|
|
(21), (22) Заявка: 2005104954/04, 22.08.2003
(24) Дата начала отсчета срока действия патента:
22.08.2003
(30) Конвенционный приоритет:
23.08.2002 (пп.1-6) US 60/405,526
(43) Дата публикации заявки: 20.07.2005
(46) Опубликовано: 10.01.2008
(56) Список документов, цитированных в отчете о поиске:
WO 02/22562 A1, 21.03.2002. RU 2130014 C1, 10.05.1999. WO 95/25717 A1, 28.09.1995.
(85) Дата перевода заявки PCT на национальную фазу:
22.02.2005
(86) Заявка PCT:
US 03/26347 (22.08.2003)
(87) Публикация PCT:
WO 2004/018412 (04.03.2004)
Адрес для переписки:
129010, Москва, ул. Б.Спасская, 25, стр.3, ООО “Юридическая фирма Городисский и Партнеры”, пат.пов. Е.Е.Назиной, рег. № 517
|
(72) Автор(ы):
ХЭЛЛИНЭН Энн Э. (US)
(73) Патентообладатель(и):
ФАРМАЦИЯ КОРПОРЕЙШН (US)
|
(54) КРИСТАЛЛИЧЕСКАЯ ТВЕРДАЯ ФОРМА 1,5 ГИДРОХЛОРИДА (2S,5Z)-2-АМИНО-7-(ЭТАНИМИДОИЛАМИНО)-2-МЕТИЛГЕПТ-5-ЕНОЕВОЙ КИСЛОТЫ, СПОСОБ ЕЕ ПОЛУЧЕНИЯ, ФАРМАЦЕВТИЧЕСКАЯ КОМПОЗИЦИЯ НА ЕЕ ОСНОВЕ
(57) Реферат:
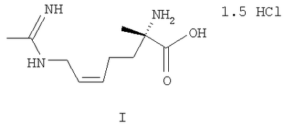
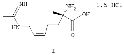
Изобретение относится к 1,5 гидрохлориду (2S,5Z)-2-амино-7-(этанимидоиламино)-2-метилгепт-5-еноевой кислоты формулы (I) в кристаллической форме, его применению настоящего соединения для получения лекарственного средства для профилактики или лечения клинического состояния, при котором показан ингибитор синтазы окиси азота. Изобретение также относится к фармацевтической композиции, обладающей ингибирующей активностью в отношении синтазы окиси азота, содержащей эффективное количество 1,5 гидрохлорида (2S,5Z)-2-амино-7-(этанимидоиламино)-2-метилгепт-5-еноевой кислоты в сочетании с фармацевтически приемлемым носителем. Получение кристаллического 1,5 гидрохлорида (2S,5Z)-2-амино-7-(этанимидоиламино)-2-метилгепт-5-еноевой кислоты включает осуществления стадии (а) получение некристаллической формы (2S,5Z)-2-амино-2-метил-7-[(1-иминоэтил)амино]-5-гептеновой кислоты; и по меньшей мере одной из стадий (b)-(d), а именно, (b) добавления хлористоводородной кислоты до тех пор, пока (2S,5Z)-2-амино-2-метил-7-[(1-иминоэтил)амино]-5-гептеновая кислота не достигнет эквивалента 1,5 HCl; или (с) регулирования концентрации хлористоводородной кислоты подходящим основанием до тех пор, пока (2S,5Z)-2-амино-2-метил-7-[(1-иминоэтил)амино]-5-гептеновая кислота не достигнет эквивалента 1,5 HCl; или (d) удаления других противоионов соли из (2S,5Z)-2-амино-2-метил-7-[(1-иминоэтил)амино]-5-гептеновой кислоты и добавления хлористоводородной кислоты до тех пор, пока (2S,5Z)-2-амино-2-метил-7-[(1-иминоэтил)амино]-5-гептеновая кислота не достигнет эквивалента 1,5 гидрохлорида; и (е) затравливания 1,5 гидрохлорида (2S,5Z)-2-амино-2-метил-7-[(1-иминоэтил)амино]-5-гептеновой кислоты, полученного из кристаллического 1,5 гидрохлорида (2S,5Z)-2-амино-2-метил-7-[(1-иминоэтил)амино]-5-гептеновой кислоты; (f) необязательно, добавления растворителя. Технический результат – кристаллическая соль 1,5 гидрохлорида (2S,5Z)-2-амино-7-(этанимидоиламино)-2-метилгепт-5-еноевой кислоты, ингибирующая или модулирующая синтез окиси азота. 6 н.п. ф-лы, 4 табл., 6 ил.

Область техники, к которой относится изобретение
Данное изобретение включает новое соединение, применяемое при лечении заболеваний, более конкретно, новую соль, гидрохлорид (2S,5Z)-2-амино-7-(этанимидоиламино)-2-метилгепт-5-еноевой кислоты, и ее фармацевтические композиции, для лечения состояний, вызывающих несоответствующую экспрессию окиси азота из индуцируемой изоформы синтазы окиси азота. (2S,5Z)-2-амино-7-(этанимидоиламино)-2-метилгепт-5-еноевая кислота описана и заявлена в принадлежащей настоящему заявителю заявке США №09/953049, поданной 15 сентября 2001, по которой заявлен приоритет на основании предварительной заявки США №60/232683, поданной 15 сентября 2000, обе заявки включены в данное описание в качестве ссылок. (2S,5Z)-2-амино-7-(этанимидоиламино)-2-метилгепт-5-еноевая кислота также описана в международной публикации № WO 02/22562, опубликованной 21 марта 2002, которая является публикацией, принадлежащей настоящему заявителю заявки на международный патент PCT/US01/28673, поданной 15 сентября 2001, которая включена в данное описание в качестве ссылки.
