Патент на изобретение №2314289
|
||||||||||||||||||||||||||||||||||||||||||||||||||||||||||||||||||||||||||||||||||||||||||||||||||||||||||||||||||||||||||||||||||||
(54) ПРОИЗВОДНЫЕ ФТОРБЕНЗАМИДА И ЛЕКАРСТВЕННОЕ СРЕДСТВО НА ИХ ОСНОВЕ
(57) Реферат:
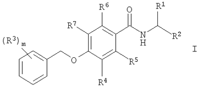
Изобретение относится к соединению общей формулы (I), где R1 означает водород, (С1-С6)алкил или гидрокси(С1-С6)алкил; R2 означает -СО-NR8R9, -(CH2)n-NR8R9, -(CH2)p-OR8 или -(CH2)n-CN; R3 выбирают из водорода, галогена, галоген(С1-С6)алкила; R4, R5, R6 и R7 означают водород или фтор и, как минимум, один из R4, R5, R6 и R7 означает фтор; R8 и R9 независимо друг от друга означают водород или (С1-С6)алкил; m означает 1, 2 или 3; n означает 0, 1, 2 или 3 и р означает 1 или 2, а также к их фармацевтически приемлемым солям. Изобретение также относится к лекарственному средству, обладающему ингибирующей активностью в отношении моноаминооксидазы В, содержащему одно или несколько соединений формулы I в качестве активного компонента и фармацевтически приемлемые наполнители. Технический результат – производные фторбензамида, обладающие ингибирующей активностью в отношении моноаминооксидазы В. 2 н. и 26 з.п. ф-лы, 1 табл.
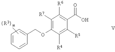
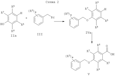
Настоящее изобретение относится к производным фторбензамидов общей формулы где R1 означает водород, (С1-С6)алкил или гидрокси(С1-С6)алкил; R2 означает (С1-С6)алкил, -CO-NR8R9, -(CH2)n-NR8R9, -(CH2)p-OR8 или -(CH2)n-CN; R3 выбирается из водорода, галогена, галоген(С1-С6)алкила, циангруппы, (С1-С6)алкоксигруппы или галоген(С1-С6)алкоксигруппы; R4, R5, R6 и R7 означают водород или фтор и, как минимум, один из R4, R5, R6 и R7 означает фтор; R8 и R9 независимо друг от друга означают водород или (С1-С6)алкил; m означает 1, 2 или 3; n означает 0, 1, 2 или 3 и p означает 1 или 2, а также к их фармацевтически приемлемым солям. Соединения общей формулы I являются селективными ингибиторами моноаминоксидазы В. Моноаминоксидаза (МАО, ЕС 1.4.3.4 /ЕС – Классификация Ферментов/) является флавинсодержащим ферментом, ответственным за окислительное дезаминирование эндогенных нейромедиаторов в виде моноаминов, как, например, допамин, серотонин, адреналин или норадреналин, и аминов в следовых количествах, например фенилэтиламин, а также ряда представляющих амины ксенобиотиков. Фермент существует в двух формах, МАО-А и МАО-В, кодируемых различными генами (A.W.Bach и др., Proc. Natl. Acad. Sci. USA, 1988, 85, 4934-4938) и отличающихся распределением в тканях, структурой и специфичностью к субстрату. МАО-А обладает более высоким сродством к серотонину, октопамину, адреналину и норадреналину, в то время как природными субстратами МАО-В являются фенилэтиламин и тирамин. Полагают, что допамин окисляется обеими изоформами. МАО-В широко распространена в некоторых органах, включая мозг (A.M.Cesura и A.Pletscher, Prog. Drug Research, 1992, 38, 171-297). Показано, что активность МАО-В в мозгу повышается с возрастом. Такое повышение приписали глиозу, связанному со старением (C.J.Fowler и др., J.Neural. Transm., 1980, 49, 1-20). Кроме того, активность МАО-В значительно выше в мозгу больных с болезнью Альцгеймера (Р.Dostert и др., Biochem. Pharmacol., 1989, 38, 555-561), и было найдено, что она высоко экспрессирована в астроцитах вокруг старческих бляшек (Saura и др., Neuroscience, 1994, 70, 755-774). В этом контексте, поскольку окислительное дезаминирование первичных моноаминов с помощью МАО приводит к аммиаку, альдегидам и перекиси водорода, веществам с установленной или потенциальной токсичностью, считают, что имеется основание для использования селективных ингибиторов МАО-В для лечения слабоумия и болезни Паркинсона. Ингибирование МАО-В вызывает уменьшение ферментативного инактивирования допамина и таким образом пролонгирование наличия нейромедиатора в допаминергических нейронах. Дегенеративные процессы, связанные с возрастом и болезнями Альцгеймера и Паркинсона, могут также быть отнесены к окислительной нагрузке вследствие повышенной активности МАО и последующего повышенного образования перекиси водорода с помощью МАО-В. Поэтому ингибиторы МАО-В могут действовать как путем снижения образования кислородных радикалов, так и путем повышения уровней моноаминов в мозгу. Учитывая причастность МАО-В к неврологическим нарушениям, упомянутым выше, имеется существенный интерес в получении сильнодействующих и селективных ингибиторов, которые бы обеспечивали регулирование ферментативной активности. Фармакология некоторых известных ингибиторов МАО-В обсуждается, например, D.Bentue-Ferrer и др. в CNS Drugs, 1996, 6, 217-236. В то время как главным ограничением необратимой и неселективной ингибирующей активности в отношении МАО является необходимость соблюдать меры предосторожности в отношении диеты из-за риска вызвать гипертонический криз, когда с пищей поступает тирамин, а также возможность взаимодействий с другими лекарственными препаратами (D.М.Gardner и др., J.Clin. Psychiatry, 1996, 57, 99-104), такие побочные явления вызывают меньше беспокойства в случае обратимых и селективных ингибиторов МАО, в частности МАО-В. Таким образом, существует необходимость в ингибиторах МАО-В с высокой селективностью и без нежелательных побочных эффектов, типичных для необратимых ингибиторов МАО с низкой селективностью в отношении фермента. Объектом настоящего изобретения является поэтому обеспечение соединений, которые должны обладать полезными свойствами, упомянутыми выше. Было обнаружено, что соединения формулы I по настоящему изобретению проявляют способность быть высоко селективными ингибиторами МАО-В. Предметами настоящего изобретения являются также способ получения соединений формулы I, а также применение соединений формулы I для опосредованных ингибиторами моноаминоксидазы В борьбы с заболеваниями или предупреждения заболеваний и, соответственно, применение таких соединений для приготовления соответствующих лекарственных средств. Следующие определения обычных терминов, используемых в настоящей заявке на патент, применяют независимо от того, упоминаются ли рассматриваемые термины по отдельности или в комбинации. Следует отметить, что, как упоминается в спецификации и прилагаемых пунктах формулы изобретения, формы единственного числа для какого-то неопределенного соединения или для конкретного соединения включают формы множественного числа, если в контексте четко не указано иначе. Термин “(С1-С6)алкил” (“низший алкил”), используемый в настоящей заявке, означает насыщенные углеводородные остатки с прямой или разветвленной цепью, содержащие от 1 до 6 углеродных атомов, предпочтительно от 1 до 4 углеродных атомов, как, например, метил, этил, н-пропил, изопропил, н-бутил, втор-бутил, трет-бутил и им подобные. Термин “галоген” означает фтор, хлор, бром и иод. “Галоген(С1-С6)алкил” или “галоген(С1-С6)алкоксигруппа” означает остаток низшего алкила или (низш.)