Патент на изобретение №2159109
|
||||||||||||||||||||||||||
(54) СРЕДСТВО ДЛЯ ПРОФИЛАКТИКИ РАКА
(57) Реферат: Изобретение относится к области медицины, а именно к профилактической онкологии. Средство для профилактики рака является калиевой солью глюкаровой или глюкуроновой кислот. Глюкарат калия или глюкуронат калия эффективно тормозит возникновение и развитие опухолей шейки матки и пищевода. 2 табл. Изобретение относится к области медицины, а именно к профилактической онкологии. Однако все эти средства имеют ограничения для применения в связи с наличием у них побочных эффектов и противопоказаний. Известны комплексные средства для профилактики рака, полученные из биологически активных веществ бурых морских водорослей: кламин, фитолон, фукус, а также хвои сосны и ели: феокарпин [Патент N 2031654 (РФ). Средство “Фитолон” и “Фитолон-М” для профилактики злокачественных новообразований / А. С. Барчук, М.Л. Гельфонд, В.Б. Некрасова, Т.В. Никитина, В.Т. Курныгина, Е. С. Лебедева, Л.Н. Данилов, А.И. Фрагина, Б.В. Васильев. – Заявл. 18.05.93 N 93019881. – Опубл. в Б.И., 1995, N 9. Патент N 2034560 (РФ). Средство для профилактики рака “Кламин” / В.Б. Некрасов, Т.В. Никитина, В.Т. Курныгина, А.И. Фрагина, В.Г. Беспалов, В.А. Вайнштейн, В.В. Иванова. – Заявл. 18.05.93 N 93019880. – Опубл. в Б.И., 1995, N 13. Патент N 2082423 (РФ). Средство для профилактики рака / В.Б. Некрасова, Т.В. Никитина, В.Г. Беспалов, В.Т. Курныгина, А. И. Фрагина, В. А. Вайнштейн, В.В. Иванова. – Заявл. 12.04.94 N 94011498. – Опубл. в Б.И., 1997, N 18. Патент N 2116798 (РФ). Средство для профилактики рака “Фукус” / В.Б. Некрасова, В.Г. Беспалов, Т.В. Никитина, В. Т. Курныгина. – Заявл. 25.10.95 N 95118321. – Опубл. в Б.И., 1998, N 22]. Хотя данные комплексные средства практически нетоксичны, не имеют побочных эффектов и противопоказаний, их недостатками являются трудность, стандартизации в связи с большим количеством действующих биологически активных веществ, а также ограниченность природных источников сырья и его дороговизна. Профилактическая онкология нуждается в новых средствах для профилактики рака, лишенных вышеперечисленных недостатков, т.е. обладающих высокой эффективностью и отсутствием побочных и токсичных эффектов, возможностью стандартизации, доступностью. Близким к предлагаемому изобретению является вещество – производное глюкозы, представляющее смесь 1,4- и 3,6-лактонов D-сахарной кислоты [Патент N 205732 (РФ). Способ получения продукта / Е.Ф. Панарин, М.В. Гликина, А.Н. Аникеева, О. П. Горбунова, Ф.Б. Найдис, Н.Н. Власов, Г.Б. Плисс. – Заявл. 16.07.1992 N 5955238. – Опубл. в Б.И., 1996, N 10]. Смесь 1,4- и 3,6-лактонов D-сахарной кислоты тормозила развитие индуцированных опухолей мочевого пузыря. [Патент N 2062100 (РФ). Способ профилактики индуцируемых опухолей мочевого пузыря. / Г.Б. Плисс, Н.Н. Власов, Е.Ф. Панарин, М.В. Гликина. А.Н. Аникеева, О. П. Горбунова, Ф. Б. Найдис. – Заявл. 16.07.1992 N 5066349. – Опубл. В Б.И., 1996, N 17]. Недостатками данного вещества является трудность его химического синтеза и высокая стоимость. Однако недостатком глюкарата кальция является наличие в соединении кальция, что предопределяет противопоказания к приему вещества. Как известно, противопоказанием к приему препаратов кальция является повышенная свертываемость крови, тромбофлебиты, далеко зашедший атеросклероз [Машковский М.Д. Лекарственные средства. – М.: Медицина, 1993, – Ч. II. – С. 141-143]. Глюкарат кальция не растворяется в воде, что затрудняет его всасывание в желудочно-кишечном тракте, не позволяет производить некоторые лекарственные формы. Задачей изобретения является расширение ассортимента средств при профилактики рака на основе производных глюкозы, но лишенных вышеперечисленных недостатков. Поставленная задача достигается тем, что в качестве средства для профилактики рака использованы калиевые соли D-глюкаровой и D-глюкуроновой кислоты. Использование калиевых солей D-глюкаровой и D-клюкуроновой кислоты для профилактики рака ранее было неизвестно и является новым. D-глюкаровая и D-глюкуроновая кислоты являются нормальными метаболитами D-глюкозы в организме животных и человека. Многие чужеродные вещества выводятся из организма в виде глюкуронидов и сульфатов, т.