|
(21), (22) Заявка: 2001126722/04, 02.03.2000
(24) Дата начала отсчета срока действия патента:
02.03.2000
(30) Конвенционный приоритет:
03.03.1999 US 09/261,207
(43) Дата публикации заявки: 27.08.2003
(46) Опубликовано: 20.12.2007
(56) Список документов, цитированных в отчете о поиске:
SU 535292 А, 13.12.1976. Brechbiel M.W.and Gansow O.A.”Synthesis ofC-fimctionalized trans-cyclohexyldiethylenetriaminepenta-acetic acids for labelling of monoclonal antibodies with the bismuth-212 -particle emitter”. – Journal of the chemical society, Perkin Transactions 1, №9, 07.05.1992, p.1173-1178.

(85) Дата перевода заявки PCT на национальную фазу:
03.10.2001
(86) Заявка PCT:
US 00/05433 (02.03.2000)
(87) Публикация PCT:
WO 00/51976 (08.09.2000)
Адрес для переписки:
129010, Москва, ул. Б.Спасская, 25, стр.3, ООО “Юридическая фирма Городисский и Партнеры”, пат.пов. Е.Е.Назиной, рег. № 517
|
(72) Автор(ы):
ЧИНН Пол (US), ГИОРКОС Альберт (US), ЛАБАРР Майкл Дж. (US), РАЛ Стив (US), РИСКЭМП Томас (US)
(73) Патентообладатель(и):
БАЙОДЖЕН АЙДЕК ИНК. (US)
|
(54) РЕГИОСЕЛЕКТИВНЫЙ СИНТЕЗ ПРОИЗВОДНЫХ DTPA
(57) Реферат:
Настоящее изобретение относится к способу региоспецифического синтеза по существу изомерно чистой 2-(п-изотиоцианатобензил)-6-метилдиэтилентриамино-N,N,N’,N”,N”-пентауксусной кислоты (MX-DTPA), содержащей по меньшей мере 90% региоизомера MX-DTPA формулы (I). Производные DTPA используются в качестве бифункциональных хелатирующих агентов в радиоиммунотерапии и для обнаружения и/или получения изображения опухоли. Заявленным способом синтеза возможно получать производные DTPA с высоким выходом за счет исключения необходимости разделения промежуточных продуктов ионообменной хроматографией. Кроме того, так как данный способ дает один региоизомер хелата, то он обеспечивает региоспецифический синтез требуемых хелатов, которые можно использовать в качестве меченных радиоактивными изотопами агентов. 3 н. и 21 з.п. ф-лы, 11 ил.
 
1. Область изобретения
Настоящее изобретение относится к способу получения производных DTPA. Конкретно, изобретение относится к способу региоспецифического синтеза с высокими выходами производных DTPA, используемых в качестве бифункциональных хелатирующих агентов в радиоиммунотерапии и для получения изображения.
2. Предшествующий уровень техники
Отмечается возрастающий интерес к новым агентам, меченным радиоактивными изотопами для получения изображения, обнаружения опухоли и для иммунотерапии, которые имеют меньше различных недостатков, присущих обычно используемым агентам.
Обычно использующиеся агенты, как правило, основаны на радиоактивных галогенсоединениях, таких как радиоактивные соединения на основе изотопов иода. Однако эти агенты имеют ряд ограничений. Например, использование изотопов иода в значительной степени ограничено высокой скоростью разрушения связи углерод-иод in vivo. Другое ограничение относится к менее чем идеальным характеристикам эмиссии и физическим периодам полураспада радионуклидов иода. В соответствии с этим были сделаны попытки разработки новых агентов для обнаружения опухоли, чтобы преодолеть недостатки радиоактивных агентов для мечения на основе галогенов.
В качестве одного из способов обеспечения более эффективных агентов для получения изображения и обнаружения опухоли предложено использование металлорганическими соединениями в форме комплексных радионуклидов металлов. Связывание агента для получения изображения и обнаружения опухоли с белком обычно достигают посредством ковалентной связи, образованной между хелатом и белком, ацилированием активированными карбонилами, ароматическим диазониевым сочетанием, бромацетилалкилированием или благодаря образованию связей тиомочевины.
Однако существующие металлорганические комплексы не обеспечивают оптимальную эффективность для мечения радиоактивными изотопами и терапии. Например, помимо выбора конкретного радиоизотопа успешное обнаружение опухоли и радиоиммунотерапия зависят также от выбора эффективного хелата, который легко соединяется с конкретным антителом и делает возможным введение радионуклида при сохранении целостности антитела.
При разработке эффективных, хелатированных с радиоактивным металлом антител для получения изображения и обнаружения опухоли и/или иммунотерапии следует рассматривать несколько факторов. Например, эффективные радионуклиды должны быть выбраны в соответствии с их физическими, химическими и биологическими свойствами. Оптимальный нуклид должен быть практически доступным, должен легко связываться с MAb и должен иметь подходящий физический период полураспада, чтобы селективно обнаружить и/или ликвидировать целевую опухолевую ткань при сохранении нормальной ткани.
MAb, которое служит для доставки радионуклида к целевой опухоли, должно быть выбрано на основе распределения его антигенной мишени и специфичности и сродства связывания антитела с его мишенью.
Другой важный аспект для обсуждения при разработке эффективных хелатированных с радиоактивным металлом антител относится к выбору хелатирующего агента (СА), используемого для сочетания радионуклида с антителами. Например, эффективные, хелатированные с радиоактивным металлом антитела должны быть стабильны in vivo. Стабильность in vivo зависит от условий, при которых как связывание хелата, так и мечение радиоактивным изотопом не изменяют специфичность и биораспределение антител.
Кроме того, выбор и синтез хелатирующего агента являются критическими для оптимизации адекватности между хелатом и выбранным радионуклидом и Mab. В частности, выбор и синтез хелата должен предотвращать нежелательное высвобождение радионуклида in vivo. Этот аспект имеет первостепенное значение потому, что наиболее общей проблемой, связанной с обычно используемыми хелатирующими агентами, является их неспособность к связыванию и надежному удерживанию с антителом. В результате этого происходит значительная диссоциация радионуклида in vivo из комплекса Mab-CA до доставки этих агентов к поверхности опухолевых клеток. Накопление свободных токсичных радионуклидов в нормальной ткани повреждает нормальную ткань без пользы для лечения и/или обнаружения целевой опухоли. Другой важный аспект относится к желательности того, чтобы выбранный хелатирующий агент позволял комплексу Mab-CA сохранять преимущество, обеспеченное специфичностью выбранного MAb.
Таким образом, при выборе адекватных хелатов для выбранного MAb следует принимать во внимание несколько критериев. Например, (а) присоединение СА не должно изменять специфичность или сродство связывания MAb с антигенной мишенью; (b) его присоединение к MAb не должно каким-либо образом повреждать антитело и, таким образом, изменять скорости его катаболизма или картину распределения в ткани; (с) он должен плотно удерживать радиоактивный металл так, чтобы не происходило преждевременного отщепления радиоактивного изотопа из комплекса MAb-СА in vivo, (d) связывание с MAb не должно изменять способность хелата удерживать радионуклид; (е) способ связывания с MAb должен быть настолько специфичным, насколько возможно облегчить методику специфичного обнаружения и терапии целевых опухолей, а также анализа данных, относящихся к обнаружению и лечению опухолей, и (f) хелат должен быть способен помочь освободить радионуклид после катаболизма комплекса MAb-СА-радионуклид.
