Патент на изобретение №2314283
|
||||||||||||||||||||||||||||||||||||||||||||||||||||||||||||||||||||||||||||||||||||||||||||||||||||||||||||||||||||||||||||||||||||||||||||||||||||||||||||||||||||||||||||||||||||||||||||||||||||||||||||||||||||||||||||||||||||||||||||||||||||||||||||||||||||||||||||||||||||||||||||||||||||||||||||||||||||||||||||||||||||||||||||||||||||||||||||||||||||||||||||||||||||||||||||||||||||||||||||||||||||||||||||||||||||||||||||||||||||||||||||||||||||||||||||||||||||||||||||||||||||||||||||||||||||||||||||||||||||||||||||||||||||||||||||||||||||||||||||||||||||||||||||||||||||||||||||||||||||||||||||||||||||||||||||||||||||||||||||||||||||||||||||||||||||||||||||||
(54) ЗАМЕЩЕННЫЕ ФЕНИЛНАФТАЛИНЫ В КАЧЕСТВЕ ЭСТРОГЕННЫХ АГЕНТОВ
(57) Реферат:
Изобретение относится к модуляторам рецепторов эстрогенов формулы I, где R1 и R2, каждый независимо, выбраны из водорода или галогена; R5, R6, R7, R8 и R9, каждый независимо, представляют собой водород, галоген или -CN; при условии, что, по меньшей мере, один из R5 или R9 не является водородом, или их фармацевтически приемлемым солям. Изобретение также относится к способу получения заявленных соединений, фармацевтической композиции, к применению соединения формулы (I) для производства лекарственного средства, обладающего активностью агониста или антагониста рецептора эстрогена, к способам лечения или ингибирования различных заболеваний. 9 н. и 11 з.п. ф-лы, 14 табл.
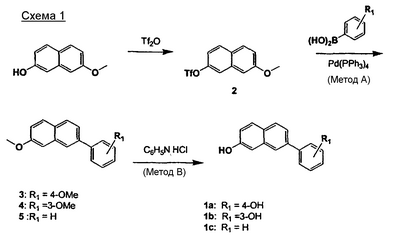
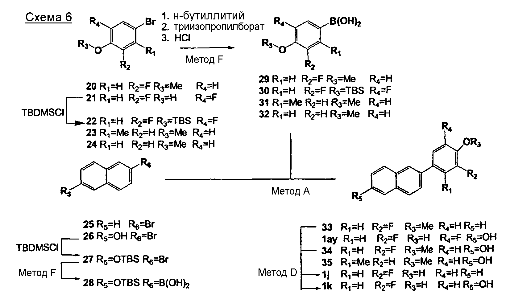
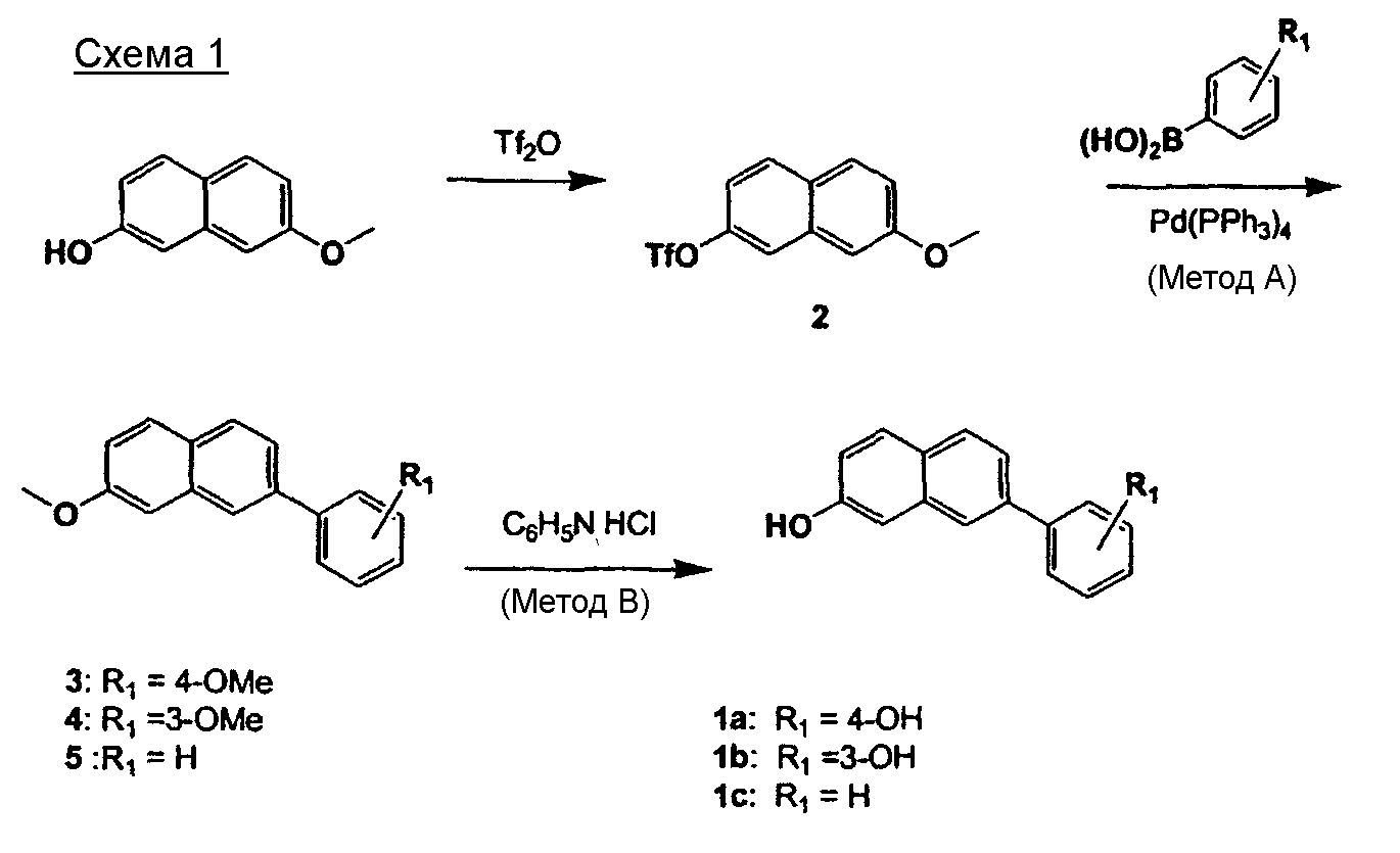
Данное изобретение относится к замещенным фенилнафталинам, которые полезны в качестве эстрогенных агентов. Плейотропные эффекты эстрогенов в тканях млекопитающих были хорошо документированы, и теперь признано, что эстрогены действуют на многие системы органов [Mendelsohn and Karas, New England Journal of Medicine 340: 1801-1811 (1999), Epperson, et al., Psychosomatic Medicine 61: 676-697 (1999), Crandall, Journal of Womens Health & Gender Based Medicine 8: 1155-1166 (1999), Monk and Brodaty, Dementia & Geriatric Cognitive Disorders 11: 1-10 (2000), Hurn and Macrae, Journal of Cerebral Blood Flow & Metabolism 20: 631-652 (2000), Calvin, Maturitas 34: 195-210 (2000), Finking, et al., Zeitschrift fur Kardiologie 89: 442-453 (2000), Brincat, Maturitas 35: 107-117 (2000), Al-Azzawi, Postgraduate Medical Journal 77: 292-304 (2001)]. Эстрогены могут оказывать действие на ткани несколькими путями, и наиболее хорошо охарактеризованным механизмом действия является их взаимодействие с рецепторами эстрогена, приводящее к изменению в транскрипции гена. Рецепторы эстрогена являются лиганд-активированными факторами транскрипции и принадлежат к суперсемейству ядерных рецепторов гормонов. Другие члены данного семейства включают рецепторы прогестерона, андрогена, глюкокортикоида и минералокортикоида. При связывании лиганда эти рецепторы димеризуются и могут активировать транскрипцию гена либо непосредственно связыванием со специфическими последовательностями на ДНК (известны как элементы реакции), либо взаимодействием с другими факторами транскрипции (такими как АР1), которые, в свою очередь, связываются непосредственно со специфическими ДНК-последовательностями [Moggs and Orphanides, EMBO Reports 2: 775-781 (2001), Hall, et al., Journal of Biological Chemistry 276: 36869-36872 (2001), McDonnell, Principles Of Molecular Regulation, р. 351-361 (2000)]. Класс «сорегуляторных» белков может также взаимодействовать с лиганд-связанным рецептором и далее модулировать его транскрипционную активность [McKenna, et al., Endocrine Reviews 20: 321-344 (1999)]. Обнаружено также, что рецепторы эстрогена могут подавлять NFkB-опосредованную транскрипцию как лигандзависимым, так и -независимым образом [Quaedackers, et al., Endocrinology 142: 1156-1166 (2001), Bhat, et al., Journal of Steroid Biochemistry and Molecular Biology 67: 233-240 (1998), Pelzer, et al., Biochemical and Biophysical Research Communications 286: 1153-7 (2001)]. Рецепторы эстрогена могут быть также активированы фосфорилированием. Такое фосфорилирование опосредуется факторами роста, такими как EGF, и вызывают изменения в транскрипции гена в отсутствие лиганда [Moggs and Orphanides, EMBO Reports 2: 775-781 (2001), Hall, et al., Journal of Biological Chemistry, 276: 36869-36872 (2001)]. Менее хорошо охарактеризованным средством, которым эстрогены могут воздействовать на клетки, считается так называемый мембранный рецептор. Наличие такого рецептора является дискуссионным, но хорошо было документировано, что эстрогены могут вызывать очень быстро негеномные реакции клеток. Молекулярная сущность, ответственная за трансдукцию этих эффектов, не была определенно выделена, но имеется доказательство, которое наводит на мысль, что она, по меньшей мере, относится к ядерным формам рецепторов эстрогена [Levin, Journal of Applied Physiology 91: 1860-1867 (2001), Levin, Trends in Endocrinology and Metabolism 10: 374-377 (1999)]. На сегодняшний день обнаружено два рецептора эстрогена. Первый рецептор эстрогена клонировали приблизительно 15 лет назад и теперь его обозначают ER Описано большое число соединений, которые либо имитируют, либо блокируют активность 17 В течение некоторого последнего времени стало известно, что рецепторы эстрогена принимают различные конформации при связывании лигандов. Однако последовательность и тонкое различие этих изменений обнаружены только недавно. Трехмерные структуры ER Как упомянуто выше, эстрогены воздействуют на «доспехи» биологических процессов. Кроме того, в тех случаях, когда были описаны родовые различия (например, частота заболевания, ответные реакции на стимул и т.д.), возможно, что объяснение включает различие в уровнях эстрогена между мужскими и женскими особями. Данное изобретение относится к эстрогенному соединению формулы I, имеющему структуру где R1, R2, R3 и R4, каждый независимо, выбран из водорода, гидроксила, алкила, содержащего 1-6 атомов углерода, алкокси, содержащего 1-6 атомов углерода, или галогена; R5, R6, R7, R8, R9 и R10, каждый независимо, представляют собой, водород, алкил, содержащий 1-6 атомов углерода, алкенил, содержащий 2-7 атомов углерода, алкинил, содержащий 2-7 атомов углерода, галоген, алкокси, содержащий 1-6 атомов углерода, -CN, -CHO, фенил или 5- или 6-членное гетероциклическое кольцо, имеющее 1-4 гетероатома, выбранных из О, N или S; где алкильные или алкенильные радикалы R5, R6, R7, R8, R9 или R10 могут быть, необязательно, замещены гидроксилом, -CN, галогеном, трифторалкилом, трифторалкокси, -NO2 или фенилом; где фенильный радикал R5, R6, R7, R8, R9 или R10 может быть, необязательно, моно-, ди- или тризамещен алкилом, содержащим 1-6 атомов углерода, алкенилом, содержащим 2-7 атомов углерода, галогеном, гидроксилом, алкокси, содержащим 1-6 атомов углерода, -CN, -NO2, амино, алкиламино, содержащим 1-6 атомов углерода, диалкиламино, содержащим 1-6 атомов углерода в каждой алкильной группе, тио, алкилтио, содержащим 1-6 атомов углерода, алкилсульфинилом, содержащим 1-6 атомов углерода, алкилсульфонилом, содержащим 1-6 атомов углерода, алкоксикарбонилом, содержащим 2-7 атомов углерода, алкилкарбонилом, содержащим 2-7 атомов углерода, или бензоилом; при условии, что, по меньшей мере, один из R1, R2, R3, R4, R7, R8, R9 или R10 представляет собой гидроксил, или его фармацевтически приемлемую соль. Фармацевтически приемлемые соли могут быть образованы из органических и неорганических кислот, например уксусной, пропионовой, молочной, лимонной, винной, янтарной, фумаровой, малеиновой, малоновой, миндальной, яблочной, фталевой, хлористо-водородной, бромисто-водородной, фосфорной, азотной, серной, метансульфоновой, нафталинсульфоновой, бензолсульфоновой, толуолсульфоновой, камфорасульфоновой и аналогично известных приемлемых кислот, когда соединение настоящего изобретения содержит основную часть. Соли могут также быть образованы из органических и неорганических оснований, такие как соли щелочных металлов (например, натрия, лития или калия), соли щелочно-земельных металлов, соли аммония, соли алкиламмония, содержащие 1-6 атомов углерода, или соли диалкиламмония, содержащие 1-6 атомов углерода в каждой алкильной группе, и соли триалкиламмония, содержащие 1-6 атомов углерода в каждой алкильной группе, когда соединение данного изобретения содержит кислотную часть. Термины алкил и алкенил включают радикалы как с разветвленной, так и неразветвленной цепью, например, содержащие 1-6 и 2-7 атомов углерода, соответственно. Примеры их включают метил, этил, пропил, бутил, изопропил, втор-бутил, трет-бутил, винил, аллил, 1-метилвинил и тому подобное. Когда алкильные или алкенильные радикалы являются замещенными, они могут быть обычно моно-, ди-, три- или перзамещенными. Примеры галогензамещенного радикала включают 1-бромвинил, 1-фторвинил, 1,2-дифторвинил, 2,2-дифторвинил, 1,2,2-трифторвинил, 1,2-дибромэтан, 1,2-дифторэтан, 1-фтор-2-бромэтан, CF2CF3, CF2CF2CF3 и тому подобное. Термин галоген включает бром, хлор, фтор и йод. Предпочтительные 5-6-членные гетероциклические кольца включают фуран, тиофен, пиррол, изопиррол, пиразол, имидазол, триазол, дитиол, оксатиол, изоксазол, оксазол, тиазол, изотиазол, оксадиазол, фуразан, оксатриазол, диоксазол, оксатиазол, тетразол, пиран, пиридин, пиридазин, пиримидин, пиразин, триазин, оксазин, оксатиазин или оксадиазин. Более предпочтительно, когда гетероциклическое кольцо представляет собой фуран, тиофен или пиридин. Используемый в соответствии с данным изобретением термин «обеспечение» в связи с обеспечением соединения или вещества, включенного в данное изобретение, означает либо непосредственное введение такого соединения или вещества или введение пролекарства, производного или аналога, который будет образовывать эффективное количество соединения или вещества в организме. Из соединений данного изобретения предпочтительно, чтобы соединение формулы I имело структуру где R1 и R2, каждый независимо, выбраны из водорода, гидроксила, алкила, содержащего 1-6 атомов углерода, алкенила, содержащего 2-7 атомов углерода, и алкинила, содержащего 2-7 атомов углерода, алкокси, содержащего 1-6 атомов углерода, или галогена; R5, R6, R7, R8 и R9, каждый независимо, представляют собой, водород, алкил, содержащий 1-6 атомов углерода, алкенил, содержащий 2-7 атомов углерода, алкинил, содержащий 2-7 атомов углерода, галоген, алкокси, содержащий 1-6 атомов углерода, -CN, -CHO, трифторметил, фенилалкил, содержащий 7-12 атомов углерода, фенил или 5- или 6-членное гетероциклическое кольцо, имеющее 1-4 гетероатома, выбранных из О, N или S; где алкильные или алкенильные радикалы R5, R6, R7, R8 или R9 могут быть, необязательно, замещены гидроксилом, -CN, галогеном, трифторалкилом, трифторалкокси, -NO2 или фенилом; где фенильный радикал R5, R6, R7, R8, R9 или R10 может быть, необязательно, моно-, ди- или тризамещен алкилом, содержащим 1-6 атомов углерода, алкенилом, содержащим 2-7 атомов углерода, галогеном, гидроксилом, алкокси, содержащим 1-6 атомов углерода, -CN, -NO2, амино, алкиламино, содержащим 1-6 атомов углерода, диалкиламино, содержащим 1-6 атомов углерода в каждой алкильной группе, тио, алкилтио, содержащим 1-6 атомов углерода, алкилсульфинилом, содержащим 1-6 атомов углерода, алкилсульфонилом, содержащим 1-6 атомов углерода, алкоксикарбонилом, содержащим 2-7 атомов углерода, алкилкарбонилом, содержащим 2-7 атомов углерода, или бензоилом; при условии, что, по меньшей мере, один из R5 или R9 не является водородом, или было его фармацевтически приемлемой солью. Более предпочтительно, чтобы соединение формулы I имело структуру и еще более предпочтительно, чтобы 5- или 6-членное гетероциклическое кольцо, имеющее 1-4 гетероатома, выбранных из О, N или S, представляло собой фуран, тиофен или пиридин. Еще более предпочтительно, чтобы R5, R6, R7, R8 и R9 представляли собой, каждый независимо, водород, галоген, -CN или алкинил, содержащий 2-7 атомов углерода. Примерами R1 и R2, каждого независимо, являются водород и фтор. R5, R6, R7, R8 и R9, каждый независимо, может быть, например, водородом, галогеном, -CN или алкинилом, содержащим 2-7 атомов углерода. R5 может быть, например, выбран из водорода, фтора или цианогруппы. R9 может быть выбран из водорода, фтора или циано. R6, R7 и R8, каждый независимо, может быть водородом. 5- или 6-членное гетероциклическое кольцо, имеющее 1-4 гетероатома, выбранные из О, N или S, представляет собой, например, фуран, тиофен или пиридин. Примерами соединений данного изобретения, включающих вышеуказанную структуру (I), являются: 8-фтор-6-(3-фтор-4-гидроксифенил)-2-нафтол; 1-хлор-8-фтор-6-(3-фтор-4-гидроксифенил)-2-нафтол; 3-(3-фтор-4-гидроксифенил)-7-гидрокси-1-нафтонитрил; 3-(3,5-дифтор-4-гидроксифенил)-7-гидрокси-1-нафтонитрил; 6-(3-фтор-4-гидроксифенил)-2-нафтол; 1-хлор-6-(3-фтор-4-гидроксифенил)-2-нафтол; 1-хлор-6-(2-фтор-4-гидроксифенил)-2-нафтол; 1-хлор-6-(2,5-дифтор-4-гидроксифенил)-2-нафтол; 1-хлор-6-(2,6-дифтор-4-гидроксифенил)-2-нафтол; 6-(2,5-дифтор-4-гидроксифенил)-2-нафтол; 6-(3,5-дифтор-4-гидроксифенил)-2-нафтол; 1-хлор-6-(3,5-дифтор-4-гидроксифенил)-2-нафтол; 6-(2,6-дифтор-4-гидроксифенил)-2-нафтол или 8-хлор-3-(3-фтор-4-гидроксифенил)-7-гидрокси-1-нафтонитрил; 7-(4-гидроксифенил)-2-нафтол; 7-(3-гидроксифенил)-2-нафтол; 6-(4-гидроксифенил)-1-нафтол; 6-фенил-2-нафтол; 6-(3-гидроксифенил)-2-нафтол; 6-(3-хлорфенил)-2-нафтол; 2-фтор-4-(2-нафтил)фенол; 6-(3-хлор-4-гидроксифенол)-2-нафтол; 1-хлор-6-фенил-2-нафтол; 1-бром-6-(4-гидроксифенил)-2-нафтол; 1-хлор-6-(4-гидроксифенил)-2-нафтол; 1-фтор-6-(4-гидроксифенил)-2-нафтол; 2-гидрокси-6-(4-гидроксифенил)-1-нафтонитрил; 6-(4-гидроксифенил)-1-фенил-2-нафтол; 6-(4-гидроксифенил)-1-метил-2-нафтол; 1-хлор-6-(3-хлор-4-гидроксифенил)-2-нафтол; 6-(4-гидроксифенил)-1-нитро-2-нафтол; 1-хлор-6-(4-гидрокси-2-метилфенил)-2-нафтол; 6-(4-гидрокси-2-метилфенил)-2-нафтол; 6-(4-гидрокси-2-метоксифенил)-2-нафтол; 6-(2-хлор-4-гидроксифенил)-2-нафтол; 1-хлор-6-(2-хлор-4-гидроксифенил)-2-нафтол; 6-(2-фтор-4-гидроксифенил)-2-нафтол; 8-фтор-6-(4-гидроксифенил)-2-нафтол; 1-хлор-8-фтор-6-(4-гидроксифенил)-2-нафтол; 8-хлор-6-(4-гидроксифенил)-2-нафтол; 1,5-дихлор-8-фтор-6-(4-гидроксифенил)-2-нафтол; 2-хлор-4-(2-нафтил)фенол; 3-бром-8-хлор-6-(4-гидроксифенил)-2-нафтол; 1,8-дихлор-6-(4-гидроксифенил)-2-нафтол; 3-бром-1,8-дихлор-6-(4-гидроксифенил)-2-нафтол; 7-гидрокси-3-(4-гидроксифенил)-1-нафтонитрил; 8-хлор-3-(4-гидроксифенил)-7-гидрокси-1-нафтонитрил; 8-бром-7-гидрокси-3-(4-гидроксифенил)-1-нафтонитрил или их фармацевтически приемлемые соли. Настоящее изобретение относится также к способам получения соединений изобретения, включая соединения вышеуказанной структуры (I). В соответствии с этим, данное изобретение предлагает способ получения нафтилсоединения, как указано здесь выше, включая указанную выше структуру (I), который включает один из следующих способов: а) деалкилирование или деаралкилирование соединения формулы где R1-R10 имеют указанные выше значения, при условии, что, по меньшей мере, один из R1, R2, R3, R4, R7, R8, R9 или R10 представляет собой алкокси или аралкилокси, с получением соответствующего соединения формулы I, где, по меньшей мере, один из R1, R2, R3, R4, R7, R8, R9 или R10 представляет собой гидрокси; {например, деалкилирование или деаралкилирование соединения формулы: где, по меньшей мере, один из R и R’ представляет собой алкил (содержащий, например, 1-6 атомов углерода) или аралкил (содержащий, например, 7-12 атомов углерода) с получением соответствующего соединения формулы (I)} или b) галогенирование соединения формулы I где R10 представляет собой гидрокси; такого как соединение формулы: с получением соответствующего 1-галогеннафтола; или с) превращение основного соединения формулы I в его соль или наоборот. В любой из реакций, описанных здесь, любая реакционноспособная группа или местоположение может быть защищено перед реакцией и защитная группа может быть удалена после реакции. Реагенты, используемые при получении соединений данного изобретения, могут быть либо коммерчески получены, либо могут быть получены стандартными процедурами, описанными в литературе. Получение нескольких репрезентативных примеров данного изобретения описаны в следующих схемах 1-15. Стандартные процедуры фармакологического испытания являются легко доступными для определения профиля активности данного испытуемого соединения. Ниже кратко суммировано несколько репрезентативных процедур испытания, они могут включать данные для репрезентативных соединений изобретения. Все анализы, за исключением анализа связывания радиолиганда, могут быть использованы для обнаружения активности агониста или антагониста рецептора эстрогена соединений. В общем, активность агониста рецептора эстрогена измеряют сравнением активности этого соединения со ссылочным эстрогеном (например, 17 Оценка аффинностей связывания ER Репрезентативные примеры изобретения оценивали на их способность конкурировать с 17 Получение экстрактов рецепторов для получения характеристики селективности связывания. Домены связывания лиганда, обычно определяемые здесь как все последовательности в прямом направлении от домена связывания ДНК, были получены ПЦР (полимеразной цепной реакцией) с использованием полноразмерной кДНК в качестве матриц и праймеров, которые содержали подходящие сайты рестрикции для субклонирования при поддержании подходящей рамки считывания для экспрессии. Эти матрицы содержали аминокислоты М250-V595 ER Клетки BL21(DE3) использовали для экспрессии белков человека. Обычно 10 мл полученной культивированием в течение ночи культуры использовали для инокуляции 1 л культуры среды LB, содержащей 100 мкг/мл ампициллина. После инкубации в течение ночи при 37°С добавляли IPTG до конечной концентрации 1 мМ и инкубацию проводили при 25°С в течение 2 часов. Клетки собирали центрифугированием (1500 х g) и осадок в пробирке после центрифугирования промывали 100 мл 50 мМ Трис-Cl (рН 7,4), 150 мМ NaCl и снова суспендировали в 100 мл 50 мМ Трис-Cl (рН 7,4), 150 мМ NaCl. Клетки лизировали пропусканием два раза через пресс Френча при 12000 фунт/кв. дюйм. Лизат осветляли центрифугированием при 12000 х g в течение 30 минут при 4°С и хранили при -70°С. Оценка экстрактов на специфическое связывание [3H]-эстрадиола. В качестве буфера для анализа использовали физиологический раствор Дульбекко, забуференный фосфатом (Gibco, конечная концентрация 1х) и дополненный 1 мМ ЭДТУ. Для оптимизации количества рецептора, который используют в анализе, к каждой лунке маскированного титровального микропланшета для высокого связывания (EG and G Wallac) добавляли [3H]-17 После определения разведения каждого препарата рецептора, которое обеспечивает максимальное специфическое связывание, анализ далее оптимизировали оценкой IC50 немеченого 17 Процедура испытания на конкуренцию связывания лигандов. Испытуемые соединения сначала растворяли в ДМСО, конечная концентрация ДМСО в анализе связывания была Аффинности связывания для ER