е. эфиров глюкуроновой и серной кислот, т.н. парных соединений. В таком виде выводятся метаболиты полициклических ароматических углеводородов и других известных канцерогенных агентов. Наличие фермента -глюкуронидазы в определенных органах предопределяют органотропность канцерогенов, т.к. высвобождение активных метаболитов из парных соединений способствует взаимодействию канцерогенов с ДНК тканей-мишеней. Ингибирование этого процесса может снижать риск образования опухолей. Механизмы антиканцерогенного действия глюкаровой и глюкуроновой кислот и их солей объясняются способностью ингибировать активность фермента -глюкуронидазы. Как уже было сказано выше, многие канцерогены метаболизируются до конечных метаболитов с помощью -глюкуронидазы; кроме того, в процессе промоции канцерогенеза и прогрессии опухолей в тканях накапливается в больших количествах -глюкуронидаза. Антиканцерогенный эффект глюкаровой и глюкуроновой кислот и их солей может также обуславливаться влиянием на обмен стероидных гормонов и других процессов, которые протекают при участии ![]()
Вышеназванные вещества: смесь 1,4- и 3,6-лактонов D-сахарной кислоты и глюкарат кальция являются примерами средств для профилактики рака, полученных на основе производных глюкозы.
Ниже приведены примеры получения и использования в качестве средства для профилактики рака глюкарата калия и глюкуроната калия. Химический синтез глюкарата калия, глюкуроната калия, вещества сравнения – глюкарата кальция, а также определение их подлинности проводили по методам, описанным в литературе [Методы химии углеводов. Пер. с англ. Ред. Н.К. Кочетков. – М.: Мир, 1967. – С. 221; Жданов Ю.А., Дорофеенко Г.Н., Корольченко Г.А., Богданова Г. В. Практикум по химии углеводов. – М.: Росвузиздат, 1963. – С. 20; Коренман И. М. Фотометрический анализ. Методы определения органических соединений. – М.: Химия, 1975. – С. 173, 180].
Пример 1. Химический синтез глюкарата калия.
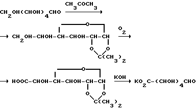
Глюкарат калия синтезировали из глюкозы по схеме:![]() В фарфоровой чашке емкостью 0,5 л смешивали 54 г D-глюкозы с 320 мл 25%-ной азотной кислоты (d=1,15). Раствор нагревали на кипящей водяной бане при непрерывном перемешивании стеклянной палочкой. Реакционную смесь нагревали под тягой до прекращения выделения окислов азота, после чего раствор упаривали до образования сиропа, окрашенного в желтовато-коричневый цвет. Полученную сиропообразную массу растворяли в небольшом количестве воды (10 мл) и, продолжая нагревание на водяной бане, постепенно нейтрализовали растертым углекислым калием до щелочной реакции на лакмус. При этом образовывались хорошо растворимая в воде средняя калиевая соль сахарной кислоты, которую переводили в кислую соль путем обработки уксусной кислотой. Для этого к охлажденному раствору при помешивании добавляли по каплям ледяную уксусную кислоту до тех пор, пока проба хорошо перемешанного раствора не приобретала запаха уксусной кислоты. Полученную смесь оставляли стоять при комнатной температуре в течение 36-48 ч, после чего выпавшие кристаллы монокалиевой соли сахарной кислоты отфильтровывали на воронке Бюхнера и промывали несколькими миллилитрами ледяной воды. Полученный осадок, окрашенный в светло-коричневый цвет, растворяли в небольшом количестве горячей воды (35-40 мл), кипятили в течение 5 мин с 0,5 г активированного угля, фильтровали и фильтрат охлаждали. При охлаждении из фильтрата выпадала малорастворимая в воде чистая монокалиевая соль сахарной кислоты (глюкарат калия), которую отфильтровывали, промывали спиртом и высушивали. Выход