|
|
(21), (22) Заявка: 2004115328/15, 07.10.2002
(24) Дата начала отсчета срока действия патента:
07.10.2002
(30) Конвенционный приоритет:
18.10.2001 (пп.1-22) DE 10152351.3
(43) Дата публикации заявки: 10.06.2005
(46) Опубликовано: 27.11.2007
(56) Список документов, цитированных в отчете о поиске:
STREUBEL A. et al. pH-independent release of a weakly basic drug from water-insoluble and – soluble matrix tablets. – J Control Release, 2000 Jun 15. WO 98/56771 A2 17.12.1998. RU 2142793 C1 20.12.1999. RU 2085190 C1 27.07.1997. ЧУЕШОВ В.И и др. Промышленная технология лекарств. Учебник в 2-х томах. Том 2. / Под ред. В.И. Чуешова. – X.: Основа.
(85) Дата перевода заявки PCT на национальную фазу:
18.05.2004
(86) Заявка PCT:
EP 02/11229 (07.10.2002)
(87) Публикация PCT:
WO 03/035037 (01.05.2003)
Адрес для переписки:
101000, Москва, М.Златоустинский пер., 10, кв.15, “ЕВРОМАРКПАТ”, пат.пов. И.А.Веселицкой, рег. № 11
|
(72) Автор(ы):
КРАНЦ Хейко (DE), ФОЛЬКЕЛЬ Кристоф (DE), ЛИПП Ральф (DE), ТАКК Иоганнес (DE), ВИЗИНГЕР Герберт (DE)
(73) Патентообладатель(и):
ШЕРИНГ АКЦИЕНГЕЗЕЛЬШАФТ (DE)
|
(54) ТВЕРДАЯ ЛЕКАРСТВЕННАЯ КОМПОЗИЦИЯ С ПРОИЗВОДНЫМ ПИПЕРАЗИНОМОЧЕВИНЫ
(57) Реферат:
Настоящее изобретение относится к области лекарственных средств, в частности, к твердой лекарственной композиции, обеспечивающей независимое от рН высвобождение действующего вещества, включающей (2R)-1-((4-хлор-2-(уреидо)фенокси)метил)карбонил-2-метил-4-(4-фторбензил)пиперазин или одну из его солей, полимерную матрицу, фармацевтически приемлемую органическую кислоту, смазывающую добавку и одно либо несколько вспомогательных веществ, при этом размер 90% частиц в порошковых смесях составляет от 0,1 до 750 мкм. Кроме того, изобретение относится к способам получения и применению указанной лекарственной композиции. 9 н. и 13 з.п. ф-лы, 11 ил.
(56) (продолжение):
CLASS=”b560m”1999. RU 2126013 C1 10.13.1999. WO 9834607 A1 13.08.1998. БОЧКОЙ Н.П., НАСОНОВА В.А. и др. Справочник врача общей практики. / Под ред. Н.Р. Палеева. – М.: ЭКСМО-Пресс, 2001. – В 2х томах. LIANG M. et al. Identification and characterization of a potent, selective, and orally active antagonist of the CC chemokine receptor-1. J Biol Chem. 2000 Jun 23; 275(25): 19000-8, реферат.
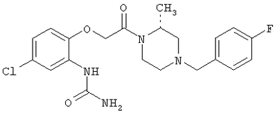
Настоящее изобретение относится к твердой лекарственной композиции, содержащей (2R)-1-((4-хлор-2-(уреидо)фенокси)метил)карбонил-2-метил-4-(4-фторбензил)пиперазин или одну из его солей.
В заявке WO 98/56771 описываются бензилпиперазиномочевинные соединения и в частности (2R)-1-((4-хлор-2-(уреидо)фенокси)метил)карбонил-2-метил-4-(4-фторбензил)пиперазин и его соли. Эти вещества представляют собой антагонисты CCR-1-рецептора и применяются при лечении воспалительных заболеваний, в частности множественного склероза и ревматоидного артрита. Кроме того, их используют при лечении псориаза и атопического дерматита. При щелочных значениях рН указанные вещества отличаются крайне низкой растворимостью. Растворимость гидросульфата (2R)-1-((4-хлор-2-(уреидо)фенокси)метил)карбонил-2-метил-4-(4-фторбензил)пиперазина при значении рН, равном 1, составляет лишь примерно 5 мг/мл, тогда как при значении рН 6,35 или 6,8 этот показатель равен примерно 0,15 мг/мл, соответственно 0,1 мг/мл. Такая крайне низкая растворимость в желудочно-кишечном тракте не позволяет при пероральном применении обычных композиций достичь терапевтически необходимого равномерного уровня содержания в плазме, избегая при этом значительных побочных действий. Наряду с повышением растворимости в желудочно-кишечном тракте желательно также, чтобы высвобождение действующего вещества происходило под контролем в течение длительного промежутка времени, что позволило бы существенно увеличить интервалы между введением соответствующих доз. Кроме того, следует отметить также появляющуюся в этом случае возможность изготавливать медикамент в промышленном масштабе.
В литературе описаны различные пути повышения абсорбции плохо растворимых действующих веществ (см., например, “Techniques of solubilization of drugs”, под ред. S.H.Yalkowsky в Drugs and the Pharmaceutical Sciences). Для отличающихся крайне низкой растворимостью субстанций особенно рекомендуется использовать вещества, способствующие растворению, такие, например, как поверхностно-активные вещества (см. заявку WO 01/05376). Однако подобный путь оказался малопригодным для решения указанной проблемы. Добавление поверхностно-активного вещества ДСН (додецилсульфат натрия) к гидросульфату (2R)-1-((4-хлор-2-(уреидо)фенокси)метил)карбонил-2-метил-4-(4-фторбензил)пиперазина позволяло лишь в незначительной степени повысить требуемое высвобождение действующего вещества.
В других публикациях затрагивается проблема не зависящего от значения рН высвобождения действующих веществ. В статье Streubel и др. авторов (Journ. Controlled Release 67 (2000), стр.101-110) описано добавление кислот к соответствующему лекарственному веществу. Однако растворимость описанного лекарственного вещества и без добавления кислот при рН 6,35 уже является очень высокой (100 мг/мл). Цель Streubel и др. состояла в том, чтобы обеспечить одинаковую степень растворимости вне зависимости от значений рН. Этого удалось достичь за счет добавления кислот. Целью же настоящего изобретения является не только решение проблемы растворимости, обусловленной различными значениями рН, но и повышение степени растворимости как таковой. Свойства описанного у Streubel лекарственного вещества существенно отличаются от свойств используемого согласно настоящему изобретению действующего вещества, т.е. (2R)-1-((4-хлор-2-(уреидо)фенокси)метил)карбонил-2-метил-4-(4-фторбензил)пиперазина. Кроме того, предлагаемая в указанной публикации композиция используется только для штучного изготовления таблеток и не предназначена для массового производства. Поэтому возникли сомнения касательно возможности применения этого метода для решения задачи, положенной в основу настоящего изобретения.
Положенная в основу изобретения задача по повышению степени растворимости и не зависящего от значений рН высвобождения действующего вещества при одновременной реализации этой задачи в промышленном масштабе решается благодаря твердой лекарственной композиции, содержащей (2R)-1-((4-хлор-2-(уреидо)фенокси)метил)карбонил-2-метил-4-(4-фторбензил)пиперазин или одну из его солей, при этом для целенаправленного регулирования высвобождения действующего вещества вне зависимости от значений рН (модификация высвобождения) и для воздействия на механическую прочность лекарственной формы состав лекарственной композиции дополнительно включает полимерную матрицу, органическую кислоту и одно либо несколько вспомогательных веществ, и 90% частиц в порошковых смесях имеют крупность от 0,1 до 750 мкм.
(2R)-1-((4-хлор-2-(уреидо)фенокси)метил)карбонил-2-метил-4-(4-фторбензил)пиперазин, называемый далее кратко пиперазиномочевина, имеет следующую структуру:

(2R)-1-((4-хлор-2-(уреидо)фенокси)метил)карбонил-2-метил-4-(4-фторбензил)пиперазин и его соли получают по методу, описанному в заявке WO 98/56771 в примере 2.
Из числа солей указанного соединения можно назвать, например, гидрохлорид, дигидрофосфат, гидросульфат, сульфат, мезилат, этилсульфонат, фумарат и тартрат.