Результаты, полученные в стандартной процедуре фармакологического испытания, описанной выше, демонстрируют, что соединения данного изобретения связывают оба подтипа рецептора эстрогена. IC50 обычно ниже для ER Регуляция мРНК металлотионеина-II Эстрогены, действующие через ER
Оценка испытуемого соединения с использованием процедуры испытания с ERE-репортером в раковых клетках молочной железы MCF-7 Исходные растворы испытуемых соединений (обычно 0,1 М) получают в ДМСО и затем разводят в 10-100 раз ДМСО для получения рабочих растворов 1 или 10 мМ. Растворы в ДМСО сохраняют либо при 4°С (0,1 М), либо при -20°С (<0,1 М). Клетки MCF-7 пересевают два раза в неделю с питательной средой [среда D-MEM/F-12, содержащая 10% (об./об.) термоинактивированной фетальной бычьей сыворотки, 1% (об./об.) пенициллина-стрептомицина и 2 мМ GlutaMax-1]. Клетки сохраняют в вентилируемых склянках при 37°С внутри инкубатора с атмосферой 5% СО2/95% увлажненного воздуха. За один день до обработки клетки помещают с питательной средой в 96-луночные планшеты в количестве 25000 клеток/лунку и инкубируют при 37°С на протяжении ночи. Клетки инфицируют в течение 2 ч при 37°С 50 мкл/лунку при разведении 1:10 5-ERE-tk-люциферазы аденовируса в экспериментальной среде [D-MEM/F-12-среда без фенола красного, содержащая 10% (об./об.) термоинактивированной, очищенной углем фетальной бычьей сыворотки, 1% (об./об.) пенициллина-стрептомицина, 2 мМ glutaMax-1, 1 мМ пируват натрия). Лунки затем промывают 150 мкл экспериментальной среды. Наконец, клетки обрабатывают в течение 24 ч при 37°С в повторностях 8 лунок/обработку 150 мкл/лунку наполнителя ( Начальный отбор испытуемых соединений проводят при одной дозе 1 мкМ, которую испытывают отдельно (способ агониста рецептора эстрогена) или в сочетании с 0,1 нМ 17 После обработки клетки лизируют на встряхивателе в течение 15 мин с 25 мкм/лунку реагента лизиса клеточной культуры 1Х (Promega Corporation). Клеточные лизаты (20 мкл) переносят в 96-луночный планшет-люминометр и активность люциферазы измеряют в люминометре MicroLumat LB 96 P (ES and G Berthold) с использованием 100 мкл/лунку субстрата люциферазы (Promega Corporation). Перед инъекцией субстрата для каждой лунки проводят 1-секундное измерение фона. После инъекции субстрата активность люциферазы измеряют в течение 10 секунд после задержки 1 секунда. Данные переносят из люминометра в персональный компьютер Макинтоша и анализируют с использованием программного обеспечения JMP (SAS Institute); данная программа вычитает фоновое значение из измерения люцеферазы для каждой лунки и затем определяют среднее и стандартное отклонение для каждой обработки. Данные люциферазы преобразуют с использованием логарифмов и оценочную формулу Hubert M используют для повторного взвешивания описываемых преобразованных измерений. Программное обеспечение JMP используют для анализа трансформированных и взвешенных данных для однофакторного анализа ANOVA (испытание Dunnett). Обработки соединениями сравнивают с результатами контроля с наполнителем в способе с агонистом рецептора эстрогена или результатами положительного контроля агониста рецептора эстрогена (0,1 нМ 17 Оценка утеротрофической активности Утеротрофическая активность испытуемого соединения может быть измерена по следующим стандартным процедурам фармакологического испытания. Процедура 1: Крыс Sprague-Dawley с половой незрелостью (возраст 18 дней) получали от Taconic и обеспечивали их неограниченным доступом к корму на основе казеина (Purina Mills 5K96C) и воде. На день 19, 20 и 21 крыс дозировали подкожным способом 17
Процедура 2: Мышей 129 SvE с половой незрелостью (возраст 18 дней) получали от Taconic и обеспечивали их неограниченным доступом к корму на основе казеина (Purina Mills 5K96C) и воде. На день 22, 23, 24 и 25 мышей дозировали подкожным способом соединением или наполнителем (кукурузное масло). Имелось шесть мышей/группу и их эутанизировали приблизительно через 6 часов после последней инъекции асфиксией CO2 и пневмотораксом. Матки удаляли и взвешивали после дополнительной обработки, связанной с жиром и экспрессией любой внутренней жидкости. Нижеследующие результаты (таблица (4)) были получены для репрезентативных соединений изобретения.
Оценка остеопороза и модуляции липидов (кардиозащита) Самок крыс Sprague-Dawlew, овариэктомизированных или симулированно оперированных, получают через 1 день после хирургии от Taconic Farms (диапазон масс 240-275 г). Их поселяли по 3 или 4 крысы/клетку в комнате с режимом 12/12 (свет/темнота) и снабжали кормом (корм крыс Purina 5K96C) и водой ad libitum. Обработку для всех исследований начинают через 1 день после прибытия и дозируют 7 дней в неделю, как указано в течение 6 недель. Группа совместимых по возрасту, симулированно оперированных крыс, не получающих никакой обработки, служит в качестве интактной, насыщенной эстрогеном контрольной группы для каждого исследования. Все испытуемые соединения получают в наполнителе, 50% ДМСО (JT Baker, Phillipsburg, NJ)/1х забуференный физиологический раствор Дульбекко (GibcoBRL, Grand Island, NY) при определенных концентрациях, так чтобы объем обработки был 0,1 мл/100 г массы тела. 17 Через пять недель после начала обработки и за одну неделю перед окончанием исследования каждую крысу оценивают на плотность минералов костей (BMD). Общую и трабекулярную плотность проксимальной большеберцовой кости оценивают у анестезированных крыс с использованием ХСТ-960М (pQCT; Stratec Medizintechnik, Pforzheim, Germany). Измерения проводят следующим образом: за пятнадцать минут до сканирования каждую крысу анестезируют внутрибрюшинной инъекцией 45 мг/кг кетамина, 8,5 мг/кг ксилазина и 1,5 мг/кг ацепромазина. Правую заднюю конечность пропускают через поликарбонатную трубку с диаметром 25 мм и прикрепляют липкой лентой к акриловой рамке так, чтобы голеностопный сустав находился под углом 90°С и коленный сустав под углом 180°С. Поликарбонатную трубку прикрепляют к скользящей платформе, которая удерживает ее перпендикулярно относительно апертуры pQCT. Платформу приспосабливают так, что дистальный конец бедренной кости и проксимальный конец большеберцовой кости находятся в поле сканирования. Двухмерное поле зрения scout простирается на длину 10 мм и имеет линию разрешения 0,2 мм. После получения изображения scout на мониторе определяют местоположение проксимального конца большеберцовой кости. Сканирование pQCT начинают на расстоянии 3-4 мм от этой точки. Скан pQCT имеет толщину 1 мм, имеет размер объемного элемента (трехмерного пиксела) 0,140 мм и состоит из 145 проекций через срез. После завершения сканирования pQCT изображение демонстрируют на мониторе. Сканом очерчивается представляющая интерес область, включающая в себя большеберцовую кость, но исключающая малоберцовую кость. Мягкая ткань математически удаляется с использованием итеративного алгоритма. Плотность остальной кости (общая плотность) сообщается в мг/см3. Наружные 55% кости математически удаляется в концентрическую спираль. Плотность остающейся кости (трабекулярная плотность) указывается в мг/см3. Через одну неделю после оценки BMD крыс эутанизируют асфиксией СО2 и пневмотораксом и кровь собирают для определения холестерина. Матки также удаляют и взвешивают после очистки ассоциированного жира и экспрессии любой просветной жидкости. Общий холестерин определяют с использованием клинического анализатора Boehringer-Mannheim Hitachi 911 с использованием набора холестерин/НР. Статистические данные сравнивали с использованием однофакторного дисперсионного анализа с критерием Dunnet. Оценка активности антиокислителя Свиные аорты получают из скотобойни, промывают, переносят в охлажденный PBS, и собирают эндотелиальные клетки аорты. Для сбора клеток межреберные сосуды аорты соединяют и один конец аорты зажимают. Свежую, стерильную, отфильтрованную, 0,2% коллагеназу (Sigma Type I) помещают в сосуд, и другой конец сосуда затем зажимают с образованием закрытой системы. Аорту инкубируют при 37°С в течение 15-20 минут, после чего раствор коллагеназы собирают и центрифугируют в течение 5 минут при 2000 х g. Каждый осадок после центрифугирования суспендируют в 7 мл среды культивирования эндотелиальных клеток, состоящей из среды DMEM/Ham’s F12 без фенола красного, дополненной очищенной ФТС (5%), NuSerum (5%), L-глутамином (4 мМ), пенициллин-стрептомицином (1000 Е/мл, 100 мкг/мл) и гетамицином (75 мкг/мл), засевают в 100 мм чашке Петри и инкубируют при 37°С в 5% СО2. Через 20 минут клетки промывают PBS и добавляют свежую среду, это повторяют снова через 24 часа. Клетки становятся конфлюэнтными приблизительно через 1 неделю. Эндотелиальные клетки обычно выращивают с подачей питательной среды два раза в неделю и, когда они становятся конфлюэнтными, их трипсинизируют и засевают при отношении 1:7. Опосредованное клетками окисление 12,5 мкг/мл LDL проводят в присутствии соединения, которое нужно оценить (5 мкМ) в течение 4 часов при 37°С. Результаты выражают как процентное ингибирование окислительного процесса, измеряемое TBARS (вещества, реагирующие с тиобарбитуровой кислотой) методом анализа свободных альдегидов [Yagi, Biochemical Medicine 15: 212-6 (1976)]. Процедура стандартного фармакологического испытания регуляции мРНК рецептора прогестерона Данная процедура испытания может быть использована для оценки эстрогенной или антиэстрогенной активности соединений настоящего изобретения [Shughrue, et al., Endocrinology 138: 5476-5484 (1997)]. Данные для репрезентативных соединений изобретения представлены в таблице (5).
Процедура испытания на «приливы» у крыс Влияние испытуемых соединений на «приливы» может быть оценено стандартной процедурой фармакологического испытания, которая измеряет способность испытуемого соединения притуплять повышение в температуре кожи хвоста, которая имеет место, когда морфинзависимых крыс резко лишают потребления лекарственного средства с использованием налоксона [Merchenthaler, et al., Maturitas 30: 307-16 (1998)]. Она может быть также использована для обнаружения антагонистической активности рецептора эстрогена совместным дозированием испытуемого соединения со ссылочным эстрогеном. Оценка вазомоторной функции в изолированных аортных кольцах крыс Крыс Sprague-Dawley (240-260 грамм) делили на 4 группы: 1. Нормальные неовариэктомизированные (интактные). 2. Овариэктомизированные (ovex), обработанные наполнителем. 3. Овариэктомизированные, обработанные 17 4. Овариэктомизированные животные, обработанные испытуемым соединением (различные дозы). Животных овариэктомизируют за 3 недели перед обработкой. Каждое животное получает либо сульфат 17 Животных эутанизируют ингаляцией СО2 и кровопусканием. Грудную аорту быстро удаляют и помещают при 37°С в физиологический раствор следующего состава (мМ): NaCl (54,7), KCl (5,0), NaHCO3 (25,0), MgCl2 2H2O (2,5), D-глюкоза (11,8) и CaCl2 (0,2), газированный смесью СО2-О2, 95%/5% до конечного значения рН 7,4. Адветитициальную оболочку снимают с наружной поверхности, и сосуд делят на кольца шириной 2-3 мм. Кольца суспендируют в 10 мл бане для ткани с одним концом, соединенным с дном бани, и другим концом, соединенным с датчиком энергии. На кольца помещают напряжение покоя 1 грамм. Кольца уравновешивают в течение 1 часа, сигналы получают и анализируют. После уравновешивания кольца подвергают воздействию повышающихся концентраций фенилэфрина (18-8-10-4 М) и регистрируют напряжение. Бани затем промывают 3 раза свежим буфером. После промывки к бане для ткани добавляют 200 мМ L-NAME и уравновешивание проводят в течение 30 минут. Затем повторяют построение кривой зависимости реакции от концентрации фенилэфрина. Оценка кардиозащитной активности Мышей с дефицитом аполипопротеина Е С57/B1J (apo E KO) получают от Taconic Farms. Все процедуры с животными проводят при строгой податливости по инструкциям IACUC. Овариэктомизированных самок мышей аро Е КО возраста 4-7 недель помещают в клетки из коробок для обуви и предоставляют им свободный доступ к корму и воде. Животных рандомизируют по массе на группы (n=12-15 мышей на группу). Животных дозируют испытуемыми соединениями или эстрогеном (сульфатом 17 Для определения липидов и липопротеинов плазмы общий холестерин и триглицериды определяют с использованием ферментативных способов с коммерчески доступными наборами от Boehringer Mannheim и Wako Biochemicals, соответственно, и анализируют анализатором Boehringer Mannheim Hitachii 911. Разделение и количественное определение липопротеинов плазмы проводят с использованием фракционирования по размеру FPLC. Вкратце, 50-100 мл сыворотки фильтруют и впрыскивают в колонки суперозы 12 и суперозы 6, соединенных последовательно, и элюируют при постоянной скорости потока 1 мМ ЭДТУ и 0,15 М NaCl. Площади каждой кривой, представляющей VLDL, LDL и HDL, интегрируют с использованием программного обеспечения Waters MillenniumTM и каждую фракцию липопротеина количественно определяют умножением величины общего холестерина на относительный процент площади каждого соответствующего пика хроматограммы. Для количественного определения атеросклероза аорты осторожно выделяют и помещают для фиксации в формалин на 48-72 часа перед проведением операций с ними. Атеросклеротические повреждения идентифицируют с использованием окрашивания красным маслом О. Сосуды быстро освобождают от красителя и затем изображения их получают с использованием микроскопа Nicon SMU800, снабженного системой видеокамеры Sony 3CCD, совместно с IMAQ Configuration Utility (National Instrument) в качестве программного обеспечения для улавливания изображения. Повреждения определяют количественно en face вдоль дуги аорты с использованием пакета утилит программного обеспечения с конкретными «пороговыми» значениями (Coleman Technologies). Автоматизированную оценку повреждения выполняют на сосудах с использованием «пороговой» функции этой программы, в частности, на участке, содержащемся в пределах дуги аорты от проксимального конца плечеголовного ствола до дистального конца левой подключичной артерии. Данные по атеросклерозу аорты выражают в виде процента участия повреждения в пределах этой определенной зоны просвета сосуда. Оценка повышения познавательной способности Овариэктомизированных крыс (n=50) помещают в лабиринт с 8 радиальными рукавами на периоды 10 мин каждого из 5 последовательных дней. Животных лишают воды перед помещением в лабиринт и испытанием. В конце каждого из рукавов в качестве приманки помещают 100 мкл аликвоту воды. Задачу научения перемещения для достижения цели в лабиринте с радиальными рукавами выполняют посредством позволения животному иметь доступ к одному рукаву с приманкой. После питья животное выходит из рукава и вновь входит в центральный компартмент, где оно теперь имеет доступ к рукаву, который оно посетило ранее, или к новому рукаву. Правильную ответную реакцию регистрируют, когда животное выбирает вхождение в новый рукав. Каждому животному дают 5 попыток в течение 3 дней. После последнего испытания по научению животных относят к одной из следующих 4 групп: 1. Отрицательный контроль: инъецировали в качестве наполнителя 10% ДМСО/кунжутное масло один раз в день в течение 6 дней (1 мл/кг, подкожно). 2. Положительный контроль: инъецировали бензоат 17 3. Эстрадиол: 17 4. Испытуемое соединение: инъецировали ежедневно в течение 6 дней (дозы варьировали). Все инъекции начинали после испытания в последний день научения. Последняя инъекция для групп 1, 3 и 4 имеет место за 2 часа до испытания на рабочую память. Испытание на рабочую память является задержанной, не соответствующей образцу задачей (DNMS), использующей задержки в 15, 30 или 60 секунд. Эта задача является вариацией задачи научения, в которой крысу помещают в центральную арену и позволяют ей войти в один рукав, как описано ранее. Второй рукав открывают сразу же, как только крыса проходит половину пути первого рукава, и опять требуется, чтобы крыса выбрала этот рукав. Когда она проходит половину пути этого второго рукава, обе дверцы закрывают и начинают задержку. Как только время задержки истекает, одновременно открывают две начальные дверки и третью, новую дверку. Правильную реакцию регистрируют, когда животное пройдет половину пути в направлении приманки третьего рукава. Неправильную реакцию регистрируют, когда животное пройдет половину пути в сторону приманки либо первого, либо второго рукава. Каждое животное будет получать 5 испытаний при каждом из трех интервалов задержки, в целом 15 испытаний на 1 животное. Оценка влияния на плеврит Способность снижать симптомы индуцированного экспериментом плеврита у крыс может быть оценена процедурой Cuzzocrea [Endocrinology 141: 1455-63 (2000)]. Оценка защиты против индуцированной глутаматом цитотоксичности (нейрозащита) Нейрозащитная активность соединений данного изобретения может быть оценена в проводимой in vitro стандартной процедуре фармакологического испытания с использованием антигенного стимула глутамата (Zaulyanov, et al., Cellular and Molecular Neurobiology 19: 705-18 (1999); Prokai, et al., Journal of Medicinal Chemistry 44: 110-4 (2001)]. Оценка по процедуре испытания концевого утолщения молочной железы Эстрогены требуются для полного проточного удлинения и разветвления протоков молочной железы и последующего развития дольчато-альвеолярных концевых утолщений под влиянием прогестерона. В данной процедуре испытания маммотрофическую активность выбранных соединений изобретения оценивали по следующей стандартной процедуре фармакологического испытания. Крыс Sprague-Dawley возраста двадцати восьми дней (Taconic Farms, Germantown, NY) овариэктомизировали и оставляли в покое в течение девяти дней. Животных выдерживали при суточном цикле 12 ч света/12 ч темноты и кормили кормом для грызунов на основе казеина Purina Laboratory Rodent Diet 5К96 (Purina, Richmond, NI) и обеспечивали им свободный доступ к воде. Крысам затем дозированно вводили подкожно в течение шести дней наполнитель (50% ДМСО (JT Baker, Phillipsburg, NJ)/50% забуференный фосфатом физиологический раствор Дульбекко 1х (GibcoBRT, Grand Island, NY), 17
Оценка соединений в стандартной процедуре фармакологического испытания крыс HLA на воспалительное заболевание кишечника Соединения изобретения могут быть оценены в стандартной процедуре фармакологического испытания крыс HLA, которая имитирует воспалительное заболевание кишечника человека. Ниже кратко описана используемая процедура и полученные результаты. Самцы крыс HLA-B27 (возраста 8-10 недель) были получены от Taconic и обеспечены неограниченным доступом к корму (корм 5001 PMI Lab) и воде. Крыс дозировали перорально каждый день в течение 46 дней либо наполнителем (2% твина-80/0,5% метилцеллюлозы), либо соединением примера 1av (10 мг/кг). Качество стула наблюдали ежедневно и оценивали по следующей шкале: диарея = 3; жидкий стул = 2; нормальный стул = 1. В конце исследования собирали сыворотку и сохраняли при -70°С. Секцию ободочной кишки получали для гистологического анализа и дополнительный сегмент анализировали для определения активности миелопероксидазы. Были получены следующие результаты (таблица (7)), они показали, что характер стула нормализовался за 21 день введения соединения примера 1av.
