Патент на изобретение №2310474
|
||||||||||||||||||||||||||||||||||||||||||||||||||||||||||||||||||||||||||||||||||||||||||||||||||||||||||||||||||||||||||||
(54) СПОСОБ ЛЕЧЕНИЯ ЭНДОМЕТРИОЗА ИЛИ БЕСПЛОДИЯ ИЛИ УЛУЧШЕНИЕ СПОСОБНОСТИ К ВОСПРОИЗВЕДЕНИЮ ПОТОМСТВА И ФАРМАЦЕВТИЧЕСКАЯ КОМПОЗИЦИЯ ДЛЯ ЕГО ОСУЩЕСТВЛЕНИЯ
(57) Реферат:
Изобретение относится к области медицины и фармакологии и касается фармацевтической композиции местного назначения для лечения эндометриоза или бесплодия, или улучшения способности к воспроизведению потомства, включающей терапевтически эффективное количество
(56) (продолжение): CLASS=”b560m”C1, 20.04.1998. МАШКОВСКИЙ М.Д., Лекарственные средства, М., Медицина, 1993, ч.1, с.639.
Область техники, к которой относится изобретение Это изобретение имеет отношение к фармацевтической композиции и способу лечения эндометриоза, бесплодия или улучшения способности к воспроизведению потомства. Уровень техники Эндометриоз это состояние, при котором ткань, идентичная или сходная с внутренней подкладкой матки, находится в аномальных местах, т.е. вне матки. Главным образом, воздействуя на гинекологию и другие нижние тазовые органы, эндометриоз часто сопровождается симптомами болезненного утробного крепления (дисменорея), болями в тазу и бесплодием. Сравнительно низкий процент болеющих эндометриозом, полностью неизвестное время его развития и насильственная природа процедуры диагностики вместе представляют сложность для изучения возможности предотвращения эндометриоза. Классическое лечение эндометриоза выражается в существенном уменьшении размера (но не исчезновения) эндометриозного поражения и сокращении боли; однако такое лечение обычно подражает менопаузе или беременности, блокируя, таким образом, овуляцию. Вследствие того, что традиционное лечение эндометриоза предотвращает беременность путем блокировки овуляции, это может принести большую пользу в возможности использования лечения, которое не вступает в противоречие с нормальным менструальным циклом. Менструальный цикл может быть подразделен на три характерные фазы, основывающиеся на маточной сокращаемости: ранняя фолликулярная фаза, поздняя фолликулярная фаза и лютеальная фаза. В течение ранней фолликулярной фазы преобладают прямые маточные сокращения, распространяющиеся от дна до цервикального конца матки. Эта модель сокращаемости является инструментом для заблаговременного освобождения маточного содержимого (менструация). В этой фазе менструального цикла маточные сокращения обычно воспринимаются как охватывающие и могут быть представлены как миниатюрная модель экспульсивных родовых схваток. В этом случае маточные сокращения могут оказаться такими болезненными, что могут помешать обычному распорядку дня, возможно, потребуются медицинские препараты и/или время, чтобы вернуться к регулярным повседневным делам. Такие болезненные сокращения называются дисменорея. Поздняя фолликулярная фаза характеризуется преобладанием обратных (от шейки до матки) сокращений. Это играет роль в быстрой транспортировке спермы от цервикальной области к дистальным кончикам труб, где происходит оплодотворение. Сокращения в течение поздней фолликулярной фазы известны своей безболезненностью. Лютеальная фаза выражается прогестерон-вызванной маточной неподвижностью с возможно меньшей амплитудой, двунаправленными сокращениями, которые берут начало от обоих концов матки и встречаются посередине области. Эти двунаправленные сокращения могут помочь в правильном расположении развивающегося эмбриона в средней части полости матки, где имплантация является более успешной. Недавние исследования связывали эндометриоз с дискинетической