Одну группу подходящих хелатов металлов образуют диэтилентриаминпентауксусная кислота (DTPA) и этилендиаминтетрауксусная кислота (EDTA) и их производные. Химически модифицированные производные (DTPA) и (EDTA) были исследованы в качестве лигандов металлов, способных эффективно хелатировать радиоактивные металлы, которые могут легко связываться с иммуноглобулинами. Однако эти реагенты были минимально эффективными вследствие пониженного сродства связывания радионуклида и, в результате, накопления радиоактивных химических соединений в нормальных тканях.
Для связывания комплексов EDTA и DTPA и металлов с белками являются пригодными ряд общепринятых способов. Однако эти способы не достигали высоких степеней эффективности, требуемых для эффективного получения изображения и обнаружения опухоли. Например, общепринятые способы имеют ряд недостатков, таких как необходимость в экстенсивной очистке до мечения радиоактивным изотопом и дефицит в хелатировании металла, являющийся результатом использования сайта связывания металла в образовании ковалентной связи с белком. Таким образом, были исследованы новые способы связывания белка, и были предложены новые способы, которые сохраняют все сайты связывания металлов.
Например, подробное описание химически модифицированных лигандов, которые могут быстро и эффективно взаимодействовать с антителом и которые сохраняют металл в течение времени, которое является более продолжительным по сравнению с периодом полураспада радионуклидов, используемых для получения изображения или терапии, дано в Brechbiel et al. в публикации Synthesis of (1-(p-isothiocyanatobenzyl) derivatives of DTPA and EDTA. Antibody Labelling and Tumor-Imaging Studies. Inorg. Chem. 1986, 25, 2772-2781, содержание которой включено сюда в качестве ссылки в полном объеме.
Brechbiel et al. предложили химически модифицированные хелаты EDTA и DTPA, имеющие изотиоцианатную группу, способную эффективно связываться с белками. Синтез хелатов можно суммировать как двустадийный способ , где первая стадия включает образование этилендиамина или диэтилентриамина с последующим алкилированием аминов с образованием соответствующей полиуксусной кислоты и вторая стадия включает превращение функциональной группы бензильного замещения с получением реакционноспособной части, пригодной для связывания белков.
Однако вышеописанный двустадийный способ синтеза МХ-DTPA и аналога с EDTA ограничивается низким общим выходом, составляющим менее чем 2%. Способ требует трудоемкой очистки промежуточных продуктов, которая включает катионо- и анионообменную хроматографию. Кроме того, данный способ дает оба региоизомера MX-DTPA и имеет плохую воспроизводимость.
Таким образом, существует потребность в альтернативном способе синтеза производных DTPA с высоким выходом. Желательно, чтобы в новом синтезе исключалась необходимость в ионообменной хроматографии для разделения промежуточных продуктов, что, таким образом, обеспечивает способ, масштаб проведения которого можно легко изменить. Кроме того, желательно также, чтобы такой способ давал индивидуальный региоизомер хелата, что, таким образом, обеспечивает региоспецифический синтез требуемых хелатов, которые используются в качестве эффективных агентов для мечения радиоактивными изотопами.
Краткое описание сущности изобретения
Настоящее изобретение относится к способу получения производных DTPA, которые используются в качестве хелатирующих агентов в радиоиммунотерапии и для получения изображения. Способ изобретения обеспечивает синтез производных DTPA с высоким выходом. В особенности, настоящее изобретение включает способ региоселективного синтеза производных DTPA, подходящих для хелатирования радиоактивных металлов и связывания с иммуноглобулинами. Способ включает связывание монозащищенного диамина и соединения, содержащего амин и часть, способную эффективно связывать производное DTPA с иммуноглобулинами, или часть, способную превращаться для эффективного связывания производного DTPA с иммуноглобулинами.
В одном аспекте настоящее изобретение предлагает способ получения производного DTPA формулы (I)

который включает (а) связывание N-трет-бутоксикарбонил-п-нитро-L-фенилаланина (А) и монозащищенного диамина (В) с образованием соединения (С); (b) удаление аминзащитных групп в (С) с образованием ТФУ-соли (D) ; (с) восстановление (D) с образованием (Е) ; (d) пентаалкилирование (Е) с образованием (F); (е) удаление аминзащитных групп в (F) с образованием соли трифторуксусной кислоты (G) ; (f) восстановление нитрогруппы в (G) с образованием соли трифторуксусной кислоты (Н) ; и (g) превращение аминогруппы в (Н) с образованием производного DTPA.
Способ изобретения позволяет синтезировать различные производные DTPA. Без ограничения объема настоящего изобретения, примеры производных DTPA, которые можно выгодным образом получить способом настоящего изобретения, включают МТ-DTPA, 1B3M-DTPA и CHx-DTPA.
В соответствии с одним аспектом настоящее изобретение предлагает способ получения производных DTPA, в которых природа производного DTPA определяется выбором монозащищенного диамина (В). R1 и R2 в соединении (В) выбраны для получения требуемого химически модифицированного производного DTPA.
В другом аспекте настоящее изобретение предлагает способ получения MX-DTPA, включающий (а) связывание N-трет-бутокси-карбонил-п-нитро-b-фенилаланина (А) с моно-М-трет-бутоксикарбонилзащищенным диамином (В’) с образованием N-(2-N-трет-бутоксикарбониламинопропил)-N-трет-бутоксикарбонил-п-нитрофенилаланинамида (С’); (b) удаление boc-групп у (С’) с образованием ТФУ-соли N-(2-аминопропил)-п-нитрофенилаланинамида (D’); (с) восстановление (D’ ) с образованием тригидрохлорида 2-метил-6-(п-нитробензил)диэтилентриамина (Е’); (d) пентаалкилирование (Е’) с образованием N,N,N’,N”,N”-пентакис[(трет-бутоксикарбонил)метил]-2-[(4-нитрофенил)метил]-6-метилдиэтилентриамина (F’); (е) удаление boc-групп в (F’) с образованием соли N,N,N’,N”,N”-пентакис(карбоксиметил)-2-[(4-нитрофенил)метил]-6-метилдиэтилентриамина с трифторуксусной кислотой (G’); (f) восстановление нитрогруппы в (G’) с образованием соли N,N,N’,N”,N”-пентакис(карбоксиметил)-2-[(4-аминофенил)метил]-6-метилдиэтилентриамина с трифторуксусной кислотой (Н’) и (g) превращение аминогруппы в (Н’) с образованием 2(п-изотиоцианатобензил) -6-метилдиэтилентриамин-N,N,N’,N”,N”- пентауксусной кислоты (MX-DTPA).
Еще в одном аспекте изобретение предлагает способ синтеза MX-DTPA, в котором стадия (а) включает использование гексафторфосфата бензотриазол-1-илокситрис(диметиламино)фосфония (ВОР) в качестве реагента связывания.
В другом аспекте изобретение предлагает способ синтеза MX-DTPA, в котором стадия (а) включает использование хлор-ангидрида бис-(2-оксо-3-оксазолидин)фосфиновой кислоты (BOP-CD) в качестве реагента связывания.
