Патент на изобретение №2311415
|
|||||||||||||||||||||||||||||||||||||||||||||||||||||||||||||||||||
(54) СИНТЕЗ ЭПОТИЛОНОВ, ИХ ПРОМЕЖУТОЧНЫХ ПРОДУКТОВ, АНАЛОГОВ И ИХ ПРИМЕНЕНИЯ
(57) Реферат:
Данное изобретение относится к соединениям формулы (I): в которой R1 означает водород или низший алкил; R2 означает замещенный или незамещенный тиазолинильный или оксазолинильный остаток; R5 и R6 каждый независимо означает водород или защитную группу; Х означает О, S или NR7, где в каждом случае независимо R7 означает водород или низший алкил; RB независимо для каждого случая означает водород, C1-6алкил, -CY3, -CHY2 или -CH2Y, где Y означает F, Br, Cl или I. Данное изобретение также относится к фармацевтической композиции, содержащей соединения формулы (I) и обладающей цитотоксической активностью, и применению этого соединения для лечения злокачественной опухоли с множественной лекарственной резистентностью. 5 н. и 39 з.п. ф-лы, 77 ил., 6 табл.
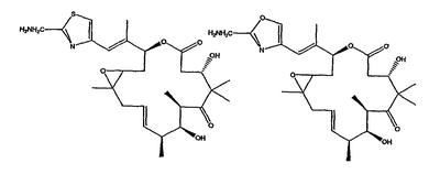
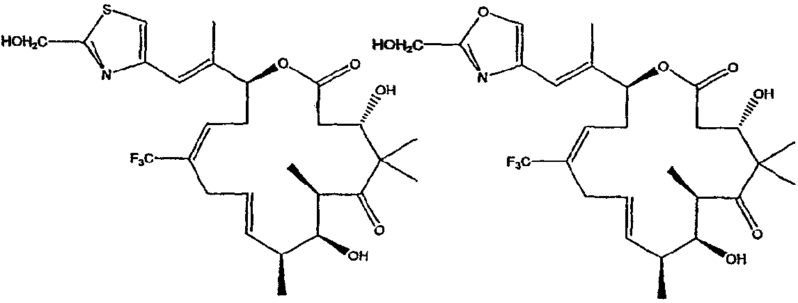
Эпотилоны A и B (2a и 2b, схема 1) являются встречающимися в природе цитотоксическими макролидами, которые были выделены из разрушающей целлюлозу микобактерии Sorangium cellulosum (Höfle et al. Angew. Chem., Int. Ed. Engl. 1996, 35, 1567 и J. Antibiot. 1996, 49, 560; каждая из публикаций включена в данное описание в виде ссылки). Несмотря на огромное количество различных структур эпотилоны A и B имеют общий механизм действия, такой же, как механизм действия паклитаксела (Taxol®), который вовлечен в ингибирование роста опухолевых клеток в результате полимеризации тубулина и стабилизации сборки из микротрубочек (Bollag et al. Cancer Res. 1995, 55, 2325; включено в виде ссылки). Несмотря на свое бесспорное клиническое значение в качестве химиотерапевтического средства переднего края, Taxol® далек от идеального лекарственного средства. Его незначительная растворимость в воде делает необходимым прибегать к помощи наполнителей для композиции, таких как кремофоры, которые сами по себе создают риск и проблемы при работе с ними (Essayan et al. J. Allergy Clin. Immunol. 1996, 97, 42; публикация включена в данное описание в виде ссылки). Кроме того, Taxol® уязвим по отношению к дезактивации вследствие множественной лекарственной резистентности (MDR) (Giannakakou et al. J. Biol. Chem. 1997, 272, 17118; публикация включена в данное описание в виде ссылки). Однако также показано, что эпотилоны A и B сохраняют заметную эффективность против опухолевых MDR-клеток (Kowalski et al. Mol. Biol. Cell 1995, 6, 2137; публикация включена в данное описание в виде ссылки). Кроме того, повышенная растворимость в воде по сравнению с паклитакселом может быть полезна для возможности готовить композиции эпотилонов. В то время как встречающееся в природе соединение, эпотилон B (2b, EpoB на схеме 1), является эффективным представителем эпотилонового семейства природных продуктов, к сожалению, он обладает, по меньшей мере у мышей с ксенотрансплантатами, вызывающим беспокойство ограниченным терапевтическим индексом (Su et al. Angew. Chem. Int. Ed. Engl. 1997, 36, 1093; Harris et al. J Org. Chem. 1999, 64, 8434; каждая публикация включена в данное описание в виде ссылки). На фиг.7 показаны различные аналоги 9,10-дегидро-12,13-дезоксиEpoB. На фиг.8 показано терапевтическое действие 9,10-дегидро-dEpoB и dEpoB у мышей nude, несущих ксенотрансплантат карциномы молочной железы человека MX-1 (в/в-инфузия, Q2Dx3). На фиг.9 показана стабильность аналогов эпотилона в плазме мышей. Epo 1 означает 12,13-дезоксиEpoB, Epo 2 означает 26-F3-12,13-дезоксиEpoB, Epo 3 означает (E)-9,10-дегидро-12,13-дезоксиEpoB и Epo 4 означает 26-F3-(E)-9,10-дегидро-12,13-дезоксиEpoB. На фиг.10 изображено терапевтическое действие аналогов эпотилона у мышей nude (голых), несущих ксенотрансплантат HCT-116 (в/в-инфузия, Q2Dx7, n=3). Стрелки указывают введение лекарственного средства. Epo 3 означает (E)-9,10-дегидро-12,13-дезоксиEpoB. На фиг.11 показаны эффективности различных аналогов эпотилона против роста опухолевых клеток in vitro и терапевтический индекс по сравнению с паклитакселом и винбластином. Фиг.12 представляет собой таблицу, суммирующую действие dEpoB, таксола и 26-триF-9,10-deH-dEpoB против ксенотрансплантата MX-1 у мышей nude. На фиг.13 показано терапевтическое действие 26-трифтор-9,10-дегидро-dEpoB и 9,10-дегидро-EpoB на размер опухолей у мышей nude, несущих ксенотрансплантаты MX-1 (6-часовая в/в-инфузия, Q2Dx6 и Q2Dx9, соответственно). На фиг.14 показаны изменения массы тела мышей nude, несущих ксенотрансплантат опухоли карциномы молочной железы человека MX-1, после лечения 26-трифтор-9,10-дегидро-dEpoB и 9,10-дегидро-EpoB (6-часовая инфузия, Q2Dx6 и Q2Dx9, соответственно). На фиг.15 показано терапевтическое действие 26-трифтор-9,10-дегидро-dEpoB и 9,10-дегидроEpoB на размер опухолей у мышей nude, несущих ксенотрансплантаты MX-1 (6-часовая в/в-инфузия, Q2Dx6 и Q2Dx9, соответственно). На фиг.16 показаны изменения массы тела у мышей nude, несущих ксенотрансплантат опухоли карциномы молочной железы человека MX-1, после лечения 26-трифтор-9,10-дегидро-dEpoB и 9,10-дегидро-EpoB (6-часовая в/в-инфузия, Q2Dx6 и Q2Dx9, соответственно). На фиг.17 показано терапевтическое действие 9,10-дегидро-dEpoB на размер опухолей у мышей nude, несущих ксенотрансплантаты HCT-116 (в/в-инфузия, Q2Dx7). На фиг.18 показано действие 9,10-дегидро-dEpoB на размер опухолей у мышей nude, несущих ксенотрансплантаты карциномы ободочной кишки человека HCT-116 (в/в-инфузия, Q3Dx5). На фиг.19 показано действие 9,10-дегидро-dEpoB на размер опухолей у мышей nude, несущих ксенотрансплантаты A549/Taxol (6-часовая в/в-инфузия, Q3Dx7). На фиг.20 показаны изменения массы тела у мышей nude, несущих ксенотрансплантат A549/Taxol, обработанных 26-трифтор-9,10-дегидро-dEpoB и 9,10-дегидро-dEpoB (6-часовая в/в-инфузия, Q3Dx7). На фиг.21 показано действие 26-трифтор-9,10-дегидро-dEpoB и 9,10-дегидро-dEpoB на размер опухолей у мышей nude, несущих ксенотрансплантаты A549/Taxol (6-часовая в/в-инфузия, Q2Dx7). На фиг.22 показаны изменения массы тела мышей nude, несущих ксенотрансплантаты A549/Taxol, обработанных 26-трифтор-9,10-дегидро-dEpoB и 9,10-дегидро-dEpoB (6-часовая в/в-инфузия, Q2Dx7). На фиг.23 показано действие 9,10-дегидро-EpoB на размер опухолей у мышей nude, несущих ксенотрансплантаты опухоли HCT-116 карциномы ободочной кишки человека (6-часовая в/в-инфузия). На фиг.24 показаны изменения массы тела у мышей nude, несущих ксенотрансплантат опухоли HCT-116 карциномы ободочной кишки человека, после лечения 9,10-дегидро-EpoB (6-часовая в/в-инфузия). На фиг.25 показано образование микротрубочек из тубулина в присутствии различных аналогов эпотилона при 37°C. На фиг.26 показано образование микротрубочек из тубулина в присутствии различных аналогов эпотилона при 4°C. На фиг.27 показано действие 9,10-дегидро-dEpoB и dEpoB на размер опухолей у мышей nude, несущих ксенотрансплантаты HCT-116 (в/в-инфузия, Q2Dx6). На фиг.28 показаны изменения массы тела у мышей nude, несущих ксенотрансплантаты HCT-116, после лечения 9,10-дегидро-dEpoB и dEpoB (в/в-инфузия, Q2Dx6). На фиг.29 показано действие 9,10-дегидро-dEpoB на размер опухолей у мышей nude, несущих ксенотрансплантаты HCT-116 карциномы ободочной кишки человека (в/в-инфузия, Q3Dx4). На фиг.30 показаны изменения массы тела мышей nude, несущих ксенотрансплантаты HCT-116 опухоли карциномы ободочной кишки человека, после лечения 9,10-дегидро-dEpoB (5 мг/кг, в/в-инфузия, X3Dx4). Фиг.31 представляет собой таблицу со значениями IC50 для аналогов эпотилона по отношению к росту клеток CCRF-CEM. На фиг.32 показана метаболическая стабильность аналогов эпотилона in vitro. Фиг.33 представляет собой таблицу, детализирующую терапевтические эффекты различных аналогов эпотилона против ксенотрансплантатов опухолей человека у мышей в случае 6-часовой в/в-инфузии. На фиг.34 показано действие 9,10-дегидро-EpoB на размер опухолей у мышей nude, несущих ксенотрансплантат опухоли HCT-116 карциномы ободочной кишки человека (6-часовая в/в-инфузия, Q2Dx7). На фиг.35 показаны изменения массы тела мышей nude, несущих ксенотрансплантаты опухоли HCT-116 карциномы ободочной кишки человека, после лечения 9,10-дегидро-EpoB и оксазол-EpoD (6-часовая инфузия, Q2Dx7). На фиг.36 показано действие 26-трифтор-9,10-дегидро-dEpoB и 9,10-дегидро-dEpoB на размер опухолей у мышей nude, несущих ксенотрансплантаты A549/Taxol (6-часовая в/в-инфузия, Q2Dx4). На фиг.37 показано действие 9,10-дегидро-dEpoB на размер опухолей у мышей nude, несущих ксенотрансплантаты A549/Taxol (6-часовая в/в-инфузия, Q3Dx3). На фиг.38 показана стабильность аналогов эпотилона в 20% плазме мышей/PBS. На фиг.39 показана стабильность аналогов эпотилона в 10% фракции S9 печени человека/PBS. На фиг.40 показана хроматограмма стабильности EpoD в 10% печени человека S9/PBS. На фиг.41 представлены таблицы, описывающие действие различных аналогов эпотилона на полимеризацию микротрубочек in vitro при 37°C в отсутствие GTP (A) и цитотоксичность различных аналогов эпотилона в линии клеток легкого человека A549 (B). На фиг.42 показана стабилизация образования микротрубочек эпотилонами при 35°C и 4°C. На фиг.43 показано терапевтическое действие 9,10-дегидро-dEpoB у мышей nude, несущих ксенотрансплантат карциномы молочной железы человека T (MX-1) (6-часовая инфузия, Q2Dx5). На фиг.44 показано изменение массы тела мышей nude, несущих ксенотрансплантат карциномы молочной железы человека (MX-1), после лечения 9,10-дегидро-dEpoB (6-часовая инфузия, Q2Dx8). На фиг.45 показано изменение массы тела мышей nude, несущих ксенотрансплантат HCT-116, после лечения 9,10-дегидро-dEpoB (в/в-инфузия, Q2Dx7). На фиг.46 показано терапевтическое действие 9,10-дегидро-dEpoF, dEpoB и таксола на размер опухолей у мышей nude, несущих ксенотрансплантат опухоли карциномы молочной железы человека (MX-1) (6-часовая в/в-инфузия, Q2Dx6). На фиг.47 показаны изменения массы тела мышей nude, несущих ксенотрансплантат опухоли карциномы молочной железы человека (MX-1), после лечения 9,10-дегидро-dEpoF, dEpoB и таксолом (6-часовая инфузия, Q2Dx6). На фиг.48 показано терапевтическое действие 9,10-дегидро-dEpoF и dEpoB у мышей nude, несущих ксенотрансплантат HCT-116 карциномы ободочной кишки человека (6-часовая инфузия, Q2Dx8). На фиг.49 показаны изменения массы тела мышей nude, несущих ксенотрансплантат HCT-116, после лечения 9,10-дегидро-dEpoF и dEpoB (6-часовая инфузия, Q2Dx8). На фиг.50 показано терапевтическое действие 9,10-дегидро-dEpoF и dEpoB у мышей nude, несущих ксенотрансплантат резистентной к таксолу карциномы легкого человека (A549/Taxol) (6-часовая инфузия, Q2Dx5). На фиг.51 показаны изменения массы тела мышей nude, несущих ксенотрансплантат резистентной к таксолу карциномы легкого человека (A549/Taxol), после лечения 9,10-дегидро-dEpoF и dEpoB (6-часовая инфузия, Q2Dx5). Фиг.52 представляет собой таблицу сравнения эффективности различных аналогов эпотилона по отношению к ингибированию опухолевого роста in vitro и относительному терапевтическому индексу. На фиг.53 показано терапевтическое действие 9,10-дегидро-dEpoB у мышей nude, несущих ксенотрансплантат MX-1 (Q3Dx9, 6-часовая в/в-инфузия). На фиг.54 показаны изменения массы тела мышей nude, несущих ксенотрансплантат MX-1, после лечения 9,10-дегидро-dEpoB (Q3Dx9, 6-часовая в/в-инфузия). На фиг.55 показано терапевтическое действие 9,10-дегидроэпотилона B у мышей nude, несущих ксенотрансплантат MX-1 (Q3Dx9, 6-часовая инфузия). На фиг.56 показаны изменения массы тела мышей nude, несущих ксенотрансплантат MX-1, после лечения 9,10-дегидроэпотилоном B (Q3Dx9, 6-часовая в/в-инфузия). На фиг.57 показано терапевтическое действие низких доз 26-трифтор-9,10-дегидро-dEpoB у мышей nude, несущих ксенотрансплантат MX-1 (6-часовая в/в-инфузия, Q2Dx12). На фиг.58 показаны изменения массы тела мышей nude, несущих ксенотрансплантат MX-1, после лечения низкими дозами 26-трифтор-9,10-дегидро-dEpoB (6-часовая в/в-инфузия, Q2Dx12). На фиг.59 показано химиотерапевтическое действие аналогов эпотилона против ксенотрансплантатов опухолей человека у мышей nude. Ткань опухоли (40-50 мг) имплантировали п/к в день 0. Лечение начинали, когда размер опухоли достигал примерно 100 мм3 или больше, как указано. Все обработки, которые указаны стрелками, проводили с помощью 6-часовой в/в-инфузии через хвостовую вену, используя миникатетер и программируемый насос, как описано ранее (Su, D.-S. et al, Angew. Chem. Int. Ed. 1997, 36, 2093; Chou, T. C. et al. Proc. Natl. Acad. Sci. USA. 1998, 95, 15798; каждая публикация включена в данное описание в виде ссылки). Каждая группа дозирования состояла из четырех или более мышей. Массой тела называли суммарную массу тела минус массу опухоли, полагая, что 1 мм3 опухоли равен 1 мг опухолевой ткани. A. Ксенотрансплантат карциномы молочной железы MX-1, обработанный низкими дозами 25-трифтор-(E)-9,10-дегидро-12,13-дезоксиEpoB (10 мг/кг) при сравнении с обработками в таблице 1 (20 мг/кг и 30 мг/кг). B. Крупные ксенотрансплантаты MX-1 (500 мм3) обрабатывали 25-трифтор-(E)-9,10-дегидро-12,13-дезоксиEpoB (25 мг/кг) и dEpoB (30 мг/кг). C. Медленно растущий ксенотрансплантат карциномы легкого A549, обработанный 25-трифтор-(E)-9,10-дегидро-12,13-дезоксиEpoB (25 мг/кг) и dEpoB (30 мг/кг). D. Ксенотрансплантат A549/Taxol (44-кратная резистентность к паклитакселу in vitro), обработанный 25-трифтор-(E)-9,10-дегидро-12,13-дезоксиEpoB (20 мг/кг) и (E)-9,10-дегидро-12,13-дезоксиEpoB (4 мг/кг). Обработка deH-dEpoB на 28 день была пропущена вследствие заметного и быстрого снижения массы тела. На фиг.60 изображен синтез C-21-модифицированных 9,10-(E)-дегидроэпотилонов. На фиг.60A показан синтез 26-трифтор-21-метиламино-9,10-(E)-дегидро-12,13-дезоксиэпотилона B. Фиг.60B является схемой синтеза для получения 26-трифтор-21-амино-9,10-(E)-дегидро-12,13-дезоксиэпотилона B в качестве промежуточного продукта синтеза 26-трифтор-21-диметиламино-9,10-(E)-дегидро-12,13-дезоксиэпотилона B. Фиг.61 представляет собой таблицу со значениями IC50 для C-21-модифицированных эпотилонов по отношению к линии опухолевых клеток CCRF-CEM и ее подлиний, резистентных к лекарственным средствам. На фиг.62 показано терапевтическое действие 26-трифтор-9,10-дегидро-dEpoB и таксола у мышей nude, несущих ксенотрансплантат T-клеточного лимфобластного лейкоза человека CCRF-CEM (6-часовая в/в-инфузия, Q2Dx8). На фиг.63 показаны изменения массы тела у мышей nude, несущих ксенотрансплантат T-клеточного лимфобластного лейкоза человека CCRF-CEM, после лечения 25-трифтор-9,10-дегидро-dEpoB и таксолом (6-часовая в/в-инфузия, Q2Dx8). На фиг.64 показано терапевтическое действие 26-трифтор-9, 10-дегидро-dEpoB и таксола у мышей nude, несущих ксенотрансплантат T-клеточного лимфобластного лейкоза человека CCRF-CEM/Taxol (резистентный к таксолу) (6-часовая в/в-инфузия, Q2Dx7, x5). На фиг.65 показаны изменения массы тела у мышей nude, несущих ксенотрансплантат T-клеточного лимфобластного лейкоза человека CCRF-CEM/Taxol (резистентный к таксолу), после лечения 26-трифтор-9,10-дегидро-dEpoB и таксолом (6-часовая в/в-инфузия, Q2Dx7, x5). На фиг.66 показано терапевтическое действие 26-трифтор-9,10-дегидро-dEpoB и таксола у мышей nude, несущих ксенотрансплантат карциномы ободочной кишки человека HCT-116 (Q2Dx4, x2, 6-часовая в/в-инфузия). На фиг.67 показаны изменения массы тела у мышей nude, несущих ксенотрансплантат карциномы ободочной кишки человека HCT-116, после лечения 26-трифтор-9,10-дегидро-dEpoB и таксолом (Q2Dx4, x2, 6-часовая в/в-инфузия). На фиг.68 показано терапевтическое действие 9,10-дегидро-EpoB у мышей nude, несущих ксенотрансплантат MX-1 (6-часовая в/в-инфузия). На фиг.69 показаны изменения массы тела у мышей nude, несущих ксенотрансплантат карциномы молочной железы человека MX-1, после лечения 9,10-дегидро-EpoB (6-часовая инфузия в/в-инфузия). На фиг.70 показано терапевтическое действие 9,10-дегидро-EpoB у мышей nude, несущих ксенотрансплантат T-клеточного лимфобластного лейкоза человека CCRF-CEM/Taxol (резистентный к таксолу) (6-часовая в/в-инфузия, Q3Dx5, x2). На фиг.71 показаны изменения массы тела у мышей nude, несущих ксенотрансплантат T-клеточного лимфобластного лейкоза человека CCRF-CEM/Taxol (резистентный к таксолу), после лечения 9,10-дегидро-EpoB (6-часовая в/в-инфузия, Q3Dx5, x2). На фиг.72 показано терапевтическое действие 26-трифтор-dEpoB и 26-трифтор-9,10-дегидро-dEpoF у мышей nude, несущих ксенотрансплантат карциномы молочной железы человека MX-1 (Q2Dx11, в/в-инъекция). На фиг.73 показаны изменения массы тела у мышей nude, несущих ксенотрансплантат карциномы молочной железы человека MX-1, после лечения 26-трифтор-dEpoB и 26-трифтор-9,10-дегидро-dEpoF (Q2Dx11, в/в-инъекция). На фиг.74 показано терапевтическое действие 9,10-дегидро-dEpoB у мышей nude, несущих ксенотрансплантат карциномы молочной железы человека MX-1 (Q3Dx9, 6-часовая в/в-инфузия). На фиг.75 показаны изменения массы тела у мышей nude, несущих ксенотрансплантат карциномы молочной железы человека MX-1, после лечения 9,10-дегидро-dEpoB (Q3Dx9, 6-часовая в/в-инфузия). На фиг.76 показано терапевтическое действие 26-трифтор-9,10-дегидро-dEpoF у мышей nude, несущих ксенотрансплантат карциномы легкого человека (MX-1) (6-часовая в/в-инфузия и в/в-инъекция). На фиг.77 показаны изменения массы тела у мышей nude, несущих ксенотрансплантат MX-1, после лечения 26-трифтор-9,10-дегидро-dEpoF (6-часовая в/в-инфузия и в/в-инъекция). Определения Некоторые предлагаемые в данном изобретении соединения и определения конкретных функциональных групп также описаны более подробно ниже. В данном изобретении химические элементы идентифицированы в соответствии с Периодической таблицей элементов, CAS-версия, Handbook of Chemistry and Physics, 75th Ed., внутренняя сторона обложки, и конкретные функциональные группы, как правило, определяют как описано в данной заявке. Кроме того, общие принципы органической химии, а также конкретные функциональные остатки и химическая активность описаны в «Organic Chemistry», Thomas Sorrel, University Science Books, Sausalito: 1999, полное содержание которой включено в данное описание в виде ссылки. Кроме того, специалисту в данной области будет понятно, что в способах синтеза, которые приведены в данном описании, используется ряд защитных групп. Под термином «защитная группа», используемым в данном описании, подразумевается, что конкретный функциональный остаток, например O, S или N, временно блокируют, так чтобы реакция осуществлялась избирательно в другом химически активном сайте в многофункциональном соединении. В предпочтительных вариантах защитная группа избирательно взаимодействует, с хорошим выходом давая защищенный субстрат, который стабилен по отношению к намеченным реакциям; защитная группа должна избирательно удаляться с хорошим выходом легко доступными, предпочтительно нетоксичными реагентами, которые не воздействуют на другие функциональные группы; защитная группа образует легко отделяемое производное (более предпочтительно без образования новых стереогенных центров); и защитная группа имеет минимум дополнительной функциональности, чтобы избежать дополнительных реакционных сайтов. Как подробно изложено в данном описании, можно использовать защитные группы кислорода, серы, азота и углерода. Примеры защитных групп подробно указаны в данном описании, однако будет понятно, что это не означает, что данное изобретение ограничивается указанными защитными группами; точнее множество дополнительных эквивалентных защитных групп можно легко идентифицировать, используя указанные выше критерии, и использовать в способе, предлагаемом в данном изобретении. Кроме того, ряд защитных групп описаны в «Protective Groups in Organic Synthesis» Third Ed. Greene, T. W. and Wuts, P.G., Eds., John Wiley and Sons, New York: 1999, полное содержание которой тем самым включено в виде ссылки. Будет понятно, что соединения, которые указаны в описании, могут быть замещены любым количеством заместителей или функциональных остатков. В общем, термин «замещенный», которому предшествует или не предшествует термин «необязательно», и заместители, входящие в формулы согласно данному изобретению, относятся к замене водородных радикалов в данной структуре радикалом определенного заместителя. В том случае, когда в какой-либо данной структуре могут быть замещены более одного положения более чем одним заместителем, выбранным из определенной группы, заместители во всех положениях могут быть либо одинаковыми, либо разными. В используемом в данном описании смысле предполагается, что термин «замещенный» включает в себя все допустимые заместители органических соединений. В широком аспекте допустимые заместители включают ациклические и циклические, разветвленные и неразветвленные, карбоциклические и гетероциклические, ароматические и неароматические заместители органических соединений. В настоящем изобретении гетероатомы, такие как азот, могут иметь водородные заместители и/или любые допустимые заместители органических соединений, описанных в данной публикации, которые удовлетворяют валентностям гетероатомов. Кроме того, подразумевается, что данное изобретение никоим образом не ограничено допустимыми заместителями органических соединений. Комбинациями заместителей и переменных, предполагаемых в данном изобретении, предпочтительно являются комбинации, которые приводят к образованию стабильных соединений, применимых для лечения, например, пролиферативных расстройств, включая, но не ограничивая указанным, злокачественную опухоль. Термин «стабильное», используемый в данном описании, предпочтительно относится к соединениям, которые обладают стабильностью, достаточной для того, чтобы обеспечить возможность производства, и которые сохраняют целостность соединения в течение периода времени, достаточного для его регистрации, и предпочтительно в течение периода времени, достаточного для его использования в целях, подробно указанных в данном описании. Термин «алифатический» в используемом в данном описании смысле включает в себя как насыщенные, так и ненасыщенные, с прямой цепью (т.е. неразветвленные), разветвленные, циклические или полициклические алифатические углеводороды, которые необязательно замещены одной или несколькими функциональными группами. Как будет понятно специалисту в данной области, в данном описании подразумевается, что термин «алифатический» включает, но не ограничен указанным, алкильный, алкенильный, алкинильный, циклоалкильный, циклоалкенильный и циклоалкинильный остатки. Таким образом, используемый в данном описании термин «алкил» включает неразветвленные, разветвленные и циклические алкильные группы. Аналогичное условие применимо к другим общим терминам, таким как «алкенил», «алкинил» и тому подобным. Кроме того, используемые в данном описании термины «алкил», «алкенил», «алкинил» и тому подобные охватывают как замещенные, так и незамещенные группы. В некоторых вариантах используемый в данном описании термин «низший алкил» используют для указания алкильных групп (циклических, ациклических, замещенных, незамещенных, разветвленных или неразветвленных), имеющих 1-6 атомов углерода. В некоторых вариантах алкильные, алкенильные и алкинильные группы, используемые в изобретении, содержат 1-20 алифатических атомов углерода. В некоторых других вариантах алкильные, алкенильные и алкинильные группы, используемые в изобретении, содержат 1-10 алифатических атомов углерода. В других вариантах алкильные, алкенильные и алкинильные группы, используемые в изобретении, содержат 1-8 алифатических атомов углерода. В следующих вариантах алкильные, алкенильные и алкинильные группы, используемые в изобретении, содержат 1-6 алифатических атомов углерода. Кроме того, в других вариантах алкильные, алкенильные и алкинильные группы, используемые в изобретении, содержат 1-4 атома углерода. Таким образом, иллюстративные алифатические группы включают, но не ограничены указанным, например, остатки метила, этила, н-пропила, изопропила, циклопропила, -CH2-циклопропила, аллила, н-бутила, втор-бутила, изобутила, трет-бутила, циклобутила, -CH2-циклобутила, н-пентила, втор-пентила, изопентила, трет-пентила, циклопентила, -CH2-циклопентила, н-гексила, втор-гексила, циклогексила, -CH2-циклогексила и тому подобные, которые к тому же могут нести один или несколько заместителей. Алкенильные группы включают, но не ограничены указанным, например, этенил, пропенил, бутенил, 1-метил-2-бутен-1-ил и тому подобное. Типичные алкинильные группы включают, но не ограничены указанным, этинил, 2-пропинил (пропаргил), 1-пропинил и тому подобные. Термин «алкоксигруппа» или «тиоалкил», используемый в данном описании, относится к алкильной группе, которая определена ранее, связанной с остатком родительской молекулы через атом кислорода или через атом серы. В некоторых вариантах алкильная группа содержит 1-20 алифатических атомов углерода. В некоторых других вариантах алкильная группа содержит 1-10 алифатических атомов углерода. В других вариантах алкильные, алкенильные и алкинильные группы, используемые в изобретении, содержат 1-8 алифатических атомов углерода. В следующих вариантах алкильная группа содержит 1-6 алифатических атомов углерода. В других вариантах алкильная группа содержит 1-4 алифатических атома углерода. Примеры алкоксигрупп включают, но не ограничены указанным, метокси-, этокси-, пропокси-, изопропокси-, н-бутокси-, трет-бутокси, неопентокси- и н-гексоксигруппу. Примеры тиоалкила включают, но не ограничены указанным, метилтио-, этилтио-, пропилтио-, изопропилтио-, н-бутилтиогруппу и тому подобные. Термин «алкиламиногруппа» относится к группе, имеющей структуру -NHR’, где R’ означает алкил, который определен в данном описании. В некоторых вариантах алкильная группа содержит 1-20 алифатических атомов углерода. В некоторых других вариантах алкильная группа содержит 1-10 алифатических атомов углерода. В других вариантах алкильные, алкенильные и алкинильные группы, используемые в изобретении, содержат 1-8 алифатических атомов углерода. В следующих вариантах алкильная группа содержит 1-6 алифатических атомов углерода. В других вариантах алкильная группа содержит 1-4 алифатических атомов углерода. Примеры алкиламиногрупп включают, но не ограничены, метиламино-, этиламино-, изо-пропиламиногруппой и тому подобными. Некоторые примеры заместителей описанных выше алифатических (и других) остатков соединений, предлагаемых в изобретении, включают, но не ограничены указанным, алифатическую группу; гетероалифатическую группу; арил; гетероарил; арилалкил; гетероарилалкил; алкоксигруппу; арилоксигруппу; гетероалкоксигруппу; гетероарилоксигруппу; алкилтиогруппу; арилтиогруппу; гетероалкилтиогруппу; гетероарилтиогруппу; F; Cl; Br; I; -OH; -NO2; -CN; -CF3; -CH2CF3; -CHCl2; -CH2OH; -CH2CH2OH; -CH2NH2; -CH2SO2CH3; -C(O)RX; -CO2(RX); -CON(RX)2; -OC(O)RX; -OCO2RX; -OCON(RX)2; -N(RX)2; -S(O)2RX; -NRX(CO)RX, где в каждом случае RX независимо включает, но не ограничен указанным, алифатическую группу, гетероалифатическую группу, арил, гетероарил, арилалкил или гетероарилалкил, где любой из алифатических, гетероалифатических, арилалкильных или гетероарилалкильных заместителей, описанных выше и в данном случае, может быть замещенным или незамещенным, разветвленным или неразветвленным, циклическим или ациклическим, и где любой из арильных или гетероарильных заместителей, описанных выше и в данном случае, может быть замещенным или незамещенным. Дополнительные примеры обычно применимых заместителей иллюстрированы конкретными вариантами, показанными в примерах, которые приведены в данном описании. Термины «арил» и «гетероарил», используемые в данном описании, относятся к стабильным моно- или полициклическим, гетероциклическим, полициклическим и полигетероциклическим ненасыщенным остаткам, имеющим предпочтительно 3-14 атомов углерода, каждый из которых может быть замещенным или незамещенным. Заместители включают без ограничения любой из ранее упомянутых заместителей, т.е. заместителей, перечисленных для алифатических остатков или для других остатков, которые описаны в данной публикации, которые приводят к образованию стабильного соединения. В некоторых вариантах осуществления данного изобретения «арил» относится к моно- или бициклической карбоциклической кольцевой системе, имеющей одно или два ароматических кольца, включая, но не ограничиваясь указанным, фенил, нафтил, тетрагидронафтил, индалил, инденил и тому подобное. В некоторых вариантах осуществления данного изобретения термин «гетероарил», используемый в данном описании, относится к циклическому ароматическому радикалу, имеющему от пяти до десяти атомов в цикле, из которых один атом в цикле выбран из S, O и N; ноль, один или два атома в цикле являются дополнительными гетероатомами, независимо выбранными из S, O и N; и остальные атомы в цикле являются атомами углерода, при этом радикал связан с остальной частью молекулы посредством любого атома в цикле, например, такой как пиридил, пиразинил, пиримидинил, пирролил, пиразолил, имидазолил, тиазолил, оксазолил, изооксазолил, тиадиазолил, оксадиазолил, тиофенил, фуранил, хинолинил, изохинолинил и тому подобное. Будет понятно, что арильные и гетероарильные группы (включая бициклические арильные группы) могут быть незамещенными или замещенными, при этом замещение включает замену в них одного, двух или трех атомов водорода независимо любым одним или несколькими из следующих остатков, включая без ограничения: алифатическую группу; гетероалифатическую группу; арил; гетероарил; арилалкил; гетероарилалкил; алкоксигруппу; арилоксигруппу; гетероалкоксигруппу; гетероарилоксигруппу; алкилтиогруппу; арилтиогруппу; гетероалкилтиогруппу; гетероарилтиогруппу; F; Cl; Br; I; -OH; -NO2; -CN; -CF3; -CH2CF3; -CHCl2; -CH2OH; -CH2CH2OH; -CH2NH2; -CH2SO2CH3; -C(O)RX; -CO2(RX); -CON(RX)2; -OC(O)RX; -OCO2RX; -OCON(RX)2; -N(RX)2; -S(O)2RX; -NRX(CO)RX, где в каждом случае RX независимо включает, но не ограничен указанным, алифатическую группу, гетероалифатическую группу, арил, гетероарил, арилалкил или гетероарилалкил, где любой из алифатических, гетероалифатических, арилалкильных или гетероарилалкильных заместителей, описанных выше и в данном случае, может быть замещенным или незамещенным, разветвленным или неразветвленным, циклическим или ациклическим, и где любой из арильных или гетероарильных заместителей, описанных выше и в данном случае, может быть замещенным или незамещенным. Дополнительные примеры обычно применимых заместителей иллюстрированы конкретными вариантами, показанными в примерах, которые приведены в данном описании. Термин «циклоалкил», используемый в данном описании, в частности, относится к группам, имеющим от трех до семи, предпочтительно от трех до десяти атомов углерода. Подходящие циклоалкилы включают, но не ограничены указанным, циклопропил, циклобутил, циклопентил, циклогексил, циклогептил и тому подобное, которые, как и в случае других алифатических, гетероалифатических или гетероциклических остатков могут быть необязательно замещены заместителями, включая без ограничения алифатическую группу; гетероалифатическую группу; арил; гетероарил; арилалкил; гетероарилалкил; алкоксигруппу; арилоксигруппу; гетероалкоксигруппу; гетероарилоксигруппу; алкилтиогруппу; арилтиогруппу; гетероалкилтиогруппу; гетероарилтиогруппу; F; Cl; Br; I; -OH; -NO2; -CN; -CF3; -CH2CF3; -CHCl2; -CH2OH; -CH2CH2OH; -CH2NH2; -CH2SO2CH3; -C(O)RX; -CO2(RX); -CON(RX)2; -OC(O)RX; -OCO2RX; -OCON(RX)2; -N(RX)2; -S(O)2RX; -NRX(CO)RX, где в каждом случае RX независимо включает, но не ограничен указанным, алифатическую группу, гетероалифатическую группу, арил, гетероарил, арилалкил или гетероарилалкил, где любой из алифатических, гетероалифатических, арилалкильных или гетероарилалкильных заместителей, описанных выше и в данном случае, может быть замещенным или незамещенным, разветвленным или неразветвленным, циклическим или ациклическим, и где любой из арильных или гетероарильных заместителей, описанных выше и в данном случае, может быть замещенным или незамещенным. Дополнительные примеры обычно применимых заместителей иллюстрированы конкретными вариантами, показанными в примерах, которые приведены в данном описании. Термин «гетероалифатический», используемый в данном описании, относится к алифатическим остаткам, которые содержат один или несколько атомов кислорода, серы, азота, фосфора или кремния, например, вместо атомов углерода. Гетероалифатические остатки могут быть разветвленными, неразветвленными, циклическими или ациклическими и включают насыщенные и ненасыщенные гетероциклы, такие как морфолиногруппу, пирролидинил и т.д. В некоторых вариантах гетероалифатические остатки замещены независимой заменой в них одного или нескольких атомов водорода одним или несколькими остатками, включая без ограничения алифатическую группу; гетероалифатическую группу; арил; гетероарил; арилалкил; гетероарилалкил; алкоксигруппу; арилоксигруппу; гетероалкоксигруппу; гетероарилоксигруппу; алкилтиогруппу; арилтиогруппу; гетероалкилтиогруппу; гетероарилтиогруппу; F; Cl; Br; I; -OH; -NO2; -CN; -CF3; -CH2CF3; -CHCl2; -CH2OH; -CH2CH2OH; -CH2NH2; -CH2SO2CH3; -C(O)RX; -CO2(RX); -CON(RX)2; -OC(O)RX; -OCO2RX; -OCON(RX)2; -N(RX)2; -S(O)2RX; -NRX(CO)RX, где в каждом случае RX независимо включает, но не ограничен указанным, алифатическую группу, гетероалифатическую группу, арил, гетероарил, арилалкил или гетероарилалкил, где любой из алифатических, гетероалифатических, арилалкильных или гетероарилалкильных заместителей, описанных выше и в данном случае, может быть замещенным или незамещенным, разветвленным или неразветвленным, циклическим или ациклическим, и где любой из арильных или гетероарильных заместителей, описанных выше и в данном случае, может быть замещенным или незамещенным. Дополнительные примеры обычно применимых заместителей иллюстрированы конкретными вариантами, показанными в примерах, которые приведены в данном описании. Термин «галоген», используемый в данном описании, относится к атому, выбранному из фтора, хлора, брома и йода. Термин «галогеналкил» означает алкильную группу, которая определена выше, имеющую один, два или три связанных с ней атомов галогена, примерами которой являются такие группы, как хлорметил, бромэтил, трифторметил и тому подобные. Термин «гетероциклоалкил» или «гетероцикл», используемый в данном описании, относится к неароматическому 5-, 6- или 7-членному циклу или полициклической группе, включая без ограничения би- или трициклическую группу, содержащую конденсированные шестичленные циклы, имеющие от одного до трех гетероатомов, независимо выбранных из кислорода, серы и азота, где (i) каждый 5-членный цикл имеет от 0 до 1 двойной связи и каждый 6-членный цикл имеет от 0 до 2 двойных связей, (ii) гетероатомы азота и серы необязательно могут быть окислены, (iii) гетероатом азота необязательно может быть четвертичным и (iv) любое из указанных выше гетероциклических колец может быть слито с бензольным кольцом. Типичные гетероциклы включают, но не ограничены указанным, пирролидинил, пиразолинил, пиразолидинил, имидазолинил, имидазолидинил, пиперидинил, пиперазинил, оксазолидинил, изоксазолидинил, морфолинил, тиазолидинил, изотиазолидинил и тетрагидрофурил. В некоторых вариантах используется термин «замещенная гетероциклоалкильная или гетероциклическая» группа и используемый в данном описании термин относится к гетероциклоалкильной или гетероциклической группе, которая определена выше, с замещением в ней одного, двух или трех атомов водорода без ограничения алифатической группой; гетероалифатической группой; арилом; гетероарилом; арилалкилом; гетероарилалкилом; алкоксигруппой; арилоксигруппой; гетероалкоксигруппой; гетероарилоксигруппой; алкилтиогруппой; арилтиогруппой; гетероалкилтиогруппой; гетероарилтиогруппой; F; Cl; Br; I; -OH; -NO2; -CN; -CF3; -CH2CF3; -CHCl2; -CH2OH; -CH2CH2OH; -CH2NH2; -CH2SO2CH3; -C(O)Rx; -CO2(Rx); -CON(Rx)2; -OC(O)Rx; -OCO2Rx; -OCON(Rx)2; -N(Rx)2; -S(O)2Rx; -NRx(CO)Rx, где в каждом случае Rx независимо включает, но не ограничен указанным, алифатическую группу, гетероалифатическую группу, арил, гетероарил, арилалкил или гетероарилалкил, где любой из алифатических, гетероалифатических, арилалкильных или гетероарилалкильных заместителей, описанных выше и в данном случае, может быть замещенным или незамещенным, разветвленным или неразветвленным, циклическим или ациклическим, и где любой из арильных или гетероарильных заместителей, описанных выше и в данном случае, может быть замещенным или незамещенным. Дополнительные примеры обычно используемых заместителей иллюстрированы конкретными вариантами, показанными в примерах, которые приведены в данном описании. Термин «меченое», используемый в данном описании, означает, что соединение имеет, по меньшей мере, один связанный элемент, изотоп или химическое соединение, делающее возможной регистрацию соединения. В общем, метки можно отнести к трем классам: a) изотопные метки, которые могут быть радиоактивными или тяжелыми изотопами, включая, но, не ограничиваясь указанным, 2H, 3H, 32P, 35S, 67Ga, 99mTc (Tc-99m), 111In, 123I, 125I, 169Yb и 186Re; b) иммунные метки, которые могут быть антителами или антигенами; и c) окрашенные или флуоресцирующие красители. Будет понятно, что метки могут быть включены в соединение в любом положении, которое не препятствует биологической активности или признаку соединения, которое регистрируют. В некоторых вариантах осуществления изобретения используют фотоаффинное мечение для прямого определения межмолекулярных взаимодействий в биологических системах (например, чтобы исследовать сайт связывания эпотилона в димере тубулина). Можно использовать множество фотофоров, большинство которых основано на фотопревращении диазосоединений, азидов или диазиринов в нитрены или карбены (см. Bayley, H., Photogenerated Reagents in Biochemistry and Molecular Biology (1983), Elsevier, Amsterdam.), полное содержание публикации включено в данное описание в виде ссылки. В некоторых вариантах осуществления изобретения используемыми фотоаффинными метками являются орто-, мета- и пара-азидобензоилы, замещенные одним или несколькими остатками галогена, включая, но не ограничиваясь указанным, 4-азидо-2,3,5,6-тетрафторбензойную кислоту. «Полимер»: Термин «полимер», используемый в данном описании, относится к композиции, содержащей цепи, которые могут быть открытыми, замкнутыми, линейными, разветвленными или сшитыми из повторяющихся единиц (мономеров), которые могут быть одинаковыми или разными. Будет понятно, что в некоторых вариантах термин «полимер» относится к биополимерам, которые, как подразумевается, относятся к природным полимерным материалам, или основанным на таких материалах, найденных в природе, включая, но не ограничиваясь указанным, нуклеиновые кислоты, пептиды и их миметики. В некоторых других вариантах термин «полимер» относится к синтетическим полимерам, таким как биоразлагаемые полимеры или другие полимерные материалы. Будет понятно, что полимерные твердые носители также включены в полимеры, предлагаемые в данном изобретении. Предлагаемые в изобретении соединения могут быть связаны с полимерными носителями и, следовательно, некоторые синтетические модификации могут осуществляться на твердой фазе. Используемый в данном описании термин «твердый носитель» включает, но не ограничен указанным, гранулы, диски, капилляры, полые волокна, иглы, штыри, твердые волокна, целлюлозные шарики, пористые стеклянные шарики, силикагели, полистироловые шарики, необязательно сшитые с дивинилбензолом, шарики из привитых сополимеров, полиакриламидные шарики, латексные шарики, диметилакриламидные шарики, необязательно перекрестно сшитые с N-N’-бис-акрилоилэтилендиамином, и стеклянные частицы, покрытые гидрофобным полимером. Специалисту в данной области будет понятно, что выбор конкретного твердого носителя будет ограничен совместимостью носителя с используемыми химическими реакциями. Примером твердого носителя является аминосмола Tentagel, композиция 1) полистироловых шариков, перекрестно сшитых с дивинилбензолом, и 2) ПЭГ (полиэтиленгликоль). Tentagel является особенно применимым твердым носителем, так как он обеспечивает универсальную поддержку для использования в анализах на шарикам и без шариков, а также прекрасно набухает в растворителях в диапазоне от толуола до воды. Описание некоторых вариантов осуществления изобретения Признавая необходимость в разработке новых и эффективных способов терапии злокачественных опухолей, в данном изобретении предлагаются новые методики синтеза, открывающих доступ к макроциклам, обладающим широким диапазоном биологической и фармакологической активности, а также новые соединения с такой активностью, новые терапевтические композиции и способы применения таких соединения и композиций. В некоторых вариантах предлагаемые в изобретении соединения применимы при лечении злокачественной опухоли. Некоторые предлагаемые в изобретении соединения оказывают цитотоксическое или ингибирующее рост действие на линии клеток злокачественных опухолей, проявляют способность полимеризовать тубулин и стабилизировать конструкции из микротрубочек и/или приводят к сокращению или исчезновению опухолей в моделях ксенотрансплантатов клеток злокачественной опухоли. В некоторых вариантах соединения могут иметь сниженные или минимальные побочные эффекты, включая токсичность по отношению к жизненно важных органам, тошноту, рвоту, диарею, аллопецию, потерю массы, увеличение массы, токсичность для печени, кожные нарушения и т.д. Соединения также легче могут быть приготовлены в виде композиций вследствие повышенной растворимости в воде, пониженной токсичности, увеличенному терапевтическому диапазону, повышенной эффективности и т.д. Общее описание предлагаемых в изобретении соединений Соединения настоящего изобретения включают соединения общей формулы (0) и (0′), которые дополнительно определены ниже: 6, авторы, естественно, отнесли неудачу в случае 15 к присутствию трифторметильной группы у C12. В случае соединения 28 при наличии строго подтвержденной структуры авторы были удивлены, обнаружив, что его спектральные свойства не совпадали со свойствами соединения, о котором сообщалось ранее, предположительно являющегося тем же самым соединением. Однако, обращаясь в прошлое, ясно, что соединение 28 ранее не было получено, в действительности целое семейство (E)-9,10-дегидроэпотилонов, указанных в данном описании, является новым классом соединений. Исследование синтетических аналогов (2, 28 и 29) в условиях культуры клеток показало более сильное ингибирующее действие на различные чувствительные и MDR-линии опухолевых клеток, чем действие, оказываемое вошедшим в клинику dEpoB (1) (таблица 1-3). Авторы отмечают, что Epo 3 (28) является первым соединением 12,13-дезоксиэпотилона, которое обладает в значительной степени повышенной цитотоксичностью по сравнению с цитотоксичностью dEpoB (1).
Заметное ингибирование клеточного роста, оказываемое эпотилонами 2, 28 и 29 (Epo 2-4) на ряд различных резистентных к лекарственным средствам опухолей, побудило к определению стабильности указанных новых (E)-9,10-представителей в плазме крови. Например, недавно описанный (E)-10,11-дегидро-dEpoB (в случае 1 с CH3-группой у C-12) проявляет очень плохую стабильность в плазме по отношению к раскрытию лактона. Именно указанная нестабильность в плазме сдерживала продвижение (E)-10,11-дегидро-dEpoB. Напротив, при экспонировании 2, 28 и 29 (Epo 2-4) с плазмой мышей авторы наблюдали намного более медленную деградацию лекарственного средства по сравнению с dEpoB (1), в семь раз. Указанная стабильность представляет собой значительный прогресс с точки зрения доступности лекарственного средства, по сравнению с dEpoB (см. фиг.9). Объединение данных о цитотоксичности и стабильности в плазме побудило авторов синтезировать значительные количества 28 (Epo 3), чтобы определить его эффективность in vivo у мышей nude, несущих ксенотрансплантаты опухолей человека. Эпотилон 28 (Epo 3) демонстрировал заметно повышенную эффективность в ингибировании роста имплантированных опухолей по сравнению с dEpoB (см. фиг.10). Повышенная эффективность и стабильность в плазме делает возможным очень существенное снижение дозы лекарственного средства (на порядок значений) в контексте ксенотрансплантатов в случае 28 (Epo3). В более ранних исследованиях авторы обнаружили, что эпотилон B в виде 12,13-эпоксида значительно более цитотоксичен, чем его 12,13-дезоксианалог (dEpoB). Однако с точки зрения терапевтического индекса дезоксисоединение показалось авторам намного более обещающим. Недавно авторы сообщили о синтезе (E)-9,10-дегидро-12,13-дезоксиэпотилона B (28) с использованием стереоселективного метатезиса с замыканием цикла. Авторы показали, что внедрение E-9,10-ненасыщенности в контексте обычного Z-12,13-олефина (см. соединение 1) приводит к сильному увеличении эффективности in vitro. По существу это может быть перенесено на условия in vivo у мышей с ксенотранплантатами. Кроме того, соединение 28 обладает значительными фармацевтическими преимуществами по сравнению с dEpoB (1). Это дает возможность уменьшить уровни доз 28 по сравнению с 1 в экспериментах с ксенотрансплантатами, которые уменьшают на порядок значений. Соответственно авторам было интересно, может ли внедрение C9-C10-олефина в эпотилон B (51, EpoB) изменить его биологический профиль в том же направлении.
Терапевтическое действие 9,10-де-H-EpoB у мышей nude, несущих ксенотрансплантат MX-1 (6-час в/в-инфузия, n=4). Соединение 26: Перед реакцией кислоту 25 и спирт 21 подвергали азеотропной перегонке с безводным бензолом (5 мл × 2) и сушили в условиях высокого вакуума. К раствору спирта 21 (240 мг, 0,756 ммоль) в CH2Cl2 (5 мл) добавляли EDCI (192,7 мг, 1,01 ммоль) и DMAP (122,8 мг, 1,01 ммоль) при 0°C. К смеси по каплям добавляли раствор кислоты 25 (314,6 мг, 0,628 ммоль) в CH2Cl2 (промывка 2 мл + 1 мл) в течение 15 мин при 0°C. После перемешивания при 0°C в течение 2 час смесь перемешивали при КТ в течение 2 час. После концентрирования остаток очищали флэш-хроматографией на колонке (SiO2, гексан/EtOAc = от 20:1 до 15:1), получая 26 (340,1 мг, 0,425 ммоль, 68% на основе кислоты) в виде бесцветного масла; [ Соединение 46: Перед реакцией неочищенную кислоту 25 (4,65 г, 7,27 ммоль) и спирт 44 (2,18 г, 9,84 ммоль) подвергали азеотропной перегонке с безводным бензолом и сушили в условиях высокого вакуума. К раствору спирта 44 (2,18 г, 9,84 ммоль) в CH2Cl2 (65 мл) добавляли EDCI (2,09 г, 10,9 ммоль) и DMAP (1,33 г, 10,9 ммоль) при 0°C. К смеси по каплям добавляли раствор неочищенной кислоты 25 (4,65 г, 7,27 ммоль) в CH2Cl2 (промывка 20 мл + 5 мл) в течение 20 мин при 0°C. После перемешивания при 0°C в течение 40 мин смесь перемешивали при КТ в течение 4 час. После концентрирования остаток очищали флэш-хроматографией на колонке (SiO2 160 г; гексан/EtOAc = 20:1), получая 46 (4,85 г, 6,87 ммоль, 94% исходя из сложного трет-бутилового эфира) в виде бесцветного масла; 1H ЯМР (400 МГц, CDCl3) 1H ЯМР (400 МГц, CDCl3) К раствору 68 при 0°C (350,0 мг, 0,6 ммоль) в CH2Cl2 (10 мл) добавляли периодинан Десс-Мартина (398,0 мг, 0,9 ммоль). Смесь перемешивали при КТ в течение 1 час и затем вливали в хорошо перемешанную смесь 1:1 насыщенный Na2S2O3/насыщенный NaHCO3. Слои разделяли через 30 мин. Водный слой три раза экстрагировали Et2O. Объединенные органические экстракты промывали насыщенным NaHCO3, насыщенным раствором соли, сушили над MgSO4 и концентрировали в вакууме. Грубый продукт очищали флэш-хроматографией (градиент от гексана до смеси гексан/EtOAc 91:9), получая 69 (258,4 мг, 74%) в виде прозрачного масла: 1H ЯМР (400 МГц, CDCl3) Пример 8 Способ каталитического асимметрического окисления Пример 10 Аналоги эпотилона, которые приводят к абляции ксенотрансплантированных опухолей до нерецидивирующего состояния Комбинируя химический синтез, молекулярное моделирование и спектроскопические анализы, авторы обнаружили, что введение E-9,10-двойной связи (см. соединение 28 ниже) дает примерно 10-кратное повышение эффективности лекарственного средства в экспериментах на основе ксенотрансплантатов с использованием опухолей MX-1, резистентных к лекарственным средствам (A. Rivkin et al. J. Am. Chem. Soc. 2003, 125, 2899; включено в данное описание в виде ссылки). После сопоставления экспериментов in vitro и in vivo, направленных на опухоли типа MX-1, стало очевидным, что 28 по сути более цитотоксичен, чем 2b. Однако другим фактором, который вносит свой вклад, является то, что остаток лактона в ряду 9,10-дегидросоединений является значительно более стабильным в плазме мышей и человека, чем в случае с 9,10-дегидропредставителями того же ряда. Итогом указанных двух дополнительных эффектов было придание 28 способности осуществлять полное подавление опухоли в случае множества ксенотрансплантатов в дозе 3 мг/кг, в отличие от схемы с дозой 30 мг/кг в случае 1. Пример 11 Исследования in vitro Типичный эксперимент включает в себя культивирование клеток (например, CCRF-CEM) с начальной плотностью 2-5×104 клеток в мл. Их поддерживают во влажной атмосфере с 5% CO2 при 37°C в среде RPMI 1640 (GIBCO/BRL), содержащей пенициллин (100 единиц/мл), стрептомицин (100 мкг/мл) (GIBCO/BRL) и 5% инактивированной нагреванием фетальной сыворотки теленка. В случае клеток, которые выращивали в суспензии (таких как CCRF-CEM и ее сублинии), цитотоксичность измеряют, используя тетразониевый способ для микрокультур на основе гидроксида 2,3-бис(2-метокси-4-нитро-5-сульфофенил)-5-карбоксанилид)-2H-тетразония (XTT), в двух повторах в 96-луночных планшетах для микротитрования. В случае обоих способов оптическую плотность измеряют с использованием считывающего устройства для микропланшетов (EL-340, Bio-Tek, Burlington, VT). Каждая серия содержит шесть или семь концентраций тестируемых лекарственных средств. Данные взаимосвязи доза-эффект анализируют на основе графика медиан эффекта. T-клетки человека CCRF-CEM, клетки острого лимфобластного лейкоза, их резистентную к тенипозиду подлинию (CCRF-CEM/VM1) и резистентную к винбластину подлинию (CCRF-CEM/VBL100) получены от W. T. Beck (University of Illinois, Chicago, I1). В типичном эксперименте, который в общем описан выше, некоторые предлагаемые в изобретении соединения (например, 9,10-дегидро-EpoD) проявляли активность в линиях клеток CCRF-CEM и линиях клеток CCRF-CEM, резистентных к таксолу. Некоторые из указанных соединений проявляют IC50 в диапазоне от 0,0015 до примерно 0,120 на линиях клеток CCRF-CEM. Некоторые другие соединения проявляют IC50 в диапазоне от 0,0015 до примерно 10,5. Некоторые из указанных соединений также проявляют IC50 в диапазоне от 0,011 до примерно 0,80 на линия резистентных клеток CCRF-CEM/Taxol, а некоторые другие соединения проявляют IC50 в диапазоне примерно от 0,011 до 13,0 мкМ. В некоторых вариантах 26F-EpoD проявляет активности в пределах 0,0015 мкМ на линиях клеток CCRF-CEM и в пределах 0,011 мкМ на линиях резистентных клеток CCRF-CEM/Taxol (фиг.11). Пример 12 Исследования in vivo Обычно для ксенотрансплантатов опухолей использовали бестимусных мышей nude, несущих ген nu/nu. Аутбредных мышей, происходящих от Swiss, получали из Charles River Laboratories. Для большинства экспериментов использовали самцов мышей 8-недельного возраста или старше, весящих 22 г. Лекарственное средство вводили через хвостовую вену посредством 6-часовой в/в-инфузии. Каждую отдельную мышь удерживали сосуде для иммобилизации из полипропиленовой пробирке Falcon с отверстиями для введения лекарственного средства. Объем опухоли оценивали измерением длины × ширину × высоту (или ширину), используя штангенциркуль. Для в/в-инфузии использовали многоканальный программируемый шприцевый насос Harvard PHD2000 (Harvard Apparatus). Все исследования на животных проводили в соответствии с правилами «Руководства по уходу и использованию животных» Национального института здравоохранения и протоколом, одобренным Институтским комитетом по уходу и использованию животных Memorial Sloan-Kettering Cancer Center. В соответствии с нормативами комитета в отношении гуманной обработки несущих опухоли животных мышей подвергали эвтаназии, когда опухоли достигали >10% их общей массы тела. Как изображено на фиг.8, 9,10-дегидро-EpoB тестировали у мышей nude, несущих карциному молочной железы человека MX-1. В общем 9,10-дегидро-EpoB готовили следующим образом: 9,10-дегидро-EpoB растворяли в этаноле и добавляли кремофор (1:1) в концентрации 20 мг/мл. Данный раствор разбавляли физиологическим раствором для в/в-инфузии. Разбавленный раствор использовали для в/в-инфузии в течение одного часа. Затем измеряли размер опухоли и массу тела, используя дозы 10 мг/кг, 20 мг/кг и 30 мг/кг на протяжении 15 дней. Размер опухоли и массу тела также измеряли, используя схему дозирования 0,4 мг/кг Q3Dx2, 0,5 мг/кг Q3Dx2 и 0,6 мг/кг Q3Dx5 (см. фиг.33, 34, 55 и 56). Использовали схему введения дозы на каждый третий день, чтобы уменьшить токсичность. Другие терапевтические исследования 9,10-дегидро-EpoB показаны на фиг.70 и 71 (CCRF-CEM/Taxol Q3Dx5) и на фиг.23 и 24 (HCT-116, Q2Dx7). Соединение 9,10-дегидро-12,13-дезоксипотилон B (изо-490-эпотилон) является в три раза более эффективным, чем dEpoB. Показано, что 9,10-дегидро-12,13-дезоксиэпотилон D тормозит рост опухоли после двух-трех инфузий в дозах 10 мг/кг или 20 мг/кг, каждую из которых вводили через день. Лучше результаты получены у мышей с использованием дозы 30 мг/кг 9,10-дегидро-12,13-дезоксиэпотилона B с использованием 6-часовой инфузии в/в через день. Также показано, что в случае 9,10-дегидро-dEpoB в дозе 5 мг/кг, Q3Dx9, 6-часовой в/в-инфузии, достигается исчезновение опухоли у мышей nude, несущих ксенотрансплантат MX-1, без гибели мышей и только с умеренной потерей массы тела (фиг.74 и 75). По-видимому, это осуществлено благодаря введению аналогов эпотилона каждый третий день, чтобы уменьшить токсичность (см. фиг.53 и 54). В заключение, 9,10-дегидро-12,13-дезоксиэпотилон B проявляет пониженную токсичность по сравнению с другими эпотилонами, более высокую эффективность в задержке опухолевого роста и более высокую стабильность в сыворотке. Другие терапевтические исследования показаны на фиг.17 и 18 (HCT-116, Q2Dx5 и Q3Dx5); на фиг.19 и 20 (A549/Taxol, Q3Dx7); и на фиг.21 и 22 (A549/Taxol, Q2Dx7). 9,10-дегидро-Epo B при введении каждый третий день 9-11 раз 6-часовой в/в-инфузией в дозе 0,4-0,6 мг/кг приводил к сокращению и исчезновению опухоли у мышей nude с имплантированными ксенотрансплантатами карциномы молочной железы человека MX-1 (фиг.68 и 69). Введение через день 8 доз приводило к подавлению роста опухоли, но не к сокращению опухоли. Когда 9,10-дегидро-Epo B вводили через день в количестве 9 доз, имплантированная опухоль продолжала умеренно сокращаться со второго по восьмой день, но масса тела восстанавливалась очень медленно от 76% до 82% от контроля в течение того же периода времени. На десятый день одна четверть опухоли исчезала. Когда вводили дозу 0,6 мг/кг 9,10-дегидро-EpoB, Q2Wx6, 6-часовой инфузией мышам nude с ксенотрансплантатами HCT-116, четыре из четырех мышей погибали от токсичности в течение трех дней после шести доз. 9,10-дегидро-EpoB прекращал рост опухоли CCRF-CEM/Taxol при использовании 0,6 мг/кг, схема Q3Dx5, x2 (фиг.70 и 71). 26-Трифтор-9,10-дегидро-12,13-дезоксиэпотилон B (F3-deH-dEpoB), как показано на фигурах оказывает целебное действие в дозах 20мг/кг и 30 мг/кг, Q2Dx6, 6-часовая инфузия, у модели на мышах nude, имплантированных ксенотрансплантатами карциномы молочной железы человека MX-1. Данные также свидетельствуют о том, что 30 мг/кг, Q2Dx6 приближенно является максимальной переносимой дозой. В дозе 20 мг/кг, Q2Dx6, 6-часовая инфузия, 26-трифтор-9,10-дегидро-12,13-дезоксиэпотилон B приводил к сокращению и исчезновению опухоли у четырех из четырех мышей nude с ксенотрансплантатами карциномы молочной железы человека MX-1. Не наблюдалось повторного появления опухоли на 20-й день после прекращения лечения. На 27-й день после прекращения лечения повторно появлялись 2/4. Не было дальнейшего повторного появления опухолей в течение 28-64 дней после прекращения лечения. В сравнении в случае dEpoB в дозе 30 мг/кг достигалось исчезновение опухоли в такой же мышиной модели у семи из семи мышей; однако опухоль повторно появлялась у 2 из пяти мышей на 8 день после прекращения лечения. Введение 26-трифтор-9,10-дегидро-12,13-дезоксиэпотилона B в дозе 20 мг/кг, Q2Dx6, 6-часовая в/в-инфузия, приводило к временному снижению массы тела мышей до 26%. Это уменьшение массы тела не приводило к гибели, свидетельствуя об отсутствии тяжелой токсичности по отношению к жизненно важным органам. Через два дня после последней обработки масса тела начинала восстанавливаться. На 16 день после обработки масса тела восстанавливалась до 109% от контроля до лечения, что свидетельствует о том, что токсичность, если она имеется, полностью обратима. В сравнении dEpoB, вводимый в дозе 30 мг/кг, приводил к 31% снижению массы тела без летальности. В том случае, когда 26-трифтор-9,10-дегидро-12,13-дезоксиэпотилон B вводили в дозе 30 мг/кг, Q2Dx6, 6-часовая в/в-инфузия, исчезновение опухоли происходило на 2-3 дня раньше, чем при дозе 20 мг/кг. В случае данной более высокой дозы масса тела уменьшалась на 27% и удерживалась 4 дня, не приводя к летальности, что подтверждает отсутствие тяжелой токсичности по отношению к жизненно важным органам. Через четыре дня после последней обработки в дозе 30 мг/кг масса тела начинала восстанавливаться. На 16-й день после обработки масса тела восстанавливалась до 98% от контроля до лечения, что снова подтверждает обратимость токсичности. Лечение 26-трифтор-9,10-дегидро-dEpoB в дозе 20 мг/кг и 30 мг/кг приводило к полному исчезновению опухолей, и при дозе 30 мг/кг не наблюдалось рецидива спустя 62 дня. Исчезновение опухолей также достигалось в случае 10 мг/кг при введении 9 доз, когда давали три дополнительные дозы (фиг.57). При дозе 26-трифтор-9,10-дегидро-dEpoB в дозе 10 мг/кг наблюдалась только небольшая потеря массы тела (фиг.58). Не наблюдалось дальнейшей потери массы тела при продолжительном лечении. На фиг.59 суммированы эффекты 26-F3-9,10-deH-dEpo B (и других эпотилонов) против ксенотрансплантата MX-1, A. При низкой дозе; B. Против крупной опухоли; против ксенотрансплантата карциномы легкого A549, C; и против резистентного к таксолу ксенотрансплантата карциномы легкого A549/Taxol, D. На фиг.61 приведен список, указывающий эффективность in vitro C-21-модифицированных эпотилонов в отношении CCRF-CEM, CCRF-CEM/VBL и CCRF-CEM/Taxol. На фиг.62 показано терапевтическое действие 26-F3-9,10-deH-dEpoB (15 мг/кг и 30 мг/кг) и таксола (20 мг/кг) Q2Dx8, 6-часовая в/в-инфузия, против ксенотрансплантата T-клеточного лимфобластного лейкоза человека CCRF-CEM. Сходное снижение массы тела наблюдали во всех трех группах обработки (фиг.63). При лечении ксенотрансплантата CCRF-CEM/Taxol (резистентного к таксолу) 26-F3-9,10-deH-dEpo B в дозе 15 мг/кг достигалось исчезновение 1/3 опухолей, а в дозе 30 мг/кг достигалось исчезновение 3/4 опухолей. Такое же лечение таксолом в дозе 20 мг/кг давало только частичное подавление роста опухолей и не удавалось достичь сокращения опухоли (фиг.64). Изменения массы тела в ходе данного эксперимента показаны на фиг.65. При лечении ксенотрансплантата карциномы ободочной кишки человека HCT-116 26-F3-9,10-deH-dEpo B (20 мг/кг) достигали сходной эффективности как и в случае таксола (20 мг/кг). Однако F3-deH-dEpo B в дозе 30 мг/кг оказывал терапевтический эффект лучше с исчезновением 2/4 опухолей после 5 доз (фиг.66). Изменения массы тела в ходе данного эксперимента показаны на фиг.67. Терапевтические эффекты F3-9,10-дегидро-dEpoF против ксенотрансплантатов MX-1 при различных дозах (5-30 мг/кг) в случае 6-часовой в/в-инфузии и в/в-инъекции показаны на фиг.76 и 77. Заключение. 9,10-дегидро-, 26-трифтор- или обе модификации dEpoB приводят к 1,5-5-кратному увеличению цитотоксичности in vitro и 2-5-кратному увеличению периода полужизни в плазме мышей in vitro. Используя модели ксенотрансплантатов солидных опухолей человека у мышей nude и используя методику Q2Dx59, 6-часовой в/в-инфузии через хвостовую вену при максимальных переносимых дозах, оценивали противоопухолевую эффективность и токсичность 9,10-дегидроэпотилонов. Способность достигать полного подавления роста опухолей, сокращения и исчезновения опухолей способствовала проведению дальнейших исследований для того, чтобы определить частоту рецидивов и показатель эффективности лечения после прекращения лечения. 9,10-дегидро-EpoB, наиболее эффективный in vitro известный эпотилон, хотя и был высоко эффективным, но показал узкие пределы терапевтической безопасности in vivo. 9,10-дегидро-dEpoB в дозе 4 мг/кг, 9,10-дегидро-EpoB в дозе 0,4 мг/кг и 21-гидрокси-9,10-дегидро-dEpoB в дозе 3 мг/кг – все сильно подавляли рост опухоли в течение длительного периода времени и достигали некоторого сокращения опухолей, а иногда достигали исчезновения опухолей. dEpoB в дозе 30 мг/кг, 26-трифтор-9,10-дегидро-dEpoB в дозе 20 мг/кг и паклитаксел в дозе 20 мг/кг – все демонстрировали сильное подавление роста опухолей и достигали сокращения и исчезновения опухолей ксенотрансплантатов карциномы молочной железы человека MX-1 у всех тестированных мышей. 26-трифтор-9,10-дегидро-dEpoB по сравнению с dEpoB или паклитакселом достигал долговременного излечения без рецидива опухоли и в равной мере демонстрировал быстрое восстановление массы тела до контрольного уровня до лечения. Пример 13 Синтез аналогов циклопропилэпотилона |
|||||||||||||||||||||||||||||||||||||||||||||||||||||||||||||||||||

-стороны, приводя к EpoB (Meng, D.; Bertinato, P.; Balog, A.; Su, D.-S.; Kamenecka, T.; Sorensen, E. J.; Danishefsky, S. J. J. Am. Chem. Soc. 1997, 119, 10073; включено в данное описание в виде ссылки).
0,98 (3H, д, J=6,9 Гц), 1,06 (3H, д, J=6,9 Гц), 1,10 (3H, д, J=6,1 Гц), 1,14 (3H, д, J=6,9 Гц), 1,15 (3H, c), 1,17 (3H, д, J=6,2 Гц), 1,18 (3H, c), 1,20 (3H, д, J=6,2 Гц), 1,81-1,92 (1H, м), 3,33 (1H, кв.д, J=7,0, 2,2, Гц), 3,51 (1H, дд, J=8,9, 6,3 Гц), 3,64 (1H, д, J=1,8 Гц), 3,66-3,71 (2H, м), 3,78-3,86 (2H, м), 4,51 (1H, д, J=12,0 Гц), 4,54 (1H, д, J=12,0 Гц), 4,58 (1H, c), 7,25-7,35 (5H, м); 13С ЯМР (100 МГц, CDCl3)
]D 24 -27,5 (с 0,28, CHCl3); ИК (пленка) 2956, 2878, 1740, 1692, 1472, 1378, 1317, 1253, 1174, 1118, 988, 915, 872, 837, 775 см-1; 1H ЯМР (400 МГц, CDCl3)
8:1