Патент на изобретение №2159225
|
||||||||||||||||||||||||||
(54) СПОСОБ ПОЛУЧЕНИЯ ПОЛИЭФИРАКРИЛАТОВ
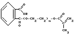
(57) Реферат: Изобретение относится к области органической химии, а именно к способу получения сложных эфиров, которые применяются в качестве пластификаторов различных полимеров. Предложен способ получения полиэфиракрилата общей формулы ![]() ![]() -(CH2)6 – CH3 n = 2; 3. Процесс ведут при нагревании в три стадии с охлаждением после каждой путем взаимодействия фталевого ангидрида и одноатомного спирта при их эквимолярном соотношении (1 : 1), с последующей обработкой полученного моноэфира фталевой кислоты ди- или триэтиленгликолем в эквимолярном соотношении (1 : 1) в растворителе в присутствии катализатора, и дальнейшей этерификацией полученного диэфира фталевой кислоты метакриловой кислотой в растворителе в присутствии ингибитора полимеризации. Способ позволяет получить полиэфиракрилат, способный к линейной полимеризации, имеющий высокую устойчивость в среде бензина и масла. 1 табл. Изобретение относится в области органической химии, а именно к способу получения полиэфиракрилатов, которые могут быть использованы в качестве способных к полимеризации пластификаторов. Известен способ получения пластификаторов -ди-(2-этилгексил) фталата (ДОФ) путем взаимодействия фталевого ангидрида с 2-этил-гексанолом в присутствии катализатора (см.Барштейн Р.С., Кирилович В.И, Носовский Ю.Е. Пластификаторы для полимеров. М.: Химия, 1982, с. 27). К недостаткам этих пластификаторов относится высокая способность к экстракции бензином или маслом и к испарению их из полимерного изделия. Наиболее близким по технической сущности к предлагаемому изобретению является способ получения полиэфиракрилатов (МДФ-1, МГФ-9) путем взаимодействия при нагревании фталевого ангидрида, ди- или триэтиленгликоля и метакриловой кислоты в присутствии катализатора (см. Берлин А.А., Кефели Т.Я, Королев Г.В. Полиэфиракрилаты. М.: Наука, 1967, с. 53). Полученные этим способом фталатнодиметакрилоильные тетраэфиры способны к трехмерной полимеризации, приводящей к отверждению полиэфиракрилата и неэффективности его использования в качестве пластификатора. Целью данного изобретения является получение полиэфиракрилатов, которые включают в качестве заместителей структурные фрагменты, аналогичные содержавшимся в промышленных пластификаторах диоктилфталатах, и способны к линейной полимеризации и могут быть использованы в качестве как полимеров, так и мономеров. Поставленная цель достигается путем проведения процесса при нагревании в три стадии с охлаждением после каждой, путем взаимодействия фталевого ангидрида и одноатомного спирта при их молярном соотношении (1:1), с последующей обработкой полученного моноэфира фталевой кислоты ди- или триэтиленгликолем в эквимолярном соотношении (1:1) в растворителе в присутствии катализатора и дальнейшей этерификацией полученного диэфира фталевой кислоты метакриловой кислотой в растворителе в присутствии ингибитора полимеризации с получением полиэфиракрилата общей формулы ![]() где ![]() -(CH2)6-CH3; n = 2; 3. Из научно-технической литературы авторам не известен способ получения 2-(2-(2-метакрилоилоксиэтокси)-этокси)-этил-2-этилгексилового эфира ортофталевой кислоты в три стадии с последующим охлаждением после каждой путем взаимодействия фталевого ангидрида и одноатомного спирта при соотношении 1: 1, с последующей обработкой полученного моноэфира фталевой кислоты ди- или триэтиленгликолем и дальнейшей этерификацией полученного диэфира фталевой кислоты метакриловой кислотой. Способ осуществляется следующим образом. Одноатомный спирт смешивают в молярном соотношении 1:1 с фталевым ангидридом и нагревают до получения гомогенной не расслаивающейся жидкости. Полученный при этом кислый моноэфир фталевой кислоты охлаждают до температуры ниже температуры кипения растворителя, прибавляют в соотношении 1:1 двухатомный спирт, растворитель, катализатор и кипятят реакционную смесь, отгоняя наиболее легкокипящий из компонентов – воду до прекращения водоотделения. При нарушении соотношения 1:1 моноэфира фталевой кислоты и двухатомного спирта в сторону увеличения содержания в смеси двухатомного спирта возможно протекание побочных процессов на следующей стадии и уменьшение выхода целевого продукта, т. к. весь синтез проводится без отделения промежуточных веществ. При увеличении же содержания в смеси моноэфира фталевой кислоты возможно его взаимодействие с двухатомным спиртом (в соотношении 2:1), что также уменьшает выход целевого продукта в последующей стадии”. После