Патент на изобретение №2159228
|
||||||||||||||||||||||||||
(54) ПРОИЗВОДНЫЕ ЗАМЕЩЕННОГО БЕНЗАМИДИНА
(57) Реферат: Предложены производные замещенного бензамидина общей формулы I, где А представляет собой -O-CmH2m-X1-группу или группу формулы IV; m = 2-6; Х1 – группа формулы III, Х3 – группа -О-CnH2n-; X2 – группа -CnH2n-О-; n = 1 или 2; R1 – ОН, COR7 или COOR7; R2 – (С1 – С6)-алкил, -CR5R6-арил или водород (если А – остаток формулы IV или если Х1 – остаток формулы III), (С1 – С6)-алкокси (если А – -ОСmH2mХ1-группа и Х1 – группа формулы III); R3 – водород, (С1 – С6)-алкил, (С1 – С6)-алкокси (при условии, что R2 – -CR5R6-арил или если Х1 – группа формулы III); R4 – Н или (С1 – С6)-алкил; R5 и R6 – (С1 – С4)-алкил; R7 – (С1 – С6)-алкил, (С5 – С7)-циклоалкил, арил, гетероарил с атомом азота в качестве гетероатома, обладающие антагонистическим действием на рецепторы лейкотриена В4, при условии, что если А – группа -OCmH2mX1-; m = 2, 3 или 4, Х1 – группа формулы III; R2 – H или (С1 – С6)-алкил; R3 – Н, (С1 – С6)-алкил, (С1 – С6)-алкокси; R4 – водород или (С1 – С6)-алкил, то R1 не означает ОН. 9 з.п. ф-лы.
Изобретение относится к производным замещенного амидина, обладающим биологической активностью, в частности к новым производным замещенного бензамидина, обладающим биологической активностью, в частности антагонистическим действием на рецепторы лейкотриена B4. Известны производные замещенного бензамидина, обладающие антагонистическим действием на рецепторы лейкотриена B4 (см. заявку WO 93/16036, кл. C 07 C 257/18, A 61 K 31/35, 19.08.1993). Задачей изобретения является расширение арсенала производных замещенного бензамидина, обладающих антагонистическим действием на рецепторы лейкотриена B4. Поставленная задача решается предлагаемыми производными замещенного бензамидина общей формулы I ![]() где A представляет собой 1) группу формулы -O-CmH2m-X1– (II) где m означает 2-6, а X1 означает группу формулы ![]() или 2) группу формулы ![]() где X2 означает группу -CnH2n-O-, где n означает 1 или 2; X3 означает группу -O-CnH2n-; R1 означает гидроксил, COR7, COOR7; R2 означает алкил с 1-6 атомами, -CR5R6-арил, или водород (если A означает остаток формулы IV или если X1 означает остаток формулы III), а также алкоксил с 1-6 атомами углерода (если A означает группу формулы II, m имеет вышеуказанное значение и X1 означает группу формулы III); R3 означает водород, алкил с 1-6 атомами углерода, алкоксил с 1-6 атомами углерода (при условии, что R2 означает -CR5R6-арил или если X1 означает группу формулы III); R4 означает водород или алкил с 1-6 атомами углерода; R5 и R6 означают алкил с 1-4 атомами углерода; R7 означает алкил с 1-6 атомами углерода, циклоалкил с 5-7 атомами углерода, арил, гетероарил с атомом азота в качестве гетероатома, аралкил; при условии, что если A означает группу -O-CmH2m-X1-, где m = 2, 3 или 4, X1 означает группу формулы ![]() R2 означает водород, алкил с 1-6 атомами углерода; R3 означает водород, алкил с 1-6 атомами углерода, алкоксил с 1-6 атомами углерода; R4 означает водород, алкил с 1-6 атомами углерода, то R1 не означает гидроксил. Вышеупомянутый арил предпочтительно означает фенил, замещенный гидроксидом, а гетероарил – пиридил, пиридазинил, пиримидил или пиразинил. В первую группу предпочтительных производных замещенного бензамидина вышеприведенной общей формулы I входят соединения, у которых A, m, n, X2, X3 и R1 имеют указанное значение, X1 означает группу формулы III; R2 означает алкил с 1-6 атомами углерода, -CR5R6-арил или алкоксил с 1-6 атомами углерода (если X1 означает группу формулы III); R3 означает водород, алкил с 1-6 атомами углерода или алкоксил с 1-6 атомами углерода (если R2 означает -CR5R6-арил); R4 означает водород; R5 и R6 означают алкил с 1-3 атомами углерода. Во вторую группу предпочтительных производных замещенного бензамидина вышеприведенной общей формулы I входят соединения, у которых X1 означает группу формулы III; R1 означает группу COOR7; R2 означает алкил с 1-6 атомами углерода или -CR5R6-арил; R3 означает водород, алкил с 1-6 атомами углерода или алкоксил с 1-6 атомами углерода (если R2 означает -CR5R6-арил); R4 означает водород; R5, R6 означают алкил с 1-3 атомами углерода; R7 означает алкил с 1-6 атомами углерода, аралкил или циклоалкил с 5-7 атомами углерода. В частности, предпочитаются производные замещенного бензамидина вышеприведенной общей формулы I, выбранные из группы, включающей (метоксикарбонил-имино-{ 4′-[2-(2-пропилфенокси)-этокси] -бифенил-4- ил}метил)-амин, (бензилоксикарбонил-имино-{4′-[2-(2-пропилфенокси)-этокси]-бифенил-4- ил} метил)-амин, [гидрокси-имино-(4-{3-[4-(1-метил-1-фенилэтил)- феноксиметил] -бензилокси}фенил)-метил]-амин, (этоксикарбонил-имино-(4-{3-[4-(1-метил-1-фенилэтил)-феноксиметил] – бензилокси}фенил)-метил]-амин, [3′-пиридилкарбонил-имино-(4-{ 3-[4-(1- метил-1-фенилэтил)-феноксиметил] -бензилокси} фенил)-метил] -амин и (этоксикарбонил-имино-(4-{3-[4-(1-метил-(4′-гидрокси)фенилэтил)- феноксиметил]-бензилокси}фенил)-метил]амин. Новые соединения могут содержать один или несколько хиральных центров. Поэтому изобретение относится также к рацематам, чистым энантиомерам или обогащенным энантиомерами формам, в случае необходимости в виде пар диастереомеров. Изобретение также охватывает возможные таутомеры (с остатком -C(NH)-NHR1). Новые соединения можно получать по известным способам, например нижеследующим. 1. Взаимодействие амидина формулы ![]() где A, R2, R3 и R4 имеют вышеуказанное значение, с соединением формулы L-R’1 (VI) где R’1 имеет то же самое значение, что и R1, за исключением гидроксила, а L означает нуклеофильную удаляемую группу, как например атом галогена (например хлор, бром) или ацилоксил. Реакцию целесообразно осуществляют в среде растворителя, такого как, например, тетрагидрофуран, хлористый метилен, хлороформ или диметилформамид, предпочтительно в присутствии основания, такого как, например, карбонат натрия, карбонат калия или натровый щелок, или в присутствии третичного органического основания, такого как, например, триэтиламин, N-этил-диизопропиламин, N-метилморфолин или пиридин, которые могут одновременно служить в качестве растворителя, при температурах между -30 и +100oC, предпочтительно, однако, при температурах между -10 и +80oC. 2. Взаимодействие соединений формулы ![]() где R2, R3 и R4 имеют вышеуказанное значение, с производным бензамидина формулы ![]() или ![]() где L, m, n, X1, X3 и R1 имеют вышеуказанное значение. 3. Взаимодействие соединений формулы ![]() где X1, R1 и R2 имеют вышеуказанное значение, с соединением формулы ![]() или ![]() где L, m, n, R2, R3, R4, R8, R9 и X2 имеют вышеуказанное значение. Способы 2 и 3 целесообразно осуществляют в среде апротонных растворителей, таких как, например, диметилсульфоксид, диметилформамид, ацетонитрил, или спиртов, таких как, например, метанол, этанол, изопропанол, с добавкой основных веществ, таких как, например, карбонаты металла, гидроксиды металла, гидриды металла, при температурах между около 0 и 140oC или же при температуре кипения реакционной смеси. 