Предпосылки изобретения
Окись азота (NO) является газообразным биоактивным свободным радикалом, вырабатываемым любой из нескольких изоформ фермента синтазы окиси азота (NOS). Физиологическое действие того, что позднее было определено как NO, первоначально было открыто в начале 1980-х, когда было обнаружено, что расслабление сосудов, вызываемое ацетилхолином, зависит от присутствия эндотелия сосудов. Теперь известно, что фактор, производный из эндотелия, названный эндотелий-производным расслабляющим фактором (EDRF), который является промежуточным звеном такого расслабления сосудов, представляет собой NO, которая вырабатывается в эндотелии сосудов одной изоформой NOS. Действие NO как вазодилататора известно уже на протяжении более 100 лет. Кроме того, NO представляет собой активные виды, полученные из известных нитровазодилататоров, включая амилнитрит и глицерилтринитрат. Окись азота также является эндогенным стимулятором растворимой гуанилатциклазы (cGMP) и, таким образом, стимулирует выработку cGMP. При ингибировании NOS N-монометиларгинином (L-NMMA) образование cGMP полностью предотвращается. Кроме эндотелий-зависимого расслабления, известно, что NO вовлечена во множество биологических процессов, включая цитотоксичность фагоцитных клеток и процесс коммуникации клетка-клетка в центральной нервной системе.
Идентификация EDRF как NO совпала с открытием биохимического пути, посредством которого NO синтезируется из аминокислоты L-аргинина с помощью ферментной NO синтазы. Существует, по меньшей мере, три типа NO синтазы:
(iсоставной, а++/кальмодулин-зависимый фермент, расположенный в мозге, который выделяет NO в ответ на стимулирование рецептора или физическое стимулирование;
(ii) независимый от Са++ фермент, 130 кД белок, который индуцируется после активации гладких мышц сосудов, макрофагов, эндотелиальных клеток и множества других клеток посредством эндотоксина и цитокинов; и
(iiiсоставной, а++/кальмодулин-зависимый фермент, локализованный в эндотелии, который выделяет NO в ответ на стимулирование рецептора или физическое стимулирование.
Будучи экспрессированной, индуцируемая синтаза окиси азота (далее обозначенная как «iNOS») вырабатывает NO непрерывно в течение длительного периода. Клинические исследования показали, что продуцирование NO и экспрессия iNOS повышается при множестве хронических воспалительных заболеваний, таких как ревматоидный артрит и остеоартрит (см., например, McInnes I.B. at al., J. Exp. Med. 184:1519 (1996)), воспалительное заболевание толстой кишки (см, например, Lundberg J.O.N. et al., Lancet 344:1673, (1994)) и астма (см, например, Hamid, Q. et al., Lancet 342:1510 (1993)), и iNOS вовлечена в указанные хронические воспалительные заболевания как основной патологический фактор.
Таким образом, похоже, что ингибирование продуцирования NO из iNOS является противовоспалительным. Однако поскольку продуцирование NO из eNOS и nNOS вовлечено в нормальную физиологию, для любого ингибитора NOS, применяемого для лечения воспаления, будет желательно, чтобы он обладал селективностью в отношении iNOS таким образом, чтобы на нормальное физиологическое модулирование кровяного давления eNOS-генерированной NO и не адренергическую, не холинергическую нейронную трансмиссию nNOS-генерированного NO не было оказано влияние.
Для всех фармацевтических соединений и композиций химическая и физическая стабильность лекарственного соединения является важным фактором для коммерческого продвижения такого лекарственного вещества. Указанная стабильность включает стабильность по отношению к условиям окружающей среды, особенно к влаге и условиям хранения. Повышенная стабильность при различных условиях хранения необходима для прогнозирования различных возможных условий хранения во время периода использования коммерческого продукта. Стабильные лекарства не требуют особых условий хранения, а также частой инвентаризации. Компоненты лекарства также должны быть стабильны в процессе производства, который часто требует измельчения лекарства для получения лекарственного средства с одинаковым размером частиц и площадью поверхности. Нестабильные материалы часто претерпевают полиморфные изменения. Поэтому любая модификация лекарственного вещества, которая улучшает профиль стабильности, обеспечивает значительное преимущество над менее стабильными веществами.
Было описано несколько ингибиторов iNOS, таких как, например, (2S,5Z)-2-амино-7-(этанимидоиламино)-2-метилгепт-5-еноевая кислота, которая описана в международной публикации № WO 02/22562, опубликованной 21 марта 2002, которая является публикацией принадлежащей настоящему заявителю заявки на международный патент РСТ/US01/28673, поданной 15 сентября 2001. Это соединение, однако, представляет собой аморфное твердое вещество. Поэтому желательно разработать кристаллическую твердую форму ингибитора iNOS, такого как (2S,5Z)-2-амино-7-(этанимидоиламино)-2-метилгепт-5-еноевая кислота.
Сущность изобретения
Данное изобретение относится к новой кристаллической соли, гидрохлориду (2S,5Z)-2-амино-7-(этанимидоиламино)-2-метилгепт-5-еноевой кислоты, фармацевтическим композициям, способу получения новой соли, способу получения фармацевтических композиций и способам применения указанной новой соли и композиций для ингибирования или модулирования синтеза окиси азота у пациента, нуждающегося в таком ингибировании или модулировании путем введения соли соединения, которое преимущественно ингибирует или модулирует индуцируемую изоформу синтазы окиси азота по отношению к основным изоформам синтазы окиси азота. Данная соль обладает полезным ингибирующим действием в отношении синтазы окиси азота и, предположительно, может быть полезна при лечении или профилактике заболевания или состояния, в которое вовлечен синтез или чрезмерный синтез окиси азота.
Стехиометрически, элементарная ячейка новой соли представляет собой две молекулы (2S,5Z)-2-амино-7-(этанимидоиламино)-2-метилгепт-5-еноевой кислоты и три молекулы хлористоводородной кислоты.
Новая соль характеризуется некоторыми или всеми из представленных ниже физических характеристик: элементарный анализ (такой как органический элементарный анализ), температура плавления и теплота плавления (дифференциальная сканирующая калориметрия и термогравиметрический анализ), коэффициенты преломления (микроскопия в поляризованном свете), порошковая рентгенограмма, сорбция влаги (например, рычажные весы со шкалой, проградуированной в процентах влажности DVS) и характеристики вибрации (спектр Рамана).
Данная новая соль может применяться для лечения заболеваний, вызывающих дегенерацию хрящей, которая имеет место при определенных состояниях, таких как артрит. Следовательно, состояния, в которых имеется преимущество в ингибировании продуцирования NO из L-аргинина, включают состояния артрита, такие как ревматоидный артрит, остеоартрит, подагрический артрит, ювенильный артрит, септический артрит, спондилоартрит, острый ревматоидный артрит, энтеропатический артрит, невропатический артрит и пиогенный артрит. Кроме того, NO-индуцированное подавление дыхания хондроцитов может модулировать потерю матрицы и вторичную минерализацию хрящей при артрите, особенно остеоартрите.