охлаждения смеси добавляют метакриловую кислоту, растворитель и ингибитор полимеризации. Реакционную смесь кипятят до прекращения водоотделения. Полученный раствор пластификатора подают на фильтрацию, далее на промывку щелочным раствором и водой с последующей отгонкой растворителя. Использование этого способа позволяет избежать образования в реакционной смеси диалкилфталатов, а также метакриловых диэфиров гликолей и получить полиэфиракрилаты, содержащие одну двойную связь в молекуле. Полученное соединение обладает способностью к линейной полимеризации, не приводящей к потере пластифицирующих свойств и может быть использовано в качестве пластификатора в мономерном или полимерном виде. В результате многочисленных экспериментов удалось подобрать режим проведения процесса и количественные соотношения компонентов. Пример 1. В трехгорлую колбу, снабженную мешалкой, обратным холодильником и водоотделителем, загружают 88,9 г (0,6 моль) фталевого ангидрида и 78,1 г (0,6 моль) 2-этилгексанола. Смесь нагревают при постоянном перемешивании до 140oC и выдерживают при этой температуре до полного растворения фталевого ангидрида. Затем смесь охлаждают до 100oC. Добавляют к смеси 250-300 мл растворителя – толуола, 90,12 г (0,6 моль) триэтиленгликоля и 6 г катализатора бензолсульфокислоты. Смесь кипятят до окончания отделения воды в водоотделителе (11,4 г H2O). Далее смесь охлаждают до 100oC, добавляют 2 г ингибитора – гидрохинона, 60,27 г (0,7 моль) метакриловой кислоты в 200 мл растворителя – толуола и кипятят смесь до окончания отделения воды в водоотделителе. Смесь охлаждают до комнатной температуры и фильтруют под вакуумом. Осадок полимера сушат и взвешивают. Полученные 8,3 г полимера разбавляют толуолом до плотности 0,9 – 0,96 г/см3 и промывают в делительной воронке 5%-ным щелочным раствором до кислотного числа раствора не более 0,05 мгКОН/г. Затем промывают водой и проводят отгонку толуола под вакуумом при температуре не выше 70oC до содержания толуола в полиэфиракрилате, не превышающего 0,5%. Повышение температуры отгонки толуола приводит к полимеризации полиэфиракрилата. Получают 258,4 г (90%) полиэфиракрилата – пластификатора МТОФ: ![]() Основные технические характеристики этого пластификатора: 1. Цветность по йодной шкале – 13 2. Плотность при 20oC г/см3 – 1,0553 3. Кислотное число, мгКОН/г, не более – 0,2 4. Число омыления, мгКОН/г расчетное значение – 347,5 найденные значения – 341,1 – 351,7 5. Содержание толуола в % – 0,5 6. Массовая доля воды, не более в % – 0,08 7. Относительная вязкость, спз – 84 8. Массовая доля гидрохинона в % – 0,01 9. Массовая доля основного вещества в % – 99,6 Структура пластификатора МТОФ подтверждена спектром ПМР, полученном на спектрометре с рабочей частотой 300 мГц в растворе ДМСО-д6. Брутто-формула: C26H38O8 M = 478,56. Спектр ПМР: 7,80 м.д., М., 4H(CHар), 6,15 м. д. , с., 1H, 5,85 м.д., с., 1H(H2C=), 4,45 м.д., т., 4H, 4,28 м. д. , т., 2H(COOCH2)3, 3,78 м.д., т., 4H, 3,67 м.д., т., 4H(OCH2)4, 1,98 м.д., с., 3H(=C-CH3), 1,70 м.д., м., 1H(CH, 1,31-1,48 м.д., м., 8H(C-CH2-C)4, 0,97 м.д., т., 6H(-CH3)2.
В таблице представлены примеры 1-4, полученные аналогично примеру 1, показывающие влияния режима проведения процесса на получение конечного вещества.
Формула изобретения
![]() где R – ![]() – (CH2)6 – CH3, n = 2, 3, отличающийся тем, что процесс ведут при нагревании в три стадии с охлаждением после каждой путем взаимодействия фталевого ангидрида и одноатомного спирта при их эквимолярном соотношении 1 : 1, с последующей обработкой полученного моноэфира фталевой кислоты ди- или триэтиленгликолем в эквимолярном соотношении 1 : 1 в растворителе в присутствии катализатора и дальнейшей этерификацией полученного диэфира фталевой кислоты метакриловой кислотой в растворителе в присутствии ингибитора полимеризации. РИСУНКИ
MM4A – Досрочное прекращение действия патента СССР или патента Российской Федерации на изобретение из-за неуплаты в установленный срок пошлины за поддержание патента в силе
Дата прекращения действия патента: 31.07.2008
Извещение опубликовано: 20.07.2010 БИ: 20/2010
|
||||||||||||||||||||||||||






M = 478,56. Спектр ПМР: 7,80 м.д., М., 4H(CHар), 6,15 м. д. , с., 1H, 5,85 м.д., с., 1H(H2C=), 4,45 м.д., т., 4H, 4,28 м. д. , т., 2H(COOCH2)3, 3,78 м.д., т., 4H, 3,67 м.д., т., 4H(OCH2)4, 1,98 м.д., с., 3H(=C-CH3), 1,70 м.д., м., 1H(CH, 1,31-1,48 м.д., м., 8H(C-CH2-C)4, 0,97 м.д., т., 6H(-CH3)2.
В таблице представлены примеры 1-4, полученные аналогично примеру 1, показывающие влияния режима проведения процесса на получение конечного вещества.