алкоксильный остаток соответственно, как здесь определено, замещенный по любому положению одним или несколькими атомами галогена, как здесь определено. Примеры галогеналкильных остатков включают, но не ограничиваются этим, 1,2-дифторпропил, трифторметил, 2,2,2-трифторэтил, 2,2,2-трихлорэтил и 1,1,1-трифторпропил и им подобные. “Галогеналкоксигруппа” включает трифторметилоксигруппу. “(С1-С6)алкоксигруппа” означает остаток -O-R, где R означает остаток низшего алкила, как здесь определено. Примеры алкоксильных радикалов включают, но не ограничивают этим, метокси-, этокси-, изопропоксигруппу и им подобные. “Гидрокси(С1-С6)алкил” означает остаток низшего алкила, как здесь определено, замещенный по любому положению одной или несколькими гидроксильными группами. Примером гидроксиалкильного остатка является гидроксиметильная группа. Термин “фармацевтически приемлемые соли” соединения означает соли, которые являются фармацевтически приемлемыми, которые обычно являются безопасными, нетоксичными и не являются нежелательными ни биологически, ни по другим соображениям и которые обладают желаемой фармакологической активностью исходного соединения. Такие соли являются производными неорганической или органической кислоты или основания. Следует иметь в виду, что все ссылки на фармацевтически приемлемые соли включают формы с присоединенным растворителем (сольваты) или кристаллические формы (полиморфы) той же кислотно-аддитивной соли. Среди соединений по настоящему изобретению некоторые соединения формулы I или их фармацевтически приемлемые соли предпочтительны. Соединения формулы I замещаются одним, двумя или тремя R3, выбранными из группы, состоящей из водорода, галогена, галоген(С1-С6)алкила, циангруппы, (С1-С6)-алкоксигруппы или галоген(С1-С6)алкоксигруппы. Предпочтительно R3 выбирают из группы, состоящей из галогена, галоген(С1-С6)алкила, циангруппы, (С1-С6)алкоксигруппы или галоген(С1-С6)алкоксигруппы. Предпочтительными соединениями формулы I являются те, в которых R означает галоген или галоген(С1-С6)алкил. Особенно предпочтительны те соединения формулы I, где R3 означает фтор или трифторметил. Предпочтительными соединениями формулы I являются те, которые замещены одним R3. R2 выбирают из следующих групп: (С1-С6)алкил, -CO-NR8R9, -(СН2)n– NR8R9, -(CH2)p-OR8 или -(CH2)n-CN. Предпочтительны соединения формулы I, где R2 означает -CO-NR8R9, R8 и R9 независимо друг от друга означают водород или (С1-С6)алкил. Особенно предпочтительны те соединения формулы I, где R2 означает -CO-NH2. Соединениями формулы I являются такие, где R4, R5, R6 и R7 являются водородом или фтором и где, как минимум, один из R4, R5, R6 и R7 является фтором. Особенно предпочтительны соединения формулы I, где R5 является фтором и R4, R6 и R7 означают водород. Более предпочтительны соединения формулы I, где R5 означает фтор, R4, R6 и R7 означают водород и где R2 означает -CO-NR8R9, R8 и R9 независимо друг от друга означают водород или (С1-С6)алкил. Еще более предпочтительны соединения формулы I, где R5 означает фтор, R4, R6 и R7 означают водород, R2 означает -CO-NR8R9, R8 и R9 независимо друг от друга означают водород или (С1-С6)алкил и где R3 означает фтор. Далее приводятся примеры таких соединений: (S)-N-(1-карбамоилэтил)-2-фтор-4-(3-фторбензилокси)бензамид, 2-[4-(3-фторбензилокси)-2-фторбензамидо]ацетамид, (S)-N-(1-карбамоил-2-гидроксиэтил)-2-фтор-4-(3-фторбензилокси)бензамид, (R)-N-(1-карбамоилэтил)-2-фтор-4-(3-фторбензилокси)бензамид, 2-[4-(4-фторбензилокси)-2-фторбензамидо]ацетамид и (S)-N-(1-карбамоилэтил)-2-фтор-4-(4-фторбензилокси)бензамид. Также предпочтительны соединения формулы I, где R5 означает фтор, R4, R6 и R7 являются водородом, R2 означает -CO-NR8R9, R8 и R9 независимо друг от друга означают водород или (С1-С6)алкил и где R3 означает трифторметил. Примерами таких соединений являются следующие: (S)-N-(1-карбамоилэтил)-2-фтор-4-(4-трифторметилбензилокси)бензамид и (S)-4-(3,5-бис(трифторметил)бензилокси)-N-(1-карбамоилэтил)-2-фторбензамид. Другая группа предпочтительных соединений формулы I включает такие соединения, где R5 означает фтор, R4, R6 и R7 означают водород и где R2 означает -(CH2)p-OR8, R8 означает водород или (С1-С6)алкил и p является 1 или 2. (S)-2-Фтор-4-(3-фторбензилокси)-N-(2-метокси-1-метилэтил)бензамид, 2-фтор-4-(3-фторбензилокси)-N-(2-метоксиэтил)бензамид и 2-фтор-4-(3-фторбензилокси)-N-(2-гидроксиэтил)бензамид являются примерами таких соединений. Другая группа предпочтительных соединений формулы I включает те соединения, где R5 является фтором, R4, R6 и R7 означают водород и где R2 означает -(CH2)n-NR8R9, R8 и R9 независимо друг от друга означают водород или (С1-С6)алкил и n является 0, 1, 2 или 3. В другую группу предпочтительных соединений формулы I входят такие соединения, где R5 является фтором, R4, R6 и R7 означают водород и где R2 является -(CH2)n-CN и n означает 0, 1, 2 или 3. Также предпочтительны соединения формулы I, где R4 означает фтор и R5, R6 и R7 означают водород. Более предпочтительны соединения формулы I, где R4 означает фтор, R5, R6 и R7 означают водород и где R2 означает -CO-NR8R9, R8 и R9 независимо друг от друга означают водород или (С1-С6)алкил. Особенно предпочтительны те соединения формулы I, где R4 означает фтор, R5, R6 и R7 означают водород, R2 означает -CO-NR8R9, R8 и R9 независимо друг от друга означают водород или (С1-С6)алкил, и где R3 означает фтор. Примерами таких соединений являются следующие: (S)-N-(1-карбамоилэтил)-3-фтор-4-(4-фторбензилокси)бензамид, 2-[4-(4-фторбензилокси)-3-фторбензамидо]ацетамид, (S)-N-(1-карбамоил-2-гидроксиэтил)-3-фтор-4-(4-фторбензилокси)бензамид, 2-[4-(3-фторбензилокси)-3-фторбензамидо]ацетамид, (S)-N-(1-карбамоилэтил)-3-фтор-4-(3-фторбензилокси)бензамид, (R)-N-(1-карбамоилэтил)-3-фтор-4-(3-фторбензилокси)бензамид и (S)-N-(1-карбамоил-2-гидроксиэтил)-3-фтор-4-(3-фторбензилокси)бензамид. Также предпочтительны соединения формулы I, где R4 означает фтор, R5, R6 и R7 означают водород, R2 означает -CO-NR8R9, R8 и R9 независимо друг от друга означают водород или (С1-С6)алкил и где R3 означает трифторметил. Примерами таких соединений являются следующие: 2-[4-(4-трифторметилбензилокси)-3-фторбензамидо]ацетамид и (S)-N-(1-карбамоил-2-гидроксиэтил)-3-фтор-4-(4-трифторметилбензилокси)бензамид. Далее предпочтительны соединения формулы I, где R4 означает фтор, R5, R6 и R7 означают водород и где R2 означает -(CH2)p-OR8, R8 означает водород или (С1-С6)-алкил и p означает 1 или 2. Соединения формулы I, где R4 означает фтор, R5, R6 и R7 означают водород и где R2 означает -(CH2)n-NR8R9, R8 и R9 независимо друг от друга означают водород или (С1-С6)алкил и n означает 0, 1, 2 или 3, также предпочтительны. Далее предпочтительны те соединения формулы I, где R4 означает фтор, R5, R6 и R7 означают водород, где R2 означает -(CH2)n-CN и n означает 0, 1, 2 или 3. Кроме того, также предпочтительны соединения формулы I, где R3 означает водород. Соединения формулы I, где R4 и R5 оба означают фтор и R6 и R7 означают водород, также предпочтительны, например следующие соединения: (S)-N-(1-карбамоилэтил)-2,6-дифтор-4-(4-фторбензилокси)бензамид, N-карбамоилметил-2,6-дифтор-4-(4-фторбензилокси)бензамид, N-цианметил-2,6-дифтор-4-(4-фторбензилокси)бензамид, 2,6-дифтор-4-(4-фторбензилокси)-N-(2-метоксиэтил)бензамид, (S)-2,6-дифтор-4-(4-фторбензилокси)-N-(2-гидрокси-1-метилэтил)бензамид и 2,6-дифтор-4-(3-фторбензилокси)-N-(2-метоксиэтил)бензамид. Соединения общей формулы I и их фармацевтически приемлемые соли могут быть получены при реакции соединения формулы
с соединением формулы
с целью получения соединения формулы
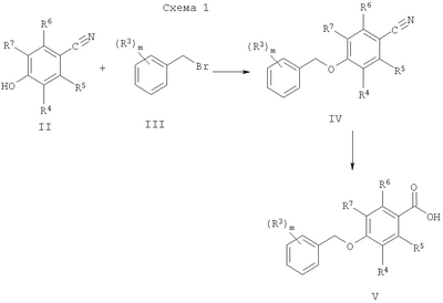
которое превращают в соединение формулы и обрабатывают соединением формулы
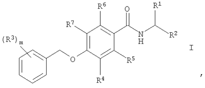
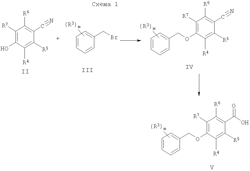
для получения соединения формулы и, если желательно, превращают соединение формулы I в фармацевтически приемлемую соль. Согласно настоящему изобретению соединения общей формулы I могут быть получены в соответствии с приведенной ниже схемой: соединение формулы II обрабатывают бензилбромидами формулы III в присутствии карбоната калия для получения соединений формулы IV, которые затем нагревают с раствором гидроокиси натрия для образования кислот формулы V. Альтернативно, кислоты формулы V (где R5=R6=F) могут быть получены, как показано на схеме 2, путем O-бензилирования фенолов формулы IIа для получения IVa, такое соединение может быть прометаллировано по орто-положению (например, вводят литий с помощью BuLi), далее смешивают с углекислым газом и реакционную смесь подкисляют для получения кислот формулы V. Активирование кислот формулы V с помощью карбонилдиимидазола (или других подходящих активирующих средств) с последующей обработкой аминами типа VI приводит к соединениям формулы I (схема 3). Фармацевтически приемлемые соли соединений формулы I могут быть легко получены согласно известным по сути способам и с учетом природы соединения, превращаемого в соль. Неорганические или органические кислоты, как, например, соляная кислота, бромистоводородная кислота, серная кислота, азотная кислота, фосфорная кислота или лимонная кислота, муравьиная кислота, фумаровая кислота, малеиновая кислота, уксусная кислота, янтарная кислота, винная кислота, метансульфокислота, п-толуолсульфокислота и им подобные кислоты, годятся для образования фармацевтически приемлемых солей основных соединений формулы I. Соединения, которые содержат щелочные металлы или щелочноземельные металлы, например натрий, калий, кальций, магний или им подобные, основные амины или основные аминокислоты годятся для образования фармацевтически приемлемых солей кислотных соединений. Соединения формулы I и их фармацевтически приемлемые соли являются, как уже указывалось выше, ингибиторами моноаминоксидазы В и могут быть применены для лечения или предупреждения заболеваний, при которых ингибиторы МАО-В могут быть полезными. Такие заболевания включают острые и хронические неврологические расстройства, нарушения познавательной способности и дефицит памяти. Поддающимися лечению неврологическими расстройствами являются, например, травматические или хронические дегенеративные процессы нервной системы, как, например, болезнь Альцгеймера, другие виды слабоумия, снижение до минимума познавательной способности или болезнь Паркинсона. Другие показания включают психиатрические заболевания, как, например, депрессия, тревога, приступ паники, социофобия, шизофрения, нарушение питания и нарушение обмена веществ, как, например, ожирение, а также предупреждение и лечение абстинентных синдромов, вызванных злоупотреблением алкоголем, никотином и другими чрезмерно употребляемыми наркотическими средствами. К другим подвергаемым лечению показаниям может быть отнесен синдром недостаточности (G.M.Sullivan, международная заявка на патент WO 01/34172 А2), заболевание периферической нервной системы, вызванное химиотерапией рака (G.Bobotas, международная заявка на патент WO 97/33572 А1), или лечение рассеянного склероза (R.Y.Harris, международная заявка на патент WO 96/40095 А1) и других нейровоспалительных заболеваний. Соединения формулы I и их фармацевтически приемлемые соли особенно полезны для лечения и предупреждения болезни Альцгеймера и старческого слабоумия. Фармакологическую активность соединений исследовали, применяя следующий способ. Кодируемые кДНК человеческие МАО-А и МАО-В подвергали неустойчивой трансфекции в клетки нуклеарного антигена вируса Эпштейна-Барра (EBNA), применяя методику, описанную E.-J.Schlaeger и K.Christensen (“Неустойчивая генная экспрессия в клетках млекопитающих, выращенных в свободной от сыворотки суспензионной культуре”; Cytotechnology, 1998, 15: 1-13). После трансфекции клетки гомогенизировали с применением гомогенизатора Polytron в 20 мМ буфере трис-HCl, рН 8,0, содержащем 0,5 мМ этиленбис(оксиэтиленнитрило)тетрауксусную кислоту (EGTA) и 0,5 мМ фенилметансульфофторид. Клеточные мембраны получали при центрифугировании при 45000×g и после двух стадий промывки 20 мМ буфером трис-HCl, рН 8,0, содержащим 0,5 мМ EGTA, мембраны в конце концов повторно суспендировали в указанном выше буфере и аликвоты хранили при -80°С до использования. Ферментативную активность МАО-А и МАО-В анализировали в 96-ячеечном планшете, используя спектрофотометрический анализ, примененный в методе, описанном М.Zhou и N.Panchuk-Voloshina (“Одностадийный флуорометрический способ непрерывного измерения активности моноаминоксидазы”. Analytical Biochemistry, 1997, 253: 169-174). Резюмируя, аликвоты мембран инкубировали в 0,1 М буфере с фосфатом калия, рН 7,4, в течение 30 минут при 37°С с исследуемыми соединениями в различных концентрациях или без этого. По истечении этого времени начинали ферментативную реакцию путем прибавления субстрата МАО тирамина вместе с 1 Ед./мл пероксидазы хрена обыкновенного (фирмы Roche Biochemicals) и 80 мкл N-ацетил-3,7-дигидроксифеноксазина (Amplex Red, Molecular Probes). Образцы затем инкубировали в течение 30 минут при 37°С в конечном объеме в 200 мкл и затем определяли поглощение при длине волны 570 нм, используя считывающее устройство с планшета SpectraMax (фирма Molecular Devices). Фоновое (неспецифическое) поглощение определяли в присутствии 10 мкМ хлоргилина для МАО-А или 10 мкМ L-депренила для МАО-В. Значения IC50 (IC50 – концентрация, вызывающая 50%-ное ингибирование) определяли по кривым ингибирования, полученным с применением девяти концентраций ингибиторов в параллельных опытах, путем аппроксимирования данных к четырехпараметрическому логистическому уравнению, используя компьютерную программу. Соединения по настоящему изобретению являются специфическими ингибиторами МАО-А. Активность соединений формулы I, измеренная в описанных выше опытах, находится в пределах 420 нМ или менее, обычно 100 нМ или менее и в идеальном варианте 30 нМ или менее. Некоторые данные для предпочтительных соединений описываются в приведенной ниже таблице.
Соединения формулы I и их фармацевтически приемлемые соли могут быть применены в качестве лекарственных средств, например, в виде фармацевтических препаратов. Фармацевтические препараты могут применяться перорально, например, в виде таблеток, таблеток с покрытием, драже, твердых и мягких желатиновых капсул, растворов, эмульсий или суспензий. Однако применение может осуществляться и ректально, например, в виде суппозиториев, или парентерально, например, в виде инъекционных растворов. Соединения формулы I и их фармацевтически приемлемые соли могут быть подвергнуты обработке с применением фармацевтически инертных, неорганических или органических носителей для приготовления фармацевтических препаратов. Лактоза, кукурузный крахмал или их производные, тальк, стеариновая кислота или ее соли и им подобные соединения могут быть использованы, например, в виде таких носителей для таблеток, таблеток с покрытием, драже и твердых желатиновых капсул. Подходящими носителями для мягких желатиновых капсул являются, например, растительные масла, воски, жиры, полутвердые и жидкие полиолы и им подобные соединения; в зависимости от природы активного вещества носители, однако, обычно не требуются в случае мягких желатиновых капсул. Подходящими носителями для приготовления растворов и сиропов являются, например, вода, полиолы, сахароза, инвертный сахар, глюкоза и им подобные носители. Адъюванты, как, например, спирты, полиолы, глицерин, растительные масла и им подобные соединения, могут быть использованы для водных инъекционных растворов водорастворимых солей соединений формулы I, но, как правило, в этом нет необходимости. Подходящими носителями для суппозиториев являются, например, природные или отвержденные масла, воски, жиры, полужидкие или жидкие полиолы и им подобные соединения. Кроме того, фармацевтические препараты могут содержать консерванты, солюбилизаторы, стабилизаторы, смачивающие средства, эмульгаторы, подсластители, красители, ароматизаторы, соли для изменения осмотического давления, буферы, маскирующие средства или антиоксиданты. Они могут также содержать другие терапевтически ценные вещества. Как упоминалось ранее, лекарственные средства, содержащие соединение формулы I или его фармацевтически приемлемые соли и терапевтически инертный наполнитель, являются также объектом настоящего изобретения, как и способ получения таких лекарственных средств, который включает объединение одного или нескольких соединений формулы I или их фармацевтически приемлемых солей и, если желательно, одного или нескольких других терапевтически ценных веществ в галеновую лекарственную форму вместе с одним или несколькими терапевтически инертными носителями. Доза может варьироваться в широких пределах и, конечно, подгоняется к индивидуальным требованиям в каждом частном случае. Обычно эффективная дозировка для перорального или парентерального введения составляет величину между 0,01-20 мг/кг/день, предпочтительна доза 0,1-10 мг/кг/день для всех описанных показаний. Дневная доза для взрослого человека с массой тела 70 кг соответственно находится между 0,7-1400 мг в день, предпочтительно между 7 и 700 мг в день. Следующие примеры приведены для иллюстрации изобретения. Их не следует рассматривать ограничивающими объем изобретения, эти примеры являются только типичными образцами соединений по изобретению. Пример 1 (S)-N-(1-Карбамоилэтил)-2-фтор-4-(3-фторбензилокси)бензамид