составлял 20-22 г. Определение подлинности проводили по реакции на остаток сахарной кислоты и калий. В пробирку размером 22х3 см с отшлифованной пробкой помещали 1-3 мг вещества, растворяли в 5 мл воды. Раствор окисляли 0,25 М йодатом натрия (NaIO4). Смесь нагревали 30 мин при 100oC, охлаждали и добавляли 0,2 мл этиленгликоля. Полученный раствор титровали 0,01 Н гидроокисью натрия (NaOH). Индикатор – метиловый красный. В этих же условиях проводили холостой опыт (без соли сахарной кислоты). Молекула сахарной кислоты при окислении образовывали 6 молекул муравьиной кислоты. Раствор вещества (1:50) давал характерную реакцию на калий (ГФХ, С. 744). Чистота синтезированного глюкарата калия составляла более 99%. Формула C6H9O8K. Мм 248,24. Точка плавления 188oC (разложение). Пример 2. Химический синтез глюкуроната калия. Глюкуронат калия синтезировали из глюкозы по схеме: ![]() На первой стадии D-глюкозу превращали в 1,2-O-изопропилиден- -D-глюкофуранозу, которую окисляли в 1,2-O-изопропилиден- -D-глюкуроновую кислоту. После снятия изопропилиденовой защиты получали -D-гюкуроновую кислоту, которую выделяли в виде D-глюкофурануроно-6,3-лактона. Обработкой последнего гидроокисью калия получали калиевую соль глюкуроновой кислоты (глюкуронат калия).
Получение 1,2-O-изопропилиден -D-глюкофуранозы.
200 г безводной -D-глюкозы измельчали в гомогенизаторе и интенсивно перемешивали с 4 л ацетона при охлаждении в бане со льдом. К смеси порциями по 20 мл через 10-15 мин прибавляли 160 мл. 96%-ной серной кислоты, поддерживая при этом температуру 5-10oC. После этого реакционную смесь перемешивали еще 5 ч, постепенно поднимая температуру до 20-25oC. Раствор вновь охлаждали в бане со льдом и прибавляли при перемешивании 50%-ный раствор едкого натра (245 г в 300 мл воды), доводя pH раствора до нейтрального. Для поддержания нейтральности раствора прибавляли небольшое количество бикарбоната натрия и смесь оставляли на ночь. Затем неорганические соли отфильтровывали, раствор разбавляли 2,5 л воды и смесь концентрировали в вакууме при 60-70oC до объема 1600 мл, удаляя таким образом ацетон и продукты его конденсации. Остающуюся смесь подкисляли концентрированной соляной кислотой до pH 2, после чего при непрерывном перемешивании нагревали 4 ч при 40oC. Добавлением раствора едкого натра доводили pH гидролизата до 8 и отфильтровывали. Фильтрат концентрировали в вакууме до начала кристаллизации 1,2-O-изопропилиден- -D-глюкофуранозы. Продукт отфильтровывали, промывали холодным спиртом и сушили на воздухе. Вывод – 81,2 г.
Окисление 1,2-O-изопропилиден -D-глюкофуранозы в 1,2-O-изопропилиден- -D-глюкуроновую кислоту.
60 г 1,2-O-изопропилиден- -D-глюкофуранозы растворяли в 900 мл воды в трехгорлой круглодонной колбе емкостью 3 л и прибавляли 5,7 г бикарбоната натрия. После растворения вводили катализатор и энергично перемешивали смесь со скоростью 3000 об/мин. В реакционную смесь через вводную трубку продували со скоростью 112 л/ч сжатый воздух. Температура реакции поддерживалась на уровне 50oC при помощи водяной бани. Когда pH раствора снижалась до 7,0, прибавляли еще 5,7 г бикарбоната натрия. Эту операцию повторяли пока не было израсходовано 22,7 г бикарбоната натрия, а конечное значение pH раствора не достигало 7. От полученной смеси отфильтровывали катализатор и промывали его горячим разбавленным раствором хлористого натрия. Фильтрат и промывные воды объединяли и концентрировали в вакууме до 175 мл. Полученный раствор нагревали до 70oC и прибавляли 2 г хлористого кальция до осаждения щавелевой кислоты в виде оксалата кальция. После фильтрования раствор обрабатывали насыщенным раствором 13 г хлористого кальция. При охлаждении до 15-20oC выкристаллизовывались кальциевая соль 1,2-O-изопропилиден- -D-глюкуроновой кислоты, которую отделяли фильтрованием. Продукт промывали водой, охлажденной до 0oC, и высушивали на воздухе. Получали 41,8 г вещества.