моделью маточной сокращаемости в течение женского менструального цикла. Salamanca, A., Beltran, E., Subendometrial Contractility in Menstrual Phase Visualized by Transvaginal Sonography in Patients with Endometriosis. Fertil. Steril., 65:193-95 (1995). Аналогично с другими формами плавной мускульной дискинезии (такой как синдром раздраженного кишечника) предполагается, что сдвиг маточной сокращаемости, связанный с эндометриозом, является гиперкинетическим. Sunflippo, J.S., Wakin, N.G., Schicler, K.N; Yussman, M.A; Endometriosis in assosiation with uterine anomaly. Am. J. Obstet. Gynecol. 1986; 154:39-43. Гиперкинетические маточные сокращения, связанные с эндометриозом, могут препятствовать характерному прямому вытеканию менструальной крови, которое происходит в течение ранней фолликулярной фазы менструального цикла. Обычно, менструальная кровь вытекает из матки в направлении вагины; однако, аномальные маточные сокращения могут служить причиной для хаотичного выхода менструальной крови из матки через все выходы, включая и фаллопиевы трубы (в соответствии с высоким давлением окружающей маточной полости). Это приводит к увеличению обратного кровотечения. Обратное кровотечение, в конечном счете, будет одним из факторов, питающих развитие внутриматочного вживления (пересаживания) сквозь обрезки внутриматочной ткани, и активации хронической воспалительной реакции. Вместе с тем считается, что все женщины испытывают в какой-то мере обратное кровотечение в течение менструации (т.е. в течение раннего фолликулярного цикла), по крайней мере, часть времени, Halme, J., Hammond, M.G; Hulka, J.F; Raj, S.G., Talbert, L.M., Retrograde menstruation in healthy women and in pattients with endometriosis, J.Am Ass. Gynecol. Laparoscopists 3 [4 Suppl], S5. 1996, и недавние исследования показали, что женщины, страдающие эндометриозом, имеют больше эндометриальных обрезков (дебрисов), которые демонстрируют более сильную предрасположенность к росту в культуре, чем те, что получены от женщин, не зараженных эндометриозом. Bulletti, D., Rossi, S., Albonetti, A., Polli, V., De Zeigler, D., Massonneau, M., et. al., Uterine contractility in pattients with endometriosis J.Am Ass. Gynecol. Laparoscopists 3 [4 Suppl], S5. 1996. Другие исследования показали более объемное обратное движение агрегатов макро-альбумина, меченных Тс-99 (технеций), происходящее в матке и трубах, и размещение их во влагалище, что обусловлено эндометризом в сравнении с не зараженными им. Leyendecker, G., Kunz, G., Wildt, L., Beil D., Deininger H; Uterine hyperperistalsis and disperistalsis as dysfunctions of the mechanism of rapid sperm transport in patients with endometriosis and infertility, Hum. Reprod. 1996; 11:1542-51. Далее, изменения нормальных обратных сокращений в течение позднего фолликулярного цикла, казалось бы, воздействует на быстрое движение спермы и способность к воспроизведению потомства. Так происходит вследствие сокращений вдоль женского тракта (матки и труб), которые являются главным двигателем, стремящимся быстро транспортировать сперму от цервикальной области к дистальным кончикам труб, где происходит оплодотворение. Исследования показывают, что сперма, находящаяся в полости таза в минуты полового акта, могла бы продвинуться туда за счет собственной энергии, именно таким образом обратная маточная сокращаемость связана с быстрой транспортировкой спермы. Leyendecker, G., Kunz, G; Wild, L., Beil D; Deininger H., The dynamics of rapid sperm transport throught the female genitalia tract: evidence from vaginal sonography of uterine peristalsis and hysterosalpingoscintigraphy. Hum. Reprod. 1996; 11:627-32.