Твердые лекарственные композиции согласно изобретению представляют собой формы в виде цельной (монолитной) структуры, такие, например, как таблетки, и формы в дробленом (порошкообразном) виде. Такими формами, представленными в дробленом виде, могут быть, например, гранулированные зерна, сферические гранулы (пеллеты) или минитаблетки. Их можно расфасовывать в твердо- либо мягкожелатиновые капсулы или из них можно прессовать таблетки. Первоначальная форма распадается главным образом в желудке на несколько составляющих ее частей. Затем такие минидепо-формы последовательно попадают из желудка в кишечник. При этом минидепо-формы, как правило, могут проходить через привратник при закрытом сфинктере.
Полимерную матрицу можно выбирать из группы, включающей производные целлюлозы [например, метилцеллюлозу, гидроксипропилметилцеллюлозу (например, гидроксипропилметилцеллюлозу К 4 М, гидроксипропилметилцеллюлозу К 15 М), гидроксипропилцеллюлозу, гидроксиэтилцеллюлозу, натрийкарбоксиметилцеллюлозу, этилцеллюлозу (например, этилцеллюлозу 100), ацетат целлюлозы (например, ацетат целлюлозы СА-398-10 NF), ацетофталат целлюлозы, ацетопропионат целлюлозы, ацетобутират целлюлозы (например, ацетобутират целлюлозы 171-15 PG), бутират целлюлозы, нитрат целлюлозы, фталат гидроксипропилметилцеллюлозы, ацетосукцинат гидроксипропилметилцеллюлозы], акриловые производные [например, полиакрилаты, перекрестносшитые полиакрилаты (например, полиметакрилаты, полиэтилакрилаты, этилакрилаты полиметиловой кислоты, метилметакрилаты полиметиловой кислоты, этилметакрилаты полиметиловой кислоты, этилметакрилохлориды полиметилакрилотриметил-аммония, этилметакрилохлориды полиэтилакрилотриметиламмония, сополимеры диметиламиноэтилметакрилата и метакрилата, Carbopol® 971 Р, Carbopol® 974 Р, Carbopol® 71 G)], виниловые полимеры (например, поливинилпирролидоны, поливинилацетаты, поливинилацетофталаты), полиэтиленгликоли, полиангидриды, сложные полиэфиры, сложные полиортоэфиры, полиуретаны, поликарбонаты, полифосфазены, полиацетали, полисахариды (например, ксантены, ксантеновая камедь), сложные эфиры сахаров (например, стеарат сахарозы, пальмитат сахарозы, лаурат сахарозы, бегенат сахарозы, олеат сахарозы, эрукат сахарозы и сложные эфиры сахарозы и смешанных жирных кислот), моноэтиловый эфир диэтиленгликоля (например, Transcutol® Р), монопальмитостеарат диэтиленгликоля (например, Hydrine®), монопальмитостеарат этиленгликоля (например, Monthyle®), бегенаты глицерина и дибегенаты глицерина (например, Compritol® 888 АТО, Compritol® HD 5 АТО и Compritol® E), дистеараты глицерина, дипальмитостеараты глицерина и пальмитостеараты глицерина (например, Precirol® АТО 5 и Precirol® WL 2155), моноолеат глицерина 40 (например, Peceol®), моностеарат глицерина 40-55 (например, Geleol®), лаураты макроголглицерина (например, Gelucire® 44/14 и Labrafil® M 2130 CS), стеараты макроголглицерина (например, Gelucire® 50/13), монопальмитостеарат пропиленгликоля (например, Monosteol®), хитозан, галактоманнан, пектин, шеллак и альгинаты. Наиболее пригодной в качестве полимерной матрицы является физическая смесь, состоящая из водонерастворимого поливинилацетата и водорастворимого поливинилпирролидона. Эта смесь, содержащая дополнительно лаурилсульфат натрия и диоксид кремния, поставляется, в частности, под торговым названием Kollidon SR® (Kollidon SR, бюллетень Technical Information, ME 397e, фирма BASF, июль 2000, состав: 80% поливинилацетата, 19% поливинилпирролидона, 0,8% лаурилсульфата натрия и 0,2% диоксида кремния).
Органическую кислоту можно выбирать из группы, включающей фумаровую кислоту, лимонную кислоту, тринатрийцитрат, Na-гидроцитрат, аскорбиновую кислоту, малеиновую кислоту, ангидрид малеиновой кислоты, винную кислоту, адипиновую кислоту, Na-гидрофосфат, янтарную кислоту, глутаровую кислоту, ангидрид глутаровой кислоты, сорбат калия и сорбиновую кислоту. Предпочтительна из них фумаровая кислота.
Для целенаправленного регулирования не зависящего от значений рН высвобождения лекарственного вещества (модификация высвобождения) и для воздействия на механическую прочность лекарственной формы могут использоваться водорастворимые, равно как и водонерастворимые вспомогательные вещества, такие, например, как лактоза, дифосфаты кальция, маннит, сорбит, сахароза, фруктоза, глюкоза, крахмал или производное крахмала. В равной степени могут использоваться и смеси одного или нескольких вспомогательных веществ. Предпочтительно использовать лактозу. Особенно предпочтительной является крупнозернистая лактоза.
В качестве вспомогательных веществ для целенаправленного регулирования не зависящего от значений рН высвобождения лекарственного вещества (модификация высвобождения) и для воздействия на механическую прочность лекарственной формы могут использоваться целлюлоза и производные целлюлозы. Особенно предпочтительна микрокристаллическая целлюлоза. В водной среде она набухает и способствует более эффективному не зависящему от значений рН высвобождению пиперазиномочевины и ее солей.
В состав лекарственных форм в виде цельной структуры, таких, например, как таблетки, с целью снизить силу трения между частицами и уменьшить трение скольжения между стенками матрицы и заполняющим ее материалом дополнительно можно вводить смазывающие добавки. В качестве таких смазывающих добавок могут применяться вещества, имеющие благодаря своей пластинчатой (слоистой) структуре слои, которые способны в определенной мере легко перемещаться относительно друг друга. В качестве фармацевтически приемлемых органических веществ можно назвать среди прочих мыла двухвалентных металлов, высшие жирные спирты и полиэтиленгликоли с большей молекулярной массой. Особенно предпочтительными являются магниевые и кальциевые соли высших жирных кислот.
В случае лекарственных форм в виде цельной структуры для улучшения текучести таблетируемого материала можно добавлять соответствующий регулятор текучести. Подобный регулятор текучести обеспечивает равномерное заполнение матрицы машины таблетируемым материалом с достаточной плотностью набивки. Добавление регулятора текучести может оказаться необходимым прежде всего при непосредственном таблетировании. Веществами, обладающими чисто регулирующим действием по отношению к текучести, являются главным образом высокодисперсные кремниевые кислоты, т.е. микронизированные силикагели и кремниевые кислоты, получаемые путем пиролиза. Пригодны для применения также крахмалы и тальк, поскольку они представляют собой вещества, которые можно использовать в качестве регуляторов текучести, а также в качестве вспомогательных агентов распада, соответственно в качестве смазывающих добавок.
При промышленном изготовлении лекарственной формы в виде цельной структуры важно, чтобы таблетируемый материал обладал подобными грануляту свойствами, такими как текучесть, высокая насыпная масса и определенный гранулометрический состав. Размер зерен таблетируемого материала зависит при этом от размера изготавливаемых таблеток и варьируется, как правило, в пределах от 0,1 до 750 мкм. Во избежание расслоения (например, при вибрации таблетировочной машины) и тем самым скопления более крупных частиц в верхней части таблетируемого материала важным фактором является предельно возможная однородность гранулометрического состава этого материала, поскольку в противном случае могут возникнуть более или менее значительные отклонения касательно предусмотренной дозировки. Требуемые размер частиц и гранулометрический состав обеспечиваются классификацией (например, путем мокрого либо сухого грохочения) или гранулированием исходных веществ. Размер частиц можно определять с помощью метода, описанного в примере 5. Вплоть до 90% частиц должны иметь крупность в диапазоне от 0,1 до 750 мкм. Предпочтителен диапазон от 20 до 400 мкм.
Пиперазиномочевина или ее соли могут быть гомогенно распределены в матрице или заключены в матрицу. В последнем случае действующее вещество образует сердцевину, окруженную оболочкой матрицы.
Твердая лекарственная композиция согласно изобретению может иметь с учетом зрительного восприятия и по вкусовым соображениям покрытие из цветного лака. Этот лак состоит, как правило, из связующего (например, гидроксипропилметилцеллюлозы, поливинилпирролидона или полиэтиленгликоля), из вещества для улучшения скольжения (например, талька), и соответствующего красителя (например, железоокисного красителя, диоксида титана и т.п.).