Другие состояния, при которых может применяться соль в соответствии с данным изобретением, включают хроническое или воспалительное заболевание толстой кишки, сердечно-сосудистую ишемию, диабет, застойную сердечную недостаточность, миокардит, атеросклероз, мигрень, глаукому, аневризму аорты, рефлюксный эзофагит, диарею, синдром поврежденной толстой кишки, кистозный фиброз, эмфизему, астму, бронхоэктаз, гиперальгезию, церебральную ишемию, тромботический удар, глобальную ишемию (вторичную по отношению к остановке сердечной деятельности), рассеянный склероз и другие расстройства центральной нервной системы, медиированные NO, например, болезнь Паркинсона и болезнь Альцгеймера. Другие нейродегенеративные заболевания, при которых может быть полезно ингибирование NO, включают дегенерацию нервов и/или некроз нервов в расстройствах, таких как гипоксия, гипогликемия, эпилепсия и при внутренних ранах (таких как повреждения спинного мозга и головы), судороги и токсичность от действия кислорода при повышенном давлении, слабоумие, например, предстарческое слабоумие, и слабоумие вызванное СПИД, хорея Сиденгама, болезнь Хантингтона, болезнь Шарко, болезнь Козакова, имбецильность, связанная с расстройством сосудов мозга, расстройства сна, шизофрения, депрессия, депрессия или другие симптомы, связанные с предменструальным синдромом (ПМС), тревога и септический шок.
Соль в соответствии с данным изобретением также может применяться там, где ингибирование окиси азота может играть важную роль в лечении, например, при лечении боли, включая соматогенную (либо ноцицептивную, либо невропатическую), острую и хроническую. Соединения в соответствии с данным изобретением могут применяться в любых ситуациях, в которых традиционно вводят NSAID или опиоидные аналгетики.
Другие заболевания, которые могут излечиваться ингибированием продуцирования NO посредством введения соли в соответствии с данным изобретением, включают толерантность к опиатам у пациентов, которым необходим длительный прием опиатных аналгетиков, и толерантность к бензодиазепину у пациентов, принимающих бензодиазепины, а также других видов привыкания, например, к никотину, и расстройств питания. Соединения в соответствии с данным изобретением также могут применяться в качестве антибактериальных средств.
Другие состояния, в которых может применяться соль в соответствии с данным изобретением, для ингибирования продуцирования NO из L-аргинина, включают системную гипотензию, связанную с септическим и/или токсическим шоком, вызванным широким спектром агентов; терапию цитокинами, такими как TNF, IL-1 и IL-2; также соль может применяться в качестве адъюванта при краткосрочной иммунодепрессии при терапии при введении трансплантатов.
Соль в соответствии с данным изобретением также может применяться при лечении глазных заболеваний (таких как глазная гипертензия ретинит увеит), системной красной волчанки (СКВ), гломерулонефрита, рестеноза, воспалительных осложнений при вирусных заболеваниях, острого респираторного дистресс-синдрома (ОРДС), вызванных окислителями повреждений легких, при IL2 терапии, такой как лечение пациентов, страдающих раком, кахексией, при лечении иммунодепрессии, таком как терапия при введении трансплантатов, при лечении расстройств моторики желудочно-кишечного тракта, солнечных ожогов, экземы, псориаза, гингивита, панкреатита, повреждения желудочно-кишечного тракта вследствие инфекций, кистозного фиброза, при лечении дисфункций иммунной системы, например, в качестве вспомогательного средства при краткосрочной иммунодепрессии при терапии при введении трансплантатов органов, при лечении возбуждения родовой деятельности, полипозных аденом, для контроля роста опухолей, при химиотерапии, химиопрофилактике и бронхите.
Данное изобретение также относится к фармацевтическим композициям для лечения боли, астмы и других заболеваний дыхательных путей, рака, артрита, глазных болезней, включая ретинопатию и глаукому, заболеваний, связанных с воспалением, включая синдром раздраженной толстой кишки, и других расстройств, при которых играет роль избыточное образование окиси азота, которые содержат эффективное количество кристаллов гидрохлорида (2S,5Z)-2-амино-7-(этанимидоиламино)-2-метилгепт-5-еноевой кислоты вместе с фармацевтически приемлемым носителем, разбавителем или основой.
Кроме применения для лечения человека, форма в соответствии с данным изобретением также может применяться в ветеринарии для лечения домашних животных, экзотических животных и скота, включая млекопитающих, птиц и подобных. Более предпочтительные животные включают лошадей, собак и кошек.
На фиг.1 представлена диаграмма элементарной ячейки 1,5 HCl кристаллической соли 2-амино-7-(этанимидоиламино)-2-метилгепт-5-еноевой кислоты в соответствии с данным изобретением;
на фиг.2 представлен график дифференциальной сканирующей калориметрии 1,5 HCl соли 2-амино-7-(этанимидоиламино)-2-метилгепт-5-еноевой кислоты в соответствии с данным изобретением;
на фиг.3 представлена порошковая рентгенограмма 1,5 HCl соли 2-амино-7-(этанимидоиламино)-2-метилгепт-5-еноевой кислоты;
на фиг.4 представлена рассчитанная порошковая рентгенограмма для единичной кристаллической структуры с наложенной на нее порошковой рентгенограммой 1,5 HCl соли 2-амино-7-(этанимидоиламино)-2-метилгепт-5-еноевой кислоты;
на фиг.5 представлен термогравиметрический график 1,5 HCl соли 2-амино-7-(этанимидоиламино)-2-метилгепт-5-еноевой кислоты в соответствии с данным изобретением;
на фиг.6 представлен спектр по Раману 1,5 HCl соли (2S,5Z)-2-амино-7-(этанимидоиламино)-2-метилгепт-5-еноевой кислоты в соответствии с данным изобретением.
Подробное описание изобретения
1. Определения
Термины «лечить», «лечение» и «излечиваемый» в данном описании включают профилактическое, паллиативное лечение или восстановительное лечение.
Термин «эффективное количество» означает дозу, достаточную для лечения. Эффективное количество может вводиться одной дозой или несколькими дозами в течение периода времени.
Термин «сферолитовый» означает приблизительную форму сферолита.
Термин «сферолит» означает повсеместную форму агрегата кристалла, получаемую у множества различных материалов, отличающуюся радиальным ростом, ведущим к сферической симметрии.