Для гистологического анализа ткань ободочной кишки погружали в 10% нейтральный, забуференный формалин. Для получения оценки каждый образец ободочной кишки делили на четыре образца. Фиксированные в формалине ткани обрабатывали в процессоре с вакуумным фильтрованием Tissue Tek (Miles, Inc; West Haven, Connecticut) для заливки парафином. Образцы разделяли на секции 5 мкм и затем окрашивали гематоксилином и эозином (Н&E) для слепых гистологических оценок с использованием шкалы, модифицированной после Boughton-Smith. После завершения получения оценок пробы «рассекречивают» и результаты выражают в виде таблиц и анализируют линейным моделированием ANOVA со множественными сравнениями средних величин. Секции ткани ободочной кишки оценивали на несколько индикаторов заболевания и давали относительные оценки в баллах. Как показано в таблице (8), соединение примера 1av является эффективным в снижении нескольких измерений повреждения ткани.
Оценка на двух моделях артрита Анализ индуцированного адъювантом артрита у крыс Lewis. Шестьдесят самок крыс Lewis возраста 12 недель помещают в соответствии со стандартными процедурами облегчения операций. Они имеют стандартный режим доступа к корму и воде ad libitum. Каждое животное идентифицируют карточкой клетки, указывающей группу проекта, и номером животного. Каждый номер крысы обозначают маркером из нестираемой краски на хвосте. По меньшей мере, за 10-21 день до исследования их анестезируют и овариэктомизируют стандартными асептическими хирургическими способами. Для индуцирования артрита используют полный адъювант Фрейнда (Sigma Immuno Chemicals, St. Louis, MO), причем каждый мл содержит 1 мг Mycobacterium Tuberculosis, убитый термообработкой и высушенный, 0,85 мл минерального масла и 0,15 мл моноолеат маннида, лот № 084Н8800. Нижеследующее описание представляет собой примеры двух процедур испытания. Процедура испытания ингибирования: тридцати крысам инъецируют внутрикожно 0,1 мл полного адъюванта Фрейнда у основания хвоста. Животных рандомизируют на группы из шести крыс в каждой. Каждый день группы получают наполнитель (50% ДМСО (JT Baker, Phillipsburg, NJ)/забуференный фосфатом физиологический раствор Дульбекко 1х (GibcoBRL, Grand Island, NY) или испытуемое соединение (вводят подкожно). Всех крыс начинают обрабатывать на день 1. Данные для примера 1av приводятся в таблице (9). Процедура испытания лечения (обработки): тридцати крысам инъецируют внутрикожно 0,1 мл полного адъюванта Фрейнда у основания хвоста. Животных рандомизируют на четыре группы, причем каждая группа содержит шесть крыс. Каждый день группы получают наполнитель (50% ДМСО (JT Baker, Phillipsburg, NJ)/забуференный фосфатом физиологический раствор Дульбекко 1х (GibcoBRL, Grand Island, NY) или испытуемое соединение (вводят подкожно). Всех крыс начинают обрабатывать на день 8 после инъекции адъюванта. Данные для примера 1av приводятся в таблицах (10), (11) и (12). Статистический анализ проводили с использованием Abacus Concepts Super ANOVA (Abacus Concepts, Inc. Berkeley, CA). Все представляющие интерес параметры подвергали дисперсионному анализу с новым многоранговым post hoc критерием Дункана между группами. Данные выражали на всем протяжении в виде среднего значения ± стандартное отклонение (СО), различия считали значимыми, если р<0,05. Мониторинг степени серьезности артрита проводят ежедневно в терминах следующих индексов заболевания: эритема задней лапы, опухание задней лапы, болезненность суставов, движение и положение тела. Шкалу из целых чисел от 0 до 3 используют для количественной оценки уровня эритемы (0 = нормальное состояние лапы, 1 = слабая эритема, 2 = средняя эритема, 3 = тяжелая эритема задней лапы) и опухания (0 = нормальное состояние лапы, 1 = слабое опухание, 2 = среднее опухание, 3 = тяжелое опухание задней лапы). Максимальная оценка в баллах в день составляет 12. В конце исследования крыс эутанизировали СО2, задние конечности удаляли при вскрытии трупа и фиксировали в 10% забуференном формалине и предплюсневые суставы декальцифицировали и заливали в парафине. Гистологические секции окрашивали гематоксилином и эозином или красителем саффранин О-прочный зеленый. Предметные стекла кодируют так, чтобы исследователю не были известны группы обработки. Синовиальную ткань из предплюсневых суставов оценивают на основе синовиальной гиперплазии, инфильтрации воспалительных клеток и образования паннуса [Poole and Coombs, International Archives of Allergy and Applied Immunology 54: 97-113 (1977)], как указано ниже.
Кроме того, оценивают суставной хрящ и кости с использованием гистологической системы оценки в баллах Mankin [Mankin, et al., Journal of Bone and Joint Surgery – American Volume 53: 523-37 (1971)], как показано ниже.
Оценка модели артрита на крысах HLA-B27. Соединения изобретения могут быть оценены по стандартной процедуре фармакологического испытания на крысах HLA-B27, которая имитирует артрит у людей. Ниже кратко описывается используемая процедура и полученные результаты. Самцов крыс HLA-B27 получали от Taconic и обеспечивали их неограниченным доступом к корму (корм 5001 PMI Lab) и воде. Баллы Joint и гистологию оценивали, как описано выше для модели индуцированного адъювантом артрита на крысах Lewis. Крыс (возраст 8-10 недель) дозировали перорально один раз в день в течение сорока шести дней либо наполнителем (2% твина-80/0,5% метилцеллюлозы) либо соединением примера 1av (10 мг/кг). Имелось 4 крысы в каждой группе, и последнюю дозу вводили за два часа перед эутаназией. Как показано в таблице (13), воспаление суставов снижалось обработкой соединением примера 1av. Синовит и баллы оценки Mankin (таблица 14)) также были пониженными, но были статистически отличными от соответствующих данных, полученных при обработке крыс наполнителем.
Оценка на моделях канцерогенеза in vivo Способность соединений данного изобретения лечить и ингибировать различные злокачественности или гиперпролиферативные нарушения может быть оценена стандартными процедурами фармакологического испытания, которые являются легко доступными в литературе и включают следующие две процедуры. Рак молочной железы. Атимических nu/nu (голых) мышей получают овариэктомизированными из Charles River Laboratories (Wilmington, MA). За один день до инъекции опухолевых клеток животным имплантируют гранулы с постепенным высвобождением, содержащие 0,36-1,7 мг 17 Рак ободочной кишки. Способность лечить или ингибировать рост рака ободочной кишки может быть оценена по процедуре испытания Smirnoff [Oncology Research 11: 255-64 (1999)]. Оценка нейрозащиты по двум процедурам испытания in vivo Транзиентная общая ишемия у когтистой монгольской песчанки. Влияние испытуемых соединений на профилактику или лечение повреждения головного мозга в ответ на кислородную недостаточность/реперфузию может быть измерено с использованием следующей процедуры испытания. Самок когтистой монгольской песчанки (60-80 г; Charles River Laboratories, Kingston, NY) поселяют в клетки для облегчения ухода за животными Wyeth-Ayerst (сертифицировано AAALAC) со световым режимом 12 часов света, 12 часов темноты, животные имеют свободный доступ к водопроводной воде и казеиновому корму с низким содержанием эстрогена (Purina; Richmond, IN). После акклиматизации (3-5 дня) песчанки анестезируют изофлураном (2-3% смесь с О2), овариэктомизируют (день 0). Начиная со следующего утра (день 1) песчанок обрабатывают каждый день подкожно либо наполнителем (10% ЕТОН/кукурузное масло), 17 Степень нейронной защиты оценивают анализом in situ гибридизации мРНК нейрогранина. Вкратце, 20 мкм коронарные криостатные секции собирают на покрытых желатином предметных стеклах, сушат и сохраняют при -80°С. Во время обработки высушенные коробки для предметных стекол нагреваются до комнатной температуры, предметные стекла подвергают вторичной фиксации в 4% параформальдегиде, обрабатывают уксусным ангидридом и затем делипидируют и дегидратируют хлороформом и этанолом. Обработанные предметные стекла с установленными на них секциями затем гибридизируют с 200 мкл (6х106 DPM/предметное стекло) антисмыслового или смыслового (контроль) рибозонда для нейрогранина (35S-UTP-меченый NG-241; основания 99-340) в 50% формамидной смеси для гибридизации и инкубируют на протяжении ночи при 55°С в увлажненной камере для предметных стекол без покровного стекла. На следующее утро предметные стекла собирают в подставки, погружают в 2хSSC (0,3 М NaCl, 0,03 М цитрат натрия; рН 7,0)/10 мМ DTT, обрабатывают РНКазой А (20 мкг/мл) и промывают (2 х 30 мин) при 67°С в 0,1х SSC для удаления неспецифической метки. После дегидратации предметные стекла экспонировали с рентгеновской пленкой BioMax (BMR-1; Kodak) на протяжении ночи. Уровень сигнала гибридизации нейрогранина используют для количественного определения степени нейронной потери в области СА1 после повреждения и оценки эффективности 17 Закупорка средней церебральной артерии у мышей. Нейрозащита может быть оценена в соответствии с процедурами испытания, описанными Dubal [см. Dubal, et al., Proceedings of the National Academy of Sciences of the United States of America 98: 1952-1957 (2001), Dubal, et al., Journal of Neuroscience 19: 6385-6393 (1999)]. Стандартная процедура фармакологического испытания на ингибирование овуляции Процедуру испытания используют для определения того, могут ли испытуемые соединения ингибировать или изменять время овуляции. Она может также быть использована для определения числа овулированных ооцитов (Lundeen, et al., J. Steroid Biochem Mol Biol 78: 137-143 (2001)]. На основании результатов, полученных в стандартных процедурах фармакологических испытаний, соединения данного изобретения являются модуляторами рецептора эстрогена, полезными при лечении или ингибировании состояний, нарушений или патологических состояний, которые, по меньшей мере, частично опосредуются дефицитом или избытком эстрогена или которые можно лечить или ингибировать посредством использования эстрогенного агента. Соединения настоящего изобретения являются особенно полезными при лечении перименопаузального, менопаузального или послеменопаузального пациента, у которого уровни продуцированных эндогенных эстрогенов значительно понижены. Менопаузу обычно определяют как последний природный менструальный период, она характеризуется прекращением овариальной функции, приводящим к значительному снижению эстрогена, циркулирующего в кровотоке. Используемый здесь термин менопауза включает также состояния пониженного продуцирования эстрогена, которое может иметь хирургическое, химическое происхождение или может быть вызвано патологическим состоянием, которое приводит к преждевременному снижению или прекращению овариальной функции. Соединения данного изобретения являются полезными также при ингибировании или лечении других действий депривации эстрогена, в том числе приливов, вагинальной атрофии или атрофии наружных женских половых органов, атрофического вагинита, вагинальной сухости, зуда, диспаурении, дизурии, частого мочеиспускания, недержания мочи, инфекции мочевых путей. Другие использования для половых путей включают лечение или ингибирование дисфункционального маточного кровотечения. Соединения полезны также при лечении или ингибировании эндометриоза. Соединения изобретения являются также активными в головном мозге и, следовательно, являются полезными для ингибирования или лечения болезни Альцгеймера, ухудшения умственной способности, пониженного полового влечения, старческого слабоумия, нейродегенеративных нарушений, депрессии, страха, инсомнии, шизофрении и бесплодия. Соединения данного изобретения являются также полезными при лечении или ингибировании аномального роста доброкачественной или злокачественной ткани, в том числе гломерулосклероза, гипертрофии простаты, лейомиомы матки, рака молочной железы, склеродермы, фиброматоза, эндометриального рака, синдрома поликистоза яичников, эндометриальных полипов, доброкачественного заболевания молочной железы, аденомиоза, рака яичников, меланомы, рака простаты, рака ободочной кишки, раковых заболеваний ЦНС, таких как глиома или астиобластома. Соединения данного изобретения являются кардиозащитными средствами и антиоксидантами, они являются полезными при снижении уровней холестерина, триглицеридов, Lp(a) и LDL; ингибировании или лечении гиперхолестеринемии, гиперлипидемии, сердечно-сосудистого заболевания, атеросклероза, периферического васкулярного заболевания, рестеноза и вазоспазм и ингибировании повреждения васкулярных стенок из-за клеточных случаев, приводящих к иммуномедиированному васкулярному повреждению. Соединения настоящего изобретения являются также полезными при лечении нарушений, связанных с воспалительными или аутоиммунными заболеваниями, включая воспалительное заболевание кишечника (болезнь Крона, неспецифический язвенный колит, неопределенный колит), артрит (ревматоидный артрит, спондилоартропатия, остеоартрит), плеврит, ишемию/повреждение при реперфузии (например, удар, отторжение трансплантата, инфаркт миокарда и т.д.), астму, гигантоклеточный артерит, простатит, интерстициальный цистит, увеит, псориаз, рассеянный склероз, системную красную волчанку и сепсис. Соединения данного изобретения являются также полезными при лечении или ингибировании глазных заболеваний, в том числе катаракт, увеита и дегенерации желтого пятна, и при лечении кожных состояний, таких как старение, алопеция и угри. Соединения настоящего изобретения полезны также при лечении или ингибировании метаболических нарушений, таких как диабет типа II, липидного метаболизма, нарушения аппетита (например, нервной анорексии и булимии). Соединения данного изобретения являются также полезными при лечении или ингибировании нарушений, связанных с кровотечением, таких как наследственная геморрагическая телеангиэктазия, дисфункциональное маточное кровотечение, и при лечении геморрагического шока. Соединения данного изобретения являются полезными при патологических состояниях, когда аменорея является полезной, таких как лейкемия, эндометриальное удаление, хроническое почечное или печеночное заболевание или заболеваний или нарушений коагуляции. Соединения данного изобретения могут быть использованы в качестве контрацептивного агента, особенно в сочетании с прогестином. Понятно, что при введении для лечения или ингибирования определенного патологического состояния или нарушения эффективная доза может варьироваться в зависимости от определенного используемого соединения, способа введения, состояния и тяжести состояния, которое лечат, а также различных физических факторов, относящихся к подвергаемому лечению индивидууму. Эффективное введение соединений настоящего изобретения может быть достигнуто при пероральной дозе приблизительно от 0,1 мг/день до приблизительно 1000 мг/день. Предпочтительно введение может составлять приблизительно от 10 мг/день до приблизительно 600 мг/день, более предпочтительно приблизительно от 50 мг/день до приблизительно 600 мг/день, в виде одной дозы или дозы, разделенной на две или более доз. Предполагается, что проектируемые суточные дозы варьируют в зависимости от пути введения. Такие дозы могут быть введены любым способом, пригодным для введения активных здесь соединений в кровоток реципиента, включающим введение пероральным путем, посредством имплантата, парентеральным путем (в том числе внутривенные, внутрибрюшинные, внутрисуставные и подкожные инъекции), ректальным, интраназальным, местным, офтальмическим (посредством капель для глаз), вагинальным и трансдермальным путями. Пероральные композиции, содержащие активные соединения данного изобретения, могут включать любые обычно используемые пероральные формы, включающие таблетки, капсулы, трансбуккальные формы, пластинки, лепешки и пероральные жидкости, суспензии или растворы. Капсулы могут содержать смеси активного соединения(ий) с инертными наполнителями и/или разбавителями, такими как фармацевтически приемлемые крахмалы (например, кукурузный, картофельный крахмал или крахмал из тапиоки), сахарами, искусственными подслащивающими агентами, порошкообразными целлюлозами, такими как кристаллическая и микрокристаллическая целлюлозы, мукой, желатинами, камедями и т.