Патент на изобретение №2159227
|
||||||||||||||||||||||||||
(54) НИТРОБЕНЗАМИДЫ, ФАРМАЦЕВТИЧЕСКАЯ КОМПОЗИЦИЯ, СПОСОБ ЕЕ ПОЛУЧЕНИЯ И СПОСОБ ЛЕЧЕНИЯ И/ИЛИ ПРОФИЛАКТИКИ АРИТМИЙ И ИШЕМИЧЕСКИХ НАРУШЕНИЙ РИТМА
(57) Реферат: Описываются новые нитробензамиды, представленные формулой I, их соль или сольват, где Ar означает арил, возможно замещенный С1-6 алкилом, ОН, С1-6 алкоксилом; А означает С1-4 н-алкилен, возможно замещенный 1 или 2 С1-6 алкилом; R – водород, С1-6 алкил, один из R2, R3 и R4 означает нитро, а остальные – атом водорода, Х означает -СО-NH-, Z означает -(СН2)3-. Соединеня формулы I проявляют антиаритмическую активность и обладают улучшенными фармакологическими характеристиками в сравнении с известными антиаритмическими средствами. Описывается фармацевтическая композиция на основе соединений формулы I и способ ее получения, а также способ лечения и/или профилактики аритмий и ишемических нарушений ритма, включающий введение эффективного количества соединения формулы I. 4 с. и 8 з.п.ф-лы, 2 ил.
Изобретение относится к некоторым новым соединениям, фармацевтическим композициям, содержащим такие соединения, к способу получения таких соединений и способу использования таких соединений в качестве терапевтических средств. Антиаритмические средства классифицированы в соответствии с их электрофизиологическими действиями на клетки сердца (Vaugham-Williams, 1970, 1989): препараты I группы блокируют быстрые натриевые каналы, препараты II группы являются блокаторами бета-адренэргических рецепторов, препараты III группы блокируют калиевые каналы, препараты IV группы блокируют кальциевые каналы и препараты V группы специфично подавляют синусовый узел. Большинство вентрикулярных и артериальных аритмий связаны с циркуляцией возбуждения. Удлинение рефрактерности миокарда в пределах или в окружении такой циркуляции возбуждения является потенциальным механизмом для лечения сердечных аритмий. Так как препараты III группы антиаритмических средств блокируют калиевые каналы в сердце, они пролонгируют процесс реполяризации и увеличивают рефрактерность. Следовательно, препараты класса III представляют наиболее специфичную группу для лечения аритмий циркуляции возбуждения. Однако из-за их механизма действия, т.е зависящего от концентрации увеличения продолжительности потенциала сердечного сокращения, более высокие дозы антиаритмических средств III группы могут вызывать (провоцировать) аритмии. Такие аритмии, называемые мерцательными, представляют собой главный побочный эффект для всех соединений чисто III группы, разрабатываемых в настоящее время. В Европейской патентной заявке N 0245997 раскрыты некоторые аминоэтилсульфоанилиды, которые, как установлено, имеют свойства антиаритмических средств чисто III группы. Было открыто, что некоторые новые замещенные 4-нитробензамидиновые производные индуцируют самоограничивающееся увеличение продолжительности потенциала сердечного сокращения, связанное с двойной блокадой калиевых и кальциевых каналов сердца. В соответствии с этим считают, что они применимы в качестве антиаритмических средств, обладающих улучшенными фармакологическими характеристиками по сравнению с антиаритмическими средствами чисто III группы, в частности, считают, что они проявляют низкий проаритмический потенциал и легко восстанавливают сократительную функцию ишемического миокарда. Считают, что они особенно полезны при лечении предсердных и желудочковых сердечных аритмий. Соответственно изобретение относится к новым нитробензамидам формулы (I): ![]() или его соль, или его сольват, где Ar представляет замещенный или незамещенный арил, причем при необходимости заместители выбираются из C1-6алкила, гидроксила, C1-6алкоксила; A представляет C1-4 н-алкиленовую группу, в которой каждый атом углерода является при необходимости замещенным одним или двумя C1-6 алкильными группами; R1 представляет водород, C1-6-алкил, один или два из группы R2, R3 и R4 представляет собой нитрогруппу, а остальные члены группы R2, R3 и R4 представляют атомы водорода; X представляет -CO-NH- составляющую; Z представляет собой -CH2-CH2-CH2 -группу. Подходящими заместителями для Ar являются 1, или предпочтительно 2 алкоксильные группы, особенно метоксильные группы, причем заместители, предпочтительно, присоединены в 3- и 4-положениях относительно присоединения Ar к переменному A. Предпочтительно Ar представляет собой 3,4-диметоксифенил. А может представлять собой незамещенную C1-4 н-алкиленовую группу. Предпочтительно A представляет собой -CH2-CH2. Когда R1 является алкилом, он предпочтительно является C2-6 алкилом, таким как C2 алкил, C3 алкил, C4 алкил, C5 алкил или C6 алкил. В одном аспекте R1 является алкиленом или циклоалкилом. Предпочтительно R1 является водородом. Соответственно любой один из R2, R3 и R4 представляет собой нитрогруппу, а оставшиеся члены группы из R2, R3 и R4 представляют собой атомы водорода. Предпочтительно R2 представляет собой 4-нитрогруппу. Предпочтительно R3 и R4 каждый представляет собой атом водорода. Z может быть незамещенной C2-4 н-алкиленовой группой. Соответственно Z может быть CH2CH2CH2. Особенно предпочтительно соединение с формулой N-[3-[[2-(3,4-диметоксифенил)этил] амино] пропил]-4-нитробензамид или его соль, такая как гидрохлоридная соль, или его сольват. Как он использован здесь, если не указано иначе, термин “алкил” включает алкильные группы с прямой или разветвленной цепью, имеющей от 1 до 12, предпочтительно от 1 до 6 атомов углерода, и будет включать такие алкильные группы, которые образуют часть других групп, таких как алкоксильные или арилалкильные группы. Как он использован здесь, термин “алкилен” включает алкиленовые группы с прямой или разветвленной цепью, имеющей от 2 до 12, предпочтительно от 2 до 6 атомов углерода. Как он использован здесь, термин “циклоалкил” включает C3-8 циклоалкильные группы, предпочтительно из C5-6 атомов углерода. Как он использован здесь, если не указано иначе, термин “арил” включает фенил и нафтил, предпочтительно фенил. Как он использован здесь, если не указано иначе, “галоген” включает фтор, хлор или бром. Как он использован здесь, термин “сердечная аритмия” относится к любому отклонению от нормального ритма сокращений сердца, включая без ограничения синусовую аритмию, преждевременные сокращения сердца, блокаду сердца, фибрилляцию, трепетание, тахикардию, пароксизмальную тахикардию и преждевременные сокращения желудочков. Соединения по формуле (I) могут иметь хиральный атом углерода (например, когда Z представляет собой алкиленовую группу с разветвленной цепью) и поэтому может существовать в более, чем одной стереоизомерной форме. Это изобретение распространяется на любые стереоизомерные формы, включая энантиомеры соединений по формуле (I) и их смеси, включая рацематы. Эти стереоизомерные формы могут быть разделены одна от другой или разложены общепринятыми методами, или данный изомер может быть получен с помощью обычных методов стереоспецифического или асимметричного синтеза. Фармацевтически приемлемые соли соединений по формуле (I) включают соли с присоединением кислоты с фармацевтически приемлемыми минеральными кислотами, такими как хлористоводородная кислота, бромистоводородная кислота, борная кислота, фосфорная кислота, серная кислота, и фармацевтически приемлемыми органическими кислотами, такими как уксусная, винная, малеиновая, лимонная, янтарная, бензойная, аскорбиновая, метансульфоновая, -кетоглютаровая, -глицерофосфорная и глюкозо-1-фосфорная кислоты. Предпочтительно солью с присоединением кислоты является гидрохлорид.
Фармацевтически приемлемые соли включают фармацевтически приемлемые N-оксиды, и изобретение распространяется и на них.
Соединения по формуле (I) и их соли могут также образовывать сольваты, особенно фармацевтически приемлемые сольваты, такие как гидраты, и изобретение распространяется на эти сольваты и особенно на фармацевтически приемлемые сольваты.
Соли и/или сольваты соединений по формуле (I), которые не являются фармацевтически приемлемыми, могут использоваться в качестве промежуточных соединений при получении фармацевтически приемлемых солей соединений по формуле (I) или самих соединений по формуле (1), и как таковые составляют один из аспектов данного изобретения.
Соединение по формуле (I), или его соль, или его сольват могут быть получены путем взаимодействия соединения формулы (II):![]() где A, Ar, R1 и Z определены в формуле (I), с соединением формулы (III): ![]() где R2, R3 и R4 определены в формуле (I), и L1 представляет собой удаляемую группу; и согласно этому, если необходимо, осуществлением одной или более следующих необязательных стадий: (I) превращения соединения формулы (I) в следующее соединение формулы (I); (II) получения соли соединения формулы (I) и/или ее фармацевтически приемлемого сольвата. Соединения формулы (III) являются известными, коммерчески доступными соединениями. Реакция между соединениями формул (II) и (III) может осуществляться в любом подходящем инертном растворителе, таком как дихлорметан, в присутствии основания, обычно органического основания, например триэтиламина, при температуре, которая обеспечивает соответствующую скорость образования необходимого продукта, обычно от низкой до комнатной температуры, предпочтительно при комнатной. Предпочтительной удаляемой группой L1 является атом галогена, такой как атом хлора. Соединения формулы (II) являются известными соединениями и могут быть получены по методу, описанному в Offenlegun-gsschrift 2345423. Соединения формулы (II) можно также получить путем восстановления соединения формулы (IV): ![]() где A, Ar, и R1 определены для соединения формулы (I), a Z1 представляет собой C1-3 н-алкиленовую группу, в которой каждый атом углерода при необходимости замещен C1-6 алкильной группой. Восстановление соединений формулы (IV) может осуществляться с использованием восстанавливающих веществ и в условиях, например путем использования металлогидридного восстанавливающего вещества, такого как литийалюминийгидрид, в апротонном растворителе, таком как тетрагидрофуран, или диэтиловый эфир, или их смеси, при температуре, которая обеспечивает соответствующую скорость образования необходимого продукта, обычно при повышенной температуре и более удобно при температуре кипения растворителя. Соединения формулы (IV) могут быть получены путем взаимодействия соединения формулы (V): ![]() где A, Ar и R1 определены для соединения формулы (I), с соединением формулы (VI): H2N-CO-Z1-L2 (VI) Реакция между соединениями формул (V) и (VI) проводится в апротонном растворителе, таком как ацетонитрил, при температуре, которая обеспечивает соответствующую скорость образования необходимого продукта обычно при повышенной температуре и удобнее при температуре кипения растворителя; предпочтительно реакция проводится в присутствии основания, обычно органического основания, такого как триалкиламин, например триэтиламин, или комплекса, такого как фторид калия на целите (Takashi Ando, Junko Yamawaki, Chemistry Letters, 1979, p. 45). Предпочтительной удаляемой группой L2 является атом галогена, такой как атом хлора. Соединениями формулы (V) являются известные, коммерчески доступные соединения. Соединениями формулы (VI) являются известные соединения или их получают, используя методы, аналогичные тем, которые применяются для получения известных коммерчески доступных соединений. В дополнительном аспекте это изобретение представляет способ получения соединения формулы (I), способ, который включает деметилирование соединения формулы (VII): ![]() где A, Ar, R2, R3, R4, X и Z имеют те же определения, что и в формуле (I), и затем, если необходимо, превращение любой -NH-группы, образованной таким образом, в группу NR5, где R5 представляет собой C2-6 алкил, алкенильную или циклоалкильную группу. Деметилирование соединений формулы (VII) можно осуществлять путем использования общепринятого способа деметилирования, например путем использования методов, описанных в J. Org. Chem., 1975, 40, 1850, ibid, 1984, 49, 2081, или тех методов, которые описаны в Synthesis 1991, 318. Превращение любой -NH-группы в группу NR5, где R5 представляет собой C2-6 алкил, алкенильную или циклоалкильную группу, может быть осуществлено с помощью обычных методов алкилирования, алкенилирования или циклоалкилирования путем использования соответствующего алкилгалогенида, алкенилгалогенида или циклоалкилгалогенида, более подходит йодид, в присутствии основания, такого как бикарбонат калия, в апротонном растворителе, таком как тетрагидрофуран. В дополнительном аспекте изобретение представляет соединение формулы (VII), или его соль, или его сольват в качестве промежуточного соединения. Соединение формулы (I), или его соль, или его сольват можно также получить путем взаимодействия соединения формулы (VIII): ![]() где R2, К3, R4, X и Z имеют те же определения, что и в формуле (1), и LS является удаляемой группой, такой как галоген, с соединением формулы (IX): ![]() где A, Ar, R1 имеют те же определения, что и в формуле (I); и затем, если необходимо, путем проведения одной или более следующих необязательных стадий: (I) превращения соединения формулы (I) в следующее соединение формулы (I); (II) получения соли соединения формулы (I) и/или его фармацевтически приемлемого сольвата. Реакция между соединениями формул (VIII) и (IX) может быть проведена в любом инертном растворителе, таком как дихлорметан, в присутствии основания, обычно органического основания, например триэтиламина, при температуре, которая обеспечивает соответствующую скорость образования необходимого продукта, обычно при повышенной температуре, такой как температура кипения растворителя. Более подходящим значением для L3 является атом хлора. Соединение формулы (VIII) может быть получено путем взаимодействия соединения