Аббревиатуры
АЦН или, альтернативно, CH3CN означает ацетонитрил
АсОН означает уксусную кислоту
CH2Cl означает метилхлорид
DIBAL означает гидрид диизобутилалюминия
ДМФ означает диметилформамид
Et3N означает триэтиламин
EtOAc означает этилацетат
KHMDS означает гексаметилдисилазид калия
КОН означает гидроксид калия
MeI означает метилйодид
МС означает масс спектр
MsCl означает мезилхлорид
NaHCO3 означает гидрокарбонат натрия (бикарбонат натрия)
Na2SO4 означает сульфат натрия
ТГФ означает тетрагидрофуран
Также в данное изобретение включен класс фармацевтических композиций, включающих кристаллический гидрохлорид (2S,5Z)-2-амино-7-(этанимидоиламино)-2-метилгепт-5-еноевой кислоты в сочетании с одним или несколькими нетоксичными, фармацевтически приемлемыми носителями и/или разбавителями и/или адъювантами (далее вместе обозначены как «носители») и, при желании, другими активными ингредиентами. Кристаллическая форма гидрохлорида (2S,5Z)-2-амино-7-(этанимидоиламино)-2-метилгепт-5-еноевой кислоты в соответствии с данным изобретением может вводиться любым подходящим путем, предпочтительно в виде фармацевтической композиции, адаптированной к такому пути, и в дозе, эффективной для назначенного лечения. Активный гидрохлорид (2S,5Z)-2-амино-7-(этанимидоиламино)-2-метилгепт-5-еноевой кислоты и композиции могут, например, вводиться перорально, внутрисосудисто, внутрибрюшинно, подкожно, внутримышечно или местно.
Для перорального введения фармацевтические композиции могут иметь форму, например, таблеток, капсул, суспензии или жидкости. Фармацевтическую композицию предпочтительно получают в виде дозированной лекарственной формы, содержащей определенное количество активного ингредиента. Примеры таких дозированных лекарственных форм включают таблетки и капсулы. Активный ингредиент также может вводиться инъекциями в виде композиции, в которой, например, физиологический раствор, декстроза или вода могут быть использованы в качестве подходящих носителей.
Количество вводимого терапевтически активного соединения и режим дозирования для лечения болезненного состояния соединением и/или композициями в соответствии с данным изобретением зависит от множества факторов, включая возраст, вес, пол и медицинское состояние пациента, тяжесть заболевания, способ и частоту введения и определенное применяемое соединение, и, таким образом, может значительно варьироваться. Фармацевтические композиции могут содержать активные ингредиенты в интервале от 0,1 до 2000 мг, предпочтительно, в интервале от около 0,5 до 500 мг и, наиболее предпочтительно, от около 1 до 100 мг. Ежедневная доза может составлять от около 0,01 до 100 мг/кг веса тела, предпочтительно, от около 0,5 до около 20 мг/кг веса тела и, наиболее предпочтительно, от около 0,1 до 10 мг/кг веса тела. Ежедневная доза может вводиться от одного до четырех раз в день.
Кристаллический гидрохлорид (2S,5Z)-2-амино-7-(этанимидоиламино)-2-метилгепт-5-еноевой кислоты также может вводиться с помощью чрезкожного устройства. Предпочтительно, местное введение осуществляют с помощью пластыря в виде резервуара и пористой мембраны или в виде различных твердых матриц. В любом случае активный ингредиент доставляется непрерывно из резервуара или микрокапсул через мембрану в проницаемый для активного ингредиента клеевой слой, который находится в контакте с кожей или слизистой пациента. Если активный ингредиент абсорбируется через кожу, пациент получает контролируемое и предопределенное количество активного ингредиента. Если применяются микрокапсулы, в качестве мембраны может применяться инкапсулирующий агент.
Масляная фаза эмульсий в соответствии с данным изобретением может состоять из известных ингредиентов и может быть получена известными способами. Хотя фаза может состоять только из эмульгатора, она также может содержать смесь, по меньшей мере, одного эмульгатора с жиром или маслом, или обоими жиром и маслом. Предпочтительно, гидрофильный эмульгатор содержится вместе с липофильным эмульгатором, который действует в качестве стабилизатора. Также предпочтительно включать и масло и жир. Вместе эмульгатор(ы) с или без стабилизатора(ов) образуют так называемый эмульгирующий воск, и воск вместе с маслом и жиром образует так называемую эмульгирующую мазевую основу, которая образует масляную диспергированную фазу кремовых композиций. Эмульгаторы и стабилизаторы эмульсий, подходящие для применения в композиции в соответствии с данным изобретением, включают Tween 60, Span 80, цетостеариловый спирт, миристиловый спирт, глицерилмоностеарат и лаурилсульфат натрия, среди прочих.
Выбор подходящих масел или жиров для композиций основан на достижении желаемых косметических свойств, поскольку растворимость активного ингредиента в большинстве масел, применяемых в фармацевтических эмульсиях, очень низка. Таким образом, крем, предпочтительно, не должен быть жирным, оставляющим пятна и должен быть легко смываемым продуктом с подходящей консистенцией, позволяющей избежать вытекания из тюбиков или других упаковок. Могут применяться прямые или разветвленные моно- или диосновные сложные эфиры алкила, такие как ди-изоадипат, изоцетилстеарат, пропиленгликоль, сложный диэфир кокосовых жирных кислот, изопропилмиристат, децилолеат, изопропилпальмитат, бутилстеарат, 2-этилгексилпальмитат или смесь сложных эфиров с разветвленной цепью. Они могут применяться отдельно или в сочетании, в зависимости от требуемых свойств. Альтернативно, могут применяться липиды с высокой температурой плавления, такие как белый мягкий парафин и/или жидкий парафин, или другие минеральные масла.
Композиции, подходящие для местного введения в глаза, включают глазные капли, в которых активные ингредиенты растворены или суспендированы в подходящем носителе, особенно в водном растворе для активных ингредиентов. В таких композициях предпочтительно присутствуют противовоспалительные активные ингредиенты в концентрациях от 0,5 до 20%, преимущественно, от 0,5 до 10% и, предпочтительно, около 1,5% мас./мас.