4. Для получения соединений формулы I, где R1 означает гидроксил: взаимодействие нитрилов формулы ![]() где A, R2, R3 и R4 имеют вышеуказанное значение, с гидроксиламином. Способ 4 целесообразно осуществляют при нагревании в спирте, таком как, например, метанол, этанол или пропанол, или в среде апротонного растворителя, такого как, например, диметилсульфоксид, диметилформамид или ацетонитрил, в случае необходимости в смеси с водой. Гидроксиламин применяют, например, в виде гидрохлорида или метансульфоната с добавкой пригодного основания, например карбоната натрия. Исходные вещества можно синтезировать по стандартным методам. Новые соединения формулы I отличаются многочисленными возможностями терапевтического применения. Следует подчеркнуть такие возможности применения, в случае которых определенную роль играют антагонистическое действие на рецепторы лейкотриена B4. В частности, необходимо назвать следующие области применения: артрит, астма, хронические обструктивные заболевания легких, например хронический бронхит, псориаз, язвенный колит, индуцированная нестероидными противовоспалительными средствами гастропатия или энтеропатия, болезнь Альцгеймера, шок, повреждения, связанные с реперфузией/ишемии, атеросклероз, рассеянный склероз. Кроме того, новыми соединениями можно лечить болезни или состояния, при которых проход клеток из крови через васкулярный эндотелий в ткань имеет определенное значение (например в случае метастазирования), или болезни и состояния, при которых комбинация лейкотриена B4 или другой молекулы (например 12-оксиэйкозатетраеновой кислоты) с рецептором лейкотриена B4 имеет влияние на клеточную пролиферацию (например хроническая миелоцитическая лейкемия). Новые соединения можно также применять в комбинации с другими активными началами, например такими, которые применяются в случае тех же самых показаний, или, например, с антиаллергическими средствами, секретолитическими средствами, 2-адренергическими средствами, стероидами для ингаляции, противогистаминными средствами и/или антагонистами фактора активации тромбоцитов. Введение может осуществляться местно, орально, трансдермально, через нос, парентерально или путем ингаляции.
Новые соединения отличаются хорошей переносимостью и благоприятной биологической доступностью.
Терапевтическая или профилактическая доза зависит – кроме от степени действия отдельных соединений и веса тела пациента – от состояния и серьезности болезни. В случае орального применения доза составляет от 10 до 500 мг, предпочтительно от 20 до 250 мг. В случае ингаляции пациенту дают около от 0,5 до 25, предпочтительно около от 2 до 20 мг активного начала. Растворы для ингаляции в общем содержат около от 0,5 до 5% активного начала. Новые соединения можно давать в качестве стандартных препаратов, таких как, например, таблетки, драже, капсулы, облатки, порошки, грануляты, растворы, эмульсии, сиропы, аэрозоли для ингаляции, мази, суппозитории. В качестве примеров стандартных препаратов можно привести следующие конкретные примеры.
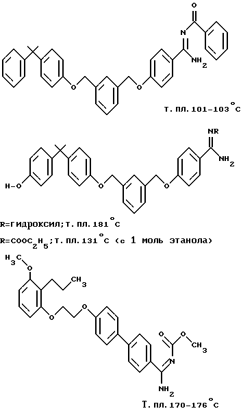
1. ТаблеткиСостав, вес.ч.: Активное начало согласно изобретению – 20 Стеариновая кислота – 6 Виноградный сахар – 474 Ингредиенты стандартным образом перерабатывают в таблетки весом 500 мг. При желании можно повышать или уменьшать содержание активного начала и соответственно повышать или уменьшать количество виноградного сахара. 2. Суппозитории Состав, вес.ч.: Активное начало согласно изобретению – 100 Порошковая лактоза – 45 Какао-масло – 1555 Ингредиенты стандартным образом перерабатывают в суппозитории весом 1,7 г. 3. Порошок для ингаляции Порошковое активное начало (соединение формулы I) с размером частиц около 0,5 – 7 мкм) подают в количестве 5 мг, в случае необходимости с добавкой порошковой лактозы, в твердые желатиновые капсулы. Порошок ингалируют с помощью любого стандартного ингалятора. Производные бензамидина согласно изобретению проявляют лучшую переносимость по сравнению с производными бензамидина по вышеприведенному ближайшему аналогу, например