Еще в одном аспекте изобретение предлагает способ синтеза MX-DTPA, в котором моно-boc-защищенный диамин (В’ ) получают способом, включающим (a) обработку лактонитрила гидроксидом аммония с образованием -аминонитрила (2); (ii) обработку (2) хлористо-водородной кислотой с образованием гидрохлоридной соли амина (3); (iii) защиту амина ди-трет-бутилдикарбонатом с образованием boc-защищенного производного (4); (iv) восстановление нитрила с использованием никеля Ренея с насыщенным раствором этанола при давлении водорода две атмосферы с образованием моно-boc-защищенного диамина (В’).
Еще в одном аспекте изобретение предлагает способ синтеза MX-DTPA, в котором моно-boc-защищенный диамин (В’) получают способом, включающим (i) алкилирование основания Шиффа (5) в условиях фазового переноса с образованием моноалкилированного продукта (6); (ii) снятие защиты у (6) 1 н. хлористо-водородной кислотой с последующей защитой амина ди-трет-бутилдикарбонатом с образованием boc-защищенного амина (4) и (iii) восстановление (4) никелем Ренея с образованием моно-boc-защищенного диамина (В’).
В следующем аспекте изобретение предлагает способ синтеза MX-DTPA, в котором удаление boc-групп в (С’) с образованием (D’) проводят с использованием трифторуксусной кислоты в дихлорметане.
В другом аспекте изобретение предлагает способ синтеза MX-DTPA, в котором стадия восстановления (D’) включает обработку (D’) комплексом боран-тетрагидрофуран с последующей обработкой хлоридом водорода с образованием гидрохлоридной соли триамина (Е’).
Еще в одном аспекте изобретение предлагает способ синтеза MX-DTPA, в котором пентаалкилирование промежуточного продукта (Е’) проводят с использованием ацетонитрила и карбоната калия.
Еще в одном аспекте изобретение предлагает способ синтеза MX-DTPA, в котором пентаалкилирование промежуточного продукта (Е’) проводят с использованием бром-трет-бутилацетата в диметилформамиде и карбоната натрия.
В следующем аспекте изобретение предлагает способ синтеза MX-DTPA, в котором (F’) очищают с использованием колоночной хроматографии на силикагеле.
Еще в одном аспекте изобретение предлагает способ синтеза MX-DTPA, в котором стадию снятия защиты у карбоновых кислот в (F’) для образования производного пентауксусной кислоты (G’) проводят с использованием трифторуксусной кислоты.
Еще в одном аспекте изобретение предлагает способ синтеза MX-DTPA, в котором восстановление нитрогруппы в (G’) с образованием (Н’) проводят с использованием палладия на угле при давлении водорода две атмосферы, в воде.
Еще в одном аспекте изобретение предлагает способ синтеза MX-DTPA, в котором стадия превращения (Н’) в MX-DTPA включает превращение амина (Н’) в изотиоцианатную функциональную группу с помощью тиофосгена. Превращение можно проводить несколькими путями. Например, (i) добавлением тиофосгена к двухфазной смеси, содержащей производное пентауксусной кислоты (Н) в хлороформе, и воду; (ii) быстрым перемешиванием смеси в течение двух часов; (iii) удалением растворителя при пониженном давлении с образованием остатка; (iv) очисткой остатка на диоксиде кремния с обращенной фазой и (v) элюированием 25% ацетонитрилом в воде, содержащей 1% уксусную кислоту. Превращение можно также проводить с использованием дихлорметана и триэтиламина или ацетонитрила и бикарбоната натрия или карбоната натрия.
Еще в одном аспекте изобретение предлагает улучшенное соединение MX-DTPA, где улучшение состоит в том, что оно является, по существу, индивидуальным региоизомером хелата. Термин является, по существу, индивидуальным региоизомером в настоящем изобретении означает, что процент одного изомера относительно другого региоизомера составляет по меньшей мере 90%, более предпочтительно, по меньшей мере, 95% и наиболее предпочтительно, по меньшей мере, 99%.
Еще в одном следующем аспекте изобретение относится к использованию такого улучшенного соединения MX-DTPA для получения меченной радиоактивным изотопом формы его хелатного соединения с белком или антителом.
Еще в одном аспекте изобретение относится к использованию такого улучшенного соединения MX-DTPA для получения меченных радиоактивным изотопом хелатов.
В следующем аспекте изобретение предлагает способ получения CHx-DTPA, включающий: (а) связывание N-трет-бутокси-карбонил-п-нитро-b-фенилаланина (А) и монозащищенного диамина (В”) с образованием соединения (С”); (b) удаление аминзащитных групп у (С”) с образованием ТФУ-соли (D”); (с) восстановление (D”) с образованием (Е”); (d) пентаалкилирование (Е”) с образованием (F”); (е) удаление аминзащитных групп в (F”) с образованием соли трифторуксусной кислоты (G”); (f) восстановление нитрогруппы в (G”) с образованием соли трифторуксусной кислоты (Н”) и (g) превращение аминогруппы в (Н”) с образованием CHx-DTPA. Монозащищенный диамин (В”) можно использовать в виде цис- или транс-изомера.
Краткое описание графических материалов
Фиг.1 представляет общую схему реакций семистадийного способа региоспецифического синтеза производных DTPA формулы (1).
Фиг.2 представляет общую схему реакций семистадийного способа региоспецифического синтеза MX-DTPA.
Фиг.3 представляет четырехстадийную схему синтеза (В’).
Фиг.4 представляет альтернативную схему синтеза (В’).
Фиг.5 представляет схему альтернативной стадии 1 в схеме реакций фиг.2.
Фиг.6 представляет схему реакций, представляющую неудачную конденсацию (В’) с метиловым эфиром 4-нитро-b-фенилаланина (a) в метаноле и (b) в толуоле.
Фиг.7 представляет две альтернативные схемы реакций (а) и (b) алкилирования (Е’) с образованием (F’).
Фиг. 8 представляет альтернативную схему реакций превращения (Н’) в MX-DTPA.
Фиг.9 представляет общую схему реакций семистадийного способа региоспецифического синтеза CHx-DTPA.
Фиг.10 представляет схему, изображающую региоизомеры CHx-DTPA, селективно полученные способом изобретения.
Фиг.11 представляет двухстадийную схему реакций для синтеза (В”).
Подробное описание предпочтительных вариантов изобретения.
Если не оговорено особо, все технические и научные термины, использованные здесь, имеют такие же значения, какие обычно понимает средний специалист в области, к которой относится данное изобретение. Хотя любые способы и материалы, подобные или эквивалентные способам и материалам, описанным здесь, можно использовать на практике или при испытании настоящего изобретения, описываются предпочтительные способы и материалы.
Настоящее изобретение предлагает способ региоселективного синтеза с высокими выходами производных химически модифицированного DTPA, который исключает необходимость разделения ионообменной хроматографией промежуточных продуктов. Кроме того, так как этот способ дает индивидуальный региоизомер хелата, он обеспечивает региоспецифический синтез требуемых хелатов, которые можно использовать в качестве агентов для мечения радиоактивными изотопами.
