N |
N |
|
| 41 |
O |
С2Н5 |
Н |
СН3 |
СН3 |
О |
СН |
N |
|
| 42 |
O |
С2Н5 |
Н |
ОСН3 |
СН3 |
О |
СН |
N |
|
| 43 |
O |
С2Н5 |
Н |
СН3 |
СН3 |
О |
N |
N |
|
| 44 |
O |
С2Н5 |
Н |
ОСН3 |
СН3 |
О |
N |
N |
|
| 45 |
O |
С2Н5 |
Н |
ОСН3 |
ОСН3 |
О |
N |
N |
|
| 46 |
O |
С2Н5 |
Н |
ОСН3 |
Cl |
О |
СН |
N |
|
| 47 |
O |
С2Н5 |
Н |
OCF2H |
СН3 |
О |
СН |
N |
|
| 48 |
O |
С2Н5 |
Н |
OCF2H |
OCF2H |
О |
СН |
N |
|
| 49 |
O |
С2Н5 |
Н |
ОСН3 |
Br |
О |
СН |
N |
|
| 50 |
O |
С2Н5 |
Н |
ОСН3 |
ОС2Н5 |
О |
СН |
N |
|
| 51 |
O |
С2Н5 |
Н |
ОСН3 |
SCH3 |
О |
СН |
N |
|
| 52 |
O |
С2Н5 |
Н |
ОСН3 |
ОС2Н5 |
О |
N |
N |
|
| 53 |
O |
С2Н5 |
Н |
ОСН3 |
ОС3Н7 |
О |
СН |
N |
|
| 54 |
O |
С2Н5 |
Н |
ОСН3 |
Cl |
О |
N |
N |
|
| 55 |
O |
С2Н5 |
Н |
Cl |
ОС2Н5 |
О |
СН |
N |
|
| 56 |
O |
С2Н5 |
Н |
ОС2Н5 |
ОС2Н5 |
О |
СН |
N |
|
| 57 |
O |
С2Н5 |
Н |
С2Н5 |
ОСН3 |
О |
СН |
N |
|
| 58 |
O |
С2Н5 |
Н |
CF3 |
ОСН3 |
О |
СН |
N |
|
| 59 |
O |
С2Н5 |
Н |
ОСН2CF3 |
СН3 |
О |
СН |
N |
|
| 60 |
O |
С2Н5 |
Н |
ОСН2CF3 |
ОСН3 |
О |
CH |
N |
|
| 61 |
O |
С2Н5 |
Н |
ОСН2CF3 |
ОСН2CF3 |
O |
CH |
N |
|
| 62 |
O |
С2Н5 |
Н |
ОСН2CF3 |
ОСН3 |
O |
N |
N |
|
| 63 |
O |
C2H5 |
Н |
ОСН3 |
NHCH3 |
O |
N |
N |
|
| 64 |
O |
C2H5 |
Н |
ОС2Н5 |
NHCH3 |
O |
N |
N |
|
| 65 |
O |
C2H5 |
Н |
С2Н5 |
ОС2Н5 |
O |
N |
N |
|
| 66 |
O |
С2Н5 |
Н |
ОСН3 |
СН3 |
O |
N |
N |
|
| 67 |
O |
С2Н5 |
Н |
Cl |
СН3 |
O |
N |
N |
|
| 68 |
O |
С2Н5 |
Н |
СН3 |
СН3 |
O |
N |
N |
|
| 69 |
O |
С2Н5 |
Н |
ОСН3 |
ОСН3 |
S |
СН |
N |
|
| 70 |
O |
С2Н5 |
Н |
ОСН3 |
СН3 |
S |
СН |
N |
|
| 71 |
O |
С2Н5 |
Н |
СН3 |
СН3 |
S |
СН |
N |
|
| 72 |
O |
С2Н5 |
Н |
ОСН3 |
ОСН3 |
S |
N |
N |
|
| 73 |
O |
С2Н5 |
Н |
ОСН3 |
СН3 |
S |
N |
N |
|
| 74 |
O |
С2Н5 |
Н |
СН3 |
СН3 |
S |
N |
N |
|
| 75 |
O |
н-С3Н7 |
Н |
ОСН3 |
ОСН3 |
О |
СН |
N |
|
| 76 |
O |
н-С3Н7 |
СН3 |
ОСН3 |
ОСН3 |
О |
СН |
N |
|
| 77 |
O |
н-С3Н7 |
СН3 |
ОСН3 |
СН3 |
О |
N |
N |
|
| 78 |
O |
н-С3Н7 |
Н |
СН3 |
СН3 |
О |
СН |
N |
|
| 79 |
O |
н-С3Н7 |
Н |
ОСН3 |
СН3 |
О |
СН |
N |
|
| 80 |
O |
н-С3Н7 |
Н |
СН3 |
СН3 |
О |
N |
N |
|
| 81 |
O |
н-С3Н7 |
Н |
ОСН3 |
СН3 |
О |
N |
N |
|
| 82 |
O |
н-С3Н7 |
Н |
ОСН3 |
ОСН3 |
О |
N |
N |
|
| 83 |
O |
н-С3Н7 |
Н |
ОСН3 |
Cl |
О |
СН |
N |
|
| 84 |
O |
н-С3Н7 |
Н |
OCF2H |
СН3 |
О |
СН |
N |
|
| 85 |
O |
н-С3Н7 |
Н |
OCF2H |
OCF2H |
О |
СН |
N |
|
| 86 |
O |
н-С3Н7 |
Н |
ОСН3 |
Br |
О |
СН |
N |
|
| 87 |
O |
н-С3Н7 |
Н |
ОСН3 |
ОС2Н5 |
О |
СН |
N |
|
| 88 |
O |
н-С3Н7 |
Н |
ОСН3 |
SCH3 |
О |
СН |
N |
|
| 89 |
O |
н-С3Н7 |
Н |
ОСН3 |
ОС2Н5 |
O |
N |
N |
|
| 90 |
O |
н-С3Н7 |
Н |
ОСН3 |
ОС3Н7 |
O |
CH |
N |
|
| 91 |
O |
н-С3Н7 |
Н |
ОСН3 |
Cl |
O |
N |
N |
|
| 92 |
O |
н-С3Н7 |
Н |
Cl |
ОС2Н5 |
O |
CH |
N |
|
| 93 |
O |
н-С3Н7 |
Н |
ОС2Н5 |
ОС2Н5 |
O |
CH |
N |
|
| 94 |
O |
н-С3Н7 |
Н |
С2Н5 |
ОСН3 |
O |
CH |
N |
|
| 95 |
O |
н-С3Н7 |
Н |
CF3 |
ОСН3 |
O |
CH |
N |
|
| 96 |
O |
н-С3Н7 |
Н |
ОСН2CF3 |
СН3 |
O |
CH |
N |
|
| 97 |
O |
н-С3Н7 |
Н |
ОСН2CF3 |
ОСН3 |
O |
CH |
N |
|
| 98 |
O |
н-С3Н7 |
Н |
ОСН2CF3 |
ОСН2CF3 |
О |
CH |
N |
|
| 99 |
O |
н-С3Н7 |
Н |
ОСН2CF3 |
ОСН3 |
О |
N |
N |
|
| 100 |
O |
н-С3Н7 |
Н |
ОСН3 |
NHCH3 |
О |
N |
N |
|
| 101 |
O |
н-С3Н7 |
Н |
OC2H5 |
NHCH3 |
О |
N |
N |
|
| 102 |
O |
н-С3Н7 |
Н |
С2Н5 |
ОС2Н5 |
О |
N |
N |
|
| 103 |
O |
н-С3Н7 |
Н |
ОСН3 |
СН3 |
О |
N |
N |
|
| 104 |
O |
н-С3Н7 |
Н |
Cl |
СН3 |
О |
N |
N |
|
| 105 |
O |
н-С3Н7 |
Н |
СН3 |
СН3 |
О |
N |
N |
|
| 106 |
O |
н-С3Н7 |
Н |
ОСН3 |
ОСН3 |
S |
СН |
N |
|
| 107 |
O |
н-С3Н7 |
Н |
ОСН3 |
СН3 |
S |
СН |
N |
|
| 108 |
O |
н-С3Н7 |
Н |
СН3 |
СН3 |
S |
СН |
N |
|
| 109 |
O |
н-С3Н7 |
Н |
ОСН3 |
ОСН3 |
S |
N |
N |
|
| 110 |
O |
н-С3Н7 |
Н |
ОСН3 |
СН3 |
S |
N |
N |
|
| 111 |
O |
н-С3Н7 |
Н |
СН3 |
СН3 |
S |
N |
N |
|
| 112 |
O |
изо-С3Н7 |
Н |
ОСН3 |
ОСН3 |
О |
СН |
N |
|
| 113 |
O |
изо-С3Н7 |
СН3 |
ОСН3 |
ОСН3 |
О |
СН |
N |
|
| 114 |
O |
изо-С3Н7 |
СН3 |
ОСН3 |
СН3 |
О |
N |
N |
|
| 115 |
O |
изо-С3Н7 |
Н |
СН3 |
СН3 |
О |
СН |
N |
|
| 116 |
O |
изо-С3Н7 |
Н |
ОСН3 |
СН3 |
О |
СН |
N |
|
| 117 |
O |
изо-С3Н7 |
Н |
СН3 |
СН3 |
O |
N |
N |
|
| 118 |
O |
изо-С3Н7 |
Н |
ОСН3 |
СН3 |
O |
N |
N |
|
| 119 |
O |
изо-С3Н7 |
Н |
ОСН3 |
ОСН3 |
O |
N |
N |
|
| 120 |
O |
изо-С3Н7 |
Н |
ОСН3 |
Cl |
O |
СН |
N |
|
| 121 |
O |
изо-С3Н7 |
Н |
OCF2H |
СН3 |
O |
СН |
N |
|
| 122 |
O |
изо-С3Н7 |
Н |
OCF2H |
OCF2H |
O |
СН |
N |
|
| 123 |
O |
изо-С3Н7 |
Н |
ОСН3 |
Br |
O |
СН |
N |
|
| 124 |
O |
изо-С3Н7 |
Н |
ОСН3 |
OC2H5 |
O |
СН |
N |
|
| 125 |
O |
изо-С3Н7 |
Н |
ОСН3 |
SCH3 |
О |
СН |
N |
|
| 126 |
O |
изо-С3Н7 |
Н |
ОСН3 |
ОС2Н5 |
О |
N |
N |
|
| 127 |
O |
изо-С3Н7 |
Н |
ОСН3 |
ОС3Н7 |
О |
СН |
N |
|
| 128 |
O |
изо-С3Н7 |
Н |
ОСН3 |
Cl |
О |
N |
N |
|
| 129 |
O |
изо-С3Н7 |
Н |
Cl |
ОС2Н5 |
О |
СН |
N |
|
| 130 |
O |
изо-С3Н7 |
Н |
ОС2Н5 |
ОС2Н5 |
О |
СН |
N |
|
| 131 |
O |
изо-С3Н7 |
Н |
C2H5 |
ОСН3 |
О |
СН |
N |
|
| 132 |
O |
изо-С3Н7 |
Н |
CF3 |
ОСН3 |
О |
СН |
N |
|
| 133 |
O |
изо-С3Н7 |
Н |
ОСН2CF3 |
СН3 |
О |
СН |
N |
|
| 134 |
O |
изо-С3Н7 |
Н |
ОСН2CF3 |
ОСН3 |
О |
СН |
N |
|
| 135 |
O |
изо-С3Н7 |
Н |
ОСН2CF3 |
ОСН2CF3 |
О |
СН |
N |
|
| 136 |
O |
изо-С3Н7 |
Н |
ОСН2CF3 |
ОСН3 |
О |
N |
N |
|
| 137 |
O |
изо-С3Н7 |
Н |
ОСН3 |
NHCH3 |
О |
N |
N |
|
| 138 |
O |
изо-С3Н7 |
Н |
ОС2Н5 |
NHCH3 |
О |
N |
N |
|
| 139 |
O |
изо-С3Н7 |
Н |
С2Н5 |
ОС2Н5 |
О |
N |
N |
|
| 140 |
O |
изо-С3Н7 |
Е |
ОСН3 |
СН3 |
О |
N |
N |
|
| 141 |
O |
изо-С3Н7 |
Н |
Cl |
СН3 |
О |
N |
N |
|
| 142 |
O |
изо-С3Н7 |
Н |
СН3 |
СН3 |
О |
N |
N |
|
| 143 |
O |
изо-С3Н7 |
Н |
ОСН3 |
ОСН3 |
S |
СН |
N |
|
| 144 |
O |
изо-С3Н7 |
Н |
ОСН3 |
СН3 |
S |
СН |
N |
|
| 145 |
O |
изо-С3Н7 |
Н |
СН3 |
СН3 |
S |
CH |
N |
|
| 146 |
O |
изо-С3Н7 |
Н |
ОСН3 |
ОСН3 |
S |
N |
N |
|
| 147 |
O |
изо-С3Н7 |
Н |
ОСН3 |
СН3 |
S |
N |
N |
|
| 148 |
O |
изо-С3Н7 |
Н |
СН3 |
СН3 |
S |
N |
N |
|
| 149 |
O |
СН2СН=СН2 |
Н |
ОСН3 |
ОСН3 |
О |
CH |
N |
|
| 150 |
O |
СН2СН=СН2 |
СН3 |
ОСН3 |
ОСН3 |
О |
CH |
N |
|
| 151 |
O |
СН2СН=СН2 |
СН3 |
ОСН3 |
СН3 |
О |
N |
N |
|
| 152 |
O |
СН2СН=СН2 |
Н |
СН3 |
СН3 |
О |
CH |
N |
|
| 153 |
O |
СН2СН=СН2 |
Н |
ОСН3 |
СН3 |
О |
CH |
N |
|
| 154 |
O |
СН2СН=СН2 |
Н |
СН3 |
СН3 |
О |
N |
N |
|
| 155 |
O |
СН2СН=СН2 |
Н |
ОСН3 |
СН3 |
О |
N |
N |
|
| 156 |
O |
СН2СН=СН2 |
Н |
ОСН3 |
ОСН3 |
О |
N |
N |
|
| 157 |
O |
СН2СН=СН2 |
Н |
ОСН3 |
Cl |
О |
СН |
N |
|
| 158 |
O |
СН2СН=СН2 |
Н |
OCF2H |
СН3 |
О |
СН |
N |
|
| 159 |
O |
СН2СН=СН2 |
Н |
OCF2H |
OCF2H |
О |
СН |
N |
|
| 160 |
O |
СН2СН=СН2 |
Н |
ОСН3 |
Br |
О |
СН |
N |
|
| 161 |
O |
СН2СН=СН2 |
Н |
ОСН3 |
ОС2Н5 |
О |
СН |
N |
|
| 162 |
O |
СН2СН=СН2 |
Н |
ОСН3 |
SCH3 |
О |
СН |
N |
|
| 163 |
O |
СН2СН=СН2 |
Н |
ОСН3 |
ОС2Н5 |
О |
N |
N |
|
| 164 |
O |
СН2СН=СН2 |
Н |
ОСН3 |
ОС3Н7 |
О |
CH |
N |
|
| 165 |
O |
СН2СН=СН2 |
Н |
ОСН3 |
Cl |
О |
N |
N |
|
| 166 |
O |
СН2СН=СН2 |
Н |
Cl |
ОС2Н5 |
О |
СН |
N |
|
| 167 |
O |
СН2СН=СН2 |
Н |
ОС2Н5 |
ОС2Н5 |
О |
СН |
N |
|
| 168 |
O |
СН2СН=СН2 |
Н |
С2Н5 |
ОСН3 |
О |
СН |
N |
|
| 169 |
O |
СН2СН=СН2 |
Н |
CF3 |
ОСН3 |
О |
СН |
N |
|
| 170 |
O |
СН2СН=СН2 |
Н |
ОСН2CF3 |
СН3 |
О |
СН |
N |
|
| 171 |
O |
СН2СН=СН2 |
Н |
ОСН2CF3 |
ОСН3 |
О |
СН |
N |
|
| 172 |
O |
СН2СН=СН2 |
Н |
ОСН2CF3 |
ОСН2CF3 |
О |
СН |
N |
|
| 173 |
O |
СН2СН=СН2 |
Н |
ОСН2CF3 |
ОСН3 |
О |
N |
N |
|
| 174 |
O |
СН2СН=СН2 |
Н |
ОСН3 |
NHCH3 |
О |
N |
N |
|
| 175 |
O |
CH2CH=CH2 |
Н |
ОС2Н5 |
NHCH3 |
О |
N |
N |
|
| 176 |
O |
CH2CH=CH2 |
Н |
C2H5 |
ОС2Н5 |
О |
N |
N |
|
| 177 |
O |
СН2СН=СН2 |
Н |
ОСН3 |
СН3 |
О |
N |
N |
|
| 178 |
O |
СН2СН=СН2 |
Н |
Cl |
СН3 |
О |
N |
N |
|
| 179 |
O |
СН2СН=СН2 |
Н |
СН3 |
СН3 |
О |
N |
N |
|
| 180 |
O |
СН2СН=СН2 |
Н |
ОСН3 |
ОСН3 |
S |
СН |
N |
|
| 181 |
O |
СН2СН=СН2 |
Н |
ОСН3 |
СН3 |
S |
СН |
N |
|
| 182 |
O |
СН2СН=СН2 |
Н |
СН3 |
СН3 |
S |
СН |
N |
|
| 183 |
O |
СН2СН=СН2 |
Н |
ОСН3 |
ОСН3 |
S |
N |
N |
|
| 184 |
O |
СН2СН=СН2 |
Н |
ОСН3 |
СН3 |
S |
N |
N |
|
| 185 |
O |
СН2СН=СН2 |
Н |
СН3 |
СН3 |
S |
N |
N |
|
| 186 |
O |
СН2С СН |
Н |
ОСН3 |
ОСН3 |
О |
СН |
N |
|
| 187 |
O |
СН2С СН |
СН3 |
ОСН3 |
ОСН3 |
О |
СН |
N |
|
| 188 |
O |
СН2С СН |
СН3 |
ОСН3 |
СН3 |
О |
N |
N |
|
| 189 |
O |
СН2С СН |
Н |
СН3 |
СН3 |
О |
СН |
N |
|
| 190 |
O |
СН2С СН |
Н |
ОСН3 |
СН3 |
О |
СН |
N |
|
| 191 |
O |
СН2С СН |
Н |
СН3 |
СН3 |
О |
N |
N |
|
| 192 |
O |
СН2С СН |
Н |
ОСН3 |
СН3 |
О |
N |
N |
|
| 193 |
O |
СН2С СН |
Н |
ОСН3 |
ОСН3 |
О |
N |
N |
|
| 194 |
O |
СН2С СН |
Н |
ОСН3 |
Cl |
О |
СН |
N |
|
| 195 |
O |
СН2С СН |
Н |
OCF2H |
СН3 |
О |
СН |
N |
|
| 196 |
O |
СН2С СН |
Н |
OCF2H |
OCF2H |
О |
СН |
N |
|
| 197 |
O |
СН2С СН |
Н |
ОСН3 |
Br |
О |
СН |
N |
|
| 198 |
O |
СН2С СН |
Н |
ОСН3 |
ОС2Н5 |
О |
СН |
N |
|
| 199 |
O |
СН2С СН |
Н |
ОСН3 |
SCH3 |
О |
СН |
N |
|
| 200 |
O |
СН2С СН |
Н |
ОСН3 |
ОС2Н5 |
О |
N |
N |
|
| 201 |
O |
СН2С СН |
Н |
ОСН3 |
ОС3Н7 |
О |
CH |
N |
|
| 202 |
O |
СН2С СН |
Н |
ОСН3 |
Cl |
О |
N |
N |
|
| 203 |
O |
СН2С СН |
Н |
Cl |
ОС2Н5 |
О |
CH |
N |
|
| 204 |
O |
СН2С СН |
Н |
ОС2Н5 |
ОС2Н5 |
О |
CH |
N |
|
| 205 |
O |
СН2С СН |
Н |
С2Н5 |
ОСН3 |
О |
CH |
N |
|
| 206 |
O |
СН2С СН |
Н |
CF3 |
ОСН3 |
О |
CH |
N |
|
| 207 |
O |
СН2С СН |
Н |
ОСН2CF3 |
СН3 |
О |
CH |
N |
|
| 208 |
O |
СН2С СН |
Н |
ОСН2CF3 |
ОСН3 |
О |
CH |
N |
|
| 209 |
O |
СН2С СН |
Н |
ОСН2CF3 |
ОСН2CF3 |
О |
CH |
N |
|
| 210 |
O |
СН2С СН |
Н |
ОСН2CF3 |
ОСН3 |
О |
N |
N |
|
| 211 |
O |
СН2С СН |
Н |
ОСН3 |
NHCH3 |
О |
N |
N |
|
| 212 |
O |
СН2С СН |
Н |
ОС2Н5 |
NHCH3 |
О |
N |
N |
|
| 213 |
O |
СН2С СН |
Н |
С2Н5 |
ОС2Н5 |
О |
N |
N |
|
| 214 |
O |
СН2С СН |
Н |
ОСН3 |
СН3 |
О |
N |
N |
|
| 215 |
O |
СН2С СН |
Н |
Cl |
СН3 |
О |
N |
N |
|
| 216 |
O |
СН2С СН |
Н |
СН3 |
СН3 |
О |
N |
N |
|
| 217 |
O |
СН2С СН |
Н |
ОСН3 |
ОСН3 |
S |
СН |
N |
|
| 218 |
O |
СН2С СН |
Н |
ОСН3 |
СН3 |
S |
CH |
N |
|
| 219 |
O |
СН2С СН |
Н |
СН3 |
СН3 |
S |
CH |
N |
|
| 220 |
O |
СН2С СН |
Н |
ОСН3 |
ОСН3 |
S |
N |
N |
|
| 221 |
O |
СН2С СН |
Н |
ОСН3 |
СН3 |
S |
N |
N |
|
| 222 |
O |
СН2С СН |
Н |
СН3 |
СН3 |
S |
N |
N |
|
| 223 |
O |
н-С4Н9 |
Н |
ОСН3 |
ОСН3 |
О |
СН |
N |
|
| 224 |
O |
н-С4Н9 |
СН3 |
ОСН3 |
ОСН3 |
О |
СН |
N |
|
| 225 |
O |
н-С4Н9 |
СН3 |
ОСН3 |
СН3 |
О |
N |
N |
|
| 226 |
O |
н-С4Н9 |
Н |
СН3 |
СН3 |
О |
СН |
N |
|
| 227 |
O |
н-С4Н9 |
Н |
ОСН3 |
СН3 |
О |
СН |
N |
|
| 228 |
O |
н-С4Н9 |
Н |
СН3 |
СН3 |
О |
N |
N |
|
| 229 |
O |
н-С4Н9 |
Н |
ОСН3 |
СН3 |
O |
N |
N |
|
| 230 |
O |
н-С4Н9 |
Н |
ОСН3 |
ОСН3 |
O |
N |
N |
|
| 231 |
O |
изо-С4Н9 |
Н |
ОСН3 |
ОСН3 |
O |
CH |
N |
|
| 232 |
O |
изо-С4Н9 |
СН3 |
ОСН3 |
ОСН3 |
O |
CH |
N |
|
| 233 |
O |
изо-С4Н9 |
СН3 |
ОСН3 |
СН3 |
O |
N |
N |
|
| 234 |
O |
изо-С4Н9 |
Н |
СН3 |
СН3 |
O |
СН |
N |
|
| 235 |
O |
изо-С4Н9 |
Н |
ОСН3 |
СН3 |
O |
CH |
N |
|
| 236 |
O |
изо-С4Н9 |
Н |
СН3 |
СН3 |
О |
N |
N |
|
| 237 |
O |
изо-С4Н9 |
Н |
ОСН3 |
СН3 |
О |
N |
N |
|
| 238 |
O |
изо-С4Н9 |
Н |
ОСН3 |
ОСН3 |
О |
N |
N |
|
| 239 |
O |
втор-С4Н9 |
Н |
ОСН3 |
ОСН3 |
О |
СН |
N |
|
| 240 |
O |
втор-С4Н9 |
СН3 |
ОСН3 |
ОСН3 |
О |
СН |
N |
|
| 241 |
O |
втор-С4Н9 |
СН3 |
ОСН3 |
СН3 |
О |
N |
N |
|
| 242 |
O |
втор-С4Н9 |
Н |
СН3 |
СН3 |
О |
СН |
N |
|
| 243 |
O |
втор-С4Н9 |
Н |
ОСН3 |
СН3 |
О |
СН |
N |
|
| 244 |
O |
втор-С4Н9 |
Н |
СН3 |
СН3 |
О |
N |
N |
|
| 245 |
O |
втор-С4Н9 |
Н |
ОСН3 |
СН3 |
О |
N |
N |
|
| 246 |
O |
втор-С4Н9 |
Н |
ОСН3 |
ОСН3 |
О |
N |
N |
|
| 247 |
O |
трет-С4Н9 |
Н |
ОСН3 |
ОСН3 |
О |
СН |
N |
|
| 248 |
O |
трет-С4Н9 |
СН3 |
ОСН3 |
ОСН3 |
О |
СН |
N |
|
| 249 |
O |
трет-С4Н9 |
СН3 |
ОСН3 |
СН3 |
О |
N |
N |
|
| 250 |
O |
трет-С4Н9 |
Н |
СН3 |
СН3 |
О |
СН |
N |
|
| 251 |
O |
трет-С4Н9 |
Н |
ОСН3 |
СН3 |
О |
СН |
N |
|
| 252 |
O |
трет-С4Н9 |
Н |
СН3 |
СН3 |
О |
N |
N |
|
| 253 |
O |
трет-С4Н9 |
Н |
ОСН3 |
СН3 |
О |
N |
N |
|
| 254 |
O |
трет-С4Н9 |