с соединением формулы ![]() о чем свидетельствуют результаты опыта, в котором ежедневно в течение 5 дней крысам орально давали соединение примера 2 данной заявки и вышеуказанное известное соединение в дозах 30, 100 и 300 мг/кг. Каждый день животных исследовали на наличие симптомов и в последний день определяли действие на желудочно-кишечный тракт. При этом было установлено, что при даче известного соединения в дозе 300 мг/кг умерло одно из десяти животных, а восемь животных должны были умерщвляться из-за наличия синдромов одышки. При последующей аутопсии в легких были обнаружены кровотечения. Даже при даче известного соединения в дозе 100 мг/кг умерло два животных. В отличие от известного соединения соединение примера 2 данной заявки переносилось животными без проблем, т.е. состояние подопытных животных ничем не отличалось от тех подопытных животных, которым давали только носитель (без добавки активного вещества). Нижеприведенные примеры поясняют получение новых соединений. Пример 1. (Метоксикарбонил-имино-{4′-[2-(2-пропилфенокси)- этокси]-бифенил-4-ил}-метил)-амин ![]() 3,8 г амидинового соединения вышеуказанной формулы, где R = NH (которое можно получать по стандартным способам, описанным, например, в вышеуказанном ближайшем аналоге), суспендируют в 200 мл хлороформа. К смеси добавляют 1,6 мл триэтиламина и при комнатной температуре прикапывают 0,8 мл сложного метилового эфира хлормуравьиной кислоты. После растворения компонентов перемешивают в течение 3 часов, три раза экстрагируют водой, упаривают, остаток перемешивают с диэтиловым эфиром и отсасывают. Выход соединения вышеприведенной формулы, где R = NCOOCH3: 3,7 г. Т.п.: 170-176oC. Пример 2. (Бензилоксикарбонил-имино-{4′-[2-(2-пропилфенокси)- этокси]-бифенил-4-ил}-метил)-амин ![]() 2,6 г амидинового соединения вышеуказанной формулы, где R = NH, подают в 200 мл хлороформа. К смеси добавляют 1,3 мл триэтиламина и при комнатной температуре прикапывают 1 мл сложного бензилового эфира хлормуравьиной кислоты. После растворения компонентов перемешивают в течение 3 часов, три раза экстрагируют водой, упаривают, остаток перемешивают с диэтиловым эфиром и отсасывают. Продукт перекристаллизуют из этанола. Выход соединения вышеприведенной формулы, где R = NCOOCH2Ph: 2,2 г. Т.п.: 128-131oC. Соответственно полученные соединения с другими остатками R: R = NCOOC2H5; Т.п.: 120-123oC R = NCOO-н-C3H7; Т.п.: 113-114oC R = NCOO-изо-C3H7: Т.п.: 110-117oC R = NCOO-н-C4H9: Т.п.: 135-138oC R = NCOO-изо-C4H9; Т.п.: 103oC R = NCOO-трет-C4H9: Т.п.: 129-132oC R = NCOO-н-C6H13: Т.п.: 117-121oC Пример 3. 3,5 г амидинового соединения вышеуказанной формулы, где R = NH, подают в 150 мл хлороформа. К смеси добавляют 2 мл триэтиламина и при комнатной температуре прикапывают 1 мл ди-трет-бутилдикарбоната. После растворения компонентов перемешивают в течение 3 часов, три раза экстрагируют водой, упаривают, остаток перемешивают с диэтиловым эфиром и отсасывают. Продукт перекристаллизуют из 20 мл этанола. Выход соединения вышеприведенной формулы, где R = NCOO-трет-бутил: 3 г. Т.п.: 129-132oC. Пример 4. а) [Гидрокси-имино-(4-{3-[4-(1-метил-1-фенилэтил)- феноксиметил]-бензилокси}фенил)-метил]-амин ![]() 5,25 г полученного по стандартным приемам нитрила вышеуказанной формулы, где R = CN, подают в 60 мл этанола и кипятят. В течение 30 минут к смеси прикапывают раствор 2,7 г карбоната натрия и 3,4 г гидроксиламина в виде гидрохлорида в 10 мл воды. Затем кипятят с обратным холодильником в течение 5 часов. После охлаждения смесь сгущают, остаток подают в 50 мл воды и три раза экстрагируют этилацетатом, взятым в количестве по 40 мл. Органические фазы сушат над сульфатом магния, фильтруют и сгущают. Кристаллы подают в 20 мл ацетона и подкисляют эфирной соляной кислотой. После недолгого растворения образуется 5,3 г гидрохлорида амидоксима вышеприведенной формулы, где R = C(NOH)-NH2. Т.п.: 180-181oC. б) [Имино-(4-{3-[4-(1-метил-1-фенилэтил)-феноксиметил]- бензилокси}фенил)-метил]-амин ![]() 5,1 г амидоксима вышеуказанной формулы, где R = NOH, растворяют в 120 мл метанола и гидрируют в присутствии 10 г увлажненного метанолом никеля Ренея при атмосферном давлении и комнатной температуре в течение 2 часов. Никель отсасывают и раствор фильтруют над кизельгуром. Фильтрат подкисляют этанольной соляной кислотой, раствор сгущают и перекристаллизуют из этанола. Выход составляет 3,3 г амидинового соединения вышеприведенной формулы, где R = NH. Т.п.: 160oC. в) [Этоксикарбонил-имино-(4-{ 3-[4-(1-метил-1-фенилэтил)- феноксиметил] -бензилокси}фенил)-метил]-амин 2,44 г полученного на стадии б) амидинового соединения вышеуказанной формулы, где R = NH, подают в 150 мл дихлорметана. К смеси добавляют 0,6 г сложного этилового эфира хлормуравьиной кислоты, после чего при комнатной температуре в течение 15 минут прикапывают 52,5 мл 0,2 н. натрового щелока. Получаемый раствор перемешивают при комнатной температуре в течение 2 часов. Потом органическую фазу отделяют, экстрагируют 100 мл воды и сушат над сульфатом натрия. Раствор сгущают и остаток перекристаллизуют из 10 мл этанола. Получают 2,1 г целевого соединения, где R = NCOOC2H5. Т.п.: 99oC. Аналогичным образом можно получать, например, следующие соединения указанной в примере 4 б) формулы: R = NCOO-(-)-ментил; Т.п.: 113oC R = NCO-C6H5; Т.п.: 101-103oC Пример 5. [3′-пиридилкарбонил-имино-(4-{3-[4-(1-метил-1-фенилэтил)- феноксиметил]-бензилокси}фенил)-метил]-амин 5,0 г амидинового соединения вышеуказанной формулы, где R = NH (см. пример 4 б)), подают в 250 мл дихлорметана. В течение 10 минут при комнатной температуре прикапывают раствор 3,9 г хлорида никотиновой кислоты в виде гидрохлорида и 16,3 мл триэтиламина в 50 мл дихлорметана. Спустя 15 часов при комнатной температуре два раза экстрагируют водой, взятой в количестве по 300 мл. Органическую фазу сушат над сульфатом натрия, фильтруют и фильтрат сгущают. Остаток очищают путем хроматографии низкого давления на силикагеле марки 60 с применением в качестве элюента этилацетата. Продукт растворяют в 50 мл ацетона, подкисляют этанольной соляной кислотой и после добавления диэтилового эфира осаждают в виде гидрохлорида. Выход составляет 2,0 г производного никотиноила вышеуказанной формулы, где R = N-CO-3-пиридил, с т.п. 172oC. Аналогично вышеприведенным примерам можно получать еще и следующие соединения: ![]() 1
Формула изобретения
![]() где A представляет собой: 1) группу формулы II -O-CmH2m-X1– где m = 2 – 6; X1 – группа формулы ![]() или 2) группу формулы ![]() где X2 – группа -CnH2n-O-, где n = 1 или 2; X3 – группа -O-CnH2n-; R1 – гидроксил, COR7, COOR7; R2 – алкил с 1 – 6 атомами, -CR5R6-арил или водород (если A – остаток формулы (IV) или если X1 – остаток формулы (III)), а также алкоксил с 1 – 6 атомами углерода (если A – группа формулы (II), m имеет указанное значение и X1 – группа формулы (III)); R3 – водород, алкил с 1 – 6 атомами углерода, алкоксил с 1 – 6 атомами углерода (при условии, что R2 – -CR5R6-арил или если X1 – группа формулы (III)); R4 – водород или алкил с 1 – 6 атомами углерода; R5 и R6 – алкил с 1 – 4 атомами углерода; R7 – алкил с 1 – 6 атомами углерода, циклоалкил с 5 – 7 атомами углерода, арил, гетероарил с атомом азота в качестве гетероатома, аралкил; при условии, что если A – группа -O-CmH2m-X1-, где m = 2, 3 или 4, X1 – группа формулы ![]() R2 – водород, алкил с 1 – 6 атомами углерода; R3 – водород, алкил с 1 – 6 атомами углерода, алкоксил с 1 – 6 атомами углерода; R4 – водород, алкил с 1 – 6 атомами углерода, то R1 не означает гидроксил. 2. Производные замещенного бензамидина по п.1 общей формулы (I), где арил означает фенил или фенил, замещенный гидроксилом, гетероарил означает пиридил, пиридазинил, пиримидил или пиразинил. 3. Производные замещенного бензамидина по п.1 или 2 общей формулы (I), где A, m, n, X2, X3 и R1 имеют указанные значения, X1 – группа формулы (III); R2 – алкил с 1 – 6 атомами углерода, -CR5R6-арил или алкоксил с 1 – 6 атомами углерода (если X1 – группа формулы (III)); R3 – водород, алкил с 1 – 6 атомами углерода или алкоксил с 1 – 6 атомами углерода (если R2 – -CR5R6-арил); R4 – водород; R5 и R6 – алкил с 1 – 3 атомами углерода. 4. Производные замещенного бензамидина по п.1 или 2 общей формулы (I), где X1 – группа формулы (III); R1 – группа COOR7; R2 – алкил с 1 – 6 атомами углерода или -CR5R6-арил; R3 – водород, алкил с 1 – 6 атомами углерода или алкоксил с 1 – 6 атомами углерода (если R2 – -CR5R6-арил); R4 – водород; R5 и R6 – алкил с 1 – 3 атомами углерода; R7 – алкил с 1 – 6 атомами углерода, аралкил или циклоалкил с 5 – 7 атомами углерода. 5. Производное замещенного бензамидина общей формулы (I) по п.1, представляющее собой (метоксикарбонил-имино-{4′-[2-(2-пропилфенокси)-этокси] -бифенил-4-ил}метил)-амин. 6. Производное замещенного бензамидина общей формулы (I) по п.1, представляющее собой (бензилоксикарбонил-имино-{4′-[2-(2-пропилфенокси)-этокси]-бифенил-4-ил}метил)-амин. 7. Производное замещенного бензамидина общей формулы (I) по п.1, представляющее собой [гидрокси-имино-(4-{3-[4-(1-метил-1-фенилэтил)-феноксиметил]-бензилокси}фенил)-метил]-амин. 8. Производное замещенного бензамидина общей формулы (I) по п.1, представляющее собой (этоксикарбонил-имино-(4-{3-[4-(1-метил-1-фенилэтил)-феноксиметил]-бензилокси}фенил)-метил]-амин. 9. Производное замещенного бензамидина общей формулы (I) по п.1, представляющее собой [3′-пиридилкарбонил-имино-(4-{3-[4-(1-метил-1-фенилэтил)-феноксиметил]-бензилокси}фенил)-метил]-амин. 10. Производное замещенного бензамидина общей формулы (I) по п.1, представляющее собой (этоксикарбонил-имино-(4-{ 3-[4-(1-метил-(4′-гидрокси)фенилэтил)-феноксиметил]-бензилокси}фенил)-метил)амин. MM4A – Досрочное прекращение действия патента СССР или патента Российской Федерации на изобретение из-за неуплаты в установленный срок пошлины за поддержание патента в силе
Дата прекращения действия патента: 04.06.2009
Извещение опубликовано: 20.07.2010 БИ: 20/2010
|
||||||||||||||||||||||||||













2-адренергическими средствами, стероидами для ингаляции, противогистаминными средствами и/или антагонистами фактора активации тромбоцитов. Введение может осуществляться местно, орально, трансдермально, через нос, парентерально или путем ингаляции.
Новые соединения отличаются хорошей переносимостью и благоприятной биологической доступностью.
Терапевтическая или профилактическая доза зависит – кроме от степени действия отдельных соединений и веса тела пациента – от состояния и серьезности болезни. В случае орального применения доза составляет от 10 до 500 мг, предпочтительно от 20 до 250 мг. В случае ингаляции пациенту дают около от 0,5 до 25, предпочтительно около от 2 до 20 мг активного начала. Растворы для ингаляции в общем содержат около от 0,5 до 5% активного начала. Новые соединения можно давать в качестве стандартных препаратов, таких как, например, таблетки, драже, капсулы, облатки, порошки, грануляты, растворы, эмульсии, сиропы, аэрозоли для ингаляции, мази, суппозитории. В качестве примеров стандартных препаратов можно привести следующие конкретные примеры.
1. Таблетки





1