Для терапевтических целей, кристаллический гидрохлорид (2S,5Z)-2-амино-7-(этанимидоиламино)-2-метилгепт-5-еноевой кислоты обычно сочетают с одним или несколькими адъювантами, подходящими для назначенного способа введения. Для перорального введения соединение может быть смешано с лактозой, сахарозой, крахмалом, сложными эфирами целлюлозы с алкановой кислотой, алкилэфирами целлюлозы, тальком, стеариновой кислотой, стеаратом магния, оксидом магния, натриевыми и кальциевыми солями фосфорной и серной кислот, желатином, аравийской камедью, альгинатом натрия, поливинилпирролидоном и/или поливиниловым спиртом, с последующим таблетированием или инкапсулированием для более удобного введения. Такие капсулы или таблетки могут содержать композицию с контролируемым высвобождением, а также могут быть в виде дисперсии активного соединения в гидроксипропилметилцеллюлозе. Композиции для парентерального введения могут быть в виде водных или не водных изотонических стерильных растворов или суспензий для инъекций. Такие растворы и суспензии могут быть получены из стерильных порошков или гранул, включающих один или несколько носителей или разбавителей, показанных для применения в композициях для перорального введения. Кристаллическая форма В может быть растворена в воде, полиэтиленгликоле, пропиленгликоле, этаноле, кукурузном масле, хлопковом масле, арахисовом масле, конопляном масле, бензиловом спирте, хлориде натрия и/или различных буферах. Другие адъюванты и способы введения хорошо и широко известны в области фармацевтики.
Аморфная форма гидрохлорида (2S,5Z)-2-амино-7-(этанимидоиламино)-2-метилгепт-5-еноевой кислоты может быть получена согласно общей схеме, показанной ниже.
Общая схема синтеза

а) КОН, b) MeI, c) TBSCl, d) DIBAL, e) калиевая соль 3-метил-1,2,4-оксадиазолин-5-она, g) AcOH, h) Tf2O, i) KHMDS/(2S,4S)-3-бензоил-2-трет-бутил-4-метил-1,3-оксазолидин-5-он, j) катализатор Линдлара, k) 6N HCl
Пример 1 – Получение дигидрохлорида (2S,5Z)-2-амино-2-метил-7-[(1-иминоэтил)амино]-5-гептеновой кислоты

Дигидрохлорид (2S,5Z)-2-амино-2-метил-7-[(1-иминоэтил)амино]-5-гептеновой кислоты

ЕХ-1А) (Z)-5-трет-бутилдиметилсилокси-2-пентен-1-ол (ЕХ-1А) получают из 5,5-дигидро-2-пирона (Aldrich) методом, описаны в Harold, Mohr and Tamm Helvetica Chimica Acta 66, 2, 1983 744-754.

ЕХ-1В) К раствору ЕХ-1А (720 мг, 3,3 ммоль) в CH2Cl2 (25 мл) добавляют Et3N (525 мг, 5,3 ммоль) и метансульфонилхлорид (561 мг, 4,90 ммоль). Реакционную смесь перемешивают в течение 15 минут при температуре 0°С, затем при комнатной температуре в течение 16 ч. Добавляют еще CH2Cl2, раствор экстрагируют NaHCO3, насыщенным раствором соли, и сушат с получением 790 мг желтого масла. Масло растворяют в ДМФ (20 мл) и добавляют (513 мг, 3,7 ммоль). Полученный раствор перемешивают при температуре 50°С в течение 16 ч. Растворитель удаляют в вакууме и остаток разделяют между EtOAc и насыщенным раствором соли. Органический слой сушат (Na2SO4) и концентрируют с получением масла, которое очищают флэш-хроматографией на колонке с силикагелем, элюируя простым эфиром:гексаном (1:1) с получением 780 мг (79%) желаемого защищенного Z-аллильного циклического амидинового продукта в виде прозрачного масла, которое содержит только желаемый Z-изомер, по данным 1Н ЯМР.

ЕХ-1С) Раствор ЕХ-1В (100 мг, 0,34 ммоль) в смеси уксусной кислоты (1 мл), ТГФ (3 мл) и воды (1 мл) перемешивают при комнатной температуре в течение 16 часов. Полученный раствор концентрируют в вакууме до масла, которое растворяют в EtOAc. Органический слой промывают насыщенным NaHCO3, сушат (Na2SO4), фильтруют и выпаривают с получением 80 мг (колич.) желаемого спиртового продукта в виде прозрачного бесцветного масла.

EX-1D) К раствору ЕХ-1С (80 мг, 0,43 ммоль) в CH2Cl2 (3 мл) добавляют Et3N (44 мг) и трифторуксусный альдегид (146 мг, 0,52 ммоль) при температуре 0°С, смесь перемешивают в течение 1,5 ч. Раствор концентрируют в вакууме. К полученной желтой суспензии добавляют раствор ЕХ-2D (0,15 г, 0,74 ммоль) в CH2Cl2 (1,5 мл). Неочищенный материал очищают флэш-хроматографией на колонке с силикагелем, элюируя EtOAc:гексаном (1:1) с получением 62 мг (44%) желаемого трифторацетатного продукта в виде прозрачного масла.

ЕХ-1Е) К раствору (2S,4S)-3-бензоил-2-трет-бутил-4-метил-1,3-оксазолидин-5-она (ссыл.) (532 мг, 2,04 ммоль) в ТГФ (10 мл) при температуре -78°С добавляют KHMDS (4,48 мл, 2,2 ммоль, 0,5 М в ТГФ). Полученный оранжевый раствор перемешивают в течение 15 мин с последующим добавлением ЕХ-1D (580 мг, 1,8 ммоль). Полученный раствор нагревают до комнатной температуры с последующим добавлением KHSO4 (10%, 1,5 мл), насыщенного раствора соли и EtOAc. Органический слой отделяют, сушат и концентрируют в вакууме с получением 960 мг желтого масла. Неочищенный материал очищают флэш-хроматографией на колонке с силикагелем, элюируя EtOAc:гексаном (1:1) с получением 138 мг (18%) желаемого алкилированного продукта в виде прозрачного масла.

