|
|
(21), (22) Заявка: 2004101060/04, 06.08.2002
(24) Дата начала отсчета срока действия патента:
06.08.2002
(30) Конвенционный приоритет:
16.08.2001 (пп.1-31) GB 0120051.8
(43) Дата публикации заявки: 27.06.2005
(46) Опубликовано: 27.11.2007
(56) Список документов, цитированных в отчете о поиске:
US 5968938 A, 19.10.1999. GB 2326639 A, 30.12.1998. EP 987264 A, 22.03.2000.
(85) Дата перевода заявки PCT на национальную фазу:
16.03.2004
(86) Заявка PCT:
GB 02/03593 (06.08.2002)
(87) Публикация PCT:
WO 03/016316 (27.02.2003)
Адрес для переписки:
191036, Санкт-Петербург, а/я 24, “НЕВИНПАТ”, пат.пов. А.В.Поликарпову
|
(72) Автор(ы):
ХАДСОН Питер Джереми (GB), ПИТТ Гэри Роберт Уильям (GB), РУКЕР Дейвид Филип (GB), БАТТ Анджей Роман (GB), ХИНИ Селин Маргерит Саймон (GB), РОУ Майкл Брайан (GB)
(73) Патентообладатель(и):
ФЕРРИНГ БВ (NL)
|
(54) ДИАЗАЦИКЛОАЛКАНЫ КАК АГОНИСТЫ ОКСИТОЦИНА
(57) Реферат:
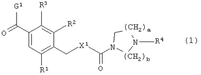
Настоящее изобретение относится к диазациклоалканам общей формулы 1
в которой G1 представляет собой конденсированную полициклическую группу. Соединения являются селективными и сильнодействующими агонистами окситоцина и могут быть полезны при лечении эректильной дисфункции. Описаны также фармацевтическая композиция на основе соединений формулы 1 и применение последних в производстве фармацевтической композиции. 3 н. и 28 з.п. ф-лы.
Текст описания приведен в фасимильном виде.            
Формула изобретения
1. Соединение общей формулы 1 или его фармацевтически приемлемая соль
где G1 выбран из группы общей формулы 3, группы общей формулы 4, группы общей формулы 5, группы общей формулы 6 и группы общей формулы 7;
R7 выбран из Н, алкила и фенила;
R8 выбран из Н, алкила, алкенила, алкинила, ацила, возможно замещенного фенила, возможно замещенного пиридила, возможно замещенного тиенила, возможно замещенного фурила, возможно замещенного пирролила, возможно замещенного пиразолила, возможно замещенного имидазола, возможно замещенного оксазолила, возможно замещенного изоксазолила, возможно замещенного тиазолила, возможно замещенного изотиазолила, F, ОН, гидроксиалкила, O-алкила, O-ацила, S-алкила, NH2, NH-алкила, N(алкил)2, 1-пирролидинила, 1-пиперидинила, 4-морфолинила, NH-ацила, N(алкил)-ацила, N3, CO2H, СО2-алкила, CONH3, CONH-алкила, CON(алкил)2, CN и CF3;
а равен 1 или 2, b равен 1, 2 или 3; с равен 1 или 2; d равен 1, 2 или 3; е равен 1, 2, 3 или 4; и g, h, i и j все независимо равны 1 или 2;
при условии, что:
не более чем один из А8, А9 и А10 представляет собой NH, N(CH2)dR7 или S;
А7 и А11 оба одновременно не представляют собой N;
ни А7, ни А11 не представляют собой N, если один из А8, А9 и А10 представляет собой NH, N(CH2)dR7 или S;
если А10 представляет собой -СН=СН-, тогда A8 представляет собой N, А9 представляет собой СН, и оба А7 и А11 представляют собой С;
если А10 не представляет собой -СН=СН-, тогда один из А8, А9 и А10 представляет собой NH, N(CH2)dR7 или S, либо один из А7 и А11 представляет собой N;
не более чем один из А14, А15 и А16 представляет собой NH, N-СН3 или S;
А12 и А13 оба одновременно не представляют собой N;
если один из А14, А15 и А16 представляет собой NH, N-СН3 или S, тогда А12 и А13 оба представляют собой С; и
один из А14, А15 и А16 представляет собой NH, N-СН3 или S, либо один из А12 и А13 представляет собой N.
2. Соединение по п.1 или его фармацевтически приемлемая соль, где по меньшей мере один из R1, R2 и R3 представляет собой Н, и по меньшей мере один не представляет собой Н.
3. Соединение по п.1 или 2 или его фармацевтически приемлемая соль, где один из R1, R2 и R3 выбран из алкильной группы, F, Cl и Br, а остальные представляют собой Н.
4. Соединение по п.1 или его фармацевтически приемлемая соль, где R1 выбран из метильной группы и Cl, и R2 и R3 представляют собой Н.
5. Соединение по п.1 или его фармацевтически приемлемая соль, где X1 представляет собой NH.
6. Соединение по п.1 или его фармацевтически приемлемая соль, где а равен 1, и b равен 2.
7. Соединение по п.1 или его фармацевтически приемлемая соль, где G1 представляет собой группу общей формулы 3.
8. Соединение по п.7 или его фармацевтически приемлемая соль, где с равен 2.
9. Соединение по п.7 или его фармацевтически приемлемая соль, где А1 представляет собой СН2, и А2 представляет собой NH.
10. Соединение по п.7 или его фармацевтически приемлемая соль, где А3 представляет собой S, и А4 и А5 оба представляют собой СН.
11. Соединение по п.7 или его фармацевтически приемлемая соль, где А3 представляет собой -СН=СН-, и А4 и А5 оба представляют собой СН.
12. Соединение по п.7 или его фармацевтически приемлемая соль, где А3 представляет собой -CH=N-, и А4 и А5 оба представляют собой СН.