а) 2-Фтор-4-(3-фторбензилокси)бензонитрил Смесь 2-фтор-4-гидроксибензонитрила (15,0 г, 109 ммолей), 3-фторбензилбромида (22,7 г, 120 ммолей) и карбоната калия (18,1 г, 131 ммоль) в безводном ацетоне (250 мл) кипятили с обратным холодильником 4 часа. После охлаждения до комнатной температуры смесь фильтровали и фильтрат упаривали до получения твердого вещества не совсем белого цвета, которое промывали гексаном и получали указанное в заглавии соединение (26,8 г, 100%) в виде твердого вещества белого цвета. Масс-спектр (МС): m/e=245,2 (M+). б) 2-Фтор-4-(3-фторбензилокси)бензойная кислота Суспензию 2-фтор-4-(3-фторбензилокси)бензонитрила (24,5 г, 100 ммолей) и гидроокиси натрия (30 г, 750 ммолей) в воде (300 мл) кипятили с обратным холодильником в течение 16 часов. После охлаждения до комнатной температуры суспензию подкисляли до рН 2 концентрированной соляной кислотой. Полученную в результате смесь разбавляли водой (100 мл) и экстрагировали диэтиловым эфиром (3×400 мл). Объединенные органические экстракты затем промывали водой и соляным раствором и затем сушили над сульфатом натрия. Фильтрация и упаривание фильтрата наполовину приводили к образованию осадка белого цвета, который отфильтровывали и получали указанное в заглавии соединение (14 г, 53%) в виде кристаллов белого цвета после перекристаллизации из циклогексана : этилацетата. МС: m/e=263,1 (M-Н–). в) (S)-N-(1-Карбамоилэтил)-2-фтор-4-(3-фторбензилокси)бензамид Смесь 2-фтор-4-(3-фторбензилокси)бензойной кислоты (400 мг, 1,5 ммоля) и карбонилдиимидазола (258 мг, 1,6 ммоля) в безводном тетрагидрофуране (ТГФ) (5 мл) в атмосфере аргона кипятили с обратным холодильником 30 минут. После охлаждения до комнатной температуры прибавляли суспензию Н-аланин-NH2·HCl (226 мг, 1,8 ммоля), содержащую триэтиламин (184 мг, 1,8 ммоля), в безводном ТГФ (1 мл) и полученную смесь кипятили с обратным холодильником 1 час. После охлаждения до комнатной температуры прибавляли воду (5 мл) и полученный в результате осадок отфильтровывали и последовательно промывали гексаном и диэтиловым эфиром, получали указанное в заглавии соединение (272 мг, 54%) в виде твердого вещества белого цвета. МС: m/e=335,3 (М+Н+). Пример 2 2-[4-(3-Фторбензилокси)-2-фторбензамидо]ацетамид Как описано в примере 1в, 2-фтор-4-(3-фторбензилокси)бензойную кислоту (400 мг, 1,5 ммоля) превращали в указанное в заглавии соединение (375 мг, 77%) (применяя глицинамид-HCl вместо Н-аланин-NH2·HCl), соединение получали в виде твердого вещества белого цвета. МС: m/e=321,3 (M-Н–). Пример 3 N-Цианметил-2-фтор-4-(3-фторбензилокси)бензамид Как описано в примере 1в, 2-фтор-4-(3-фторбензилокси)бензойную кислоту (400 мг, 1,5 ммоля) превращали в указанное в заглавии соединение (362 мг, 77%) (применяя аминоацетонитрил вместо Н-аланин-NH2·HCl), соединение получали в виде твердого вещества светло-коричневого цвета. МС: m/e=303,3 (М+Н+). Пример 4 (S)-2-Фтор-4-(3-фторбензилокси)-N-(2-метокси-1-метилэтил)бензамид Как описано в примере 1в, 2-фтор-4-(3-фторбензилокси)бензойную кислоту (400 мг, 1,5 ммоля) превращали в указанное в заглавии соединение (471 мг, 93%) [применяя (S)-1-метокси-2-пропиламин вместо Н-аланин-NH2·HCl], соединение получали в виде твердого вещества светло-желтого цвета после экстракции этилацетатом. МС: m/e=336,3 (М+Н+). Пример 5 (S)-N-(1-Карбамоил-2-гидроксиэтил)-2-фтор-4-(3-фторбензилокси)бензамид Как описано в примере 1в, 2-фтор-4-(3-фторбензилокси)бензойную кислоту (400 мг, 1,5 ммоля) превращали в указанное в заглавии соединение (111 мг, 21%) (применяя Н-серин-NH2·HCl вместо Н-аланин-NH2·HCl), соединение получали в виде твердого вещества белого цвета после очистки с помощью хроматографии (SiO2, этилацетат : гексан 1:1). МС: m/e=351,3 (М+Н+). Пример 6 2-Фтор-4-(3-фторбензилокси)-N-(2-метоксиэтил)бензамид Как описано в примере 1в, 2-фтор-4-(3-фторбензилокси)бензойную кислоту (400 мг, 1,5 ммоля) превращали в указанное в заглавии соединение (397 мг, 82%) (применяя 2-метоксиэтиламин вместо Н-аланин-NH2·HCl), соединение получали в виде твердого вещества светло-желтого цвета. МС: m/e=322,2 (М+Н+). Пример 7 Гидрохлорид N-(2-аминоэтил)-2-фтор-4-(3-фторбензилокси)бензамида (1:1) а) трет-Бутиловый эфир {2-[2-фтор-4-(3-фторбензилокси)бензоиламино]этил}карбаминовой кислоты Как описано в примере 1в, 2-фтор-4-(3-фторбензилокси)бензойную кислоту (400 мг, 1,5 ммоля) превращали в указанное в заглавии соединение (546 мг, 89%) [применяя трет-бутиловый эфир N-(2-аминоэтил)карбаминовой кислоты вместо Н-аланин-NH2·HCl], соединение получали в виде твердого вещества белого цвета. МС: m/e=407,4 (М+Н+). б) Гидрохлорид N-(2-аминоэтил)-2-фтор-4-(3-фторбензилокси)бензамида (1:1) Смесь трет-бутилового эфира {2-[2-фтор-4-(3-фторбензилокси)бензоиламино]этил}карбаминовой кислоты (530 мг, 1,3 ммоля) и HCl в диоксане (4 н., 5 мл) перемешивали при комнатной температуре в течение 16 часов. Полученный в результате осадок отфильтровывали, получали указанное в заглавии соединение (400 мг, 90%) в виде твердого вещества белого цвета. МС: m/e=341,5 (M-Н–). Пример 8 2-Фтор-4-(3-фторбензилокси)-N-(2-гидроксиэтил)бензамид Как описано в примере 1в, 2-фтор-4-(3-фторбензилокси)бензойную кислоту (400 мг, 1,5 ммоля) превращали в указанное в заглавии соединение (393 мг, 84%) [применяя этаноламин вместо Н-аланин-NH2·HCl], соединение получали в виде твердого вещества белого цвета. МС: m/e=308,1 (М+Н+). Пример 9 (R)-N-(1-Карбамоилэтил)-2-фтор-4-(3-фторбензилокси)бензамид Смесь 2-фтор-4-(3-фторбензилокси)бензойной кислоты (1,0 г, 3,8 ммоля) и карбонилдиимидазола (675 мг, 4,2 ммоля) в безводном диметилформамиде (ДМФА) (10 мл) в атмосфере аргона кипятили с обратным холодильником 30 минут. После охлаждения до комнатной температуры прибавляли суспензию Н-D-аланин-NH2·HCl (707 мг, 5,7 ммоля), содержащую пиридин (0,49 мл, 6,1 ммоля), в безводном ДМФА (5 мл). Через 48 часов прибавляли воду (15 мл) и полученный в результате осадок отфильтровывали и промывали водой, получали указанное в заглавии соединение (1,27 г, 100%) в виде твердого вещества белого цвета. МС: m/e=335,3 (М+Н+). Пример 10 2-[4-(4-Фторбензилокси)-2-фторбензамидо]ацетамид а) 2-Фтор-4-(4-фторбензилокси)бензонитрил Как описано в примере 1а, 2-фтор-4-гидроксибензонитрил (5,0 г, 36 ммолей) [применяя 4-фторбензилбромид вместо 3-фторбензилбромида], превращали в указанное в заглавии соединение (8,9 г, 100%), которое получали в виде твердого вещества белого цвета. МС: m/e=245,0 (М+). б) 2-Фтор-4-(4-фторбензилокси)бензойная кислота Как описано в примере 1б, 2-фтор-4-(4-фторбензилокси)бензонитрил (8,9 г, 36 ммолей) превращали в указанное в заглавии соединение (1,6 г, 16%), которое получали в виде твердого вещества белого цвета. МС: m/e=263,1 (M-Н–). в) 2-[4-(4-Фторбензилокси)-2-фторбензамидо]ацетамид Как описано в примере 2, превращали 2-фтор-4-(4-фторбензилокси)бензойную кислоту (150 мг, 0,6 ммоля) [вместо 2-фтор-4-(3-фторбензилокси)бензойной кислоты] в указанное в заглавии соединение (113 мг, 62%), которое получали в виде твердого вещества белого цвета. МС: m/e=321,2 (М+Н+). Пример 11 (S)-N-(1-Карбамоилэтил)-2-фтор-4-(4-фторбензилокси)бензамид Как описано в примере 10 в, 2-фтор-4-(4-фторбензилокси)бензойную кислоту (150 мг, 0,6 ммоля) [применяя Н-аланин-NH2·HCl вместо глицинамида-HCl], превращали в указанное в заглавии соединение (188 мг, 100%), которое получали в виде твердого вещества белого цвета. МС: m/e=333,2 (М+Н+). Пример 12 (S)-N-(1-Карбамоилэтил)-2-фтор-4-(4-трифторметилбензилокси)бензамид а) 2-Фтор-4-(4-трифторметилбензилокси)бензонитрил Как описано в примере 1а, 2-фтор-4-гидроксибензонитрил (2,6 г, 19 ммолей) [используя 3-трифторбензилбромид вместо 3-фторбензилбромида], превращали в указанное в заглавии соединение (5,6 г, 100%), которое получали в виде твердого вещества белого цвета. МС: m/e=295,0 (М+). б) 2-Фтор-4-(4-трифторметилбензилокси)бензойная кислота Как описано в примере 1б, 2-фтор-4-(4-трифторметилбензилокси)бензонитрил (5,6 г, 19 ммолей) превращали в указанное в заглавии соединение (400 мг, 5%), которое получали в виде твердого вещества белого цвета. МС: m/e=313,0 (M-Н–). в) (S)-N-(1-Карбамоилэтил)-2-фтор-4-(4-трифторметилбензилокси)бензамид Как описано в примере 1в, 2-фтор-4-(4-трифторметилбензилокси)бензойную кислоту (200 мг, 0,6 ммоля) [вместо 2-фтор-4-(3-фторбензилокси)бензойной кислоты] превращали в указанное в заглавии соединение (39 мг, 16%), которое получали в виде твердого вещества белого цвета. МС: m/e=385,1 (М+Н+). Пример 13 (S)-4-(3,5-Бис(трифторметил)бензилокси)-N-карбамоилметил-2-фторбензамид а) 4-(3,5-Бис(трифторметил)бензилокси)-2-фторбензонитрил Как описано в примере 1а, 2-фтор-4-гидроксибензонитрил (1,5 г, 10,5 ммолей) [используя 3,5-бис(трифторметил)бензилбромид вместо 3-фторбензилбромида], превращали в указанное в заглавии соединение (3,8 г, 99%), которое получали в виде твердого вещества белого цвета. МС: m/e=363,0 (М+). б) 4-(3,5-Бис(трифторметил)бензилокси)-2-фторбензойная кислота Как описано в примере 1б, 4-(3,5-бис(трифторметил)бензилокси)-2-фторбензонитрил (3,8 г, 10,5 ммолей) превращали в указанное в заглавии соединение (1,7 г, 37%), которое получали в виде твердого вещества белого цвета. МС: m/e=380,9 (M-Н–). в) (S)-4-(3,5-Бис(трифторметил)бензилокси)-N-карбамоилметил-2-фторбензамид Как описано в примере 2, превращали 2,4-(3,5-бис(трифторметил)бензилокси)-2-фторбензойную кислоту (150 мг, 0,4 ммоля) [вместо 2-фтор-4-(3-фторбензилокси)бензойной кислоты] в указанное в заглавии соединение (63 мг, 37%), которое получали в виде твердого вещества белого цвета. МС: m/e=439,1 (М+Н+). Пример 14 (S)-4-(3,5-Бис(трифторметил)бензилокси)-N-(1-карбамоилэтил-2-фторбензамид Как описано в примере 1в, 4-(3,5-бис(трифторметил)бензилокси)-2-фторбензойную кислоту (150 мг, 0,4 ммоля) [вместо 2-фтор-4-(3-фторбензилокси)бензойной кислоты] превращали в указанное в заглавии соединение (45 мг, 23%), которое получали в виде твердого вещества белого цвета. МС: m/e=453,2 (М+Н+). Пример 15 2-[4-Бензилокси-2-фторбензамидо]ацетамид а) 4-Бензилокси-2-фторбензонитрил Как описано в примере 1а, 2-фтор-4-гидроксибензонитрил (9,7 г, 71 ммоль) превращали в указанное в заглавии соединение (15,0 г, 93%) (используя бензилбромид вместо 3-фторбензилбромида), соединение получали после перекристаллизации из циклогексана в виде кристаллов белого цвета. МС: m/e=227,2 (М+). б) 4-Бензилокси-2-фторбензойная кислота Как описано в примере 1б, превращали 4-бензилокси-2-фторбензонитрил (14,7 г, 65 ммолей) в указанное в заглавии соединение (12,4 г, 78%), которое получали после перекристаллизации из циклогексана в виде кристаллов белого цвета. МС: m/e=246,2 (М+). в) 2-[4-Бензилокси-2-фторбензамидо]ацетамид Как описано в примере 2, превращали 4-бензилокси-2-фторбензойную кислоту (300 мг, 1,2 ммоля) в указанное в заглавии соединение (174 мг, 47%), которое получали в виде твердого вещества белого цвета. МС: m/e=303,3 (М+Н+). Пример 16 4-Бензилокси-N-цианметил-2-фторбензамид Как описано в примере 3, превращали 4-бензилокси-2-фторбензойную кислоту (200 мг, 0,8 ммоля) в указанное в заглавии соединение (205 мг, 89%), которое получали в виде твердого вещества светло-коричневого цвета. МС: m/e=285,2 (М+Н+). Пример 17 4-Бензилокси-2-фтор-N-(2-метоксиэтил)бензамид Как описано в примере 4, превращали 4-бензилокси-2-фторбензойную кислоту (200 мг, 0,8 ммоля) в указанное в заглавии соединение (151 мг, 61%), которое получали в виде твердого вещества белого цвета. МС: m/e=304,3 (М+Н+). Пример 18 (S)-N-(1-Карбамоилэтил)-3-фтор-4-(4-фторбензилокси)бензамид а) 4-Фторбензиловый эфир 3-фтор-4-(4-фторбензилокси)бензойной кислоты Смесь 3-фтор-4-гидроксибензойной кислоты (4,68 г, 30 ммолей), 4-фторбензилбромида (17,0 г, 90 ммолей) и карбоната калия (8,3 г, 60 ммолей) в ТГФ : воде (1:1, 100 мл) нагревали при 65°С в течение 48 часов. После охлаждения до комнатной температуры смесь экстрагировали этилацетатом (2×100 мл) и объединенные экстракты промывали соляным раствором (100 мл) и сушили над сульфатом натрия. После фильтрации и упаривания получали остаток, который подвергали кристаллизации из диэтилового эфира : гептана, получали указанное в заглавии соединение (8,4 г, 75%) в виде твердого вещества белого цвета. МС: m/e=372,0 (М+). б) 3-Фтор-4-(4-фторбензилокси)бензойная кислота Смесь 4-фторбензилового эфира 3-фтор-4-(4-фторбензилокси)бензойной кислоты (8,1 г, 22 ммоля) и гидроокиси калия (6,1 г, 109 ммолей) в воде : диоксане (4:1, 150 мл) нагревали при 100°С в течение 12 часов. После охлаждения до комнатной температуры смесь подкисляли до рН 3 с помощью HCl и смесь экстрагировали этилацетатом (2×100 мл), объединенные экстракты промывали соляным раствором (100 мл) и сушили над сульфатом натрия. После фильтрации и упаривания наполовину получали осадок, который отфильтровывали и подвергали кристаллизации из этилацетата : гептана, получали указанное в заглавии соединение (4,9 г, 85%) в виде твердого вещества белого цвета. МС: m/e=263,0 (M-Н–). в) (S)-N-(1-Карбамоилэтил)-3-фтор-4-(4-фторбензилокси)бензамид Как описано в примере 9, превращали 3-фтор-4-(4-фторбензилокси)бензойную кислоту (264 мг, 1,0 ммоль) [вместо 2-фтор-4-(3-фторбензилокси)бензойной кислоты] в указанное в заглавии соединение (240 мг, 72%), [используя Н-аланин-NH2-HCl вместо Н-D-аланин-NH2·HCl], продукт получали в виде твердого вещества белого цвета. МС: m/e=335,2 (М+Н+). Пример 19 2-[4-(4-Фторбензилокси)-3-фторбензамидо]ацетамид Как описано в примере 18в, 3-фтор-4-(4-фторбензилокси)бензойную кислоту (200 мг, 0,8 ммоля) превращали в указанное в заглавии соединение (224 мг, 92%) [используя глицинамид·HCl вместо Н-D-аланин-NH2·HCl], продукт получали в виде твердого вещества белого цвета. МС: m/e=321,2 (М+Н+). Пример 20 (S)-N-(1-Карбамоил-2-гидроксиэтил)-3-фтор-4-(4-фторбензилокси)бензамид Как описано в примере 18в, 3-фтор-4-(4-фторбензилокси)бензойную кислоту (200 мг, 0,8 ммоля) превращали в указанное в заглавии соединение (235 мг, 89%) [используя H-Ser-NH2·HCl вместо Н-D-аланин-NH2·HCl], продукт получали в виде твердого вещества белого цвета. МС: m/e=351,2 (М+Н+). Пример 21 N-Цианметил-3-фтор-4-(4-фторбензилокси)бензамид Как описано в примере 18в, 3-фтор-4-(4-фторбензилокси)бензойную кислоту (200 мг, 0,8 ммоля) превращали в указанное в заглавии соединение (183 мг, 80%) [используя аминоацетонитрил·HCl вместо Н-D-аланин-NH2·HCl], продукт получали после очистки с помощью хроматографии (SiO2, CH2Cl2 : 2 н. NH3/МеОН 99:1 до 9:1) в виде твердого вещества белого цвета. МС: m/e=303,3 (М+Н+). Пример 22 3-Фтор-4-(4-фторбензилокси)-N-(2-метоксиэтил)бензамид Как описано в примере 18в, 3-фтор-4-(4-фторбензилокси)бензойную кислоту (264 мг, 1,0 ммоль) превращали в указанное в заглавии соединение (280 мг, 87%) [используя 2-метоксиэтиламин вместо Н-D-аланин-NH2·HCl], продукт получали после очистки с помощью хроматографии (SiO2, CH2Cl2 : 2 н. NH3/МеОН 99:1 до 9:1) в виде твердого вещества белого цвета. МС: m/e=322,3 (М+Н+). Пример 23 Гидрохлорид N-(2-аминоэтил)-3-фтор-4-(4-фторбензилокси)бензамида (1:1) а) трет-Бутиловый эфир {2-[3-фтор-4-(4-фторбензилокси)бензоиламино]этил}-карбаминовой кислоты Как описано в примере 7а, 3-фтор-4-(4-фторбензилокси)бензойную кислоту (200 мг, 0,8 ммоля) [вместо 2-фтор-4-(3-фторбензилокси)бензойной кислоты] превращали в указанное в заглавии соединение (400 мг, 99%), продукт получали после очистки с помощью хроматографии (SiO2, СН2Cl2: 2н. NH3/МеОН 99:1 до 9:1) в виде твердого вещества белого цвета. МС: m/e=407,4 (М+Н+). б) Гидрохлорид N-(2-аминоэтил)-3-фтор-4-(4-фторбензилокси)бензамида (1:1) Как описано в примере 7б, трет-бутиловый эфир {2-[3-фтор-4-(4-фторбензилокси)бензоиламино]этил}карбаминовой кислоты (400 мг, 0,1 ммоля) превращали в указанное в заглавии соединение (239 мг, 92%), которое получали в виде твердого вещества белого цвета. МС: m/e=307,2 (М+Н+). Пример 24 Гидрохлорид N-(3-аминопропил)-3-фтор-4-(4-фторбензилокси)бензамида (1:1) Как описано в примере 18в, 3-фтор-4-(4-фторбензилокси)бензойную кислоту (200 мг, 0,8 ммоля) превращали в указанное в заглавии соединение, защищенное трет-бутилкарбаматом [используя трет-бутиловый эфир N-(3-аминопропил)карбаминовой кислоты вместо Н-D-аланин-NH2·HCl], продукт получали в виде твердого