ЕХ-1) К раствору ЕХ-1Е (138 мг, 0,32 ммоль) в метаноле (10 мл) добавляют катализатор Линдлара (260 мг). Перемешиваемую суспензию кипятят с обратным холодильником в течение 2 часов, затем охлаждают до комнатной температуры. Катализатор удаляют фильтрацией через целит и фильтрат упаривают с получением желаемого амидинового продукта со снятой защитой в виде бледно-желтого масла. Раствор желтого масла в HCl (6N, 10 мл) кипятят с обратным холодильником в течение 1,75 часа. Растворитель удаляют в вакууме и полученную пену очищают ВЭЖХ с обратимой фазой, элюируя 30 минутным градиентом 0-40% CH3CN/H2O (0,25% уксусной кислоты). Фракции, содержащие продукт, объединяют и концентрируют до пены. Продукт растворяют в 1N HCl и растворитель удаляют в вакууме (2х) с получением 34 мг (20%) желаемого дигидрохлорида (2S,5Z)-2-амино-2-метил-7-[(1-иминоэтил)амино]-5-гептеновой кислоты. МС рассч. для С10Н19N3O2: m/z = 214 [М+Н]+, найдено: 214. (100%) 1H ЯМР (D2O) 1/40(с, 3Н), 1,5-2,0(м, 4Н), 1,90(с, 3Н), 3,55(м, 2Н), 5,15-5,25(м, винил, 1Н), 5,30-5,45(м, винил, 1Н).
Таблица 1 Анализ Наименование продукта: (2S,5Z)-2-амино-7-(этанимидоиламино)-2-метилгепт-5-еноевая кислота (HCl соль, гидрат) |
| Внешний вид |
бесцветное – мутноватое стекло/смола |
| Идентификация ЖХ-МС |
соответствует (2S,5Z)-2-амино-7-(этанимидоиламино)-2-метилгепт-5-еноевой кислоте по массе 214 (электроспрей+) |
| Исследование ЖХ-МС (с применением УФ) |
>99% – содержит соэлюированный гипервосстановленный гидрохлорид (2S)-2-амино-7-(этанимидоиламино)-2-метилгептановой кислоты |
| Примеси по ЖХ-МС (с применением УФ) |
2,5% гипервосстановленного гидрохлорида (2S)-2-амино-7-(этанимидоиламино)-2-метилгептановой кислоты |
| Единственная посторонняя примесь |
 (по соотношению интегралов МС канала) не определяемая |
| плотность по хиральной ЖХ (с применением УФ) |
соответствует стандарту |
| Исследование по хиральной ЖХ (с применением УФ) |
>99,9% хиральной чистоты (S-изомер) 94,62% химической чистоты (2S,5Z)-2-амино-7-(этанимидоиламино)-2-метилгепт-5-еноевая кислота 1,73% гипервосстановленный гидрохлорид (2S)-2-амино-7-(этанимидоиламино)-2-метилгептановой кислоты |
| Единственная посторонняя примесь по хиральной ЖХ |
не определяется |
| Идентификация по 1Н-ЯМР (D2O) |
соответствует структуре (2S,5Z)-2-амино-7-(этанимидоиламино)-2-метилгепт-5-еноевой кислоты
 |
| Чистота по 1Н-ЯМР (D2O) |
98% химической чистоты (2S,5Z)-2-амино-7-(этанимидоиламино)-2-метилгепт-5-еноевая кислота 1% гипервосстановленные виды гидрохлорида (2S)-2-амино-7-(этанимидоиламино)-2-метилгептановой кислоты
 |
| Примеси по 1Н-ЯМР (D2O) |
1% видов с перескоком связи
 |
| Остаточный TFA (% масс./масс.) |
не определяется (предел количественного анализа 50 ч/млн.) |
| Анализ металлов |
Pb < 1 мг/кг Pd < 2 мг/кг Ni 1,8 мг/кг Fe 18,7 мг/кг |
| Элементарный анализ |
рассч.: С: 35,28, Н: 7,55, N: 12,34, Cl: 26,03 найдено: С: 34,97, Н: 7,41, N: 12,33, Cl: 24,07 -> 2,5 HCl 2 Н2О (Примечание: материал считается гигроскопичным – элементный анализ показал содержание воды во время анализа) |
Пример 2 – Получение кристаллической формы (2S,5Z)-2-амино-7-(этанимидоиламино)-2-метилгепт-5-еноевой кислоты
Кристаллизация
Аморфат (2S,5Z)-2-амино-7-(этанимидоиламино)-2-метилгепт-5-еноевой кислоты с избытком гидрохлорида свободно растворим в воде, метаноле и этаноле и растворим в изопропаноле и различных растворителях, содержащих воду, таких как 10% вода в ТГФ, насыщенный водой этилацетат, 10% вода в ацетонитриле и высшие спирты с водой. Аморфат нерастворим при значительно меньшем, чем 1 мг/мл значении в тестированных сухих растворителях: ацетоне, МЭК, метилизобутилкетоне, ТГФ, этилацетате, хлороформе, метиленхлориде, гексане, циклогексане, диизопропиловом эфире, ацетонитриле и толуоле.
Около 460 мг (2S,5Z)-2-амино-7-(этанимидоиламино)-2-метилгепт-5-еноевой кислоты растворяют в 10 мл воды со степенью чистоты для ВЭЖХ. Амберлит IRA400 ионообменную смолу, которая была превращена из хлорида в гидроксид, применяют для титрования раствора (2S,5Z)-2-амино-7-(этанимидоиламино)-2-метилгепт-5-еноевой кислоты до рН 10,7. Селективный к хлориду электрод показывает снижение хлорида до 200 ч/млн. Этот раствор фильтруют через мембрану Millipore 5 мкм LS и раствор лиофилизируют. Элементарный анализ лиофилизированного твердого вещества, представленный в таблице 2, показывает, что хлорид был снижен до 0,25 эквивалентов, что соответствует 200 ч./млн значению селективного к иону электрода.
Таблица 2 Результаты элементарного анализа: результаты органического элементарного анализа по сравнению с теоретическими; мас.% |
| Элемент |
Теория 0 HCl |
Теория 0,25 HCl |
Измерено (дважды) |
| Углерод |
56,3 |
51,96 |
52,47/52,06 |
| Водород |
8,98 |
8,72 |
8,89/8,96 |
| Азот |
19,7 |
18,18 |
18,16/17,96 |
| Хлор |
0 |
3,83 |
3,98 |
Гидрохлорид (2S,5Z)-2-амино-7-(этанимидоиламино)-2-метилгепт-5-еноевой кислоты растворяют в воде, различных низших спиртах, ТГФ-воде, ацетонитриле-воде и насыщенном водой этилацетате для получения концентрированных растворов. Антирастворители, перечисленные выше, применяют для удаления соли из раствора. Во всех случаях получают на выходе жидкую-жидкую фазу, эмульсии и стекловидный осадок. Паровые диффузоры также применяют в нескольких системах, что дает исключительно эмульсионную фазу на выходе.