Состав предпочтительной твердой лекарственной композиции включает (2R)-1-((4-хлор-2-(уреидо)фенокси)метил)карбонил-2-метил-4-(4-фторбензил)пиперазин или одну из его солей, лактозу, Kollidon SR®, диоксид кремния и стеарат магния, при этом 90% частиц имеют крупность в диапазоне от 0,1 до 750 мкм. Особенно предпочтительно применять в качестве соли гидросульфат. Таблетка, содержащая такую композицию, характеризуется 60%-ным высвобождением пиперазиномочевины по истечении 6 часов.
В состав другой предпочтительной твердой лекарственной композиции входят (2R)-1 -((4-хлор-2-(уреидо)фенокси)метил)карбонил-2-метил-4-(4-фторбензил)пиперазин или одна из его солей, микрокристаллическая целлюлоза, лактоза, Kollidon SR®, диоксид кремния и стеарат магния, при этом 90% частиц имеют крупность в диапазоне от 0,1 до 750 мкм. Особенно предпочтительно применять в качестве соли гидросульфат. Таблетка, содержащая такую композицию, характеризуется 80-90%-ным высвобождением пиперазиномочевины по истечении 4 часов.
Состав еще одной предпочтительной твердой лекарственной композиции (2R)-1-((4-хлор-2-(уреидо)фенокси)метил)карбонил-2-метил-4-(4-фторбензил)пиперазин или одну из его солей, лактозу, Kollidon SR®, диоксид кремния и стеарат магния, при этом 90% частиц имеют крупность в диапазоне от 0,1 до 750 мкм, и затем на таблетку наносят покрытие (оболочку) из цветного лака, состоящего из гидроксипропилметилцеллюлозы, талька, диоксида титана и железоокисного красителя. Особенно предпочтительно применять в качестве соли гидросульфат. Таблетка, содержащая такую композицию, характеризуется 60%-ным высвобождением пиперазиномочевины по истечении 6 часов.
Предлагаемая в изобретении лекарственная композиция существенно повышает растворимость и высвобождение пиперазиномочевины и ее солей. При использовании традиционной композиции, состав которой включает (2R)-1-((4-хлор-2-(уреидо)фенокси)метил)карбонил-2-метил-4-(4-фторбензил)пиперазин или одну из его солей, лактозу, кукурузный крахмал, поливинилпирролидон, Na-кроскармеллозу и стеарат магния, по истечении 8-10 часов при рН 6,8 высвобождается лишь около 10% пиперазиномочевины, тогда как при использовании предлагаемой в изобретении композиции этот показатель возрастает до порядка 60-90%. Преимущество предлагаемой в изобретении лекарственной композиции подтверждается также результатами клинических испытаний. По сравнению с традиционной пероральной композицией уровень (2R)-1-((4-хлор-2-(уреидо)фенокси)метил)карбонил-2-метил-4-(4-фторбензил)пиперазина в плазме у пациентов, которым вводили предлагаемую в изобретении композицию, оставался высоким в течение длительного промежутка времени (см. фиг.11 на прилагаемых к описанию чертежах).
Предлагаемая в изобретении композиция обладает всеми свойствами, необходимыми для промышленного производства, такими, например, как хорошая текучесть, высокая насыпная масса, высокая точность дозирования, высокая пластичность, что позволяет в конечном счете без проблем прессовать таблетки с высокой механической прочностью.
Объектом изобретения является далее способ получения предлагаемой в нем твердой лекарственной композиции, заключающийся в том, что (2R)-1-((4-хлор-2-(уреидо)фенокси)метил)карбонил-2-метил-4-(4-фторбензил)пиперазин или одну из его солей смешивают с полимерной матрицей, органической кислотой, смазывающей добавкой и соответствующим вспомогательным веществом и затем эту смесь таблетируют (непосредственное таблетирование). При этом процесс непосредственного таблетирования осуществляют, как правило, смешением порошковых компонентов, дозировкой с помощью загрузочного устройства таблетировочной машины и последующим уплотнением порошковой смеси. При непосредственном таблетировании крупность частиц и гранулометрический состав используемой пиперазиномочевины и ее солей, полимерная матрица, органическая кислота и вспомогательное вещество оказывают практически решающее влияние на промышленное производство таблеток. Поэтому до смешения порошковых компонентов их следует классифицировать по отдельности (например, путем просеивания). В качестве альтернативы можно порекомендовать либо всю порошковую смесь в целом классифицировать, либо классифицировать отдельные компоненты порошковой смеси совместно (например, просеивать их). Как указано в примерах, после взвешивания требуемых количеств (навески) порошковых компонентов их в течение достаточно продолжительного промежутка времени смешивают в мешалке со свободным падением (например, в турбулентной мешалке либо в мешалке с V-образным смесительным органом) или в смесителе с принудительным перемешиванием (например, в мешалке с лемешными лопастями либо в планетарной мешалке). Прежде всего регулятор текучести и смазывающую добавку (обозначаемые вместе как РТС-комплекс) добавляют незадолго до загрузки таблетировочной машины. При этом указанный РТС-комплекс необходимо тонким просеиванием напылять на предварительно смешанный таблетируемый материал и затем все перемешивать описанным выше образом, причем продолжительность перемешивания следует выбирать ни слишком короткой (опасность негомогенного распределения), ни слишком длительной (опасность чрезмерно тонкого измельчения материала).
Настоящее изобретение относится далее к способу получения предлагаемой в нем твердой лекарственной композиции, заключающемуся в том, что (2R)-1-((4-хлор-2-(уреидо)фенокси)метил)карбонил-2-метил-4-(4-фторбензил)пиперазин или одну из его солей, полимерную матрицу, органическую кислоту и вспомогательные вещества перед смешением и таблетированием подвергают еще одной операции, обозначаемой как гранулирование. После гранулирования и введения смазывающей добавки по описанной выше технологии проводят таблетирование. Гранулирование при этом можно осуществлять путем ступенчатого укрупнения или агломерирования первичных частиц порошковой смеси до образования гранул требуемой вторичной крупности (гранулирование наращиванием) или путем дробления приведенной в пастообразное состояние порошковой массы до образования гранул требуемой крупности (гранулирование дроблением). Для гранулирования наращиванием можно использовать тарелочные грануляторы и грануляторы с псевдоожиженным слоем. Гранулирование дроблением можно осуществлять, например, компактированием (уплотнением) исходных веществ и последующим механическим измельчением и просеиванием комприматов (уплотненных продуктов). Оба типа гранулирования можно осуществлять при этом методом влажного гранулирования (получение, например, клейкого гранулята или гранулята с покрытием в виде корки) или методом сухого гранулирования (получение, например, брикетированного гранулята или гранулята, отверждаемого из расплава).
Еще одним объектом настоящего изобретения является способ получения предлагаемой в нем твердой лекарственной композиции в дробленом (порошкообразном) виде, заключающийся в том, что (2R)-1-((4-хлор-2-(уреидо)фенокси)метил)карбонил-2-метил-4-(4-фторбензил)пиперазин или одну из его солей, полимерную матрицу, органическую кислоту и вспомогательные вещества (предпочтительно целлюлозу, производные целлюлозы и лактозу) перерабатывают путем экструзии и последующей сфероидизации с образованием сферических гранул (пеллет).
Еще одним объектом настоящего изобретения является способ получения предлагаемой в нем твердой лекарственной композиции в дробленом (порошкообразном) виде, заключающийся в том, что (2R)-1-((4-хлор-2-(уреидо)фенокси)метил)карбонил-2-метил-4-(4-фторбензил)пиперазин или одну из его солей, органическую кислоту и вспомогательные вещества (предпочтительно целлюлозу, производные целлюлозы и лактозу) перерабатывают путем экструзии и последующей сфероидизации с образованием сферических гранул. Затем на содержащие действующее вещество сферические гранулы наносят полимерную матрицу (предпочтительно производные целлюлозы, акриловые производные, виниловые полимеры и шеллак). При определенных условиях на содержащие действующее вещество сферические гранулы до нанесения полимерной матрицы можно наносить подслой (предпочтительно производные целлюлозы и виниловые полимеры). Подслой предназначен для предотвращения несовместимости между (2R)-1-((4-хлор-2-(уреидо)фенокси)метил)карбонил-2-метил-4-(4-фторбензил)пиперазином или его солью и полимерной матрицей, соответственно для предотвращения преждевременной диффузии (2R)-1-((4-хлор-2-(уреидо)фенокси)метил)карбонил-2-метил-4-(4-фторбензил)пиперазина или его соли в полимерную матрицу во время хранения сферических гранул.
Еще одним объектом настоящего изобретения является способ получения предлагаемой в нем твердой лекарственной композиции в дробленом (порошкообразном) виде, заключающийся в том, что (2R)-1-((4-хлор-2-(уреидо)фенокси)метил)карбонил-2-метил-4-(4-фторбензил)пиперазин или одну из его солей и вспомогательные вещества (предпочтительно целлюлозу, производные целлюлозы и лактозу) перерабатывают путем экструзии и последующей сфероидизации с образованием сферических гранул. Затем на содержащие действующее вещество сферические гранулы наносят органическую кислоту и полимерную матрицу (предпочтительно производные целлюлозы, акриловые производные, виниловые полимеры и шеллак). При определенных условиях на содержащие действующее вещество сферические гранулы до нанесения полимерной матрицы можно наносить подслой (предпочтительно производные целлюлозы и виниловые полимеры).
Еще одним объектом настоящего изобретения является способ получения предлагаемой в нем твердой лекарственной композиции в дробленом (порошкообразном) виде, заключающийся в том, что (2R)-1-((4-хлор-2-(уреидо)фенокси)метил)карбонил-2-метил-4-(4-фторбензил)пиперазин или одну из его солей, полимерную матрицу, органическую кислоту и вспомогательные вещества подвергают непосредственному гранулированию с образованием сферических гранул. При этом исходные вещества смешивают между собой и затем перерабатывают с помощью раствора связующих (мокрое гранулирование) либо расплавленных дополнительных веществ (например, жиров) с получением сферических гранул.
Еще одним объектом настоящего изобретения является способ получения предлагаемой в нем твердой лекарственной композиции в дробленом (порошкообразном) виде, заключающийся в том, что (2R)-1-((4-хлор-2-(уреидо)фенокси)метил)карбонил-2-метил-4-(4-фторбензил)пиперазин или одну из его солей, полимерную матрицу, органическую кислоту и вспомогательные вещества подвергают переработке сушкой распылением или отверждению при распылении с получением сферических гранул.
Еще одним объектом настоящего изобретения является способ получения предлагаемой в нем твердой лекарственной композиции в дробленом (порошкообразном) виде, заключающийся в том, что (2R)-1-((4-хлор-2-(уреидо)фенокси)метил)карбонил-2-метил-4-(4-фторбензил)пиперазин или одну из его солей, полимерную матрицу, органическую кислоту и вспомогательные вещества подвергают роторному гранулированию с получением сферических гранул.
Изобретение относится далее к способу получения предлагаемой в нем твердой лекарственной композиции, заключающемуся в том, что полимерную матрицу, органическую кислоту и вспомогательные вещества наносят послойно на (2R)-1-((4-хлор-2-(уреидо)фенокси)метил)карбонил-2-метил-4-(4-фторбензил)пиперазин или его соль с получением в результате такой переработки сферических гранул (послойное нанесение).
Изобретение относится далее к способу получения предлагаемой в нем твердой лекарственной композиции, заключающемуся в том, что (2R)-1-((4-хлор-2-(уреидо)фенокси)метил)карбонил-2-метил-4-(4-фторбензил)пиперазин или одну из его солей, полимерную матрицу, органическую кислоту и вспомогательные вещества послойно наносят на не содержащую действующее вещество сердцевину (так называемые нонпарели) с получением в результате такой переработки сферических гранул. В этом способе, как правило, сначала наносят (2R)-1-((4-хлор-2-(уреидо)фенокси)метил)карбонил-2-метил-4-(4-фторбензил)пиперазин или его соль на не содержащую действующее вещество сердцевину. Затем наносят органическую кислоту и в завершение на полученные сферические гранулы наносят полимерную матрицу (предпочтительно производные целлюлозы, акриловые производные, виниловые полимеры и шеллак). При определенных условиях на сферические гранулы до нанесения полимерной матрицы можно наносить подслой (предпочтительно производные целлюлозы и виниловые полимеры).
Изобретение относится далее к способу расфасовки полученных сферических гранул в применяемые в фармацевтике капсулы (предпочтительно желатиновые капсулы, крахмальные капсулы или капсулы из производных целлюлозы), соответственно прессования таблеток из полученных сферических гранул. При расфасовке сферических гранул в капсулы, соответственно при переработке таких гранул в таблетки при необходимости можно добавлять некоторые другие вспомогательные вещества (предпочтительно целлюлозу, производные целлюлозы, лактозу, смазывающие вещества и регуляторы текучести).
Объектом настоящего изобретения является также способ получения предлагаемой в нем твердой лекарственной композиции, заключающийся в том, что (2R)-1-((4-хлор-2-(уреидо)фенокси)метил)карбонил-2-метил-4-(4-фторбензил)пиперазин или одну из его солей смешивают с полимерной матрицей, органической кислотой, смазывающей добавкой и вспомогательными веществами и затем непосредственно прессуют минитаблетки (методом непосредственного таблетирования; предпочтительный диаметр таблеток 1-5 мм).
Изобретение относится далее к способу получения предлагаемой в нем твердой лекарственной композиции, заключающемуся в том, что (2R)-1-((4-хлор-2-(уреидо)фенокси)метил)карбонил-2-метил-4-(4-фторбензил)пиперазин или одну из его солей, полимерную матрицу, органическую кислоту и вспомогательные вещества перед смешением и таблетированием подвергают еще одной операции, обозначаемой как гранулирование. После гранулирования и введения смазывающей добавки из исходных веществ прессуют минитаблетки (предпочтительный диаметр таблеток 1-5 мм).
Изобретение относится далее к способу расфасовки полученных минитаблеток в применяемые в фармацевтике капсулы (предпочтительно желатиновые капсулы, крахмальные капсулы или капсулы из производных целлюлозы). При расфасовке минитаблеток в капсулы в случае необходимости можно добавлять некоторые другие вспомогательные вещества (предпочтительно целлюлозу, производные целлюлозы, лактозу и т.п.).
Объектом настоящего изобретения является также применение предлагаемой в нем твердой лекарственной композиции для получения медикамента, предназначенного для лечения воспалительных заболеваний. К подобным заболеваниям могут относиться, например, множественный склероз, ревматоидный артрит, псориаз или атонический дерматит. При лечении пациента, страдающего каким-либо воспалительным заболеванием, предпочтительно назначать ему для приема одну таблетку в день.
Описание чертежей
На фиг.1 показана растворимость гидросульфата пиперазиномочевины в зависимости от значения рН.
На фиг.2 показан достигаемый благодаря добавлению ДСН (додецилсульфата натрия) эффект высвобождения гидросульфата пиперазиномочевины в фосфатном буферном растворе при рН 6,8 (33% гидросульфата пиперазиномочевины и 25% Kollidon SR® в пересчете на общую массу таблетки).
На фиг.3 показан обеспечиваемый фумаровой кислотой (в % в пересчете на общую массу таблетки) эффект высвобождения гидросульфата пиперазиномочевины в фосфатном буферном растворе при рН 6,8 (33% гидросульфата пиперазиномочевины и 25% Kollidon SR® в пересчете на общую массу таблетки).
На фиг.4 показан достигаемый благодаря добавлению фумаровой кислоты в различных концентрациях (в % в пересчете на общую массу таблетки) эффект высвобождения гидросульфата пиперазиномочевины в фосфатном буферном растворе при рН 6,8 (33% гидросульфата пиперазиномочевины и 25% Kollidon SR® в пересчете на общую массу таблетки).
На фиг.5 показана зависимость высвобождения гидросульфата пиперазиномочевины (33% гидросульфата пиперазиномочевины, 25% Kollidon SR® и 16% фумаровой кислоты в пересчете на общую массу таблетки) от значения рН.
На фиг.6 показана зависимость высвобождения гидросульфата пиперазиномочевины (33% гидросульфата пиперазиномочевины, 12,5% Kollidon SR® и 16% фумаровой кислоты в пересчете на общую массу таблетки) от значения рН.
На фиг.7 показана зависимость высвобождения гидросульфата пиперазиномочевины (33% гидросульфата пиперазиномочевины, 25% Kollidon SR®, 16% фумаровой кислоты и 10% микрокристаллической целлюлозы в пересчете на общую массу таблетки) от значения рН.
