Патент на изобретение №2312100
|
||||||||||||||||||||||||||||||
(54) ИНСЕКТОАКАРИЦИДНАЯ СУБСТАНЦИЯ ДЛЯ БОРЬБЫ С ЭКТОПАРАЗИТАМИ СОБАК И КОШЕК
(57) Реферат:
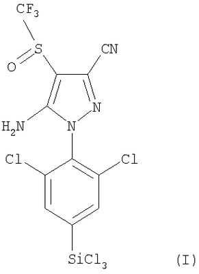
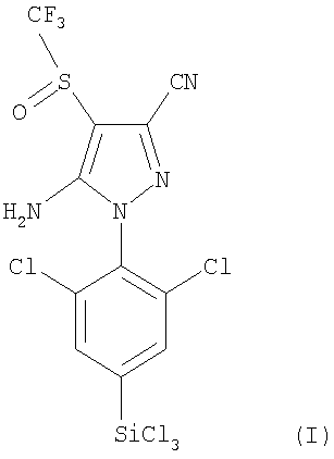
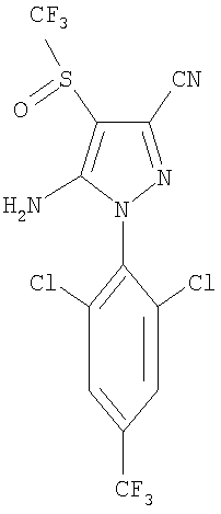
Описывается инсектоакарицидная субстанция для борьбы с эктопаразитами собак и кошек, представляющая собой производное фенилпиразола формулы (I), у которого в структуре пиразола в третьем, четвертом и пятом положениях присоединены соответственно цианогруппа, трифторметилсульфенильная группа и аминогруппа, а к фенильному циклу во втором и шестом положениях присоединено по атому хлора, а четвертом положении – группа трихлорсилила. Субстанция защищает собак от заражения блохами на протяжении 65 суток с момента обработки и кошек 45 суток. От заражения клещами длительность защитного действия субстанции – не менее 35 суток. Токсичность субстанции при поступлении в желудок собак в остром опыте характеризуется величиной ЛД50, большей 1300 мг/кг.
Данное изобретение относится к области ветеринарии, в частности к действующим веществам (субстанциям) для борьбы с эктопаразитами собак и кошек. Предлагаемая субстанция, представляющая собой производное фенилпиразола и обладающая высокой инсектицидной и акарицидной активностью при умеренной токсичности для теплокровных животных, предназначена для использования в качестве действующего вещества лекарственных средств, направленных на уничтожение блох и клещей у собак и блох у кошек, а также на профилактику заражения мелких домашних животных этими паразитами. Известны субстанции лекарственных средств, предназначенных для борьбы с эктопаразитами кошек и собак, представляющие собой производное имидаклоприда; синтетический пиретроид – перметрин; фосфорорганическое вещество фентион (И.Ф. Кленова, И.Н. Илюхина, Л.А. Написанова. Справочник Зарубежные ветеринарные препараты в России, 1999-2000, М.: Компания Эверс, 1999, стр.121; 128; 131-132), а также субстанции этого же назначения, представляющие собой неиногенное ПАВ (Пат. России №2034466); перметрин в комбинации с сульфоэтоксилатами высших жирных кислот (Пат. России №2030869); этоксилированные алкилфенолы (Пат. России №2132613). Эти субстанции обладают только инсектицидным действием и не обладают акарицидными свойствами. Известны эффективные акарицидные субстанции. К ним, в частности, относятся фосфорорганическое вещество диазинон (см. Справочник Видаль, «Лекарственные средства ветеринарного назначения в России», 2003/2004, М.: Астрафарм Сервис, стр.Б-170); амитраз (Пат. ЕПВ №050535); амитраз в сочетании с диметилсульфоксидом (Пат. России №2108780); амитраз в сочетании с преднизолоном (см. указанный выше Справочник Видаль, стр.Б-66). Естественно, что более практическое значение имеют субстанции, обладающие комбинированным инсектоакарицидным действием. К числу таких субстанций можно отнести высокотоксичный для теплокровных животных 2-изопропоксифенил-N-метилкарбамат (см. указанный выше справочник И.Ф.Кленова и др., стр.122-124). Лучшими являются (как по эффективности, так и по безопасности применения) инсектоакарициды природного происхождения: аверсектин и селамектин (см. указанный выше Справочник Видаль, стр.Б-27 и Б-245). Существенным недостатком двух последних инсектоакарицидов является возможность побочных действий и быстрая потеря эффективности после нанесения на шерсть животных. В настоящее время самой эффективной инсектоакарицидной субстанцией является одно из производных фенилпиразола, получившее международное наименование фипронил и принимаемое нами в качестве прототипа предлагаемой нами инсектоакарицидной субстанции. Фипронил наряду с несколькими десятками производных фенилпиразола защищен патентами России №2026291; 2035452; 2051909; 2080789; 2087470; 2106183; 2160535. Следует заметить, что все остальные производные фенилпиразола (кроме фипронила), защищенные упомянутыми патентами, приведены в них чисто умозрительно, без серьезных обоснований. Фипронил представляет собой производное фенилпиразола, у которого в структуре пиразола в третьем положении присоединена цианогруппа, в четвертом – трифторметилсульфенильная группа, в пятом – аминогруппа, а в фенильной структуре во втором и шестом положениях присоединены атомы хлора и в четвертом положении – трифторметильная группа. Химическое наименование фипронила в рациональной системе: 5- амино-1-(2,6-дихлор-4-трифторметилфенил)-4-трифторметилсульфенил-3-цианопиразол. Структурная формула Фипронил в качестве инсектоакарицидной субстанции в составе лекарственных средств для борьбы с эктопаразитами собак и кошек обеспечивает 100%-ную защиту собак от блох на протяжении 2-3 месяцев; от клещей – на протяжении 1 месяца и кошек – от блох на протяжении 40 дней после обработки (см. прилагаемую копию проспекта фирмы Мериал). Однако у фипронила имеется серьезный недостаток, заключающийся в том, что он обладает очень высокой токсичностью при попадании в желудок теплокровных животных. В частности, величина ЛД50 при поступлении фипронила в желудок крыс не превышает 100 мг/кг, для собак эта величина составляет 640 мг/кг. Это создает опасность для лиц, работающих с фипронилом, и может оказаться опасным и для животных, обрабатываемых лекарственными средствами на основе фипронила, например, при случайном попадании в желудок или при вылизывании шерсти после обработки этими средствами. Данное изобретение имеет своей целью устранить этот недостаток путем использования для борьбы с эктопаразитами собак и кошек инсектоакарицидной субстанции, представляющей собой производное фенилпиразола, в котором (как и в фипрониле), в структуре пиразола в третьем, четвертом и пятом положениях присоединены соответсвенно цианогруппа, трифторметилсульфенильная группа и аминогруппа, а фенильная структура (как и в фипрониле) содержит во 2 и 6 положениях присоединенные атомы хлора, но в четвертом положении (в отличие от фипронила) вместо трифторметильной группы присоединена трихлорсилильная группа. Химическое наименование предлагаемой инсектоакарицидной субстанции (в рациональной системе): 5-амино-(2,6-дихлор-4-трихлорсилилфенил)трифторметилсульфенил-3 -цианопиразол. Ниже приведена структурная формула предлагаемой инсектоакарицидной субстанции Техническим результатом изложенного предложения является существенное снижение токсичности инсектоакарицидной субстанции по отношению к теплокровным животным по сравнению с токсичностью субстанции-прототипа (фипронила). В частности, нами установлено, что токсичность предлагаемой субстанции в остром опыте при поступлении в желудок крыс характеризуется величиной ЛД50, превышающей 800 мг/кг, а для собак – превышающей 1300 мг/кг. Для субстанции-прототипа найденные значения ЛД50 для крыс и собак составили соответственно 100 и 580 мг/кг (по литературным данным эти величины 100 и 640 мг/кг). Описание токсикологического эксперимента приведено в примере 1. Снижение токсичности инсектоакарицидной субстанции не приводит к ухудшению энтомологической активности по сравнению с энтомологической активностью субстанции-прототипа. В частности, в результате энтомологических испытаний было установлено, что после обработки собак растворами, содержащими одинаковые количества предлагаемой субстанции и субстанции-прототипа, защита собак от заражения блохами сохраняется 65 суток с момента обработки. Для кошек продолжительность защитного действия от блох составляет 45 суток. Срок защитного действия от клещей для собак составляет 35 суток с момента обработки растворами, содержащими равные количества предлагаемой инсектоакарицидной субстанции или субстанции-прототипа. Описание энтомологических испытаний представлено в примере 2. Предлагаемая инсектоакарицидная субстанция (5-амино-(2,6-дихлор-4-трихлорсилилфенил)трифторметилсульфенил-3-цианопиразола) получена в лабораторных условиях путем целенаправленного четырехстадийного синтеза с использованием реагентов, производимых в промышленных масштабах. На первой стадии синтеза в растворе гидроксида калия в абсолютированном этаноле была осуществлена реакция между ацетилциангидрином, этилцианоацетатом и параформом. Образующуюся калиевую соль этил-2,3-дицианопропионата нейтрализовали хлористоводородной кислотой, получая первый полупродукт – этил-2,3-дицианопропионат, который выделяли из реакционной смеси и передавали на вторую стадию в виде раствора в смеси воды и уксусной кислоты. На второй стадии азотистокислый натрий добавляли к концентрированной серной кислоте, получая суспензию нитрозилсерной кислоты. В эту суспензию вводили раствор 2,6-дихлор-4-трихлорсилиланилина в ледяной уксусной кислоте. К полученной реакционной смеси добавляли с первой стадии раствор этил-2,3-дицианопропионата в смеси вода – уксусная кислота. В результате реакции получали второй полупродукт – 5-амино-3-циано-1-(2,6-дихлор-4-трихлорсилилфенил)пиразола. Этот полупродукт выделяли из реакционной смеси, растворяли в дихлорметане и передавали на третью стадию. На третьей стадии к раствору второго полупродукта в дихлорметане добавляли раствор трифторметилсульфенилхлорида также в дихлорметане. В результате реакции, осуществляемой на этой стадии, получали третий полупродукт – 5-амино-3-циано-1-(2,6-дихлор-4-трихлорсилилфенил)трифторметилтиопиразола. Этот полупродукт передавали на четвертую (последнюю) стадию, где его обрабатывали хлорпербензойной кислотой, получая конечный продукт: 5-амино-(2,6-дихлор-4-трихлорсилилфенил)трифторметилсульфенил-3-цианопиразола. Этот продукт выделяли из реакционной смеси, промывали дихлорметаном и высушивали при 40°С. Полученные образцы предлагаемой инсектоакарицидной субстанции использовали для их химической идентификации, определения основных физико-химических констант, а также для токсикологических исследований и энтомологических испытаний. Структура предлагаемой инсектоакарицидной субстанции была определена стратегией целенаправленного синтеза, однако для ее однозначной идентификации были использованы методы рентгеноструктурного анализа и электронного парамагнитного резонанса (ЭПР). Однозначно была идентифицирована приведенная ниже структурная формула По данным, полученным методом ВЭЖХ, субстанция, полученная приведенным выше способом, содержит около 1,5% сопутствующих примесей. Ниже приведены основные физико-химические константы предлагаемой инсектоакарицидной субстанции: Внешний вид: кристаллический порошок
Ниже в примерах дано описание токсикологических исследований и энтомологических испытаний предлагаемой субстанции. Пример 1. Токсикологические исследования. Токсикологические исследования предлагаемой инсектоакарицидной субстанции и параллельно инсектоакарицидной субстанции-прототипа (фипронила) были выполнены с использованием субстанции, полученной описанным выше способом, и коммерческого промышленного образца фипронила (изготовитель Рон Пуленк). Исследования токсичности в остром опыте были выполнены стандартным методом вначале на крысах, затем на собаках. Острая токсичность при введении в желудок крыс. Для эксперимента были сформированы три группы клинически здоровых крыс, находившихся в условиях вивария. Первая и вторая группы включали по 24 самца и 24 самки, третья (контрольная) – 6 самцов и 6 самок. В первой и второй группах животные были разбиты на подгруппы, крысы каждой из которых получали разное количество исследуемого материала. Первая группа получала предлагаемую инсектоакарицидную субстанцию, вторая – фипронил. Предлагаемую субстанцию и фипронил вводили животным в виде суспензии в подсолнечном масле. Животные контрольной группы получали чистое подсолнечное масло. Дозы субстанции в 1 и 2 группах варьировали. В результате эксперимента было установлено, что для предлагаемой инсектоакарицидной субстанции величина ЛД50 превышает 800 мг/кг, величина острой токсичности для фипронила характеризовалась значением ЛД50=100 мг/кг, что полностью совпало с литературными данными. Острая токсичность при введении в желудок собак. В эксперимент были взяты 38 беспородных собак обоего пола, разбитых на две группы, каждая из которых делилась на 4 подгруппы. Субстанции вводили в желудок животных в виде капсул с кормом. Дозы фипронила составляли 80; 100; 320 и 760 мг/кг; дозы субстанции предлагаемого состава 200; 400; 1000 и 1600 мг/кг. В результате эксперимента установлено, что для собак, получавших фипронил, величина ЛД50 составляет 580 мг/кг, что близко к величине, опубликованной в литературе (640 мг/кг). Для инсектоакарицидной субстанции предложенного состава величина ЛД50 составила 1300 мг/кг. Пример 2. Энтомологические испытания. Сравнительные энтомологические испытания предлагаемой инсектоакарицидной субстанции и субстанции-прототипа (фипронила). Для энтомологических испытаний были использованы промышленный коммерческий образец фипронила и образец инсектоакарицидной субстанции предложенного состава, полученный вышеописанным методом. Перед проведением испытаний были сформированы две группы беспородных собак в возрасте от 4 до 8 лет с массой тела от 8 до 14 кг обоего пола. В состав каждой группы входило по 20 голов. Для испытаний на кошках также были подобраны две группы животных обоего пола по 15 голов в каждой. Масса тела животных колебалась от 4 до 12 кг. Собаки и кошки были преимущественно длинношерстными. Одна группа собак была обработана раствором, содержащим фипронил. Вторая группа собак – раствором, содержащим субстанцию предлагаемого состава. Аналогичным образом были обработаны обе группы кошек. Растворы для обработки были приготовлены путем растворения предлагаемой субстанции в одном случае и фипронила – в другом. В качестве растворителя использовали изопропанол. Концентрация каждой из субстанций составляла 0,25 г на 100 см3 растворителя. Помимо субстанций в оба раствора вводили пленкообразователь Коллидон VA-64 (производство фирмы BASF) в количестве 2 г на 100 см3 растворителя. Собак и кошек опрыскивали приготовленными растворами из флаконов, снабженных клапанами-распылителями. Доза раствора составляла для собак 6 см3/кг массы тела и для кошек 4 см3/кг массы тела. Обработанные животные на протяжении всего летнего сезона находились в местности с очагами выплода блох и клещей. В ходе испытаний фиксировали время с момента обработки до обнаружения паразитов на животных. В результате испытаний установлено, что обработка раствором, содержащим фипронил, и раствором, содержащим субстанцию предлагаемого состава, обеспечивает защиту от заражения блохами собак на протяжении 65 суток с момента обработки и кошек – на протяжении 45 суток. От заражения собак клещами обе субстанции защищают также одинаково – 35 суток с момента обработки. Результаты экспериментов, описанных в примерах 1 и 2, наглядно свидетельствуют о том, что предлагаемая инсектоакарицидная субстанция характеризуется существенно меньшей токсичностью для теплокровных животных, чем субстанция-прототип, и при этом не уступает последней в энтомологической эффективности.
Формула изобретения
Инсектоакарицидная субстанция для борьбы с эктопаразитами собак и кошек, представляющая собой производное фенилпиразола, у которого к структуре пиразола присоединены в третьем, четвертом и пятом положениях соответственно цианогруппа, трифторметилсульфенильная группа и аминогруппа, а к фенильному циклу присоединены во втором и шестом положениях по атому хлора, отличающаяся тем, что в четвертом положении к фенильному циклу присоединена группа трихлорсилила при следующей структурной формуле:
MM4A – Досрочное прекращение действия патента СССР или патента Российской Федерации на изобретение из-за неуплаты в установленный срок пошлины за поддержание патента в силе
Дата прекращения действия патента: 29.08.2008
Извещение опубликовано: 10.10.2009 БИ: 28/2009
NF4A – Восстановление действия патента СССР или патента Российской Федерации на изобретение
Дата, с которой действие патента восстановлено: 20.10.2009
Извещение опубликовано: 20.10.2009 БИ: 29/2009
|
||||||||||||||||||||||||||||||




=279 нм). Раствор