Тербуталин, обычно, используют как бронхорасширяющее средство, и оно одобрено [United State Food and Drug Administratin] Управлением по санитарному надзору за качеством пищевых продуктов и медикаментов (США) для лечения астмы. Внутрь и внутривенно тербуталин также применяют как достаточно эффективный препарат от преждевременных родов, приостанавливающий схватки или откладывающий роды. Lurenas, S., Grahnen, A., Lindberg, В., et. al., Pharmacokinetics of Terbutaline During Pregnancy, Eur. J. din. Pharmacol., 29:619-623 (1986); Berg., G., Lindbtrg C., Ryden G., Terbutalin in the Treatment of pretern labour, Eur. J. Respir. Dis., 65:219-230 (1984). Использование тербуталина в лечении дисменореи документировано. В одном исследовании тербуталин был показан как средство, замедляющее миометриальную активность, увеличивающее ток крови к матке и ослабляющее боль, возникающую в течение маточных сокращений, вызванных дисменореей. Akerlund, M., Andersson, K.E., and Ingemarsson, E., Effects of Terbutaline on Myometrial Activity, Uterine Blood Flow, and Lower Abdominal Pain in Women with Primary Dysmenorrhoea, Br. J. Of Obstet&Gyn., 83(9):673-78(1976). Kullander. S., Svanberg, I., Terbutaline Inhalation for Alleviation of Severe Pain in Essential Dysmenorrhea, Acta Obstet. Gynecol. Scand., 60:425-27 (1981). Хотя это лечение давало некоторый эффект, оно было недостаточно для большинства пациентов, которые должны были дополнительно использовать другие медикаменты для необходимого эффекта. Эффект каждого приема этого лекарства продолжался не более одного часа. Кроме того, использование тербуталина и других Недостатки, связанные с применением в терапии Кроме того, терапия тербуталином вызывает появление существенных неблагоприятных побочных эффектов, упомянутых выше, в особенности, что касается сердечно-сосудистой системы. Как симпатомиметический амин, тербуталин может вызывать проблемы с сердечно-сосудистыми расстройствами, включая аритмию, коронарную недостаточность и гипертонию. Внутривенный прием тербуталина связан с сильным сердцебиением и переферийным тремором. Akerlund, M., Andersson, К.Е., and Ingemarsson, E., Effects of Terbutaline on Myometrial Activity, Uterine Blood Flow, and Lower Abdominal Pain in Women with Primary Dysmenorrhoea, Br. J. Of Obstet Gyncol., 83:673-78(1976). Дополнительно сообщается, что введенный внутривенно тербуталин может отягчить уже существующий ранее диабет и кетоацидоз. Принятие тербуталина может негативно сказаться на пациентах, страдающих гипертиреоидозом, сахарным диабетом и припадками. Другие неблагоприятные события включают тремор, нервозность, увеличение сердечного ритма и головокружения. Менее частые неблагоприятные побочные эффекты включают головную боль, дремоту, рвоту, тошноту, потение, судороги в мышцах и изменения электрокардиограммы. Таким образом, несмотря на эффективность, такое лечение часто противопоказано вследствие потенциально неблагоприятных последствий – кроме воздействий, обсужденных в заявке на патент (США) сер. №.09/145,172, цитируемой выше. СУЩНОСТЬ ИЗОБРЕТЕНИЯ Настоящее изобретение относится к фармацевтической композиции, включающей терапевтически эффективное количество Настоящее изобретение также относится к способу лечения эндометриоза или бесплодия, или для улучшения способности к воспроизведению потомства, включающему введение терапевтически эффективного количества препарата, содержащего Настоящее изобретение также относится к способу лечения эндометриоза или бесплодия, или для улучшения способности к воспроизведению потомства, включающему введение терапевтически эффективного количества препарата, содержащего ПОДРОБНОЕ ОПИСАНИЕ ИЗОБРЕТЕНИЯ Обозначения «Улучшения способности к воспроизведению потомства» означает, без исключений, увеличение процента зачатия или родов у женщин. «Терапевтически эффективное количество» соответствует количеству, необходимому для получения желаемого эффекта. «Лечение эндометриоза» относится к: (I) предотвращению эндометриоза у женщин, которые могут быть предрасположены к эндометриозу, но еще не болеют им; (II) замедлению эндометриоза, т.е. приостановка его развития; и/или (III) снятию эндометриоза, т.е. вызывать его регрессию. «Лечение бесплодия» означает, без исключений, ослабление бесплодия, увеличение процента зачатия или родов у женщин с пониженной или ослабленной способностью к воспроизведению потомства или с бесплодием. «Пациент» это особа, находящаяся под медицинским наблюдением или лечением. «Вагинальная слизистая оболочка» означает вагинальную слизистую мембрану. ФАРМАЦЕВТИЧЕСКАЯ КОМПОЗИЦИЯ НАСТОЯЩЕГО ИЗОБРЕТЕНИЯ Настоящее изобретение относится к фармацевтической композиции, включающей (I) терапевтически эффективное количество