вещества белого цвета. Затем продукт подвергали реакции, как описано в примере 7б, получали указанное в заглавии соединение (243 мг, 90%) в виде твердого вещества белого цвета. МС: m/e=320,9 (М+Н+). Пример 25 2-[4-(3-Фторбензилокси)-3-фторбензамидо]ацетамид а) 3-Фторбензиловый эфир 3-фтор-4-(3-фторбензилокси)бензойной кислоты Как описано в примере 18а, 3-фтор-4-гидроксибензойную кислоту (3,6 г, 23,1 ммоля) превращали в указанное в заглавии соединение (6,9 г, 81%) [используя 3-фторбензилбромид вместо 4-фторбензилбромида], которое получали в виде твердого вещества белого цвета. МС: m/e=372,1 (М+). б) 3-Фтор-4-(3-фторбензилокси)бензойная кислота Как описано в примере 18б, 3-фторбензиловый эфир 3-фтор-4-(3-фторбензилокси)бензойной кислоты (6,9 г, 18,6 ммоля) [вместо 4-фторбензилового эфира 3-фтор-4-(4-фторбензилокси)бензойной кислоты] превращали в указанное в заглавии соединение (4,4 г, 90%), которое получали в виде твердого вещества белого цвета. МС: m/e=263,0 (М+). в) 2-[4-(3-Фторбензилокси)-3-фторбензамидо]ацетамид Как описано в примере 19, превращали 3-фтор-4-(3-фторбензилокси)бензойную кислоту (200 мг, 0,8 ммоля) [вместо 3-фтор-4-(4-фторбензилокси)бензойной кислоты] в указанное в заглавии соединение (216 мг, 89%), которое получали в виде твердого вещества белого цвета. МС: m/e=321,3 (М+Н+). Пример 26 (S)-N-(1-Карбамоилэтил)-3-фтор-4-(3-фторбензилокси)бензамид Как описано в примере 25, превращали 3-фтор-4-(3-фторбензилокси)бензойную кислоту (200 мг, 0,8 ммоля) в указанное в заглавии соединение (225 мг, 89%) [используя Н-аланин-NH2·HCl вместо гидрохлорида глицинамида], продукт получали в виде твердого вещества белого цвета. МС: m/e=335,2 (М+Н+). Пример 27 (R)-N-(1-Карбамоилэтил)-3-фтор-4-(3-фторбензилокси)бензамид Как описано в примере 25в, 3-фтор-4-(3-фторбензилокси)бензойную кислоту (200 мг, 0,8 ммоля) превращали в указанное в заглавии соединение (240 мг, 95%) [используя Н-D-аланин-NH2·HCl вместо гидрохлорида глицинамида], продукт получали в виде твердого вещества белого цвета. МС: m/e=335,2 (М+Н+). Пример 28 (S)-N-(1-Карбамоил-2-гидроксиэтил)-3-фтор-4-(3-фторбензилокси)бензамид Как описано в примере 25в, 3-фтор-4-(3-фторбензилокси)бензойную кислоту (200 мг, 0,8 ммоля) превращали в указанное в заглавии соединение (116 мг, 41%) [используя H-Ser-NH2·HCl вместо гидрохлорида глицинамида], продукт получали в виде твердого вещества белого цвета после очистки с помощью ВЭЖХ (Waters Xterra RP18 (5 мкМ, ×50×19 мм), в качестве элюента использовались MeCN, 0,1% трифторуксусной кислотой (ТФК), вода. МС: m/e=351,2 (M+H+). Пример 29 N-Цианметил-3-фтор-4-(3-фторбензилокси)бензамид Как описано в примере 25в, 3-фтор-4-(3-фторбензилокси)бензойную кислоту (200 мг, 0,8 ммоля) превращали в указанное в заглавии соединение (208 мг, 91%) [используя гидрохлорид аминоацетонитрила вместо гидрохлорида глицинамида], продукт получали в виде твердого вещества белого цвета. МС: m/e=303,1 (М+Н+). Пример 30 Гидрохлорид N-(2-аминоэтил)-3-фтор-4-(3-фторбензилокси)бензамида (1:1) а) трет-Бутиловый эфир {2-[3-фтор-4-(3-фторбензилокси)бензоиламино]этил}карбаминовой кислоты Как описано в примере 1в, 3-фтор-4-(3-фторбензилокси)бензойную кислоту (300 мг, 1,1 ммоля) [вместо 2-фтор-4-(3-фторбензилокси)бензойной кислоты] превращали в указанное в заглавии соединение (403 мг, 87%), которое получали в виде твердого вещества белого цвета. МС: m/e=407,3 (М+Н+). б) Гидрохлорид N-(2-аминоэтил)-3-фтор-4-(3-фторбензилокси)бензамида (1:1) Как описано в примере 9б, трет-бутиловый эфир {2-[3-фтор-4-(3-фторбензилокси)бензоиламино]этил}карбаминовой кислоты (373 мг, 0,9 ммоля) [вместо трет-бутилового эфира {2-[2-фтор-4-(3-фторбензилокси)бензоиламино]этил}карбаминовой кислоты] превращали в указанное в заглавии соединение (299 мг, 95%), которое получали в виде твердого вещества белого цвета. МС: m/e=341,5 (M-Н–). Пример 31 2-[4-(4-Трифторметилбензилокси)-3-фторбензамидо]ацетамид а) 4-Трифторметилбензиловый эфир 3-фтор-4-(4-трифторметилбензилокси)бензойной кислоты Как описано в примере 18а, 3-фтор-4-гидроксибензойную кислоту (2,5 г, 16 ммолей) [используя 4-(трифторметил)бензилбромид вместо 4-фторбензилбромида] превращали в указанное в заглавии соединение (5,3 г, 69%), которое получали в виде твердого вещества белого цвета. МС: m/e=472,1 (М+). б) 3-Фтор-4-(4-трифторметилбензилокси)бензойная кислота Как описано в примере 18б, 4-трифторметилбензиловый эфир 3-фтор-4-(4-трифторметилбензилокси)бензойной кислоты (5,3 г, 11 ммолей) [вместо 4-трифторметилбензилового эфира 3-фтор-4-(4-фторбензилокси)бензойной кислоты] превращали в указанное в заглавии соединение (3,1 г, 90%), которое получали в виде твердого вещества белого цвета. МС: m/e=312,9 (M-Н–). в) 2-[4-(4-Трифторметилбензилокси)-3-фторбензамидо]ацетамид Как описано в примере 9, превращали 3-фтор-4-(4-трифторметилбензилокси)бензойную кислоту (200 мг, 0,6 ммоля) [вместо 2-фтор-4-(3-фторбензилокси)бензойной кислоты] в указанное в заглавии соединение (208 мг, 88%) [применяя гидрохлорид глицинамида вместо H-D-аланин-NH2·HCl], продукт получали в виде твердого вещества белого цвета. МС: m/e=371,2 (M+H+). Пример 32 (S)-N-(1-Карбамоилэтил)-3-фтор-4-(4-трифторметилбензилокси)бензамид Как описано в примере 31 в, 3-фтор-4-(4-трифторметилбензилокси)бензойную кислоту (200 мг, 0,6 ммоля) превращали в указанное в заглавии соединение (214 мг, 88%) [используя Н-аланин-NH2·HCl вместо гидрохлорида глицинамида], продукт получали в виде твердого вещества белого цвета. МС: m/e=385,2 (М+Н+). Пример 33 (R)-N-(1-Карбамоилэтил)-3-фтор-4-(4-трифторметилбензилокси)бензамид Как описано в примере 31 в, 3-фтор-4-(4-трифторметилбензилокси)бензойную кислоту (200 мг, 0,6 ммоля) превращали в указанное в заглавии соединение (213 мг, 87%), [используя Н-D-аланин-NH2·HCl вместо гидрохлорида глицинамида], продукт получали в виде твердого вещества белого цвета. МС: m/e=385,2 (М+Н+). Пример 34 (S)-N-(1-Карбамоил-2-гидроксиэтил)-3-фтор-4-(4-трифторметилбензилокси)бензамид Как описано в примере 31в, 3-фтор-4-(4-трифторметилбензилокси)бензойную кислоту (200 мг, 0,6 ммоля) превращали в указанное в заглавии соединение (124 мг, 49%) [применяя H-Ser-NH2·HCl вместо гидрохлорида глицинамида], продукт получали в виде твердого вещества белого цвета после очистки с помощью ВЭЖХ (Waters Xterra RP18 (5 мкМ, ×50×19 мм), в качестве элюента использовались MeCN, 0,1% ТФК, вода. МС: m/e=401,4 (М+Н+). Пример 35 N-Цианметил-3-фтор-4-(4-трифторметилбензилокси)бензамид Как описано в примере 31в, 3-фтор-4-(4-трифторметилбензилокси)бензойную кислоту (200 мг, 0,6 ммоля) превращали в указанное в заглавии соединение (206 мг, 92%) [применяя гидрохлорид аминоацетонитрила вместо гидрохлорида глицинамида], продукт получали в виде твердого вещества белого цвета. МС: m/e=353,2 (М+Н+). Пример 36 Гидрохлорид N-(2-аминоэтил)-3-фтор-4-(4-трифторметилбензилокси)бензамида (1:1) а) трет-Бутиловый эфир {2-[3-фтор-4-(4-трифторметилбензилокси)бензоиламино]этил}карбаминовой кислоты Как описано в примере 31 в, 3-фтор-4-(4-трифторметилбензилокси)бензойную кислоту (300 мг, 1,0 ммоля) превращали в указанное в заглавии соединение (384 мг, 88%) [применяя трет-бутил-N-(2-аминоэтил)карбамат вместо гидрохлорида глицинамида], продукт получали в виде твердого вещества белого цвета. МС: m/e=457,5 (М+Н+). б) Гидрохлорид N-(2-аминоэтил)-3-фтор-4-(4-трифторметилбензилокси)бензамида (1:1) Как описано в примере 7б, трет-бутиловый эфир {2-[3-фтор-4-(4-трифторметилбензилокси)бензоиламино]этил}карбаминовой кислоты (357 мг, 0,8 ммоля) [вместо трет-бутилового эфира {2-[2-фтор-4-(3-фторбензилокси)бензоиламино]этил}карбаминовой кислоты] превращали в указанное в заглавии соединение (278 мг, 100%), которое получали в виде твердого вещества белого цвета. МС: m/e=357,2 (М+Н+). Пример 37 (S)-N-(1-Карбамоилэтил)-2,6-дифтор-4-(4-фторбензилокси)бензамид а) 3,5-Дифтор-(4-фторбензилокси)бензол Смесь 3,5-дифторфенола (11,0 г, 84,6 ммоля), 4-фторбензилбромида (16,5 г, 84,6 ммоля) и карбоната калия (12,7 г, 92,2 ммоля) в ацетоне (50 мл) кипятили с обратным холодильником 6 часов. После охлаждения до комнатной температуры смесь фильтровали и фильтрат упаривали. Остаток растворяли в диэтиловом эфире, промывали карбонатом натрия (насыщенный раствор), сушили над сульфатом натрия, фильтровали и упаривали, получали указанное в заглавии соединение (20,8 г, 96%) в виде светло-желтой жидкости. МС: m/e=238,1 (М+). б) 2,6-Дифтор-4-(4-фторбензилокси)бензойная кислота Прибавляли BuLi (1,6 М в гексане, 27,1 мл, 43,4 ммоля) к раствору 3,5-дифтор-(4-фторбензилокси)бензола (10,5 г, 41,4 ммоля) в безводном ТГФ при -78°С в атмосфере аргона и реакционную смесь выдерживали при такой температуре в течение 1 часа, после чего в раствор пропускали углекислый газ в течение 10 минут. Реакционную смесь затем нагревали до комнатной температуры и прибавляли воду. Полученную в результате смесь экстрагировали диэтиловым эфиром. С помощью HCl устанавливали в водной фазе рН 2 и экстрагировали этилацетатом. Объединенные этилацетатные слои промывали соляной кислотой (0,1 н.), затем сушили над сульфатом натрия, фильтровали и упаривали, получали твердое вещество белого цвета. Это вещество растирали с пентаном-диэтиловым эфиром, получали указанное в заглавии соединение (6,8 г, 59%) в виде твердого вещества белого цвета. МС: m/e=280,9 (M-Н–). в) (S)-N-(1-Карбамоилэтил)-2,6-дифтор-4-(4-фторбензилокси)бензамид Как описано в примере 1в, 2,6-дифтор-4-(4-фторбензилокси)бензойную кислоту (282 мг, 1 ммоль) превращали в указанное в заглавии соединение (237 мг, 65%), которое получали в виде твердого вещества белого цвета. МС: m/e=353,2 (М+Н+). Пример 38 (R)-N-(1-Карбамоилэтил)-2,6-дифтор-4-(4-фторбензилокси)бензамид Как описано в примере 9, превращали 2,6-дифтор-4-(4-фторбензилокси)бензойную кислоту (282 мг, 1 ммоль) в указанное в заглавии соединение (264 мг, 71%), которое получали в виде твердого вещества белого цвета. МС: m/e=353,2 (М+Н+). Пример 39 N-Карбамоилметил-2,6-дифтор-4-(4-фторбензилокси)бензамид Как описано в примере 2, превращали 2,6-дифтор-4-(4-фторбензилокси)бензойную кислоту (282 мг, 1 ммоль) в указанное в заглавии соединение (292 мг, 85%), которое получали в виде твердого вещества белого цвета. МС: m/e=339,1 (М+Н+). Пример 40 N-Цианметил-2,6-дифтор-4-(4-фторбензилокси)бензамид Как описано в примере 3, превращали 2,6-дифтор-4-(4-фторбензилокси)бензойную кислоту (282 мг, 1 ммоль) в указанное в заглавии соединение (279 мг, 87%), которое получали в виде твердого вещества белого цвета. МС: m/e=321,2 (М+Н+). Пример 41 2,6-Дифтор-4-(4-фторбензилокси)-N-(2-метоксиэтил)бензамид Как описано в примере 6, превращали 2,6-дифтор-4-(4-фторбензилокси)бензойную кислоту (282 мг, 1 ммоль) в указанное в заглавии соединение (306 мг, 90%), которое получали в виде твердого вещества белого цвета. МС: m/e=340,2 (М+Н+). Пример 42 (S)-N-(1-Карбамоил-2-гидроксиэтил)-2,6-дифтор-4-(4-фторбензилокси)бензамид Как описано в примере 5, превращали 2,6-дифтор-4-(4-фторбензилокси)бензойную кислоту (282 мг, 1 ммоль) в указанное в заглавии соединение (191 мг, 52%), которое получали в виде твердого вещества белого цвета. МС: m/e=369,2 (М+Н+). Пример 43 Гидрохлорид N-(2-аминоэтил)-2,6-дифтор-4-(4-фторбензилокси)бензамида (1:1) Как описано в примере 7, превращали 2,6-дифтор-4-(4-фторбензилокси)бензойную кислоту (282 мг, 1 ммоль) в указанное в заглавии соединение (179 мг, 72%), которое получали в виде твердого вещества белого цвета. МС: m/e=325,2 (M-Cl+). Примере 44 2,6-Дифтор-4-(4-фторбензилокси)-N-(2-гидроксиэтил)бензамид Как описано в примере 8, превращали 2,6-дифтор-4-(4-фторбензилокси)бензойную кислоту (282 мг, 1 ммоль) в указанное в заглавии соединение (241 мг, 74%), которое получали в виде твердого вещества белого цвета. МС: m/e=326,3 (М+Н+). Пример 45 (S)-2,6-Дифтор-4-(4-фторбензилокси)-N-(2-гидрокси-1-метилэтил)бензамид Как описано в примере 1в, 2,6-дифтор-4-(4-фторбензилокси)бензойную кислоту (282 мг, 1 ммоль) превращали в указанное в заглавии соединение (205 мг, 59%) [применяя L-аланинол вместо Н-аланин-NH2·HCl], продукт получали в виде твердого вещества белого цвета. МС: m/e=340,2 (М+Н+). Пример 46 (R)-2,6-Дифтор-4-(4-фторбензилокси)-N-(2-гидрокси-1-метилэтил)бензамид Как описано в примере 45, превращали 2,6-дифтор-4-(4-фторбензилокси)бензойную кислоту (282 мг, 1 ммоль) в указанное в заглавии соединение (218 мг, 62%) [применяя D-аланинол вместо L-аланинола], продукт получали в виде твердого вещества белого цвета. МС: m/e=340,2 (М+Н+). Пример 47 (S)-N-(1-Карбамоилэтил)-2,6-дифтор-4-(3-фторбензилокси)бензамид а) 3,5-Дифтор-(3-фторбензилокси)бензол Как описано в примере 37а, 3,5-дифторфенол (10 г, 76,9 ммолей) превращали в указанное в заглавии соединение (18,1 г, 97%) [применяя 3-фторбензилбромид вместо 4-фторбензилбромида], продукт получали в виде светло-желтой жидкости. МС: m/e=238,1 (М+Н+). б) 2,6-Дифтор-4-(3-фторбензилокси)бензойная кислота Как описано в примере 37б, 3,5-дифтор-(3-фторбензилокси)бензол (13,5 г, 54,6 ммоля) превращали в указанное в заглавии соединение (6,3 г, 41%), которое получали в виде твердого вещества белого цвета. МС: m/e=280,9 (М+Н+). в) (S)-N-(1-Карбамоилэтил)-2,6-дифтор-4-(3-фторбензилокси)бензамид Как описано в примере 37в, 2,6-дифтор-4-(3-фторбензилокси)бензойную кислоту (250 мг, 0,89 ммоля) превращали в указанное в заглавии соединение (226 мг, 72%), которое получали в виде твердого вещества белого цвета. МС: m/e=353,2 (М+Н+). Пример 48 (R)-N-(1-Карбамоилэтил)-2,6-дифтор-4-(3-фторбензилокси)бензамид Как описано в примере 38, превращали 2,6-дифтор-4-(3-фторбензилокси)бензойную кислоту (250 мг, 0,89 ммоля) в указанное в заглавии соединение (224 мг, 72%), которое получали в виде твердого вещества белого цвета. МС: m/e=353,2 (М+Н+). Пример 49 N-Карбамоилметил-2,6-дифтор-4-(3-фторбензилокси)бензамид Как описано в примере 39, превращали 2,6-дифтор-4-(3-фторбензилокси)бензойную кислоту (250 мг, 0,89 ммоля) в указанное в заглавии соединение (212 мг, 71%), которое получали в виде твердого вещества белого цвета. МС: m/e=339,2 (М+Н+). Пример 50 N-Цианметил-2,6-дифтор-4-(3-фторбензилокси)бензамид Как описано в примере 40, превращали 2,6-дифтор-4-(3-фторбензилокси)бензойную кислоту (250 мг, 0,89 ммоля) в указанное в заглавии соединение (245 мг, 86%), которое получали в виде твердого вещества белого цвета. МС: m/e=321,2 (М+Н+). Пример 51 2,6-Дифтор-4-(3-фторбензилокси)-N-(2-метоксиэтил)бензамид Как описано в примере 41, превращали 2,6-дифтор-4-(3-фторбензилокси)бензойную кислоту (250 мг, 0,89 ммоля) в указанное в заглавии соединение (264 мг, 88%), которое получали в виде твердого вещества белого цвета. МС: m/e=340,2 (М+Н+). Пример 52 (S)-N-(1-Карбамоил-2-гидроксиэтил)-2,6-дифтор-4-(3-фторбензилокси)бензамид Как описано в примере 42, превращали 2,6-дифтор-4-(3-фторбензилокси)бензойную кислоту (250 мг, 0,89 ммоля) в указанное в заглавии соединение (234 мг, 72%), которое получали в виде твердого вещества белого цвета. МС: m/e=369,2 (М+Н+). Пример 53 Гидрохлорид N-(2-аминоэтил)-2,6-дифтор-4-(3-фторбензилокси)бензамида (1:1) Как описано в примере 43, превращали 2,6-дифтор-4-(3-фторбензилокси)бензойную кислоту (250 мг, 0,89 ммоля) в указанное в заглавии соединение (264 мг, 89%), которое получали в виде твердого вещества белого цвета. МС: m/e=325,3 (M-Cl+). Пример 54 2,6-Дифтор-4-(3-фторбензилокси)-N-(2-гидроксиэтил)бензамид Как описано в примере 44, превращали 2,6-дифтор-4-(3-фторбензилокси)бензойную кислоту (250 мг, 0,89 ммоля) в указанное в заглавии соединение (165 мг, 57%), которое получали в виде твердого вещества белого цвета. МС: m/e=326,3 (М+Н+). Пример 55 (S)-2,6-Дифтор-4-(3-фторбензилокси)-N-(2-гидрокси-1-метилэтил)бензамид Как описано в примере 45, превращали 2,6-дифтор-4-(3-фторбензилокси)бензойную кислоту (250 мг, 0,89 ммоля) в указанное в заглавии соединение (120 мг, 40%), которое получали в виде твердого вещества белого цвета. МС: m/e=340,2 (М+Н+). Пример 56 (R)-2,6-Дифтор-4-(3-фторбензилокси)-N-(2-гидрокси-1-метилэтил)бензамид Как описано в примере 46, превращали 2,6-дифтор-4-(3-фторбензилокси)бензойную кислоту (250 мг, 0,89 ммоля) в указанное в заглавии соединение (100 мг, 33%), которое получали в виде твердого вещества белого цвета. МС: m/e=340,2 (М+Н+).
Активный ингредиент с подходящим размером частиц, кристаллическую лактозу и микрокристаллическую целлюлозу смешивают друг с другом до гомогенного состояния, просеивают и после этого примешивают тальк и стеарат магния. Полученной конечной смесью заполняют твердые желатиновые капсулы подходящего размера.
Формула изобретения
1. Соединение общей формулы где R1 означает водород, (С1-С6)алкил или гидрокси(С1-С6)алкил; R2 означает -CO-NR8R9, -(CH2)n-NR8R9, -(CH2)p-OR8 или -(CH2)n-CN; R3 выбирают из водорода, галогена, галоген(С1-С6)алкила; R4, R5, R6 и R7 означают водород или фтор и, как минимум, один из R4, R5, R6 и R7 означает фтор; R8 и R9 независимо друг от друга означают водород или (С1-С6)алкил; m означает 1, 2 или 3; n означает 0, 1, 2 или 3 и р означает 1 или 2; а также их фармацевтически приемлемые соли. 2. Соединения формулы I по п.1, где R3 означает галоген, галоген(С1-С6)алкил. 3. Соединения формулы I по п.1, где R2 означает -CO-NR8R9 и R8 и R9 независимо друг от друга означают водород или (С1-С6)алкил. 4. Соединения формулы I по п.1, где R5 означает фтор и R4, R6 и R7 означают водород. 5. Соединения формулы I по п.4, где R2 означает -CO-NR8R9 и R8 и R9 независимо друг от друга означают водород или (С1-С6)алкил. 6. Соединения формулы I по п.5, где R3 означает фтор. 7. Соединения формулы I по п.6, которые выбираются из группы, включающей (S)-N-(1-карбамоилэтил)-2-фтор-4-(3-фторбензилокси)бензамид, 2-[4-(3-фторбензилокси)-2-фторбензамидо]ацетамид, (S)-N-(1-карбамоил-2-гидроксиэтил)-2-фтор-4-(3-фторбензилокси)бензамид, (R)-N-(1-карбамоилэтил)-2-фтор-4-(3-фторбензилокси)бензамид, 2-[4-(4-фторбензилокси)-2-фторбензамидо]ацетамид и (S)-N-(1-карбамоилэтил)-2-фтор-4-(4-фторбензилокси)бензамид. 8. Соединения формулы I по п.5, где R3 означает трифторметил. 9. Соединения формулы I по п.8, которые выбираются из группы, включающей (S)-N-(1-карбамоилэтил)-2-фтор-4-(4-трифторметилбензилокси)бензамид и (S)-4-(3,5-бис(трифторметил)бензилокси)-N-(1-карбамоилэтил)-2-фторбензамид. 10. Соединения формулы I по п.4, где R2 означает -(СН2)р-OR8, R8 означает водород или (С1-С6)алкил и р означает 1 или 2. 11. Соединения формулы I по п.10, которые выбираются из группы, включающей (S)-2-фтор-4-(3-фторбензилокси)-N-(2-метокси-1-метилэтил)бензамид, 2-фтор-4-(3-фторбензилокси)-N-(2-метоксиэтил)бензамид и 2-фтор-4-(3-фторбензилокси)-N-(2-гидроксиэтил)бензамид. 12. Соединения формулы I по п.4, где R2 означает -(CH2)n-NR8R9 и где R8 и R9 независимо друг от друга означают водород или (С1-С6)алкил и n означает 0, 1, 2 или 3. 13. Соединения формулы I по п.5, где R2 означает -(CH2)n-CN и n означает 0, 1, 2 или 3. 14. Соединения формулы I по п.1, где R4 означает фтор и R5, R6 и R7 означают водород. 15. Соединения формулы I по п.14, где R2 означает -CO-NR8R9 и R8 и R9 независимо друг от друга означают водород или (С1-С6)алкил. 16. Соединения формулы I по п.15, где R3 означает фтор. 17. Соединения формулы I по п.16, которые выбираются из группы, включающей (S)-N-(1-карбамоилэтил)-3-фтор-4-(4-фторбензилокси)бензамид, 2-[4-(4-фторбензилокси)-3-фторбензамидо]ацетамид, (S)-N-(1-карбамоил-2-гидроксиэтил)-3-фтор-4-(4-фторбензилокси)бензамид, 2-[4-(3-фторбензилокси)-3-фторбензамидо]ацетамид, (S)-N-(1-карбамоилэтил)-3-фтор-4-(3-фторбензилокси)бензамид, (R)-N-(1-карбамоилэтил)-3-фтор-4-(3-фторбензилокси)бензамид и (S)-N-(1-карбамоил-2-гидроксиэтил)-3-фтор-4-(3-фторбензилокси)бензамид. 18. Соединения формулы I по п.15, где R3 означает трифторметил. 19. Соединения формулы I по п.18, которые выбираются из группы, включающей 2-[4-(4-трифторметилбензилокси)-3-фторбензамидо]ацетамид и (S)-N-(1-карбамоил-2-гидроксиэтил)-3-фтор-4-(4-трифторметилбензилокси)бензамид. 20. Соединения формулы I по п.14, где R2 означает -(CH2)p-OR8, R8 означает водород или (С1-С6)алкил и р означает 1 или 2. 21. Соединения формулы I по п. 14, где R2 означает -(CH2)n-NR8R9 и где R8 и R9 независимо друг от друга означают водород или (С1-С6)алкил и n означает 0, 1, 2 или 3. 22. Соединения формулы I по п.4, где R2 означает -(CH2)n-CN и n означает 0, 1, 2 или 3. 23. Соединения формулы I no п.1, где R3 означает водород. 24. Соединения формулы I по п.1, где R4 и R5 оба означают фтор и R6 и R7 означают водород. 25. Соединения формулы I по п.24, которые выбираются из группы, включающей (S)-N-(1-карбамоилэтил)-2,6-дифтор-4-(4-фторбензилокси)бензамид, N-карбамоилметил-2,6-дифтор-4-(4-фторбензилокси)бензамид, N-цианметил-2,6-дифтор-4-(4-фторбензилокси)бензамид, 2,6-дифтор-4-(4-фторбензилокси)-N-(2-метоксиэтил)бензамид, (S)-2,6-дифтор-4-(4-фторбензилокси)-N-(2-гидрокси-1-метилэтил)бензамид и 2,6-дифтор-4-(3-фторбензилокси)-N-(2-метоксиэтил)бензамид. 26. Соединение формулы I по любому из пп.1-25, а также их фармацевтически приемлемые соли, обладающие ингибирующей активностью в отношении моноаминооксидазы В. 27. Лекарственное средство, обладающее ингибирующей активностью в отношении моноаминооксидазы В, содержащее одно или несколько соединений по любому из пп.1-25 в качестве активного компонента и фармацевтически приемлемые наполнители. 28. Лекарственное средство по п.27 для лечения и предупреждения болезни Альцгеймера и старческого слабоумия.
|
||||||||||||||||||||||||||||||||||||||||||||||||||||||||||||||||||||||||||||||||||||||||||||||||||||||||||||||||||||||||||||||||||||