Образец гидрохлорида выпаривают на роторном испарителе, растворяют, лиофилизируют и отстаивают в течение от четырех до шести недель в вытяжном шкафу. Этот образец начинает спонтанно изменяться. Микроскопию в поляризованном свете применяют для того, чтобы показать, что имеет место кристаллизация. Практически половина объема образца становится бесцветной и никогда не кристаллизуется, но почти половина кристаллизуется. Некоторое количество материала применяют в качестве затравки во множестве экспериментов по кристаллизации, с различными растворителями, для получения большего количества кристаллического материала из гидрохлорида (2S,5Z)-2-амино-7-(этанимидоиламино)-2-метилгепт-5-еноевой кислоты. Кристаллизация, если она есть, происходит в незначительных масштабах и очень медленно. Кристаллы из каждой партии изучают с помощью микроскопии в поляризованном свете для доказательства полиморфизма. Характерная форма кристаллизации и оптические свойства соответствуют одной форме. Кристаллы из каждой партии являются двухосными, демонстрируют грани с высоким двойным лучепреломлением и грани с низким двойным лучепреломлением n1-n2 < 0,006, где оптические оси возникают из граней с низким двойным лучепреломлением.
Никаких доказательств сольватации при применении сканирующей электронной микроскопии со спектроскопией на основе энергетической дисперсии SEM/EDS или горячей микроскопии в поляризованном свете получено не было. Эвтектический расплав кристаллов; только для обесцвеченной масляной фазы, которая не может быть полностью удалена без одновременного растворения кристаллов; имел место при температуре около 210°С.
Несколько больших кристаллов выделяют из первого образца для структурного определения. Стехиометрию элементарной ячейки определяют как: две независимые молекулы (2S,5Z)-2-амино-7-(этанимидоиламино)-2-метилгепт-5-еноевой кислоты и три HCl. Сольватация не наблюдается. Пространственная группа Р1 (триклиническая) и элементарная ячейка a = 8,1623, b = 9,0524, c = 10,5937, альфа = 71,522, бета = 73,472, гамма = 86,086. Абсолютная конфигурация 2-амино-7-(этанимидоиламино)-2-метилгепт-5-еноевой кислоты подтверждена как «S».
Около 1,5 г (2S,5Z)-2-амино-7-(этанимидоиламино)-2-метилгепт-5-еноевой кислоты, (2,5 HCl х 2,0 Н2О) растворяют в 5,0 мл Н2O и добавляют амберлитовую ОН смолу для титрования до рН 7, что измеряют рН электродом и измерительным прибором. Раствор фильтруют через 5 мкм фильтр LS Millipore и лиофилизируют с получением 903 мг моногидрохлорида. Лиофилизированный материал фактически растворяют в 6,0 мл изопропанола, содержащего 0,38% Н2О с последующим добавлением HCl (150 мкл, 12М) для получения полуторного гидрохлорида. Эту смесь встряхивают и обрабатывают ультразвуком, затем перемешивают в течение ночи при комнатной температуре для обеспечения насыщения и равновесия. Затем добавляют затравочные кристаллы (около 0,1 мг) и перемешивание продолжают. Кристаллизация начинается через несколько минут и является значительной в течение 3 часов. Раствор перемешивают при комнатной температуре в течение 48 часов. Кристаллы собирают фильтрацией, промывают в небольшом объеме изопропанола и сушат в вакууме при температуре 40°С в течение ночи с получением 860 мг, 89% от теоретического, белого твердого вещества.
Понятно, что «затравка» раствора (2S,5Z)-2-амино-7-(этанимидоиламино)-2-метилгепт-5-еноевой кислоты может инициировать или повышать образование ядер в описанных условиях. Кристаллы коммерчески доступны от Pharmacia Corporation, 4901 Searle Parkway, Skokie, Illinois, USA 60077.
Проводят два похожих эксперимента. Несколько сотен миллиграмм (2S,5Z)-2-амино-7-(этанимидоиламино)-2-метилгепт-5-еноевой кислоты растворяют до приблизительно такой же концентрации в изопропаноле, как у лиофилизированного материала из предыдущего эксперимента. Концентрацию гидрохлорида не регулируют. Эту систему засевают и перемешивают при температуре окружающей среды. Кристаллизации не происходит. В следующем эксперименте рН раствора регулируют добавлением концентрированного гидроксида натрия до около рН 3 и засевают. Получают некоторое количество кристаллического продукта, но выход составляет только от около 30 до 40%. Добавление простого эфира повышает выход до почти 90%.
Пример 3 – Характеристика кристаллической соли (2S,5Z)-2-амино-7-(этанимидоиламино)-2-метилгепт-5-еноевой кислоты
Твердая 1,5 HCl соль (2S,5Z)-2-амино-7-(этанимидоиламино)-2-метилгепт-5-еноевой кислоты является кристаллической по данным микроскопии в поляризованном свете, и размер кристаллов составляет порядка одного микрометра. Агломерированные частицы являются сферолитовыми. Элементарный анализ 1,5 HCl соли (2S,5Z)-2-амино-7-(этанимидоиламино)-2-метилгепт-5-еноевой кислоты физическими методами дает результат, очень близкий к теоретическому для 1,5 HCl соли при отсутствии сольватации, см. таблицу 3. Кулонометрический водный анализ по Карлу Фишеру показал 0,6% воды, 0,09 эквивалентов, как среднее из двух измерений.
Таблица 3 Результаты элементарного анализа 1,5 HCl соли 2-амино-7-(этанимидоиламино)-2-метилгепт-5-еноевой кислоты Измерены с помощью органического элементарного анализа по сравнению с теоретическими; мас.% |
| Элемент |
Измерено (дважды) |
Теория 1,5 HCl |
| Углерод |
44,56/44,57 |
44,82 |
| Водород |
7,87/7,93 |
7,71 |
| Азот |
15,58/15,60 |
15,68 |
| Хлор |
19,61/19,68 |
19,85 |
Микроскопия в поляризованном свете 1,5 HCl соли (2S,5Z)-2-амино-7-(этанимидоиламино)-2-метилгепт-5-еноевой кислоты дает коэффициенты преломления nd 1,508, приблизительно 1,59, 1,608, отрицательный оптический знак и 2V около 37 градусов. Сильная дисперсия оптических осей очевидна в интерференционных картинах.