вышеприведенной формулы (III) и соединения формулы (X): H2N-Z-L3 (X) где Z имеет то же определение, что и в формуле (I), и L3 имеет то же определение, что и в формуле (VII). Реакция между соединениями формул (III) и (X) может быть проведена в соответствующих условиях ацилирования, например в инертном растворителе, таком как дихлорметан, в присутствии основания, обычно органического основания, например триэтиламина, при температуре, которая обеспечивает соответствующую скорость образования необходимого продукта, обычно от низкой до комнатной температуры, предпочтительно при комнатной температуре. Соединения формулы (X) являются известными, коммерчески доступными соединениями. Соответствующее превращение одного соединения формулы (I) в следующее соединение формулы (I) включает промежуточное превращение переменного R1 в соединения формулы (I), например превращение соединений, в которых R1 является H, в соединения формулы (I), где R1 представляет собой алкил, более приемлемо C2-6 алкил, алкенил или циклоалкил, или вышеупомянутое превращение соединений, где R1 является метилом, в соединения, где R1 является водородом, C2-6 алкилом, алкенилом или циклоалкилом. Будет ясно, что при любых вышеупомянутых реакциях и превращениях любая реактивная группа в субстратной молекуле может быть защищена в соответствии с общепринятой практикой в химии. Методы создания и удаления таких защищающих групп представляют собой общепринятые методы, которые подходят для молекулы, которую нужно защитить. Как упомянуто выше, показано, что соединения этого изобретения обладают полезными терапевтическими свойствами. Это изобретение, соответственно, представляет соединение по формуле (I), или его фармацевтически приемлемую соль, и/или его фармацевтически приемлемый сольват в качестве активного терапевтического средства. Более конкретно, данное изобретение представляет соединение формулы (I), или его фармацевтически приемлемую соль, и/или его фармацевтически приемлемый сольват, используемое для лечения и/или профилактики аритмии, особенно сердечной аритмии, такой как вентрикулярная аритмия, а также ишемических нарушений ритма. Соединения формулы (I), или его фармацевтически приемлемая соль, и/или его фармацевтически приемлемый сольват можно вводить в чистом виде или, предпочтительно, в виде фармацевтической композиции, включающей также фармацевтически приемлемый носитель. Соответственно, данное изобретение представляет также фармацевтическую композицию, содержащую соединение общей формулы (I), или его фармацевтически приемлемую соль, или его фармацевтически приемлемый сольват, и фармацевтически приемлемый носитель. Соединение формулы (I), или его фармацевтически приемлемая соль, и/или его фармацевтически приемлемый сольват обычно вводятся в одноразовой дозированной форме. Количество, эффективное для лечения заболевания, описанного здесь ранее, зависит от таких факторов, как эффективность соединения формулы (I), конкретной природы выбранных фармацевтически приемлемой соли или фармацевтически приемлемого сольвата, природы и тяжести заболеваний, которые нужно лечить, и веса млекопитающего. Однако одноразовая доза будет обычно содержать 0,1 – 500 мг, например 2-50 мг соединения этого изобретения. Одноразовые дозы обычно вводятся один или более раз в день, например 2, 3, 4, 5 или 6 раз в день, более обычно 2 – 4 раза в день, так что общая суточная доза обычно находится в интервале, для веса взрослого человека 70 кг, от 0,1 до 2500 мг, более обычно от 1 до 1000 мг, например 1 – 200 мг, то есть в интервале, составляющем примерно 0,02 – 3 мг/кг/сутки, более обычно 0,1 – 3 мг/кг/сутки, например 0,15 – 2 мг/кг/сутки. В вышеуказанном интервале доз для соединений согласно изобретению никакого токсического влияния не выявлено. При таком лечении соединение может вводиться любым подходящим путем, например перорально, парентерально или местно. В этом случае соединение обычно применяется в форме фармацевтической композиции в сочетании с медицинским или ветеринарным фармацевтическим носителем, растворителем и/или наполнителем, хотя точная форма композиции будет, естественно, зависеть от способа введения. Композиции получают путем смешивания, и они соответственно приспособлены для перорального, парентерального введения или местного применения и, как таковые, могут быть в форме таблеток, капсул, жидких пероральных препаратов, порошков, гранул, пастилок, растворенных порошков, растворов или суспензий для инъекций и вливаний, суппозиториев и трансдермальных препаратов. Предпочтительны перорально вводимые композиции, так как они более удобны для обычного применения. Таблетки и капсулы для перорального введения обычно представлены в одноразовой дозировке и содержат обычные вспомогательные вещества, такие как связывающие вещества, наполнители, растворители, таблетирующие средства, скользящие вещества, дезинтегранты, подкрашивающие вещества, вещества, улучшающие вкус, и увлажняющие вещества. Таблетки могут быть покрыты в соответствии с хорошо известными в этой области методами. Подходящие для использования наполнители включают целлюлозу, маннит, лактозу и другие подобные вещества. Подходящие дезинтегранты включают крахмал, поливинилпирролидон и производные крахмала, такие как крахмал-гликолят натрия. Подходящие смазывающие вещества включают, например, стеарат магния. Подходящие фармацевтически приемлемые смачивающие вещества включают лаурилсульфат натрия. Твердые пероральные композиции могут быть получены общепринятыми методами смешивания, заполнения, таблетирования