д. Полезные композиции в виде таблеток могут быть получены принятыми способами прессования, мокрой грануляции или сухой грануляции, их получают с использованием фармацевтически приемлемых разбавителей, связывающих агентов, смазывающих средств, дезинтегрирующих средств, модифицирующих поверхность агентов (в том числе поверхностно-активных веществ), суспендирующих или стабилизирующих агентов, включающих, но не ограничивающихся перечисленным, стеарат магния, стеариновую кислоту, тальк, лаурилсульфат натрия, микрокристаллическую целлюлозу, кальциевую соль карбоксиметилцеллюлозы, поливинилпирролидон, желатин, альгиновую кислоту, аравийскую камедь, ксантановую камедь, цитрат натрия, комплексные силикаты, карбонат кальция, глицин, декстрин, сахарозу, сорбит, дикальцийфосфат, сульфат кальция, лактозу, каолин, маннит, хлорид натрия, тальк, сухие крахмалы и порошкообразный сахар. Предпочтительные модифицирующие поверхность агенты включают неионогенные и анионогенные модифицирующие поверхность агенты. Репрезентативные примеры модифицирующих поверхность агентов включают, но не ограничиваются перечисленным, полоксамер 188, хлорид бензалкония, стеарат кальция, цетостеариловый спирт, эмульгирующий воск в виде цетомакрогола, сложные эфиры сорбитана, коллоидальный диоксид кремния, фосфаты, додецилсульфат натрия, силикат магния и алюминия и триэтаноламин. Пероральные композиции здесь могут использовать стандартные композиции с замедленным действием или композиции с пролонгированным действием для изменения абсорбции активного соединения(ий). Пероральная композиция может также состоять из вводимого активного ингредиента в воде или фруктовом соке, содержащем подходящие солюбилизаторы или эмульгаторы, если необходимо. В некоторых случаях может быть желательно ввести соединения непосредственно в дыхательные пути в форме аэрозоля. Соединения данного изобретения могут быть также введены парентеральным или внутрибрюшинным путем. Растворы или суспензии этих активных соединений в виде свободного основания или фармацевтически приемлемой соли могут быть получены в воде, подходящим образом смешанной с поверхностно-активным веществом, таким как гидроксипропилцеллюлоза. Дисперсии могут также быть получены в глицерине, полиэтиленгликолях и их смесях в маслах. При обычных условиях хранения и использования указанные препараты содержат консервант для ингибирования роста микроорганизмов. Фармацевтические формы, подходящие для инъекционного использования, включают стерильные водные растворы или дисперсии и стерильные порошки для «импровизированного» получения стерильных инъецируемых растворов или дисперсий. Во всех случаях форма должна быть стерильной и должна быть жидкой до степени, которая делает возможным легкое введение шприцом. Она должна быть стабильной в условиях изготовления и хранения и должна быть защищена против загрязняющего действия микроорганизмов, таких как бактерии и грибы. Носителем может быть растворитель или дисперсная среда, содержащая, например, воду, этанол, полиол (например, глицерин, пропиленгликоль и жидкий полиэтиленгликоль), подходящие смеси их и растительные масла. Понятно, что для целей данного раскрытия изобретения чрескожное введение включает все введения через поверхность тела и внутреннюю выстилку проходов тела, включая эпителиальные и слизистые ткани. Такие введения могут быть проведены с использованием настоящих соединений или их фармацевтически приемлемых солей в лосьонах, кремах, пенах, пластырях, суспензиях, растворах и суппозиториях (ректальных и вагинальных). Чрескожное введение может быть выполнено посредством использования чрескожного пластыря, содержащего активное соединение и носитель, который является инертным к активному соединению, является нетоксичным для кожи и позволяет доставить данный агент для системной абсорбции в кровоток через кожу. Носитель может образовывать любое число форм, таких как кремы и мази, пасты, гели и закрытые устройства. Кремы и мази могут быть вязкими жидкими или полутвердыми эмульсиями типа либо масло в воде или вода в масле. Могут быть также подходящими пасты, состоящие из абсорбирующих порошков, диспергированных в нефтяной фракции или гидрофильной нефтяной фракции, содержащей активный ингредиент. Различные закрытые устройства могут быть использованы для высвобождения активного ингредиента в кровоток, такие как полупроницаемая мембрана, покрывающая резервуар, содержащий активный ингредиент с носителем или без носителя, или матрица, содержащая активный ингредиент. Другие закрытые устройства известны в литературе. Препараты в форме суппозиториев могут быть изготовлены из традиционных материалов, включающих какао-масло с добавлением восков или без их добавления для изменения точки плавления суппозитория и глицерин. Могут быть также использованы водорастворимые основы суппозиториев, такие как полиэтиленгликоли различных молекулярных масс. Получение репрезентативных примеров соединений данного изобретения описано ниже. Синтез соединений по схеме 1 Промежуточный продукт 2 7-Метокси-2-нафтилтрифторметансульфонат К раствору 7-метокси-2-нафтола (4,75 г, 27,27 ммоль) и пиридина (3,5 мл, 44 ммоль) в 200 мл дихлорметана при 0°С добавляют трифторметансульфоновый ангидрид (10,0 г, 35 ммоль). Раствору дают возможность медленно нагреться до комнатной температуры и перемешивают на протяжении ночи. Раствор охлаждают до 0°С и перемешивают с ледяной водой для разложения избыточного ангидрида. Смесь делают слегка основной добавлением насыщенного раствора бикарбоната натрия. Образовавшиеся слои разделяют и водный слой экстрагируют дихлорметаном (2 х 250 мл). Объединенные органические слои промывают водой, сушат над сульфатом магния, фильтруют и упаривают для удаления растворителя, получая при этом красное масло, которое очищают хроматографией на силикагеле (5% этилацетат-гексаны), причем получают 8,08 г (97%) указанного в заголовке соединения в виде прозрачного, бесцветного масла. 1H ЯМР (ДМСО-d6) Анал. для С12H9F3O4S: Вычислено: С: 47,06; Н: 2,96. Найдено: С: 46,62; Н: 2,84. Промежуточный продукт 3 2-Метокси-7-(4-метоксифенил)нафталин Способ А Смесь 7-метокси-2-нафтилтрифторметансульфоната (3,15 г, 10,3 ммоль), 4-метоксифенилбороновой кислоты (2,2 г, 14 ммоль), карбоната натрия (10 мл 2 н. водного раствора), тетракис(трифенилфосфин)палладия (0,59 г, 0,05 ммоль) и 100 мл диметилового эфира этиленгликоля нагревают для кипячения с обратным холодильником в течение 8 ч. Смесь охлаждают до комнатной температуры и выливают в 100 мл 1 н. NaOH. Смесь экстрагируют этилацетатом (3 х 250 мл), промывают насыщенным раствором соли (2 х 100 мл), сушат над сульфатом магния, фильтруют, упаривание для удаления растворителя и очистка хроматографией на силикагеле (5%-10% этилацетат-гексаны) дают 2,17 г (79%) указанного в заголовке соединения в виде белого твердого вещества: т.пл. 154°С; 1Н ЯМР (CDCl3): Анал. для С18H16O2: Вычислено: С: 81,79; Н: 6,10. Найдено: С: 81,78; Н: 6,17. Промежуточный продукт 4 2-Метокси-7-(3-метоксифенил)нафталин Указанное в заголовке соединение получают взаимодействием 7-метокси-2-нафтилтрифторметансульфоната (2,20 г, 7,18 ммоль) с 3-метоксифенилбороновой кислотой (1,20 г, 7,90 ммоль) в соответствии с указанным выше способом А, получая при этом белое твердое вещество: т.пл. 58-59°С; 1Н ЯМР (CDCl3): Анал. для С18H16O2: Вычислено: С: 81,79; Н: 6,10. Найдено: С: 81,61; Н: 5,99. Промежуточный продукт 5 2-Метокси-7-фенилнафталин Указанное в заголовке соединение получают взаимодействием 7-метокси-2-нафтилтрифторметансульфоната (3,01 г, 9,83 ммоль) с фенилбороновой кислотой (1,4 г, 12 ммоль) в соответствии со способом А, причем получают 1,95 г (85%) белого твердого вещества: т.пл. 62-64°С; 1Н ЯМР (CDCl3): Анал. для С17H14O·0,1 Н2О: Вычислено: С: 86,48; Н: 6,06. Найдено: С: 86,29; Н: 6,04. Пример 1а 7-(4-Гидроксифенил)-2-нафтол Способ В 2-Метокси-7-(4-метоксифенил)нафталин (1,02 г, 3,86 ммоль) добавляют к соединению пиридиний HCl (10 г) при 190°С. Раствор перемешивают в течение 3 ч при 190°С и охлаждают до комнатной температуры и перемешивают с 200 мл 1 н. HCl. Образовавшуюся суспензию фильтруют и растворяют в этилацетате (500 мл). Объединенные органические слои промывают водой (200 мл), сушат над сульфатом магния, фильтруют, растворитель удаляют в вакууме и продукт очищают хроматографией на силикагеле (40% этилацетат-гексаны), получая при этом 0,36 г (39%) белого твердого вещества: т.пл. 210°С; 1H ЯМР (ДМСО-d6): Анал. для С16H12O2: Вычислено: С: 81,34; Н: 5,12. Найдено: С: 81,23; Н: 5,09. Пример 1b 7-(3-Гидроксифенил)-2-нафтол Указанное в заголовке соединение получают взаимодействием 2-метокси-7-(3-метоксифенил)нафталина (0,52 г, 1,97 ммоль) с соединением пиридиний HCl (8 г) при 190°С по способу В, причем получают 0,13 г (28%) белого твердого вещества: т.пл. 163-165°С; 1H ЯМР (ДМСО-d6): Анал. для С16H12O2: Вычислено: С: 81,34; Н: 5,12. Найдено: С: 80,96; Н: 5,07. Пример 1с 7-Фенил-2-нафтол Указанное в заголовке соединение получают взаимодействием 2-метокси-7-фенилнафталина (0,53 г, 2,26 ммоль) с соединением пиридиний HCl (10 г) при 190°С по способу В, причем получают 0,36 г (72%) белого твердого вещества: т.пл. 142-143°С; 1H ЯМР (ДМСО-d6): Анал. для С16H12O·0,1 Н2О: Вычислено: С: 86,66; Н: 5,47. Найдено: С: 86,72; Н: 5,62. Синтез соединений по схеме 2 Промежуточный продукт 6 6-(Трифторметансульфонат)-1-тетралон В 500 мл колбе 6-гидрокси-1-тетралон (4,8 г, 29,6 ммоль) подвергают азеотропной перегонке с ксилолами и растворяют в безводном CH2Cl2 (220 мл). Раствор затем охлаждают до 0°С и добавляют к нему безводный пиридин (3,35 мл, 41,4 ммоль), затем трифторметансульфоновый ангидрид (10,0 г, 35,5 ммоль). Через 0,5 часа при 0°С реакционную смесь гасят насыщенным бикарбонатом и промывают водой. Органический слой пропускают через пробку из силикагеля и концентрируют до 8,39 г (96%) продукта в виде светло-желтого масла; 1Н ЯМР (300 МГц, ДМСО-d6) Промежуточный продукт 7 6-(4-Гидроксифенил)-1-тетралон 4-{[трет-Бутил(диметил)силил]окси}фнилбороновая кислота. В 500 мл колбу добавляют (4-бромфенокси)-трет-бутилдиметилсилан (15,0 г, 52,2 ммоль) и безводный ТГФ (125 мл). Смесь охлаждают до -78°С и через шприц медленно добавляют н-бутилтий (25 мл 2,5 М раствора в гексанах, 62,7 ммоль). После перемешивания в течение 0,5 часа добавляют триизопропилборат (60 мл, 261 ммоль) и раствор перемешивают в течение 1,5 часа при -78°С и затем дают ему возможность нагреться до температуры окружающей среды. Затем добавляют охлажденную льдом 2 н. HCl (150 мл) и смесь перемешивают в течение 10 минут. Смесь затем экстрагируют этилацетатом (3х), сушат над Na2SO4 и концентрируют приблизительно до 50 мл при пониженном давлении. К концентрату добавляют гексаны (3 капли) для индуцирования кристаллизации, кристаллы затем собирают фильтрованием и затем сушат в вакууме, получая при этом 12,36 г (89%) не совсем белого твердого вещества: 1Н ЯМР (300 МГц, ДМСО-d6) В 500 мл колбу добавляют 6-(трифторметансульфонат)-1-тетралон (5,0 г, 17,0 ммоль), 4-{[трет-бутил(диметилсилил]окси}фнилбороновую кислоту (5,45 г, 20,4 ммоль, полученную, как указано выше), карбонат натрия (4,56 г в виде 1 н. водного раствора, 42,5 ммоль) и тетракис(трифенилфосфин)палладий(0) (0,98 г, 0,85 ммоль) в DME (200 мл) и смесь кипятят с обратным холодильником в течение 12 ч. Реакционной смеси дают возможность охладиться, экстрагируют этилацетатом (3х) и концентрируют до получения твердого вещества. Твердое вещество промывают гексанами и сушат в вакууме, получая при этом 3,68 г продукта (92%) в виде коричневого твердого вещества: т.пл. 208-210°С; 1Н ЯМР (300 МГц, ДМСО-d6) Анал. для С16H14O2: Вычислено: С: 80,65; Н: 5,92. Найдено: С: 79,04; Н: 5,60. Пример 1d 6-(4-Гидроксифенил)-1-нафтол В 25 мл колбу добавляют 6-(4-гидроксифенил)-1-тетралон (500 мг, 2,12 ммоль), палладий на угле (510 мг) и п-цимен (15 мл). Смесь нагревают для кипячения с обратным холодильником в течение 24 ч, охлаждают, фильтруют через целит и экстрагируют 1 М NaOH (2 х 25 мл). Водный слой затем подкисляют, экстрагируют эфиром (3х) и пропускают через пробку диоксида кремния. Концентрирование при пониженном давлении дает 260 мг (53%) продукта в виде коричневого твердого вещества: т.пл. выше 200°С (разл.); 1Н ЯМР (300 МГц, ДМСО-d6) Анал. для С16H12O2: Вычислено: С: 81,34; Н: 5,12. Найдено: С: 81,22; Н: 5,30. Синтез соединений по схеме 3 Промежуточный продукт 10 2-Метокси-6-(4-метоксифенил)нафталин К смеси 2-бром-6-метоксинафталина (23,79 г, 100,3 ммоль) и тетракис(трифенилфосфин)палладия (5,8 г, 5 ммоль) добавляют раствор бромида 4-метоксифенилмагния в ТГФ (400 мл 0,5 н. раствор, 200 ммоль). Перемешиваемый раствор нагревают для кипячения с обратным холодильником в течение 3 ч, охлаждают до КТ и добавляют при перемешивании в 200 мл 1 н. HCl. Смесь экстрагируют дихлорметаном и фильтруют через короткую пробку диоксида кремния с дихлорметаном. Растворитель удаляют, получая при этом сырое желтое твердое вещество, которое далее очищают хроматографией на силикагеле (20-50% этилацетат-гексаны), получая при этом 25,68 г (97%) указанного в заголовке соединения в виде белого твердого вещества: т.пл. 190°С; 1Н ЯМР (CDCl3) Анал. для С18H16O2: Вычислено: С: 81,79; Н: 6,10. Найдено: С: 82,04; Н: 6,17. Промежуточный продукт 11 2-(4-Метоксифенил)нафталин Указанное в заголовке соединение получают взаимодействием 2-бромнафталина (3,04 г, 14,7 ммоль) с бромидом 4-метоксифенилмагния по способу, используемому для получения промежуточного соединения 10, причем получают 2,89 г (89%) белого твердого вещества: т.пл. 114°С; 1Н ЯМР (CDCl3): Анал. для С17H14O: Вычислено: С: 87,15; Н: 6,02. Найдено: С: 86,75; Н: 6,14. Промежуточный продукт 12 2-Метокси-6-фенилнафталин Указанное в заголовке соединение получают взаимодействием 2-бром-6-метоксинафталина (1,97 г, 8,31 ммоль) с бромидом фенилмагния по способу, используемому для получения промежуточного соединения 10, причем получают 1,59 г (82%) белого твердого вещества: т.пл. 122-126°С; 1H ЯМР (CDCl3): Анал. для С17H14O: Вычислено: С: 87,15; Н: 6,02. Найдено: С: 86,79; Н: 6,14. Промежуточный продукт 13 2-Метокси-6-(3-метоксифенил)нафталин Указанное в заголовке соединение получают взаимодействием 6-метокси-2-бромнафталина (3,09 г, 13,0 ммоль) с 3-метоксифенилбороновой кислотой (2,18 г, 14,3 ммоль) по способу А, причем получают 1,18 г (34%) белого твердого вещества; т.пл. 80°С; 1H ЯМР (CDCl3): Анал. для С18H16O2: Вычислено: С: 81,79; Н: 6,10. Найдено: С: 81,61; Н: 6,47. Пример 1i 6-(3-Хлорфенил)-2-нафтол Смесь 6-бром-2-нафтола (1,78 г, 8,0 ммоль), 2-хлорфенилбороновой кислоты (1,5 г, 9,6 ммоль), карбоната натрия (2,11 г в виде 2 н. водного раствора, 20,0 ммоль) и тетракис(трифенилфосфин)палладия(0) (550 мг, 0,48 ммоль) в DME (95 мл) подвергают взаимодействию по способу А. Колоночная хроматография (30% этилацетат-гексаны) дает 520 г (26%) продукта в виде рыжевато-коричневого твердого вещества: т.пл. 116-118°С; 1Н ЯМР (300 МГц, ДМСО-d6) Анал. для С16H11ClO: Вычислено: С: 75,45; Н: 4,35. Найдено: С: 75,20; Н: 4,34. Пример 1е 6-(4-Гидроксифенил)-2-нафтол 2-Метокси-6-(4-метоксифенил)нафталин (5,61 г, 21,2 ммоль) добавляют к соединению пиридиний HCl (30 г) при 190°С по способу В, получая при этом 4,88 г (98%) белого твердого вещества: т.пл. > 220 (обесцвечивается выше 200°С); 1H ЯМР (ДМСО-d6): Анал. для С16H12O2: Вычислено: С: 81,34; Н: 5,12. Найдено: С: 81,05; Н: 5,18. Пример 1f 4-(2-Нафтил)фенол Указанное в заголовке соединение получают взаимодействием 2-(4-метоксифенил)нафталина (1,01 г, 4,31 ммоль) с 10 г соединения пиридиний HCl при 190°С по способу В, причем получают 0,84 г (89%) белого твердого вещества: т.пл. 148°С; 1H ЯМР (ДМСО-d6): Анал. для С16H12O2: Вычислено: С: 87,25; Н: 5,49. Найдено: С: 87,31; Н: 5,86. Пример 1g 6-Фенил-2-нафтол Указанное в заголовке соединение получают взаимодействием 2-метокси-6-фенилнафталина (0,54 г, 2,30 ммоль) с соединением пиридиний HCl (10 г) при 190°С, причем получают 0,32 г (63%) светло-розового твердого вещества: т.пл. 169-170°С; 1H ЯМР (ДМСО-d6): Анал. для С16H12O: Вычислено: С: 87,25; Н: 5,49. Найдено: С: 87,05; Н: 5,55. Пример 1h 6-(3-Гидроксифенил)-2-нафтол Указанное в заголовке соединение получают взаимодействием 2-метокси-6-(3-метоксифенил)нафталина (0,51 г, 1,90 ммоль) с соединением пиридиний HCl (6 г) при 190°С по способу В, причем получают 0,21 г (47%) не совсем белого твердого вещества: т.пл. 192-194°С; 1Н ЯМР (ДМСО-d6): Анал. для С16H12O2: Вычислено: С: 81,34; Н: 5,12. Найдено: С: 80,94; Н: 5,09. Синтез соединений по схеме 4 Промежуточный продукт 14 1-Бром-2-метокси-6-(4-метоксифенил)нафталин К смеси 2-метокси-6-(4-метоксифенил)нафталина (9,68 г, 36,6 ммоль) и ледяной уксусной кислоты (150 мл) медленно добавляют раствор брома (5,85 г, 36,6 ммоль) в ледяной уксусной кислоте (20 мл). Смесь перемешивают в течение 1 часа и образовавшуюся суспензию выливают в воду (200 мл), и твердый продукт собирают фильтрованием. Твердое вещество растирают сначала с водой и затем с этилацетатом, получая при этом 11,25 г (90%) указанного в заголовке соединения в виде белого твердого вещества: т.пл. 172-174°С; 1Н ЯМР (ДМСО-d6): Анал. для С18H15BrO2: Вычислено: С: 62,99; Н: 4,41. Найдено: С: 62,66; Н: 4,57. Промежуточный продукт 15 1-Хлор-2-метокси-6-(4-метоксифенил)нафталин Способ С Суспензию 2-метокси-6-(4-метоксифенил)нафталина (0,51 г, 1,93 ммоль) и NCS (0,28 г, 2,13 ммоль) в ацетонитриле (20 мл) нагревают для кипячения с обратным холодильником в течение 3 ч. Образовавшийся раствор охлаждают до комнатной температуры и образовавшееся твердое вещество собирают фильтрованием и промывают ацетонитрилом, получая при этом 0,41 г (72%) указанного в заголовке соединения в виде белого твердого вещества: т.пл. 158-164°С; 1H ЯМР (CDCl3): Анал. для С18H15ClO2: Вычислено: С: 72,36; Н: 5,06. Найдено: С: 72,06; Н: 4,89. Пример 1о 1-Бром-6-(4-гидроксифенил)-2-нафтол К раствору 6-(4-гидроксифенил)-2-нафтола (4,02 г, 17,0 ммоль) в ацетонитриле (150 мл) при 0°С добавляют NBS (3,03 г, 17,0 ммоль). Реакционную смесь перемешивают при 0°С в течение 3 ч и затем выливают в воду (200 мл) и экстрагируют этилацетатом (3 х 300 мл). Объединенные органические слои промывают водой, сушат над сульфатом натрия, фильтруют, упаривание для удаления растворителя и очистка колоночной хроматографией на диоксиде кремния (20% этилацетат-гексаны) дают 5,33 г (100%) указанного заголовке соединения в виде рыжевато-коричневого твердого вещества. Указанное в заголовке соединение дополнительно очищают ВЭЖХ с обращенной фазой, получая при этом белое твердое вещество: т.пл. 208-210°С; 1H ЯМР (ДМСО-d6): Анал. для С16H11BrO2: Вычислено: С: 60,98; Н: 3,52. Найдено: С: 60,63; Н: 3,46. Пример 1р 1-Хлор-6-(4-гидроксифенил)-2-нафтол Указанное в заголовке соединение получают взаимодействием 1-хлор-2-метокси-6-(4-метоксифенил)нафталина (0,32 г, 1,07 ммоль) с соединением пиридиний HCl (7 г) при 190°С по способу В, причем получают 0,12 г (41%) не совсем белого вещества: т.пл. 222-224°С (разл.). 1H ЯМР (ДМСО-d6): Анал. для С16H11ClO2: Вычислено: С: 70,99; Н: 4,10. Найдено: С: 70,59; Н: 4,12. Пример 1q 6-(4-Гидроксифенил)-1-метокси-2-нафтол Смесь 1-бром-6-(4-гидроксифенил)-2-нафтола (0,41 г, 1,30 ммоль), CuBr (0,19 г, 0,13 ммоль), метоксида натрия (3 мл 4,4 н раствора в метаноле) и ДМФ (6 мл) нагревают при кипячении с обратным холодильником в течение 3 ч. Реакционную смесь охлаждают до комнатной температуры, выливают в HCl (50 мл 1 н. водного раствора) и экстрагируют этилацетатом (3 х 100 мл). Объединенные органические слои промывают раствором бикарбоната натрия, сушат над сульфатом натрия, фильтруют, упаривают для удаления растворителя и очищают колоночной хроматографией на диоксиде кремния (40% этилацетат-гексаны), получая при этом 0,31 г (89%) указанного в заголовке соединения в виде белого твердого вещества: т.пл. 204-206°С; 1H ЯМР (ДМСО-d6): Анал. для С17H14O3: Вычислено: С: 76,68; Н: 5,30. Найдено: С: 76,46; Н: 5,13. Синтез соединений по схеме 5 Промежуточный продукт 16 2-Метокси-6-(4-метоксифенил)-1-фторнафталин К раствору 2-метокси-6-(4-метоксифенил)-1-бромнафталина (1,28 г, 3,72 ммоль) в ТГФ (25 мл) при -78°С медленно добавляют н-бутиллитий (1,9 мл 2,5 н. раствора в гексанах). Образовавшийся раствор перемешивают при -78°С в течение тридцати минут и добавляют раствор N-фторбензолсульфонимида (1,40 г, 4,5 ммоль) в ТГФ (10 мл). После дополнительных 2 ч выдерживания при -78°С реакционную смесь нагревают до комнатной температуры, выливают в воду и экстрагируют этилацетатом (2 х 250 мл). Объединенные органические слои промывают водой, сушат над сульфатом натрия, фильтруют, упаривают для удаления растворителя и очищают хроматографией на диоксиде кремния (5% ТГФ-гексаны), получая при этом 0,66 г (63%) белого твердого вещества: т.пл. 150-155°С; 1H ЯМР (CDCl3): Анал. для С18H15O2F: Вычислено: С: 76,58; Н: 5,36. Найдено: С: 75,78; Н: 5,95. Промежуточный продукт 17 2-Метокси-6-(4-метоксифенил)-1-нафтонитрил Смесь 1-бром-2-метокси-6-(4-метоксифенил)нафталина (0,76 г, 2,21 г), CuCN (0,24 г, 2,66 ммоль) и ДМФ (10 мл) перемешивают при 120°С в течение 4 ч. Реакционную смесь охлаждает до комнатной температуры, суспендируют этилацетатом, фильтруют через диоксид кремния и упаривают для удаления растворителя и очищают колоночной хроматографией на диоксиде кремния (20% этилацетат – гексаны), получая при этом 0,19 г (30%) указанного в заголовке соединения в виде светло-желтого твердого вещества: т.пл. 182-185°С; 1H ЯМР (CDCl3): Анал. для С19H15O2N: Вычислено: С: 78,87; Н: 5,23; N: 4,84. Найдено: С: 79,06; Н: 7,27; N: 2,91. Промежуточный продукт 18 2-Метокси-6-(4-метоксифенил)-1-фенилнафталин К смеси 2-метокси-6-(4-метоксифенил)-1-бромнафталина (0,80 г, 2,33 ммоль) и тетракис(трифенилфосфин)палладия (0,13 г, 0,12 ммоль) в ТГФ (10 мл) добавляют фенилмагнийбромид (2,2 мл 3 н. раствора в эфире). Реакционную смесь перемешивают при кипячении с обратным холодильником на протяжении ночи, охлаждают до комнатной температуре, выливают в 1 н. HCl (100 мл) и экстрагируют этилацетатом (3 х 200 мл). Объединенные органические слои промывают раствором бикарбоната натрия, сушат над сульфатом магния, фильтруют, упаривают для удаления растворителя и очищают колоночной хроматографией на диоксиде кремния (10% этилацетат-гексаны), получая при этом 0,42 г (53%) серого твердого вещества: т.пл. 157-160°С; 1Н ЯМР (CDCl3) Анал. для С24H20O2·0,5 Н2О: Вычислено: С: 82,50; Н: 6,06. Найдено: С: 82,60; Н: 5,66. Промежуточный продукт 19 2-Метокси-6-(4-метоксифенил)1-метилнафталин К раствору 2-метокси-6-(4-метоксифенил)1-бромнафталина в ТГФ (25 мл) при 0°С медленно добавляют н-бутиллитий (2 мл 2,5 н. раствора) и TMEDA (0,60 г, 5,13 ммоль, свежеперегранный из КОН). Через тридцать минут при 0°С добавляют иодметан (7,3 г, 51,3 ммоль, пропущенный через основный оксид алюминия) и перемешиваемому раствору дают возможность нагреться до комнатной температуры на протяжении ночи. Реакционную смесь выливают в воду (100 мл) и экстрагируют этилацетатом (3 х 200 мл). Объединенные органические слои промывают водой, сушат над сульфатом магния, фильтруют, упаривание для удаления растворителя и очистка колоночной хроматографией на диоксиде кремния (5% ТГФ-гексаны) дают при этом 0,63 г (88%) белого твердого вещества: т.пл. 136-138°С; 1Н ЯМР (CDCl3) Анал. для С19H18O2·0,3 Н2О: Вычислено: С: 80,43; Н: 6,61. Найдено: С: 80,20; Н: 6,33. Пример 1r 1-Фтор-6-(4-гидроксифенил)-2-нафтол Указанное в заголовке соединение получают взаимодействием 2-метокси-6-(4-метоксифенил)-1-фторнафталина (0,250 г, 0,886 ммоль) с трибромидом бора (2,7 мл, 1 н. раствора, 2,7 ммоль) по способу D, причем получают 0,13 г (15%) белого твердого вещества: т.пл. 219-224°С; 1Н ЯМР (ДМСО-d6): Анал. для С16H11FO2: Вычислено: С: 75,58; Н: 4,36. Найдено: С: 75,13; Н: 4,40. Пример 1s 2-Гидрокси-6-(4-гидроксифенил)-1-нафтонитрил Указанное в заголовке соединение получают взаимодействием 2-метокси-6-(4-метоксифенил)-1-нафтонитрила (0,115 г, 0,397 ммоль) с соединением пиридиний HCl (4 г) при 190°С по способу D, причем получают 0,25 г (24%) рыжевато-коричневого твердого вещества: т.пл. > 220°С; 1Н ЯМР (ДМСО-d6): Анал. для С17H11NO2·0,4 Н2О: Вычислено: С: 76,05; Н: 4,43; N: 5,22. Найдено: С: 76,09; Н: 4,25; N: 4,83. Пример 1t 6-(4-Гидроксифенил)-1-фенил-2-нафтол Способ D К смеси 2-метокси-6-(4-метоксифенил)-1-фенилнафталина (0,36 г, 1,06 ммоль) в CH2Cl2 (25 мл) при 0°С медленно добавляют трибромид бора (3,2 мл 1 н. раствора в CH2Cl2). Смеси дают возможность медленно нагреться до комнатной температуры и перемешивают на протяжении ночи. Образовавшийся раствор выливают в воду (100 мл) и экстрагируют этилацетатом (3 х 150 мл). Объединенные органические слои промывают насыщенным раствором бикарбоната натрия, сушат над сульфатом магния, упаривание для удаления растворителя и очистка колоночной хроматографией на диоксиде кремния (25% этилацетат-гексаны) с последующей очисткой препаративной ВЭЖХ с обращенной фазой и сушкой в вакууме при 105°С дают 0,14 г (42%) указанного в заголовке соединения в виде белого твердого вещества: т.пл. 142-146°С; 1H ЯМР (ДМСО-d6): Анал. для С22H16O2·0,1 Н2О: Вычислено: С: 84,11; Н: 5,20. Найдено: С: 83,90; Н: 5,15. Пример 1u 6-(4-Гидроксифенил)-1-метил-2-нафтол Указанное в заголовке соединение получают взаимодействием 2-метокси-6-(4-метоксифенил)-1-метилнафталина (0,35 г, 1,26 ммоль) с трибромидом бора (3,8 мл 1 н. раствора, 3,8 ммоль) по способу D, причем получают 15 г (48%) белого твердого вещества: т.пл. >170°С (разл.); 1H ЯМР (ДМСО-d6): Анал. для С17H14O2: Вычислено: С: 81,58; Н: 5,64. Найдено: С: 81,15; Н: 5,58. Синтез соединений по схеме 6 Промежуточный продукт 27 трет-Бутил-[(6-бром-2-нафтил)окси]диметилсилан Способ Е К раствору 6-бром-2-нафтола (13,68 г, 61,33 ммоль) и TBDMS-Cl (11,09 г, 73,6 ммоль) в ДМФ (50 мл) добавляют имидазол (10,2 г, 150 ммоль). Раствор перемешивают в течение 3 час, смешивают с раствором бикарбоната натрия (250 мл) и экстрагируют смесью 50% этилацетат-гексаны (3 х 250 мл). Объединенные органические слои промывают водой, сушат над сульфатом магния, фильтруют, и упаривание для удаления растворителя дает рыжевато-коричневое масло, которое сушат в вакууме с получением 19,92 г (97%) указанного в заголовке соединения в виде белого твердого вещества: 1Н ЯМР (CDCl3): Анал. для С16H21BrO1Si·0,25 Н2О: Вычислено: С: 56,97; Н: 6,27. Найдено: С: 56,81; Н: 6,43. Промежуточный продукт 22 трет-Бутил-(4-бром-2,6-дифторфенилокси)диметилсилан Указанное в заголовке соединение получают взаимодействием 4-бром-2,6-дифторфенола (10,54 г, 50,4 ммоль) с TBDMS-Cl (9,88 г, 150,7 ммоль) по способу Е, причем получают 14,61 г (90%) прозрачного, бесцветного масла: 1Н ЯМР (CDCl3) Промежуточный продукт 28 трет-Бутил-[(2-(6-нафтилбороновая кислота)окси]диметилсилан Способ F К раствору трет-бутил-[(6-бром-2-нафтил)окси]диметилсилана (19,18 г, 56,9 ммоль) в ТГФ (200 мл) при -78°С медленно добавляют н-бутиллитий (25 мл 2,5 н. раствора в гексанах). Раствор перемешивают в течение тридцати минут и добавляют триизопропилборат (53,5 г, 285 ммоль). Раствор перемешивают в течение 1 часа при -78°С и затем дают ему возможность нагреться до комнатной температуры на протяжении ночи. Раствор затем охлаждают до 0°С и перемешивают с HCl (200 мл 1 н. раствора) в течение 10 минут. Смесь экстрагируют этилацетатом (3 х 250 мл). Объединенные органические слои концентрируют до объема 25 мл. Кристаллизацию индуцируют гексанами и твердый продукт собирают фильтрованием и сушат в вакууме, получая при этом 13,5 г (79%) указанного в заголовке соединения в виде не совсем белого твердого вещества: 1H ЯМР (ДМСО-d6): Анал. для С16H23BO3Si: Вычислено: С: 63,58; Н: 7,67. Найдено: С: 46,97; Н: 6,78. Промежуточный продукт 29 3-Фтор-4-метоксифенилбороновая кислота Указанное в заголовке соединение получают взаимодействием 4-бром-2-фторанизола (10 г, 0,049 моль) с н-бутиллитием (23,4 мл, 2,5 М раствора в гексане, 0,059 моль), затем с триизопропилборатом (45,2 мл, 36,9 г, 0,196 моль) по способу F, причем получают 7,1 г (85,2%) белого твердого вещества: МС (ESI) m/z 169 (М-Н)–; 1Н ЯМР (ДМСО-d6) Промежуточный продукт 30 3,5-Дифтор-4-трет-бутилдиметилсилилоксибороновая кислота Указанное в заголовке соединение получают взаимодействием трет-бутил-(4-бром-2,6-дифторфенилокси)диметилсилана (12,98 г, 40,19 ммоль) с н-бутиллитием (27,6 мл 1,6 н. раствора, 44,2 ммоль), затем с триизопропилборатом (37,8 г, 200 ммоль) по способу F, причем получают 4,38 г (38%) белого твердого вещества: 1Н ЯМР (ДМСО-d6) Промежуточный продукт 31 4-Метокси-2-метилфенилбороновая кислота Указанное в заголовке соединение получают взаимодействием 4-бром-2-метиланизола (10 г, 0,050 моль) с н-бутиллитием (24 мл 2,5 М раствора в гексане, 0,055 моль), затем с триизопропилборатом (57,7 мл, 47,02 г, 0,25 моль) по способу F, причем получают 5,7 г (69%) белого твердого вещества: МС (ESI) m/z 313 (2М-Н2О-Н)-1. Промежуточный продукт 33 2-(3-Фтор-4-метоксифенил)нафталин Указанное в заголовке соединение получают взаимодействием 2-бромнафталина (0,31 г, 1,50 ммоль) с 3-хлор-4-метоксифенилбороновой кислотой (0,31 г, 1,80 ммоль) по способу А, причем получают 0,30 г (79%) белого твердого вещества: т.пл. 108-110°С; 1H ЯМР (CDCl3): Анал. для С17H13FO: Вычислено: С: 80,93; Н: 5,19. Найдено: С: 81,01; Н: 4,78. Пример 1ay 6-(3,5-Дифтор-4-гидроксифенил)-2-нафтол Указанное в заголовке соединение получают взаимодействием 6-бром-2-нафтола (0,165 г, 0,74 ммоль) с 3,5-дифтор-4-трет-бутилдиметилсилилоксибороновой кислоты (0,25 г, 0,87 ммоль) по способу А, причем получают 0,14 г (70%) рыжевато-коричневого твердого вещества. Этот материал далее очищают препаративной ВЭЖХ с обращенной фазой, получая при этом указанное в заголовке соединение в виде белого твердого вещества: т.пл. 216-220°С; 1H ЯМР (ДМСО-d6): Анал. для С16H10F2O2·0,25 Н2О: Вычислено: С: 69,44; Н: 3,82. Найдено: С: 69,70; Н: 3,63. Промежуточный продукт 34 6-(3-Фтор-4-метоксифенил)-2-нафтол Указанное в заголовке соединение получают взаимодействием 6-бром-2-нафтола (3,2 г, 18,8 ммоль) с 3-фтор-4-метоксифенилбороновой кислотой (3,5 г, 15,7 ммоль) по способу А, причем получают 3,3 г (78%) белого твердого вещества: т.пл. 174-176°С; 1H ЯМР (DMDO-d6): Анал. для С17H13FO2: Вычислено: С: 76,11; Н: 4,88. Найдено: С: 76,03; Н: 4,78. Промежуточное соединение 35 6-(4-Метокси-2-метилфенил)-2-нафтол Указанное в заголовке соединение получают взаимодействием 6-бром-2-нафтола (1,8 г, 5,4 ммоль) с 4-метокси-3-метилфенилбороновой кислотой (1,74 г, 7,0 ммоль) по способу А, причем получают 1,56 г (73%) желтоватого твердого вещества: т.пл. 124-126°С; 1H ЯМР (DMDO-d6): Анал. для С18H16O2: Вычислено: С: 81,79; Н: 6,10. Найдено: С: 81,43; Н: 6,01. Пример 1j 2-Фтор-4-(2-нафтил)фенол Указанное в заголовке соединение получают взаимодействием 2-(3-фтор-4-метоксифенил)нафталина (0,22 г, 0,87 ммоль) с трибромидом бора (1,75 мл 1 н. раствора, 1,75 ммоль) по способу D, причем получают 0,13 г (63%) белого твердого вещества: т.пл. 110-112°С; 1H ЯМР (ДМСО-d6): Анал. для С16H11FO: Вычислено: С: 80,66; Н: 4,65. Найдено: С: 80,31; Н: 4,29. Пример 1к 6-(3-Фтор-4-гидроксифенил)-2-нафтол Указанное в заголовке соединение получают взаимодействием 6-(3-фтор-4-метоксифенил)-2-нафтола (600 мг, 2,24 ммоль) с трибромидом бора (6,26 мл 1,0 М раствор в CH2Cl2, 6,27 ммоль) по способу D, причем получают 385 мг (68%) желтоватого твердого вещества: т.пл. 216-219°С; 1Н ЯМР (DMDO-d6): Анал. для С16H11FO2·0,13 Н2О Вычислено: С: 74,89; Н: 4,42. Найдено: С: 74,86; Н: 4,33. Синтез соединений по схеме 7 Промежуточный продукт 36 1-Хлор-6-(3-фтор-4-метоксифенил)-2-нафтол Указанное в заголовке соединение получают взаимодействием 6-(3-хлор-4-метоксифенил)-2-нафтола (1 г, 3,73 ммоль) и NCS (748 мг, 5,60 ммоль) в ТГФ (35 мл) по способу А, причем получают 780 мг (69%) коричневого твердого вещества: т.пл. 137-139°С; 1Н ЯМР (DMDO-d6): Анал. для С16H11ClO: Вычислено: С: 67,45; Н: 4,00. Найдено: С: 67,35; Н: 3,78. Промежуточный продукт 37 1-Хлор-6-(4-метокси-2-метилфенил)-2-нафтол Указанное в заголовке соединение получают взаимодействием 6-(4-метокси-2-метилфенил)-2-нафтола (800 мг, 3,03 ммоль) и NCS (485 мг, 3,61 ммоль) в ТГФ (30 мл) по способу А, получая при этом 640 мг (71%) желтого твердого вещества: 1Н ЯМР (DMDO-d6): Анал. для С18H15ClO2: Вычислено: С: 72,36; Н: 5,06. Найдено: С: 72,02; Н: 5,03. Пример 1v 1-Хлор-6-(3-фтор-4-гидроксифенил)-2-нафтол Указанное в заголовке соединение получают взаимодействием 1-хлор-6-(3-фтор-4-метоксифенил)-2-нафтола (420 мг, 1,39 ммоль) с трибромидом бора (3,9 мл 1,0 М раствора в CH2Cl2, 3,89 ммоль) по способу D, причем получают 330 мг (82%) желтоватого твердого вещества: т.пл. 195-198°С; 1H ЯМР (DMDO-d6): Анал. для С16H10ClFO2: Вычислено: С: 66,56; Н: 3,49. Найдено: С: 66,37; Н: 3,65. Пример 1y 1-Хлор-6-(4-гидрокси-2-метилфенил)-2-нафтол Указанное в заголовке соединение получают взаимодействием 1-хлор-6-(4-метокси-2-метилфенил)-2-нафтола (400 мг, 1,41 ммоль) с трибромидом бора (4,0 мл 1,0 М раствора в CH2Cl2, 4,0 ммоль) по способу D, причем получают 310 мг (77%) желтоватого твердого вещества: т.пл. 216-218°С; 1Н ЯМР (DMDO-d6): Анал. для С18H15ClO2: Вычислено: С: 71,71; Н: 4,60. Найдено: С: 71,30; Н: 4,66. Синтез соединений по схеме 8 Промежуточный продукт 38 6-Метокси-2-нафталинил)бороновая кислота В 500 мл колбу добавляют 2-бром-6-метоксинафталин (8,02 г, 33,8 ммоль), безводный ТГФ (125 мл) и несколько кристаллов 1,10-фенантролина в качестве индикатора. Смесь охлаждают до -78°С и через шприц медленно добавляют втор-бутиллитий (56 мл 1,3 н. раствора в гексанах, 72,8 ммоль). После перемешивания в течение 0,5 ч добавляют триизопропилборат (47 мл, 203,7 ммоль) и раствор перемешивают в течение 1 часа при -78°С и затем дают ему возможность нагреться до температуры окружающей среды. Затем добавляют охлажденную льдом 2 н. HCl (100 мл) и смесь перемешивают в течение 5 минут, после чего добавляют еще 2 н. HCl (100 мл) и смесь перемешивают в течение еще 5 минут. Смесь затем экстрагируют этилацетатом (3х), сушат над MgSO4 и концентрируют почти досуха. Гексаны, добавленные к концентрату, индуцируют кристаллизацию, кристаллы затем собирают фильтрованием и затем сушат в вакууме, получая при этом 7,01 г (100%) светло-оранжевого порошка. 1H ЯМР (500 МГц, ДМСО-d6) Промежуточный продукт 39 2-Хлор-4-(6-метокси-2-нафтил)фенол Смесь 4-бром-2-хлорфенола (730 мг, 3,5 ммоль), (6-метокси-2-нафталинил)бороновой кислоты (780 мг, 3,85 ммоль), карбоната натрия (930 мг в виде 2 н. водного раствора, 8,8 ммоль) и тетракис(трифенилфосфин)палладия(0) (203 мг, 0,18 ммоль) в DME (45 мл) и кипятят с обратным холодильником в течение 12 ч. Реакционную смесь затем охлаждают, экстрагируют этилацетатом (3х), сушат над Na2SO4 и концентрируют. Колоночная хроматография (30% EtOAc/гексаны) дает 360 мг (30%) продукта в виде белого твердого вещества. Т.пл. 129-130°С; 1H ЯМР (300 МГц, ДМСО-d6) Анал. для С17H13ClO2: Вычислено: С: 71,71; Н: 4,60. Найдено: С: 71,68; Н: 4,72. Промежуточный продукт 40 3-Хлор-4-(6-метокси-2-нафтил)фенол Указанное в заголовке соединение получают взаимодействием 4-бром-3-хлорфенола (3,8 г, 18,3 ммоль) с I12372-104 (4,81 г, 23,8 ммоль) по способу А, причем получают 5,09 г (98%) белого твердого вещества: т.пл. 139-142°С; 1H ЯМР (ДМСО-d6): Анал. для С16H11ClO: Вычислено: С: 71,71; Н: 4,60. Найдено: С: 71,50; Н: 4,62. Промежуточный продукт 41 2,6-Дифтор-4-(6-метокси-2-нафтил)фенол Указанное в заголовке соединение получают взаимодействием 4-бром-2,6-дифторфенола (3,5 г, 16,8 ммоль) с промежуточным продуктом 38 (4,2 г, 20,2 ммоль) по способу А, причем получают 1,1 г (23%) белого твердого вещества: т.пл. 188-190°С; 1Н ЯМР (ДМСО-d6): Анал. для С17H12F2O2: Вычислено: С: 71,32;Н: 4,23. Найдено: С: 71,10;Н: 4,17. Промежуточный продукт 42 4-(6-Гидрокси-2-нафтил)-3-метоксифенил-4-метилбензолсульфонат 4-Бром-3-метоксифенил-4-метилбензолсульфонат Смесь 4-бромрезорцина (4,92 г, 26,0 ммоль), хлорангидрида п-толуолсульфоновой кислоты (5,95 г, 31,2 ммоль), карбоната калия (23 г, 167 ммоль) и ацетона (300 мл) кипятят с обратным холодильником в течение 16 ч. Добавляют иодметан (9,89 г, 70 ммоль),и смесь кипятят с обратным холодильником в течение дополнительных 12 ч. Смесь охлаждают до комнатной температуры, добавляют эфир (200 мл), и суспензию фильтруют. Из фильтрата отгоняют растворитель и остаток очищают на колонке с диоксидом кремния (10% этилацетат – гексаны), получая при этом 6,49 г (70%) указанного в заголовке соединения в виде белого твердого вещества. 1Н ЯМР (CDCl3): Анал. для С14H13BrO4S: Вычислено: С: 47,07; Н: 3,67. Найдено: С: 47,14; Н: 3,57. Указанное в заголовке соединение получают взаимодействием 4-бром-3-метоксифенил-4-метилбензолсульфоната (3,07 г, 8,60 ммоль) и трет-бутил-{(2-(6-нафтилбороновая кислота)окси]диметилсилана (2,86 г, 9,46 ммоль) по способу А, причем получают 2,15 г (53%) оранжевого твердого вещества: 1Н ЯМР (CDCl3): Анал. для С24H20O5S·0,25 Н2О: Вычислено: С: 67,82; Н: 4,86. Найдено: С: 67,75; Н: 4,56. Пример 1аа 6-(4-Гидрокси-2-метоксифенил)2-нафтол Раствор 4-(6-гидрокси-2-нафтил)-3-метоксифенил-4-метилбензолсульфоната (1,74 г, 4,05 ммоль), гидроксида калия (5 г), воды (85 мл) и этанола (85 мл) перемешивают при 90°С в течение 2 ч. Реакционную смесь охлаждают до комнатной температуры и концентрируют до 50% объема, нейтрализуют уксусной кислотой и экстрагируют этилацетатом (3 х 200 мл). Объединенные органические слои промывают насыщенным раствором соли, сушат над сульфатом натрия, фильтруют, выпаривание растворителя и очистка на колонке с диоксидом кремния (25% этилацетат – гексаны) дают 1,01 г (94%) указанного в заголовке соединения в виде рыжевато-коричневого твердого вещества. Образец далее очищают препаративной ВЭЖХ с обращенной фазой, получая при этом рыжевато-коричневое твердое вещество: т.