На фиг.8 показан определенный с помощью лазерной дифрактометрии гранулометрический состав типичной прессовочной порошковой массы для непосредственного таблетирования.
На фиг.9 показан достигаемый благодаря добавлению различных полимерных матриц (примеры 3-9) эффект высвобождения гидросульфата пиперазиномочевины в фосфатном буферном растворе при рН 6,8.
На фиг.10 показан достигаемый благодаря добавлению различных органических кислот (примеры 10-13) эффект высвобождения гидросульфата пиперазиномочевины в фосфатном буферном растворе при рН 6,8.
На фиг.11 в полулогарифмическом масштабе показано влияние лекарственной композиции на достигаемый in vivo уровень ее содержания в плазме у человека после введения 100 мг гидросульфата пиперазиномочевины в виде традиционного перорального препарата, а также после приема препаратов, указанных в примерах 1 (таблетка с матрицей С) и 2 (таблетка с матрицей Е).
Примеры
Пример 1: Получение таблетки с матрицей путем непосредственного таблетирования
Состав из расчета на стандартную дозированную форму:
| гидросульфат пиперазиномочевины |
100 мг |
| лактоза |
69 мг |
| Kollidon SR® |
75 мг |
| фумаровая кислота |
50 мг |
| высокодисперсный диоксид кремния |
3 мг |
| стеарат магния |
3 мг |
Лактозу, гидросульфат пиперазиномочевины и Kollidon SR® просеивают раздельно и затем в указанной последовательности в течение 10 мин перемешивают в турбомешалке. После этого добавляют просеянную фумаровую кислоту и все компоненты в течение последующих 5 мин перемешивают в турбомешалке. Далее добавляют просеянный высокодисперсный диоксид кремния и все компоненты в течение последующих 5 мин перемешивают в турбомешалке. Затем на смесь напыляют просеянный стеарат магния и все компоненты в течение последующих 30 с перемешивают в турбомешалке. В завершение прессовочную порошковую массу таблетируют с помощью эксцентрикового либо роторного таблетировочного пресса.
Пример 2: Получение таблетки с матрицей путем непосредственного таблетирования
Состав из расчета на стандартную дозированную форму:
| гидросульфат пиперазиномочевины |
100 мг |
| лактоза |
39 мг |
| Kollidon SR® |
75 мг |
| фумаровая кислота |
50 мг |
| микрокристаллическая целлюлоза |
30 мг |
| высокодисперсный диоксид кремния |
3 мг |
| стеарат магния |
3 мг |
Лактозу, гидросульфат пиперазиномочевины, Kollidon SR® и микрокристаллическую целлюлозу просеивают раздельно и затем в указанной последовательности в течение 10 мин перемешивают в турбомешалке. После этого добавляют просеянную фумаровую кислоту и все компоненты в течение последующих 5 мин перемешивают в турбомешалке. Далее добавляют просеянный высокодисперсный диоксид кремния и все компоненты в течение последующих 5 мин перемешивают в турбомешалке. Затем на смесь напыляют просеянный стеарат магния и все компоненты в течение последующих 30 с перемешивают в турбомешалке. В завершение прессовочную порошковую массу таблетируют с помощью эксцентрикового либо роторного таблетировочного пресса.
Пример 3: Получение таблетки с матрицей путем непосредственного таблетирования
Состав из расчета на стандартную дозированную форму:
| гидросульфат пиперазиномочевины |
100 мг |
| лактоза |
104 мг |
| Precirol® ATO 5 |
40 мг |
| фумаровая кислота |
50 мг |
| высокодисперсный диоксид кремния |
3 мг |
| стеарат магния |
3 мг |
Лактозу, гидросульфат пиперазиномочевины и Precirol® ATO 5 (дипальмитостеарат глицерина) просеивают раздельно и затем в указанной последовательности в течение 10 мин перемешивают в турбомешалке. После этого добавляют просеянную фумаровую кислоту и все компоненты в течение последующих 5 мин перемешивают в турбомешалке. Далее добавляют просеянный высокодисперсный диоксид кремния и все компоненты в течение последующих 5 мин перемешивают в турбомешалке. Затем на смесь напыляют просеянный стеарат магния и все компоненты в течение последующих 30 с перемешивают в турбомешалке. В завершение прессовочную порошковую массу таблетируют с помощью эксцентрикового либо роторного таблетировочного пресса.
Пример 4: Получение таблетки с матрицей путем непосредственного таблетирования
Состав из расчета на стандартную дозированную форму:
| гидросульфат пиперазиномочевины |
100 мг |
| лактоза |
104 мг |
| Compritol® 888 АТО |
40 мг |
| фумаровая кислота |
50 мг |
| высокодисперсный диоксид кремния |
3 мг |
| стеарат магния |
3 мг |
Лактозу, гидросульфат пиперазиномочевины и Compritol® 888 АТО (дибегенат глицерина) просеивают раздельно и затем в указанной последовательности в течение 10 мин перемешивают в турбомешалке. После этого добавляют просеянную фумаровую кислоту и все компоненты в течение последующих 5 мин перемешивают в турбомешалке. Далее добавляют просеянный высокодисперсный диоксид кремния и все компоненты в течение последующих 5 мин перемешивают в турбомешалке. Затем на смесь напыляют просеянный стеарат магния и все компоненты в течение последующих 30 с перемешивают в турбомешалке. В завершение прессовочную порошковую массу таблетируют с помощью эксцентрикового либо роторного таблетировочного пресса.
Пример 5: Получение таблетки с матрицей путем непосредственного таблетирования
Состав из расчета на стандартную дозированную форму:
| гидросульфат пиперазиномочевины |
100 мг |
| лактоза |
69 мг |
| Carbopol® 71 G |
75 мг |
| фумаровая кислота |
50 мг |
| высокодисперсный диоксид кремния |
3 мг |
| стеарат магния |
3 мг |
Лактозу, гидросульфат пиперазиномочевины и Carbopol® 71 G (перекрестносшитый полиакрилат) просеивают раздельно и затем в указанной последовательности в течение 10 мин перемешивают в турбомешалке. После этого добавляют просеянную фумаровую кислоту и все компоненты в течение последующих 5 мин перемешивают в турбомешалке. Далее добавляют просеянный высокодисперсный диоксид кремния и все компоненты в течение последующих 5 мин перемешивают в турбомешалке. Затем на смесь напыляют просеянный стеарат магния и все компоненты в течение последующих 30 с перемешивают в турбомешалке. В завершение прессовочную порошковую массу таблетируют с помощью эксцентрикового либо роторного таблетировочного пресса.
Пример 6: Получение таблетки с матрицей путем непосредственного таблетирования
Состав из расчета на стандартную дозированную форму:
| гидросульфат пиперазиномочевины |
100 мг |
| лактоза |
69 мг |
| Xantural® 75 |
75 мг |
| фумаровая кислота |
50 мг |
| высокодисперсный диоксид кремния |
3 мг |
| стеарат магния |
3 мг |
Лактозу, гидросульфат пиперазиномочевины и Xantural® 75 (ксантеновая камедь) просеивают раздельно и затем в указанной последовательности в течение 10 мин перемешивают в турбомешалке. После этого добавляют просеянную фумаровую кислоту и все компоненты в течение последующих 5 мин перемешивают в турбомешалке. Далее добавляют просеянный высокодисперсный диоксид кремния и все компоненты в течение последующих 5 мин перемешивают в турбомешалке. Затем на смесь напыляют просеянный стеарат магния и все компоненты в течение последующих 30 с перемешивают в турбомешалке. В завершение прессовочную порошковую массу таблетируют с помощью эксцентрикового либо роторного таблетировочного пресса.
Пример 7: Получение таблетки с матрицей путем непосредственного таблетирования
Состав из расчета на стандартную дозированную форму:
| гидросульфат пиперазиномочевины |
100 мг |
| лактоза |
84 мг |
| этилцеллюлоза 100 |
60 мг |
| фумаровая кислота |
50 мг |
| высокодисперсный диоксид кремния |
3 мг |
| стеарат магния |
3 мг |
Лактозу, гидросульфат пиперазиномочевины и этилцеллюлозу 100 просеивают раздельно и затем в указанной последовательности в течение 10 мин перемешивают в турбомешалке. После этого добавляют просеянную фумаровую кислоту и все компоненты в течение последующих 5 мин перемешивают в турбомешалке. Далее добавляют просеянный высокодисперсный диоксид кремния и все компоненты в течение последующих 5 мин перемешивают в турбомешалке. Затем на смесь напыляют просеянный стеарат магния и все компоненты в течение последующих 30 с перемешивают в турбомешалке. В завершение прессовочную порошковую массу таблетируют с помощью эксцентрикового либо роторного таблетировочного пресса.
Пример 8: Получение таблетки с матрицей путем непосредственного таблетирования
Состав из расчета на стандартную дозированную форму:
| гидросульфат пиперазиномочевины |
100 мг |
| лактоза |
10 мг |
| ацетобутират целлюлозы 171-15 PG |
134 мг |
| фумаровая кислота |
50 мг |
| высокодисперсный диоксид кремния |
3 мг |
| стеарат магния |
3 мг |
Лактозу, гидросульфат пиперазиномочевины и ацетобутират целлюлозы 171-15 PG (ацетобутират целлюлозы) просеивают раздельно и затем в указанной последовательности в течение 10 мин перемешивают в турбомешалке. После этого добавляют просеянную фумаровую кислоту и все компоненты в течение последующих 5 мин перемешивают в турбомешалке. Далее добавляют просеянный высокодисперсный диоксид кремния и все компоненты в течение последующих 5 мин перемешивают в турбомешалке. Затем на смесь напыляют просеянный стеарат магния и все компоненты в течение последующих 30 с перемешивают в турбомешалке. В завершение прессовочную порошковую массу таблетируют с помощью эксцентрикового либо роторного таблетировочного пресса.
Пример 9: Получение таблетки с матрицей путем непосредственного таблетирования
Состав из расчета на стандартную дозированную форму:
| гидросульфат пиперазиномочевины |
100 мг |
| лактоза |
94 мг |
| гидроксипропилметилцеллюлоза К 15 М |
50 мг |
| фумаровая кислота |
50 мг |
| высокодисперсный диоксид кремния |
3 мг |
| стеарат магния |
3 мг |
Лактозу, гидросульфат пиперазиномочевины и гидроксипропилметилцеллюлозу К 15 М просеивают раздельно и затем в указанной последовательности в течение 10 мин перемешивают в турбомешалке. После этого добавляют просеянную фумаровую кислоту и все компоненты в течение последующих 5 мин перемешивают в турбомешалке. Далее добавляют просеянный высокодисперсный диоксид кремния и все компоненты в течение последующих 5 мин перемешивают в турбомешалке. Затем на смесь напыляют просеянный стеарат магния и все компоненты в течение последующих 30 с перемешивают в турбомешалке. В завершение прессовочную порошковую массу таблетируют с помощью эксцентрикового либо роторного таблетировочного пресса.
Пример 10: Получение таблетки с матрицей путем непосредственного таблетирования
Состав из расчета на стандартную дозированную форму:
| гидросульфат пиперазиномочевины |
100 мг |
| лактоза |
69 мг |
| Kollidon SR® |
75 мг |
| глутаровая кислота |
50 мг |
| высокодисперсный диоксид кремния |
3 мг |
| стеарат магния |
3 мг |
Лактозу, гидросульфат пиперазиномочевины и Kollidon SR® просеивают раздельно и затем в указанной последовательности в течение 10 мин перемешивают в турбомешалке. После этого добавляют просеянную глутаровую кислоту и все компоненты в течение последующих 5 мин перемешивают в турбомешалке. Далее добавляют просеянный высокодисперсный диоксид кремния и все компоненты в течение последующих 5 мин перемешивают в турбомешалке. Затем на смесь напыляют просеянный стеарат магния и все компоненты в течение последующих 30 с перемешивают в турбомешалке. В завершение прессовочную порошковую массу таблетируют с помощью эксцентрикового либо роторного таблетировочного пресса.
Пример 11: Получение таблетки с матрицей путем непосредственного таблетирования
Состав из расчета на стандартную дозированную форму:
| гидросульфат пиперазиномочевины |
100 мг |
| лактоза |
69 мг |
| Kollidon SR® |
75 мг |
| винная кислота |
50 мг |
| высокодисперсный диоксид кремния |
3 мг |
| стеарат магния |
3 мг |
Лактозу, гидросульфат пиперазиномочевины и Kollidon SR® просеивают раздельно и затем в указанной последовательности в течение 10 мин перемешивают в турбомешалке. После этого добавляют просеянную винную кислоту и все компоненты в течение последующих 5 мин перемешивают в турбомешалке. Далее добавляют просеянный высокодисперсный диоксид кремния и все компоненты в течение последующих 5 мин перемешивают в турбомешалке. Затем на смесь напыляют просеянный стеарат магния и все компоненты в течение последующих 30 с перемешивают в турбомешалке. В завершение прессовочную порошковую массу таблетируют с помощью эксцентрикового либо роторного таблетировочного пресса.
Пример 12: Получение таблетки с матрицей путем непосредственного таблетирования
Состав из расчета на стандартную дозированную форму:
| гидросульфат пиперазиномочевины |
100 мг |
| лактоза |
69 мг |
| Kollidon SR® |
75 мг |
| адипиновая кислота |
50 мг |
| высокодисперсный диоксид кремния |
3 мг |
| стеарат магния |
3 мг |
Лактозу, гидросульфат пиперазиномочевины и Kollidon SR® просеивают раздельно и затем в указанной последовательности в течение 10 мин перемешивают в турбомешалке. После этого добавляют просеянную адипиновую кислоту и все компоненты в течение последующих 5 мин перемешивают в турбомешалке. Далее добавляют просеянный высокодисперсный диоксид кремния и все компоненты в течение последующих 5 мин перемешивают в турбомешалке. Затем на смесь напыляют просеянный стеарат магния и все компоненты в течение последующих 30 с перемешивают в турбомешалке. В завершение прессовочную порошковую массу таблетируют с помощью эксцентрикового либо роторного таблетировочного пресса.
Пример 13: Получение таблетки с матрицей путем непосредственного таблетирования
Состав из расчета на стандартную дозированную форму:
| гидросульфат пиперазиномочевины |
100 мг |
| лактоза |
69 мг |
| Kollidon SR® |
75 мг |
| аскорбиновая кислота |
50 мг |
| высокодисперсный диоксид кремния |
3 мг |
| стеарат магния |
3 мг |
Лактозу, гидросульфат пиперазиномочевины и Kollidon SR® просеивают раздельно и затем в указанной последовательности в течение 10 мин перемешивают в турбомешалке. После этого добавляют просеянную аскорбиновую кислоту и все компоненты в течение последующих 5 мин перемешивают в турбомешалке. Далее добавляют просеянный высокодисперсный диоксид кремния и все компоненты в течение последующих 5 мин перемешивают в турбомешалке. Затем на смесь напыляют просеянный стеарат магния и все компоненты в течение последующих 30 с перемешивают в турбомешалке. В завершение прессовочную порошковую массу таблетируют с помощью эксцентрикового либо роторного таблетировочного пресса.
Пример 14: Получение таблетки с матрицей путем непосредственного таблетирования с последующим нанесением лакового покрытия
Состав из расчета на стандартную дозированную форму:
| гидросульфат пиперазиномочевины |
100 мг |
| лактоза |
82,5 мг |
| Kollidon SR® |
60 мг |
| фумаровая кислота |
50 мг |
| высокодисперсный диоксид кремния |
3 мг |
| стеарат магния |
4,5 мг |
| гидроксипропилметилцеллюлоза, вязк. 5 |
7,6 мг |
| тальк |
1,5 мг |
| диоксид титана, Е 171 |
5,9 мг |
| желтый железоокисный краситель, Е 172 |
0,02 мг |
Лактозу, гидросульфат пиперазиномочевины и Kollidon SR® просеивают раздельно и затем в указанной последовательности в течение 10 мин перемешивают в турбомешалке. После этого добавляют просеянную фумаровую кислоту и все компоненты в течение последующих 5 мин перемешивают в турбомешалке. Далее добавляют просеянный высокодисперсный диоксид кремния и все компоненты в течение последующих 5 мин перемешивают в турбомешалке. Затем на смесь напыляют просеянный стеарат магния и все компоненты в течение последующих 30 с перемешивают в турбомешалке. В завершение прессовочную порошковую массу таблетируют с помощью эксцентрикового либо роторного таблетировочного пресса (сердцевина таблеток). Далее при перемешивании (например, с помощью мешалки типа Ultra-Turrax или коллоидной мельницы) суспендируют в воде тальк, желтый железоокисный краситель и диоксид титана (суспензия красителя). После этого при перемешивании (например, с помощью мешалки типа Ultra-Turrax или коллоидной мельницы) растворяют в воде гидроксипропилметилцеллюлозу (раствор связующего). Затем суспензию красителя и раствор связующего при перемешивании (например, с помощью мешалки типа Ultra-Turrax или коллоидной мельницы) объединяют (лаковое покрытие). Полученное лаковое покрытие при подводе тепла напыляют в барабанной машине для нанесения покрытий на сердцевину таблеток, при этом использованная вода испаряется.