и тому подобное. Повторные операции смешивания можно использовать для распределения активного вещества в этих композициях с применением больших количеств наполнителей. Такие операции, конечно, известны в этой области технологии. Пероральные жидкие препараты могут, например, быть в форме водных или масляных суспензий, растворов, эмульсий, сиропов или эликсиров, или могут быть представлены в виде сухого продукта для растворения водой или другим подходящим носителем перед использованием. Такие жидкие препараты могут содержать обычные добавки, такие как суспендирующие вещества, например сорбит, сироп, метилцеллюлозу, желатин, гидроксиэтилцеллюлозу, карбоксиметилцеллюлозу, гель стеарата алюминия или гидрогенизированные пищевые жиры, эмульгирующие вещества, например лецитин, сорбитана моноолеат или акациевую камедь. Неводные носители (которые могут включать пищевые масла), например миндальное масло, фракционированное кокосовое масло, масляные эфиры, такие как эфиры глицерина, пропиленгликоля или этилового спирта, консерванты, например метил- или пропил-п-гидроксибензоат или сорбиновую кислоту и, если желательно, обычные улучшающие вкус и запах и подкрашивающие вещества. Для парентерального введения получают жидкие одноразовые дозированные формы, содержащие соединения данного изобретения и стерильный носитель. Это соединение, в зависимости от носителя и концентрации, может быть или суспендировано, или растворено. Парентеральные растворы обычно готовят путем растворения активного соединения в носителе и стерилизации фильтрованием перед заполнением подходящих сосудов или ампул и герметизацией. Адъюванты, такие как местные анестетики, консерванты и буферные вещества, также целесообразно растворять в носителе. Для повышения стабильности композиция может быть заморожена после заполнения сосуда, и вода может быть удалена под вакуумом. Парентеральные суспензии получают по существу таким же образом, за исключением того, что активное соединение суспендируется в носителе вместо растворения и стерилизуется путем экспозиции с этиленоксидом перед суспендированием в стерильном носителе. Целесообразно включать в композицию поверхностно-активное вещество или смачивающее вещество, чтобы облегчить равномерное распределение активного соединения. Для местного применения композиция может быть в форме трансдермальной мази или пластыря для системной доставки соединения и может быть изготовлена обычным способом, например, как описано в стандартных руководствах, таких как “Дерматологические лекарственные формы” – B.W. Barry (Drugs and the Pharmaceutical Sciences – Dekker) или Harrys Cosmetiсology (Leonard Hill Books). Кроме того, такие композиции могут содержать дополнительные активные вещества, такие как антигипертензивные средства и диуретики. В соответствии с обычной практикой композиции обычно сопровождаются письменными или печатными указаниями по применению для рассматриваемого лечения в медицине. Как он использован здесь, термин “фармацевтически приемлемый” охватывает соединения, композиции и ингредиенты как для использования в медицине для лечения человека, так и в ветеринарии: например, термин “фармацевтически приемлемая соль” охватывает соли, приемлемые для ветеринарии. Данное изобретение, кроме того, представляет способ лечения и/или профилактики аритмии, особенно сердечной аритмии, такой как вентрикулярная аритмия, а также ишемических нарушений ритма у людей и других млекопитающих, который включает введение эффективного, нетоксичного количества соединения общей формулы (I), или его фармацевтически приемлемой соли, и/или его фармацевтически приемлемого сольвата человеку или млекопитающему, нуждающемуся в этом. Удобно, что активный ингредиент может применяться в виде фармацевтической композиции, которой дано определение здесь ранее, и это образует особый аспект данного изобретения. При лечении и/или профилактике аритмии и/или ишемических нарушений ритма соединение общей формулы (I), или его фармацевтически приемлемая соль, и/или его фармацевтически приемлемый сольват может приниматься в дозах, таких как описанные выше. Сходные режимы дозирования пригодны для лечения и/или профилактики и животных-млекопитающих. В следующем аспекте данное изобретение представляет способ использования соединения по формуле (I), или его фармацевтически приемлемой соли, и/или его фармацевтически приемлемого сольвата для производства медикамента для лечения аритмии, особенно сердечной аритмии, такой как вентрикулярная аритмия, а также ишемических нарушений ритма. Никаких токсикологических эффектов не выявлено, когда соединение формулы (I), или его фармацевтически приемлемая соль, и/или его фармацевтически приемлемый сольват применяется в вышеупомянутых интервалах дозирования. Последующие описания и примеры иллюстрируют изобретение, но никоим образом его не ограничивают. Описание 1 3-[[2-(3,4-Диметоксифенил)этил]метиламино]пропанамид ![]() 6,42 г (60 ммолей) 3-Хлорпропанамида, 5,85 г (30 ммолей) N- метил-3,4-диметоксибензолэтанамина и 7,7 г (75 ммолей) триэтиламина в 100 мл ацетонитрила перемешивали при кипячении в течение 18 часов. Реакционную смесь концентрировали в вакууме и остаток очищали с помощью хроматографии на силикагеле с использованием метиленхлорида/метанола: 92/8 с получением 5,12 г (64, 1%) желаемого соединения в виде оранжевого масла. 1H ЯМР (CDCl3) = 2,40 (с, 3H, NCH3); 2,46 (т, 2H, J=5,9 Гц, CH2); 2,74 – 2,79 (ср, 6H, 3CH2); 3,85 и 3,87 (2с, 6H, 2CH3O); 6,70 – 6,78 (ср, 3H, 3Ar); 7,71 (шир. полоса, 2H, обм. D2O, NH2) м.д.
Описание 2N-[2-(3,4-Диметоксифенил)этил]-М-метил-1,3-пропандиамин ![]() 1,5 г (5,6 ммоля) 3-[[2-(3,4-Диметоксифенил)этил]метиламино] пропанамида (D1) в безводном тетрагидрофуране по каплям добавляли к суспензии 0,64 г (1,7 ммоля) литийалюминийгидрида в 20 мл безводного диэтилового эфира при перемешивании. Смесь нагревали при кипении в колбе с обратным холодильником в течение 2 часов, затем охлаждали на бане с ледяной водой перед тем, как добавляли осторожно по каплям 0,65 мл воды,1 0,65 мл 15% водного раствора NaOH, затем 1,95 мл воды. Смесь сушили над MgSO4, концентрировали в вакууме и остаток очищали дважды с помощью хроматографии на основной окиси алюминия с использованием метиленхлорида/метанола: 95/5, затем метиленхлорида/метанола/30% водного аммония: 90/10/0,1 с получением 0,86 г (60,8%) желаемого соединения. 1Н ЯМР (CDCl3) = 1,65 (ср, 2H, CH2); 2,15 (шир. полоса, 2H, обм. D2O, NH2); 2,30 (с, 3Н, NCH3); 2,47 (т, 2H, J1 – 7,4 Гц, CH2), 2,53 – 2,79 (ср, 6H, 3CH2); 3,85 и 3,87 (2с, 6H, 2CH3O); 6,71 – 6,82 (ср, 3Н, 3Ar) м.д.
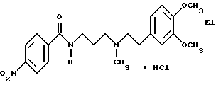
Описание 3N-(3-Хлорпропил)-4-нитробензамид ![]() Раствор 6,43 г (49 ммолей) 3-хлорпропиламина и 13,6 мл (98 ммолей) триэтиламина в 220 мл метиленхлорида охлаждали на ледяной бане и частями добавляли 9 г (48,5 ммолей) 4-нитробензоилхлорида. После перемешивания в течение 1 часа при комнатной температуре органическую фазу дважды промывали водой, сушили над MgSO4 и концентрировали в вакууме с получением 10,68 г (91%) бежевых кристаллов. 1Н ЯМР соответствовал желаемой структуре. Пример 1 N-[3-[[2-(3,4-Диметоксифенил)этил] метиламино] пропил]-4- нитробензамида хлорид ![]() 800 мг (3,17 ммоля) N-[2-(3,4-диметоксифенил)этил]-N -метил-1,3-пропандиамина (D2), 630 мг (3,33 ммоля) 4- нитробензоилхлорида и 0,35 г (3,49 ммоля) триэтиламина в 30 мл метиленхлорида перемешивали в течение 2 часов при комнатной температуре. Смесь промывали водой, сушили над MgSO4 и концентрировали в вакууме. Остаток дважды очищали с помощью хроматографии на силикагеле с использованием метиленхлорида/метанола: 97/3, затем 94/6, получая 700 мг (55%) желаемого соединения в виде основания. Это соединение превращали в соль в метиленхлориде путем добавления раствора хлористоводородной кислоты в диэтиловом эфире, получая 594 мг (43%) желаемого соединения в виде желтого твердого вещества: т.пл. = 80 – 90oC (см. фиг. 1). 1Н ЯМР (ДМСО-d6) = 2,00 (ср, 2H, CH2); 2,79 (с, 3H, NCH3); 2,90 (ср, 2H, CH2): 2,95 (ср, 2H, CH2); 3,20 (ср, 2H, CH2); 3,35 (ср, 2H, CH2); 3,72 и 3,74 (2с, 6H, 2CH3O); 6,80 – 6,96 (ср., 3H, Ar); 8,12 (д, 2H, J – 7,9 Гц, Ar); 8,33 (д, 2H, J – 7,9 Гц, Ar); 9,05 (ушир. полоса, 1H, обм. D2O, NH); 10,45 (шир. полоса, 1H, обм. D2O, NH) м.д.
Пример 2N-[3-[[2-(3,4-Диметоксифенил)этил]амино]пропил]-4-нитробензамида хлорид ![]() Раствор 10,62 г (44 ммоля) М-(3-хлорпропил)-4- нитробензамида (D3), 8,1 г (45 ммолей) гомовератриламина и 6,26 мл триэтиламина в 200 мл метиленхлорида нагревали при температуре кипения в колбе с обратным холодильником в течение 48 часов. Растворитель затем концентрировали в вакууме и остаток растворяли в воде. Водную фазу сначала промывали метиленхлоридом, затем доводили до щелочной реакции водным раствором NaOH и, наконец, дважды экстрагировали метиленхлоридом. Эту вторую органическую фазу сушили над MgSO4 и концентрировали в вакууме с получением 12 г неочищенного остатка. Этот остаток очищали с помощью хроматографии на силикагеле с использованием CH2Cl2/MeOH/NH4OH: 85/10/5 с получением 4,4 г соединения заголовка в виде желтого масла (свободное основание). Это соединение растворяли в метаноле и подкисляли раствором безводного хлористого водорода в диэтиловом эфире, получая после высушивания 4,4 г соединения заголовка в виде легких бежевых кристаллов. Т. пл. 141-2oC (см. фиг. 2). 1Н ЯМР (ДМСО-d6) = 1,93 (cp, 2H, CH2); 2,89 – 3,16 (ср., 6H, 3xCH2); 3,40 (ср, 2H, CH2); 3,72 и 3,75 (2с, 6H, 2xOCH3); 6,74 – 6,91 (ср., 3H, Ar); 8,12 (д. , 2H, J – 8,6 Гц, Ar); 8,32 (д, 2H, J = 8,6 Гц, Ar); 9,12 (шир. полоса, 2H, обм. D2O, NH2+); 9,15 (т, 1H, обм. D2O, NH) м.д.
Фармакологические данныеМетодология Морским свинкам (300 – 350 г) делали анестезию путем внутривенной инъекции пентобарбитала натрия (60 мг/кг). После торакотомии сердце быстро иссекали и помещали в оксигенированный раствор Тироде. Папиллярные мышцы из правого желудочка удаляли. Препараты затем фиксировали на силастиковой основе 5 мл органной бани и заливали оксигенированным раствором Тироде с поддерживаемой температурой 37 1oC.
Модифицированный раствор Тироде (pH 7,35) содержал следующее (мМ): NaCI 125, KCl 4,0, MgCI2 0,5, CaCl2 1,8, NaHCO3 24, NaH2PO4 0,9 и глюкозу 5,5. Раствор уравновешивали газовой смесью из 95% O2 – 5% CO2. После периода стабилизации (по крайней мере 1 час) измеряли трансмембранные потенциалы действия с помощью общепринятых микроэлектродов (10 МОм), соединенных с высокоомным входом усилителя (BIOLOGIC VF 180). Внешние стимулы подводили к препарату с помощью биполярных платиновых электродов, помещенных на конце мышцы. Продолжительность импульса составляла 1 мс, и амплитуда была в два раза больше пороговой. Продолжительность основного цикла составляла 1000 мс (стимулятор PULSAR 6i). Сигналы наблюдали на запоминающем осциллоскопе (GOULD 1602) и одновременно регистрировали на цифровом записывающем устройстве (BIOLOGIC DTR 1200) для дальнейшего анализа.
Производили измерения амплитуды потенциала действия (АПД) и продолжительности потенциала действия при 30 и 90% реполяризации (ППДЗО и ППД90 соответственно). Регистрацию производили через 30 мин после уравновешивания каждой концентрации. Для анализа использовали только те показания, при которых одни и те же границы сохранялись во время всего эксперимента.