Получение D-глюкофурануроно-6,3-лактона.
К раствору 10,1 г дигидрата щавелевой кислоты в 275 мл воды при 90-100oC прибавляли при перемешивании 48,6 г гидрата кальциевой соли 1,2-O-изопропилиден- -D-глюкуроновой кислоты. Полученную смесь, которая содержала образовавшуюся 1,2-O-изопропилиден- -D-глюкуроновую кислоту, нагревали при перемешивании 1,75 ч, причем в последние полчаса прибавляли активированный уголь. Для постоянства объема смеси периодически прибавляли воду. Отфильтрованную смесь концентрировали на паровой бане до начала кристаллизации, а затем быстро охлаждали до 20oC. Через 2 часа кристаллический продукт отфильтровывали, промывали холодным спиртом и высушивали при 50oC; выход первой порции D-глюкофурануроно-6,3-лактона составлял 12,2 г.
Получение глюкуроната калия.
17,6 г D-глюкофурануроно-6,3-лактона растворяли в 20 мл воды, прибавляли при охлаждении раствор 5,7 г гидроокиси калия в 15 мл воды. Нейтральный раствор упаривали до сиропа и осаждали соль этиловым спиртом. Осадок отфильтровывали, промывали спиртом и сушили при 50oC.
Определение подлинности проводили по реакции на остаток сахарной кислоты и калий. Раствор вещества (1:50) давал характерную реакцию на калий (ГФХ, С. 744). Качественное и количественное определение проводили по наличию углеводных фрагментов в структуре препарата, основанных на реакции альдегидной группы с антроном или нафторезорцином. Ход определения: 5 мл анализируемого раствора, содержащего не более 0,08 мг производного глюкуроновой кислоты, смешивали с 2 мл водного 0,4%-ного раствора нафторезорцина, 2 мл H2SO4 и нагревали 1,5 часа при 100oC. Затем смесь охлаждали, добавляли 10 мл этилового спирта для растворения продуктов реакции и экстрагировали 8 мл толуола, который окрашивали в красный цвет. Измерив оптическую плотность при 565 нм, по калибровочной прямой определяли количество препарата.
Чистота синтезированного глюкуроната калия составляла более 99%. Формула C6H9O7K H2O. Мм 251. Точка плавления 148oC.
Пример 3. Химический синтез вещества сравнения – глюкарата кальция.
Глюкарат кальция синтезировали из глюкозы по схеме:![]() Сначала получали калиевую соль глюкаровой кислоты, как в примере 1. Затем раствор калиевой соли глюкаровой кислоты обрабатывали 10%-ным раствором хлористого кальция в воде. Осадок отфильтровывали, промывали водой и сушили. Определение подлинности проводили по реакции на остаток сахарной кислоты и кальций. Раствор глюкарата кальция в воде (1:50) давал характерную реакцию на соль кальция с оксалатом аммония и серной кислотой (ГФХ, С.744). Соль кальция, смоченная соляной кислотой и помещенная в бесцветное пламя, окрашивала его в кирпично-красный цвет. Для количественного определения глюкарата кальция навеску препарата 0,5 г растворяли при нагревании в 20 мл воды. Добавляли 10 мл аммиачного буферного раствора и 7 капель раствора кислотного хром темно-синего индикатора. Титровали 0,05 М раствором трилона Б до сине-фиолетового окрашивания. Реакцию на остаток сахарной кислоты проводили, как в примере 1. Чистота синтезированного глюкарата кальция составляла более 99%. Формула C12H18O16Ca. Мм 228,2. Точка плавления > 230oC (разложение). Предлагаемое средство для профилактики рака в двух модификациях: глюкарат калия и глюкуронат калия прошло апробацию на базе группы химиопрофилактики рака НИИ онкологии им. проф. Н.