Н |
ОСН3 |
ОСН3 |
О |
N |
N |
|
| 255 |
O |
СН2СН2Cl |
Н |
ОСН3 |
ОСН3 |
О |
СН |
N |
|
| 256 |
O |
СН2СН2Cl |
СН3 |
ОСН3 |
ОСН3 |
О |
СН |
N |
|
| 257 |
O |
СН2СН2Cl |
СН3 |
ОСН3 |
СН3 |
O |
N |
N |
|
| 258 |
O |
СН2СН2Cl |
Н |
СН3 |
СН3 |
O |
CH |
N |
|
| 259 |
O |
CH2CH2Cl |
Н |
ОСН3 |
СН3 |
O |
CH |
N |
|
| 260 |
O |
СН2СН2Cl |
Н |
СН3 |
СН3 |
O |
N |
N |
|
| 261 |
O |
СН2СН2Cl |
Н |
ОСН3 |
СН3 |
O |
N |
N |
|
| 262 |
O |
СН2СН2Cl |
Н |
ОСН3 |
ОСН3 |
O |
N |
N |
|
| 263 |
O |
СН2СН2OCH3 |
Н |
ОСН3 |
ОСН3 |
О |
СН |
N |
|
| 264 |
O |
СН2СН2OCH3 |
СН3 |
ОСН3 |
ОСН3 |
О |
СН |
N |
|
| 265 |
O |
СН2СН2OCH3 |
СН3 |
ОСН3 |
СН3 |
О |
N |
N |
|
| 266 |
O |
СН2СН2OCH3 |
Н |
СН3 |
СН3 |
О |
СН |
N |
|
| 267 |
O |
СН2СН2OCH3 |
Н |
ОСН3 |
СН3 |
О |
СН |
N |
|
| 268 |
O |
СН2СН2OCH3 |
Н |
СН3 |
СН3 |
О |
N |
N |
|
| 269 |
O |
СН2СН2OCH3 |
Н |
ОСН3 |
СН3 |
О |
N |
N |
|
| 270 |
O |
СН2СН2OCH3 |
Н |
ОСН3 |
ОСН3 |
О |
N |
N |
|
| 271 |
O |
ц-С6Н11 |
Н |
ОСН3 |
ОСН3 |
О |
СН |
N |
|
| 272 |
O |
ц-С6Н11 |
СН3 |
ОСН3 |
ОСН3 |
О |
СН |
N |
|
| 273 |
O |
ц-С6Н11 |
СН3 |
ОСН3 |
СН3 |
О |
N |
N |
|
| 274 |
O |
ц-С6Н11 |
Н |
СН3 |
СН3 |
О |
СН |
N |
|
| 275 |
O |
ц-С6Н11 |
Н |
ОСН3 |
СН3 |
О |
СН |
N |
|
| 276 |
O |
ц-С6Н11 |
Н |
СН3 |
СН3 |
О |
N |
N |
|
| 277 |
O |
ц-С6Н11 |
Н |
ОСН3 |
СН3 |
О |
N |
N |
|
| 278 |
O |
ц-С6Н11 |
Н |
ОСН3 |
ОСН3 |
О |
N |
N |
|
| 279 |
O |
СН3 |
Н |
ОСН3 |
SCH3 |
О |
СН |
N |
211-213 (разложение) |
| 280 |
O |
СН3 |
Н |
СН3 |
SCH3 |
О |
N |
N |
196-198 |
| 281 |
O |
СН3 |
Н |
Ц-С3Н5 |
ОСН3 |
О |
N |
N |
175-178 |
| 282 |
O |
СН3 |
Н |
С2Н5 |
ОСН3 |
О |
N |
N |
195-196 |
| 283 |
O |
СН3 |
Н |
СН2SCH3 |
ОСН3 |
О |
N |
N |
147-150 |
| 284 |
O |
СН3 |
СН3 |
ОСН3 |
ОСН3 |
O |
N |
N |
131-133 |
| 285 |
O |
СН3 |
Н |
ОСН3 |
ОСН3 |
O |
CH |
N |
Na-соль |
189 |
| 286 |
O |
СН3 |
Н |
ОСН3 |
СН3 |
O |
N |
N |
Na-соль |
195 |
| 287 |
O |
СН3 |
Н |
ОСН3 |
СН3 |
O |
СН |
N |
Na-соль |
189 |
| 288 |
O |
СН3 |
Н |
ц-С3Н5 |
СН3 |
O |
N |
N |
Na-соль |
170 |
| 289 |
O |
СН3 |
СН3 |
ОСН3 |
ОСН3 |
O |
N |
N |
Na-соль |
130 |
| 290 |
O |
СН3 |
Н |
С2Н5 |
ОСН3 |
О |
N |
N |
Na-соль |
172 |
| 291 |
O |
СН3 |
СН3 |
ОСН3 |
ОС2Н5 |
О |
N |
N |
Li-соль |
124 |
| 292 |
O |
СН3 |
Н |
ОСН3 |
СН3 |
О |
СН |
N |
Na-соль |
191 |
| 293 |
O |
СН3 |
СН3 |
ОСН3 |
ОСН3 |
О |
СН |
N |
Na-соль |
118 |
| 294 |
O |
СН3 |
СН3 |
ОСН3 |
СН3 |
О |
N |
N |
Na-соль |
138 |
| 295 |
O |
СН3 |
Н |
ОСН3 |
ОСН3 |
О |
N |
N |
Na-соль |
184 |
| Таблица 3 |
 |
| Пример № |
Q |
R |
R1 |
R2 |
R3 |
W |
Y |
Z |
Т.пл. (°С) |
| 1 |
O |
СН3 |
Н |
ОСН3 |
ОСН3 |
О |
CH |
N |
169-171 |
| 2 |
O |
СН3 |
СН3 |
ОСН3 |
ОСН3 |
О |
CH |
N |
186-187 |
| 3 |
O |
СН3 |
СН3 |
ОСН3 |
СН3 |
О |
N |
N |
172-173 |
| 4 |
O |
СН3 |
Н |
СН3 |
СН3 |
О |
СН |
N |
195-196 |
| 5 |
O |
СН3 |
Н |
ОСН3 |
СН3 |
О |
СН |
N |
177 |
| 6 |
O |
СН3 |
Н |
СН3 |
СН3 |
О |
N |
N |
182-184 |
| 7 |
O |
СН3 |
Н |
ОСН3 |
СН3 |
О |
N |
N |
158-163 |
| 8 |
O |
СН3 |
Н |
ОСН3 |
ОСН3 |
О |
N |
N |
174 |
| 9 |
O |
СН3 |
Н |
ОСН3 |
Cl |
О |
СН |
N |
170-172 |
| 10 |
O |
СН3 |
Н |
OCF2H |
СН3 |
О |
СН |
N |
|
| 11 |
O |
СН3 |
Н |
OCF2H |
OCF2H |
О |
СН |
N |
178-179 |
| 12 |
O |
СН3 |
Н |
ОСН3 |
Br |
О |
СН |
N |
|
| 13 |
O |
СН3 |
Н |
ОСН3 |
ОС2Н5 |
О |
СН |
N |
|
| 14 |
O |
СН3 |
Н |
ОСН3 |
SCH3 |
О |
СН |
N |
|
| 15 |
O |
СН3 |
Н |
ОСН3 |
ОС2Н5 |
О |
N |
N |
|
| 16 |
O |
СН3 |
Н |
ОСН3 |
ОС3Н7 |
О |
СН |
N |
|
| 17 |
O |
СН3 |
Н |
ОСН3 |
Cl |
О |
N |
N |
|
| 18 |
O |
СН3 |
Н |
Cl |
ОС2Н5 |
О |
СН |
N |
|
| 19 |
O |
СН3 |
Н |
ОС2Н5 |
ОС2Н5 |
О |
СН |
N |
|
| 20 |
O |
СН3 |
Н |
С2Н5 |
ОСН3 |
О |
СН |
N |
|
| 21 |
O |
СН3 |
Н |
CF3 |
ОСН3 |
О |
СН |
N |
|
| 22 |
O |
СН3 |
Н |
ОСН2CF3 |
СН3 |
О |
СН |
N |
|
| 23 |
O |
СН3 |
Н |
ОСН2CF3 |
ОСН3 |
О |
СН |
N |
|
| 24 |
O |
СН3 |
Н |
ОСН2CF3 |
ОСН2CF3 |
О |
СН |
N |
|
| 25 |
O |
СН3 |
Н |
ОСН2CF3 |
ОСН3 |
О |
N |
N |
125 (разложение) |
| 26 |
O |
СН3 |
Н |
ОСН3 |
NHCH3 |
О |
N |
N |
|
| 27 |
O |
СН3 |
Н |
ОС2Н5 |
NHCH3 |
О |
N |
N |
|
| 28 |
O |
СН3 |
Н |
С2Н5 |
ОС2Н5 |
О |
N |
N |
|
| 29 |
O |
СН3 |
Н |
ОСН3 |
СН3 |
О |
N |
N |
|
| 30 |
O |
СН3 |
Н |
Cl |
СН3 |
О |
N |
N |
|
| 31 |
O |
СН3 |
Н |
СН3 |
СН3 |
О |
N |
N |
|
| 32 |
O |
СН3 |
Н |
ОСН3 |
ОСН3 |
S |
СН |
N |
|
| 33 |
O |
СН3 |
Н |
ОСН3 |
СН3 |
S |
СН |
N |
|
| 34 |
O |
СН3 |
Н |
СН3 |
СН3 |
S |
СН |
N |
|
| 35 |
O |
СН3 |
Н |
ОСН3 |
ОСН3 |
S |
N |
N |
|
| 36 |
O |
СН3 |
Н |
ОСН3 |
СН3 |
S |
N |
N |
|
| 37 |
O |
СН3 |
Н |
СН3 |
СН3 |
S |
N |
N |
|
| 38 |
O |
С2Н5 |
Н |
ОСН3 |
ОСН3 |
O |
CH |
N |
174-177 |
| 39 |
O |
С2Н5 |
СН3 |
ОСН3 |
ОСН3 |
O |
CH |
N |
155-157 |
| 40 |
O |
С2Н5 |
СН3 |
ОСН3 |
СН3 |
О |
N |
N |
163-164 |
| 41 |
O |
С2Н5 |
Н |
СН3 |
СН3 |
О |
CH |
N |
|
| 42 |
O |
С2Н5 |
Н |
ОСН3 |
СН3 |
О |
CH |
N |
183-184 |
| 43 |
O |
С2Н5 |
Н |
СН3 |
СН3 |
О |
N |
N |
|
| 44 |
O |
С2Н5 |
Н |
ОСН3 |
СН3 |
О |
N |
N |
168-170 |
| 45 |
O |
С2Н5 |
Н |
ОСН3 |
ОСН3 |
О |
N |
N |
154-158 |
| 46 |
O |
С2Н5 |
Н |
ОСН3 |
Cl |
О |
СН |
N |
151-153 |
| 47 |
O |
С2Н5 |
Н |
OCF2H |
СН3 |
О |
СН |
N |
|
| 48 |
O |
С2Н5 |
Н |
OCF2H |
OCF2H |
О |
СН |
N |
|
| 49 |
O |
С2Н5 |
Н |
ОСН3 |
Br |
О |
СН |
N |
|
| 50 |
O |
С2Н5 |
Н |
ОСН3 |
ОС2Н5 |
О |
СН |
N |
|
| 51 |
O |
С2Н5 |
Н |
ОСН3 |
SCH3 |
О |
CH |
N |
|
| 52 |
O |
С2Н5 |
Н |
ОСН3 |
ОС2Н5 |
О |
N |
N |
|
| 53 |
O |
С2Н5 |
Н |
ОСН3 |
ОС3Н7 |
О |
СН |
N |
|
| 54 |
O |
С2Н5 |
Н |
ОСН3 |
Cl |
О |
N |
N |
|
| 55 |
O |
С2Н5 |
Н |
Cl |
ОС2Н5 |
О |
СН |
N |
|
| 56 |
O |
С2Н5 |
Н |
ОС2Н5 |
ОС2Н5 |
О |
СН |
N |
|
| 57 |
O |
C2H5 |
Н |
C2H5 |
ОСН3 |
О |
СН |
N |
|
| 58 |
O |
С2Н5 |
Н |
CF3 |
ОСН3 |
О |
СН |
N |
|
| 59 |
O |
С2Н5 |
Н |
ОСН2CF3 |
СН3 |
О |
СН |
N |
|
| 60 |
O |
С2Н5 |
Н |
ОСН2CF3 |
ОСН3 |
О |
CH |
N |
|
| 61 |
O |
С2Н5 |
Н |
ОСН2CF3 |
ОСН2CF3 |
О |
CH |
N |
|
| 62 |
O |
С2Н5 |
Н |
ОСН2CF3 |
ОСН3 |
О |
N |
N |
|
| 63 |
O |
С2Н5 |
Н |
ОСН3 |
NHCH3 |
О |
N |
N |
|
| 64 |
O |
С2Н5 |
Н |
ОС2Н5 |
МНСН3 |
О |
N |
N |
|
| 65 |
O |
С2Н5 |
Н |
С2Н5 |
ОС2Н5 |
О |
N |
N |
|
| 66 |
O |
С2Н5 |
Н |
ОСН3 |
СН3 |
О |
N |
N |
|
| 67 |
O |
С2Н5 |
Н |
Cl |
СН3 |
О |
N |
N |
|
| 68 |
O |
С2Н5 |
Н |
СН3 |
СН3 |
О |
N |
N |
|
| 69 |
O |
С2Н5 |
Н |
ОСН3 |
ОСН3 |
S |
СН |
N |
|
| 70 |
O |
С2Н5 |
Н |
ОСН3 |
СН3 |
S |
СН |
N |
|
| 71 |
O |
С2Н5 |
Н |
СН3 |
СН3 |
S |
СН |
N |
|
| 72 |
O |
С2Н5 |
Н |
ОСН3 |
ОСН3 |
S |
N |
N |
|
| 73 |
O |
С2Н5 |
Н |
ОСН3 |
СН3 |
S |
N |
N |
|
| 74 |
O |
С2Н5 |
Н |
СН3 |
СН3 |
S |
N |
N |
|
| 75 |
O |
н-С3Н7 |
Н |
ОСН3 |
ОСН3 |
О |
СН |
N |
|
| 76 |
O |
н-С3Н7 |
СН3 |
ОСН3 |
ОСН3 |
О |
СН |
N |
|
| 77 |
O |
н-С3Н7 |
СН3 |
ОСН3 |
СН3 |
О |
N |
N |
|
| 78 |
O |
н-С3Н7 |
Н |
СН3 |
СН3 |
О |
СН |
N |
|
| 79 |
O |
н-С3Н7 |
Н |
ОСН3 |
СН3 |
О |
СН |
N |
|
| 80 |
O |
н-С3Н7 |
Н |
СН3 |
СН3 |
О |
N |
N |
|
| 81 |
O |
н-С3Н7 |
Н |
ОСН3 |
СН3 |
О |
N |
N |
|
| 82 |
O |
н-С3Н7 |
Н |
ОСН3 |
ОСН3 |
О |
N |
N |
|
| 83 |
O |
н-С3Н7 |
Н |
ОСН3 |
Cl |
О |
СН |
N |
|
| 84 |
O |
н-С3Н7 |
Н |
OCF2H |
СН3 |
О |
СН |
N |
|
| 85 |
O |
н-С3Н7 |
Н |
OCF2H |
OCF2H |
О |
СН |
N |
|
| 86 |
O |
н-С3Н7 |
Н |
ОСН3 |
Br |
О |
СН |
N |
|
| 87 |
O |
н-С3Н7 |
Н |
ОСН3 |
ОС2Н5 |
О |
СН |
N |
|
| 88 |
O |
н-С3Н7 |
Н |
ОСН3 |
SCH3 |
О |
СН |
N |
|
| 89 |
O |
н-С3Н7 |
Н |
ОСН3 |
ОС2Н5 |
О |
N |
N |
|
| 90 |
O |
н-С3Н7 |
Н |
ОСН3 |
ОС3Н7 |
О |
СН |
N |
|
| 91 |
O |
н-С3Н7 |
Н |
ОСН3 |
Cl |
О |
N |
N |
|
| 92 |
O |
н-С3Н7 |
Н |
Cl |
ОС2Н5 |
О |
СН |
N |
|
| 93 |
O |
н-С3Н7 |
Н |
ОС2Н5 |
ОС2Н5 |
О |
СН |
N |
|
| 94 |
O |
н-С3Н7 |
Н |
С2Н5 |
ОСН3 |
О |
СН |
N |
|
| 95 |
O |
н-С3Н7 |
Н |
CF3 |
ОСН3 |
О |
СН |
N |
|
| 96 |
O |
н-С3Н7 |
Н |
ОСН2CF3 |
СН3 |
О |
СН |
N |
|
| 97 |
O |
н-С3Н7 |
Н |
ОСН2CF3 |
ОСН3 |
О |
СН |
N |
|
| 98 |
O |
н-С3Н7 |
Н |
ОСН2CF3 |
ОСН2CF3 |
О |
СН |
N |
|
| 99 |
O |
н-С3Н7 |
Н |
ОСН2CF3 |
ОСН3 |
О |
N |
N |
|
| 100 |
O |
н-С3Н7 |
Н |
ОСН3 |
NHCH3 |
О |
N |
N |
|
| 101 |
O |
н-С3Н7 |
Н |
ОС2Н5 |
NHCH3 |
О |
N |
N |
|
| 102 |
O |
н-С3Н7 |
Н |
C2H5 |
ОС2Н5 |
О |
N |
N |
|
| 103 |
O |
н-С3Н7 |
Н |
ОСН3 |
СН3 |
О |
N |
N |
|
| 104 |
O |
н-С3Н7 |
Н |
Cl |
СН3 |
О |
N |
N |
|
| 105 |
O |
н-С3Н7 |
Н |
СН3 |
СН3 |
О |
N |
N |
|
| 106 |
O |
н-С3Н7 |
Н |
ОСН3 |
ОСН3 |
S |
СН |
N |
|
| 107 |
O |
н-С3Н7 |
Н |
ОСН3 |
СН3 |
S |
СН |
N |
|
| 108 |
O |
н-С3Н7 |
Н |
СН3 |
СН3 |
S |
СН |
N |
|
| 109 |
O |
н-С3Н7 |
Н |
ОСН3 |
ОСН3 |
S |
N |
N |
|
| 110 |
O |
н-С3Н7 |
Н |
ОСН3 |
СН3 |
S |
N |
N |
|
| 111 |
O |
н-С3Н7 |
Н |
СН3 |
СН3 |
S |
N |
N |
|
| 112 |
O |
изо-С3Н7 |
Н |
ОСН3 |
ОСН3 |
О |
СН |
N |
190-1 |
| 113 |
O |
изо-С3Н7 |
СН3 |
ОСН3 |
ОСН3 |
О |
СН |
N |
|
| 114 |
O |
изо-С3Н7 |
СН3 |
ОСН3 |
СН3 |
О |
N |
N |
|
| 115 |
O |
изо-С3Н7 |
Н |
СН3 |
СН3 |
О |
СН |
N |
|
| 116 |
O |
изо-С3Н7 |
Н |
ОСН3 |
СН3 |
О |
СН |
N |
|
| 117 |
O |
изо-С3Н7 |
Н |
СН3 |
СН3 |
О |
N |
N |
|
| 118 |
O |
изо-С3Н7 |
Н |
ОСН3 |
СН3 |
О |
N |
N |
|
| 119 |
O |
изо-С3Н7 |
Н |
ОСН3 |
ОСН3 |
О |
N |
N |
|
| 120 |
O |
изо-С3Н7 |
Н |
ОСН3 |
Cl |
О |
СН |
N |
|
| 121 |
O |
изо-С3Н7 |
Н |
OCF2H |
СН3 |
O |
СН |
N |
|
| 122 |
O |
изо-С3Н7 |
Н |
OCF2H |
OCF2H |
O |
СН |
N |
|
| 123 |
O |
изо-С3Н7 |
Н |
ОСН3 |
Br |
O |
СН |
N |
|
| 124 |
O |
изо-С3Н7 |
Н |
ОСН3 |
ОС2Н5 |
O |
СН |
N |
|
| 125 |
O |
изо-С3Н7 |
Н |
ОСН3 |
SCH3 |
O |
СН |
N |
|
| 126 |
O |
изо-С3Н7 |
Н |
ОСН3 |
ОС2Н5 |
O |
N |
N |
|
| 127 |
O |
изо-С3Н7 |
Н |
ОСН3 |
ОС3Н7 |
O |
CH |
N |
|
| 128 |
O |
изо-С3Н7 |
Н |
ОСН3 |
Cl |
O |
N |
N |
|
| 129 |
O |
изо-С3Н7 |
Н |
Cl |
ОС2Н5 |
O |
СН |
N |
|
| 130 |
O |
изо-С3Н7 |
Н |
ОС2Н5 |
ОС2Н5 |
О |
СН |
N |
|
| 131 |
O |
изо-С3Н7 |
Н |
С2Н5 |
ОСН3 |
О |
СН |
N |
|
| 132 |
O |
изо-С3Н7 |
Н |
CF3 |
ОСН3 |
О |
СН |
N |
|
| 133 |
O |
изо-С3Н7 |
Н |
ОСН2CF3 |
СН3 |
О |
СН |
N |
|
| 134 |
O |
изо-С3Н7 |
Н |
ОСН2CF3 |
ОСН3 |
О |
СН |
N |
|
| 135 |
O |
изо-С3Н7 |
Н |
ОСН2CF3 |
ОСН2CF3 |
О |
СН |
N |
|
| 136 |
O |
изо-С3Н7 |
Н |
ОСН2CF3 |
ОСН3 |
О |
N |
N |
|
| 137 |
O |
изо-С3Н7 |
Н |
ОСН3 |
NHCH3 |
О |
N |
N |
|
| 138 |
O |
изо-С3Н7 |
Н |
OC2H5 |
NHCH3 |
О |
N |
N |
|
| 139 |
O |
изо-С3Н7 |
Н |
С2Н5 |
ОС2Н5 |
О |
N |
N |
|
| 140 |
O |
изо-С3Н7 |
Н |
ОСН3 |
СН3 |
О |
N |
N |
|
| 141 |
O |
изо-С3Н7 |
Н |
Cl |
СН3 |
О |
N |
N |
|
| 142 |
O |
изо-С3Н7 |
Н |
СН3 |
СН3 |
О |
N |
N |
|
| 143 |
O |
изо-С3Н7 |
Н |
ОСН3 |
ОСН3 |
S |
СН |
N |
|
| 144 |
O |
изо-С3Н7 |
Н |
ОСН3 |
СН3 |
S |
CH |
N |
|
| 145 |
O |
изо-С3Н7 |
Н |
СН3 |
СН3 |
S |
CH |
N |
|
| 146 |
O |
изо-С3Н7 |
Н |
ОСН3 |
ОСН3 |
S |
N |
N |
|
| 147 |
O |
изо-С3Н7 |
Н |
ОСН3 |
СН3 |
S |
N |
N |
|
| 148 |
O |
изо-С3Н7 |
Н |
СН3 |
СН3 |
S |
N |
N |
|
| 149 |
O |
CH2CH=CH2 |
Н |
ОСН3 |
ОСН3 |
О |
СН |
N |
|
| 150 |
O |
СН2СН=СН2 |
СН3 |
ОСН3 |
ОСН3 |
О |
СН |
N |
|
| 151 |
O |
СН2СН=СН2 |
СН3 |
ОСН3 |
СН3 |
О |
N |
N |
|
| 152 |
O |
СН2СН=СН2 |
Н |
СН3 |
СН3 |
О |
СН |
N |
|
| 153 |
O |
СН2СН=СН2 |
Н |
ОСН3 |
СН3 |
О |
СН |
N |
|
| 154 |
O |
СН2СН=СН2 |
Н |
СН3 |
СН3 |
О |
N |
N |
|
| 155 |
O |
СН2СН=СН2 |
Н |
ОСН3 |
СН3 |
О |
N |
N |
|
| 156 |
O |
СН2СН=СН2 |
Н |
ОСН3 |
ОСН3 |
О |
N |
N |
|
| 157 |
O |
СН2СН=СН2 |
Н |
ОСН3 |
Cl |
О |
СН |
N |
|
| 158 |
O |
СН2СН=СН2 |
Н |
OCF2H |
СН3 |
О |
СН |
N |
|
| 159 |
O |
СН2СН=СН2 |
Н |
OCF2H |
OCF2H |
О |
СН |
N |
|
| 160 |
O |
СН2СН=СН2 |
Н |
ОСН3 |
Br |
О |
СН |
N |
|
| 161 |
O |
СН2СН=СН2 |
Н |
ОСН3 |
ОС2Н5 |
О |
СН |
N |
|
| 162 |
O |
СН2СН=СН2 |
Н |
ОСН3 |
SCH3 |
О |
СН |
N |
|
| 163 |
O |
СН2СН=СН2 |
Н |
ОСН3 |
ОС2Н5 |
О |
N |
N |
|
| 164 |
O |
СН2СН=СН2 |
Н |
ОСН3 |
ОС3Н7 |
О |
CH |
N |
|
| 165 |
O |
СН2СН=СН2 |
Н |
ОСН3 |
Cl |
О |
N |
N |
|
| 166 |
O |
СН2СН=СН2 |
Н |
Cl |
ОС2Н5 |
О |
СН |
N |
|
| 167 |
O |
CH2CH=CH2 |
Н |
ОС2Н5 |
ОС2Н5 |
О |
СН |
N |
|
| 168 |
O |
СН2СН=СН2 |
Н |
С2Н5 |
ОСН3 |
О |
СН |
N |
|
| 169 |
O |
СН2СН=СН2 |
Н |
CF3 |
ОСН3 |
О |
СН |
N |
|
| 170 |
O |