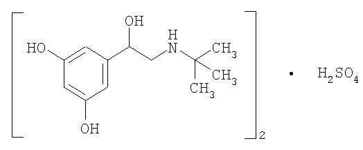
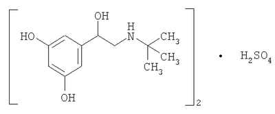
Предпочтительно Вот его структурная формула: Точный механизм воздействия Ожидается, что Также ожидается, что Далее, ожидается, что любое из этих указаний может быть выполнено, т.к. исключены обычно ожидаемые вредные уровни в крови Далее, Фармацевтически приемлемый биоадгезивный носитель – это водонерастворимый, набухающий в воде биоадгезивный сшитый полимер поликарбоновой кислоты. Использование такого полимера поликарбоновой кислоты в качестве биоадгезивного носителя в комбинации с Далее, биоадгезивный носитель может быть представлен в любой фармацевтически приемлемой форме, такой как гель, крем, таблетка, пилюля, капсула, свеча, пленка или любой другой фармацевтически приемлемой форме, которая может прилипать к вагинальной слизистой оболочке. Поэтому биоадгезивное качество настоящего изобретения предохраняет Рецептура системы для доставки медикамента по настоящему изобретению включает биоадгезивный, водонерастворимый, набухающий в воде сшитый полимер поликарбоновой кислоты, к которому добавлен По меньшей мере 80% мономеров, из которых состоит полимер, должны содержать в себе хотя бы одну карбоксильную функциональную группу. Сшивающий агент должен быть представлен в таком количестве, чтобы обладать достаточной биоадгезией и нерастворимостью в воде. Эти характеристики дают возможность системе остаться прикрепленной к эпителиальной поверхности в течение достаточного времени для получения желаемого эффекта. Такой уровень биоадгезии, обычно, достигается в том случае, когда сшивающий агент представлен в количестве от 0,1 до 6,0 массовых частей полимера. Применяемый сшивающий агент включает, помимо прочих, дивинилгликоль, дивинилбензол, N,N-диаллилакриламид, 3,4-дигидрокси-1,5-гексадиен, 2,5-диметил-1,5-гексадиен и другие похожие вещества. Сила адгезии может быть измерена серийно выпускаемым, доступным для приобретения поверхностным тензиометром. Предпочтительным полимером, используемым здесь, является поликарбофил. Поликарбофил доступен для приобретения в B.F.Goodrich Spesialty Polymersof Cleveland, ОН, под торговой маркой NOVEON®-AA1. Поликарбофил это полиакриловая кислота, поперечно-сшитая дивинилгликолем. The United States Pharmacopeia, 1995 edition, united States Pharmacopeial Convention, Inc., Rockville, Maryland, at pages 1240-41. Поликарбофил использовался в других системах по доставке медикаментов. Например, поликарбофил является основным ингредиентом в вагинальном увлажняющем наполнителе (Replens®). Он также использовался как основа для композиций с другими активными веществами, такими как прогрестерон (Crinone®) (смотри патент U.S. №5543150) и ноноксинол-9 (Advantage-S®) (смотри патент U.S. №5667492). Другие полезные биоадгезивные полимеры, которые могут быть использованы в изобретенной композиции, упомянуты в «697 патенте». Например, там представлены полимеры полиакриловой кислоты, сшитые с 3,4-дигидрокси-1,5-гексадиеном, и полимеры полиакриловой кислоты, сшитые с дивинибензолом. Эти полимеры не должны использоваться в форме соли, так как это снижает их биоадгезивную способность. Эти биоадгезивные полимеры могут быть приготовлены путем обыкновенной свободной радикальной полимеризации, методом, известным квалифицированному специалисту, т.е. использованием инициаторов, таких как пероксид бензоила и азобисизобутиронитрил. Примеры методик приготовления полезных биоадгезивов также раскрыты в «697 патенте». Дополнительно, любое или большее количество добавок, предложенных в «697 патенте», может быть смешано со сшитым полимером в рецептуре для достижения максимальной эффективности системы доставки медикамента или для удобства пациента. Такие добавки могут включать, среди прочих, смазочные материалы, пластифицирующие агенты, консерванты (предохраняющие средства), образователи геля, таблеток, пилюль, свечи, пленки, крема, дизинтегрирующие агенты, покрывающие материалы, связующие материалы, растворители (оболочки), красители, вкус контролирующие агенты, аромат контролирующие агенты, увлажнитель, вязкость контролирующие агенты, рН-регулирующие вещества. Настоящее изобретение предполагает и другие добавки, известные среднему специалисту. Предпочтительное воплощение изобретенной композиции, COL-2301, содержит следующие ингредиенты (см.табл.1).