Более конкретно, фиг.1 представляет общую схему реакций семистадийного способа региоспецифического синтеза производных DTPA формулы (I). В этом варианте настоящее изобретение представляет способ получения производного DTPA формулы (I), включающий стадии: (а) связывания N-трет-бутоксикарбонил-п-нитро-b-фенилаланина (А) и монозащищенного диамина (В) с образованием соединения (С); (b) удаления аминзащитных групп в (С) с образованием ТФУ-соли (D); (с) восстановления (D) с образованием (Е); (d) пентаалкилирования (Е) с образованием (F); (е) удаления аминзащитных групп в (F) с образованием соли трифторуксусной кислоты (G); (f) восстановления нитрогруппы в (G) с образованием соли трифторуксусной кислоты (Н) и (д) превращения аминогруппы в (Н”) с образованием производного DTPA формулы (I).
Способ изобретения позволяет синтезировать различные производные DTPA. Без ограничения объема изобретения примеры производных DTPA, которые можно выгодным образом получить способом изобретения, включают MX-DTPA, 1B3M-DTPA и CHx-DTPA.
В соответствии с одним аспектом настоящее изобретение предлагает способ получения производных DTPA, в котором природа производного DTPA определяется выбором монозащищенного диамина (В). R1 и R2 в соединении (В) выбираются для получения требуемого химически модифицированного производного DTPA.
Фиг.2 представляет общую схему реакций семистадийного способа региоспецифического синтеза MX-DTPA в соответствии с одним аспектом изобретения. В этом варианте региоселективный синтез MX-DTPA включает следующие стадии: (а) связывание N-трет-бутоксикарбонил-п-нитро-L-фенилаланина (А) и моно-N-трет-бутоксикарбонилзащищенного диамина (В’) с образованием N-(2-N-трет-бутоксикарбониламинопропил)-N-трет-бутоксикарбонил-п-нитрофенилаланинамида (С’); (b) удаление boc-групп в (С’) с образованием ТФУ-соли N-(2-аминопропил)-п-нитрофенилаланинамида (D’) ; (с) восстановление (D’) с образованием тригидрохлорида 2-метил-6-(п-нитробензил)диэтилентриамина (Е’); (d) пентаалкилирование (Е’) с образованием N,N,N’,N”,N”-пентакис [(трет-бутоксикарбонил) метил] -2[ (4-нитрофенил)метил]-6-метилдиэтилентриамина (F’); (е) удаление boc-групп в (F’) с образованием соли N,N,N’,N”,N”-пентакис(карбоксиметил)-2-[(4-нитрофенил)метил]-6-метилдиэтилентриамина с трифторуксусной кислотой (G’); (f) восстановление нитрогруппы в (G’) с образованием соли N,N,N’,N”,N”-пентакис (карбоксиметил)-2[ (4-аминофенил)метил]-6-метилдиэтилентриамина с трифторуксусной кислотой (Н’) и (g) превращение аминогруппы в (H”) с образованием 2-(п-изотио-цианатобензил)-6-метилдиэтилентриамин- N,N,N’,N”,N”-пентауксусной кислоты (MX-DTPA).
Способ региоспецифического синтеза MX-DTPA имеет общий выход приблизительно 20%, в расчете на моно-boc-защищенный диамин (В’) и boc-п-нитро-b-фенилаланин (А), и поддается изменению масштаба проведения синтеза. Таким образом, синтез MX-DTPA по изобретению позволяет достичь общих выходов синтеза приблизительно на один порядок выше, чем общий выход, полученный в предыдущем способе (менее чем 2%). Кроме того, предыдущие способы синтеза требуют очистки промежуточного продукта трудоемкой анионо- и катионообменной хроматографией. В противоположность этому, способ изобретения исключает эту дорогую процедуру очистки и обеспечивает получение целевого соединения с высокой чистотой. Например, в способе изобретения для очистки конечного продукта требуется только одна хроматография на колонке с нормальной фазой и колонке с обращенной фазой.
Фиг.3 представляет четырехстадийную схему реакций синтеза моно-boc-защищенного диамина (В’). Синтез (В’) осуществляют обработкой коммерчески доступного лактонитрила гидроксидом аммония с получением ос-аминонитрила (2), который при обработке хлористо-водородной кислотой дает гидрохлоридную соль амина (3). Защита амина ди-трет-бутилдикарбонатом дает boc-защищенное производное (4). Восстановление нитрила с использованием никеля Ренея с насыщенным раствором этанола при давлении водорода две атмосферы дает требуемый моно-boc-защищенный диамин (В’). Эта последовательность реакций особенно привлекательна с экономической точки зрения, поскольку она является воспроизводимой и легко поддается изменению масштаба.
Было исследовано также несколько других условий для получения (В’). Например, на фиг.4 показана схема реакций синтеза (В’), в которой (В’) получают алкилированием основания Шиффа (5) в условиях фазового переноса получением моноалкилированного продукта (6) с умеренным выходом. Снятие защиты у (6) 1 н. хлористо-водородной кислотой с последующей защитой ди-трет-бутилдикарбонатом дает boc-защищенный амин (4), который при восстановлении никелем Ренея образует требуемый моно-boc-защищенный диамин (В’).
В варианте, показанном на фиг.1, в синтезе используют N-трет-бутоксикарбонил-п-нитро-b-фенилаланин (А), который связывают с моно-N-трет-бутоксикарбонилзащищенным диамином (В’). Предпочтительным реагентом связывания для проведения этой стадии является гексафторфосфат бензотриазол-1-илокситрис(диметиламино)фосфония (ВОР). Эти условия позволяют проводить синтез соединения (С’) с выходом после выделения, составляющим от 72 до 83%. Очистку (С’) можно осуществить промыванием кислотой, основанием с последующим растиранием с гексанами.
Фиг.5 является схемой реакций альтернативной стадии 1 в схеме реакций фиг.2. Как показано на фиг.5, использование хлорангидрида бис-(2-оксо-3-оксазолидинил)фосфиновой кислоты (ВОС-С1) также приводит к образованию нужного продукта (С’); однако выход этой реакции составляет 23% по сравнению с выходом 83%, который можно достичь на стадии 1 в соответствии с фиг.2.
Другие пути реакции синтеза (С’) оказались неудачными. Например, как показано схематично на фиг.6, попытки получить родственное производное (С’) прямой конденсацией (В’) с метиловым эфиром 4-нитро-b-фенилаланина (1) либо (а) перемешиванием в метаноле либо (b) нагреванием при кипячении с обратным холодильником в толуоле были неудачными.
Имея разработанный пригодный синтез соединения (СУ ), boc-защитные группы можно затем удалить с использованием трифторуксусной кислоты в дихлорметане с образованием диамина (D’). По этому способу (D’) получают с количественным выходом (100%) в виде твердого вещества.
Как изображено на фиг.2, при восстановлении амида (D’) комплексом боран-тетрагидрофуран с последующей обработкой хлоридом водорода образуется гидрохлоридная соль триамина (Е’). Помимо стадии алкилирования, изображенной на фиг.2, можно использовать другие пути реакции. Например, на фиг.7 показаны две схемы реакций, (а) и (b), алкилирования (Е’) с образованием (F’). Пентаалкилирование промежуточного продукта (Е’) можно проводить с использованием бромтрет-бутилацетата в диметилформамиде и карбоната натрия в качестве основания или же, в альтернативном случае, с использованием ацетонитрила в качестве растворителя и карбоната калия. Последние условия являются более подходящими для большого масштаба производства и исключают использование диметилформамида, который обычно трудно удалить. Выход выделенного продукта для этой стадии составляет около 60%, когда реакцию проводят в течение от 72 до 96 часов. Очистку (F’), предпочтительно, проводят колоночной хроматографией на силикагеле.