СН2СН=СН2 |
Н |
ОСН2CF3 |
СН3 |
О |
СН |
N |
|
| 171 |
O |
СН2СН=СН2 |
Н |
ОСН2CF3 |
ОСН3 |
О |
СН |
N |
|
| 172 |
O |
СН2СН=СН2 |
Н |
ОСН2CF3 |
ОСН2CF3 |
О |
СН |
N |
|
| 173 |
O |
СН2СН=СН2 |
Н |
ОСН2CF3 |
ОСН3 |
О |
N |
N |
|
| 174 |
O |
СН2СН=СН2 |
Н |
ОСН3 |
NHCH3 |
О |
N |
N |
|
| 175 |
O |
СН2СН=СН2 |
Н |
ОС2Н5 |
NHCH3 |
О |
N |
N |
|
| 176 |
O |
СН2СН=СН2 |
Н |
С2Н5 |
ОС2Н5 |
О |
N |
N |
|
| 177 |
O |
СН2СН=СН2 |
Н |
ОСН3 |
СН3 |
О |
N |
N |
|
| 178 |
O |
СН2СН=СН2 |
Н |
Cl |
СН3 |
О |
N |
N |
|
| 179 |
O |
СН2СН=СН2 |
Н |
СН3 |
СН3 |
О |
N |
N |
|
| 180 |
O |
СН2СН=СН2 |
Н |
ОСН3 |
ОСН3 |
S |
СН |
N |
|
| 181 |
O |
СН2СН=СН2 |
Н |
ОСН3 |
СН3 |
S |
СН |
N |
|
| 182 |
O |
СН2СН=СН2 |
Н |
СН3 |
СН3 |
S |
СН |
N |
|
| 183 |
O |
СН2СН=СН2 |
Н |
ОСН3 |
ОСН3 |
S |
N |
N |
|
| 184 |
O |
СН2СН=СН2 |
Н |
ОСН3 |
СН3 |
S |
N |
N |
|
| 185 |
O |
СН2СН=СН2 |
Н |
СН3 |
СН3 |
S |
N |
N |
|
| 186 |
O |
СН2С СН |
Н |
ОСН3 |
ОСН3 |
О |
СН |
N |
|
| 187 |
O |
СН2С СН |
СН3 |
ОСН3 |
ОСН3 |
О |
СН |
N |
|
| 188 |
O |
СН2С СН |
СН3 |
ОСН3 |
СН3 |
О |
N |
N |
|
| 189 |
O |
СН2С СН |
Н |
СН3 |
СН3 |
О |
СН |
N |
|
| 190 |
O |
СН2С СН |
Н |
ОСН3 |
СН3 |
О |
СН |
N |
|
| 191 |
O |
СН2С СН |
Н |
СН3 |
СН3 |
О |
N |
N |
|
| 192 |
O |
СН2С СН |
Н |
ОСН3 |
СН3 |
О |
N |
N |
|
| 193 |
O |
СН2С СН |
Н |
ОСН3 |
ОСН3 |
О |
N |
N |
|
| 194 |
O |
СН2С СН |
Н |
ОСН3 |
Cl |
О |
СН |
N |
|
| 195 |
O |
СН2С СН |
Н |
OCF2H |
СН3 |
О |
СН |
N |
|
| 196 |
O |
СН2С СН |
Н |
OCF2H |
OCF2H |
О |
СН |
N |
|
| 197 |
O |
СН2С СН |
Н |
ОСН3 |
Br |
О |
СН |
N |
|
| 198 |
O |
СН2С СН |
Н |
ОСН3 |
OC2H5 |
О |
СН |
N |
|
| 199 |
O |
CH2C CH |
Н |
ОСН3 |
SCH3 |
О |
СН |
N |
|
| 200 |
O |
СН2С СН |
Н |
ОСН3 |
OC2H5 |
О |
N |
N |
|
| 201 |
O |
СН2С СН |
Н |
ОСН3 |
ОС3Н7 |
О |
CH |
N |
|
| 202 |
O |
СН2С СН |
Н |
ОСН3 |
Cl |
О |
N |
N |
|
| 203 |
O |
СН2С СН |
Н |
Cl |
ОС2Н5 |
О |
СН |
N |
|
| 204 |
O |
СН2С СН |
Н |
ОС2Н5 |
ОС2Н5 |
О |
СН |
N |
|
| 205 |
O |
СН2С СН |
Н |
С2Н5 |
ОСН3 |
O |
СН |
N |
|
| 206 |
O |
СН2С СН |
Н |
CF3 |
ОСН3 |
O |
СН |
N |
|
| 207 |
O |
CH2C CH |
Н |
ОСН2CF3 |
СН3 |
O |
СН |
N |
|
| 208 |
O |
CH2C CH |
Н |
ОСН2CF3 |
ОСН3 |
O |
СН |
N |
|
| 209 |
O |
CH2C CH |
Н |
ОСН2CF3 |
ОСН2CF3 |
O |
СН |
N |
|
| 210 |
O |
СН2С СН |
Н |
ОСН2CF3 |
ОСН3 |
O |
N |
N |
|
| 211 |
O |
СН2С СН |
Н |
ОСН3 |
NHCH3 |
O |
N |
N |
|
| 212 |
O |
СН2С СН |
Н |
ОС2Н5 |
NHCH3 |
О |
N |
N |
|
| 213 |
O |
СН2С СН |
Н |
С2Н5 |
ОС2Н5 |
О |
N |
N |
|
| 214 |
O |
СН2С СН |
Н |
ОСН3 |
СН3 |
О |
N |
N |
|
| 215 |
O |
СН2С СН |
Н |
Cl |
СН3 |
О |
N |
N |
|
| 216 |
O |
СН2С СН |
Н |
СН3 |
СН3 |
О |
N |
N |
|
| 217 |
O |
СН2С СН |
Н |
ОСН3 |
ОСН3 |
S |
СН |
N |
|
| 218 |
O |
СН2С СН |
Н |
ОСН3 |
СН3 |
S |
СН |
N |
|
| 219 |
O |
СН2С СН |
Н |
СН3 |
СН3 |
S |
СН |
N |
|
| 220 |
O |
CH2C CH |
Н |
ОСН3 |
ОСН3 |
S |
N |
N |
|
| 221 |
O |
СН2С СН |
Н |
ОСН3 |
СН3 |
S |
N |
N |
|
| 222 |
O |
CH2C CH |
Н |
СН3 |
СН3 |
S |
N |
N |
|
| 223 |
O |
н-С4Н9 |
Н |
ОСН3 |
ОСН3 |
О |
СН |
N |
|
| 224 |
O |
н-С4Н9 |
СН3 |
ОСН3 |
ОСН3 |
О |
СН |
N |
|
| 225 |
O |
н-С4Н9 |
СН3 |
ОСН3 |
СН3 |
О |
N |
N |
|
| 226 |
O |
н-С4Н9 |
Н |
СН3 |
СН3 |
О |
СН |
N |
|
| 227 |
O |
н-С4Н9 |
Н |
ОСН3 |
СН3 |
О |
СН |
N |
|
| 228 |
O |
н-С4Н9 |
Н |
СН3 |
СН3 |
О |
N |
N |
|
| 229 |
O |
н-С4Н9 |
Н |
ОСН3 |
СН3 |
О |
N |
N |
|
| 230 |
O |
н-С4Н9 |
Н |
ОСН3 |
ОСН3 |
О |
N |
N |
|
| 231 |
O |
изо-С4Н9 |
Н |
ОСН3 |
ОСН3 |
О |
СН |
N |
|
| 232 |
O |
изо-С4Н9 |
СН3 |
ОСН3 |
ОСН3 |
О |
СН |
N |
|
| 233 |
O |
изо-С4Н9 |
СН3 |
ОСН3 |
СН3 |
O |
N |
N |
|
| 234 |
O |
изо-С4Н9 |
Н |
СН3 |
СН3 |
O |
СН |
N |
|
| 235 |
O |
изо-С4Н9 |
Н |
ОСН3 |
СН3 |
O |
СН |
N |
|
| 236 |
O |
изо-С4Н9 |
Н |
СН3 |
СН3 |
O |
N |
N |
|
| 237 |
O |
изо-С4Н9 |
Н |
ОСН3 |
СН3 |
O |
N |
N |
|
| 238 |
O |
изо-С4Н9 |
Н |
ОСН3 |
ОСН3 |
O |
N |
N |
|
| 239 |
O |
втор-С4Н9 |
Н |
ОСН3 |
ОСН3 |
O |
СН |
N |
|
| 240 |
O |
втор-С4Н9 |
СН3 |
ОСН3 |
ОСН3 |
О |
СН |
N |
|
| 241 |
O |
втор-С4Н9 |
СН3 |
ОСН3 |
СН3 |
О |
N |
N |
|
| 242 |
O |
втор-С4Н9 |
Н |
СН3 |
СН3 |
О |
СН |
N |
|
| 243 |
O |
втор-С4Н9 |
Н |
ОСН3 |
СН3 |
О |
СН |
N |
|
| 244 |
O |
втор-С4Н9 |
Н |
СН3 |
СН3 |
О |
N |
N |
|
| 245 |
O |
втор-С4Н9 |
Н |
ОСН3 |
СН3 |
О |
N |
N |
|
| 246 |
O |
втор-С4Н9 |
Н |
ОСН3 |
ОСН3 |
О |
N |
N |
|
| 247 |
O |
трет-С4Н9 |
Н |
ОСН3 |
ОСН3 |
О |
СН |
N |
|
| 248 |
O |
трет-С4Н9 |
СН3 |
ОСН3 |
ОСН3 |
О |
СН |
N |
|
| 249 |
O |
трет-С4Н9 |
СН3 |
ОСН3 |
СН3 |
О |
N |
N |
|
| 250 |
O |
трет-С4Н9 |
Н |
СН3 |
СН3 |
О |
СН |
N |
|
| 251 |
O |
трет-С4Н9 |
Н |
ОСН3 |
СН3 |
О |
СН |
N |
|
| 252 |
O |
трет-С4Н9 |
Н |
СН3 |
СН3 |
О |
N |
N |
|
| 253 |
O |
трет-С4Н9 |
Н |
ОСН3 |
СН3 |
О |
N |
N |
|
| 254 |
O |
трет-С4Н9 |
Н |
ОСН3 |
ОСН3 |
О |
N |
N |
|
| 255 |
O |
СН2СН2Cl |
Н |
ОСН3 |
ОСН3 |
О |
СН |
N |
|
| 256 |
O |
CH2CH2Cl |
СН3 |
ОСН3 |
ОСН3 |
О |
СН |
N |
|
| 257 |
O |
СН2СН2Cl |
СН3 |
ОСН3 |
СН3 |
О |
N |
N |
|
| 258 |
O |
СН2СН2Cl |
Н |
СН3 |
СН3 |
О |
СН |
N |
|
| 259 |
O |
СН2СН2Cl |
Н |
ОСН3 |
СН3 |
О |
СН |
N |
|
| 260 |
O |
СН2СН2Cl |
Н |
СН3 |
СН3 |
О |
N |
N |
|
| 261 |
O |
СН2СН2Cl |
Н |
ОСН3 |
СН3 |
O |
N |
N |
|
| 262 |
O |
CH2CH2Cl |
Н |
ОСН3 |
ОСН3 |
O |
N |
N |
|
| 263 |
O |
СН2СН2OCH3 |
Н |
ОСН3 |
ОСН3 |
O |
СН |
N |
|
| 264 |
O |
СН2СН2ОСН3 |
СН3 |
ОСН3 |
ОСН3 |
O |
СН |
N |
|
| 265 |
O |
СН2СН2OCH3 |
СН3 |
ОСН3 |
СН3 |
O |
N |
N |
|
| 266 |
O |
СН2СН2ОСН3 |
Н |
СН3 |
СН3 |
O |
СН |
N |
|
| 267 |
O |
СН2СН2OCH3 |
Н |
ОСН3 |
СН3 |
O |
СН |
N |
|
| 268 |
O |
СН2СН2OCH3 |
Н |
СН3 |
СН3 |
O |
N |
N |
|
| 269 |
O |
СН2СН2OCH3 |
Н |
ОСН3 |
СН3 |
O |
N |
N |
|
| 270 |
O |
СН2СН2OCH3 |
Н |
ОСН3 |
ОСН3 |
O |
N |
N |
|
| 271 |
O |
ц-С6Н11 |
Н |
ОСН3 |
ОСН3 |
O |
СН |
N |
|
| 272 |
O |
ц-С6Н11 |
СН3 |
ОСН3 |
ОСН3 |
O |
СН |
N |
|
| 273 |
O |
ц-С6Н11 |
СН3 |
ОСН3 |
СН3 |
O |
N |
N |
|
| 274 |
O |
ц-С6Н11 |
Н |
СН3 |
СН3 |
O |
СН |
N |
|
| 275 |
O |
ц-С6Н11 |
Н |
ОСН3 |
СН3 |
O |
СН |
N |
|
| 276 |
O |
ц-С6Н11 |
Н |
СН3 |
СН3 |
O |
N |
N |
|
| 277 |
O |
ц-С6Н11 |
Н |
ОСН3 |
СН3 |
O |
N |
N |
|
| 278 |
O |
ц-С6Н11 |
Н |
ОСН3 |
ОСН3 |
O |
N |
N |
|
| 279 |
O |
СН3 |
Н |
ОСН3 |
SCH3 |
O |
N |
N |
185-187 |
| 280 |
O |
СН3 |
Н |
SCH3 |
СН3 |
O |
N |
N |
188 |
| 281 |
O |
СН3 |
Н |
ОСН3 |
С2Н5 |
O |
N |
N |
177-178 |
| 282 |
O |
СН3 |
Н |
ц-С3Н5 |
ОСН3 |
O |
N |
N |
180-181 |
| 283 |
O |
СН3 |
Н |
СН2SCH3 |
ОСН3 |
O |
N |
N |
108 |
| 284 |
O |
СН3 |
Н |
СН2СН(ОСН3)2 |
ОСН3 |
O |
N |
N |
137-138 |
| 285 |
O |
СН3 |
Н |
 |
ОСН3 |
O |
N |
N |
157-8 |
| 286 |
O |
СН3 |
Н |
изо-С3Н7 |
ОСН3 |
O |
N |
N |
164-165 |
| 287 |
O |
СН3 |
Н |
н-С3Н7 |
ОСН3 |
O |
N |
N |
154-155 |
| 288 |
O |
СН3 |
Н |
СН2Cl |
ОСН3 |
O |
N |
N |
178-179 |
| 289 |
O |
СН3 |
Н |
ОСН3 |
ОСН3 |
O |
N |
N |
150-155 |
| 290 |
O |
СН3 |
Н |
ОСН3 |
СН(ОСН3)2 |
O |
N |
N |
108 |
| 291 |
O |
СН3 |
Н |
ОСН3 |
SCH3 |
O |
N |
N |
153-155 |
| 292 |
O |
C2H5 |
СН3 |
ОСН3 |
ОСН3 |
О |
N |
N |
158-160 |
| 293 |
O |
СН3 |
CH3 |
ОСН3 |
ОСН3 |
О |
N |
N |
Na-соль 230-233 |
| 294 |
O |
СН3 |
СН3 |
ОСН3 |
ОСН3 |
О |
СН |
N |
Na-соль 251-253 |
| 295 |
O |
СН3 |
Н |
СН3 |
СН3 |
О |
СН |
N |
Na-соль 108 |
| 296 |
O |
СН3 |
Н |
ОСН3 |
СН3 |
О |
СН |
N |
Na-соль 135 |
| 297 |
O |
СН3 |
Н |
СН3 |
СН3 |
О |
N |
N |
Na-соль 165 |
| 298 |
O |
СН3 |
Н |
ОСН3 |
СН3 |
О |
N |
N |
Na-соль 155 |
| 299 |
O |
СН3 |
Н |
ОСН3 |
СН3 |
О |
N |
N |
Li-соль 153 |
| 300 |
O |
СН3 |
Н |
ОСН3 |
СН3 |
О |
N |
N |
К-соль 140 |
| 301 |
O |
СН3 |
Н |
ОСН3 |
ОСН3 |
О |
N |
N |
Na-соль 155 |
| 302 |
O |
С2Н5 |
Н |
ОСН3 |
ОСН3 |
О |
СН |
N |
Na-соль 150 |
| 303 |
O |
изо-С3Н7 |
Н |
ОСН3 |
ОСН3 |
О |
СН |
N |
Na-соль 160 |
| 304 |
O |
СН3 |
Н |
ОСН2CF3 |
ОСН3 |
О |
N |
N |
Na-соль 110 |
| 305 |
O |
СН3 |
Н |
ОС2Н5 |
NHCH3 |
О |
N |
N |
Na-соль 115 |
| 306 |
O |
С2Н5 |
СН3 |
ОСН3 |
ОСН3 |
О |
СН |
N |
Na-соль 115 |
| 307 |
O |
С2Н5 |
Н |
ОСН3 |
СН3 |
О |
СН |
N |
Na-соль 145 |
| 308 |
O |
С2Н5 |
Н |
ОСН3 |
Cl |
О |
СН |
N |
Na-соль 150 |
| 309 |
O |
С2Н5 |
СН3 |
ОСН3 |
СН3 |
О |
N |
N |
Na-соль 113 |
| 310 |
O |
С2Н5 |
Н |
ОСН3 |
ОСН3 |
О |
N |
N |
Na-соль 140 |
| 311 |
O |
СН3 |
Н |
ОСН3 |
С2Н5 |
О |
N |
N |
Na-соль 132 |
| 312 |
O |
СН3 |
Н |
СН2СН(ОСН3)2 |
ОСН3 |
О |
N |
N |
Na-соль 155 |
| 313 |
O |
СН3 |
Н |
СН2SCH3 |
ОСН3 |
О |
N |
N |
Na-соль 145 |
| 314 |
O |
СН3 |
Н |
изо-С3Н7 |
ОСН3 |
O |
N |
N |
Na-соль 155 |
| 315 |
O |
СН3 |
Н |
н-С3Н7 |
ОСН3 |
O |
N |
N |
Na-соль 157 |
| 316 |
O |
СН3 |
Н |
СН2Cl |
ОСН3 |
O |
N |
N |
Na-соль 185 |
| 317 |
O |
СН3 |
СН3 |
ОСН3 |
ОСН3 |
O |
N |
N |
Na-соль 227-230 |
| 318 |
O |
СН3 |
Н |
ОСН3 |
СН(ОСН3)2 |
O |
N |
N |
Na-соль 135 |
| 319 |
O |
СН3 |
Н |
SCH3 |
СН3 |
O |
N |
N |
Na-соль |
165 |
| 320 |
O |
С2Н5 |
СН3 |
ОСН3 |
ОСН3 |
O |
N |
N |
Na-соль |
115 |
| Таблица 4 |
 |
| Пример № |
Q |
R |
R1 |
R2 |
R3 |
W |
Y |
Z |
Т.пл. (°С) |
| 1 |
O |
СН3 |
Н |
ОСН3 |
ОСН3 |
О |
СН |
N |
190-192 |
| 2 |
O |
СН3 |
СН3 |
ОСН3 |
ОСН3 |
О |
СН |
N |
|
| 3 |
O |
СН3 |
СН3 |
ОСН3 |
СН3 |
О |
N |
N |
|
| 4 |
O |
СН3 |
Н |
СН3 |
СН3 |
О |
СН |
N |
|
| 5 |
O |
СН3 |
Н |
ОСН3 |
СН3 |
О |
СН |
N |
|
| 6 |
O |
СН3 |
Н |
СН3 |
СН3 |
О |
N |
N |
|
| 7 |
O |
СН3 |
Н |
ОСН3 |
СН3 |
О |
N |
N |
|
| 8 |
O |
СН3 |
Н |
ОСН3 |
ОСН3 |
О |
N |
N |
|
| 9 |
O |
СН3 |
Н |
ОСН3 |
Cl |
О |
СН |
N |
|
| 10 |
O |
СН3 |
Н |
OCF2H |
СН3 |
О |
СН |
N |
|
| 11 |
O |
СН3 |
Н |
OCF2H |
OCF2H |
О |
СН |
N |
|
| 12 |
O |
СН3 |
Н |
ОСН3 |
Br |
О |
СН |
N |
|
| 13 |
O |
СН3 |
Н |
ОСН3 |
OC2H5 |
О |
СН |
N |
|
| 14 |
O |
СН3 |
Н |
ОСН3 |
SCH3 |
O |
CH |
N |
|
| 15 |
O |
СН3 |
Н |
ОСН3 |
ОС2Н5 |
O |
N |
N |
|
| 16 |
O |
СН3 |
Н |
ОСН3 |
ОС3Н7 |
O |
CH |
N |
|
| 17 |
O |
СН3 |
Н |
ОСН3 |
Cl |
O |
N |
N |
|
| 18 |
O |
СН3 |
Н |
Cl |
ОС2Н5 |
O |
СН |
N |
|
| 19 |
O |
СН3 |
Н |
ОС2Н5 |
ОС2Н5 |
O |
СН |
N |
|
| 20 |
O |
СН3 |
Н |
С2Н5 |
ОСН3 |
O |
СН |
N |
|
| 21 |
O |
СН3 |
Н |
CF3 |
ОСН3 |
O |
СН |
N |
|
| 22 |
O |
СН3 |
Н |
ОСН2CF3 |
СН3 |
О |
СН |
N |
|
| 23 |
O |
СН3 |
Н |
ОСН2CF3 |
ОСН3 |
О |
СН |
N |
|
| 24 |
O |
СН3 |
Н |
ОСН2CF3 |
ОСН2CF3 |
О |
СН |
N |
|
| 25 |
O |
СН3 |
Н |
ОСН2CF3 |
ОСН3 |
О |
N |
N |
|
| 26 |
O |
СН3 |
Н |
ОСН3 |
NHCH3 |
О |
N |
N |
|
| 27 |
O |
СН3 |
Н |
ОС2Н5 |
NHCH3 |
О |
N |
N |
|
| 28 |
O |
СН3 |
Н |
С2Н5 |
ОС2Н5 |
О |
N |
N |
|
| 29 |
O |
СН3 |
Н |
ОСН3 |
СН3 |
О |
N |
N |
|
| 30 |
O |
СН3 |
Н |
Cl |
СН3 |
О |
N |
N |
|
| 31 |
O |
СН3 |
Н |
СН3 |
СН3 |
О |
N |
N |
|
| 32 |
O |
СН3 |
Н |
ОСН3 |
ОСН3 |
S |
СН |
N |
|
| 33 |
O |
СН3 |
Н |
ОСН3 |
СН3 |
S |
СН |
N |
|
| 34 |
O |
СН3 |
Н |
СН3 |
СН3 |
S |
СН |
N |
|
| 35 |
O |
СН3 |
Н |
ОСН3 |
ОСН3 |
S |
N |
N |
|
| 36 |
O |
СН3 |
Н |
ОСН3 |
СН3 |
S |
N |
N |
|
| 37 |
O |
СН3 |
Н |
СН3 |
СН3 |
S |
N |
N |
|
| 38 |
O |
С2Н5 |
Н |
ОСН3 |
ОСН3 |
О |
СН |
N |
|
| 39 |
O |
С2Н5 |
СН3 |
ОСН3 |
ОСН3 |
О |
СН |
N |
|
| 40 |
O |
С2Н5 |
СН3 |
ОСН3 |
СН3 |
О |
N |
N |
|
| 41 |
O |
С2Н5 |
Н |
СН3 |
СН3 |
О |
СН |
N |
|
| 42 |
O |
С2Н5 |
Н |
ОСН3 |
СН3 |
O |
сн |
N |
|
| 43 |
O |
С2Н5 |
Н |
СН3 |
СН3 |
O |
N |
N |
|
| 44 |
O |
С2Н5 |
Н |
ОСН3 |
СН3 |
O |
N |
N |
|
| 45 |
O |
C2H5 |
Н |
ОСН3 |
ОСН3 |
O |
N |
N |
|
| 46 |
O |
С2Н5 |
Н |
ОСН3 |
Cl |
O |
СН |
N |
|
| 47 |
O |
С2Н5 |
Н |
OCF2H |
СН3 |
O |
сн |
N |
|
| 48 |
O |
С2Н5 |
Н |
OCF2H |
OCF2H |
O |
сн |
N |
|
| 49 |
O |
С2Н5 |
Н |
ОСН3 |
Br |
O |
сн |
N |
|
| 50 |
O |
С2Н5 |
Н |
ОСН3 |
ОС2Н5 |
O |
сн |
N |
|
| 51 |
O |
С2Н5 |
Н |
ОСН3 |
SCH3 |
O |
сн |
N |
|
| 52 |
O |
С2Н5 |
Н |
ОСН3 |
ОС2Н5 |
O |
N |
N |
|
| 53 |
O |
C2H5 |
Н |
ОСН3 |
ОС3Н7 |
O |
сн |
N |
|
| 54 |
O |
С2Н5 |
Н |
ОСН3 |
Cl |
O |
N |
N |
|
| 55 |
O |
С2Н5 |
Н |
Cl |
ОС2Н5 |
O |
СН |
N |
|
| 56 |
O |
С2Н5 |
Н |
ОС2Н5 |
ОС2Н5 |
O |
СН |
N |
|
| 57 |
O |
С2Н5 |
Н |
С2Н5 |
ОСН3 |
O |
СН |
N |
|
| 58 |
O |
С2Н5 |
Н |
CF3 |
ОСН3 |
O |
СН |