13. Соединение по п.7 или его фармацевтически приемлемая соль, где А3 представляет собой -СН=СН-, А4 представляет собой СН, и А5 представляет собой N.
14. Соединение по п.1 или его фармацевтически приемлемая соль, где G1 представляет собой группу общей формулы 6 или 7.
15. Соединение по п.14 или его фармацевтически приемлемая соль, где А3 представляет собой S, и А4 и А5 оба представляют собой СН.
16. Соединение по п.14 или его фармацевтически приемлемая соль, где А3 представляет собой -СН=СН-, и А4 и А5 оба представляют собой СН.
17. Соединение по п.14 или его фармацевтически приемлемая соль, где А3 представляет собой -CH=N-, и А4 и А5 оба представляют собой СН.
18. Соединение по п.14 или его фармацевтически приемлемая соль, где А3 представляет собой -СН=СН-, А4 представляет собой СН, и А5 представляет собой N.
19. Соединение по п.1 или его фармацевтически приемлемая соль, где G1 представляет собой группу общей формулы 4 или 6.
20. Соединение по п.19 или его фармацевтически приемлемая соль, где А6 представляет собой NH.
21. Соединение по п.19 или его фармацевтически приемлемая соль, где А8 представляет собой NH или N-(CH2)d-R7.
22. Соединение по п.21 или его фармацевтически приемлемая соль, где А9 представляет собой N, и А10 представляет собой СН.
23. Соединение по п.1 или его фармацевтически приемлемая соль, где R1 представляет собой метил или Cl, R2 и R3 оба представляют собой H, и Х1 представляет собой NH.
24. Соединение по п.1 или 23 или его фармацевтически приемлемая соль, где R1 представляет собой метил или Cl, R2 и R3 оба представляют собой Н, X1 представляет собой NH, а равен 1, и b равен 2.
25. Соединение по п.1 или его фармацевтически приемлемая соль, где G’ представляет собой группу общей формулы 6, А4, А5 и А10 все представляют собой СН, А6 представляет собой NH, А7 и А11 оба представляют собой С, А8 представляет собой N-(CH2)d-R7, и А9 представляет собой N.
26. Соединение по п.1 или его фармацевтически приемлемая соль, где R1 представляет собой метил или Cl, R2 и R3 оба представляют собой Н, X1 представляет собой NH, а равен 1, b равен 2, G1 представляет собой группу общей формулы 6, А4, А5 и А10 все представляют собой СН, А6 представляет собой NH, А7 и А11 оба представляют собой С, А8 представляет собой N-(CH2)d-R7, и А9 представляет собой N.
27. Соединение по п.1, выбранное из
5-(4-(4-циклопропилметилпиперазин-1-карбониламинометил)-3-метил-бензоил)-1-метил-4,10-дигидропиразоло[5,4-b][1,5]бензодиазепина,
5-(4-(4-бензилпиперазин-1-карбониламинометил)-3-метил-бензоил)-1-метил-4,10-дигидропиразоло[5,4-b][1,5]бензодиазепина,
5-(4-(4-(3-гидроксибензил)пиперазин-1-карбониламинометил)-3-метил-бензоил)-1-метил-4,10-дигидропиразоло[5,4-b][1,5]бензодиазепина,
5-(4-(4-(3-гидроксиметилбензил)пиперазин-1-карбониламинометил)-3-метилбензоил)-1-метил-4,10-дигидропиразоло[5,4-b][1,5]бензодиазепина,
1-метил-5-(3-метил-4-(4-(4-пиколил)пиперазин-1-карбониламинометил)-бензоил)-4,10-дигидропиразоло[5,4-b][1,5]бензодиазепина,
5-(4-(4-(2-гидроксиэтил)пиперазин-1-карбониламинометил)-3-метил-бензоил)-1-метил-4,10-дигидропиразоло[5,4-b][1,5]бензодиазепина,
1-метил-5-(3-метил-4-(4-(3-(метилтио)пропил)пиперазин-1-карбонил-аминометил)бензоил)-4,10-дигидропиразоло[5,4-b][1,5]бензодиазепина,
5-(4-(4-(2-аминоэтил)пиперазин-1-карбониламинометил)-3-метил-бензоил)-1-метил-4,10-дигидропиразоло[5,4-b][1,5]бензодиазепина,
5-(4-(4-(2-гидроксиэтил)пиперазин-1-карбониламинометил)-3-метил-бензоил)-1-метил-4,10-дигидропиразоло[4,5-с]пиридо[2,3-b][1,4]диазепина
и их фармацевтически приемлемых солей.
28. Фармацевтическая композиция, обладающая активностью агониста окситоцина, содержащая соединение или соль по любому из пп.1-27 в качестве активного агента.
29. Фармацевтическая композиция по п.28, представляющая собой таблетку или капсулу для перорального введения.
30. Применение соединения или соли по любому из пп.1-27 в производстве фармацевтической композиции, обладающей активностью агониста окситоцина.
31. Фармацевтическая композиция по п.28 или 29 или применение по п.30, где фармацевтическая композиция предназначена для лечения мужской эректильной дисфункции и/или другого мужского полового расстройства или женского полового расстройства.
TK4A – Поправки к публикациям сведений об изобретениях в бюллетенях “Изобретения (заявки и патенты)” и “Изобретения. Полезные модели”
Напечатано: (57) 1. … R8 – выбран из H, алкила, … CO2-алкила, CONH3, …
Следует читать: (57) 1. … R8 – выбран из H, алкила, … CO2-алкила, CONH2, …
Номер и год публикации бюллетеня: 33-2007
Код раздела: FG4A
Извещение опубликовано: 20.05.2008 БИ: 14/2008
|
|