Индивидуальные ингредиенты COL-2301 хорошо известны и легко доступны от промышленных поставщиков. Метилпарабен и сорбиновая кислота являются консервантами, которые могут быть заменены любым другим известным консервантом, таким как бензойная кислота или пропионовая кислота. Карбомер 934Р – образователь геля, который может быть заменен другими образователями геля, включающими, без ограничений, карбомер 974, карбомер 980, метилцеллюлозу или пропилцеллюлозу. Глицерин используется как увлажнитель; альтернативой ему могут служить увлажнители, включающие, например, пропиленгликоль и дипропиленгликоль. Легкий жидкий парафин является смягчающим средством; альтернативой ему могут служить масла, такие как минеральные масла, арахисовое масло, касторовое масло, кунжутовое масло или кукурузное масло. Гидроксид натрия – сильное основание, используемое с целью регулировки уровня рН; другие основания, обычно используемые с этой целью, могут быть его заменителями. LABRAFIL®M2130 необязательный агент, который обеспечивает смазывающее и отбеливающее действие композиции. Другие известные смазывающие и/или отбеливающие агенты могут быть использованы как заменители. Обычно приготовление обеспечивает гидратацию полимеров, разделение структур полимерной фазы (компоненты, растворимые в воде) и маслянной фазы (компоненты, растворимые в органических растворителях), нагревание и смешивание двух фаз и гомогенизацию смеси. Как пример, полимерная фаза может быть приготовлена путем растворения сорбиновой кислоты и метилпарабена в очищенной воде (которая должна включать приблизительно 3% дополнительного объема для предотвращения потерь от испарения), желательно при 75-78°С. Затем смесь охлаждается до обычной комнатной температуры и в нее добавляется поликарбофил и карбомер 934Р. Полимеры гидратируются путем перемешивания в течение нескольких часов, обычно в течение 2-3 часов, до образования однородной, гладкой, гомогенной, безкомочковой, гелеподобной полимерной смеси. Когда полимеры полностью гидратируются, к ним добавляется Масляная фаза обычно приготавливается путем сплавления LABRAFIL®M2130, глицерина и легкого жидкого парафина путем нагревания смеси до 75-78°С. Затем смесь охлаждается до 60°С. Полимерная фаза, описанная выше, тем временем нагревается до той же температуры. Далее полимерная фаза добавляется в нагретую масляную фазу. Две фазы тщательно перемешиваются до получения однородной, кремообразного белого продукта. Если это необходимо, то добавляется гидроксид натрия для получения уровня рН от 2,5 до 4,5, обычно около 4. Затем смесь охлаждается, происходит деаэрация. Композиция может подвергаться изменениям, очевидным квалифицированному специалисту, чтобы сообщить ей определенные свойства. Например, концентрация биоадгезивного полимера может быть установлена для обеспечения большей или меньшей биоадгезии. Вязкость может изменяться с изменением рН или путем изменения концентрации полимера или гелеобразователя. Относительная концентрация масел и воды может изменяться для модуляции скорости выделения тербуталина из системы доставки медикамента. Также может изменяться рН для получения необходимой скорости выделения или биоадгезивности рецептуры. Другое предпочтительное воплощение изобретенной фармацевтической композиции изложено в таблице 2.
Другое предпочтительное воплощение изобретенной фармацевтической композиции изложено в таблице 3.