Дифференциальная сканирующая калориметрия (ДСК) показывает плавление при 224°С и теплоту плавления 147 джоулей на грамм-1 (см. фиг.2)
На фиг.3 показана порошковая рентгенограмма 1,5 HCl соли 2-амино-7-(этанимидоиламино)-2-метилгепт-5-еноевой кислоты.
Согласно фиг.4 рассчитана порошковая рентгенограмма для монокристаллической структуры, очень хорошо соответствующей наложенной на нее порошковой рентгенограмме 1,5 HCl соли 2-амино-7-(этанимидоиламино)-2-метилгепт-5-еноевой кислоты, с допусками на разницу температур. Данные для монокристалла собирают при температуре 120К, и данные порошковой рентгенограммы при температуре окружающей среды.
Потеря массы, которая необходима для инициации плавления, не определяется при термогравиметрическом анализе (ТГА) (см. фиг.5). Потеря 0,47% отмечается при плавлении, по данным ТГА.
Кристаллическая 1,5 HCl соль (2S,5Z)-2-амино-7-(этанимидоиламино)-2-метилгепт-5-еноевой кислоты является негигроскопичной при относительной влажности, равной или ниже 70%. Сорбция влаги 1,5 HCl солью (2S,5Z)-2-амино-7-(этанимидоиламино)-2-метилгепт-5-еноевой кислоты при температуре 25°С, согласно рычажным весам со шкалой, проградуированной в процентах влажности DVS, составляет увеличение влажности на 0,91% при относительной влажности (О.В.) 70%. При 80% О.В. увеличение составляет 18,5%, и при 90% О.В. увеличение составляет 76,8%. Инструмент настраивают обратно на низкую относительную влажность и образец удаляют, затем исследуют с помощью микроскопии в поляризованном свете. Образец является полностью кристаллическим после удаления из весов для измерения влажности, но размер кристалла увеличивается. Легко наблюдаемые оптические свойства по PLM позволят предположить, что кристаллическая форма не изменяется, но, по меньшей мере, некоторое количество образца растворяется и перекристаллизовывается при сушке.
В таблице 4 показаны подробные данные, полученные на рычажных весах со шкалой, проградуированной в процентах влажности DVS. Эта соль, 1,5 HCl, не имеет сольватации.
| Таблица 4 |
| Целевая О.В. |
Сорбция |
Десорбция |
Гистерезис |
| Цикл 1 |
0,0 |
0,00 |
13,02 |
|
| 10,0 |
0,10 |
|
|
| 20,0 |
0,16 |
18,93 |
18,77 |
| 30,0 |
0,21 |
|
|
| 40,0 |
0,26 |
22,72 |
22,46 |
| 50,0 |
0,28 |
|
|
| 60,0 |
0,27 |
33,44 |
33,16 |
| 70,0 |
0,91 |
|
|
| 80,0 |
18,48 |
67,59 |
49,10 |
| 85,0 |
46,91 |
|
|
| 90,0 |
76,82 |
76,82 |
|
Белое кристаллическое твердое вещество
т. пл. 253

Белое кристаллическое твердое вещество
т. пл. 229,33

Формула изобретения
1. 1,5 гидрохлорид (2S,5Z)-2-амино-7-(этанимидоиламино)-2-метилгепт-5-еноевой кислоты формулы (I)

2. Кристаллическая форма 1,5 гидрохлорида (2S,5Z)-2-амино-7-(этанимидоиламино)-2-метилгепт-5-еноевой кислоты.
3. Кристаллическая форма 1,5 гидрохлорида (2S,5Z)-2-амино-7-(этанимидоиламино)-2-метилгепт-5-еноевой кислоты, отличающаяся, по крайней мере, одним физическим параметром, выбранным из группы, включающей порошковую рентгенограмму в соответствии с фиг.3, спектр Рамана в соответствии с фиг.6, температуру плавления 224°С и теплоту плавления 147 джоулей грамм-1.
4. Фармацевтическая композиция, обладающая ингибирующей активностью в отношении синтазы окиси азота, содержащая эффективное количество 1,5 гидрохлорида (2S,5Z)-2-амино-7-(этанимидоиламино)-2-метилгепт-5-еноевой кислоты в сочетании с фармацевтически приемлемым носителем.
5. Применение соединения по п.1 для получения лекарственного средства для профилактики или лечения клинического состояния, при котором показан ингибитор синтазы окиси азота.
6. Способ получения кристаллического 1,5 гидрохлорида (2S,5Z)-2-амино-7-(этанимидоиламино)-2-метилгепт-5-еноевой кислоты, включающий стадии
(a) получения некристаллической формы (2S,5Z)-2-амино-2-метил-7-[(1-иминоэтил)амино]-5-гептеновой кислоты и по меньшей мере одну из стадий (b)-(d)
(b) добавления хлористо-водородной кислоты до тех пор, пока (2S,5Z)-2-амино-2-метил-7-[(1-иминоэтил)амино]-5-гептеновая кислота не достигнет эквивалента 1,5 HCl; или
(c) регулирования концентрации хлористо-водородной кислоты подходящим основанием до тех пор, пока (2S,5Z)-2-амино-2-метил-7-[(1-иминоэтил)амино]-5-гептеновая кислота не достигнет эквивалента 1,5 HCl; или
(d) удаления других противоионов соли из (2S,5Z)-2-амино-2-метил-7-[(1-иминоэтил)амино]-5-гептеновой кислоты и добавления хлористо-водородной кислоты до тех пор, пока (2S,5Z)-2-амино-2-метил-7-[(1-иминоэтил)амино]-5-гептеновая кислота не достигнет эквивалента 1,5 гидрохлорида; и
(e) затравливания 1,5 гидрохлорида (2S,5Z)-2-амино-2-метил-7-[(1-иминоэтил)амино]-5-гептеновой кислоты, полученного из кристаллического 1,5 гидрохлорида (2S,5Z)-2-амино-2-метил-7-[(1-иминоэтил)амино]-5-гептеновой кислоты;
(f) необязательно, добавления растворителя.
РИСУНКИ
|
|