Как показано схематично на фиг.2, производное пентауксусной кислоты (G’) можно получить снятием защиты у карбоновых кислот, предпочтительно, с использованием трифторуксусной кислоты. Восстановление нитрогруппы проводят с использованием палладия на угле при давлении водорода две атмосферы, в воде. Следует отметить, что авторы изобретения избежали недостатков ранее известных способов синтеза. В изобретении, например, устраняется использование гидроксида аммония, который трудно удалить и который усложняет способ синтеза из-за требуемой стадии образования изотиоцианата вследствие образования тиомочевины в качестве побочного продукта.
Конечная стадия в схеме реакций фигуры 2 относится к превращению амина в концевую изотиоцианатную функциональную группу с помощью тиофосгена. В этом отношении авторы изобретения исследовали различные условия проведения процесса.
Предпочтительные условия превращения (Н’) в MX-DTPA показаны в последней стадии схемы фиг.2. Эти условия включают добавление тиофосгена к двухфазной системе, содержащей производное пентауксусной кислоты (Н’) в хлороформе и воде, и быстрое перемешивание смеси в течение двух часов. Удаление растворителя при пониженном давлении с последующей очисткой остатка на диоксиде кремния с обращенной фазой и элюированием 25% ацетонитрилом в воде, содержащей 1% уксусную кислоту, давало целевое соединение MX-DTPA с хорошим выходом.
Были исследованы также другие условия проведения процесса. Например, на фиг.8 показана схема реакций превращения (Н’) в MX-DTPA с использованием дихлорметана в качестве растворителя и триэтиламина в качестве основания. Однако помимо MX-DTPA в реакции образуется также в качестве побочного продукта гидрохлорид триэтиламина, который не может быть легко удален.
Превращение (Н’) в MX-DTPA можно проводить с использованием ацетонитрила в качестве растворителя и бикарбоната натрия или карбоната натрия в качестве основания. В этой реакции образуются также другие примеси.
MX-DTPA, синтезированное по данному изобретению, можно эффективно использовать в различных применениях, требующих хелатирующий агент. Например, MX-DTPA, полученное способом изобретения, обеспечивает получение эффективных, меченных радиоактивным изотопом хелатирующих агентов, хелатирующих агентов для антител и хелатирующих агентов для белков. Меченное радиоактивным изотопом MX-DTPA обеспечивает эффективное средство для многочисленных применений, таких как сцинтиграфия, радиотерапия и радиоиммуноанализ.
В этом отношении способ синтеза MX-DTPA по данному изобретению имеет многочисленные преимущества. Например, способ не требует катионо- или анионообменной хроматографии, необходимой для трудоемкой очистки промежуточных продуктов. Устранение необходимости катионо- и анионообменной хроматографии обеспечивает способ, масштаб проведения которого можно легко изменить.
Другое преимущество относится к высокому выходу, обеспечиваемому способом изобретения. Как обсуждалось выше, хелаты, эффективные для использования в радиоиммуноанализах, должны быть легко доступны в количествах, достаточных для удовлетворения потенциально высоких потребностей. Способ изобретения может давать MX-DTPA с выходом вплоть до 20%, что на один порядок выше, чем в существующих способах синтеза MX-DTPA.
Хелаты MX-DTPA, синтезированные способом изобретения, имеют высокую чистоту. Получение хелата в чистой форме обеспечивает многочисленные преимущества, такие как более легкое кондиционирование и получение хелатированных MAbs, в которых сведено до минимума присутствие нежелательных побочных продуктов. Минимизация примесей в синтезированных хелатах позволяет проводить более легкое кондиционирование хелата для биологических применений.
Следующее преимущество относится к региоспецифичности, обеспечиваемой способом изобретения. Изобретение дает новый путь региоспецифического синтеза MX-DTPA.
Не претендуя ни на какую теорию, считают, что региоспецифический синтез MX-DTPA по изобретению достигается при использовании соединения (А) в форме индивидуального изомера. Если определенный изомер соединения (А) выбирают для начала синтеза, конфигурация вокруг хирального углерода в (А) сохраняется на всем протяжении синтеза.
Использование MX-DTPA в форме индивидуального региоизомера обеспечивает несколько преимуществ. Например, использование одного изомера MX-DTPA обеспечивает лучшие результаты в сцинтиграфии и устраняет потерю оптического сигнала, связанного с использованием рацемических смесей. Кроме того, использование индивидуального изомера позволяет получить комплексы MAb-СА с высокой специфичностью. В этом отношении использование индивидуального изомера позволяет, чтобы все хелатные молекулы были связаны с MAb, по существу, одинаковым образом.
Другое преимущество специфического синтеза индивидуального региоизомера MX-DTPA относится к возможности регулирования положения хелатированного радионуклида в отношении mMAb и, в конце концов, к опухоли-мишени. Регулирование положения радионуклида возможно посредством использования индивидуального изомера MX-DTPA. Преимущества обеспечения единого способа образования связи посредством использования индивидуального изомера включают потенциальное улучшение в изображении и иммунотерапевтических результатах, полученных с использованием комплекса MAb-СА.
Хелат MX-DTPA, синтезированный по изобретению, является подходящим для хелатирования различных радионуклидов. Хелат является подходящим также для комплексообразования с различными Mabs и белками. Таким образом, ожидается, то MX-DTPA, полученный в соответствии с региоспецифическим синтезом изобретения, обеспечивает одинаково эффективное мечение радиоактивным изотопом и получение терапевтических агентов при связывании с любым радионуклидом или MAb, подходящим для объединения с MX-DTPA.
В одном варианте MX-DTPA конъюгируют с антителом 2В8 с образованием 2B8-MX-DTPA. Показано, что 2В8, являющийся антителом CD20, действует на снижение содержания В-клеток при введении пациентам с лимфомой. Детальное описание образования 2B8-MX-DTPA описано подробно в патенте США №5736137, содержание которого включено сюда в качестве ссылки в полном объеме.
Однако специалисту в данной области должно быть очевидно, что хелатирующие агенты MX-DTPA, синтезированные в соответствии с настоящим изобретением, можно использовать для мечения радиоактивными изотопами других анти-С020 антител или любого другого антитела, которое было конъюгировано с DTPA или другим поливалентным хелатирующим агентом. Кроме того, хелатирующие агенты MX-DTPA, полученные в соответствии с изобретением, могут быть присоединены к другим белкам и пептидам, например рецепторам, гормонам, факторам роста, таким как соматостатиновые пептиды.
Хотя вышеприведенное подробное описание сфокусировано на синтезе MX-DTPA, способ изобретения в равной степени подходит для синтеза других химически модифицированных производных DTPA. В этом отношении способ изобретения можно выгодным образом использовать для региоселективного синтеза различных производных DTPA, подходящих для хелатирования радиоактивных металлов и связывания с иммуноглобулинами. Способ включает связывание монозащищенного диамина и соединения, включающего амин и часть, способную эффективно связывать производное DTPA с иммуноглобулинами, или часть, способную превратиться для эффективного связывания производного DTPA с иммуноглобулинами. Как может быть легко понятно для специалиста в данной области, способ изобретения является особенно благоприятным в том отношении, что различные монозащищенные диамины можно связывать с различными соединениями, включающими амин и часть, способную эффективно связывать производное DTPA с иммуноглобулинами, или часть, способную превратиться для эффективного связывания производного DTPA с иммуноглобулинами.
Синтез таких производных DTPA находится в пределах объема настоящего изобретения.
В одном воплощении изобретения, например, 1B3M-DTPA получают по схеме реакций, аналогичной схеме реакций на фиг.2. 1B3M-DTPA получают с использованием изомера (В’), где положения R1 (то есть Н) и R2 (то есть СН3) обменены.
CHx-DTPA представляет собой другой пример производных DTPA, которые можно получить по способу изобретения. Фиг.9 представляет общую схему реакций способа синтеза CHx-DTPA. На стадии (а) схемы фиг.9 моно-Вос-защищенный диаминоциклогексан (В”) конденсируют с соединением (А) с образованием соединения (С”). После образования соединения (С”‘) синтез CHx-DTPA проводят по стадиям, аналогичным стадиям фиг.2.
Диамин (В”) можно использовать в форме цис- или трансизомера для получения соответствующих изомеров CHx-DTPA. На фиг.10 изображены региоизомеры CHx-DTPA, которые можно получить связыванием выбранных изомеров соединений (А) и (В”).
Монозащищенный диамин (В”) можно получить различными путями. Предпочтительный путь получения (В”) изображен на двустадийной схеме реакций фиг.11.
ПРИМЕРЫ
Коммерчески доступные реагенты и чистые по данным ВЭЖХ или безводные растворители использовали без дополнительной очистки. Колоночную хроматографию с нормальной фазой и ТСХ проводили на силикагеле ICN (63-200, 60А) и силикагеле Merck (60 А) с флуоресцентным индикатором соответственно. Колоночную хроматографию с обращенной фазой и ТСХ проводили на ЕМ Science LiChroprep RP-18 (40-63 мкм) и Techware RPS-F с обращенной фазой, с силикагелем, пропитанном углеводородом с флуоресцентным индикатором, соответственно.
Синтез 1-N-трет-бутоксикарбонил-2-метилэтилендиамина (В”)
а. Гидрохлорид 2-аминопропаннитрила (3):
Смесь, содержащую 23,1 г (324,99 ммоль) лактонитрила (технический сорт, чистота 90%), 7,1 г (132,74 ммоль) хлорида аммония и 86 мл (2208,3 ммоль) гидроксида аммония, перемешивают при комнатной температуре в течение 2 часов. Реакционную смесь экстрагируют дихлорметаном (2×500 мл), и органическую фазу сушат над безводным сульфатом магния. Смесь фильтруют, и растворитель удаляют при пониженном давлении с получением 24 г желтого масла (2). Желтое масло разбавляют 250 мл безводного диэтилового эфира и охлаждают на ледяной бане. Затем добавляют 350 мл (350 ммоль) 1 н. хлористо-водородной кислоты в эфире. После перемешивания в течение 10 минут образовавшееся твердое вещество фильтруют, промывают эфиром и сушат в вакууме с получением 28,79 г продукта с выходом 92,83% в пересчете на чистоту исходного лактононитрила.
b. N-трет-Бутоксикарбонил-2-аминопропаннитрил (4):
К смеси, содержащей 28,5 г (268,79 ммоль) гидрохлорида 2-аминопропаннитрила в 300 мл безводного дихлорметана, добавляют 104 мл (746,16 ммоль) триэтиламина. Смесь охлаждают на ледяной бане с последующим добавлением 64,5 г (295,53 ммоль) ди-трет-бутилдикарбоната в 100 мл безводного дихлорметана на протяжении 30 минут. Реакции дают возможность нагреться до комнатной температуры при перемешивании в течение 48 часов.
Реакционную смесь фильтруют через воронку со спеченным стеклом и объем фильтрата уменьшают при пониженном давлении. Добавляют 1 л диэтилового эфира, и смесь перемешивают в течение 15 минут. Смесь снова фильтруют через воронку со стеклянным фильтром для удаления оставшегося гидрохлорида триэтиламина. Фильтрат концентрируют при пониженном давлении. Колоночная хроматография остатка на силикагеле с элюированием 30% смесью этилацетат/гексаны дает 18,50 г продукта с выходом 40,44%.
с. 1-N-трет-Бутоксикарбонил-2-метилэтилендиамин (В’):
В колбу Парра на 500 мл добавляют 18,4 г (108,10 ммоль) N-трет-бутоксикарбонил-2-аминопропаннитрила и 200 мл абсолютного этанола, насыщенного аммиаком. Добавляют никель Ренея (10 г 50% взвеси в воде), и в колбу вводят газообразный водород до 3,515 атм (50 фунтов на квадратный дюйм), и затем давление снижают до атмосферного. В колбе снова устанавливают давление газообразного водорода 3,515 атм (50 фунтов на квадратный дюйм), и затем давление снижают до атмосферного. Затем в колбу вводят газообразный водород до давления 3,515 атм и колбу встряхивают до тех пор, пока не будет происходить дальнейшее поглощение водорода, что обычно достигается в течение ночи. Давление в колбе снижают, и смесь фильтруют через слой целита 521. Фильтрат концентрируют при пониженном давлении с получением 19,2 г продукта в виде бесцветного масла с количественным выходом (100%).
В альтернативном случае гидрохлорид 2-аминопропаннитрила (3) можно получить из N-(дифенилметилен)аминоацетонитрила следующим способом
a. N-(Дифенилметилен)-2-метиламиноацетонитрил (6):
К раствору, содержащему 50 г (226,98 ммоль) N-(дифенилметилен)аминоацетонитрила в 250 мл толуола, добавляют 4,5 г (19,76 ммоль) хлорида бензилтриэтиламмония (ВТЕАС) с последующим добавлением 28,3 г (707,50 ммоль) гидроксида натрия в 50 мл воды. Реакционную смесь охлаждают на ледяной бане с последующим добавлением по каплям 22 мл (232,51 ммоль) метилсульфата в течение 1 часа. Реакционной смеси дают возможность нагреться до комнатной температуры на протяжении 24 часов. Реакционную смесь разбавляют 1 литром дихлорметана и промывают водой (2×1 л). Органическую фазу сушат над безводным сульфатом магния. Фильтрование, удаление растворителя и колоночная хроматография остатка на силикагеле при элюировании 20% смесью этилацетат/гексан дает 46,2 г продукта с выходом 62,05%.
b. Гидрохлорид 2-аминопропаннитрила (3):
Смесь, содержащую 3,0 г (12.80 ммоль) N-(дифенилметилен)-2-метиламиноацетонитрила в 30 мл гексана и 25 мл (25 ммоль) 1 н. водной хлористо-водородной кислоты, перемешивают при комнатной температуре в течение 72 часов. Водную фазу отделяют и промывают гексаном. Концентрирование водной фазы при пониженном давлении дает 1,25 г продукта с выходом 92,10%.
N-(2-N-трет-Бутоксикарбониламинопропил)-N-трет-бутоксиарбонил-п-нитрофенилаланинамид (С’):
К раствору, содержащему 25 г (80,57 ммоль) N-трет-boc-п-нитро-b-фенилаланина в 300 мл безводного дихлорметана, добавляют 12,5 мл (89,68 ммоль) триэтиламина с последующим добавлением 37 г (83,66 ммоль) гексафторфосфата бензотриазол-1-илокситрис(диметиламино)фосфония (ВОР). После перемешивания при комнатной температуре в течение 1 часа добавляют 15,1 г (86,66 ммоль) 1-N-трет-бутоксикарбонил-2-метилэтилендиамина в 40 мл безводного дихлорметана. Реакционную смесь перемешивают при комнатной температуре в течение 20 часов. Реакционную смесь разбавляют 300 мл дихлорметана и промывают 1 н. водной хлористо-водородной кислотой (2×500 мл), насыщенным водным бикарбонатом натрия (2×500 мл) и водой (1×500 мл). Органическую фазу сушат над безводным сульфатом магния. Фильтрование и удаление растворителя при пониженном давлении дает желтое твердое вещество. Затем добавляют гексаны (600 мл) и смесь перемешивают в течение 20 минут. Твердую часть отфильтровывают и сушат с получением 27,0 г (71,83%) продукта в виде белого твердого вещества.
ТФУ-соль N-(2-аминопропил)-п-нитрофенилаланинамида (D’):
К раствору, содержащему 26,50 г (56,80 ммоль) N-(2-N-трет-бутоксикарбониламинопропил)-N-трет-бутоксикарбонил-п-нитрофенилаланинамида в 300 мл дихлорметана, добавляют 65 мл (843,77 ммоль) трифторуксусной кислоты. Реакционную смесь перемешивают при комнатной температуре в течение 1 часа. Растворитель удаляют при пониженном давлении с последующим добавлением 500 мл безводного диэтилового эфира. Образовавшееся твердое вещество фильтруют через воронку со стеклянным фильтром и промывают 400 мл диэтилового эфира. Твердое вещество сушат в вакууме с получением 32,0 г (100%) продукта, содержащего некоторое количество остаточной трифторуксусной кислоты и диэтилового эфира. Продукт используют без дополнительной очистки.
Тригидрохлорид 2-метил-6-(п-нитробензил)диэтилентриамина (Е’)
К раствору, содержащему 35 г (70,80 ммоль) ТФУ-соли N-(2-аминопропил)-п-нитрофенилаланинамида в 500 мл безводного тетрагидрофурана добавляют 500 мл комплекса 1 М боран-тет-рагидрофуран на протяжении 30 минут. Реакционную смесь нагревают при кипячении с обратным холодильником в течение 16 часов. После охлаждения реакционной смеси на ледяной бане для гашения избыточного боранного реагента добавляют 122 мл метанола. После завершения выделения газа растворитель удаляют при пониженном давлении. Остаток растворяют в 265 мл абсолютного этанола и раствор насыщают хлористо-водородной кислотой (газообразной) при охлаждении на ледяной бане. Смесь затем разбавляют 200 мл безводного диэтилового эфира и образовавшееся твердое вещество отфильтровывают и сушат в вакууме с получением 19,39 г продукта с выходом 75,72%.
N,N,N’,N”,N”-Пентакис[(трет-бутоксикарбонил)метил]-2-[(4-нитрофенил)метил]-6-метилдиэтилентриамин (F’):
К смеси, содержащей 19,0 г (52,53 ммоль) тригидрохлорида 2-метил-6-(п-нитробензил)диэтилентриамина в 550 мл безводного ацетонитрила, добавляют 86,60 г (626,58 ммоль) карбоната калия с последующим добавлением 42 мл (284,44 ммоль) трет-бутилбромацетата. После перемешивания при комнатной температуре в течение 90 часов реакционную смесь разбавляют 500 мл воды и экстрагируют этилацетатом (2×500 мл). Органическую фазу сушат над безводным сульфатом магния. Фильтрование и удаление растворителя при пониженном давлении дают желтое масло. Колоночная хроматография этого масла на силикагеле с элюированием 30% смесью этилацетат/гексаны дает 26,37 г продукта с выходом 60,99%.
Соль N,N,N’,N”,N”-пентакис(карбоксиметил]-2-[(4-нитро-фенил)метил]-6-метилдиэтилентриамина с трифторуксусной кислотой (G’):
Раствор, содержащий 5,0 г (6,08 ммоль) N,N,N’,N”,N”-пентакис[(трет-бутоксикарбонил)метил]-2-[(4-нитрофенил)метил]-6-метилдиэтилентриамина в 35 мл трифторуксусной кислоты, перемешивают при комнатной температуре в течение 48 ч. Растворитель удаляют при пониженном давлении, и образовавшееся твердое вещество сушат в вакууме с получением 4,02 г продукта в виде бледно-желтого твердого вещества с выходом 74,75%.
Соль N,N,N’,N”,N”-пентакис(карбоксиметил]-2-[(4-аминофенил)метил]-6-метилдиэтилентриамина с трифторуксусной кислотой (Н’):
В колбу Парра добавляют 3,40 г (3,84 ммоль) соли N,N,N’,N”,N”-пентакис(карбоксиметил]-2-[(4-нитрофенил)метил]-6-метилдиэтилентриамина с трифторуксусной кислотой и 50 мл воды с последующим добавлением 0,3 г 5% палладия на угле. Колбу два раза заполняют водородом при давлении 2,109 атм (30 фунтов на дюйм). Колбу затем заполняют водородом до давления 3,164 атм (45 фунтов на дюйм) и встряхивают. После прекращения поглощения водорода, в типичном случае спустя от 2 до 4 часов, давление в колбе приводят к нормальному и смесь фильтруют через слой целита. Целит промывают 20 мл воды. Фильтрат концентрируют при пониженном давлении с получением 3,02 г продукта с выходом 92,03%. Спектральные данные, полученные для этого продукта, согласуются со спектральными данными ссылочного стандарта.
2-(п-Изотиоцианатобензил)-6- метилдиэтилентриамин-N,N,N’,N”,N”-пентауксусная кислота (MX-DTPA).
В круглодонную колбу на 1 л, снабженную магнитной мешалкой, соль N,N,N’,N”,N”-пентакис(карбоксиметил)-2-[(4-аминофенил)метил]-6-метилдиэтилентриамина с трифторуксусной кислотой добавляют к смеси, содержащей 150 мл воды и 300 мл хлороформа, с последующим добавлением 4,67 г (44,06 ммоль) карбоната натрия. Образовавшийся раствор имеет рН приблизительно 9,0. К этой двухфазной смеси добавляют 0,64 мл (839 ммоль) тиофосгена, и раствор перемешивают при комнатной температуре в течение 2 часов. Растворитель удаляют при пониженном давлении с образованием остатка. Остаток растворяют в 15 мл 1% уксусной кислоты в воде и помещают в колонку силикагеля с обращенной фазой с элюированием 1% уксусной кислотой и затем 25% смесью ацетонитрил/вода, содержащей 1% уксусной кислоты. Фракции, содержащие продукт, объединяют, и растворитель удаляют при пониженном давлении с получением 247 г продукта в виде бедно-желтого твердого вещества с выходом 61,60%.
Хотя изобретение было описано, исходя из предпочтительных вариантов, специалисту в данной области должно быть очевидно, что могут быть сделаны различные модификации, замены, пропуски и изменения, не выходящие за его пределы. В соответствии с этим предполагается, что объем настоящего изобретения ограничивается только объемом следующей формулы изобретения, включая его эквиваленты.