Стеарат магния и тальк являются смазочными материалами; альтернативами могут служить стеарат кальция или стеариновая кислота. Диоксид кремния является глидантом; альтернативами могут служить коллоидный кремний или целлюлоза. Гидроксипропилметилцеллюлоза является связующим веществом; альтернативами могут служить метилцеллюлоза, карбоксиметилцеллюлоза, крахмал, глюкоза, лактоза или желатин. Лактоза используется как разжижитель; альтернативами могут служить маннитол, микрокристаллическая целлюлоза, сжимающийся сахар, дигидрофосфат кальция. Кукурузный крахмал является агентом, вызывающим дезинтеграцию; альтернативами могут служить метилцеллюлоза, карбоксиметилцеллюлоза, гуаровая смола или агар-агар. Предпочтительный метод производства биоадгезивных таблеток содержит три стадии, которые описаны ниже: 1. Первая стадия: производство гранул. Гидроксипропилметилцеллюлоза 15000 (=ГПМЦ 15000) смешивается с кукурузным крахмалом и лактозой и в случае добавления активных ингридиентов, не чувствительных к влажности. Смесь погружается в водный раствор гидроксипропилметилцеллюлозы 5 (=ГПМЦ 5) и смешивается до получения однородной массы или гранулируется. Гранулы высушиваются под теплым воздухом при температуре 50°С до состояния, при котором влажность составит меньше 2,5%. Высушенные гранулы дробятся вибрационным гранулятором просеивающей машины из нержавеющей стали с размером ячейки 1000 мкм. 2. Вторая стадия: производство таблеточной смеси. Тальк, диоксид кремния, стеарат магния и для активного ингридиента, чувствительного к влажности, добавляется активный ингридиент. Все фильтруется через фильтрующую машину с размером отверстий 500 мкм и затем транспортируется в гравитационный смеситель. Добавление гранул со стадии 1 поликарбофил, карбомер 934Р и лактоза. Результат перемешивается до получения гомогенной массы. 3. Третья стадия: таблетирование Таблеточная смесь спрессовывается в таблетки под действием вращательной таблеточной машины, оснащенной перфоратором с плоской 9 мм верхней стороной и изогнутой (r=9 мм) нижней стороной, обе со скошенной кромкой. Таблетки обеспыливаются и упаковываются. Как описано выше, активные ингредиенты, которые не чувствительны к влажности, лучше добавлять в течение производства гранул. Однако добавление активных ингредиентов также возможно в течение второй стадии, после сушки и дробления гранул. Также, как может быть оценено квалифицированным специалистом, данный второй метод особенно предпочтителен в том случае, когда активные ингредиенты чувствительны к влажности. В данном производственном процессе активные ингредиенты в основном защищены от влажности. Влажное гранулирование делается лактозой, кукурузным крахмалом и ГПМЦ. Тестостерон, поликарбофил, карбомер 934Р, тальк и стеарат магния добавляют сухими для окончательного прессования. Более того, как может быть оценено обыкновенным опытным специалистом, следуя данным настоящей заявки, материалы конструкции могут изменяться для улучшения желаемых характеристик таблетки. Например, постепенное уменьшение количества лактозы и кукурузного крахмала и постепенное увеличение количества карбомера 934Р приводит к постепенному увеличению времени, необходимого таблетке для гидратирования. МЕТОДЫ НАСТОЯЩЕГО ИЗОБРЕТЕНИЯ Настоящее изобретение касается способа лечения эндометриоза, бесплодия, и/или улучшение способности к воспроизведению потомства, включающего введение терапевтически эффективного количества композиции, содержащей Эти методы также могут быть применены, т.к. избегают появления обычно ожидаемого вредного уровня Вагинальный путь введения со специфической биоадгезивной полимерной рецептурой, обсужденной выше, предпочтителен, т.к. исключает первичный метаболизм в печени, который обычно является значительным для принимаемых внутрь Предпочтительно, от 0,5 г до 2,5 г композиции вводится вагинально. Наиболее предпочтительно вводить вагинально от 1 г до 1,5 г композиции. Далее, количество При вагинальном введении, композиция остается приложенной к эпителиальным поверхностям предпочтительно, по крайней мере, от 24 до 48 часов. Для определения, остается ли приложенной композиция, измеряют рН. Так как композиция действует как буферный агент с рН от 2,5 до 4,5, предпочтительно 4,0, такое рН должно показывать присутствие изобретенной композиции. Все публикации и патентные заявки, упомянутые выше, включены в описание путем ссылки. Разумные изменения, такие как те, что может предложить специалист, могут быть сделаны без изменения духа и области изобретения.
Формула изобретения
1. Фармацевтическая композиция местного назначения для лечения эндометриоза или бесплодия или для повышения способности к воспроизведению потомства, включающая терапевтически эффективное количество 2. Композиция по п.1, в которой 3. Композиция по п.2, в которой биоадгезивный носитель включает сшитый водонерастворимый, но набухающий в воде полимер поликарбоновой кислоты. 4. Композиция по п.3, в которой концентрация тербуталина находится в интервале от менее чем 0,1 до около 0,4 вес.%. 5. Композиция по п.4, в которой полимером является поликарбофил. 6. Композиция по любому из пп.1-5, позволяющая обойти повышение уровня вышеупомянутого 7. Композиция по п.6, в которой 8. Композиция по п.7, в которой биоадгезивный носитель представляет собой сшитый водонерастворимый, но набухающий в воде полимер поликарбоновой кислоты. 9. Композиция по п.8, в которой полимером является поликарбофил. 10. Композиция по п.9, которая составлена для введения в дозировке от около 1,0 до 1,5 г и которая доставляет от менее чем 2 до около 4 мг тербуталина. 11. Композиция по п.5 или 9, в которой агонист используется для лечения эндометриоза. 12. Композиция по п.5 или 9, в которой агонист используется для лечения бесплодия или повышения способности к воспроизведению потомства. 13. Способ лечения эндометриоза или бесплодия или повышения способности к воспроизведению потомства, включающий введение терапевтически эффективного количества композиции, содержащей 14. Способ по п.13, в котором 15. Способ по п.14, в котором композиция составлена для введения в дозировке от около 1,0 до 1,5 г и которая доставляет от менее чем 2 до около 4 мг тербуталина. 16. Способ по любому из предшествующих пп.13-15, позволяющий избежать повышенных уровней вышеупомянутого 17. Способ по п.16, в котором 18. Способ по п.17, в которой биоадгезивный носитель включает сшитый водонерастворимый, но набухающий в воде полимер поликарбоновой кислоты. 19. Способ по п.18, в котором полимером является поликарбофил. 20. Способ по п.15 или 19, в котором композиция вводится каждые 12-96 ч. 21. Способ по п.15 или 19, в котором композиция вводится дважды в неделю. 22. Способ по п.15 или 19, в котором композиция представлена в форме таблетки. 23. Медикамент для введения в вагинальную слизистую оболочку при терапевтическом лечении эндометриоза, бесплодия и/или для повышения способности к воспроизведению потомства, включающий терапевтически эффективное количество 24. Медикамент по п.23, где 25. Медикамент по любому из пп.23 и 24, где медикамент составлен так, чтобы доставлять от менее чем 1 до 8 мг 26. Медикамент по любому из пп.23-25, где биоадгезивный носитель включает сшитый водонерастворимый, но набухающий в воде полимер поликарбоновой кислоты. 27. Медикамент по п.24, где концентрация тербуталина составляет от менее чем 0,1 до около 0,4 вес.%. 28. Медикамент по п.24, где полимером является поликарбофил. 29. Медикамент по п.27, где медикамент составлен для введения в дозировке от около 1,0 до 1,5 г, которая доставляет от менее чем 2 мг до около 4 мг тербуталина. 30. Медикамент по любому из п.28 или 29, где медикамент предназначен для введения каждые 12-96 ч. 31. Медикамент по п.28 или 29, где медикамент предназначен для введения дважды в неделю. 32. Медикамент по любому из пп.23-31, где медикамент избегает повышения уровня 33. Медикамент по любому из пп.23-32, где медикамент представлен в виде таблетки.
|
||||||||||||||||||||||||||||||||||||||||||||||||||||||||||||||||||||||||||||||||||||||||||||||||||||||||||||||||||||||||||||

-адренергического агониста и фармацевтически приемлемый биоадгезивный носитель, способу лечения указанных расстройств и медикаменту для введения в вагинальную слизистую оболочку, содержащему терапевтически эффективное количество 