N |
|
| 59 |
O |
С2Н5 |
Н |
ОСН2CF3 |
СН3 |
O |
СН |
N |
|
| 60 |
O |
С2Н5 |
Н |
ОСН2CF3 |
ОСН3 |
O |
СН |
N |
|
| 61 |
O |
С2Н5 |
Н |
ОСН2CF3 |
ОСН2CF3 |
O |
СН |
N |
|
| 62 |
O |
С2Н5 |
Н |
ОСН2CF3 |
ОСН3 |
O |
N |
N |
|
| 63 |
O |
С2Н5 |
Н |
ОСН3 |
NHCH3 |
O |
N |
N |
|
| 64 |
O |
С2Н5 |
Н |
ОС2Н5 |
NHCH3 |
O |
N |
N |
|
| 65 |
O |
С2Н5 |
Н |
С2Н5 |
ОС2Н5 |
O |
N |
N |
|
| 66 |
O |
С2Н5 |
Н |
ОСН3 |
СН3 |
O |
N |
N |
|
| 67 |
O |
С2Н5 |
Н |
Cl |
СН3 |
O |
N |
N |
|
| 68 |
O |
С2Н5 |
Н |
СН3 |
СН3 |
O |
N |
N |
|
| 69 |
O |
С2Н5 |
Н |
ОСН3 |
ОСН3 |
S |
СН |
N |
|
| 70 |
O |
С2Н5 |
Н |
ОСН3 |
СН3 |
S |
СН |
N |
|
| 71 |
O |
С2Н5 |
Н |
СН3 |
СН3 |
S |
СН |
N |
|
| 72 |
O |
C2H5 |
Н |
ОСН3 |
ОСН3 |
S |
N |
N |
|
| 73 |
O |
С2Н5 |
Н |
ОСН3 |
СН3 |
S |
N |
N |
|
| 74 |
O |
С2Н5 |
Н |
СН3 |
СН3 |
S |
N |
N |
|
| 75 |
O |
н-С3Н7 |
Н |
ОСН3 |
ОСН3 |
О |
СН |
N |
|
| 76 |
O |
н-С3Н7 |
СН3 |
ОСН3 |
ОСН3 |
О |
СН |
N |
|
| 77 |
O |
н-С3Н7 |
СН3 |
ОСН3 |
СН3 |
О |
N |
N |
|
| 78 |
O |
н-С3Н7 |
Н |
СН3 |
СН3 |
О |
СН |
N |
|
| 79 |
O |
н-С3Н7 |
Н |
ОСН3 |
СН3 |
О |
СН |
N |
|
| 80 |
O |
н-С3Н7 |
Н |
СН3 |
СН3 |
О |
N |
N |
|
| 81 |
O |
н-С3Н7 |
Н |
ОСН3 |
СН3 |
О |
N |
N |
|
| 82 |
O |
н-С3Н7 |
Н |
ОСН3 |
ОСН3 |
О |
N |
N |
|
| 83 |
O |
н-С3Н7 |
Н |
ОСН3 |
Cl |
О |
СН |
N |
|
| 84 |
O |
н-С3Н7 |
Н |
OCF2H |
СН3 |
О |
СН |
N |
|
| 85 |
O |
н-С3Н7 |
Н |
OCF2H |
OCF2H |
О |
СН |
N |
|
| 86 |
O |
н-С3Н7 |
Н |
ОСН3 |
Br |
О |
СН |
N |
|
| 87 |
O |
н-С3Н7 |
Н |
ОСН3 |
ОС2Н5 |
О |
СН |
N |
|
| 88 |
O |
н-С3Н7 |
Н |
ОСН3 |
SCH3 |
О |
СН |
N |
|
| 89 |
O |
н-С3Н7 |
Н |
ОСН3 |
ОС2Н5 |
О |
N |
N |
|
| 90 |
O |
н-С3Н7 |
Н |
ОСН3 |
ОС3Н7 |
О |
СН |
N |
|
| 91 |
O |
н-С3Н7 |
Н |
ОСН3 |
Cl |
О |
N |
N |
|
| 92 |
O |
н-С3Н7 |
Н |
Cl |
ОС2Н5 |
О |
СН |
N |
|
| 93 |
O |
н-С3Н7 |
Н |
OC2H5 |
ОС2Н5 |
О |
СН |
N |
|
| 94 |
O |
н-С3Н7 |
Н |
С2Н5 |
ОСН3 |
О |
СН |
N |
|
| 95 |
O |
н-С3Н7 |
Н |
CF3 |
ОСН3 |
О |
СН |
N |
|
| 96 |
O |
н-С3Н7 |
Н |
ОСН2CF3 |
СН3 |
О |
СН |
N |
|
| 97 |
O |
н-С3Н7 |
Н |
ОСН2CF3 |
ОСН3 |
О |
СН |
N |
|
| 98 |
O |
н-С3Н7 |
Н |
ОСН2CF3 |
ОСН2CF3 |
O |
CH |
N |
|
| 99 |
O |
н-С3Н7 |
Н |
ОСН2CF3 |
ОСН3 |
O |
N |
N |
|
| 100 |
O |
н-С3Н7 |
Н |
ОСН3 |
NHCH3 |
O |
N |
N |
|
| 101 |
O |
н-С3Н7 |
Н |
ОС2Н5 |
NHCH3 |
O |
N |
N |
|
| 102 |
O |
н-С3Н7 |
Н |
С2Н5 |
ОС2Н5 |
O |
N |
N |
|
| 103 |
O |
н-С3Н7 |
Н |
ОСН3 |
СН3 |
O |
N |
N |
|
| 104 |
O |
н-С3Н7 |
Н |
Cl |
СН3 |
O |
N |
N |
|
| 105 |
O |
н-С3Н7 |
Н |
СН3 |
СН3 |
O |
N |
N |
|
| 106 |
O |
н-С3Н7 |
Н |
ОСН3 |
ОСН3 |
S |
СН |
N |
|
| 107 |
O |
н-С3Н7 |
Н |
ОСН3 |
СН3 |
S |
СН |
N |
|
| 108 |
O |
н-С3Н7 |
Н |
СН3 |
СН3 |
S |
СН |
N |
|
| 109 |
O |
н-С3Н7 |
Н |
ОСН3 |
ОСН3 |
S |
N |
N |
|
| 110 |
O |
н-С3Н7 |
Н |
ОСН3 |
СН3 |
S |
N |
N |
|
| 111 |
O |
н-С3Н7 |
Н |
СН3 |
СН3 |
S |
N |
N |
|
| 112 |
O |
изо-С3Н7 |
Н |
ОСН3 |
ОСН3 |
О |
СН |
N |
|
| 113 |
O |
изо-С3Н7 |
СНз |
ОСН3 |
ОСН3 |
О |
СН |
N |
|
| 114 |
O |
изо-С3Н7 |
СНз |
ОСН3 |
СН3 |
О |
N |
N |
|
| 115 |
O |
изо-С3Н7 |
Н |
СН3 |
СН3 |
О |
СН |
N |
|
| 116 |
O |
изо-С3Н7 |
Н |
ОСН3 |
СН3 |
О |
СН |
N |
|
| 117 |
O |
изо-С3Н7 |
Н |
СН3 |
СН3 |
О |
N |
N |
|
| 118 |
O |
изо-С3Н7 |
Н |
ОСН3 |
СН3 |
О |
N |
N |
|
| 119 |
O |
изо-С3Н7 |
Н |
ОСН3 |
ОСН3 |
О |
N |
N |
|
| 120 |
O |
изо-С3Н7 |
Н |
ОСН3 |
Cl |
О |
СН |
N |
|
| 121 |
O |
изо-С3Н7 |
Н |
OCF2H |
СН3 |
О |
СН |
N |
|
| 122 |
O |
изо-С3Н7 |
Н |
OCF2H |
OCF2H |
О |
СН |
N |
|
| 123 |
O |
изо-С3Н7 |
Н |
ОСН3 |
Br |
О |
СН |
N |
|
| 124 |
O |
изо-С3Н7 |
Н |
ОСН3 |
ОС2Н5 |
О |
СН |
N |
|
| 125 |
O |
изо-С3Н7 |
Н |
ОСН3 |
SCH3 |
О |
СН |
N |
|
| 127 |
O |
изо-С3Н7 |
Н |
ОСН3 |
ОС3Н7 |
O |
CH |
N |
|
| 128 |
O |
изо-С3Н7 |
Н |
ОСН3 |
Cl |
O |
N |
N |
|
| 129 |
O |
изо-С3Н7 |
Н |
Cl |
ОС2Н5 |
O |
CH |
N |
|
| 130 |
O |
изо-СзН7 |
Н |
ОС2Н5 |
ОС2Н5 |
O |
CH |
N |
|
| 131 |
O |
изо-С3Н7 |
Н |
С2Н5 |
ОСН3 |
O |
CH |
N |
|
| 132 |
O |
изо-С3Н7 |
Н |
CF3 |
ОСН3 |
O |
CH |
N |
|
| 133 |
O |
изо-С3Н7 |
Н |
ОСН2CF3 |
СН3 |
O |
CH |
N |
|
| 134 |
O |
изо-С3Н7 |
Н |
ОСН2CF3 |
ОСН3 |
O |
CH |
N |
|
| 135 |
O |
изо-С3Н7 |
Н |
ОСН2CF3 |
ОСН2CF3 |
O |
CH |
N |
|
| 136 |
O |
изо-С3Н7 |
Н |
ОСН2CF3 |
ОСН3 |
O |
N |
N |
|
| 137 |
O |
изо-С3Н7 |
Н |
ОСН3 |
NHCH3 |
O |
N |
N |
|
| 138 |
O |
изо-С3Н7 |
Н |
ОС2Н5 |
NHCH3 |
О |
N |
N |
|
| 139 |
O |
изо-С3Н7 |
Н |
С2Н5 |
ОС2Н5 |
О |
N |
N |
|
| 140 |
O |
изо-С3Н7 |
Н |
ОСН3 |
СН3 |
О |
N |
N |
|
| 141 |
O |
изо-С3Н7 |
Н |
Cl |
СН3 |
О |
N |
N |
|
| 142 |
O |
изо-С3Н7 |
Н |
СН3 |
СН3 |
О |
N |
N |
|
| 143 |
O |
изо-С3Н7 |
Н |
ОСН3 |
ОСН3 |
S |
СН |
N |
|
| 144 |
O |
изо-С3Н7 |
Н |
ОСН3 |
СН3 |
S |
СН |
N |
|
| 145 |
O |
изо-С3Н7 |
Н |
СН3 |
СН3 |
S |
СН |
N |
|
| 146 |
O |
изо-С3Н7 |
Н |
ОСН3 |
ОСН3 |
S |
N |
N |
|
| 147 |
O |
изо-С3Н7 |
Н |
ОСН3 |
СН3 |
S |
N |
N |
|
| 148 |
O |
изо-С3Н7 |
Н |
СН3 |
СН3 |
S |
N |
N |
|
| 149 |
O |
СН2СН=СН2 |
Н |
ОСН3 |
ОСН3 |
О |
СН |
N |
|
| 150 |
O |
СН2СН=СН2 |
СН3 |
ОСН3 |
ОСН3 |
О |
СН |
N |
|
| 151 |
O |
СН2СН=СН2 |
СН3 |
ОСН3 |
СН3 |
О |
N |
N |
|
| 152 |
O |
СН2СН=СН2 |
Н |
СН3 |
СН3 |
О |
СН |
N |
|
| 153 |
O |
СН2СН=СН2 |
Н |
ОСН3 |
СН3 |
О |
СН |
N |
|
| 154 |
O |
СН2СН=СН2 |
Н |
СН3 |
СН3 |
О |
N |
N |
|
| 155 |
O |
СН2СН=СН2 |
Н |
ОСН3 |
СН3 |
О |
N |
N |
|
| 156 |
O |
СН2СН=СН2 |
Н |
ОСН3 |
ОСН3 |
О |
N |
N |
|
| 157 |
O |
СН2СН=СН2 |
Н |
ОСН3 |
Cl |
О |
СН |
N |
|
| 158 |
O |
СН2СН=СН2 |
Н |
OCF2H |
СН3 |
О |
СН |
N |
|
| 159 |
O |
СН2СН=СН2 |
Н |
OCF2H |
OCF2H |
О |
СН |
N |
|
| 160 |
O |
СН2СН=СН2 |
Н |
ОСН3 |
Br |
О |
СН |
N |
|
| 161 |
O |
СН2СН=СН2 |
Н |
ОСН3 |
ОС2Н5 |
О |
СН |
N |
|
| 162 |
O |
СН2СН=СН2 |
Н |
ОСН3 |
SCH3 |
О |
СН |
N |
|
| 163 |
O |
СН2СН=СН2 |
Н |
ОСН3 |
ОС2Н5 |
О |
N |
N |
|
| 164 |
O |
СН2СН=СН2 |
Н |
ОСН3 |
ОС3Н7 |
О |
CH |
N |
|
| 165 |
O |
СН2СН=СН2 |
Н |
ОСН3 |
Cl |
О |
N |
N |
|
| 166 |
O |
СН2СН=СН2 |
Н |
Cl |
ОС2Н5 |
О |
СН |
N |
|
| 167 |
O |
СН2СН=СН2 |
Н |
ОС2Н5 |
ОС2Н5 |
О |
СН |
N |
|
| 168 |
O |
СН2СН=СН2 |
Н |
C2H5 |
ОСН3 |
О |
СН |
N |
|
| 169 |
O |
СН2СН=СН2 |
Н |
CF3 |
ОСН3 |
О |
СН |
N |
|
| 170 |
O |
СН2СН=СН2 |
Н |
ОСН2CF3 |
СН3 |
О |
СН |
N |
|
| 171 |
O |
СН2СН=СН2 |
Н |
ОСН2CF3 |
ОСН3 |
О |
СН |
N |
|
| 172 |
O |
СН2СН=СН2 |
Н |
ОСН2CF3 |
ОСН2CF3 |
О |
СН |
N |
|
| 173 |
O |
СН2СН=СН2 |
Н |
ОСН2CF3 |
ОСН3 |
О |
N |
N |
|
| 174 |
O |
СН2СН=СН2 |
Н |
ОСН3 |
NHCH3 |
О |
N |
N |
|
| 175 |
O |
СН2СН=СН2 |
Н |
ОС2Н5 |
NHCH3 |
О |
N |
N |
|
| 176 |
O |
СН2СН=СН2 |
Н |
С2Н5 |
ОС2Н5 |
О |
N |
N |
|
| 177 |
O |
СН2СН=СН2 |
Н |
ОСН3 |
СН3 |
О |
N |
N |
|
| 178 |
O |
СН2СН=СН2 |
Н |
Cl |
СН3 |
О |
N |
N |
|
| 179 |
O |
СН2СН=СН2 |
Н |
СН3 |
СН3 |
О |
N |
N |
|
| 180 |
O |
СН2СН=СН2 |
Н |
ОСН3 |
ОСН3 |
S |
СН |
N |
|
| 181 |
O |
СН2СН=СН2 |
Н |
ОСН3 |
СН3 |
S |
СН |
N |
|
| 182 |
O |
CH2CH=CH2 |
Н |
СН3 |
СН3 |
S |
CH |
N |
|
| 183 |
O |
CH2CH=CH2 |
Н |
ОСН3 |
ОСН3 |
S |
N |
N |
|
| 184 |
O |
СН2СН=СН2 |
Н |
ОСН3 |
СН3 |
S |
N |
N |
|
| 185 |
O |
СН2СН=СН2 |
Н |
СН3 |
СН3 |
S |
N |
N |
|
| 186 |
O |
СН2С СН |
Н |
ОСН3 |
ОСН3 |
О |
СН |
N |
|
| 187 |
O |
СН2С СН |
СН3 |
ОСН3 |
ОСН3 |
О |
CH |
N |
|
| 188 |
O |
СН2С СН |
СН3 |
ОСН3 |
СН3 |
О |
N |
N |
|
| 189 |
O |
СН2С СН |
Н |
СН3 |
СН3 |
О |
СН |
N |
|
| 190 |
O |
СН2С СН |
Н |
ОСН3 |
СН3 |
О |
СН |
N |
|
| 191 |
O |
СН2С СН |
Н |
СН3 |
СН3 |
О |
N |
N |
|
| 192 |
O |
СН2С СН |
Н |
ОСН3 |
СН3 |
О |
N |
N |
|
| 193 |
O |
СН2С СН |
Н |
ОСН3 |
ОСН3 |
О |
N |
N |
|
| 194 |
O |
СН2С СН |
Н |
ОСН3 |
Cl |
О |
СН |
N |
|
| 195 |
O |
СН2С СН |
Н |
OCF2H |
СН3 |
О |
СН |
N |
|
| 196 |
O |
СН2С СН |
Н |
OCF2H |
OCF2H |
О |
СН |
N |
|
| 197 |
O |
СН2С СН |
Н |
ОСН3 |
Br |
О |
СН |
N |
|
| 198 |
O |
СН2С СН |
Н |
ОСН3 |
ОС2Н5 |
О |
СН |
N |
|
| 199 |
O |
СН2С СН |
Н |
ОСН3 |
SCH3 |
О |
СН |
N |
|
| 200 |
O |
СН2С СН |
Н |
ОСН3 |
ОС2Н5 |
О |
N |
N |
|
| 201 |
O |
CH2C CH |
Н |
ОСН3 |
ОС3Н7 |
О |
СН |
N |
|
| 202 |
O |
СН2С СН |
Н |
ОСН3 |
Cl |
О |
N |
N |
|
| 203 |
O |
СН2С СН |
Н |
Cl |
ОС2Н5 |
О |
СН |
N |
|
| 204 |
O |
СН2С СН |
Н |
ОС2Н5 |
ОС2Н5 |
О |
СН |
N |
|
| 205 |
O |
СН2С СН |
Н |
С2Н5 |
ОСН3 |
О |
СН |
N |
|
| 206 |
O |
СН2С СН |
Н |
CF3 |
ОСН3 |
О |
СН |
N |
|
| 207 |
O |
СН2С СН |
Н |
ОСН2CF3 |
СН3 |
О |
CH |
N |
|
| 208 |
O |
СН2С СН |
Н |
ОСН2CF3 |
ОСН3 |
О |
CH |
N |
|
| 209 |
O |
СН2С СН |
Н |
ОСН2CF3 |
ОСН2CF3 |
О |
CH |
N |
|
| 210 |
O |
СН2С СН |
Н |
ОСН2CF3 |
ОСН3 |
O |
N |
N |
|
| 211 |
O |
CH2C CH |
Н |
ОСН3 |
NHCH3 |
O |
N |
N |
|
| 212 |
O |
СН2С СН |
Н |
ОС2Н5 |
NHCH3 |
O |
N |
N |
|
| 213 |
O |
CH2C CH |
Н |
С2Н5 |
ОС2Н5 |
O |
N |
N |
|
| 214 |
O |
CH2C CH |
Н |
ОСН3 |
СН3 |
O |
N |
N |
|
| 215 |
O |
СН2С СН |
Н |
Cl |
СН3 |
O |
N |
N |
|
| 216 |
O |
СН2С=СН |
Н |
СН3 |
СН3 |
O |
N |
N |
|
| 217 |
O |
СН2С СН |
Н |
ОСН3 |
ОСН3 |
S |
СН |
N |
|
| 218 |
O |
СН2С СН |
Н |
ОСН3 |
СН3 |
S |
СН |
N |
|
| 219 |
O |
СН2С СН |
Н |
СН3 |
СН3 |
S |
СН |
N |
|
| 220 |
O |
СН2С СН |
Н |
ОСН3 |
ОСН3 |
S |
N |
N |
|
| 221 |
O |
СН2С СН |
Н |
ОСН3 |
СН3 |
S |
N |
N |
|
| 222 |
O |
СН2С СН |
Н |
СН3 |
СН3 |
S |
N |
N |
|
| 223 |
O |
н-С4Н9 |
Н |
ОСН3 |
ОСН3 |
O |
СН |
N |
|
| 224 |
O |
н-С4Н9 |
СН3 |
ОСН3 |
ОСН3 |
O |
СН |
N |
|
| 225 |
O |
н-С4Н9 |
СН3 |
ОСН3 |
СН3 |
O |
N |
N |
|
| 226 |
O |
н-С4Н9 |
Н |
СН3 |
СН3 |
O |
СН |
N |
|
| 227 |
O |
н-С4Н9 |
Н |
ОСН3 |
СН3 |
O |
СН |
N |
|
| 228 |
O |
н-С4Н9 |
Н |
СН3 |
СН3 |
O |
N |
N |
|
| 229 |
O |
н-С4Н9 |
Н |
ОСН3 |
СН3 |
O |
N |
N |
|
| 230 |
O |
н-С4Н9 |
Н |
ОСН3 |
ОСН3 |
O |
N |
N |
|
| 231 |
O |
изо-С4Н9 |
Н |
ОСН3 |
ОСН3 |
O |
СН |
N |
|
| 232 |
O |
изо-С4Н9 |
СН3 |
ОСН3 |
ОСН3 |
O |
СН |
N |
|
| 233 |
O |
изо-С4Н9 |
СН3 |
ОСН3 |
СН3 |
O |
N |
N |
|
| 234 |
O |
изо-С4Н9 |
Н |
СН3 |
СН3 |
O |
СН |
N |
|
| 235 |
O |
изо-С4Н9 |
Н |
ОСН3 |
СН3 |
O |
СН |
N |
|
| 236 |
O |
изо-С4Н9 |
Н |
СН3 |
СН3 |
O |
N |
N |
|
| 237 |
O |
изо-С4Н9 |
Н |
ОСН3 |
СН3 |
O |
N |
N |
|
| 238 |
O |
изо-С4Н9 |
Н |
ОСН3 |
ОСН3 |
O |
N |
N |
|
| 239 |
O |
втор-С4Н9 |
Н |
ОСН3 |
ОСН3 |
O |
СН |
N |
|
| 240 |
O |
втор-С4Н9 |
СН3 |
ОСН3 |
ОСН3 |
O |
СН |
N |
|
| 241 |
O |
втор-С4Н9 |
СН3 |
ОСН3 |
СН3 |
O |
N |
N |
|
| 242 |
O |
втор-С4Н9 |
Н |
СН3 |
СН3 |
O |
СН |
N |
|
| 243 |
O |
втор-С4Н9 |
Н |
ОСН3 |
СН3 |
O |
СН |
N |
|
| 244 |
O |
втор-С4Н9 |
Н |
СН3 |
СН3 |
O |
N |
N |
|
| 245 |
O |
втор-С4Н9 |
Н |
ОСН3 |
СН3 |
O |
N |
N |
|
| 246 |
O |
втор-С4Н9 |
Н |
ОСН3 |
ОСН3 |
О |
N |
N |
|
| 247 |
O |
трет-С4Н9 |
Н |
ОСН3 |
ОСН3 |
О |
СН |
N |
|
| 248 |
O |
трет-С4Н9 |
СН3 |
ОСН3 |
ОСН3 |
О |
СН |
N |
|
| 249 |
O |
трет-С4Н9 |
СН3 |
ОСН3 |
СН3 |
О |
N |
N |
|
| 250 |
O |
трет-С4Н9 |
Н |
СН3 |
СН3 |
О |
СН |
N |
|
| 251 |
O |
трет-С4Н9 |
Н |
ОСН3 |
СН3 |
О |
СН |
N |
|
| 252 |
O |
трет-С4Н9 |
Н |
СН3 |
СН3 |
О |
N |
N |
|
| 253 |
O |
трет-С4Н9 |
Н |
ОСН3 |
СН3 |
О |
N |
N |
|
| 254 |
O |
трет-С4Н9 |
Н |
ОСН3 |
ОСН3 |
О |
N |
N |
|
| 255 |
O |
СН2СН2Cl |
Н |
ОСН3 |
ОСН3 |
О |
СН |
N |
|
| 256 |
O |
СН2СН2Cl |
СН3 |
ОСН3 |
ОСН3 |
О |
СН |
N |
|
| 257 |
O |
CH2CH2Cl |
СН3 |
ОСН3 |
СН3 |
О |
N |
N |
|
| 258 |
O |
СН2СН2Cl |
Н |
СН3 |
СН3 |
О |
СН |
N |
|
| 259 |
O |
СН2СН2Cl |
Н |
ОСН3 |
СН3 |
О |
СН |
N |
|
| 260 |
O |
СН2СН2Cl |
Н |
СН3 |
СН3 |
О |
N |
N |
|
| 261 |
O |
СН2СН2Cl |
Н |
ОСН3 |
СН3 |
О |
N |
N |
|
| 262 |
O |
СН2СН2Cl |
Н |
ОСН3 |
ОСН3 |
О |
N |
N |
|
| 263 |
O |
СН2СН2OCH3 |
Н |
ОСН3 |
ОСН3 |
О |
СН |
N |
|
| 264 |
O |
СН2СН2OCH3 |
СН3 |
ОСН3 |
ОСН3 |
О |
СН |
N |
|
| 265 |
O |
СН2СН2OCH3 |
СН3 |
ОСН3 |
СН3 |
О |
N |
N |
|
| 266 |
O |
СН2СН2ОСН3 |
Н |
СН3 |
СН3 |
O |
СН |
N |
|
| 267 |
O |
СН2СН2OCH3 |
Н |
ОСН3 |
СН3 |
O |
СН |
N |
|
| 268 |
O |
СН2СН2OCH3 |
Н |
СН3 |
СН3 |
O |
N |
N |
|
| 269 |
O |
СН2СН2OCH3 |
Н |
ОСН3 |
СН3 |
O |
N |
N |
|
| 270 |
O |
СН2СН2OCH3 |
Н |
ОСН3 |
ОСН3 |
O |
N |
N |
|
| 271 |
O |
ц-С6Н11 |
Н |
ОСН3 |
ОСН3 |
O |
СН |
N |
|
| 272 |
O |
ц-С6Н11 |
СН3 |
ОСН3 |
ОСН3 |
O |
СН |
N |
|
| 273 |
O |
ц-С6Н11 |
СН3 |
ОСН3 |
СН3 |
O |
N |
N |
|
| 274 |
O |
ц-С6Н11 |
Н |
СН3 |
СН3 |
O |
СН |
N |
|
| 275 |
O |
ц-С6Н11 |
Н |
ОСН3 |
СН3 |
O |
СН |
N |
|
| 276 |
O |
ц-С6Н11 |
Н |
СН3 |
СН3 |
O |
N |
N |
|
| 277 |
O |
ц-С6Н11 |
Н |
ОСН3 |
СН3 |
O |
N |
N |
|
| 278 |
O |
ц-С6Н11 |
Н |
ОСНз |
ОСН3 |
O |
N |
N |
|
| Таблица 5 |
 |
| Пример № |
Q |
R |
R1 |
R2 |
R3 |
W |
Y |
Z |
Т.пл. (°С) |
| 1 |
O |
СН3 |
Н |
ОСН3 |
ОСН3 |
O |
СН |
N |
199-202 |
| 2 |
O |
СН3 |
СН3 |
ОСН3 |
ОСН3 |
O |
СН |
N |
|
| 3 |
O |
СН3 |
СН3 |
ОСН3 |
СН3 |
O |
N |
N |
|
| 4 |
O |
СН3 |
Н |
СН3 |
СН3 |
O |
СН |
N |
212-215 |
| 5 |
O |
СН3 |
Н |
ОСН3 |
СН3 |
O |
СН |
N |
193-194 |
| 6 |
O |
СН3 |
Н |
СН3 |
СН3 |
O |
N |
N |
196-197 |
| 7 |
O |
СН3 |
Н |
ОСН3 |
СН3 |
O |
N |
N |
192 |
| 8 |
O |
СН3 |
Н |
ОСН3 |
ОСН3 |
O |
N |
N |
|
| 9 |
O |
СН3 |
Н |
ОСН3 |
Cl |
O |
СН |
N |
|
| 10 |
O |
СН3 |
Н |
OCF2H |
СН3 |
O |
СН |
N |
|
| 11 |
O |
СН3 |
Н |
OCF2H |
OCF2H |
O |
СН |
N |
|
| 12 |
O |
СН3 |
Н |
ОСН3 |
Br |
O |
СН |
N |
|
| 13 |
O |
СН3 |
Н |
ОСН3 |
ОС2Н5 |
O |
СН |
N |
|
| 14 |
O |
СН3 |
Н |
ОСН3 |
SCH3 |
O |
СН |
N |
|
| 15 |
O |
СН3 |
Н |
ОСН3 |
ОС2Н5 |
O |
N |
N |
|
| 16 |
O |
СН3 |
Н |
ОСН3 |
ОС3Н7 |
О |
CH |
N |
|
| 17 |
O |
СН3 |
Н |
ОСН3 |
Cl |
О |
N |
N |
|
| 18 |
O |
СН3 |
Н |
Cl |
ОС2Н5 |
О |
СН |
N |
|
| 19 |
O |
СН3 |
Н |
ОС2Н5 |
ОС2Н5 |
О |
СН |
N |
|
| 20 |
O |
СН3 |
Н |
С2Н5 |
ОСН3 |
О |
СН |
N |
|
| 21 |
O |
СН3 |
Н |
CF3 |
ОСН3 |
О |
СН |
N |
|
| 22 |
O |
СН3 |
Н |
ОСН2CF3 |
СН3 |
О |
СН |
N |
|
| 23 |
O |
СН3 |
Н |
ОСН2CF3 |
ОСН3 |
О |
СН |
N |
|
| 24 |
O |
СН3 |
Н |
ОСН2CF3 |
ОСН2CF3 |
О |
СН |
N |
|
| 25 |
O |
СН3 |
Н |
ОСН2CF3 |
ОСН3 |
О |
N |
N |
|
| 26 |
O |
СН3 |
Н |
ОСН3 |
NHCH3 |
О |
N |
N |
|
| 27 |
O |
СН3 |
Н |
ОС2Н5 |
NHCH3 |
О |
N |
N |
|
| 28 |
O |
СН3 |
Н |
С2Н5 |
ОС2Н5 |
О |
N |
N |
|
| 29 |
O |
СН3 |
Н |
ОСН3 |
СН3 |
О |
N |
N |
|
| 30 |
O |
СН3 |
Н |
Cl |
СН3 |
О |
N |
N |
|
| 31 |
O |
СН3 |
Н |
СН3 |
СН3 |
О |
N |
N |
|
| 32 |
O |
СН3 |
Н |
ОСН3 |
ОСН3 |
S |
СН |
N |
|
| 33 |
O |
СН3 |
Н |
ОСН3 |
СН3 |
S |
СН |
N |
|
| 34 |
O |
СН3 |
Н |
СН3 |
СН3 |
S |
СН |
N |
|
| 35 |
O |
СН3 |
Н |
ОСН3 |
ОСН3 |
S |
N |
N |
|
| 36 |
O |
СН3 |
Н |
ОСН3 |
СН3 |
S |
N |
N |
|
| 37 |
O |
СН3 |
Н |
СН3 |
СН3 |
S |
N |
N |
|
| 38 |
O |
С2Н5 |
Н |
ОСН3 |
ОСН3 |
O |
СН |
N |
182 |
| 39 |
O |
C2H5 |
СН3 |
ОСН3 |
ОСН3 |
O |
СН |
N |
|
| 40 |
O |
С2Н5 |
СН3 |
ОСН3 |
СН3 |
O |
N |
N |
|
| 41 |
O |
C2H5 |
Н |
СН3 |
СН3 |
O |
СН |
N |
|
| 42 |
O |
С2Н5 |
Н |
ОСН3 |
СН3 |
O |
СН |
N |
|
| 43 |
O |
С2Н5 |
Н |
СН3 |
СН3 |
O |
N |
N |
|
| 44 |
O |
С2Н5 |
Н |
ОСН3 |
СН3 |
O |
N |
N |
177-179 |
| 45 |
O |
С2Н5 |
Н |
ОСН3 |
ОСН3 |
О |
N |
N |
|
| 46 |
O |
C2H5 |
Н |
ОСН3 |
Cl |
О |
СН |
N |
|
| 47 |
O |
С2Н5 |
Н |
OCF2H |
СН3 |
О |
СН |
N |
|
| 48 |
O |
C2H5 |
Н |
OCF2H |
OCF2H |
О |
СН |
N |
|
| 49 |
O |
С2Н5 |
Н |
ОСН3 |
Br |
О |
СН |
N |
|
| 50 |
O |
C2H5 |
Н |
ОСН3 |
ОС2Н5 |
О |
СН |
N |
|
| 51 |
O |
С2Н5 |
Н |
ОСН3 |
SCH3 |
О |
СН |
N |
|
| 52 |
O |
C2H5 |
Н |
ОСН3 |
ОС2Н5 |
О |
N |
N |
|
| 53 |
O |
С2Н5 |
Н |
ОСН3 |
ОС3Н7 |
О |
СН |
N |
|
| 54 |
O |
C2H5 |
Н |
ОСН3 |
Cl |
О |
N |
N |
|
| 55 |
O |
С2Н5 |
Н |
Cl |
ОС2Н5 |
О |
СН |
N |
|
| 56 |
O |
C2H5 |
Н |
ОС2Н5 |
ОС2Н5 |
О |
СН |
N |
|
| 57 |
O |
С2Н5 |
Н |
С2Н5 |
ОСН3 |
О |
СН |
N |
|
| 58 |
O |
C2H5 |
Н |
CF3 |
ОСН3 |
О |
СН |
N |
|
| 59 |
O |
С2Н5 |
Н |
ОСН2CF3 |
СН3 |
О |
СН |
N |
|
| 60 |
O |
C2H5 |
Н |
ОСН2CF3 |
ОСН3 |
О |
СН |
N |
|
| 61 |
O |
С2Н5 |
Н |
ОСН2CF3 |
ОСН2CF3 |
О |
СН |
N |
|
| 62 |
O |
C2H5 |
Н |
ОСН2CF3 |
ОСН3 |
О |
N |
N |
|
| 63 |
O |
С2Н5 |
Н |
ОСН3 |
NHCH3 |
О |
N |
N |
|
| 64 |
O |
C2H5 |
Н |
OC2H5 |
NHCH3 |
О |
N |
N |
|
| 65 |
O |
С2Н5 |
Н |
С2Н5 |
ОС2Н5 |
O |
N |
N |
|
| 66 |
O |
C2H5 |
Н |
ОСН3 |
СН3 |
O |
N |
N |
|
| 67 |
O |
С2Н5 |
Н |
Cl |
СН3 |
O |
N |
N |
|
| 68 |
O |
C2H5 |
Н |
СН3 |
СН3 |
O |
N |
N |
|
| 69 |
O |
С2Н5 |
Н |
ОСН3 |
ОСН3 |
S |
СН |
N |
|
| 70 |
O |
C2H5 |
Н |
ОСН3 |
СН3 |
S |
СН |
N |
|
| 71 |
O |
С2Н5 |
Н |
СН3 |
СН3 |
S |
СН |
N |
|
| 72 |
O |
C2H5 |
Н |
ОСН3 |
ОСН3 |
S |
N |
N |
|
| 73 |
O |
С2Н5 |
Н |
ОСН3 |
СН3 |
S |
N |
N |
|
| 74 |
O |
C2H5 |
Н |
СН3 |
СН3 |
S |
N |
N |
|
| 75 |
O |
н-С3Н7 |
Н |
ОСН3 |
ОСН3 |
О |
СН |
N |
186-188 |
| 76 |
O |
н-С3Н7 |
СН3 |
ОСН3 |
ОСН3 |
О |
СН |
N |
|
| 77 |
O |
н-С3Н7 |
СН3 |
ОСН3 |
СН3 |
О |
N |
N |
|
| 78 |
O |
н-С3Н7 |
Н |
СН3 |
СН3 |
О |
СН |
N |
|
| 79 |
O |
н-С3Н7 |
Н |
ОСН3 |
СН3 |
О |
СН |
N |
|
| 80 |
O |
н-С3Н7 |
Н |
СН3 |
СН3 |
О |
N |
N |
|
| 81 |
O |
н-С3Н7 |
Н |
ОСН3 |
СН3 |
О |
N |
N |
107-108 |
| 82 |
O |
н-С3Н7 |
Н |
ОСН3 |
ОСН3 |
О |
N |
N |
|
| 83 |
O |
н-С3Н7 |
Н |
ОСН3 |
Cl |
О |
СН |
N |
|
| 84 |
O |
н-С3Н7 |
Н |
OCF2H |
СН3 |
О |
СН |
N |
|
| 85 |
O |
н-С3Н7 |
Н |
OCF2H |
OCF2H |
О |
СН |
N |
|
| 86 |
O |
н-С3Н7 |
Н |
ОСН3 |
Br |
О |
СН |
N |
|
| 87 |
O |
н-С3Н7 |
Н |
ОСН3 |
ОС2Н5 |
О |
СН |
N |
|
| 88 |
O |
н-С3Н7 |
Н |
ОСН3 |
SCH3 |
О |
СН |
N |
|
| 89 |
O |
н-С3Н7 |
Н |
ОСН3 |
ОС2Н5 |
О |
N |
N |
|
| 90 |
O |
н-С3Н7 |
Н |
ОСН3 |
ОС3Н7 |
О |
СН |
N |
|
| 91 |
O |
н-С3Н7 |
Н |
ОСН3 |
Cl |
О |
N |
N |
|
| 92 |
O |
н-С3Н7 |
Н |
Cl |
ОС2Н5 |
О |
СН |
N |
|
| 93 |
O |
н-С3Н7 |
Н |
OC2H5 |
ОС2Н5 |
O |
СН |
N |
|
| 94 |
O |
н-С3Н7 |
Н |
С2Н5 |
ОСН3 |
O |
СН |
N |
|
| 95 |
O |
н-С3Н7 |
Н |
CF3 |
ОСН3 |
O |
СН |
N |
|
| 96 |
O |
н-С3Н7 |
Н |
ОСН2CF3 |
СН3 |
O |
СН |
N |
|
| 97 |
O |
н-С3Н7 |
Н |
ОСН2CF3 |
ОСН3 |
O |
СН |
N |
|
| 98 |
O |
н-С3Н7 |
Н |
ОСН2CF3 |
ОСН2CF3 |
O |
СН |
N |
|
| 99 |
O |
н-С3Н7 |
Н |
ОСН2CF3 |
ОСН3 |
O |
N |
N |
|
| 100 |
O |
н-С3Н7 |
Н |
ОСН3 |
NHCH3 |
O |
N |
N |
|
| 101 |
O |
н-С3Н7 |
Н |
ОС2Н5 |
NHCH3 |
О |
N |
N |
|
| 102 |
O |
н-С3Н7 |
Н |
С2Н5 |
ОС2Н5 |
О |
N |
N |
|
| 103 |
O |
н-С3Н7 |
Н |
ОСН3 |
СН3 |
О |
N |
N |
|
| 104 |
O |
н-С3Н7 |
Н |
Cl |
СН3 |
О |
N |
N |
|
| 105 |
O |
н-С3Н7 |
Н |
СН3 |
СН3 |
О |
N |
N |
|
| 106 |
O |
н-С3Н7 |
Н |
ОСН3 |
ОСН3 |
S |
СН |
N |
|
| 107 |
O |
н-С3Н7 |
Н |
ОСН3 |
СН3 |
S |
СН |
N |
|
| 108 |
O |
н-С3Н7 |
Н |
СН3 |
СН3 |
S |
СН |
N |
|
| 109 |
O |
н-С3Н7 |
Н |
ОСН3 |
ОСН3 |
S |
N |
N |
|
| 110 |
O |
н-С3Н7 |
Н |
ОСН3 |
СН3 |
S |
N |
N |
|
| 111 |
O |
н-С3Н7 |
Н |
СН3 |
СН3 |
S |
N |
N |
|
| 112 |
O |
изо-С3Н7 |
Н |
ОСН3 |
ОСН3 |
О |
СН |
N |
185 |
| 113 |
O |
изо-С3Н7 |
СН3 |
ОСН3 |
ОСН3 |
О |
СН |
N |
|
| 114 |
O |
изо-С3Н7 |
СН3 |
ОСН3 |
СН3 |
О |
N |
N |
|
| 115 |
O |
изо-С3Н7 |
Н |
СН3 |
СН3 |
О |
СН |
N |
|
| 116 |
O |
изо-С3Н7 |
Н |
ОСН3 |
СН3 |
О |
СН |
N |
|
| 117 |
O |
изо-С3Н7 |
Н |
СН3 |
СН3 |
О |
N |
N |
|
| 118 |
O |
изо-С3Н7 |
Н |
ОСН3 |
СН3 |
О |
N |
N |
150 |
| 119 |
O |
изо-С3Н7 |
Н |
ОСН3 |
ОСН3 |
О |
N |
N |
|
| 120 |
O |
изо-С3Н7 |
Н |
ОСН3 |
Cl |
О |
СН |
N |
|
| 121 |
O |
изо-С3Н7 |
Н |
OCF2H |
СН3 |
O |
СН |
N |
|
| 122 |
O |
изо-С3Н7 |
Н |
OCF2H |
OCF2H |
O |
СН |
N |
|
| 123 |
O |
изо-С3Н7 |
Н |
ОСН3 |
Br |
O |
СН |
N |
|
| 124 |
O |
изо-С3Н7 |
Н |
ОСН3 |
ОС2Н5 |
O |
СН |
N |
|
| 125 |
O |
изо-С3Н7 |
Н |
ОСН3 |
SCH3 |
O |
СН |
N |
|
| 126 |
O |
изо-С3Н7 |
Н |
ОСН3 |
OC2H5 |
O |
N |
N |
|
| 127 |
O |
изо-С3Н7 |
Н |
ОСН3 |
ОС3Н7 |
O |
CH |
N |
|
| 128 |
O |
изо-С3Н7 |
Н |
ОСН3 |
Cl |
O |
N |
N |
|
| 129 |
O |
изо-С3Н7 |
Н |
Cl |
ОС2Н5 |
O |
СН |
N |
|
| 130 |
O |
изо-С3Н7 |
Н |
ОС2Н5 |
OC2H5 |
О |
СН |
N |
|
| 131 |
O |
изо-С3Н7 |
Н |
С2Н5 |
ОСН3 |
О |
СН |
N |
|
| 132 |
O |
изо-С3Н7 |
Н |
CF3 |
ОСН3 |
О |
СН |
N |
|
| 133 |
O |
изо-С3Н7 |
Н |
ОСН2CF3 |
СН3 |
О |
СН |
N |
|
| 134 |
O |
изо-С3Н7 |
Н |
ОСН2CF3 |
ОСН3 |
О |
СН |
N |
|
| 135 |
O |
изо-С3Н7 |
Н |
ОСН2CF3 |
ОСН2CF3 |
О |
СН |
N |
|
| 136 |
O |
изо-С3Н7 |
Н |
ОСН2CF3 |
ОСН3 |
О |
N |
N |
|
| 137 |
O |
изо-С3Н7 |
Н |
ОСН3 |
NHCH3 |
О |
N |
N |
|
| 138 |
O |
изо-С3Н7 |
Н |
OC2H5 |
NHCH3 |
О |
N |
N |
|
| 139 |
O |
изо-С3Н7 |
Н |
С2Н5 |
OC2H5 |
О |
N |
N |
|
| 140 |
O |
изо-С3Н7 |
Н |
ОСН3 |
СН3 |
О |
N |
N |
|
| 141 |
O |
изо-С3Н7 |
Н |
Cl |
СН3 |
О |
N |
N |
|
| 142 |
O |
изо-С3Н7 |
Н |
СН3 |
СН3 |
О |
N |
N |
|
| 143 |
O |
изо-С3Н7 |
Н |
ОСН3 |
ОСН3 |
S |
СН |
N |
|
| 144 |
O |
изо-С3Н7 |
Н |
ОСН3 |
СН3 |
S |
СН |
N |
|
| 145 |
O |
изо-С3Н7 |
Н |
СН3 |
СН3 |
S |
СН |
N |
|
| 146 |
O |
изо-С3Н7 |
Н |
ОСН3 |
ОСН3 |
S |
N |
N |
|
| 147 |
O |
изо-С3Н7 |
Н |
ОСН3 |
СН3 |
S |
N |
N |
|
| 148 |
O |
изо-С3Н7 |
Н |
СН3 |
СН3 |
S |
N |
N |
|
| 149 |
O |
СН2СН=СН2 |
Н |
ОСН3 |
ОСН3 |
О |
СН |
N |
|
| 150 |
O |
СН2СН=СН2 |
СН3 |
ОСН3 |
ОСН3 |
О |
СН |
N |
|
| 151 |
O |
СН2СН=СН2 |
СН3 |
ОСН3 |
СН3 |
О |
N |
N |
|
| 152 |
O |
СН2СН=СН2 |
Н |
СН3 |
СН3 |
О |
СН |
N |
|
| 153 |
O |
СН2СН=СН2 |
Н |
ОСН3 |
СН3 |
О |
СН |
N |
|
| 154 |
O |
СН2СН=СН2 |
Н |
СН3 |
СН3 |
О |
N |
N |
|
| 155 |
O |
СН2СН=СН2 |
Н |
ОСН3 |
СН3 |
О |
N |
N |
|
| 156 |
O |
СН2СН=СН2 |
Н |
ОСН3 |
ОСН3 |
О |
N |
N |
|
| 157 |
O |
СН2СН=СН2 |
Н |
ОСН3 |
Cl |
О |
СН |
N |
|
| 158 |
O |
СН2СН=СН2 |
Н |
OCF2H |
СН3 |
О |
СН |
N |
|
| 159 |
O |
СН2СН=СН2 |
Н |
OCF2H |
OCF2H |
О |
СН |
N |
|
| 160 |
O |
СН2СН=СН2 |
Н |
ОСН3 |
Br |
О |
СН |
N |
|
| 161 |
O |
СН2СН=СН2 |
Н |
ОСН3 |
ОС2Н5 |
О |
СН |
N |
|
| 162 |
O |
СН2СН=СН2 |
Н |
ОСН3 |
SCH3 |
О |
СН |
N |
|
| 163 |
O |
СН2СН=СН2 |
Н |
ОСН3 |
ОС2Н5 |
О |
N |
N |
|
| 164 |
O |
СН2СН=СН2 |
Н |
ОСН3 |
ОС3Н7 |
О |
CH |
N |
|
| 165 |
O |
СН2СН=СН2 |
Н |
ОСН3 |
Cl |
О |
N |
N |
|
| 166 |
O |
СН2СН=СН2 |
Н |
Cl |
ОС2Н5 |
О |
СН |
N |
|
| 167 |
O |
СН2СН=СН2 |
Н |
ОС2Н5 |
ОС2Н5 |
О |
СН |
N |
|
| 168 |
O |
СН2СН=СН2 |
Н |
С2Н5 |
ОСН3 |
О |
СН |
N |
|
| 169 |
O |
СН2СН=СН2 |
Н |
CF3 |
ОСН3 |
О |
СН |
N |
|
| 170 |
O |
СН2СН=СН2 |
Н |
ОСН2CF3 |
СН3 |
О |
СН |
N |
|
| 171 |
O |
СН2СН=СН2 |
Н |
ОСН2CF3 |
ОСН3 |
О |
СН |
N |
|
| 172 |
O |
СН2СН=СН2 |
Н |
ОСН2CF3 |
ОСН2CF3 |
О |
СН |
N |
|
| 173 |
O |
СН2СН=СН2 |
Н |
ОСН2CF3 |
ОСН3 |
О |
N |
N |
|
| 174 |
O |
СН2СН=СН2 |
Н |
ОСН3 |
NHCH3 |
О |
N |
N |
|
| 175 |
O |
СН2СН=СН2 |
Н |
ОС2Н5 |
NHCH3 |
О |
N |
N |
|
| 176 |
O |
СН2СН=СН2 |
Н |
С2Н5 |
ОС2Н5 |
О |
N |
N |
|
| 177 |
O |
СН2СН=СН2 |
Н |
ОСН3 |
СН3 |
О |
N |
N |
|
| 178 |
O |
СН2СН=СН2 |
Н |
Cl |
СН3 |
О |
N |
N |
|
| 179 |
O |
СН2СН=СН2 |
Н |
СН3 |
СН3 |
О |
N |
N |
|
| 180 |
O |
СН2СН=СН2 |
Н |
ОСН3 |
ОСН3 |
S |
СН |
N |
|
| 181 |
O |
СН2СН=СН2 |
Н |
ОСН3 |
СН3 |
S |
СН |
N |
|
| 182 |
O |
СН2СН=СН2 |
Н |
СН3 |
СН3 |
S |
СН |
N |
|
| 183 |
O |
СН2СН=СН2 |
Н |
ОСН3 |
ОСН3 |
S |
N |
N |
|
| 184 |
O |
СН2СН=СН2 |
Н |
ОСН3 |
СН3 |
S |
N |
N |
|
| 185 |
O |
СН2СН=СН2 |
Н |
СН3 |
СН3 |
S |
N |
N |
|
| 186 |
O |
СН2С СН |
Н |
ОСН3 |
ОСН3 |
О |
СН |
N |
|
| 187 |
O |
СН2С СН |
СН3 |
ОСН3 |
ОСН3 |
О |
СН |
N |
|
| 188 |
O |
СН2С СН |
СН3 |
ОСН3 |
СН3 |
О |
N |
N |
|
| 189 |
O |
СН2С СН |
Н |
СН3 |
СН3 |
О |
СН |
N |
|
| 190 |
O |
СН2С СН |
Н |
ОСН3 |
СН3 |
О |
СН |
N |
|
| 191 |
O |
СН2С СН |
Н |
СН3 |
СН3 |
О |
N |
N |
|
| 192 |
O |
СН2С СН |
Н |
ОСН3 |
СН3 |
О |
N |
N |
|
| 193 |
O |
СН2С СН |
Н |
ОСН3 |
ОСН3 |
О |
N |
N |
|
| 194 |
O |
СН2С СН |
Н |
ОСН3 |
Cl |
О |
СН |
N |
|
| 195 |
O |
СН2С СН |
Н |
OCF2H |
СН3 |
О |
СН |
N |
|
| 196 |
O |
СН2С СН |
Н |
OCF2H |
OCF2H |
О |
СН |
N |
|
| 197 |
O |
СН2С СН |
Н |
ОСН3 |
Br |
О |
СН |
N |
|
| 198 |
O |
СН2С СН |
Н |
ОСН3 |
ОС2Н5 |
О |
СН |
N |
|
| 199 |
O |
СН2С СН |
Н |
ОСН3 |
SCH3 |
О |
СН |
N |
|
| 200 |
O |
СН2С СН |
Н |
ОСН3 |
OC2H5 |
О |
N |
N |
|
| 201 |
O |
СН2С СН |
Н |
ОСН3 |
ОС3Н7 |
О |
CH |
N |
|
| 202 |
O |
СН2С СН |
Н |
ОСН3 |
Cl |
О |
N |
N |
|
| 203 |
O |
СН2С СН |
Н |
Cl |
ОС2Н5 |
О |
СН |
N |
|
| 204 |
O |
СН2С СН |
Н |
ОС2Н5 |
ОС2Н5 |
О |
CH |
N |
|
| 205 |
O |
СН2С СН |
Н |
С2Н5 |
ОСН3 |
O |
СН |
N |
|
| 206 |
O |
СН2С СН |
Н |
CF3 |
ОСН3 |
O |
СН |
N |
|
| 207 |
O |
СН2С СН |
Н |
ОСН2CF3 |
СН3 |
O |
СН |
N |
|
| 208 |
O |
СН2С СН |
Н |
ОСН2CF3 |
