|
|
(21), (22) Заявка: 2005137034/04, 21.04.2004
(24) Дата начала отсчета срока действия патента:
21.04.2004
(30) Конвенционный приоритет:
01.05.2003 (пп.1-11) US 60/467,279
(43) Дата публикации заявки: 27.06.2006
(46) Опубликовано: 10.12.2007
(56) Список документов, цитированных в отчете о поиске:
WO 0240453 A1, 23.05.2002. US 2003/0036655 A1, 20.02.2003. RU 2131872 C1, 20.06.1999. RU 2028293 C1, 09.02.1995.
(85) Дата перевода заявки PCT на национальную фазу:
01.12.2005
(86) Заявка PCT:
EP 2004/004221 (21.04.2004)
(87) Публикация PCT:
WO 2004/096213 (11.11.2004)
Адрес для переписки:
101000, Москва, М.Златоустинский пер., 10, кв.15, “ЕВРОМАРКПАТ”, пат.пов. И.А.Веселицкой, рег. № 11
|
(72) Автор(ы):
ЯХАНГИР Алам (US), КАЙТЦ Пол Франсис (US), ЛОПЕС-ТАПИЯ Франциско-Хавьер (US), Каунд О ЯНГ (US)
(73) Патентообладатель(и):
Ф.ХОФФМАНН-ЛЯ РОШ АГ (CH)
|
(54) ИМИДАЗОЛИН-2-ИЛАМИНОФЕНИЛАМИДЫ В КАЧЕСТВЕ АНТАГОНИСТОВ IP
(57) Реферат:
Изобретение относится к новым имидазолин-2-иламинофениламидам формулы I:

где R1 означает фенил, необязательно замещенный одним, двумя или тремя заместителями, независимо выбранными из группы, включающей алкил, алкенил, алкокси, необязательно замещенный арил, необязательно замещенный арилокси, аралкилокси, галоген, галогеналкил, галогеналкокси, гидрокси, гидроксиалкил, алкилсульфонил, алкоксиалкилокси, гидроксиалкилокси, циано, гидрокси, циклоалкил, циклоалкилокси, циклоалкилалкокси, амино, алкиламино, диалкиламино, необязательно замещенный гетероциклил, необязательно замещенный гетероциклилокси, необязательно замещенный гетероциклилсульфонил, необязательно замещенный гетероциклилалкилокси, сульфамоил, алкилсульфамоил, диалкилсульфамоил,
R2 означает водород,
А означает -С(О)-NRa-(CRbRc)n– или -NRa-C(O)-(CRbRc)n-,
n равно от 1 до 6,
Ra, Rb и Rc каждый независимо означает водород или алкил, или его фармацевтически приемлемой соли или сольватам, а также соединениям формулы II:

где R1, R2, Rb, Rc и А имеют вышеуказанные значения, R3 и R4 – каждый независимо водород или алкоксикарбонил, Ra – водород, алкил или циклоалкил. Эти соединения являются эффективными модуляторами рецептора IP, прежде всего антагонистами рецептора IP. Кроме того, изобретение включает фармацевтические композиции, содержащие указанные соединения. 2 н. и 9 з.п. ф-лы, 1 табл.
Текст описания приведен в факсимильном виде.                                                       
Формула изобретения
1. Имидазолин-2-иламинофениламиды формулы I

где R1 означает фенил, необязательно замещенный одним, двумя или тремя заместителями, независимо выбранными из группы, включающей алкил, алкенил, алкокси, необязательно замещенный арил, необязательно замещенный арилокси, аралкилокси, галоген, галогеналкил, галогеналкокси, гидрокси, гидроксиалкил, алкилсульфонил, алкоксиалкилокси, гидроксиалкилокси, циано, гидрокси, циклоалкил, циклоалкилокси, циклоалкилалкокси, амино, алкиламино, диалкиламино, необязательно замещенный гетероциклил, необязательно замещенный гетероциклилокси, необязательно замещенный гетероциклилсульфонил, необязательно замещенный гетероциклилалкилокси, сульфамоил, алкилсульфамоил, диалкилсульфамоил,
R2 означает водород,
А означает -С(О)-NRa-(CRbRc)n– или -NRa-C(O)-(CRbRc)n-,
n равно от 1 до 6,
Ra, Rb и Rc каждый независимо означает водород или алкил,
или его фармацевтически приемлемая соль или сольват.
2. Имидазолин-2-иламинофениламиды II

где R1 означает фенил, необязательно замещенный одним, двумя или тремя заместителями, независимо выбранными из группы, включающей алкил, алкенил, алкокси, необязательно замещенный арил, необязательно замещенный арилокси, аралкилокси, галоген, галогеналкил, галогеналкокси, гидрокси, гидроксиалкил, алкилсульфонил, алкоксиалкилокси, гидроксиалкилокси, циано, гидрокси, циклоалкил, циклоалкилокси, циклоалкилалкокси, амино, алкиламино, диалкиламино, необязательно замещенный гетероциклил, необязательно замещенный гетероциклилокси, необязательно замещенный гетероциклилсульфонил, необязательно замещенный гетероциклилалкилокси, сульфамоил, алкилсульфамоил,
R2 означает водород,
R3 и R4 каждый независимо означает водород или алкоксикарбонил,
А означает -С(O)-NRa-(CRbRc)n – или -NRa-C(O)-(CRbRc)n-,
n равно от 1 до 6,
Ra означает водород, алкил или циклоалкил, а
Rb и Rc каждый независимо означает водород или алкил,
или его фармацевтически приемлемая соль или сольват.
3. Имидазолин-2-иламинофениламиды по п.2, где А означает -С(O)-NRa-(CRbRc)n-.
4. Имидазолин-2-иламинофениламиды по п.2, где А означает -NRa-C(O)-(CRbRc)n-.
5. Имидазолин-2-иламинофениламиды по п.3 или 4, где R1 означает фенил, необязательно замещенный одним, двумя или тремя заместителями, независимо выбранными из группы, включающей алкил, алкенил, алкокси, необязательно замещенный арил, необязательно замещенный арилокси, аралкилокси, галоген, галогеналкил, галогеналкокси, гидрокси, гидроксиалкил, алкилсульфонил, алкоксиалкилокси, гидроксиалкилокси, циано, гидрокси, циклоалкил, циклоалкилокси, циклоалкилалкокси, амино, алкиламино, диалкиламино, необязательно замещенный гетероциклил, необязательно замещенный гетероциклилокси, необязательно замещенный гетероциклилсульфонил, необязательно замещенный гетероциклилалкилокси, сульфамоил, алкилсульфамоил, диалкилсульфамоил или сульфониламино.
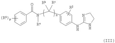
6. Имидазолин-2-иламинофениламиды по п.1, где указанное соединение означает соединение формулы III

где р равно от 0 до 3,
R4 означает алкил, алкенил, алкокси, необязательно замещенный арил, необязательно замещенный арилокси, аралкилокси, галоген, галогеналкил, галогеналкокси, гидрокси, гидроксиалкил, алкилсульфонил, алкоксиалкилокси, гидроксиалкилокси, циано, гидрокси, циклоалкил, циклоалкилокси, циклоалкилалкокси, амино, алкиламино, диалкиламино, необязательно замещенный гетероциклил, необязательно замещенный гетероциклилокси, необязательно замещенный гетероциклилсульфонил, необязательно замещенный гетероциклилалкилокси, сульфамоил, алкилсульфамоил, диалкилсульфамоил или сульфониламино,
Ra означает водород, или алкил,
Rb и Rc каждый независимо означает водород или алкил, а
n и R2 имеют значения, указанные в п.1.
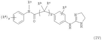
7. Имидазолин-2-иламинофениламиды по п.1, где указанное соединение означает соединение формулы IV

где р равно от 0 до 3,
R4 означает алкил, алкенил, алкокси, необязательно замещенный арил, необязательно замещенный арилокси, аралкилокси, галоген, галогеналкил, галогеналкокси, гидрокси, гидроксиалкил, алкилсульфонил, алкоксиалкилокси, гидроксиалкилокси, циано, гидрокси, циклоалкил, циклоалкилокси, циклоалкилалкокси, амино, алкиламино, диалкиламино, необязательно замещенный гетероциклил, необязательно замещенный гетероциклилокси, необязательно замещенный гетероциклилсульфонил, необязательно замещенный гетероциклилалкилокси, сульфамоил, алкилсульфамоил, диалкилсульфамоил или сульфониламино,
Ra означает водород или алкил,
Rb и Rc каждый независимо означает водород или алкил, а
n и R2 имеют значения, указанные в п.1.
8. Имидазолин-2-иламинофениламиды по п.5, где указанное соединение означает соединение формулы V

где R4 означает алкил, алкенил, алкокси, необязательно замещенный арил, необязательно замещенный арилокси, аралкилокси, галоген, галогеналкил, галогеналкокси, гидрокси, гидроксиалкил, алкилсульфонил, алкоксиалкилокси, гидроксиалкилокси, циано, гидрокси, циклоалкил, циклоалкилокси, циклоалкилалкокси, амино, алкиламино, диалкиламино, необязательно замещенный гетероциклил, необязательно замещенный гетероциклилокси, необязательно замещенный гетероциклилсульфонил, необязательно замещенный гетероциклилалкилокси, сульфамоил, алкилсульфамоил, диалкилсульфамоил или сульфониламино,
Ra означает водород, алкил или циклоалкил.
9. Имидазолин-2-иламинофениламиды формулы I по п.1, выбранное из группы, включающей:
N-[4-(4,5-дигидро-1Н-имидазол-2-иламино)бензил]-4-метоксибензамид,
этиловый эфир (4,5-дигидро-1Н-имидазол-2-ил){4-[(4-метоксибензоиламино)метил] фенил } карбаминовой кислоты,
N-[4-(4,5-дигидро-1Н-имидазол-2-иламино)бензил]-2,4-дифторбензамид,
N-[4-(4,5-дигидро-1Н-имидазол-2-иламино)бензил]-4-фторбензамид,
4-хлор-N-[4-(4,5-дигидро-1Н-имидазол-2-иламино)бензил]бензамид,
N-[4-(4,5-дигидро-1Н-имидазол-2-иламино)бензил]-4-тиофен-3-илбензамид,
N-[4-(4,5-дигидро-1Н-имидазол-2-иламино)бензил]-4-(2-метоксиэтокси)бензамид,
N-[4-(4,5-дигидро-1Н-имидазол-2-иламино)бензил]-4-(тетрагидропиран-4-илокси)бензамид,
этиловый эфир 4-{4-[4-(4,5-дигидро-1Н-имидазол-2-иламино)бензилкарбамоил]фенокси}пиперидин-1-карбоновой кислоты,
N-[4-(4,5-дигидро-1Н-имидазол-2-иламино)бензил]-4-пиразол-1-илбензамид,
N-[4-(4,5-дигидро-1Н-имидазол-2-иламино)бензил]-4-(3-метилпиразол-1-ил)бензамид,
N-[4-(4,5-дигидро-1H-имидазол-2-иламино)бензил]-4-метокси-N-метилбензамид,
4-(4-бензолсульфонилпиперазин-1-ил)-N-[4-(4,5-дигидро-1Н-имидазол-2-иламино)бензил] бензамид,
этиловый эфир 4-{4-[4-(4,5-дигидро-1Н-имидазол-2-иламино)бензилкарбамоил]фенил}пиперазин-1-карбоновой кислоты,
N-[4-(4,5-дигидро-1Н-имидазол-2-иламино)бензил]-4-трифторметилбензамид и
N-[4-(4,5-дигидро-1Н-имидазол-2-иламино)бензил]-4-пиримидин-2-илбензамид.
10. Имидазолин-2-иламинофениламиды по любому из пп.1-9 для применения в качестве терапевтически активного вещества, обладающего действием антоганистов IP.
11. Фармацевтическая композиция, обладающая действием антоганистов IP, включающая терапевтически эффективное количество по меньшей мере одного соединения формулы I по п.1 в смеси по меньшей мере с одним фармацевтически пригодным носителем.
MM4A – Досрочное прекращение действия патента СССР или патента Российской Федерации на изобретение из-за неуплаты в установленный срок пошлины за поддержание патента в силе
Дата прекращения действия патента: 22.04.2009
Извещение опубликовано: 20.07.2010 БИ: 20/2010
|
|