пл. 152-154°С; 1Н ЯМР (ДМСО-d6): Анал. для С17H14O3: Вычислено: С: 76,68; Н: 5,30. Найдено: С: 76,68; Н: 5,30. Пример 1l 6-(3-Хлор-4-гидроксифенил)-2-нафтол Смесь 2-хлор-4-(6-метокси-2-нафтил)фенола (192 мг, 0,71 ммоль) и гидрохлорида пиридина (3 г, 26 ммоль) нагревают до 200°С в течение 1 ч при перемешивании. После предоставления смеси возможности охладиться добавляют воду для растворения твердого вещества и водный слой экстрагируют эфиром (3х). Эфирные слои объединяют, сушат над Na2SO4 и пропускают через пробку диоксида кремния. Упаривание при пониженном давлении дает 180 мг (98%) продукта в виде твердого вещества, окрашенного в рыжевато-коричневый цвет: т.пл. 176-177°С; 1Н ЯМР (300 МГц, ДМСО-d6) Анал. для С16H11ClO2: Вычислено: С: 70,99; Н: 4,10. Найдено: С: 70,64; Н: 4,16. Пример 1ab 6-(2-Хлор-4-гидроксифенил)-2-нафтол Указанное в заголовке соединение получают взаимодействием 3-хлор-4-(6-метокси-2-нафтил)фенола (2,4 г, 8,43 ммоль) с трибромидом бора (21,9 мл 1,0 М раствора в CH2Cl2, 21,9 ммоль) по способу D, причем получают 2,1 г (92%) желтоватого твердого вещества: т.пл. 209-210°С; 1H ЯМР (DMDO-d6): Анал. для С16H11ClO2: Вычислено: С: 70,99; Н: 4,10. Найдено: С: 70,68; Н: 4,09. Пример 1w 1-Хлор-6-(3-хлор-4-гидроксифенил)-2-нафтол Указанное в заголовке соединение получают взаимодействием 6-(3-хлор-4-гидроксифенил)-2-нафтола (500 мг, 1,85 ммоль) и NCS (346 мг, 2,59 ммоль) в ТГФ (37 мл) по способу А, причем получают 380 мг (68%) желтоватого твердого вещества: т.пл. 174-175°С; 1H ЯМР (DMDO-d6): Анал. для С16H10Cl2O2: Вычислено: С: 62,98; Н: 3,30. Найдено: С: 62,65; Н: 3,21. Пример 1 ас 1-Хлор-6-(2-хлор-4-гидроксифенил)-2-нафтол Указанное в заголовке соединение получают взаимодействием 6-(2-хлор-4-гидроксифенил)-2-нафтола (500 мг, 1,85 ммоль) и NCS (321 мг, 2,40 ммоль) в ТГФ (40 мл) по способу С, причем получают 435 мг (77%) желтоватого твердого вещества: т.пл. 224-226°С; 1H ЯМР (DMDO-d6): Анал. для С16H10Cl2O2: Вычислено: С: 62,98; Н: 3,30. Найдено: С: 62,69; Н: 3,36. Пример 1ba 1-Хлор-6-(3,5-дифтор-4-гидроксифенил)-2-нафтол Указанное в заголовке соединение получают взаимодействием 6-(3,5-дифтор-4-гидроксифенил)-2-нафтола (300 мг, 1,10 ммоль) и NCS (155 мг, 1,16 ммоль) в ТГФ (30 мл) по способу С, причем получают 264 мг (78%) серого твердого вещества: т.пл. 209-210°С; 1H ЯМР (ДМСО-d6): Анал. для С16H9ClF2O2: Вычислено: С: 62,66; Н: 2,96. Найдено: С: 62,58; Н: 3,09. Синтез соединений по схеме 9 Промежуточный продукт 43 6-Бром-1-хлорнафталин-2-ол Указанное в заголовке соединение получают взаимодействием 6-бром-2-нафтола (3 г, 13,4 ммоль) и NCS (2,47 г, 18,5 ммоль) в ТГФ (50 мл) по способу С, причем получают 2,2 г (64%) желтого твердого вещества: 1H ЯМР (DMDO-d6): Пример 1m 1-Хлор-6-фенил-2-нафтол Указанное в заголовке соединение получают взаимодействием 6-бром-1-хлорнафталин-2-ола (300 мг, 1,17 ммоль) с фенилбороновой кислотой (170,7 мг, 1,40 ммоль) по способу А, причем получают 240 мг (81%) белого твердого вещества: т.пл. 135-137°С; 1H ЯМР (DMDO-d6): Анал. для С16H11ClO: Вычислено: С: 75,45; Н: 4,35. Найдено: С: 75,16; Н: 4,17. Промежуточный продукт 44 6-Бром-1-нитро-2-нафтол 4-Нитро-4-метил-2,3,5,6-тетрабром-2,5-циклогексадиен-1-он (2,53 г, 4,95 ммоль, чистота: 82,6%) добавляют к 6-бром-2-нафтолу (1 г, 4,5 ммоль) в 40 мл сухого эфира. Реакционной смеси дают возможность прореагировать в течение 1,5 часа при комнатной температуре. Твердое вещество отфильтровывают, получая при этом 2,3,5,6-тетрабром-4-метилфенол (144 мг). Раствор затем упаривают в вакууме. Сырую смесь растворяют в этилацетате и промывают водой. Органический слой сушат над безводным Na2SO4 и фильтруют и растворитель удаляют в вакууме. 2,3,5,6-Тетрабром-4-метилфенол (1,2 г) выделяют перекристаллизацией сырого продукта с использованием смеси этилацетат-гексан. Маточную жидкость концентрируют на флоросиле и очищают на колонке с диоксидом кремния (15%-20% этилацетат-гексан), получая при этом 0,731 г (61%) указанного в заголовке соединения в виде желтого твердого вещества: т.пл. 111-113°С; 1Н ЯМР (DMDO-d6): 5 7,39 (1H, д, J=9,07 Гц), 7,54 (1H, д, J=9,05 Гц), 7,75 (1H, дд, J=9,05 Гц, J=1,70 Гц), 8,03 (1H, д, J=9,14 Гц), 8,29 (1H, д, J=1,84 Гц), 11,65 (1H, с); МС (ESI) m/z 266/268 (М-H)–; IR 1350 см-1, 1490 см-1. Анал. для С10H6BrNO3·0,18 Н2О. Вычислено: С: 44,27; Н: 2,36; N: 5,16. Найдено: С: 44,24; Н: 2,14; N: 4,76. Промежуточный продукт 45 6-[4-(трет-Бутилдиметилсиланилокси)фенил]-1-нитро-2-нафтол Указанное в заголовке соединение получают взаимодействием 6-бром-1-нитро-2-нафтола (560 мг, 2,1 ммоль) с 4-трет-бутилдиметилсилилоксибороновой кислотой (688 мг, 2,73 ммоль) по способу А, причем получают 347 мг (42%) желтоватого твердого вещества: 1Н ЯМР (DMDO-d6): Пример 1х 6-(4-Гидроксифенил)-1-нитро-2-нафтол К раствору 6-[4-(трет-бутилдиметилсиланилокси)фенил]-1-нитро-2-нафтола (302 мг, 0,764 ммоль) в ТГФ (12 мл) добавляют TBAF (0,92 мл, 0,917 ммоль, 1,0 М раствор в ТГФ). Раствор перемешивают в течение 10 мин при комнатной температуре, выливают в воду. Смесь экстрагируют этилацетатом. Объединенные органические слои промывают насыщенным раствором соли, сушат безводным Na2SO4, фильтруют, упаривание для удаления растворителя и очистка на колонке с диоксидом кремния (20%-40% этилацетат-гексан) дают 130 мг (61%) оранжевого твердого вещества. Аналитический образец далее очищают перекристаллизацией с использованием смеси этилацетат-гексан, получая при этом указанное в заголовке соединение в виде оранжевого твердого вещества: т.пл. 199-201°С. 1H ЯМР (DMDO-d6): Анал. для С16H11NO4: Вычислено: С: 68,32; Н: 3,94; N: 4,98. Найдено: С: 67,91; Н: 4,06; N: 4,60. Синтез соединений по схеме 10 Промежуточный продукт 52 2-(2,5-Дифтор-4-метоксифенил)-6-метоксинафталин Указанное в заголовке соединение получают взаимодействием 4-бром-2,5-дифторанизола (4,06 г, 18,3 ммоль) с промежуточным продуктом 38 (4,81 г, 23,8 ммоль) по способу А, причем получают 5,18 г (94,2%) белого твердого вещества: т.пл. 153-155°С; 1H ЯМР (ДМСО-d6): Анал. для С18H14F2O2: Вычислено: С: 71,99; Н: 4,70. Найдено: С: 73,00; Н: 4,62. Промежуточный продукт 53 2-(2,6-Дифтор-4-метоксифенил)-6-метоксинафталин Указанное в заголовке соединение получают взаимодействием 4-бром-3,5-дифторанизола (4,06 г, 18,3 ммоль) с промежуточным продуктом 38 (4,43 г, 22,0 ммоль) по способу А, причем получают 3,4 г (62%) белого твердого вещества: т.пл. 130-132°С; 1Н ЯМР (ацетон-d6): Анал. для С18H14F2O2: Вычислено: С: 71,99; Н: 4,70. Найдено: С: 71,67; Н: 4,81. Промежуточный продукт 50 2-Фтор-4-метоксифениловый эфир трифторметансульфоновой кислоты 2-Фтор-4-метоксифенол Смесь 4-бром-2-фторфенола (8 г, 41,9 ммоль), CuBr (6,0 г, 41,9 ммоль), метоксида натрия (95,8 мл 4,4 М раствора в метаноле) и ДМФ (200 мл) нагревают при 150°С в течение 4 ч. Реакционную смесь охлаждают до комнатной температуры, выливают в HCl (419 мл 2 н. водного раствора), фильтруют через целит и затем экстрагируют этилацетатом. Объединенные органические слои промывают раствором бикарбоната натрия, сушат над сульфатом натрия, фильтруют, упаривание для удаления растворителя и очистка колоночной хроматографией на диоксиде кремния (5%-15% этилацетат-гексан) дают 5,63 г (95%) указанного в заголовке соединения в виде желтоватого масла: 1H ЯМР (DMDO-d6): Указанное в заголовке соединение получают взаимодействием 2-фтор-4-метоксифенола (2,8 г, 19,7 ммоль) с трифторметансульфоновым ангидридом (4,31 мл, 7,23 г, 25,6 ммоль) по способу В, причем получают 3,86 г (68%) прозрачного желтого масла. 1Н ЯМР (ДМСО-d6) Промежуточный продукт 54 2-(2-Фтор-4-метоксифенил)-6-метоксинафталин Указанное в заголовке соединение получают взаимодействием 2-фтор-4-метоксифенилового эфира трифторметансульфоновой кислоты (3,86 г, 14,0 ммоль) с промежуточным продуктом 38 (2,97 г, 14,8 ммоль) по способу А, причем получают 2,27 г (58%) белого твердого вещества: т.пл. 104-106°С. 1H ЯМР (ДМСО-d6): Анал. для С18H15FO2: Вычислено: С: 76,58; Н: 5,36. Найдено: С: 76,30; Н: 5,23. Пример 1 ar 2-Хлор-4-(2-нафтил)фенол Смесь 4-бром-2-хлорфенола (1,45 г, 6,98 ммоль), 2-нафталинбороновой кислоты (1,0 г, 5,81 ммоль), карбоната натрия (1,54 г в виде 2 н. водного раствора, 14,53 ммоль) и тетракис(трифенилфосфин)палладия(0) (340 мг, 0,3 ммоль) в DME (70 мл) кипятят с обратным холодильником в течение 6 ч по способу А. Реакционную смесь затем охлаждают, экстрагируют этилацетатом (3х), сушат над Na2SO4 и концентрируют. Колоночная хроматография (30% этилацетат-гексаны) дает 610 мг (34%) продукта в виде белого твердого вещества. Аналитический образец получают ВЭЖХ с обращенной фазой (СН3CN/H2O, 0,1% ТФУ), т.пл. 99,5-100,0°С; 1H ЯМР (300 МГц, ДМСО-d6) Анал. для С16H11ClO: Вычислено: С: 75,45; Н: 4,35. Найдено: С: 75,24; Н: 4,34. Пример 1z 6-(4-Гидрокси-2-метилфенил)-2-нафтол Указанное в заголовке соединение получают взаимодействием 6-(4-метокси-2-метилфенил)-2-нафтола (420 мг, 1,59 ммоль) с трибромидом бора (4,53 мл 1,0 М раствор в CH2Cl2, 4,53 ммоль) по способу D, причем получают 400 мг (количественный выход) желтоватого твердого вещества: т.пл. 191-193°С; 1H ЯМР (DMDO-d6): Анал. для С17H14O2: Вычислено: С: 81,58; Н: 5,64. Найдено: С: 81,36; Н: 5,53. Пример 1аd 6-(2-Фтор-4-гидроксифенил)-2-нафтол Указанное в заголовке соединение получают взаимодействием 2-(2-фтор-4-метоксифенил)-6-метоксинафталина (1,12 г, 3,97 ммоль) с трибромидом бора (23,8 мл 1,0 М раствор в CH2Cl2, 23,8 ммоль) по способу D, причем получают 0,92 г (91%) белого твердого вещества: т.пл. 208-209°С; 1H ЯМР (ДМСО-d6): Анал. для С16H11FO2·0,15 Н2О: Вычислено: С: 74,79; Н: 4,43. Найдено: С: 74,79; Н: 4,23. Пример 1ае 6-(2,5-Дифтор-4-гидроксифенил)-2-нафтол Указанное в заголовке соединение получают взаимодействием 2-(2,5-дифтор-4-метоксифенил)-6-метоксинафталина (1,5 г, 5,0 ммоль) с трибромидом бора (25 мл 1,0 М раствора в CH2Cl2, 25 ммоль) по способу D, причем получают 1,28 г (94%) желтоватого твердого вещества: т.пл. 217-219°С; 1H ЯМР (ДМСО-d6): Анал. для С16H10F2O2: Вычислено: С: 70,59; Н: 3,70. Найдено: С: 70,35; Н: 3,65. Пример 1af 6-(2,6-Дифтор-4-гидроксифенил)-2-нафтол Указанное в заголовке соединение получают взаимодействием 2-(2,6-дифтор-4-метоксифенил)-6-метоксинафталина (1,5 г, 5,0 ммоль) с трибромидом бора (25 мл 1,0 М раствора в CH2Cl2, 25 ммоль) по способу D, причем получают 1,35 г (99%) желтоватого твердого вещества: т.пл. > 240°С; 1H ЯМР (ДМСО-d6): Анал. для С16H10F2O2: Вычислено: С: 70,59; Н: 3,70. Найдено: С: 70,19; Н: 3,58. Пример 1аg 1-Хлор-6-(2-фтор-4-гидроксифенил)-2-нафтол Указанное в заголовке соединение получают взаимодействием 6-(2-фтор-4-гидроксифенил)-2-нафтола (300 мг, 1,18 ммоль) и NCS (191 мг, 1,43 ммоль) в ТГФ (30 мл) по способу С, причем получают 170 мг (50%) желтоватого твердого вещества: т.пл. 179-180°С; 1H ЯМР (ДМСО-d6): Анал. для С16H10ClFO2: Вычислено: С: 66,56; Н: 3,49. Найдено: С: 66,45; Н: 3,52. Пример 1ah 1-Хлор-6-(2,5-дифтор-4-гидроксифенил)-2-нафтол Указанное в заголовке соединение получают взаимодействием 6-(2,5-дифтор-4-гидроксифенил)-2-нафтола (500 мг, 1,84 ммоль) и NCS (295 мг, 2,21 ммоль) в ТГФ (37 мл) по способу С, причем получают 370 мг (66%) желтоватого твердого вещества: т.пл. 203-204°С; 1Н ЯМР (ДМСО-d6): Анал. для С16H9ClF2O2·0,4 Н2О: Вычислено: С: 61,22; Н: 3,15. Найдено: С: 61,29; Н: 3,17. Пример 1аi 1-Хлор-6-(2,6-дифтор-4-гидроксифенил)-2-нафтол Указанное в заголовке соединение получают взаимодействием 6-(2,6-дифтор-4-гидроксифенил)-2-нафтола (510 мг, 1,86 ммоль) и NCS (301 мг, 2,25 ммоль) в ТГФ (30 мл) по способу С, причем получают 440 мг (77%) желтоватого твердого вещества: т.пл. 213-214°С; 1H ЯМР (ацетон-d6): Анал. для С16H9ClF2O2·0,25 Н2О: Вычислено: С: 61,75; Н: 3,08. Найдено: С: 61,75; Н: 2,90. Синтез соединений по схеме 11 Промежуточный продукт 56 N-(7-Гидроксинафтил)ацетамид К раствору 8-амино-2-нафтола (149,1 г, 0,937 моль) в метаноле (1 л) добавляют уксусный ангидрид (93 мл, 0,984 моль). Реакционную смесь кипятят с обратным холодильником в течение 90 минут и охлаждают до комнатной температуры. Растворитель удаляют и остаток фильтруют через пробку диоксида кремния с использованием этилацетата. Растворитель удаляют, получая при этом 175,8 г (93%) указанного в заголовке соединения в виде темно-красного твердого вещества. Аналитический образец далее очищают препаративной ВЭЖХ с обращенной фазой, получая при этом розовое твердое вещество: т.пл. 161-162°С; 1Н ЯМР (ДМСО-d6): Анал. для С12H11NO2: Вычислено: С: 71,63; Н: 5,51; N: 6,96. Найдено: С: 71,21; Н: 5,45; N: 6,89. Промежуточный продукт 57 N-(7-Метоксинафтил)ацетамид К смеси N-(7-гидроксинафтил)ацетамида (175,4 г, 0,872 моль), карбоната калия (301 г, 2,18 моль) и ацетона (1 л) добавляют иодметан (270 мл, 4,36 моль). Реакционную смесь кипятят с обратным холодильником в течение 6 ч, охлаждают до комнатной температуры и растворитель удаляют. Остаток фильтруют через диоксид кремния с применением этилацетата и растирают с этилацетатом, получая при этом 161,6 г (86%) серого твердого вещества. Аналитический образец далее очищают препаративной ВЭЖХ с обращенной фазой, получая при этом указанное в заголовке соединение в виде белого твердого вещества: т.пл. 154-155°С; 1Н ЯМР (ДМСО-d6): Анал. для С13H13NO2: Вычислено: С: 72,54; Н: 6,09; N: 6,51. Найдено: С: 72,24 Н: 6,43 N: 6,52. Промежуточный продукт 58 7-Метоксинафтиламин Смесь N-(7-метоксинафтил)ацетамида (160,6 г, 0,747 моль) и HCl (1,5 л 1 н. раствора) кипятят с обратным холодильником в течение 5 ч. Охлажденную реакционную смесь нейтрализуют твердым бикарбонатом натрия и экстрагируют дихлорметаном до прозрачности по УФ. Объединенные органические слои фильтруют через диоксид кремния и упаривают для удаления растворителя, получая при этом 89,5 г (69%) коричневого твердого вещества. Аналитический образец готовят препаративной ВЭЖХ, причем получают указанное в заголовке соединение в виде белого твердого вещества: т.пл. 134-136°С; 1H ЯМР (CDCl3): Анал. для С11H11NO·CF3CO2H: Вычислено: С: 54,55; Н: 3,87; N: 4,89. Найдено: С: 54,39; Н: 4,28; N: 4,78. Промежуточный продукт 59 1-Фтор-7-метоксинафталин К смеси 7-метоксинафтиламина (10,94 г, 63,24 ммоль), HCl (15,8 мл 12 н. раствора, 190 ммоль) и воды (50 мл), охлажденной до 10°С, добавляют раствор нитрита натрия (4,58 г, 66,40 ммоль) в воде (25 мл) на протяжении десяти минут. Раствор перемешивают в течение 30 минут и смешивают с фторборной кислотой (100 мл). Образовавшееся зеленое твердое вещество собирают фильтрованием, промывают сначала водой, затем этанолом и затем эфиром, получая при этом желтое твердое вещество [15,48 г (90%) неохарактеризованной промежуточной соли, фторбората диазония]. Указанное желтое твердое вещество смешивают с ксилолами (250 мл) и кипятят с обратным холодильником в течение 1 часа. Растворитель удаляют и остаток распределяют между этилацетатом и раствором бикарбоната натрия. Органический слой сушат над сульфатом натрия, фильтруют, упаривание для удаления растворителя и очистка на диоксиде кремния дают указанное в заголовке соединение в виде светло-желтой жидкости. 1Н ЯМР (CDCl3): Анал. для С11H9FO: Вычислено: С: 74,99; Н: 5,15. Найдено: С: 74,84; Н: 5,14. Промежуточный продукт 60 8-Хлор-2-метоксинафталин CuCl2 (4,6 г, 24,6 ммоль) и трет-бутилнитрит (4,46 г, 43,3 ммоль) добавляют к ацетонитрилу (125 мл) при 0°С. К данной смеси медленно добавляют раствор 7-метоксинафтиламина (4,99 г, 28,8 ммоль) в ацетонитриле (25 мл). Реакционной смеси дают возможность нагреться до комнатной температуры, перемешивают с HCl (400 мл 2 н. раствора) и экстрагируют этилацетатом (3 х 200 мл). Объединенные органические слои промывают 2 н. HCl, сушат над сульфатом натрия, фильтруют, упаривание для удаления растворителя и очистка на колонке с диоксидом кремния (гексаны) дают 2,27 г (41%) оранжевой жидкости. Аналитический образец далее очищают препаративной ВЭЖХ с обращенной фазой, получая при этом указанное в заголовке соединение в виде желтого твердого вещества: т.пл. 32-34°С; 1Н ЯМР (CDCl3): Анал. для С11H9ClO: Вычислено: С: 68,58; Н: 4,71. Найдено: С: 68,35; Н: 4,85. Промежуточный продукт 61 1-Бром-7-метоксинафталин К раствору CuBr2 (15,7 г, 70,3 ммоль) и TBN (9,05 г, 87,9 ммоль) в ацетонитриле (250 мл) при 0°С медленно добавляют раствор 2-метоксинафтиламина (10,14 г, 58,6 ммоль) в ацетонитриле (60 мл). Темный раствор перемешивают при 0°С в течение 2,5 ч, концентрируют на диоксиде кремния и очищают на колонке с диоксидом кремния, получая при этом 4,03 г (29%) белого твердого вещества. Аналитический образец далее очищают препаративной ВЭЖХ с обращенной фазой, получая при этом указанное в заголовке соединение в виде белого твердого вещества: т.пл. 54-58°С; 1Н ЯМР (CDCl3) Анал. для С11H9BrO: Вычислено: С: 55,72; Н: 3,83. Найдено: С: 55,58; Н: 3,60. Промежуточный продукт 62 7-Метокси-1-нафтонитрил Смесь 1-бром-7-метоксинафталина (3,26 г, 13,8 ммоль), Zn(CN)2 (2,26 г, 19,2 ммоль) и тетракис(трифенилфосфин)палладия (1,6 г, 1,4 ммоль) в ДМФ (50 мл) перемешивают при 120°С в течение 15 ч. Охлажденную реакционную смесь выливают в 200 мл 1 н. раствора NH4Cl и экстрагируют этилацетатом (3 х 350 мл). Объединенные органические слои промывают насыщенным раствором соли, сушат над сульфатом натрия, фильтруют, упаривание для удаления растворителя и очистка на колонке с диоксидом кремния (10% этилацетат-гексаны) дают 1,28 г (51%) указанного в заголовке соединения в виде белого твердого вещества: т.