Формула изобретения
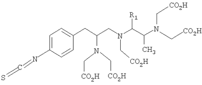
1. Способ получения, по существу, изомерно чистой 2-(п-изотиоцианатобензил)-6-метилдиэтилентриамино-N,N,N’,N”,N”-пентауксусной кислоты (MX-DTPA), содержащей по меньшей мере 90% региоизомера МХ-DTPA формулы (I)

относительно другого региоизомера, включающий
(a) связывание изомера N-трет-бутоксикарбонил-п-нитро-L-фенилаланина (А) и моно-N-трет-бутоксикарбонилзащищенного диамина (В’) с образованием N-(2-N-трет-бутоксикарбониламинопропил)-N-трет-бутоксикарбонил-п-нитрофенилаланинамида (С’);
(b) удаление boc-групп в (С’) с образованием ТФУ-соли N-(2-аминопропил)-п-нитрофенилаланинамида (D’);
(c) восстановление (D) с образованием тригидрохлорида 2-метил-6-(п-нитробензил)диэтилентриамина (Е’);
(d) пентаалкилирование (Е’) с образованием N,N,N’,N”,N”-пентакис[(трет-бутоксикарбонил)метил]-2-[(4-нитрофенил)метил]-6-метилдиэтилентриамина(F’);
(e) удаление boc-групп в (F’) с образованием соли N,N,N’,N”,N”-пентакис(карбоксиметил)-2-[(4-нитрофенил)метил]-6-метилдиэтилентриамина с трифторуксусной кислотой (G’);
(f) восстановление нитрогруппы в (G ) с образованием соли N,N,N’,N”,N”-пентакис(карбоксиметил)-2-[(4-аминофенил)метил]-6-метилдиэтилентриамина с трифторуксусной кислотой (Н’); и
(g) превращение аминогруппы в (Н’) с образованием 2-(п-изотиоцианатобензил)-6-метилдиэтилентриамин-N,N,N’,N”,N”-пентауксусной кислоты (MX-DTPA).
2. Способ по п.1, где (а) включает использование гексафторфосфата бензотриазол-1-илокситрис(диметиламино)фосфония (ВОР) в качестве реагента связывания.
3. Способ по п.1, где (а) включает использование хлорангидрида бис-(2-оксо-3-оксазолидинил)фосфиновой кислоты (ВОР-С1) в качестве реагента связывания.
4. Способ по п.1, где моно-boc-защищенный диамин (В’) получают способом, включающим (i) обработку лактонитрила гидроксидом аммония с образованием -аминонитрила (2); (ii) обработку (2) хлористоводородной кислотой с образованием гидрохлоридной соли амина (3); (iii) защиту амина ди-трет-бутилдикарбонатом с образованием boc-защищенного производного (4); (iv) восстановление нитрила с использованием никеля Ренея с насыщенным раствором этанола при давлении водорода две атмосферы с образованием моно-boc-защищенного диамина (В).
5. Способ по п.1, где моно-boc-защищенный диамин (В ) получают способом, включающим (i) алкилирование основания Шиффа (5) в условиях фазового переноса с образованием моноалкилированного продукта (6); (ii) снятие защиты у (6) 1 н. хлористоводородной кислотой с последующей защитой ди-трет-бутилдикарбонатом с образованием boc-защищенного амина (4) и (iii) восстановление (4) никелем Ренея с образованием моно-boc-защищенного диамина (В’).
6. Способ по п.1, где удаление boc-групп в (С’) с образованием (D) проводят с использованием трифторуксусной кислоты в дихлорметане.
7. Способ по п.1, где стадия восстановления (D’) включает обработку (D) комплексом боран-тетрагидрофуран с последующей обработкой хлоридом водорода с образованием гидрохлоридной соли триамина (Е’).
8. Способ по п.1, где пентаалкилирование промежуточного продукта (Е’) проводят с использованием ацетонитрила и карбоната калия.
9. Способ по п.1, где пентаалкилирование промежуточного продукта (Е’) проводят с использованием бром-трет-бутилацетата в диметилформамиде и карбоната натрия.
10. Способ по п.1, где (F’) очищают с использованием колоночной хроматографии на силикагеле.
11. Способ по п.1, где снятие защиты карбоновых кислот в (F’) с образованием производного пентауксусной кислоты (G’) проводят с использованием трифторуксусной кислоты.
12. Способ по п.1, где восстановление нитрогруппы в (G’) с образованием (Н’) проводят с использованием палладия на угле при давлении водорода две атмосферы, в воде.
13. Способ по п.1, где стадия превращения (Н’) в MX-DTPA включает превращение амина (Н’) в изотиоцианатную функциональную группу с помощью тиофосгена.
14. Способ по п.13, где стадия превращения (Н’) в MX-DTPA включает (i) добавление тиофосгена к двухфазной смеси, содержащей производное пентауксусной кислоты (Н) в хлороформе, и воду; (ii) быстрое перемешивание смеси в течение двух часов; (iii) удаление растворителя при пониженном давлении с образованием остатка; (iv) очистку остатка на диоксиде кремния с обращенной фазой и (v) элюирование 25 % ацетонитрилом в воде, содержащей 1%-ную уксусную кислоту.
15. Способ по п.13, где превращение (Н’) в MX-DTPA включает использование дихлорметана и триэтиламина.
16. Способ по п.13, где превращение (Н’) в MX-DTPA включает использование ацетонитрила и бикарбоната натрия или карбоната натрия.
17. По существу изомерно чистая 2-(п-изотиоцианатобензил)-6-метилдиэтилентриамино-N,N,N’,N”,N”-пентауксусная кислота (MX-DTPA), содержащая по меньшей мере 90% региоизомера MX-DTPA формулы (I)

относительно другого региоизомера, полученная способом по п.1.
18. По существу изомерно чистая 2-(п-изотиоцианатобензил)-6-метилдиэтилентриамино-N,N,N’,N”,N”-пентауксусная кислота (MX-DTPA) по п.17 для получения хелатирующего агента для антител.
19. По существу изомерно чистое соединение MX-DTPA, содержащее по меньшей мере 90% региоизомера структурной формулы (I)

относительно другого региоизомера.
20. По существу изомерно чистое соединение MX-DTPA по п.17 или 19 для использования в качестве хелатирующего агента для получения меченого радиоактивным изотопом MX-DTPA.
21. По существу изомерно чистое соединение MX-DTPA по п.17 или 19 для использования в качестве хелатирующего агента для получения меченого радиоактивным изотопом MX-DTPA, присоединенного к белку.
22. По существу изомерно чистое соединение MX-DTPA по п.17 или 19 для использования в качестве хелатирующего агента для получения меченого радиоактивным изотопом MX-DTPA, присоединенного к антителу.
23. По существу изомерно чистое соединение MX-DTPA по п.17 или 19 для использования в качестве хелатирующего агента в радиоиммунотерапии, и/или обнаружения опухоли, и/или получения изображения опухоли.
24. По существу изомерно чистое соединение MX-DTPA по п.17 или 19 для использования в качестве хелатирующего агента для получения композиции для радиоиммунотерапии, и/или обнаружения опухоли, и/или получения изображения опухоли.
РИСУНКИ
|