ОСН3 |
O |
СН |
N |
|
| 209 |
O |
СН2С СН |
Н |
ОСН2CF3 |
ОСН2CF3 |
O |
СН |
N |
|
| 210 |
O |
СН2С СН |
Н |
ОСН2CF3 |
ОСН3 |
O |
N |
N |
|
| 211 |
O |
СН2С СН |
Н |
ОСН3 |
NHCH3 |
O |
N |
N |
|
| 212 |
O |
СН2С СН |
Н |
ОС2Н5 |
NHCH3 |
O |
N |
N |
|
| 213 |
O |
СН2С СН |
Н |
С2Н5 |
ОС2Н5 |
О |
N |
N |
|
| 214 |
O |
СН2С СН |
Н |
ОСН3 |
СН3 |
О |
N |
N |
|
| 215 |
O |
СН2С СН |
Н |
Cl |
СН3 |
О |
N |
N |
|
| 216 |
O |
СН2С СН |
Н |
СН3 |
СН3 |
О |
N |
N |
|
| 217 |
O |
СН2С СН |
Н |
ОСН3 |
ОСН3 |
S |
СН |
N |
|
| 218 |
O |
СН2С СН |
Н |
ОСН3 |
СН3 |
S |
СН |
N |
|
| 219 |
O |
СН2С СН |
Н |
СН3 |
СН3 |
S |
СН |
N |
|
| 220 |
O |
СН2С СН |
Н |
ОСН3 |
ОСН3 |
S |
N |
N |
|
| 221 |
O |
СН2С СН |
Н |
ОСН3 |
СН3 |
S |
N |
N |
|
| 222 |
O |
СН2С СН |
Н |
СН3 |
СН3 |
S |
N |
N |
|
| 223 |
O |
н-С4Н9 |
Н |
ОСН3 |
ОСН3 |
О |
СН |
N |
|
| 224 |
O |
н-С4Н9 |
СН3 |
ОСН3 |
ОСН3 |
О |
СН |
N |
|
| 225 |
O |
н-С4Н9 |
СН3 |
ОСН3 |
СН3 |
О |
N |
N |
|
| 226 |
O |
н-С4Н9 |
Н |
СН3 |
СН3 |
О |
СН |
N |
|
| 227 |
O |
н-С4Н9 |
Н |
ОСН3 |
СН3 |
О |
СН |
N |
|
| 228 |
O |
н-С4Н9 |
Н |
СН3 |
СН3 |
О |
N |
N |
|
| 229 |
O |
н-С4Н9 |
Н |
ОСН3 |
СН3 |
О |
N |
N |
|
| 230 |
O |
н-С4Н9 |
Н |
ОСН3 |
ОСН3 |
О |
N |
N |
|
| 231 |
O |
изо-С4Н9 |
Н |
ОСН3 |
ОСН3 |
О |
СН |
N |
|
| 232 |
O |
изо-С4Н9 |
СН3 |
ОСН3 |
ОСН3 |
О |
СН |
N |
|
| 233 |
O |
изо-С4Н9 |
CH3 |
ОСН3 |
CH3 |
O |
N |
N |
|
| 234 |
O |
изо-С4Н9 |
Н |
CH3 |
CH3 |
O |
СН |
N |
|
| 235 |
O |
изо-С4Н9 |
Н |
ОСН3 |
CH3 |
O |
СН |
N |
|
| 236 |
O |
изо-С4Н9 |
Н |
CH3 |
CH3 |
O |
N |
N |
|
| 237 |
O |
изо-С4Н9 |
Н |
ОСН3 |
CH3 |
O |
N |
N |
|
| 238 |
O |
изо-С4Н9 |
Н |
ОСН3 |
ОСН3 |
O |
N |
N |
|
| 239 |
O |
втор-С4Н9 |
Н |
ОСН3 |
ОСН3 |
O |
СН |
N |
|
| 240 |
O |
втор-С4Н9 |
CH3 |
ОСН3 |
ОСН3 |
O |
СН |
N |
|
| 241 |
O |
втор-С4Н9 |
CH3 |
ОСН3 |
CH3 |
О |
N |
N |
|
| 242 |
O |
втор-С4Н9 |
Н |
CH3 |
CH3 |
О |
СН |
N |
|
| 243 |
O |
втор-С4Н9 |
Н |
ОСН3 |
CH3 |
О |
СН |
N |
|
| 244 |
O |
втор-С4Н9 |
Н |
CH3 |
CH3 |
О |
N |
N |
|
| 245 |
O |
втор-С4Н9 |
Н |
ОСН3 |
CH3 |
О |
N |
N |
|
| 246 |
O |
втор-С4Н9 |
Н |
ОСН3 |
ОСН3 |
О |
N |
N |
|
| 247 |
O |
трет-С4Н9 |
Н |
ОСН3 |
ОСН3 |
О |
СН |
N |
|
| 248 |
O |
трет-С4Н9 |
CH3 |
ОСН3 |
ОСН3 |
О |
СН |
N |
|
| 249 |
O |
трет-С4Н9 |
CH3 |
ОСН3 |
CH3 |
О |
N |
N |
|
| 250 |
O |
трет-С4Н9 |
Н |
CH3 |
CH3 |
О |
СН |
N |
|
| 251 |
O |
трет-С4Н9 |
Н |
ОСН3 |
CH3 |
О |
CH |
N |
|
| 252 |
O |
трет-С4Н9 |
Н |
CH3 |
CH3 |
О |
N |
N |
|
| 253 |
O |
трет-С4Н9 |
Н |
ОСН3 |
CH3 |
О |
N |
N |
|
| 254 |
O |
трет-С4Н9 |
Н |
ОСН3 |
ОСН3 |
О |
N |
N |
|
| 255 |
O |
СН2СН2Cl |
Н |
ОСН3 |
ОСН3 |
О |
СН |
N |
|
| 256 |
O |
CH2CH2Cl |
CH3 |
ОСН3 |
ОСН3 |
О |
СН |
N |
|
| 257 |
O |
СН2СН2Cl |
CH3 |
ОСН3 |
CH3 |
О |
N |
N |
|
| 258 |
O |
CH2CH2Cl |
Н |
CH3 |
CH3 |
О |
СН |
N |
|
| 259 |
O |
СН2СН2Cl |
Н |
ОСН3 |
CH3 |
О |
СН |
N |
|
| 260 |
O |
CH2CH2Cl |
Н |
CH3 |
CH3 |
О |
N |
N |
|
| 261 |
O |
СН2СН2Cl |
Н |
ОСН3 |
СН3 |
O |
N |
N |
|
| 262 |
O |
CH2CH2Cl |
Н |
ОСН3 |
ОСН3 |
O |
N |
N |
|
| 263 |
O |
СН2СН2OCH3 |
Н |
ОСН3 |
ОСН3 |
O |
СН |
N |
|
| 264 |
O |
СН2СН2OCH3 |
СН3 |
ОСН3 |
ОСН3 |
O |
CH |
N |
|
| 265 |
O |
СН2СН2OCH3 |
СН3 |
ОСН3 |
СН3 |
O |
N |
N |
|
| 266 |
O |
СН2СН2OCH3 |
Н |
СН3 |
СН3 |
О |
СН |
N |
|
| 267 |
O |
СН2СН2OCH3 |
Н |
ОСН3 |
СН3 |
О |
СН |
N |
|
| 268 |
O |
СН2СН2OCH3 |
Н |
СН3 |
СН3 |
О |
N |
N |
|
| 269 |
O |
СН2СН2OCH3 |
Н |
ОСН3 |
СН3 |
О |
N |
N |
|
| 270 |
O |
СН2СН2OCH3 |
Н |
ОСН3 |
ОСН3 |
О |
N |
N |
|
| 271 |
O |
ц-С6Н11 |
Н |
ОСН3 |
ОСН3 |
О |
СН |
N |
|
| 272 |
O |
ц-С6Н11 |
СН3 |
ОСН3 |
ОСН3 |
О |
СН |
N |
|
| 273 |
O |
ц-С6Н11 |
СН3 |
ОСН3 |
СН3 |
О |
N |
N |
|
| 274 |
O |
ц-С6Н11 |
Н |
СН3 |
СН3 |
О |
СН |
N |
|
| 275 |
O |
ц-С6Н11 |
Н |
ОСН3 |
СН3 |
О |
СН |
N |
|
| 276 |
O |
ц-С6Н11 |
Н |
СН3 |
СН3 |
О |
N |
N |
|
| 277 |
O |
ц-С6Н11 |
Н |
ОСН3 |
СН3 |
О |
N |
N |
|
| 278 |
O |
ц-С6Н11 |
Н |
ОСН3 |
ОСН3 |
О |
N |
N |
|
| 279 |
O |
СН3 |
Н |
СН3 |
Cl |
О |
СН |
N |
214-216 (разложение) |
| 280 |
O |
СН3 |
Н |
СН3 |
Н |
О |
СН |
N |
201-203 (разложение) |
| 281 |
O |
СН3 |
Н |
ОСН3 |
СН3 |
О |
N |
N |
Na-соль 200 |
| Таблица 6 |
 |
| Пример N |
Q |
R |
R1 |
R2 |
R3 |
W |
Y |
Z |
Т.пл. (°С) |
| 1 |
O |
СН3 |
Н |
ОСН3 |
ОСН3 |
О |
СН |
N |
173-177 |
| 2 |
O |
СН3 |
СН3 |
ОСН3 |
ОСН3 |
О |
СН |
N |
|
| 3 |
O |
СН3 |
СН3 |
ОСН3 |
СН3 |
О |
N |
N |
|
| 4 |
O |
СН3 |
Н |
СН3 |
СН3 |
О |
СН |
N |
|
| 5 |
O |
СН3 |
Н |
СН3 |
СН3 |
О |
СН |
N |
|
| 6 |
O |
СН3 |
Н |
СН3 |
СН3 |
О |
N |
N |
|
| 7 |
O |
СН3 |
Н |
OCH3 |
СН3 |
О |
N |
N |
187-188 |
| 8 |
O |
СН3 |
Н |
ОСН3 |
ОСН3 |
О |
N |
N |
|
| 9 |
O |
СН3 |
Н |
ОСН3 |
Cl |
О |
СН |
N |
|
| 10 |
O |
СН3 |
Н |
OCF2H |
СН3 |
О |
СН |
N |
|
| 11 |
O |
СН3 |
Н |
OCF2H |
OCF2H |
О |
СН |
N |
|
| 12 |
O |
СН3 |
Н |
ОСН3 |
Br |
О |
СН |
N |
|
| 13 |
O |
СН3 |
Н |
ОСН3 |
ОС2Н5 |
О |
СН |
N |
|
| 14 |
O |
СН3 |
Н |
ОСН3 |
SCH3 |
О |
CH |
N |
|
| 15 |
O |
СН3 |
Н |
ОСН3 |
ОС2Н5 |
О |
N |
N |
|
| 16 |
O |
СН3 |
Н |
ОСН3 |
ОС3Н7 |
О |
СН |
N |
|
| 17 |
O |
СН3 |
Н |
ОСН3 |
Cl |
О |
N |
N |
|
| 18 |
O |
СН3 |
Н |
Cl |
ОС2Н5 |
О |
СН |
N |
|
| 19 |
O |
СН3 |
Н |
ОС2Н5 |
ОС2Н5 |
О |
СН |
N |
|
| 20 |
O |
СН3 |
Н |
С2Н5 |
ОСН3 |
О |
СН |
N |
|
| 21 |
O |
СН3 |
Н |
CF3 |
ОСН3 |
О |
СН |
N |
|
| 22 |
O |
СН3 |
Н |
ОСН2CF3 |
СН3 |
O |
СН |
N |
|
| 23 |
O |
СН3 |
Н |
ОСН2CF3 |
ОСН3 |
O |
СН |
N |
|
| 24 |
O |
СН3 |
Н |
ОСН2CF3 |
ОСН2CF3 |
O |
СН |
N |
|
| 25 |
O |
СН3 |
Н |
ОСН2CF3 |
ОСН3 |
O |
N |
N |
|
| 26 |
O |
СН3 |
Н |
ОСН3 |
NHCH3 |
O |
N |
N |
|
| 27 |
O |
СН3 |
Н |
ОС2Н5 |
NHCH3 |
O |
N |
N |
|
| 28 |
O |
СН3 |
Н |
С2Н5 |
ОС2Н5 |
O |
N |
N |
|
| 29 |
O |
СН3 |
Н |
ОСН3 |
СН3 |
O |
N |
N |
|
| 30 |
O |
СН3 |
Н |
Cl |
СН3 |
O |
N |
N |
|
| 31 |
O |
СН3 |
Н |
СН3 |
СН3 |
O |
N |
N |
|
| 32 |
O |
СН3 |
Н |
ОСН3 |
ОСН3 |
S |
СН |
N |
|
| 33 |
O |
СН3 |
Н |
ОСН3 |
СН3 |
S |
СН |
N |
|
| 34 |
O |
СН3 |
Н |
СН3 |
СН3 |
S |
СН |
N |
|
| 35 |
O |
СН3 |
Н |
ОСН3 |
ОСН3 |
S |
N |
N |
|
| 36 |
O |
СН3 |
Н |
ОСН3 |
СН3 |
S |
N |
N |
|
| 37 |
O |
СН3 |
Н |
СН3 |
СН3 |
S |
N |
N |
|
| 38 |
O |
С2Н5 |
Н |
ОСН3 |
ОСН3 |
O |
СН |
N |
|
| 39 |
O |
С2Н5 |
СН3 |
ОСН3 |
ОСН3 |
О |
СН |
N |
|
| 40 |
O |
С2Н5 |
СН3 |
ОСН3 |
СН3 |
О |
N |
N |
|
| 41 |
O |
С2Н5 |
Н |
СН3 |
СН3 |
О |
СН |
N |
|
| 42 |
O |
С2Н5 |
Н |
ОСН3 |
СН3 |
О |
СН |
N |
|
| 43 |
O |
С2Н5 |
Н |
СН3 |
СН3 |
О |
N |
N |
|
| 44 |
O |
С2Н5 |
Н |
ОСН3 |
СН3 |
О |
N |
N |
|
| 45 |
O |
С2Н5 |
Н |
ОСН3 |
ОСН3 |
О |
N |
N |
|
| 46 |
O |
С2Н5 |
Н |
ОСН3 |
Cl |
О |
СН |
N |
|
| 47 |
O |
С2Н5 |
Н |
OCF2H |
СН3 |
О |
СН |
N |
|
| 48 |
O |
С2Н5 |
Н |
OCF2H |
OCF2H |
О |
СН |
N |
|
| 49 |
O |
С2Н5 |
Н |
ОСН3 |
Br |
О |
СН |
N |
|
| 50 |
O |
С2Н5 |
Н |
ОСН3 |
ОС2Н5 |
О |
СН |
N |
|
| 51 |
O |
С2Н5 |
Н |
ОСН3 |
SCH3 |
O |
CH |
N |
|
| 52 |
O |
С2Н5 |
Н |
ОСН3 |
ОС2Н5 |
O |
N |
N |
|
| 53 |
O |
С2Н5 |
Н |
ОСН3 |
ОС3Н7 |
O |
CH |
N |
|
| 54 |
O |
С2Н5 |
Н |
ОСН3 |
Cl |
O |
N |
N |
|
| 55 |
O |
С2Н5 |
Н |
Cl |
ОС2Н5 |
O |
СН |
N |
|
| 56 |
O |
С2Н5 |
Н |
ОС2Н5 |
ОС2Н5 |
O |
СН |
N |
|
| 57 |
O |
С2Н5 |
Н |
С2Н5 |
ОСН3 |
O |
СН |
N |
|
| 58 |
O |
С2Н5 |
Н |
CF3 |
ОСН3 |
O |
СН |
N |
|
| 59 |
O |
С2Н5 |
Н |
ОСН2CF3 |
СН3 |
O |
СН |
N |
|
| 60 |
O |
С2Н5 |
Н |
ОСН2CF3 |
ОСН3 |
О |
СН |
N |
|
| 61 |
O |
С2Н5 |
Н |
ОСН2CF3 |
ОСН2CF3 |
О |
СН |
N |
|
| 62 |
O |
С2Н5 |
Н |
ОСН2CF3 |
ОСН3 |
О |
N |
N |
|
| 63 |
O |
С2Н5 |
Н |
ОСН3 |
NHCH3 |
О |
N |
N |
|
| 64 |
O |
С2Н5 |
Н |
ОС2Н5 |
NHCH3 |
О |
N |
N |
|
| 65 |
O |
С2Н5 |
Н |
С2Н5 |
ОС2Н5 |
О |
N |
N |
|
| 66 |
O |
С2Н5 |
Н |
ОСН3 |
СН3 |
О |
N |
N |
|
| 67 |
O |
С2Н5 |
Н |
Cl |
СН3 |
О |
N |
N |
|
| 68 |
O |
С2Н5 |
Н |
СН3 |
СН3 |
О |
N |
N |
|
| 69 |
O |
С2Н5 |
Н |
ОСН3 |
ОСН3 |
S |
СН |
N |
|
| 70 |
O |
С2Н5 |
Н |
ОСН3 |
СН3 |
S |
СН |
N |
|
| 71 |
O |
С2Н5 |
Н |
СН3 |
СН3 |
S |
СН |
N |
|
| 72 |
O |
С2Н5 |
Н |
ОСН3 |
ОСН3 |
S |
N |
N |
|
| 73 |
O |
С2Н5 |
Н |
ОСН3 |
СН3 |
S |
N |
N |
|
| 74 |
O |
С2Н5 |
Н |
СН3 |
СН3 |
S |
N |
N |
|
| 75 |
O |
н-С3Н7 |
Н |
ОСН3 |
ОСН3 |
О |
СН |
N |
|
| 76 |
O |
н-С3Н7 |
СН3 |
ОСН3 |
ОСН3 |
О |
СН |
N |
|
| 77 |
O |
н-С3Н7 |
СНз |
ОСН3 |
СН3 |
О |
N |
N |
|
| 78 |
O |
н-С3Н7 |
H |
СН3 |
СН3 |
О |
СН |
N |
|
| 79 |
O |
н-С3Н7 |
Н |
ОСН3 |
СН3 |
O |
CH |
N |
|
| 80 |
O |
н-С3Н7 |
Н |
СН3 |
СН3 |
O |
N |
N |
|
| 81 |
O |
н-С3Н7 |
Н |
ОСН3 |
СН3 |
O |
N |
N |
|
| 82 |
O |
н-С3Н7 |
Н |
ОСН3 |
ОСН3 |
O |
N |
N |
|
| 83 |
O |
н-С3Н7 |
Н |
ОСН3 |
Cl |
O |
СН |
N |
|
| 84 |
O |
н-С3Н7 |
Н |
OCF2H |
СН3 |
O |
СН |
N |
|
| 85 |
O |
н-С3Н7 |
Н |
OCF2H |
OCF2H |
О |
СН |
N |
|
| 86 |
O |
н-С3Н7 |
Н |
ОСН3 |
Br |
О |
СН |
N |
|
| 87 |
O |
н-С3Н7 |
Н |
ОСН3 |
ОС2Н5 |
О |
СН |
N |
|
| 88 |
O |
н-С3Н7 |
Н |
ОСН3 |
SCH3 |
О |
СН |
N |
|
| 89 |
O |
н-С3Н7 |
Н |
ОСН3 |
ОС2Н5 |
О |
N |
N |
|
| 90 |
O |
н-С3Н7 |
Н |
ОСН3 |
ОС3Н7 |
О |
CH |
N |
|
| 91 |
O |
н-С3Н7 |
Н |
ОСН3 |
Cl |
О |
N |
N |
|
| 92 |
O |
н-С3Н7 |
Н |
Cl |
ОС2Н5 |
О |
СН |
N |
|
| 93 |
O |
н-С3Н7 |
Н |
ОС2Н5 |
ОС2Н5 |
О |
СН |
N |
|
| 94 |
O |
н-С3Н7 |
Н |
С2Н5 |
ОСН3 |
О |
СН |
N |
|
| 95 |
O |
н-С3Н7 |
Н |
CF3 |
ОСН3 |
О |
СН |
N |
|
| 96 |
O |
н-С3Н7 |
H |
ОСН2CF3 |
СН3 |
О |
СН |
N |
|
| 97 |
O |
н-С3Н7 |
Н |
ОСН2CF3 |
ОСН3 |
О |
СН |
N |
|
| 98 |
O |
н-С3Н7 |
Н |
ОСН2CF3 |
ОСН2CF3 |
О |
СН |
N |
|
| 99 |
O |
н-С3Н7 |
H |
ОСН2CF3 |
ОСН3 |
О |
N |
N |
|
| 100 |
O |
н-С3Н7 |
H |
ОСН3 |
NHCH3 |
О |
N |
N |
|
| 101 |
O |
н-С3Н7 |
H |
ОС2Н5 |
NHCH3 |
О |
N |
N |
|
| 102 |
O |
н-С3Н7 |
H |
С2Н5 |
ОС2Н5 |
О |
N |
N |
|
| 103 |
O |
н-С3Н7 |
H |
ОСН3 |
СН3 |
О |
N |
N |
|
| 104 |
O |
н-С3Н7 |
H |
Cl |
СН3 |
О |
N |
N |
|
| 105 |
O |
н-С3Н7 |
H |
СН3 |
СН3 |
О |
N |
N |
|
| 106 |
O |
н-С3Н7 |
H |
ОСН3 |
ОСН3 |
S |
СН |
N |
|
| 107 |
O |
н-С3Н7 |
Н |
ОСН3 |
СН3 |
S |
СН |
N |
|
| 108 |
O |
н-С3Н7 |
Н |
СН3 |
СН3 |
S |
СН |
N |
|
| 109 |
O |
н-С3Н7 |
Н |
ОСН3 |
ОСН3 |
S |
N |
N |
|
| 110 |
O |
н-С3Н7 |
Н |
ОСН3 |
СН3 |
S |
N |
N |
|
| 111 |
O |
н-С3Н7 |
Н |
СН3 |
СН3 |
S |
N |
N |
|
| 112 |
O |
изо-С3Н7 |
Н |
ОСН3 |
ОСН3 |
О |
СН |
N |
|
| 113 |
O |
изо-С3Н7 |
СН3 |
ОСН3 |
ОСН3 |
О |
СН |
N |
|
| 114 |
O |
изо-С3Н7 |
СН3 |
ОСН3 |
СН3 |
О |
N |
N |
|
| 115 |
O |
изо-С3Н7 |
Н |
СН3 |
СН3 |
О |
СН |
N |
|
| 116 |
O |
изо-С3Н7 |
Н |
ОСН3 |
СН3 |
О |
CH |
N |
|
| 117 |
O |
изо-С3Н7 |
Н |
СН3 |
СН3 |
О |
N |
N |
|
| 118 |
O |
изо-С3Н7 |
Н |
ОСН3 |
СН3 |
О |
N |
N |
|
| 119 |
O |
изо-С3Н7 |
Н |
ОСН3 |
ОСН3 |
О |
N |
N |
|
| 120 |
O |
изо-С3Н7 |
Н |
ОСН3 |
Cl |
О |
СН |
N |
|
| 121 |
O |
изо-С3Н7 |
Н |
OCF2H |
СН3 |
О |
СН |
N |
|
| 122 |
O |
изо-С3Н7 |
Н |
OCF2H |
OCF2H |
О |
СН |
N |
|
| 123 |
O |
изо-С3Н7 |
Н |
ОСН3 |
Br |
О |
СН |
N |
|
| 124 |
O |
изо-С3Н7 |
Н |
ОСН3 |
ОС2Н5 |
О |
СН |
N |
|
| 125 |
O |
изо-С3Н7 |
Н |
ОСН3 |
SCH3 |
О |
СН |
N |
|
| 126 |
O |
изо-С3Н7 |
Н |
ОСН3 |
ОС2Н5 |
О |
N |
N |
|
| 127 |
O |
изо-С3Н7 |
Н |
ОСН3 |
ОС3Н7 |
О |
СН |
N |
|
| 128 |
O |
изо-С3Н7 |
Н |
ОСН3 |
Cl |
О |
N |
N |
|
| 129 |
O |
изо-С3Н7 |
Н |
Cl |
ОС2Н5 |
О |
СН |
N |
|
| 130 |
O |
изо-С3Н7 |
H |
ОС2Н5 |
ОС2Н5 |
О |
СН |
N |
|
| 131 |
O |
изо-С3Н7 |
Н |
C2H5 |
ОСН3 |
О |
СН |
N |
|
| 132 |
O |
изо-С3Н7 |
Н |
CF3 |
ОСН3 |
О |
СН |
N |
|
| 133 |
O |
изо-С3Н7 |
Н |
ОСН2CF3 |
СН3 |
О |
СН |
N |
|
| 134 |
O |
изо-С3Н7 |
Н |
ОСН2CF3 |
ОСН3 |
О |
СН |
N |
|
| 135 |
O |
изо-С3Н7 |
Н |
ОСН2CF3 |
ОСН2CF3 |
O |
CH |
N |
|
| 136 |
O |
изо-С3Н7 |
Н |
ОСН2CF3 |
ОСН3 |
O |
N |
N |
|
| 137 |
O |
изо-С3Н7 |
Н |
ОСН3 |
NHCH3 |
O |
N |
N |
|
| 138 |
O |
изо-С3Н7 |
Н |
ОС2Н5 |
NHCH3 |
O |
N |
N |
|
| 139 |
O |
изо-С3Н7 |
Н |
С2Н5 |
ОС2Н5 |
O |
N |
N |
|
| 140 |
O |
изо-С3Н7 |
Н |
ОСН3 |
СН3 |
O |
N |
N |
|
| 141 |
O |
изо-С3Н7 |
Н |
Cl |
СН3 |
O |
N |
N |
|
| 142 |
O |
изо-С3Н7 |
Н |
СН3 |
СН3 |
O |
N |
N |
|
| 143 |
O |
изо-С3Н7 |
Н |
ОСН3 |
ОСН3 |
S |
СН |
N |
|
| 144 |
O |
изо-С3Н7 |
Н |
ОСН3 |
СН3 |
S |
СН |
N |
|
| 145 |
O |
изо-С3Н7 |
Н |
СН3 |
СН3 |
S |
СН |
N |
|
| 146 |
O |
изо-С3Н7 |
Н |
ОСН3 |
ОСН3 |
S |
N |
N |
|
| 147 |
O |
изо-С3Н7 |
Н |
ОСН3 |
СН3 |
S |
N |
N |
|
| 148 |
O |
изо-С3Н7 |
Н |
СН3 |
СН3 |
S |
N |
N |
|
| 149 |
O |
СН2СН=СН2 |
Н |
ОСН3 |
ОСН3 |
О |
СН |
N |
|
| 150 |
O |
СН2СН=СН2 |
СН3 |
ОСН3 |
ОСН3 |
О |
СН |
N |
|
| 151 |
O |
СН2СН=СН2 |
СН3 |
ОСН3 |
СН3 |
О |
N |
N |
|
| 152 |
O |
СН2СН=СН2 |
Н |
СН3 |
СН3 |
О |
СН |
N |
|
| 153 |
O |
СН2СН=СН2 |
Н |
ОСН3 |
СН3 |
О |
СН |
N |
|
| 154 |
O |
СН2СН=СН2 |
Н |
СН3 |
СН3 |
О |
N |
N |
|
| 155 |
O |
СН2СН=СН2 |
Н |
ОСН3 |
СН3 |
О |
N |
N |
|
| 156 |
O |
СН2СН=СН2 |
Н |
ОСН3 |
ОСН3 |
О |
N |
N |
|
| 157 |
O |
СН2СН=СН2 |
Н |
ОСН3 |
Cl |
О |
СН |
N |
|
| 158 |
O |
СН2СН=СН2 |
Н |
OCF2H |
СН3 |
О |
СН |
N |
|
| 159 |
O |
СН2СН=СН2 |
Н |
OCF2H |
OCF2H |
О |
СН |
N |
|
| 160 |
O |
СН2СН=СН2 |
Н |
ОСН3 |
Br |
О |
СН |
N |
|
| 161 |
O |
СН2СН=СН2 |
Н |
ОСН3 |
ОС2Н5 |
О |
СН |
N |
|
| 162 |
O |
СН2СН=СН2 |
Н |
ОСН3 |
SCH3 |
О |
СН |
N |
|
| 163 |
O |
СН2СН=СН2 |
Н |
ОСН3 |
ОС2Н5 |
О |
N |
N |
|
| 164 |
O |
СН2СН=СН2 |
Н |
ОСН3 |
ОС3Н7 |
О |
CH |
N |
|
| 165 |
O |
СН2СН=СН2 |
Н |
ОСН3 |
Cl |
О |
N |
N |
|
| 166 |
O |
СН2СН=СН2 |
Н |
Cl |
ОС2Н5 |
О |
СН |
N |
|
| 167 |
O |
СН2СН=СН2 |
Н |
ОС2Н5 |
ОС2Н5 |
О |
СН |
N |
|
| 168 |
O |
СН2СН=СН2 |
Н |
С2Н5 |
ОСН3 |
О |
СН |
N |
|
| 169 |
O |
СН2СН=СН2 |
Н |
CF3 |
ОСН3 |
О |
СН |
N |
|
| 170 |
O |
СН2СН=СН2 |
Н |
ОСН2CF3 |
СН3 |
О |
СН |
N |
|
| 171 |
O |
СН2СН=СН2 |
Н |
ОСН2CF3 |
ОСН3 |
О |
СН |
N |
|
| 172 |
O |
СН2СН=СН2 |
Н |
ОСН2CF3 |
ОСН2CF3 |
О |
СН |
N |
|
| 173 |
O |
СН2СН=СН2 |
Н |
ОСН2CF3 |
ОСН3 |
О |
N |
N |
|
| 174 |
O |
СН2СН=СН2 |
Н |
ОСН3 |
NHCH3 |
О |
N |
N |
|
| 175 |
O |
СН2СН=СН2 |
Н |
ОС2Н5 |
NHCH3 |
О |
N |
N |
|
| 176 |
O |
СН2СН=СН2 |
Н |
С2Н5 |
ОС2Н5 |
О |
N |
N |
|
| 177 |
O |
СН2СН=СН2 |
Н |
ОСН3 |
СН3 |
О |
N |
N |
|
| 178 |
O |
СН2СН=СН2 |
Н |
Cl |
СН3 |
О |
N |
N |
|
| 179 |
O |
СН2СН=СН2 |
Н |
СН3 |
СН3 |
О |
N |
N |
|
| 180 |
O |
СН2СН=СН2 |
Н |
ОСН3 |
ОСН3 |
S |
СН |
N |
|
| 181 |
O |
СН2СН=СН2 |
В |
ОСН3 |
СН3 |
S |
СН |
N |
|
| 182 |
O |
СН2СН=СН2 |
Н |
СН3 |
СН3 |
S |
СН |
N |
|
| 183 |
O |
СН2СН=СН2 |
Н |
ОСН3 |
ОСН3 |
S |
N |
N |
|
| 184 |
O |
СН2СН=СН2 |
Н |
ОСН3 |
СН3 |
S |
N |
N |
|
| 185 |
O |
СН2СН=СН2 |
Н |
СН3 |
СН3 |
S |
N |
N |
|
| 186 |
O |
СН2С СН |
Н |
ОСН3 |
ОСН3 |
О |
СН |
N |
|
| 187 |
O |
СН2С СН |
СН3 |
ОСН3 |
ОСН3 |
О |
СН |
N |
|
| 188 |
O |
СН2С СН |
СН3 |
ОСН3 |
СН3 |
О |
N |
N |
|
| 189 |
O |
СН2С СН |
Н |
СН3 |
СН3 |
О |
СН |
N |
|
| 190 |
O |
СН2С СН |
Н |
ОСН3 |
СН3 |
О |
СН |
N |
|
| 191 |
O |
СН2С СН |
Н |
СН3 |
СН3 |
О |
N |
N |
|
| 192 |
O |
СН2С СН |
Н |
ОСН3 |
СН3 |
О |
N |
N |
|
| 193 |
O |
СН2С СН |
Н |
ОСН3 |
ОСН3 |
О |
N |
N |
|
| 194 |
O |
СН2С СН |
Н |
ОСН3 |
Cl |
О |
СН |
N |
|
| 195 |
O |
СН2С СН |
Н |
OCF2H |
СН3 |
О |
СН |
N |
|
| 196 |
O |
СН2С СН |
Н |
OCF2H |
OCF2H |
О |
СН |
N |
|
| 197 |
O |
СН2С СН |
Н |
ОСН3 |
Br |
О |
СН |
N |
|
| 198 |
O |
СН2С СН |
Н |
ОСН3 |
ОС2Н5 |
О |
СН |
N |
|
| 199 |
O |
СН2С СН |
Н |
ОСН3 |
SCH3 |
О |
СН |
N |
|
| 200 |
O |
СН2С СН |
Н |
ОСН3 |
ОС2Н5 |
О |
N |
N |
|
| 201 |
O |
СН2С СН |
Н |
ОСН3 |
ОС3Н7 |
О |
CH |
N |
|
| 202 |
O |
СН2С СН |
Н |
ОСН3 |
Cl |
О |
N |
N |
|
| 203 |
O |
СН2С СН |
Н |
Cl |
ОС2Н5 |
О |
СН |
N |
|
| 204 |
O |
СН2С СН |
Н |
ОС2Н5 |
OC2H5 |
О |
СН |
N |
|
| 205 |
O |
СН2С СН |
Н |
C2H5 |
ОСН3 |
О |
СН |
N |
|
| 206 |
O |
СН2С СН |
Н |
CF3 |
ОСН3 |
О |
СН |
N |
|
| 207 |
O |
СН2С СН |
Н |
ОСН2CF3 |
СН3 |
О |
СН |
N |
|
| 208 |
O |
СН2С СН |
Н |
ОСН2CF3 |
ОСН3 |
О |
СН |
N |
|
| 209 |
O |
СН2С СН |
Н |
ОСН2CF3 |
ОСН2CF3 |
О |
СН |
N |
|
| 210 |
O |
СН2С СН |
Н |
ОСН2CF3 |
ОСН3 |
О |
N |
N |
|
| 211 |
O |
СН2С СН |
Н |
ОСН3 |
NHCH3 |
О |
N |
N |
|
| 212 |
O |
СН2С СН |
Н |
ОС2Н5 |
NHCH3 |
О |
N |
N |
|
| 213 |
O |
СН2С СН |
Н |
С2Н5 |
ОС2Н5 |
О |
N |
N |
|
| 214 |
O |
СН2С СН |
Н |
ОСН3 |
СН3 |
О |
N |
N |
|
| 215 |
O |
СН2С СН |
Н |
Cl |
СН3 |
О |
N |
N |
|
| 216 |
O |
СН2С СН |
Н |
СН3 |
СН3 |
O |
N |
N |
|
| 217 |
O |
СН2С СН |
Н |
ОСН3 |
ОСН3 |
S |
СН |
N |
|
| 218 |
O |
СН2С СН |
Н |
ОСН3 |
СН3 |
S |
СН |
N |
|
| 219 |
O |
СН2С СН |
Н |
СН3 |
СН3 |
S |
CH |
N |
|
| 220 |
O |
СН2С СН |
Н |
ОСН3 |
ОСН3 |
S |
N |
N |
|
| 221 |
O |
СН2С СН |
Н |
ОСН3 |
СН3 |
S |
N |
N |
|
| 222 |
O |
СН2С СН |
Н |
СН3 |
СН3 |
S |
N |
N |
|
| 223 |
O |
н-С4Н9 |
Н |
ОСН3 |
ОСН3 |
O |
СН |
N |
|
| 224 |
O |
н-С4Н9 |
СН3 |
ОСН3 |
ОСН3 |
O |
СН |
N |
|
| 225 |
O |
н-С4Н9 |
СН3 |
ОСН3 |
СН3 |
O |
N |
N |
|
| 226 |
O |
н-С4Н9 |
Н |
СН3 |
СН3 |
O |
СН |
N |
|
| 227 |
O |
н-С4Н9 |
Н |
ОСН3 |
СН3 |
O |
СН |
N |
|
| 228 |
O |
н-С4Н9 |
Н |
СН3 |
СН3 |
О |
N |
N |
|
| 229 |
O |
н-С4Н9 |
Н |
ОСН3 |
СН3 |
О |
N |
N |
|
| 230 |
O |
н-С4Н9 |
Н |
ОСН3 |
ОСН3 |
О |
N |
N |
|
| 231 |
O |
изо-С4Н9 |
Н |
ОСН3 |
ОСН3 |
О |
СН |
N |
|
| 232 |
O |
изо-С4Н9 |
СН3 |
ОСН3 |
ОСН3 |
О |
СН |
N |
|
| 233 |
O |
изо-С4Н9 |
СН3 |
ОСН3 |
СН3 |
О |
N |
N |
|
| 234 |
O |
изо-С4Н9 |
Н |
СН3 |
СН3 |
О |
СН |
N |
|
| 235 |
O |
изо-С4Н9 |
Н |
ОСН3 |
СН3 |
О |
СН |
N |
|
| 236 |
O |
изо-С4Н9 |
Н |
СН3 |
СН3 |
О |
N |
N |
|
| 237 |
O |
изо-С4Н9 |
Н |
ОСН3 |
СН3 |
О |
N |
N |
|
| 238 |
O |
изо-С4Н9 |
Н |
ОСН3 |
ОСН3 |
О |
N |
N |
|
| 239 |
O |
втор-С4Н9 |
Н |
ОСН3 |
ОСН3 |
О |
СН |
N |
|
| 240 |
O |
втор-С4Н9 |
СН3 |
ОСН3 |
ОСН3 |
О |
СН |
N |
|
| 241 |
O |
втор-С4Н9 |
СН3 |
ОСН3 |
СН3 |
О |
N |
N |
|
| 242 |
O |
втор-С4Н9 |
Н |
СН3 |
СН3 |
О |
СН |
N |
|
| 243 |
O |
втор-С4Н9 |
Н |
ОСН3 |
СН3 |
О |
СН |
N |
|
| 244 |
O |
втор-С4Н9 |
Н |
СН3 |
СН3 |
О |
N |
N |
|
| 245 |
O |
втор-С4Н9 |
Н |
ОСН3 |
СН3 |
О |
N |
N |
|
| 246 |
O |
втор-С4Н9 |
Н |
ОСН3 |
ОСН3 |
О |
N |
N |
|
| 254 |
O |
трет-С4Н9 |
Н |
ОСН3 |
ОСН3 |
O |
N |
N |
|
| 255 |
O |
СН2СН2Cl |
Н |
ОСН3 |
ОСН3 |
O |
СН |
N |
|
| 256 |
O |
СН2СН2Cl |
СН3 |
ОСН3 |
ОСН3 |
O |
СН |
N |
|
| 257 |
O |
СН2СН2Cl |
СН3 |
ОСН3 |
СН3 |
O |
N |
N |
|
| 258 |
O |
СН2СН2Cl |
Н |
СН3 |
СН3 |
O |
СН |
N |
|
| 259 |
O |
СН2СН2Cl |
Н |
ОСН3 |
СН3 |
О |
СН |
N |
|
| 260 |
O |
СН2СН2Cl |
Н |
СН3 |
СН3 |
О |
N |
N |
|
| 261 |
O |
СН2СН2Cl |
Н |
ОСН3 |
СН3 |
О |
N |
N |
|
| 262 |
O |
СН2СН2Cl |
Н |
ОСН3 |
ОСН3 |
О |
N |
N |
|
| 263 |
O |
СН2СН2OCH3 |
Н |
ОСН3 |
ОСН3 |
О |
СН |
N |
|
| 264 |
O |
СН2СН2OCH3 |
СН3 |
ОСН3 |
ОСН3 |
О |
СН |
N |
|
| 265 |
O |
СН2СН2OCH3 |
СН3 |
ОСН3 |
СН3 |
О |
N |
N |
|
| 266 |
O |
СН2СН2OCH3 |
Н |
СН3 |
СН3 |
О |
СН |
N |
|
| 267 |
O |
СН2СН2OCH3 |
Н |
ОСН3 |
СН3 |
О |
СН |
N |
|
| 268 |
O |
СН2СН2OCH3 |
Н |
СН3 |
СН3 |
О |
N |
N |
|
| 269 |
O |
СН2СН2OCH3 |
Н |
ОСН3 |
СН3 |
О |
N |
N |
|
| 270 |
O |
СН2СН2OCH3 |
Н |
ОСН3 |
ОСН3 |
О |
N |
N |
|
| 271 |
O |
ц-С6Н11 |
Н |
ОСН3 |
ОСН3 |
О |
СН |
N |
|
| 272 |
O |
ц-С6Н11 |
СН3 |
ОСН3 |
ОСН3 |
О |
СН |
N |
|
| 273 |
O |
ц-С6Н11 |
СН3 |
ОСН3 |
СН3 |
О |
N |
N |
|
| 274 |
O |
ц-С6Н11 |
Н |
СН3 |
СН3 |
О |
СН |
N |
|
| 275 |
O |
ц-С6Н11 |
Н |
ОСН3 |
СН3 |
О |
СН |
N |
|
| 276 |
O |
ц-С6Н11 |
Н |
СН3 |
СН3 |
О |
N |
N |
|
| 277 |
O |
ц-С6Н11 |
Н |
ОСН3 |
СН3 |
О |
N |
N |
|
| 278 |
O |
ц-С6Н11 |
Н |
ОСН3 |
ОСН3 |
О |
N |
N |
|
В. ПРИМЕРЫ ФОРМУЛИРОВАНИЯ
a) Препарат для опыливания получают тем, что 10 вес. частей соединения формулы (I) и 90 вес. частей талька в качестве инертного вещества смешивают и размельчают в ударной мельнице.
b) Легко диспергирующийся в воде, смачивающийся порошок получают тем, что 25 вес. частей соединения формулы (I), 64 вес. части каолинсодержащего кварца в качестве инертного вещества, 10 вес. частей лигнинсульфоната калия и 1 вес. часть олеоилметилтаурата натрия в качестве смачивателя и диспергатора смешивают и размалывают на стержневой мельнице.
c) Легко диспергирующийся в воде дисперсионный концентрат получают тем, что 20 вес. частей соединения формулы (I) смешивают с 6 вес. частями простого алкилфенолполигликолевого эфира ((R) Тритон Х 207), 3 вес. частями изотридеканолполигликолевого простого эфира (8 этиленоксидных единиц) и 71 вес. частью парафинового минерального масла (область кипения, например, примерно от 255 вплоть до выше 277°С) и размалывают на шаровой мельнице до тонкости помола ниже 5 микрон.
d) Эмульгируемый концентрат получают из 15 вес. частей соединения формулы (I), 75 вес. частей циклогексана в качестве растворителя и 10 вес. частей оксиэтилированного нонилфенола в качестве эмульгатора.
e) Диспергирующийся в воде гранулят получают тем, что смешивают 75 вес. частей соединения формулы (I), 10 вес. частей лигнинсульфоната кальция, 5 вес. частей лаурилсульфата натрия, 3 вес. части поливинилового спирта и 7 вес. частей каолина, размалывают на стержневой мельнице и порошок гранулируют в псевдоожиженном слое путем увлажнения водой в качестве жидкости гранулирования.
f) Диспергирующийся в воде гранулят также получают тем, что 25 вес.частей соединения формулы (I), 5 вес. частей 2,2′-динафтилметан-6,6′-дисульфоната натрия, 2 вес. части олеоилметилтаурата натрия, 1 вес. часть поливинилового спирта, 17 вес. частей карбоната кальция и 50 вес. частей воды гомогенизируют и предварительно размельчают на коллоидной мельнице, затем размалывают на бисерной мельнице и таким образом полученную суспензию распыляют в башне для распылительной сушки с помощью жиклера с одним отверстием и высушивают.
g) Получаемый путем экструдирования гранулят получают тем, что 20 вес. частей биологически активного вещества, 3 вес. части лигнинсульфоната натрия, 1 вес. часть карбоксиметилцеллюлозы и 76 вес. частей каолина смешивают, размалывают и увлажняют водой. Эту смесь экструдируют и затем высушивают в токе воздуха.
С. БИОЛОГИЧЕСКИЕ ПРИМЕРЫ
Повреждение сорняков, соответственно, совместимость с культурными растениями оценивают согласно ключу, в котором эффективность выражается числовыми значениями 0-5. При этом вводятся следующие обозначения:
0 = без действия, соответственно, повреждения,
1 = 0-20% действия, соответственно, повреждения,
2 = 20-40% действия, соответственно, повреждения,
3 = 40-60% действия, соответственно, повреждения,
4 = 60-80% действия, соответственно, повреждения,
5 = 80-100% действия, соответственно, повреждения.
1. Воздействие на сорняки по довсходовому способу
Семена, соответственно, куски корневищ одно- и двудольных сорняков помещают в пластмассовые горшки в песчаный суглинок и покрывают землей. Сформулированные в виде смачивающихся порошков или эмульгируемых концентратов, предлагаемые в изобретении соединения затем в виде водных суспензий, соответственно, эмульсий, при норме расхода воды в пересчете 600-800 л/га, в различных дозировках наносят на поверхность покрывной земли. После обработки горшки помещают в теплицу и выдерживают при хороших условиях роста для сорняков. Визуальную оценку повреждений растений, соответственно, всходов осуществляют после прорастания опытных растений спустя время опыта 3-4 недели по сравнению с необработанным контролем. Как показывают оценочные значения в таблице 7, предлагаемые согласно изобретению соединения обладают хорошей гербицидной довсходовой эффективностью против широкого спектра сорных трав и сорняков.
| Таблица 7 |
| Довсходовое действие |
| Биологически активное вещество таблица/пример |
Доза активного вещества на 1 га |
Гербицидное действие |
| STME |
CRSE |
SIAL |
LOMU |
ECCR |
AVSA |
| 5/1 |
0,3 |
5 |
5 |
4 |
3 |
3 |
3 |
| 3/1 |
0,3 |
5 |
5 |
5 |
5 |
5 |
4 |
| Сокращения: |
| STME = Stellaria media; |
| CRSE = Chrysanthemum segetum; |
| SIAL = Sinapis alba; |
| LOMU = Lolium multiflorum; |
| ECCR = Echinochloa crus-galli; |
| AVSA = Avena sativa. |
Сравнимые хорошие эффективности, как правило, также имеются в случае других соединений из таблиц 2-7.
2. Воздействие на сорняки по послевсходовому способу
Семена, соответственно, куски корневищ одно- и двудольных сорняков помещают в пластмассовые горшки в песчаный суглинок, покрывают землей и выращивают в теплице при хороших условиях роста. Спустя 3 недели после посева опытные растения обрабатывают в стадии трех листьев. Сформулированные в виде смачивающихся порошков, соответственно, в виде эмульгируемых концентратов, предлагаемые в изобретении соединения наносят путем опрыскивания на зеленые части растений в различных дозировках, при норме расхода воды в пересчете 600-800 л/га и спустя примерно 3-4 недели времени выдерживания опытных растений в теплице при оптимальных условиях роста визуально оценивают действие препаратов по сравнению с необработанными контрольными растениями. Предлагаемые в изобретении средства также при нанесении по послевсходовому способу проявляют хорошую гербицидную эффективность против широкого спектра хозяйственно важных сорных трав и сорняков (таблица 8).
| Таблица 8 |
| Послевсходовое действие |
| Биологически активное вещество таблица/пример |
Доза активного вещества на 1 га |
Гербицидное действие |
| STME |
CRSE |
SIAL |
LOMU |
ECCR |
AVSA |
| 3/1 |
0,3 |
5 |
5 |
5 |
5 |
5 |
2 |
| Сокращения: |
| STME = Stellaria media; |
| CRSE = Chrysanthemum segetum; |
| SIAL = Sinapis alba; |
| LOMU = Lolium multiflorum; |
| ECCR = Echinochloa crus-galli; |
| AVSA = Avena sativa. |
Сравнимые хорошие эффективности, как правило, также имеются у других соединений из таблиц 2-7. По сравнению с соединениями из европейского патента А-7687 или патента США А-4566989 предлагаемые согласно изобретению соединения формулы (I) обладают гораздо более высокими эффективностями в случае проблемных сорняков, как Galium aparine или Echinochloa crus-galli.
3. Совместимость с культурными растениями
В дальнейших опытах в теплице семена большого числа культурных растений и сорняков помещают в песчаный суглинок и покрывают землей. Часть горшков обрабатывают тотчас, как описано в п.1, остальные оставляют в теплице до тех пор, пока растения не разовьют два-три собственных листа, и затем опрыскивают предлагаемыми согласно изобретению веществами в различных дозировках, как описано в п.2. Спустя 4-5 недель после нанесения и времени выдерживания в теплице путем визуальной оценки устанавливают, что предлагаемые в изобретении соединения в до- и послевсходовом способах даже при высоких нормах расхода биологически активных веществ не повреждают двусемядольные культуры, как, например, соя, хлопок, рапс, сахарная свекла и картофель. Некоторые вещества, сверх того, также щадят зерновые культуры, как, например, ячмень, пшеница, рожь, сорго-просо, кукуруза или рис. Предлагаемые согласно изобретению соединения, таким образом, обладают высокой селективностью при применении для борьбы с нежелательным ростом растений в сельскохозяйственных культурах. По сравнению с соединением из патента США А-4566898 (см. соединение формулы (3)) или соединением из европейского патента А-0291851 (пример 80) соединения согласно изобретению формулы (I) проявляют намного более высокую селективность, в особенности, при борьбе с проблемными сорняками, как Galium aparine или Echinochloa crus-galli, в культурах полезных растений.
4. Гербицидное действие при применении в рисе
Клубни и корневища, соответственно, молодые растения или семена различных рисовых сорняков, как виды Cyperus, Eleocharis и Echinochloa, помещают, соответственно, высаживают, в закрытые пластмассовые горшки в специальную почву для риса и покрывают водой вплоть до высоты на 1 см выше почвы. Точно также поступают с рисовыми растениями.
В довсходовом способе, т.е. спустя 3-4 дня после пересадки, предлагаемые согласно изобретению соединения в виде водных суспензий или эмульсий выливают в покрывную воду или в виде гранулятов рассыпают в воде. Смотря по обстоятельствам, спустя 3 недели визуально оценивают гербицидное действие и возможное повреждающее действие. Результаты показывают, что предлагаемые согласно изобретению соединения пригодны для селективной борьбы с сорняками в рисе.
Соединения отличаются тем, что с их помощью эффективно борются с многочисленными, в особенности с которыми трудно бороться, сорняками, которые вырастают из перманентных органов, и при этом толерантны для риса.
5. Соединения V1.1, V1.2, V2, V3, V4.1, V4.2, V5, V6, V7, V8.1, V8.2, V9.1, V9.2 и Е1-Е9, приведенные в таблице А, были испытаны с целью сравнения их гербицидных свойств в отношении некоторых сорняков при различных применяемых дозах при довсходовом и послевсходовом применениях этих соединений, а также с целью оценки их фитотоксического действия на некоторые зерновые культуры. Результаты представлены в нижеприведенных таблицах 9-18.
| Таблица А |
| Испытываемые соединения формулы (1) |
 |
| Соединение |
X |
R |
R2 |
R3 |
Z |
Ссылка |
| V1.1 |
3-Cl |
СН3 |
ОСН3 |
ОСН3 |
CH |
US-A-5104441, пример 54 |
| V1.2 |
3-F |
СН3 |
ОСН3 |
ОСН3 |
CH |
US-A-5104441, пример 67 |
| E1 |
3-I |
СН3 |
ОСН3 |
ОСН3 |
CH |
Изобретение, таблица 2, пример 1 |
| V2 |
3-Cl |
СН3 |
ОСН3 |
СН3 |
CH |
US-A-5104441, пример 80 |
| E2 |
3-I |
СН3 |
ОСН3 |
СН3 |
CH |
Изобретение, таблица 2, пример 5 |
| V3 |
3-Cl |
СН3 |
ОСН3 |
СН3 |
N |
US-A-5104441, пример 106, аналог |
| E3 |
3-I |
СН3 |
ОСН3 |
СН3 |
N |
Изобретение, таблица 2, пример 7 |
| V4.1 |
5-Cl |
СН3 |
ОСН3 |
ОСН3 |
СН |
US-A-4383113, таблица 1, пример 3 |
| V4.2 |
5-Br |
СН3 |
ОСН3 |
ОСН3 |
СН |
US-A-4383113 |
| E4 |
5-I |
СН3 |
ОСН3 |
ОСН3 |
СН |
Изобретение, таблица 3, пример 1 |
| V5 |
5-Cl |
Изо-Pr |
ОСН3 |
ОСН3 |
СН |
US-A-4383113, кол.39/40, пример 8 |
| Е5 |
5-I |
Изо-Pr |
ОСН3 |
ОСН3 |
СН |
Изобретение, таблица 3, пример 112 |
| V6 |
Натриевая соль V5 |
Соль описана в US-A-383113 |
| E6 |
Натриевая соль Е5 |
Изобретение |
| V7 |
5-Cl |
Изо-Pr |
ОСН3 |
СН3 |
N |
US-A-4383113 |
| E7 |
5-I |
Изо-Pr |
ОСН3 |
СН3 |
N |
Изобретение, таблица 3, пример 118 |
| V8.1 |
5-Cl |
СН3 |
ОСН3 |
СН3 |
N |
US-A-4383113 |
| V8.2 |
5-Br |
СН3 |
ОСН3 |
СН3 |
N |
US-A-4383113 |
| E8 |
5-I |
СН3 |
ОСН3 |
СН3 |
N |
Изобретение, таблица 3, пример 7 |
| V9.1 |
Натриевая соль V8.1 |
Соль описана в US-A-4383113 |
| V9.2 |
Натриевая соль V8.2 |
Соль описана в US-A-4383113 |
| E9 |
Натриевая соль E8 |
Изобретение |
Пояснения к сокращениям, используемым в таблице А:
Изобретение = Российская заявка №93053940 (выделена из РСТ/ЕР 92/00304),
Изо-Pr = изопропил,
Пример = пример или соединение.
УСЛОВИЯ ИСПЫТАНИЯ И ГЕРБИЦИДНАЯ АКТИВНОСТЬ
1. Действие в отношении сорняков при использовании довсходового метода
Семена или части корневища одно- или двудольных сорняковых растений выкладывали в песчано-суглинистую почву в пластиковых горшках, покрывали почвой и выращивали в теплице в хороших для роста растений условиях. Примерно через три недели после высаживания, в стадии появления третьего листа, испытываемые растения обрабатывали соединениями, указанными в таблице А. Получали композиции соединений в форме смачиваемого порошка, который суспендировали в воде и разбрызгивали при различных дозах на зеленые части растений при норме расхода водного состава 600 л/га. После обработки горшки помещали в теплицу и выдерживали при оптимальных для роста условиях в течение 4 недель. Затем визуально оценивали гербицидное действие соединений в сравнении с необработанными контрольными растениями; см. раздел 4 ниже.
3. Селективность или фитотоксическое действие в отношении зерновых культур
Фитотоксическое действие в отношении зерновых культур оценивали таким же способом, как и гербицидное действие в отношении сорных растений в довсходовой и послевсходовой стадиях, соответственно; см. разделы 1, 2 и 4.
4. Оценка гербицидного действия
Повреждение испытываемых растений оценивали по шкале от 0 до 100%, где 0% соответствует уровню роста контрольных растений, а 100% означает полное уничтожение испытываемых растений.
Результаты испытаний представлены в приведенных ниже таблицах 9-18.
Что касается использованных в таблицах сокращений, см. пояснения к таблице 10.
| Таблица 9 |
| Довсходовое действие |
| Соединение |
Доза [кг а.и./га] |
Гербицидное действие (%) в отношении |
| VITR |
АВТН |
GAAP |
LAPU |
| V1.1 |
0,02 |
90 |
70 |
80 |
95 |
| 0,005 |
90 |
60 |
70 |
80 |
| V1.2 |
0,02 |
80 |
70 |
75 |
90 |
| 0,005 |
65 |
60 |
70 |
75 |
| E1 |
0,02 |
100 |
80 |
95 |
95 |
| 0,005 |
100 |
80 |
93 |
95 |
| Таблица 10 |
| Послевсходовое действие |
| Соединение |
Доза [кг а.и./га] |
Гербицидное действие (%) в отношении |
| VITR |
АВТН |
GAAP |
LAPU |
| V2 |
0,08 |
100 |
95 |
90 |
100 |
| 0,02 |
95 |
90 |
80 |
80 |
| 0,005 |
60 |
80 |
70 |
60 |
| E2 |
0,008 |
100 |
100 |
98 |
95 |
| 0,02 |
100 |
95 |
95 |
95 |
| 0,005 |
100 |
85 |
75 |
90 |
| Таблица 11 |
| Довсходовое действие |
| Соединение |
Доза [кг а.и./га] |
Гербицидное действие (%) в отношении |
| VITR |
АВТН |
LAPO |
POPS |
VEPE |
| V3 |
0,08 |
85 |
55 |
80 |
80 |
100 |
| 0,02 |
85 |
50 |
75 |
70 |
95 |
| 0,005 |
80 |
55 |
75 |
50 |
85 |
| Е3 |
0,08 |
98 |
95 |
95 |
100 |
100 |
| 0,02 |
95 |
90 |
90 |
100 |
98 |
| 0,005 |
95 |
60 |
80 |
100 |
95 |
| Таблица 12 |
| Послевсходовое действие в отношении сорняков и селективность в отношении кукурузы |
| Соединение |
Доза [кг а.и./га] |
Гербицидное действие (%) в отношении |
| АВТН |
GAAP |
ALMY |
POPS |
ZEMV |
| V4.1 |
0,08 |
95 |
80 |
100 |
90 |
30 |
| 0,02 |
90 |
70 |
90 |
70 |
20 |
| 0,005 |
80 |
40 |
70 |
50 |
10 |
| V4.2 |
0,08 |
75 |
70 |
99 |
– |
50 |
| 0,02 |
60 |
60 |
75 |
– |
35 |
| 0,005 |
50 |
35 |
20 |
– |
15 |
| Е4 |
0,08 |
98 |
98 |
98 |
98 |
30 |
| 0,02 |
95 |
95 |
98 |
95 |
20 |
| 0,005 |
90 |
80 |
95 |
90 |
10 |
| Таблица 13 |
| Довсходовое действие |
| Соединение |
Доза [кг а.и./га] |
Гербицидное действие (%) в отношении |
| АВТН |
GAAP |
LAPU |
VEPE |
VITR |
| V5 |
0,08 |
95 |
95 |
95 |
98 |
98 |
| 0,02 |
90 |
90 |
90 |
95 |
95 |
| 0,005 |
80 |
80 |
90 |
90 |
95 |
| Е5 |
0,08 |
98 |
95 |
100 |
100 |
100 |
| 0,02 |
95 |
95 |
100 |
98 |
100 |
| 0,005 |
90 |
90 |
100 |
95 |
100 |
| Таблица 14 |
| Довсходовое действие |
| Соединение |
Доза [кг а.и./га] |
Гербицидное действие (%) в отношении |
| VEPE |
VITR |
LAPU |
GAAP |
| V6 |
0,08 |
50 |
90 |
90 |
90 |
| 0,02 |
40 |
80 |
80 |
80 |
| 0,005 |
35 |
70 |
70 |
60 |
| E6 |
0,008 |
100 |
98 |
95 |
95 |
| 0,02 |
95 |
98 |
95 |
90 |
| 0,005 |
90 |
95 |
70 |
80 |
| Таблица 15 |
| Послевсходовое действие в отношении сорняков и селективность в отношении пшеницы |
| Соединение |
Доза [кг а.и./га] |
Гербицидное действие (%) в отношении |
| АВТН |
GAAP |
LAPU |
VEPE |
VITR |
| V7 |
0,08 |
96 |
98 |
60 |
65 |
40 |
| 0,02 |
40 |
75 |
50 |
90 |
30 |
| 0,005 |
20 |
40 |
30 |
50 |
20 |
| Е7 |
0,08 |
90 |
90 |
98 |
95 |
30 |
| 0,02 |
80 |
80 |
98 |
90 |
20 |
| 0,005 |
70 |
70 |
85 |
80 |
10 |
| Таблица 16 |
| Послевсходовое действие в отношении сорняков и селективность в отношении пшеницы |
| Соединение |
Доза [кг а.и./га] |
Гербицидное действие (%) в отношении |
| GAAP |
LAPU |
VITR |
АВТН |
TRAE |
| V8.1 |
0,08 |
80 |
100 |
100 |
80 |
70 |
| 0,02 |
70 |
98 |
100 |
70 |
60 |
| 0,005 |
60 |
95 |
98 |
60 |
50 |
| V8.2 |
0,08 |
98 |
99 |
100 |
70 |
40 |
| 0,02 |
96 |
99 |
100 |
65 |
10 |
| 0,005 |
80 |
85 |
80 |
50 |
5 |
| Е8 |
0,08 |
98 |
100 |
100 |
95 |
40 |
| 0,02 |
95 |
100 |
100 |
95 |
20 |
| 0,005 |
90 |
100 |
100 |
90 |
10 |
| Таблица 17 |
| Послевсходовое действие в отношении сорняков и селективность в отношении пшеницы |
| Соединение |
Доза [кг а.и./га] |
Гербицидное действие (%) в отношении |
| AMRE |
SISP |
POAN |
TRAE |
| V9.1 |
0,08 |
100 |
95 |
100 |
95 |
| 0,02 |
99 |
90 |
100 |
70 |
| 0,005 |
98 |
80 |
70 |
40 |
| Е9 |
0,08 |
100 |
95 |
100 |
40 |
| 0,02 |
100 |
95 |
100 |
30 |
| 0,005 |
100 |
90 |
93 |
20 |
| Таблица 18 |
| Послевсходовое действие в отношении сорняков |
| Соединение |
Доза [кг а.и./ га] |
Гербицидное действие (%) в отношении |
| AMRE |
MAIN |
GAAP |
CYES |
AVFA |
SEPU |
POAN |
LOMU |
| V9.2 |
0,08 |
99 |
100 |
99 |
70 |
94 |
40 |
98 |
100 |
| 0,02 |
99 |
99 |
90 |
60 |
35 |
40 |
85 |
90 |
| 0,005 |
98 |
60 |
90 |
20 |
15 |
30 |
30 |
20 |
| Е9 |
0,08 |
100 |
100 |
99 |
100 |
100 |
90 |
100 |
100 |
| 0,02 |
100 |
100 |
98 |
93 |
100 |
80 |
100 |
100 |
| 0,005 |
100 |
100 |
97 |
75 |
92 |
45 |
93 |
100 |
Сокращения в таблицах 9-18:
Соединение = соединение, указанное номером в соответствии с таблицей А,
а.и. = активный ингредиент (= количество в расчете на 100% активного ингредиента),
– = не испытывали.
Сокращенные названия сорняковых растений:
АВТН = Abutilon theophtasti;
ALMY = Alopecurus myosuroides;
AMRE = Amaranthus retroflexus;
AVFA = Avena fatua;
CYES = Cyperus esculentus;
GAAP = Galium aparine;
LAPU = Lamium purpureum;
LOMU = Lolium multiflorum;
MAIN = Matricaria inodora;
POAN = Poa annua;
POPS = Polygonum persicaria;
SEPU = Setaria pumila SISP = Sida spinosa;
VEPE = Veronica persica VITR = Viola tricolor.
Сокращенные названия зерновых культур:
TRAE = Triticum aestivum (мягкая пшеница);
ZEMV = Zea mays (кукуруза).
Из представленных данных (см. таблицы 9-18) видно, что соединения Е1-Е9 согласно российской патентной заявке №93053940 (выделена из РСТ/ЕР 92/00304) (изобретение) неожиданно демонстрируют более высокую гербицидную активность по сравнению с ближайшими структурными аналогами – соединениями V1, V2, V3, V4.1, V4.2, V5, V6, V7, V8.1, V8.2, V9.1 и V9.2 соответственно, при до- и послевсходовом применениях в отношении широкого ряда проблемных однодольных и двудольных сорняков. Во многих случаях применение соединений согласно изобретению обеспечивает лучшее гербицидное действие в отношении сорняков при примерно одинаковом, или даже более низком, уровне побочных эффектов в отношении зерновых культур, таких как пшеница и кукуруза.
Соединения иодфенилсульфонилмочевины согласно изобретению, таким образом, лучше подходят в качестве гербицидов для борьбы со многими видами сорняков в важных зерновых культурах. Лучшие результаты были получены при структурном изменении благодаря замещению в фенильном кольце фенилсульфонилмочевинных гербицидных соединений фтора, хлора или брома атомом иода.
Указанные выше преимущества соединений согласно изобретению являются удивительными и неожиданными, особенно с учетом того, что указанные выше заместители относятся к одной и той же химической группе, т.е. являются галогенами.
Формула изобретения
1. Арилсульфонилмочевины формулы (I) и их соли

где Q обозначает атом кислорода,
Y обозначает СН или N,
Z обозначает атом азота,
R обозначает водород, (С1-С12)-алкил или (С2-С10)-алкенил,
R1 обозначает водород или (С1-С3)-алкил,
R2 обозначает водород, галоген, (С1-С3)-алкил или (С1-С3)-алкокси, причем оба указанных последними остатка незамещены или одно- или многократно замещены галогеном или (С1-С3)-алкокси,
R3 обозначает водород, галоген или (С1-С3)-алкил, (С1-С3)-алкокси или (С1-С4)-алкилтио, причем указанные алкилсодержащие остатки незамещены или одно- или многократно замещены галогеном или одно- или двукратно замещены (С1-С3)-алкокси или (С1-С3)-алкилтио, или обозначает NR5R6, и
R5 и R6 независимо друг от друга обозначают водород или (C1-C4)-алкил.
2. Соединения формулы (I) по п.1 и их соли, где R обозначает водород или (С1-С4)-алкил.
3. Соединения формулы (I) по п.1 или 2 и их соли, где R2 обозначает (С1-С3)-алкил или (С1-С3)-алкокси, причем оба указанных остатка незамещены или одно- или многократно замещены галогеном или (C1-С3)-алкокси, и
R3 обозначает галоген, (С1-С3)-алкил, (С1-С3)-алкокси, причем оба указанных последними остатка незамещены или одно- или многократно замещены галогеном или одно- или двукратно замещены (С1-С3)-алкокси или (C1-С3)-алкилтио, или обозначает метиламино.
4. Соединения формулы (I) по пп.1-3 и их соли, где
R обозначает водород, метил, этил, н-пропил или изопропил,
Р1 обозначает водород или метил,
R2 обозначает метокси, OCF2H или метил, и
R3 обозначает метокси, OCF2H, метил или хлор.
5. Соединения формулы (I) по п.1 и их соли, выбранные из группы, состоящей из
этил-2-[[[(4-метокси-6-метил-1,3,5-триазин-2-ил)-амино]-карбонил]-амино]-сульфонил]-4-иодобензоата или его натриевой соли,
метил-2-[[[(4-метокси-6-метил-1,3,5-триазин-2-ил)-амино]-карбонил]-амино]-сульфонил]-4-иодобензоата или его натриевой соли,
этил-2-[[[(4-метокси-6-метил-1,3,5-триазин-2-ил)-амино]-карбонил]-амино]-сульфонил]-6-иодобензоата или его натриевой соли,
метил-2-[[[(4-метокси-6-метил-1,3,5-триазин-2-ил)-амино]-карбонил]-амино]-сульфонил]-6-иодобензоата или его натриевой соли.
6. Соединения формулы (I) по п.1 и их соли, выбранные из группы, состоящей из
метил 2-[[[(4,6-диметокси-2-пиримидинил)-амино]-карбонил]-амино]-сульфонил]-6-иодобензоата или его натриевой соли, изопропил 2-[[[(4,6-диметокси-2-пиримидинил)-амино]-карбонил]-амино]-сульфонил]-6-иодобензоата или его натриевой соли, метил 2-[[[(4,6-диметокси-2-пиримидинил)-амино]-карбонил]-амино]-сульфонил]-4-иодобензоата или его натриевой соли, изопропил 2-[[[(4,6-диметокси-2-пиримидинил)-амино]-карбонил]-амино]-сульфонил]-4-иодобензоата или его натриевой соли, метил 3-[[[(4,6-диметокси-2-пиримидинил)-амино]-карбонил]-амино]-сульфонил]-2-иодобензоата или его натриевой соли, и этил 3-[[[(4,6-диметокси-2-пиримидинил)-амино]-карбонил]-амино]-сульфонил]-2-иодобензоата или его натриевой соли.
7. Соединения формулы (I) по п.1 и их соли, выбранные из группы, состоящей из
метил 2-[[[(4-метокси-6-метил-1,3,5-триазин-2-ил)-амино]-карбонил]-амино]-сульфонил]-4-иодобензоата или его натриевой соли.
8. Способ получения арилсульфонилмочевин формулы (I) по п.1 или их солей, отличающийся тем, что соединение формулы (II)

вводят во взаимодействие с гетероциклическим карбаматом формулы (III)

где R1 обозначает фенил или алкил, и
где Q, R, R1, R2 и R3 в формуле (II) или (III) соответственно имеют значения, определенные в формуле (I).
9. Способ получения арилсульфонилмочевин формулы (I) по п.1 или их солей, отличающийся тем, что сульфонилизоцианат формулы (VI)

вводят во взаимодействие с аминогетероциклом формулы (V)

где Q, R, R1, R2 и R3 в формуле (VI) или (V) соответственно имеют значения, определенные в формуле (I).
10. Гербицидная композиция, содержащая от 0,0001 до 99 вес.% гербицидно активного соединения формулы (I) или его соли по любому из пп.1-7 и от 99,999 до 1 вес.% обычных вспомогательных средств.
11. Способ селективной борьбы с вредными растениями, отличающийся тем, что гербицидно эффективное количество от 0,001 до 10 кг/га соединения формулы (I) или его соли по любому из пп.1-7 наносят на растения, семена растений или их посевную площадь.
12. Соединение (промежуточное) формулы (II)

где Q обозначает атом кислорода и
R обозначает водород, (С1-С12)-алкил или (С2-С10)-алкенил.
13. Соединение (промежуточное) формулы (VI)

где Q обозначает атом кислорода и
R обозначает водород, (С1-С12)-алкил или (С2-С10)-алкенил.
14. Способ получения соединений формулы (II) по п.12, отличающийся тем, что галоидангидрид сульфокислоты формулы

где Q и R имеют указанные для формулы (II) значения и Hal обозначает фтор, хлор, бром или иод, вводят во взаимодействие с аммиаком или третбутиламином с последующим отщеплением защитной группы с помощью трифторуксусной кислоты.
ND4A – Продление срока действия патента Российской Федерации на изобретение
Дата, до которой продлен срок действия: 02.04.2015
(пп. 1-5, 7 и 10)
Извещение опубликовано: 20.10.2008 БИ: 29/2008
|