пл. 62-66°С; 1H ЯМР (ДМСО-d6): Анал. для С12H9NO: Вычислено: С: 78,67; Н: 4,95; N: 7,65. Найдено: С: 78,83; Н: 4,60; N: 6,80. Промежуточный продукт 64 7-Метокси-3,4-дигидронафталин-1-карбонитрил К смеси 7-метокси-1-тетралона (39,65 г, 0,23 моль), иодида цинка (1,73 г, 5,4 ммоль) и бензола (100 мл) добавляют триметилсилилцианид (25,0 г, 0,25 моль). Смесь перемешивают на протяжении ночи при комнатной температуре. Добавляют пиридин (350 мл) и затем по каплям добавляют оксихлорид фосфора (100 мл) с незначительным повышением температуры. Смесь нагревают для кипячения с обратным холодильником и выдерживают в течение 6 ч. ТСХ показывает, что одно пятно со средним значением Rf соответствует требуемому продукту. Смесь перемешивают на протяжении ночи при комнатной температуре. Смесь осторожно выливают в смесь лед/хлористо-водородная кислота (приблизительно 1,5 литра 10% HCl). Общий объем составляет 2 литра. Данную смесь экстрагируют этилацетатом (3 х 500 мл), органические слои объединяют и промывают водой (2 х 500 мл) и затем насыщенным раствором соли (500 мл). Слой этилацетата сушат над сульфатом магния и упаривают, получая при этом жидкость, которая при стоянии отверждается. Это сырое твердое вещество суспендируют в гексане и фильтруют, получая при этом 31,3 г (74%) рыжевато-коричневого твердого вещества. Некоторое количество данного материала очищают хроматографией на силикагеле (10% этилацетат-гексаны), получая при этом твердое вещество: т.пл. 47-49°С; 1H ЯМР (ДМСО-d6): Анал. для С12H11NO: Вычислено: С: 77,81; Н: 5,99; N: 7,56. Найдено: С: 77,71; Н: 5,69; N: 7,50. Промежуточный продукт 62 7-Метокси-1-цианонафталин К смеси 7-метокси-3,4-дигидронафталин-1-карбонитрила (9,95 г, 53,1 ммоль) и п-цимена (100 мл) добавляют 10% Pd/C (5 г), реакционную смесь перемешивают и нагревают до 150°С на протяжении ночи. Смесь охлаждают и катализатор удаляют фильтрованием через вспомогательное фильтровальное вещество. п-Цимен удаляют на роторном испарителе с вакуумным насосом, получая при этом жидкость, которая отверждается при стоянии. Твердое вещество перемешивают в гексане, фильтруют и сушат, получая при этом белое твердое вещество (4,3 г, 44%). Порцию очищают дополнительно силикагелем (10% этилацетат-гексаны), получая при этом белое твердое вещество: т.пл. 77-78°С; 1Н ЯМР (ДМСО-d6) Анал. для С12H9NO: Вычислено: С: 78,67; Н: 4,95; N: 7,51. Найдено: С: 78,47; Н: 4,73; N: 7,51. Синтез соединений по схеме 12 Промежуточный продукт 65 8-Фтор-2-нафтол Указанное в заголовке соединение получают взаимодействием 1-фтор-7-метоксинафталина (7,99 г, 45,34 ммоль) с трибромидом бора (68 мл 1 н. раствора, 68 ммоль) по способу D, причем получают 3,99 г (54%) красного твердого вещества. Аналитический образец получают препаративной ВЭЖХ с обращенной фазой в виде белого твердого вещества: т.пл. 89-92°С; 1H ЯМР (ДМСО-d6): Анал. для С10H7FO: Вычислено: С: 74,07; Н: 4,35. Найдено: С: 73,90; Н: 4,30. Промежуточный продукт 66 8-Хлор-2-нафтол Указанное в заголовке соединение получают взаимодействием 8-хлор-3-метоксинафталина (10,25 г, 53,4 ммоль) с трибромидом бора (67 мл 1 н. раствора, 67 ммоль) по способу D, причем получают 8,76 г (92%) желтого твердого вещества. Аналитический образец дополнительно очищают препаративной ВЭЖХ с обращенной фазой, получая при этом указанное в заголовке соединение в виде белого твердого вещества: т.пл. 95-100°С; 1H ЯМР (ДМСО-d6): Анал. для С10H7ClO: Вычислено: С: 67,24; Н: 3,95. Найдено: С: 66,99; Н: 4,06. Промежуточный продукт 67 7-Гидрокси-1-нафтонитрил Указанное в заголовке соединение получают взаимодействием 7-метокси-1-нафтонитрила (1,19 г, 6,50 ммоль) с соединением пиридиний HCl (9 г) по способу D, причем получают 0,88 г (80%) белого твердого вещества: т.пл. 184-188°С; 1H ЯМР (ДМСО-d6): Анал. для С11H7NO: Вычислено: С: 78,09; Н: 4,17; N: 8,28. Найдено: С: 77,99; Н: 3,99; N: 8,47. Промежуточный продукт 68 6-Бром-8-фтор-2-нафтол К раствору 8-фтор-2-нафтола (3,24 г, 20,0 ммоль) в ледяной уксусной кислоте (30 мл) медленно добавляют раствор брома (7,35 г, 46,0 ммоль) в ледяной уксусной кислоте (30 мл). Раствор перемешивают при 100°С в течение 1 ч. Реакционную смесь охлаждают до комнатной температуры, выливают в воду (50 мл) и экстрагируют этилацетатом (3 х 150 мл). Объединенные органические слои промывают раствором бикарбоната натрия, сушат над сульфатом натрия, фильтруют, выпаривание для удаления растворителя и очистка на колонке с диоксидом кремния (2,5% этилацетат-гексаны) дают 3,96 г (12,4 ммоль, 62%) промежуточного 1,6-дибром-8-фтор-2-нафтола в виде желтого твердого вещества. Данное твердое вещество смешивают со SnCl2 (7,0 г, 31 ммоль), ледяной уксусной кислотой (35 мл) и HCl (35 мл 12 н. раствора) и нагревают до 100°С в течение 1 часа. Образовавшийся раствор охлаждают до комнатной температуры, выливают в воду (100 мл) и экстрагируют этилацетатом (3 х 200 мл). Объединенные органические слои промывают водой, сушат над сульфатом натрия, фильтруют, упаривают для отгонки растворителя и очищают на диоксиде кремния (2,5% этилацетат-гексаны), получая при этом 1,97 г (41%) указанного в заголовке соединения в виде белого твердого вещества: т.пл. 124-126°С; 1H ЯМР (ДМСО-d6): Анал. для С10H6BrFO: Вычислено: С: 49,83; Н: 2,51. Найдено: С: 49,86; Н: 2,46. Промежуточный продукт 69 3,6-Дибром-8-хлор-2-нафтол К раствору 8-хлор-2-нафтола (4,92 г, 27,6 ммоль) в ледяной уксусной кислоте (40 мл) медленно добавляют раствор брома (9,7 г, 60,7 ммоль) в ледяной уксусной кислоте (40 мл). Раствор перемешивают при 100°С в течение 1 часа, охлаждают до комнатной температуры, выливают в воду (250 мл) и экстрагируют этилацетатом. Объединенные органические слои промывают бикарбонатом натрия, сушат над сульфатом натрия, фильтруют, упаривают для отгонки растворителя и очищают на колонке с диоксидом кремния (20% этилацетат-гексаны), получая при этом 4,61 г (50%) желтого твердого вещества. Аналитический образец дополнительно очищают препаративной ВЭЖХ с обращенной фазой, получая при этом указанное в заголовке соединение в виде белого твердого вещества: т.пл. 156-158°С; 1H ЯМР (ДМСО-d6): Анал. для С10H5Br2ClO: Вычислено: С: 35,70; Н: 1,50. Найдено: С: 35,74; Н: 1,44. Промежуточный продукт 70 3-Бром-7-гидрокси-1-нафтонитрил К смеси 7-гидрокси-1-нафтонитрила (26,03 г, 154,0 ммоль) и ледяной уксусной кислоты (400 мл) добавляют бром (51,8 г, 323 ммоль). Смесь перемешивают при 100°С в течение 6 ч. Добавляют HCl (400 мл 12 н. раствора) и SnCl2 (69 г, 308 ммоль) и смесь перемешивают при 100°С в течение 1 часа. Образовавшийся раствор охлаждают до комнатной температуры и выливают в воду (1 л). Образовавшийся желтый осадок собирают фильтрованием, сушат в вакууме и растирают с этилацетатом, получая при этом 14,68 г (38%) указанного в заголовке соединения в виде не совсем белого твердого вещества. Аналитический образец получают препаративной ВЭЖХ с обращенной фазой, причем получают указанное в заголовке соединение в виде белого твердого вещества: т.пл. 222-224°С; 1Н ЯМР (ДМСО-d6): Анал. для С11H6BrNO: Вычислено: С: 53,26; Н: 2,44; N: 5,65. Найдено: С: 53,81; Н: 2,70; N: 4,82. Промежуточный продукт 71 трет-Бутил-[(3,6-дибром-8-хлор-2-нафтил)окси]диметилсилан Указанное в заголовке соединение получают взаимодействием 3,6-дибром-8-хлор-2-нафтола (3,00 г, 8,92 ммоль) с TBDMS-Cl (1,75 г, 150,7 ммоль) по способу F, причем получают 3,36 г (84%) белого твердого вещества: т.пл. 58-64°С; 1Н ЯМР (CDCl3): Анал. для С16H19Br2ClOSi: Вычислено: С: 42,64; Н: 4,25. Найдено: С: 42,73; Н: 4,08. Промежуточный продукт 72 8-Фтор-6-(4-метоксифенил)-2-нафтол Указанное в заголовке соединение получают взаимодействием 6-бром-8-фтор-2-нафтола (0,39 г, 1,62 ммоль) с 4-метоксифенилбороновой кислотой (0,34 г, 2,27 ммоль) по способу А, причем получают 0,35 г (81%) белого твердого вещества: т.пл. 150-150°С; 1H ЯМР (ДМСО-d6): Анал. для С17H13FO2·0,1 Н2О: Вычислено: С: 75,60; Н: 4,93. Найдено: С: 75,30; Н: 4,57. Промежуточный продукт 73 8-Фтор-6-(3-фтор-4-метоксифенил)-2-нафтол Указанное в заголовке соединение получают взаимодействием 6-бром-8-фтор-2-нафтола (0,66 г, 2,74 ммоль) с 3-фтор-4-метоксифенилбороновой кислотой (0,56 г, 3,3 ммоль) по способу А, причем получают 0,67 г (85%) белого твердого вещества: т.пл. 138-140°С; 1H ЯМР (ДМСО-d6): Анал. для С17H12F2O2: Вычислено: С: 71,32; Н: 4,23. Найдено: С: 71,09; Н: 4,15. Промежуточный продукт 74 трет-Бутил-[(3-бром-8-хлор-(4-метоксифенил)-2-нафтил)окси]диметилсилан Раствор трет-бутил-[(3,6-дибром-8-хлор-2-нафтил)окси]диметилсилана (1,95 г, 4,32 ммоль), 4-метоксифенилмагнийбромида (13,8 мл 0,5 н. раствора, 6,9 ммоль) и тетракис(трифенилфосфин)палладия (0,25 г, 0,21 ммоль) в ТГФ (10 мл) перемешивают при кипячении с обратным холодильником в течение 8 ч. Реакционную смесь гасят водой (100 мл) и экстрагируют этилацетатом (3 х 150 мл). Объединенные органические слои промывают водой, сушат сульфатом натрия, фильтруют, упаривание для удаления растворителя и очистка на колонке с диоксидом кремния (5% этилацетат-гексаны) дают 1,42 г (69%) указанного в заголовке соединения в виде белого твердого вещества: 1Н ЯМР (CDCl3): Промежуточный продукт 75 7-Гидрокси-3-(4-метоксифенил)-1-нафтонитрил Указанное в заголовке соединение получают взаимодействием 3-бром-7-гидрокси-1-нафтонитрила (0,249 г, 1,00 ммоль) с 4-метоксифенилбороновой кислотой (0,21 г, 1,4 ммоль) по способу А, получая при этом 0,19 г (69%) светло-желтого твердого вещества: т.пл. 226°С; 1H ЯМР (ДМСО-d6): Анал. для С18H13NO2·0,1 Н2О: Вычислено: С: 78,02; Н: 4,80; N: 5,05. Найдено: С: 77,73; Н: 4,65; N: 4,92. Промежуточный продукт 76 3-(3-Фтор-4-метоксифенил)-7-гидрокси-1-нафтонитрил Указанное в заголовке соединение получают взаимодействием 3-бром-7-гидрокси-1-нафтонитрила (0,208 г, 0,839 ммоль) с 3-фтор-4-метоксифенилбороновой кислотой (0,18 г, 1,1 ммоль) по способу А, причем получают 0,16 г (65%) светло-желтого твердого вещества. Аналитический образец готовят препаративной ВЭЖХ с обращенной фазой, причем получают указанное в заголовке соединение в виде белого твердого вещества: т.пл. 214-216°С; 1H ЯМР (ДМСО-d6): Анал. для С18H12FNO2·0,1 Н2О: Вычислено: С: 73,26; Н: 4,17; N: 4,75. Найдено: С: 72,91; Н: 4,01; N: 4,60. Промежуточный продукт 77 3-Бром-8-хлор-6-(4-метоксифенил)-2-нафтол Способ I К раствору трет-бутил-[(3-бром-8-хлор-(4-метоксифенил)-2-нафтил)окси]диметилсилана (0,50 г, 1,06 ммоль) в ТГФ (20 мл) добавляют TBAF (5 мл 1 н. раствора в ТГФ, 55 ммоль). Раствор перемешивают в течение одного часа при комнатной температуре, упаривают для удаления растворителя, растворяют в воде (50 мл) и экстрагируют этилацетатом (3 х 150 мл). Объединенные органические слои промывают водой, сушат сульфатом натрия, фильтруют, упаривают для отгонки растворителя и очищают на колонке с диоксидом кремния (10% этилацетат-гексаны), получая при этом 0,34 г (88%) белого твердого вещества. Аналитический образец далее готовят препаративной ВЭЖХ с обращенной фазой, получая при этом указанное в заголовке соединение в виде белого твердого вещества: т.пл. 138-139°С; 1H ЯМР (ДМСО-d6): Анал. для С17H12BrClO2·0,6 Н2О: Вычислено: С: 54,53; Н: 3,55. Найдено: С: 54,30; Н: 3,11. Пример 1аz 3-(3,5-Дифтор-4-гидроксифенил)-7-гидрокси-1-нафтонитрил Указанное в заголовке соединение получают взаимодействием 3-бром-7-гидрокси-1-нафтонитрила (0,124 г, 0,50 ммоль) с 2,5-дифтор-4-трет-бутилдиметилсилилоксифенилбороновой кислотой (0,17 г, 0,59 ммоль) по способу А, причем получают 0,090 г (61%) желтого твердого вещества. Аналитический образец готовят препаративной ВЭЖХ с обращенной фазой, причем получают указанное в заголовке соединение в виде светло-желтого твердого вещества: т.пл. 300-304°С (разлож.); 1H ЯМР (ДМСО-d6): Анал. для С17H9F2NO2·0,3 Н2О: Вычислено: С: 67,46; Н: 3,20; N:4,63. Найдено: С: 67,18; Н: 2,89; N:4,55. Пример 1 aj 8-Фтор-6-(4-гидроксифенил)-2-нафтол Указанное в заголовке соединение получают взаимодействием 8-фтор-6-(4-метоксифенил)-2-нафтола (0,10 г, 0,37 ммоль) с трибромидом бора (0,56 мл 1 н. раствора, 0,56 ммоль) по способу D, причем получают 0,10 г (количественный) белого твердого вещества: т.пл. 236-238°С; 1H ЯМР (ДМСО-d6): Анал. для С16H11FO2·0,1 Н2О: Вычислено: С: 75,06; Н: 4,41. Найдено: С: 75,01; Н: 4,11. Пример 1аk 8-Фтор-6-(3-фтор-4-гидроксифенил)-2-нафтол Указанное в заголовке соединение получают взаимодействием 8-фтор-6-(3-фтор-4-метоксифенил)-2-нафтола (0,10 г, 0,35 ммоль) с трибромидом бора (0,7 мл 1 н. раствора, 0,7 ммоль) по способу D, причем получают 0,020 г (21%) белого твердого вещества: т.пл. 218-220°С; 1H ЯМР (ДМСО-d6): Анал. для С16H10F2O2·0,25 Н2О: Вычислено: С: 69,44; Н: 3,82. Найдено: С: 69,13; Н: 3,45. Пример 1au 7-Гидрокси-3-(4-гидроксифенил)-1-нафтонитрил Указанное в заголовке соединение получают взаимодействием 7-гидрокси-3-(4-метоксифенил)-1-нафтонитрила (0,14 г, 0,51 ммоль) с соединением пиридиний HCl (3 г) по способу В, причем получают 0,10 г (75%) белого твердого вещества: т.пл. 254-257°С; 1H ЯМР (ДМСО-d6): Анал. для С17H11NO2·0,25 Н2О: Вычислено: С: 76,83; Н: 4,36; N: 5,27. Найдено: С: 76,85; Н: 4,31; N: 5,10. Пример 1 av 3-(3-Фтор-4-гидроксифенил)-7-гидрокси-1-нафтонитрил Указанное в заголовке соединение получают взаимодействием 7-гидрокси-3-(3-фтор-4-метоксифенил)-1-нафтонитрила (0,12 г, 0,41 ммоль) с соединением пиридиний HCl (3 г) по способу В, причем получают 0,085 г (74%) белого твердого вещества: т.пл. 265-269°С; 1H ЯМР (ДМСО-d6): Анал. для С17H10FNO2: Вычислено: С: 73,11; Н: 3,61; N: 5,02. Найдено: С: 72,75; Н: 3,45; N: 4,82. Синтез соединений по схеме 13 Промежуточный продукт 78 и промежуточный продукт 79 1-Хлор-6-метокси-2-нафтол и 1,5-дихлор-6-метокси-2-нафтол Смесь 6-метокси-2-нафтола (5,43 г, 31,17 ммоль), NCS (4,58 г, 34,3 ммоль) и ацетонитрила (150 мл) перемешивают на протяжении ночи при комнатной температуре по способу А. Растворитель удаляют и образовавшийся коричневый твердый остаток растворяют в этилацетате (500 мл), промывают водой, сушат над сульфатом натрия, выпаривание растворителя и очистка на колонке с диоксидом кремния (20% этилацетат-гексаны) дает белое твердое вещество. Данное твердое вещество дополнительно очищают препаративной ВЭЖХ с обращенной фазой, получая при этом 3,91 г (60%) промежуточного продукта 78 в виде белого твердого вещества: т.пл. 104-105°С; 1H ЯМР (ДМСО-d6): Анал. для С11H9ClO2: Вычислено: С: 63,32; Н: 4,35. Найдено: С: 63,21; Н: 4,50. Разделение ВЭЖХ дает также 0,83 г (3,43 ммоль) промежуточного продукта 79 в виде белого твердого вещества: т.пл. 152-158°С; 1H ЯМР (ДМСО-d6): Анал. для С11H8Cl2O2: Вычислено: С: 54,35; Н: 3,32. Найдено: С: 54,13; Н: 3,21. Промежуточный продукт 80 1-Хлор-6-метокси-2-нафтилтрифторметансульфонат Указанное в заголовке соединение получают взаимодействием 1-хлор-6-метокси-2-нафтола (0,70 г, 3,36 ммоль) с трифторметансульфоновым ангидридом (1,23 г, 4,4 ммоль) по способу промежуточного продукта 6, причем получают 1,02 г (89%) белого твердого вещества: т.пл. 60-61°С; 1Н ЯМР (CDCl3): Анал. для С12H8ClF3O4S: Вычислено: С: 42,30; Н: 2,37. Найдено: С: 42,20; Н: 2,37. Промежуточный продукт 81 1,5-Дихлор-6-метокси-2-нафтилтрифторметансульфонат Указанное в заголовке соединение получают взаимодействием 1,5-дихлор-6-метокси-2-нафтола (0,27 г, 1,11 ммоль) с трифторметансульфоновым ангидридом (0,41 г, 1,44 ммоль) по способу промежуточного продукта 6, причем получают 0,37 г (89%) белого твердого вещества: т.пл. 73-78°С; 1Н ЯМР (CDCl3) Анал. для С12H7Cl2F3O4S: Вычислено: С: 38,42; Н: 1,88. Найдено: С: 38,65; Н: 1,90. Промежуточный продукт 82 1-Хлор-6-метокси-2-(4-метоксифенил)нафталин Указанное в заголовке соединение получают взаимодействием 1-хлор-6-метокси-2-нафтилтрифторметансульфоната (0,95 г, 2,79 ммоль) с 4-метоксибороновой кислотой (0,59 г, 3,9 ммоль) по способу А, причем получают 0,71 г (85%) белого твердого вещества: т.пл. 126-128°С; 1Н ЯМР (CDCl3): Анал. для С18H15ClO2·0,25 Н2О: Вычислено: С: 71,29; Н: 5,15. Найдено: С: 70,84; Н: 4,80. Промежуточный продукт 83 1,5-Дихлор-2-метокси-6-(4-метоксифенил)нафталин Указанное в заголовке соединение получают взаимодействием 1,5-дихлор-6-метокси-2-нафтилтрифторметансульфоната (0,32 г, 0,85 ммоль) с 4-метоксифенилбороновой кислотой (0,18 г, 1,2 ммоль) по способу А, причем получают 0,27 г (95%) белого твердого вещества: т.пл. 146-149°С; 1Н ЯМР (CDCl3): Анал. для С18H14Cl2O2: Вычислено: С: 64,88; Н: 4,23. Найдено: С: 64,63; Н: 4,28. Пример 1ао 5-Хлор-6-(4-гидроксифенил)-2-нафтол Указанное в заголовке соединение получают взаимодействием 1-хлор-6-метокси-2-(4-метоксифенил)нафталина (0,65 г, 2,18 ммоль) с трибромидом бора (6,5 мл 1 н. раствора) по способу D, причем получают 0,44 г (75%) белого твердого вещества: т.пл. > 220°С; 1H ЯМР (ДМСО-d6): Анал. для С16H11ClO2·0,1 Н2О: Вычислено: С: 70,52; Н: 4,14. Найдено: С: 70,52; Н: 4,05. Пример 1ар 1,5-Дихлор-6-(4-гидроксифенил)-2-нафтол Указанное в заголовке соединение получают взаимодействием 1,5-дихлор-2-метокси-6-(4-метоксифенил)нафталина (0,15 г, 0,45 ммоль) с трибромидом бора (1,4 мл 1 н. раствора) по способу D, причем получают 0,10 г (73%) белого твердого вещества: т.пл. 204-206°С; 1H ЯМР (ДМСО-d6): Анал. для С16H10Cl2O2: Вычислено: С: 62,98; Н: 3,30. Найдено: С: 62,78; Н: 3,28. Синтез соединений по схеме 14 Промежуточный продукт 84 8-Хлор-6-(4-метоксифенил)-2-нафтол К раствору 3-бром-8-хлор-6-(4-метоксифенил)-2-нафтола (0,254 г, 0,698 ммоль) в ТГФ (25 мл) при -78°С медленно добавляют трет-бутиллитий (1,65 мл 1,7 н. раствора, 2,8 ммоль). Образовавшийся раствор перемешивают в течение двадцати минут при -78°С и добавляют 2,5 мл воды и смесь медленно нагревают до комнатной температуры при перемешивании. Реакционную смесь выливают в 50 мл воды и экстрагируют этилацетатом (3 х 100 мл). Объединенные органические слои промывают водой, сушат сульфатом натрия, фильтруют, упаривают для удаления растворителя и очищают на колонке с диоксидом кремния (10% этилацетат-гексаны), получая при этом 0,15 г (88%) желтого твердого вещества. Аналитический образец далее готовят препаративной ВЭЖХ с обращенной фазой, причем получают указанное в заголовке соединение в виде светло-желтого твердого вещества: т.пл. 116-118°С; 1H ЯМР (ДМСО-d6): Анал. для С17H13ClO2·0,1 Н2О: Вычислено: С: 71,26; Н: 4,64. Найдено: С: 71,18; Н: 4,43. Промежуточный продукт 85 1-Хлор-8-фтор-6-(3-фтор-4-метоксифенил)-2-нафтол Указанное в заголовке соединение получают взаимодействием 8-фтор-6-(3-фтор-4-метоксифенил)-2-нафтола (0,30 г, 1,05 ммоль) и NCS (0,17 г, 1,26 ммоль) по способу С, причем получают 0,21 г (62%) светло-оранжевого твердого вещества: т.пл. 126-128°С; 1H ЯМР (ДМСО-d6): Анал. для С17H11ClF2O2: Вычислено: С: 63,66; Н: 3,46. Найдено: С: 63,23; Н: 3,39. Промежуточный продукт 86 1-Хлор-8-фтор-6-(4-метоксифенил)-2-нафтол Раствор 8-фтор-6-(4-метоксифенил)-2-нафтола (0,17 г, 0,63 ммоль) и NCS (0,10 г, 0,76 ммоль) в ТГФ (20 мл) перемешивают в атмосфере азота при комнатной температуре в течение ночи по способу С. Раствор концентрируют на флоросиле и очищают на колонке с диоксидом кремния (20% этилацетат-гексаны), получая при этом 0,16 г (84%) указанного в заголовке соединения в виде желтого твердого вещества. Аналитический образец далее готовят препаративной ВЭЖХ с обращенной фазой, причем получают светло-желтое твердое вещество: т.пл. 120-124°С; 1H ЯМР (ДМСО-d6): Анал. для С17H12ClFO2: Вычислено: С: 67,45; Н: 4,00. Найдено: С: 67,23; Н: 3,65. Промежуточный продукт 87 1,5-Дихлор-8-фтор-6-(4-метоксифенил)-2-нафтол Указанное в заголовке соединение получают взаимодействием 8-фтор-6-(4-метоксифенил)-2-нафтола (0,24 г, 0,90 ммоль) и NCS (0,22 г, 1,6 ммоль) в ацетонитриле (20 мл) по способу С, причем получают 0,22 г (73%) желтого твердого вещества: 1H ЯМР (ДМСО-d6): Промежуточный продукт 88 3-Бром-1,8-дихлор-6-(4-метоксифенил)-2-нафтол Указанное в заголовке соединение получают взаимодействием 3-бром-8-хлор-6-(4-метоксифенил)-2-нафтола (0,69 г, 1,90 ммоль) и NCS (0,31 г, 2,3 ммоль) в ТГФ (25 мл) по способу С, причем получают 0,61 г (81%) желтого твердого вещества. Аналитический образец далее готовят препаративной ВЭЖХ с обращенной фазой, причем получают указанное в заголовке соединение в виде белого твердого вещества: т.пл. 176-178°С (разл.); 1H ЯМР (ДМСО-d6): Анал. для С17H11BrCl2O2: Вычислено: С: 51,29; Н: 2,79. Найдено: С: 51,37; Н: 2,62. Промежуточный продукт 89 8-Бром-7-гидрокси-3-(4-метоксифенил)-1-нафтонитрил Указанное в заголовке соединение получают взаимодействием 7-гидрокси-3-(4-метоксифенил)-1-нафтонитрила (0,160 г, 0,58 ммоль) с NBS (0,12 г, 0,70 ммоль) в ТГФ (10 мл) по способу С, причем получают 0,080 г (39%) желтого твердого вещества: т.пл. 145-146°С; 1H ЯМР (ДМСО-d6): Анал. для С18H12BrNO2·0,25 Н2О: Вычислено: С: 60,27; Н: 3,51; N: 3,90. Найдено: С: 60,27; Н: 3,51; N: 3,46. Промежуточный продукт 90 1,8-Дихлор-6-(4-метоксифенил)-2-нафтол Указанное в заголовке соединение получают взаимодействием 3-бром-1,8-дихлор-6-(4-метоксифенил)-2-нафтола (0,30 г, 0,754 ммоль) с трет-бутиллитием (1,75 мл 1,7 н. раствора, 3,0 ммоль) и гашением смеси водой по способу получения промежуточного продукта 84, причем получают 0,19 г (79%) желтого твердого вещества. Аналитический образец далее готовят препаративной ВЭЖХ с обращенной фазой, получая при этом указанное в заголовке соединение в виде светло-желтого твердого вещества: т.пл. 132-134°С; 1H ЯМР (ДМСО-d6): Анал. для С17H12Cl2O2: Вычислено: С: 63,97; Н: 3,79. Найдено: С: 63,57; Н: 3,65. Пример al 1-Хлор-8-фтор-6-(4-гидроксифенил)-2-нафтол Указанное в заголовке соединение получают взаимодействием 1-хлор-8-фтор-6-(4-метоксифенил)-2-нафтола (0,14 г, 0,46 ммоль) с трибромидом бора (0,69 мл 1 н. раствора, 0,69 ммоль) по способу D, причем получают 0,050 г (38%) белого твердого вещества: т.пл. 174-176°С; 1H ЯМР (ДМСО-d6): Анал. для С16H10ClFO2·0,25 Н2О: Вычислено: С: 65,54; Н: 3,61. Найдено: С: 65,52; Н: 3,19. Пример 1 am 1-Хлор-8-фтор-6-(3-фтор-4-гидроксифенил)-2-нафтол Указанное в заголовке соединение получают взаимодействием 1-хлор-8-фтор-6-(3-фтор-4-метоксифенил)-2-нафтола (0,13 г, 0,41 ммоль) с трибромидом бора (0,8 мл 1 н. раствора, 0,8 ммоль) по способу D, причем получают 0,070 г (56%) белого твердого вещества: т.пл. 198-200°С; 1H ЯМР (ДМСО-d6): Анал. для С16H9ClF2O2 Вычислено: С: 62,66; Н: 2,96. Найдено: С: 62,27; Н: 2,90. Пример 1 an 8-Хлор-6-(4-гидроксифенил)-2-нафтол Указанное в заголовке соединение получают взаимодействием 8-хлор-6-(4-метоксифенил)-2-нафтола (0,10 г, 0,35 ммоль) с трибромидом бора (0,9 мл 1 н. раствора, 0,9 ммоль) по способу D, причем получают 0,080 г (85%) продукта, который далее очищают препаративной ВЭЖХ с обращенной фазой, получая при этом указанное в заголовке соединение в виде белого твердого вещества: т.пл. 204-206°С; 1H ЯМР (ДМСО-d6): Анал. для С16H11ClO2·0,25 Н2О Вычислено: С: 70,99; Н: 4,10. Найдено: С: 69,95; Н: 3,89. Пример 1aq 1,5-Дихлор-8-фтор-6-(4-гидроксифенил)-2-нафтол Указанное в заголовке соединение получают взаимодействием 1,5-дихлор-8-фтор-6-(4-метоксифенил)-2-нафтола (0,15 г, 0,445 ммоль) с трибромидом бора (0,67 мл 1 н. раствора, 0,67 ммоль) по способу D, причем получают 0,12 г (83%) светло-желтого твердого вещества: т.пл. 206-216°С; 1H ЯМР (ДМСО-d6): Анал. для С16H9Cl2FO2·0,1 Н2О Вычислено: С: 59,13; Н: 2,85. Найдено: С: 58,88; Н: 2,85. Пример 1 ar 3-Бром-8-хлор-6-(4-гидроксифенил)-2-нафтол Указанное в заголовке соединение получают взаимодействием 3-бром-8-хлор-6-(4-метоксифенил)-2-нафтола (0,24 г, 0,66 ммоль) с трибромидом бора (1,6 мл 1 н. раствора, 1,6 ммоль) по способу D, причем получают 0,14 г (61%) желтого масла. Продукт далее очищают препаративной ВЭЖХ с обращенной фазой, получая при этом указанное в заголовке соединение в виде белого твердого вещества: т.пл. 188-190°С; 1H ЯМР (ДМСО-d6): Анал. для С16H10BrClO2 Вычислено: С: 54,97; Н: 2,88. Найдено: С: 54,68; Н: 2,82. Пример 1аs 1,8-Дихлор-6-(4-гидроксифенил)-2-нафтол Указанное в заголовке соединение получают взаимодействием 1,8-дихлор-6-(4-метоксифенил)-2-нафтола (0,12 г, 0,38 ммоль) с трибромидом бора (0,75 мл 1 н. раствора, 0,75 ммоль) по способу D, причем получают 0,10 г (86%) продукта, который дополнительно очищают препаративной ВЭЖХ с обращенной фазой, получая при этом указанное в заголовке соединение в виде белого твердого вещества: т.пл. 172-174°С (разл.); 1H ЯМР (ДМСО-d6): Анал. для С16H10Cl2O2·0,25 Н2О. Вычислено: С: 62,98; Н: 3,30. Найдено: С: 61,80; Н: 3,08. Пример 1аt 3-Бром-1,8-дихлор-6-(4-гидроксифенил)-2-нафтол Указанное в заголовке соединение получают взаимодействием 3-бром-1,8-дихлор-6-(4-метоксифенил)-2-нафтола (0,18 г, 0,45 ммоль) с трибромидом бора (0,9 мл 1 н. раствора, 0,9 ммоль) по способу D, причем получают 0,12 г (69%) светло-коричневого твердого вещества. Продукт далее очищают препаративной ВЭЖХ с обращенной фазой, получая при этом указанное в заголовке соединение в виде белого твердого вещества: т.пл. 164-188°С; 1H ЯМР (ДМСО-d6): Анал. для С16H9BrCl2O2·0,25 Н2О: Вычислено: С: 50,04; Н: 2,36. Найдено: С: 49,10; Н: 2,14. Пример 1bb 8-Бром-7-гидрокси-3-(4-гидроксифенил)-1-нафтонитрил Указанное в заголовке соединение получают взаимодействием 8-бром-7-гидрокси-3-(4-метоксифенил)-1-нафтонитрила (0,13 г, 0,37 ммоль) с трибромидом бора (1,1 мл 1 н. раствора, 1,1 ммоль) по способу D, причем получают 0,050 г (40%) не совсем белого твердого вещества: т.пл. 204-208°С; 1H ЯМР (ДМСО-d6): Анал. для С17H10BrNO2: Вычислено: С: 60,02; Н: 2,96; N: 4,12. Найдено: С: 59,84; Н: 3,18; N: 3,83. Синтез соединений по схеме 15 Промежуточный продукт 91 3-Бром-8-хлор-7-гидрокси-1-нафтонитрил К смеси 8-хлор-7-гидрокси-1-нафтонитрила (0,127 г, 0,63 ммоль) и ледяной уксусной кислоты (1 мл) в трубке высокого давления добавляют раствор брома (0,24 г, 1,5 ммоль) в ледяной уксусной кислоте (2 мл). Трубку герметизируют и смесь перемешивают при 100°С на протяжении ночи. Реакционную смесь охлаждают, выливают в воду (50 мл) и экстрагируют этилацетатом (3 х 100 мл). Объединенные органические слои промывают раствором бикароната натрия, сушат над сульфатом натрия, фильтруют, упаривают для удаления растворителя и очищают на колонке с диоксидом кремния (20% этилацетат-гексаны), получая при этом 0,10 г (56%) указанного заголовке соединения в виде желтого твердого вещества. Аналитический образец готовят препаративной ВЭЖХ с обращенной фазой, получая при этом указанное в заголовке соединение в виде белого твердого вещества: т.пл. 148-150°С; 1H ЯМР (ДМСО-d6): Анал. для С11H5BrClNO·0,25 Н2О: Вычислено: С: 46,03; Н: 1,93; N: 4,88. Найдено: С: 45,92; Н: 1,75; N: 4,78. Промежуточный продукт 91 3-Бром-8-хлор-7-гидрокси-1-нафтонитрил Указанное в заголовке соединение получают взаимодействием 3-бром-7-гидрокси-1-нафтонитрила (0,32 г, 1,28 ммоль) с NCS (0,24 г, 1,8 ммоль) в ТГФ (25 мл) при 45°С в течение 3 ч по способу С, причем получают 0,30 г (83%) желтого твердого вещества. Аналитический образец готовят препаративной ВЭЖХ с обращенной фазой, получая при этом указанное в заголовке соединение в виде белого твердого вещества: т.пл. 148-150°С: 1H ЯМР (ДМСО-d6): Анал. для С11H5BrClNO·0,25 Н2О: Вычислено: С: 46,03; Н: 1,93; N: 4,88. Найдено: С: 45,92; Н: 1,75; N: 4,78. Промежуточный продукт 92 8-Хлор-3-(3-фтор-4-метоксифенил)-7-гидрокси-1-нафтонитрил Указанное в заголовке соединение получают взаимодействием 3-бром-8-хлор-7-гидрокси-1-нафтонитрила (0,20 г, 0,71 ммоль) с 3-фтор-4-метоксифенилбороновой кислотой (0,17 г, 1,0 ммоль) по способу А, причем получают 0,14 г (60%) желтого твердого вещества: т.пл. 198-200°С; 1H ЯМР (ДМСО-d6): Анал. для С18H11ClFNO2: Вычислено: С: 65,97; Н: 3,38; N: 4,27. Найдено: С: 65,76; Н: 3,36; N: 4,11. Пример 1аw 8-Хлор-3-(4-гидроксифенил)-7-гидрокси-1-нафтонитрил Указанное в заголовке соединение получают взаимодействием 3-бром-8-хлор-7-гидрокси-1-нафтонитрила (0,10 г, 0,37 ммоль) с 4-трет-бутилдиметилсилилоксифенилбороновой кислотой (0,13 г, 0,52 ммоль) по способу А, причем получают 0,036 г (33%) белого твердого вещества: т.пл. 254-256°С; 1H ЯМР (ДМСО-d6): Анал. для С17H10ClNO2: Вычислено: С: 69,05; Н: 3,41; N: 4,74. Найдено: С: 69,01; Н: 3,63; N: 4,31. Пример 1 ах 8-Хлор-3-(3-фтор-4-гидроксифенил)-7-гидрокси-1-нафтонитрил Указанное в заголовке соединение получают взаимодействием 8-хлор-3-(3-фтор-4-метоксифенил)-7-гидрокси-1-нафтонитрила (0,042 г, 0,13 ммоль) с соединением пиридиний HCl (1,8 г) по способу D, причем получают 0,033 г (78%) рыжевато-коричневого твердого вещества. Этот материал далее очищают препаративной ВЭЖХ с обращенной фазой, получая при этом указанное в заголовке соединение в виде белого твердого вещества: т.пл. 246-252°С; 1H ЯМР (ДМСО-d6): Анал. для С17H9ClFNO2·0,25 Н2О: Вычислено: С: 64,16; Н: 3,01; N: 4,40. Найдено: С: 63,75; Н: 2,84; N: 4,20.
Формула изобретения
1. Соединение формулы I, имеющее структуру
где R1 и R2, каждый независимо, выбраны из водорода или галогена; R5, R6, R7, R8 и R9, каждый независимо, представляют собой водород, галоген или -CN; при условии, что, по меньшей мере, один из R5 или R9 не является водородом, или его фармацевтически приемлемая соль. 2. Соединение по п.1, имеющее структуру
или его фармацевтически приемлемая соль. 3. Соединение по п.1 или 2, где R1 и R2, каждый независимо, выбраны из водорода и фтора. 4. Соединение по п.1, где R5, R6, R7, R8 и R9, каждый независимо, представляют собой водород, галоген или -CN. 5. Соединение по п.1, где R5 выбран из водорода, фтора или циано. 6. Соединение по п.1, где R9 выбран из водорода, фтора или циано. 7. Соединение по п.1, где R6, R7 и R8 представляют собой водород. 8. Соединение по п.1, которое представляет собой 8-фтор-6-(3-фтор-4-гидроксифенил)-2-нафтол или его фармацевтически приемлемую соль. 9. Соединение по п.1, которое представляет собой 1-хлор-8-фтор-6-(3-фтор-4-гидроксифенил)-2-нафтол или его фармацевтически приемлемую соль. 10. Соединение по п.1, которое представляет собой 3-(3-фтор-4-гидроксифенил)-7-гидрокси-1-нафтонитрил или его фармацевтически приемлемую соль. 11. Соединение по п.1, которое представляет собой 3-(3,5-дифтор-4-гидроксифенил)-7-гидрокси-1-нафтонитрил или его фармацевтически приемлемую соль. 12. Производное нафтола, которое представляет собой одно из следующих соединений: 6-(3-фтор-4-гидроксифенил)-2-нафтол; 1-хлор-6-(3 -фтор-4-гидроксифенил)-2-нафтол; 1-хлор-6-(2-фтор-4-гидроксифенил)-2-нафтол; 1-хлор-6-(2,5-дифтор-4-гидроксифенил)-2-нафтол; 1-хлор-6-(2,6-дифтор-4-гидроксифенил)-2-нафтол; 6-(2,5-дифтор-4-гидроксифенил)-2-нафтол; 6-(3,5-дифтор-4-гидроксифенил)-2-нафтол; 1-хлор-6-(3,5-дифтор-4-гидроксифенил)-2-нафтол; 6-(2,6-дифтор-4-гидроксифенил)-2-нафтол или 8-хлор-3-(3-фтор-4-гидроксифенил)-7-гидрокси-1-нафтонитрил или его фармацевтически приемлемая соль. 13. Производное нафтола, которое представляет собой одно из следующих соединений: 7-(4-гидроксифенил)-2-нафтол; 7-(3-гидроксифенил)-2-нафтол; 6-(4-гидроксифенил)-1-нафтол; 6-фенил-2-нафтол; 6-(3-гидроксифенил)-2-нафтол; 6-(3-хлорфенил)-2-нафтол; 2-фтор-4-(2-нафтил)фенол; 6-(3-хлор-4-гидроксифенол)-2-нафтол; 1-хлор-6-фенил-2-нафтол; 1-бром-6-(4-гидроксифенил)-2-нафтол; 1-хлор-6-(4-гидроксифенил)-2-нафтол; 1-фтор-6-(4-гидроксифенил)-2-нафтол; 2-гидрокси-6-(4-гидроксифенил)-1-нафтонитрил; 6-(4-гидроксифенил)-1-фенил-2-нафтол; 6-(4-гидроксифенил)-1-метил-2-нафтол; 1-хлор-6-(3-хлор-4-гидроксифенил)-2-нафтол; 6-(4-гидроксифенил)-1-нитро-2-нафтол; 1-хлор-6-(4-гидрокси-2-метилфенил)-2-нафтол; 6-(4-гидрокси-2-метилфенил)-2-нафтол; 6-(4-гидрокси-2-метоксифенил)-2-нафтол; 6-(2-хлор-4-гидроксифенил)-2-нафтол; 1-хлор-6-(2-хлор-4-гидроксифенил)-2-нафтол; 6-(2-фтор-4-гидроксифенил)-2-нафтол; 8-фтор-6-(4-гидроксифенил)-2-нафтол; 1-хлор-8-фтор-6-(4-гидроксифенил)-2-нафтол; 8-хлор-6-(4-гидроксифенил)-2-нафтол; 1,5-дихлор-8-фтор-6-(4-гидроксифенил)-2-нафтол; 2-хлор-4-(2-нафтил)фенол; 3-бром-8-хлор-6-(4-гидроксифенил)-2-нафтол; 1,8-дихлор-6-(4-гидроксифенил)-2-нафтол; 3-бром-1,8-дихлор-6-(4-гидроксифенил)-2-нафтол; 7-гидрокси-3-(4-гидроксифенил)-1-нафтонитрил; 8-хлор-3-(4-гидроксифенил)-7-гидрокси-1-нафтонитрил; 8-бром-7-гидрокси-3-(4-гидроксифенил)-1-нафтонитрил или его фармацевтически приемлемая соль. 14. Способ лечения или ингибирования рака молочной железы, доброкачественного заболевания молочной железы у млекопитающего, который включает в себя обеспечение указанного млекопитающего эффективным количеством соединения по любому одному из пп.1-13 или его фармацевтически приемлемой соли. 15. Применение соединения по любому одному из пп.1-13 для производства лекарственного средства, обладающего активностью агониста или антагониста рецептора эстрогена. 16. Способ лечения или ингибирования воспалительного заболевания кишечника у млекопитающего, нуждающегося в этом, который включает в себя обеспечение указанного млекопитающего эффективным количеством соединения по любому одному из пп.1-13 или его фармацевтически приемлемой соли. 17. Способ лечения или ингибирования артрита, опухания или эрозии суставов или лечения или ингибирования повреждения суставов, вторичного к артроскопическим или хирургическим операциям у млекопитающего, нуждающегося в этом, который включает в себя обеспечение указанного млекопитающего эффективным количеством соединения по любому одному из пп.1-13 или его фармацевтически приемлемой соли. 18. Способ по п.17, где артрит представляет собой ревматоидный артрит, остеоартрит или спондилоартропатии. 19. Фармацевтическая композиция для лечения артрита, которая включает соединение по любому одному из пп.1-13 или его фармацевтически приемлемую соль и фармацевтический носитель. 20. Способ получения нафтилсоединения по любому одному из пп.1-13, который включает деалкилирование или деаралкилирование соединения формулы
где R1 и R2, каждый независимо, выбраны из водорода или галогена; R5, R6, R7, R8 и R9, каждый независимо, представляют собой водород, галоген или -CN; при условии, что, по меньшей мере, один из R5 или R9 не является водородом, R и R’ независимо выбраны из водорода, алкила или аралкила при условии, что, по меньшей мере, один из R и R’ представляет собой алкил, содержащий 1-6 атомов углерода или аралкил, содержащий 7-12 атомов углерода с получением соответствующего соединения формулы (I); и, если необходимо, галогенирование соединения формулы I с получением 1-галогеннафтола или превращение соединения формулы I в соль.
|
||||||||||||||||||||||||||||||||||||||||||||||||||||||||||||||||||||||||||||||||||||||||||||||||||||||||||||||||||||||||||||||||||||||||||||||||||||||||||||||||||||||||||||||||||||||||||||||||||||||||||||||||||||||||||||||||||||||||||||||||||||||||||||||||||||||||||||||||||||||||||||||||||||||||||||||||||||||||||||||||||||||||||||||||||||||||||||||||||||||||||||||||||||||||||||||||||||||||||||||||||||||||||||||||||||||||||||||||||||||||||||||||||||||||||||||||||||||||||||||||||||||||||||||||||||||||||||||||||||||||||||||||||||||||||||||||||||||||||||||||||||||||||||||||||||||||||||||||||||||||||||||||||||||||||||||||||||||||||||||||||||||||||||||||||||||||||||||


[Green, et al., Nature 320: 134-9 (1986)]. Вторая форма рецептора эстрогена была обнаружена сравнительно недавно, и ее называют ER
[Kuiper, et al., Proceedings of the National Academy of Sciences of the United States of America 93: 5925-5930 (1996)]. Раннюю работу по ER





















1%. После инкубации при комнатной температуре в течение 5-18 часов несвязанный материал отсасывали и планшет промывали три раза приблизительно 300 мкл буфера для анализа. После промывания к лункам добавляли 135 мкл коктейля для сцинтилляционного счета (Optiphase Supermix, EG and G Wallac) и планшет герметизировали и перемешивали в течение, по меньшей мере, 5 минут для смешивания сцинтиллянта с остаточным буфером для промывания. Связанную радиоактивность оценивали сцинтилляционным счетчиком (ES and C Wallac Microbeta Plus).
1000 раз в экспериментальной среде.
3,92 (3H, с), 7,30 (1H, дд, J=2,58 Гц, J=8,93 Гц), 7,42 (1H, дд, J=2,59 Гц, J=8,93 Гц), 7,52 (1H, д, J=2,38 Гц), 7,96 (1H, д, J=9,12 Гц), 8,00 (1H, д, J=2,38 Гц), 8,06 (1H, д, J=8,73 Гц); МС (EI) m/z 306 (M)+.