Формула изобретения
![]() или их соли или сольваты, где Ar представляет замещенный или незамещенный арил, причем при необходимости заместители выбираются из C1-6алкила, гидроксила, C1-6алкокси; A представляет C1-4н-алкиленовую группу, в которой каждый атом углерода является при необходимости замещенным 1 или 2 C1-6алкильными группами; R1 – водород, C1-6алкил, один или два из группы R2, R3 и R4 представляет собой нитрогруппу, а остальные члены группы R2, R3 и R4 представляют атомы водорода; X представляет -CO-NH-, Z представляет собой -CH2-CH2-CH2-группу. 2. Соединение по п. 1, где Ar представляет собой замещенную или незамещенную фенильную группу. 3. Соединение по п.1 или 2, где Ar представляет собой фенильную группу, замещенную 1 или 2 C1-6алкоксильными группами. 4. Соединение по любому одному из пп.1 – 3, где R1 представляет собой водород. 5. Соединение по любому одному из пп.1 – 4, где один из R2, R3 и R4 представляет собой нитрогруппу, а остальные члены группы R2, R3 и R4 представляют собой атомы водорода. 6. Соединение по п.5, где R2 представляет собой 4-нитрогруппу, а R3 и R4 каждый представляет собой водород. 7. Соединение по п. 1, являющееся N-[3-[[2-(3,4-диметоксифенил)этил)] амино]пропил]-4-нитробензамидом, или его солью, или его сольватом. 8. Фармацевтическая композиция, обладающая антиаритмической активностью, включающая активный ингредиент и фармацевтически приемлемый носитель, отличающаяся тем, что в качестве активного ингредиента используют соединение формулы I по п.1, или его фармацевтически приемлемую соль и/или его фармацевтически приемлемый сольват в эффективном количестве. 9. Соединение формулы I по п.1 или его фармацевтически приемлемая соль и/или его фармацевтически приемлемый сольват для использования в качестве активного терапевтического вещества. 10. Соединение формулы I по п.1 или его фармацевтически приемлемая соль и/или его фармацевтически приемлемый сольват, обладающее антиаритмической активностью. 11. Способ получения фармацевтической композиции, обладающей антиаритмической активностью путем смещения активного ингредиента и фармацевтически приемлемого носителя, отличающийся тем, что в качестве активного ингредиента используют соединение формулы I или его фармацевтически приемлемую соль и/или его фармацевтически приемлемый сольват. 12. Способ лечения и/или профилактики аритмий и ишемических нарушений ритма у людей и других млекопитающих, включающий введение эффективного нетоксичного количества вещества, нуждающемуся в этом человеку или млекопитающему, отличающийся тем, что в качестве активного вещества используют соединение общей формулы I или его фармацевтически приемлемую соль и/или его фармацевтически приемлемый сольват. РИСУНКИ
MM4A Досрочное прекращение действия патента Российской Федерации на изобретение из-за неуплаты в установленный срок пошлины за поддержание патента в силе
Дата прекращения действия патента: 25.10.2004
Извещение опубликовано: 20.04.2006 БИ: 11/2006
|
||||||||||||||||||||||||||


-кетоглютаровая, 







= 2,40 (с, 3H, NCH3); 2,46 (т, 2H, J=5,9 Гц, CH2); 2,74 – 2,79 (ср, 6H, 3CH2); 3,85 и 3,87 (2с, 6H, 2CH3O); 6,70 – 6,78 (ср, 3H, 3Ar); 7,71 (шир. полоса, 2H, обм. D2O, NH2) м.д.
Описание 2



1oC.
Модифицированный раствор Тироде (pH 7,35) содержал следующее (мМ): NaCI 125, KCl 4,0, MgCI2 0,5, CaCl2 1,8, NaHCO3 24, NaH2PO4 0,9 и глюкозу 5,5. Раствор уравновешивали газовой смесью из 95% O2 – 5% CO2. После периода стабилизации (по крайней мере 1 час) измеряли трансмембранные потенциалы действия с помощью общепринятых микроэлектродов (10 МОм), соединенных с высокоомным входом усилителя (BIOLOGIC VF 180). Внешние стимулы подводили к препарату с помощью биполярных платиновых электродов, помещенных на конце мышцы. Продолжительность импульса составляла 1 мс, и амплитуда была в два раза больше пороговой. Продолжительность основного цикла составляла 1000 мс (стимулятор PULSAR 6i). Сигналы наблюдали на запоминающем осциллоскопе (GOULD 1602) и одновременно регистрировали на цифровом записывающем устройстве (BIOLOGIC DTR 1200) для дальнейшего анализа.
Производили измерения амплитуды потенциала действия (АПД) и продолжительности потенциала действия при 30 и 90% реполяризации (ППДЗО и ППД90 соответственно). Регистрацию производили через 30 мин после уравновешивания каждой концентрации. Для анализа использовали только те показания, при которых одни и те же границы сохранялись во время всего эксперимента.