Н. Петрова Минздрава РФ (г. Санкт-Петербург). Изучалось антиканцерогенное действие на моделях рака шейки матки и пищевода в сравнении с глюкаратом кальция. В процессе экспериментов установлено, что как глюкарат калия, так и глюкуронат калия хорошо растворимы в воде, не обладают никакими токсическими и побочными эффектами, не имеют противопоказаний, что выгодно отличает их от глюкарата кальция. Онкопрофилактические свойства средства подтверждаются следующими примерами. Пример 4. У мышей-самок SHR индуцировали опухоли шейки матки и влагалища с помощью местных аппликаций 7,12-диметилбенз(а)антрацена (ДМБА). Канцероген ДМБА получали от фирмы Sigma, США. Мышам с начальным весом 20-22 г вводили внутривлагалищно 0,1% раствор ДМБА в триэтиленгликоле на полиуретановых тампонах, 2 раза в неделю в течение 6 недель (суммарная доза 300 мкг на мышь). В контрольной группе мыши получали обычный стандартный корм и дополнительным воздействием не подвергались. В опытных группах мышам давали с кормом глюкарат калия, глюкуронат калия или препарат сравнения – глюкарат кальция: все 3 агента в концентрации 2 г/кг корма. Все препараты начинали давать через 3 дня после последнего введения ДМБА и продолжали до конца эксперимента, Опыт завершали через 6 месяцев от начала введения ДМБА. Проводили гистологическую обработку органов и тканей по стандартной методике с окраской гематоксилин/эозином. При световой микроскопии проводили патоморфологический анализ материала. Результаты эксперимента обрабатывали методами вариационной статистике с использованием критерия хи-квадрат. Влияние препаратов на развитие опухолей шейки матки и влагалища представлено в таблице 1. Как видно из таблицы 1, глюкарат калия уменьшал частоту опухолей шейки матки и влагалища на 32,1%, а глюкуронат калия – на 30,0%, разница с контрольной группой статически достоверна. Антиканцерогенные эффекты глюкарата кальция были несколько слабее, он уменьшал частоту опухолей шейки матки и влагалища на 20,4%, разница с контрольной группой статистически достоверна (табл. 1). Пример 5. Влияние препаратов на развитие опухолей пищевода представлено в таблице 2. Как видно из таблицы 2, глюкарат калия уменьшал частоту опухолей пищевода на 35,1%, а их множественность – на 61,3%, глюкуронат калия уменьшал частоту опухолей пищевода на 32,0%, а их множественность – на 58,5%, разница с контрольной группой по всем показателям статистически достоверна. Антиканцерогенные эффекты глюкарата кальция были несколько слабее, он уменьшал частоту опухолей пищевода на 18,4% (статистически недостоверно), а их множественность – на 44,3% (статически достоверно, табл. 2). Таким образом, глюкарат калия и глюкуронат калия эффективно тормозили развитие опухолей шейки матки и влагалища, а также опухолей пищевода, индуцированных химическими канцерогенами. При сравнении с глюкаратом кальция антиканцерогенные эффекты глюкарата и глюкуроната калия были сильнее В сравнении с аналогами предлагаемое средство для профилактики рака в двух модификациях: глюкарат калия и глюкуронат калия имеет следующие преимущества: более высокая антиканцерогенная активность, отсутствие токсических и побочных эффектов, отсутствие противопоказаний, более доступные и простые методы химического синтеза, растворимость в воде, более высокая биодоступность. Формула изобретения
РИСУНКИ
MM4A Досрочное прекращение действия патента Российской Федерации на изобретение из-за неуплаты в установленный срок пошлины за поддержание патента в силе
Дата прекращения действия патента: 30.03.2001
Номер и год публикации бюллетеня: 35-2002
Извещение опубликовано: 20.12.2002
|
||||||||||||||||||||||||||

-глюкуронидазы в определенных органах предопределяют органотропность канцерогенов, т.к. высвобождение активных метаболитов из парных соединений способствует взаимодействию канцерогенов с ДНК тканей-мишеней. Ингибирование этого процесса может снижать риск образования опухолей. Механизмы антиканцерогенного действия глюкаровой и глюкуроновой кислот и их солей объясняются способностью ингибировать активность фермента 

-D-глюкофуранозу, которую окисляли в 1,2-O-изопропилиден-
H2O. Мм 251. Точка плавления 148oC.
Пример 3. Химический синтез вещества сравнения – глюкарата кальция.
Глюкарат кальция синтезировали из глюкозы по схеме: