Патент на изобретение №2314153
|
||||||||||||||||||||||||||||||||||||||||||||||||||||||||||||||||||||||||||||||||||||||||||||||||||||||||||||||||||||||||||||||||||||||||||||||||||||||||||||||||||||||||||||||||||||||||||||||||||||||||||||||||||||||||||||||||||||||||||||||||||||||||||||||
(54) СПОСОБ ПОЛУЧЕНИЯ КОМПОЗИТНОГО СОРБЕНТА
(57) Реферат:
Изобретение относится к способам получения композитных сорбентов на основе комплекса переходных металлов, используемых, в частности, для разделения рацематов оптически активных соединений и для выделения индивидуальных изомеров различных производных аминокислот. Способ получения композитного сорбента включает обработку пористого носителя раствором соли переходного металла, где в качестве пористого носителя используют материалы с поверхностными гидроксильными группами, при этом пористый носитель обрабатывают раствором хлорида переходного металла, сушат при температуре 180°С-200°С, обрабатывают органическим лигандом в кислой среде и сушат при температуре на 10°С ниже температуры разложения комплекса переходного металла, полученного на поверхности пористого носителя, в потоке газа. В качестве лиганда, предпочтительно, берут ацетилацетон, насыщенные этанольные растворы диметилглиоксима и ализарина. Полученный композитный сорбент содержит комплекс переходного металла на пористом носителе, который является соединением бидентатного лиганда с двухчетырехвалентным металлом и эффективен для разделения и концентрирования широкого круга органических соединений. 4 з.п. ф-лы, 4 табл.
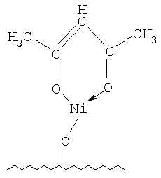
Изобретение относится к способам получения композитных сорбентов на основе комплекса переходных металлов, а также к композитным сорбентам для селективного разделения и сорбционного концентрирования широкого круга органических соединений, в частности для разделения рацематов оптически активных соединений и для выделения индивидуальных изомеров различных производных аминокислот. Известен сорбент на основе производных циклодекстринов, ковалентно иммобилизованных на носителях, при этом в качестве хиральных селекторов используют пер-6-аминопроизводные Известен способ получения композитных сорбентов и композитный сорбент для очистки питьевой воды от радионуклидов, а также при очистке трапных вод атомных электростанций (патент РФ 2021009, 5 B 01 J 20/02, 20/30, опубл. 1994.10.15), выбранный в качестве прототипа. Данный способ, по которому получают указанные сорбенты, включает обработку пористого носителя водной суспензией гексацианоферрата щелочного металла и смесью солей одного и того же переходного металла в разной степени окисления при соотношении количества металла в высшей степени окисления к количеству металла в низшей степени окисления в пределах от 1,0 до 0,01 и сушку ведут при 90-110°С. Суспензия представляет собой неравновесную систему, состоящую из смеси нескольких гексацианоферратов переходного металла различных химических составов, обладает высокой активностью и интенсивно реагирует с поверхностью носителя, используемого для приготовления композитного сорбента, но способ не позволяет получить комплексные соединения заранее заданного состава, поскольку при его осуществлении используют реакцию окисления одного из компонентов композиционного сорбента – металла в низшей степени окисления кислородом воздуха до высшей степени окисления, полноту протекания которой сложно контролировать. Полученный композитный сорбент по вышеописанному способу обладает высокой сорбционной активностью, но имеет большое количество структурных дефектов и пригоден для извлечения только металлов. Задачей настоящего изобретения является разработка способа получения композитного сорбента для селективного разделения и сорбционного концентрирования широкого круга органических веществ с их последующим хроматографическим определением. Поставленная задача решатся тем, что, как и в способе-прототипе получения композитных сорбентов, включающем обработку пористого носителя раствором соли переходного металла и сушку, в отличие от прототипа в качестве пористого носителя используют материалы с поверхностными гидроксильными группами, причем пористый носитель обрабатывают раствором хлорида переходного металла, сушат при температуре 180-200°С, а затем обрабатывают органическим лигандом в кислой среде и сушат при температуре на 10°С ниже температуры разложения комплекса переходного металла, полученного на поверхности пористого носителя, в потоке газа, чтобы избежать его разложения. Предпочтительно в качестве лиганда брать ацетилацетон. Целесообразно в качестве лиганда брать насыщенный этанольный раствор диметилглиоксима. Предпочтительно в качестве лиганда брать насыщенный этанольный раствор ализарина. Целесообразно для сушки использовать поток инертного газа. Обработка в кислой среде обеспечивает молекулярную форму лиганда. Температурный режим сушки 180-200°С обеспечивает закрепление хлоридов металлов на поверхности носителя путем связи металла с кислородом поверхности и удаления хлороводорода. Преимуществом заявленного изобретения является образование прочного слоя комплекса на поверхности носителя за счет наличия ковалентной связи, в отличие от прототипа, в котором отсутствие химической связи на поверхности носителя не позволяет получить прочного слоя. В настоящем изобретении тонкий слой комплекса переходного металла распределяется равномерно на поверхности пористого носителя в отличие от способа-прототипа, где при взаимодействии суспензии с поверхностью носителя образуется большое количество структурных дефектов, обладающих высокой сорбционной активностью. Создание композитных сорбентов на основе бидентатных комплексов металлов позволяет получать материалы для селективного разделения и сорбционного концентрирования широкого круга органических веществ для последующего хроматографического определения. В отличие от существующих сорбентов разделение осуществляется за счет слабых донорно-акцепторных взаимодействий, силу которых можно регулировать за счет природы и положения, органических лигандов в комплексе. В результате получены сорбенты с термической устойчивостью до 170-180°С, удельной поверхностью и пористостью, определяемыми инертной основой и возможностью разделения углеводородов, в т.ч. ненасыщенных, альдегидов, спиртов, фенолов, кетонов, сложных эфиров вплоть до уровня структурных и геометрических изомеров. Способ получения композитного сорбента осуществляют в следующей последовательности согласно заявленным режимам. Для подготовки основы, содержащей гидроксильные группы, в 150 мл разбавленной азотной кислоты вносят 50 г исходной основы (силикагель, кремнезем) и кипятят в течение 2 часов. После этого основу отфильтровывают и высушивают в течение 6 часов при температуре 200°С в сушильном шкафу. После такой подготовки на поверхности основы имеется максимальное число гидроксильных групп. Для получения поверхностно-закрепленных хлоридов металлов синтез проводят в открытой системе. Открытая система необходима для получения надмолекулярного соединения точного состава, поскольку отсутствие термодинамического равновесия позволяет получить слой, характеристика которого определяется только свойствами основы (количеством гидроксильных групп). Состав продуктов синтеза при этом воспроизводится с необходимой точностью, т.е в пределах допустимой погрешности 2-4%. Для получения привитого хлорида металла навеску основы массой 50 г смешивали с водным раствором, содержащим 5 мас.% (от массы основы, т.е. 2,5 г) хлорида металла. Применение хлорида металла обусловлено тем, что продукт реакции с силанольными группами (хлороводород) легко удаляется из зоны реакции. Использование других солей не позволяет получить чистый продукт. Полученную смесь упаривают в роторном испарителе при пониженном давлении и скорости вращения 25 об./мин досуха. Полученный порошок высушивают при температуре 200°С в сушильном шкафу в течение 4 часов. Такой режим позволяет избежать образования силоксановых групп и удалить хлороводород, образующийся при реакции соединения хлорида металла и гидроксильных групп поверхности основы. Пример 1. Для получения ацетилацетоната никеля полученную основу с привитым хлоридом никеля помещают в круглодонную колбу, добавляют 150 мл ацетилацетона и кипятят в течение 20-30 минут с обратным холодильником в кислой среде (использовали 0,5 мл соляной кислоты). Полученный продукт отфильтровывают и высушивают при пониженном давлении и температуре 40°С в роторном испарителе. Допускается высушивание в потоке воздуха или инертного газа при температуре около 180°С, поскольку температура начала разложения комплекса ацетилацетоната никеля на поверхности силикагеля составляет 193°С. Сорбенты на основе других переходных металлов получают аналогично. Полученный сорбент ацетилацетоната никеля имеет следующую структуру:
Пример 2. Для получения ализарината меди полученную основу с привитым хлоридом цинка помещают в круглодонную колбу, добавляют 150 мл насыщенного этанольного раствора ализарина. Затем вносят в колбу 0,2-0,5 г ацетата натрия до слабокислой среды рН 5-6 и нагревают с обратным холодильником в течение 20-30 минут. Полученный продукт отфильтровывают и высушивают при пониженном давлении и температуре 40°С в роторном испарителе. Допускается высушивание в потоке воздуха или инертного газа при температуре около 180°С, поскольку температура разложения комплекса ализарината меди на поверхности силикагеля составляет 191°С. Сорбенты на основе других переходных металлов получают аналогично. Полученный сорбент ализарината меди имеет следующую структуру:
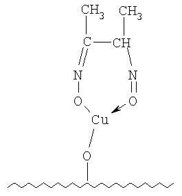
Пример 3. Для получения диметилглиоксиматов меди полученную основу с привитым хлоридом меди помещают в круглодонную колбу, добавляют 150 мл насыщенного этанольного раствора диметилглиоксима (8-оксихинолина). Затем вносят в колбу 0,5 мл соляной кислоты и нагревают с обратным холодильником в течение 20-30 минут. Полученный продукт отфильтровывают и высушивают при пониженном давлении и температуре 40°С в роторном испарителе. Допускается высушивание в потоке воздуха или инертного газа при температуре около 180°С, поскольку температура начала разложения комплекса диметилглиоксимата меди на поверхности силикагеля составляет 202°С. Сорбенты на основе других переходных металлов получают аналогично. Полученный сорбент диметилглиоксимата меди имеет следующую структуру:
Выбор минеральных сорбентов в качестве объектов модифицирования обусловлен рядом их преимуществ перед органополимерными, в числе которых устойчивость к механическим, химическим и термическим воздействиям. Для создания сорбентов, содержащих бидентатные комплексы металлов, используют минеральные носители Силипор 075 и Хроматон N (0,200-0,250 мм, CEMAPOL Praha, Czechoslovakia). Хроматон N относится к классу диатомитовых носителей, термостабильность которых достаточно высока и находится в диапазоне 350-1000°С. Использование Хроматона N, обладающего слаборазвитой поверхностью (1 м2/г), позволяет свести к минимуму физическую адсорбцию. Силипор 075 относится к широко распространенным силикагелям. Большая удельная поверхность 75-105 м2/г позволяет получать сорбенты с большой сорбционной емкостью. Свежеприготовленный сорбент засыпают в стеклянные хроматографические колонки и подвергают кондиционированию в потоке инертного газа-носителя гелия со скоростью 5 см3/мин не менее четырех часов, повышая температуру от 50 до 150°С. Такой режим позволяет освободить поры сорбента от остатков растворителя и сорбированной влаги. В таблице 1 приведены результаты по разделению алифатических и ароматических углеводородов, изомерных спиртов С2-С5, альдегидов С2-С5, кетонов С3-С6 на адсорбционных слоях ацетилацетонатов меди, никеля, цинка, железа, нанесенных на носитель Силипор 075. Разделение осуществляли на хроматографе Chrom 5 с пламенно-ионизационным детектором и стеклянными колонками 1,2 м×3 мм ID. В таблице 2 приведены результаты по разделению изомерных спиртов С2-С5, альдегидов С2-С5, кетонов С3-С6 и метиловых эфиров карбоновых кислот С2-С4 на адсорбционных слоях диметилглиоксиматов никеля, меди, цинка и олова, нанесенных на носитель Силипор 075. Разделение осуществляли на хроматографе Chrom 5 с пламенно-ионизационным детектором и стеклянными колонками 1,2 м×3 мм ID. В таблице 3 приведены результаты по разделению смесей фенолов, спиртов С2-С5 и алкилбензолов на адсорбционных слоях ализаринатов никеля, цинка, алюминия и меди, нанесенных на носитель Силипор 075. Работа проведена на хроматографе Chrom 5 с пламенно-ионизационным детектором и стеклянными колонками 1,2 м×3 мм. В таблице 4 приведены результаты по разделению смесей изомерных спиртов С2-С5, альдегидов С2-С5, кетонов С3-С6, фенолов на адсорбционных слоях ализарината, диметилглиоксимата и ацетилацетоната никеля, нанесенных на носитель Хроматон N. Разделение проводили на газовом хроматографе “Хром-5” с пламенно-ионизационным детектором, стеклянными колонками 1,2 м×3 мм. Из полученных результатов видно, что подобранны предпочтительные условия для заявляемого способа получения композитного сорбента и композитный сорбент показывает более селективное разделение и степень сорбционного концентрирования широкого круга органических веществ с их последующим хроматографическим определением.
Формула изобретения
1. Способ получения композитного сорбента, содержащего комплексное соединение переходного металла на пористом носителе, включающий обработку носителя соединением переходного металла и его сушку, отличающийся тем, что в качестве пористого носителя используют материал с поверхностными гидроксильными группами, который подвергают обработке раствором хлорида переходного металла с валентностью 2-4, затем сушат при 180-200°С, после чего обрабатывают органическим лигандом в кислой среде и высушивают полученный сорбент при температуре ниже температуры разложения соответствующего комплекса переходного металла на поверхности пористого носителя. 2. Способ по п.1, отличающийся тем, что в качестве лиганда берут ацетилацетон. 3. Способ по п.1, отличающийся тем, что в качестве лиганда берут насыщенный этанольный раствор диметилглиоксима. 4. Способ по п.1, отличающийся тем, что в качестве лиганда берут насыщенный этанольный раствор ализарина. 5. Способ по п.1, отличающийся тем, что высушивание сорбента осуществляют при температуре на 10°С ниже температуры разложения комплекса переходного металла на поверхности пористого носителя в токе воздуха или инертного газа.
|
||||||||||||||||||||||||||||||||||||||||||||||||||||||||||||||||||||||||||||||||||||||||||||||||||||||||||||||||||||||||||||||||||||||||||||||||||||||||||||||||||||||||||||||||||||||||||||||||||||||||||||||||||||||||||||||||||||||||||||||||||||||||||||||

-,
– или
-циклодекстрина либо их ацетилированные аналоги, а также способ получения данного сорбента для разделения рацематов оптически активных соединений, включающий ковалентную иммобилизацию на носителе производных циклодекстрина, которую осуществляют путем последовательного взаимодействия аминированного носителя вначале с конденсирующим агентом, затем с реагентом из группы: пер-6-амино-