Пример 15: Получение таблетки с матрицей путем непосредственного таблетирования с последующим нанесением лакового покрытия
Состав из расчета на стандартную дозированную форму:
| гидросульфат пиперазиномочевины |
300 мг |
| лактоза |
247,5 мг |
| KollidonSR® |
180 мг |
| фумаровая кислота |
150 мг |
| высокодисперсный диоксид кремния |
9 мг |
| стеарат магния |
13,5 мг |
| гидроксипропилметилцеллюлоза, вязк. 5 |
10,1 мг |
| тальк |
2 мг |
| диоксид титана, Е 171 |
7,8 мг |
| желтый железоокисный краситель, Е 172 |
0,03 мг |
Лактозу, гидросульфат пиперазиномочевины и Kollidon SR® просеивают раздельно и затем в указанной последовательности в течение 10 мин перемешивают в турбомешалке. После этого добавляют просеянную фумаровую кислоту и все компоненты в течение последующих 5 мин перемешивают в турбомешалке. Далее добавляют просеянный высокодисперсный диоксид кремния и все компоненты в течение последующих 5 мин перемешивают в турбомешалке. Затем на смесь напыляют просеянный стеарат магния и все компоненты в течение последующих 30 с перемешивают в турбомешалке. В завершение прессовочную порошковую массу таблетируют с помощью эксцентрикового либо роторного таблетировочного пресса (сердцевина таблеток). Далее при перемешивании (например, с помощью мешалки типа Ultra-Turrax или коллоидной мельницы) суспендируют в воде тальк, желтый железоокисный краситель и диоксид титана (суспензия красителя). После этого при перемешивании (например, с помощью мешалки типа Ultra-Turrax или коллоидной мельницы) растворяют в воде гидроксипропилметилцеллюлозу (раствор связующего). Затем суспензию красителя и раствор связующего при перемешивании (например, с помощью мешалки типа Ultra-Turrax или коллоидной мельницы) объединяют (лаковое покрытие). Полученное лаковое покрытие при подводе тепла напыляют в барабанной машине для нанесения покрытий на сердцевину таблеток, при этом использованная вода испаряется.
Пример 16: Получение минитаблеток путем непосредственного таблетирования
Состав из расчета на стандартную дозированную форму:
| гидросульфат пиперазиномочевины |
10 мг |
| лактоза |
6,9 мг |
| Kollidon SR® |
7,5 мг |
| фумаровая кислота |
5 мг |
| высокодисперсный диоксид кремния |
0,3 мг |
| стеарат магния |
0,3 мг |
Лактозу, гидросульфат пиперазиномочевины и Kollidon SR® просеивают раздельно и затем в указанной последовательности в течение 10 мин перемешивают в турбомешалке. После этого добавляют просеянную фумаровую кислоту и все компоненты в течение последующих 5 мин перемешивают в турбомешалке. Далее добавляют просеянный высокодисперсный диоксид кремния и все компоненты в течение последующих 5 мин перемешивают в турбомешалке. Затем на смесь напыляют просеянный стеарат магния и все компоненты в течение последующих 30 с перемешивают в турбомешалке. После этого прессовочную порошковую массу таблетируют с помощью эксцентрикового либо роторного таблетировочного пресса с получением минитаблеток. В завершение полученные минитаблетки расфасовывают в твердожелатиновые капсулы.
Пример 17: Получение минитаблеток с последующим нанесением лакового покрытия
Состав из расчета на стандартную дозированную форму:
| гидросульфат пиперазиномочевины |
10 мг |
| лактоза |
8,25 мг |
| Kollidon SR® |
6 мг |
| фумаровая кислота |
5 мг |
| высокодисперсный диоксид кремния |
0,3 мг |
| стеарат магния |
0,45 мг |
| гидроксипропилметилцеллюлоза, вязк. 5 |
0,76 мг |
| тальк |
0,15 мг |
| диоксид титана, Е 171 |
0,59 мг |
| желтый железоокисный краситель, Е 172 |
0,002 мг |
Лактозу, гидросульфат пиперазиномочевины и Kollidon SR® просеивают раздельно и затем в указанной последовательности в течение 10 мин перемешивают в турбомешалке. После этого добавляют просеянную фумаровую кислоту и все компоненты в течение последующих 5 мин перемешивают в турбомешалке. Далее добавляют просеянный высокодисперсный диоксид кремния и все компоненты в течение последующих 5 мин перемешивают в турбомешалке. Затем на смесь напыляют просеянный стеарат магния и все компоненты в течение последующих 30 с перемешивают в турбомешалке. В завершение прессовочную порошковую массу таблетируют с помощью эксцентрикового либо роторного таблетировочного пресса (сердцевина таблеток). Далее при перемешивании (например, с помощью мешалки типа Ultra-Turrax или коллоидной мельницы) суспендируют в воде тальк, желтый железоокисный краситель и диоксид титана (суспензия красителя). После этого при перемешивании (например, с помощью мешалки типа Ultra-Turrax или коллоидной мельницы) растворяют в воде гидроксипропилметилцеллюлозу (раствор связующего). Затем суспензию красителя и раствор связующего при перемешивании (например, с помощью мешалки типа Ultra-Turrax или коллоидной мельницы) объединяют (лаковое покрытие). Полученное лаковое покрытие при подводе тепла напыляют в барабанной машине для нанесения покрытий на сердцевину таблеток, при этом использованная вода испаряется. В завершение полученные минитаблетки расфасовывают в твердожелатиновые капсулы.
Пример 18: Получение таблетки с матрицей после гранулирования
Состав из расчета на стандартную дозированную форму:
| гидросульфат пиперазиномочевины |
100 мг |
| лактоза |
72 мг |
| Kollidon SR® |
75 мг |
| фумаровая кислота |
50 мг |
| стеарат магния |
3 мг |
Лактозу, гидросульфат пиперазиномочевины, Kollidon SR® и фумаровую кислоту помещают в гранулятор с псевдоожиженным слоем и при подаче распылением воды гранулируют. На высушенный гранулят напыляют стеарат магния и в течение 30 с перемешивают в турбомешалке. В завершение гранулят таблетируют с помощью эксцентрикового либо роторного таблетировочного пресса.
Пример 19: Получение минитаблеток после гранулирования
Состав из расчета на стандартную дозированную форму:
| гидросульфат пиперазиномочевины |
10 мг |
| лактоза |
7,2 мг |
| Kollidon SR® |
7,5 мг |
| фумаровая кислота |
5 мг |
| стеарат магния |
0,3 мг |
Лактозу, гидросульфат пиперазиномочевины, Kollidon SR® и фумаровую кислоту помещают в гранулятор с псевдоожиженным слоем и при подаче распылением воды гранулируют. На высушенный гранулят напыляют стеарат магния и в течение 30 с перемешивают в турбомешалке. Затем гранулят таблетируют с помощью эксцентрикового либо роторного таблетировочного пресса с получением минитаблеток. В завершение минитаблетки расфасовывают в твердожелатиновые капсулы.
Пример 20: Получение сферических гранул (пеллет) путем экструзии и сфероидизации
Состав из расчета на одну капсулу:
| гидросульфат пиперазиномочевины |
60 мг |
| микрокристаллическая целлюлоза |
30 мг |
| фумаровая кислота |
10 мг |
| Eudragit® NE 30 D |
25,5 мг |
| тальк |
4,25 мг |
| безводный высокодисперсный диоксид кремния |
0,18 мг |
Гидросульфат пиперазиномочевины, микрокристаллическую целлюлозу и фумаровую кислоту перерабатывают с помощью грануляционной системы Nica с получением сферических гранул. По этой технологии гидросульфат пиперазиномочевины, микрокристаллическую целлюлозу и фумаровую кислоту сначала смешивают в сухом состоянии, после чего эту порошковую смесь при добавлении воды экструдируют. С помощью сфероидизатора путем соответствующей переработки экструдата получают сферические гранулы. Затем на полученные гранулы с помощью гранулятора с псевдоожиженным слоем, оснащенного соответствующей насадкой Wurster, при подводе тепла напыляют водную суспензию, состоящую из Eudragit® NE 30 D и талька. В завершение сферические гранулы с нанесенным лаковым покрытием расфасовывают при добавлении диоксида кремния в твердожелатиновые капсулы.
Пример 21: Анализ высвобождения гидросульфата пиперазиномочевины
Высвобождение действующего вещества анализировали, проводили по методу на основе однокомпартментной модели (с использованием аппарата с лопастной мешалкой), описанному в Фармакопее США USP XXIV. Высвобождение гидросульфата пиперазиномочевины исследовали при рН 1 (0,1н. соляная кислота) и в фосфатном буферном растворе при рН 4,5 и 6,8 (состав см. в USP XXIV). Для регулирования условий оседания, которые обеспечивают возможность первичного контроля высвобождения гидросульфата пиперазиномочевины благодаря предлагаемой композиции, при необходимости к высвобождающей среде можно добавлять поверхностно-активное вещество (например, ДСН) или гидроксипропил- -циклодекстрин.
Пример 22: Определение крупности частиц
Крупность частиц гидросульфата пиперазиномочевины, лактозы, продукта Kollidon фумаровой кислоты, микрокристаллической целлюлозы или указанных в примерах 1-9 порошковых смесей определяли с помощью лазерной дифрактометрии (R.H.Müller, R.Schuhmann, TeilchengröBenmessung in der Laborpraxis, изд-во Wissenschaftliche Verlagsgesellschaft mbH, Stuttgart, 1996). В качестве измеряемых параметров дополнительно использовали объемное распределение частиц по крупности.
Формула изобретения
1. Твердая лекарственная композиция, обеспечивающая независимое от рН высвобождение действующего вещества, включающая (2R)-1-((4-хлор-2-(уреидо)фенокси)метил)карбонил-2-метил-4-(4-фторбензил)пиперазин или одну из его солей, полимерную матрицу, фармацевтически приемлемую органическую кислоту, смазывающую добавку и одно либо несколько вспомогательных веществ, при этом размер 90% частиц в порошковых смесях составляет от 0,1 до 750 мкм.
2. Твердая лекарственная композиция по п.1, при этом полимерная матрица выбрана из группы, включающей производные целлюлозы, акриловые производные, виниловые полимеры, полиангидриды, сложные полиэфиры, сложные полиортоэфиры, полиуретаны, поликарбонаты, полифосфазены, полиацетали, полисахариды, сложные эфиры сахара, моноэтиловые эфиры диэтиленгликоля, монопальмитостеарат диэтиленгликоля, монопальмитостеарат этиленгликоля, бегенаты глицерина и дибегенаты глицерина, дистеараты глицерина и пальмитостеараты глицерина, моноолеат глицерина 40, моностеарат глицерина 40-55, лаураты макроголглицерина, стеараты макроголглицерина, монопальмитостеарат пропиленгликоля, хитозан, галактоманнан, пектин, шеллак и альгинаты.
3. Твердая лекарственная композиция по п.1, при этом полимерная матрица представляет собой смесь из водорастворимого поливинилпирролидона и водонерастворимого поливинилацетата.
4. Твердая лекарственная композиция по п.1, при этом полимерная матрица имеет следующий состав: 80% поливинилацетата, 19% поливинилпирролидона, 0,8% лаурилсульфата натрия и 0,2% диоксида кремния.
5. Твердая лекарственная композиция по п.1, при этом органическая кислота, выбрана из группы, включающей фумаровую кислоту, лимонную кислоту, тринатрийцитрат, Na-гидроцитрат, аскорбиновую кислоту, малеиновую кислоту, ангидрид малеиновой кислоты, винную кислоту, адипиновую кислоту, Na-гидрофосфат, янтарную кислоту, глутаровую кислоту, ангидрид глутаровой кислоты, сорбат калия и сорбиновую кислоту.
6. Твердая лекарственная композиция по п.1, при этом вспомогательное вещество представляет собой лактозу, дифосфат кальция, маннит или крахмал.
7. Твердая лекарственная композиция по п.1, при этом в качестве дополнительного вспомогательного вещества она содержит микрокристаллическую целлюлозу.
8. Твердая лекарственная композиция по п.1, при этом она дополнительно содержит регулятор текучести.
9. Твердая лекарственная композиция по п.1, при этом 90% частиц в порошковых смесях имеют размер от 20 до 400 мкм.
10. Твердая лекарственная композиция по п.1, при этом (2R)-1-((4-хлор-2-(уреидо)фенокси)метил)карбонил-2-метил-4-(4-фторбензил)пиперазин распределен или его соль гомогенно распределена в матрице.
11. Твердая лекарственная композиция по одному из пп.1-10, при этом (2R)-1-((4-хлор-2-(уреидо)фенокси)метил)карбонил-2-метил-4-(4-фторбензил)пиперазин заключен или его соль заключена в матрицу.
12. Способ получения твердой лекарственной композиции по одному из пп.1-11, заключающийся в том, что (2R)-1-((4-хлор-2-(уреидо)фенокси)метил)карбонил-2-метил-4-(4-фторбензил)пиперазин или одну из его солей смешивают с одним либо несколькими вспомогательными веществами, полимерной матрицей, органической кислотой и смазывающей добавкой и затем смесь таблетируют, при этом все вещества представлены в порошкообразном виде и их классифицируют либо до смешения порознь, либо после смещения совместно.
13. Способ получения твердой лекарственной композиции по одному из пп.1-11, заключающийся в том, что (2R)-1-((4-хлор-2-(уреидо)фенокси)метил)карбонил-2-метил-4-(4-фторбензил)пиперазин или одну из его солей смешивают с одним либо несколькими вспомогательными веществами, полимерной матрицей и органической кислотой и затем гранулируют, после этого вводят смазывающую добавку и в завершение смесь таблетируют.
14. Способ получения твердой лекарственной композиции по одному из пп.1-11, заключающийся в том, что (2R)-1-((4-хлор-2-(уреидо)фенокси)метил)карбонил-2-метил-4-(4-фторбензил)пиперазин или одну из его солей, полимерную матрицу, органическую кислоту и вспомогательные вещества перерабатывают путем экструзии и последующей сфероидизации с получением сферических гранул.
15. Способ получения в дробленом (порошкообразном) виде твердой лекарственной композиции по одному из пп.1-11, заключающийся в том, что (2R)-1-((4-хлор-2-(уреидо)фенокси)метил)карбонил-2-метил-4-(4-фторбензил)пиперазин или одну из его солей, полимерную матрицу, органическую кислоту и вспомогательные вещества смешивают между собой и переработкой с использованием раствора связующего или расплавленных добавок получают сферические гранулы.
16. Способ получения в дробленом (порошкообразном) виде твердой лекарственной композиции по одному из пп.1-11, заключающийся в том, что (2R)-1-((4-хлор-2-(уреидо)фенокси)метил)карбонил-2-метил-4-(4-фторбензил)пиперазин или одну из его солей, полимерную матрицу, органическую кислоту и вспомогательные вещества подвергают сушке распылением или отверждению при распылении с получением сферических гранул.
17. Способ получения в дробленом (порошкообразном) виде твердой лекарственной композиции по одному из пп.1-11, заключающийся в том, что (2R)-1-((4-хлор-2-(уреидо)фенокси)метил)карбонил-2-метил-4-(4-фторбензил)пиперазин или одну из его солей, полимерную матрицу, органическую кислоту и вспомогательные вещества подвергают роторному гранулированию с получением сферических гранул.
18. Способ получения твердой лекарственной композиции по одному из пп.1-11, заключающийся в том, что полимерную матрицу, органическую кислоту и вспомогательные вещества наносят послойно на (2R)-1-((4-хлор-2-(уреидо)фенокси)метил)карбонил-2-метил-4-(4-фторбензил)пиперазин или его соль с получением таким путем сферических гранул.
19. Применение твердой лекарственной композиции по одному из пп.1-11 для получения медикамента, предназначенного для лечения воспалительных заболеваний.
20. Применение по п.19, при этом воспалительным заболеванием является множественный склероз.
21. Применение по п.19, при этом воспалительным заболеванием является ревматоидный артрит.
22. Применение по п.19, при этом воспалительным заболеванием является атопический дерматит.
РИСУНКИ
MM4A – Досрочное прекращение действия патента СССР или патента Российской Федерации на изобретение из-за неуплаты в установленный срок пошлины за поддержание патента в силе
Дата прекращения действия патента: 08.10.2008
Извещение опубликовано: 20.09.2010 БИ: 26/2010
|
|