Патент на изобретение №2310448
|
|||||||||||||||||||||||||||||||||||||||||||||||||||||||||||||||||||||||||||||||||||||||||||||||||||||||||||||||||||||||||||||||||||||||||||||||||||||||||||||||||||||||||||||||||||||||||||||||||||||||||||||||||||||||||||||||||||||||||||||||||||||||||||||||||||||||||||||||||||||||||||||||||||||||||||||||||||||||||||||||||||||||||||||||||||||||||||||||||||||
(54) АНТИМИКРОБНАЯ ФАРМАЦЕВТИЧЕСКАЯ КОМПОЗИЦИЯ, ОБЛАДАЮЩАЯ ПРОЛОНГИРОВАННЫМ ДЕЙСТВИЕМ
(57) Реферат:
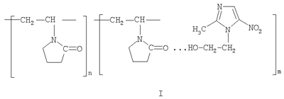
Изобретение относится к области медицины и фармакологии и касается фармацевтической антимикробной композиции, представляющей собой комплекс поливинилпирролидона и метронидазола формулы (1), где n=76-276, m=5-40, содержащий 9-19% метронидазола, а также способа получения указанного комплекса. Композиция обеспечивает поддержание концентрации метронидазола на терапевтическом уровне в течение 48 часов. 2 н.п. ф-лы, 5 табл. где n=76-276, m=5-40.
Изобретение относится к медицине и может быть использовано в качестве лекарственного средства пролонгированного действия в хирургии при лечении гнойных процессов, а также в областях, смежных с хирургией: гинекологии, ЛОР-болезни, челюстной хирургии, травматологии и других областях медицины. Инфекции, вызываемые рядом клостридальных и неклостридальных анаэробов, а также возбудителями факультативных анаэробов, прежде всего стафилококков и стрептококков, представляют собой одну из наиболее грозных категорий гнойно-воспалительных заболеваний. Течение заболеваний, как правило, тяжелое, часто сопровождаемое летальным исходом, а выбор лекарственных препаратов ограничен [Ивченко В.Н., Мельник В.М. Клиническая хирургия 1983, №1, С.45; Кузин М.И., Вандяев Г.К., Блатун Л.А. Хирургия 1983, №6, С.106; Машковский М.Д. Лекарственные средства. Медицина 1993, Т.2, С.576]. “Золотым стандартом” для лечения анаэробной инфекции в настоящее время в мировой практике принято считать инъекционную (лекарственную) форму метронидазола (1-(-2-гидроксиэтил)-2-метил-5-нитроимидазола). Однако при использовании его было отмечено, что растворимость этого препарата весьма ограничена (<0.5 вес.%), а фармакологический эффект сохраняется недолго (6-8 ч). Для продления действия метронидазола требуется трех-, четырехкратное применение его в течение суток [Гусель В.А., Маркова И.В. Справочник педиатра по клинической фармакологии. Л.: Медицина. 1998, С.223]. В этом случае может создаваться чрезмерно высокая концентрация лекарства в начальный период введения, что ведет к возникновению нежелательных побочных явлений. В настоящее время все актуальнее встает вопрос об улучшении свойств лекарственных веществ с использованием гидрофильных полимеров. Таким полимером является водорастворимый поливинилпирролидон, который выпускается отечественной промышленностью и применяется в медицине в качестве плазмозаменителя – дезинтоксикатора. Его растворы снижают токсичность кишечной палочки и протея, оказывают аглютирующее действие на микробные клетки и являются малотоксичными [Мальцев В.Н., Стрельников В.А., Феодоровский Л.Л. Журнал микробиология. 1987, №4, С.9]. Макромолекулы поливинилпирролидона весьма активны и могут вступать во взаимодействие с образованием водородных связей [Кирш Ю.Э. Поли-N-винилпирролидон и другие поли-N-виниламиды. М.: Наука 1998, С.98], что обычно используют для создания новых композиций. Так, известен патент на способ получения комплекса поливинилпирролидона с метронидазолом (Патент РФ №2205841 от 13.06.2001, Бюл. №16, 2003). Процесс получения этого комплекса со структурной формулой: где n=81-539, осуществляется в СВЧ-печи под микроволновым воздействием: выходная частота микроволн 2450 МГц, выходная мощность микроволны 850 Вт. Согласно приведенной в патенте структуре в полученном комплексе на каждую макромолекулу поливинилпирролидона приходится всего по одной молекуле метронидазола (молекулярная масса звена полимера 111), а в водном растворе при нагревании (до 70С°) или СВЧ-облучении наблюдается выделение исходного низкомолекулярного реагента, так как он обладает ограниченной растворимостью в воде. Таким образом, микроволновое излучение пагубно влияет на образование комплекса, что сказывается на ухудшении эксплуатационных свойств полученного препарата. Одновременно процесс получения комплекса существенно усложняется аппаратурным оформлением, что удорожает выпускаемое лекарственное средство. Наиболее близким по сущности к заявляемому изобретению является комплекс метронидазола с поливинилпирролидоном (Патент РФ №2157384 от 27.08.98, Бюл. №28, 2000). По данному патенту способ получения комплекса осуществляется путем нагревания композитов при 60-70°С в течение 6-12 часов. Недостатком этого способа является длительное время получения препарата и высокий температурный режим реакции, что также приводит к разрушению водородных связей в образующемся комплексе. В результате наблюдается выделение исходного метронидазола из реакционной среды, а в состав полученного комплекса входит всего 0.3-1.9% метронидазола согласно приведенной структурной формуле. Это, несомненно, влияет на свойства полученного лекарственного средства. Целью настоящего изобретения является получение новой фармацевтической композиции на основе поливинилпирролидона и 1-(2-гидроксиэтил)-2-метил-5-нитроимидазола, не содержащей свободного метронидазола. Указанная цель достигается тем, что для получения комплекса к водному раствору поливинилпирролидона с ММ от 9000 до 35000 при температуре 20-25°С добавляется водный раствор метронидазола при перемешивании и соблюдении мольных соотношений компонентов 1:0.065÷1:0.130 (весовые соотношения 5:1÷10:1) соответственно. Взаимодействие протекает весьма быстро, температура при этом не должна превышать 30°С, так как возрастание последней приводит к выделению метронидазола из состава комплекса. Структурная формула полученного комплекса соответствует следующему строению: где n=76-275; m=5-40; MM комплекса 10000-42000. В состав полученного комплекса согласно приведенной формуле входит 9-19.5% метронидазола. Строение полученного комплекса подтверждается данными ИК- и УФ-спектроскопии. В ИК-спектрах полоса при 1681 см-1, характерная для валентных колебаний С=O групп в поливинилпирролидоне, в полученных комплексах имеет сложную структуру (две компоненты с Отражением образования полученного комплекса служат изменения в УФ-спектрах растворов метронидазола и полученного комплекса, которые выражаются в значительном уменьшении коэффициента экстинкции последнего в сравнении с таковыми для метронидазола в воде ( При создании нового комплекса на основе поливинилпирролидона учитывалось его воздействие на живой организм. Ранее установлено [Robinson B.V., Sullivan P.M., Borzelleca J.F. PVP. Chicago: Lewis publ. 1990, P.209], что при пероральном введении полимера он является практически нетоксичным, однако при внутривенном или инъекционном использовании отмечено, что при сравнительно низкой ММ<25·103 практически все его молекулы высвобождаются (95%) из организма. Большие молекулы поливинилпирролидона (8·104-6·104) не проникают через почечные каналы. Высокие дозы >15% и большая ММ=5·104 при длительном времени (в течение нескольких лет) может привести к нарушению нервной системы. Поэтому общая концентрация компонентов комплекса, описанного в данном изобретении, составляет 6-11%, а молекулярная масса поливинилпирролидона не превышает 35000. Изложенное выше иллюстрируется следующими примерами: 1. Получение композиции 1 взаимодействием поливинилпирролидона ММ=9000 с метронидазолом при мольном соотношении компонентов 1:0.065 соответственно (10:1 вес.). 6 г (0.054 моля) поливинилпирролидона растворяют в 24 мл воды при комнатной температуре. К нему при перемешивании добавляют раствор 0.6 г (0.0035 моля) метронидазола, растворенного при 40°С в 30 мл воды. Температура смеси не должна превышать 30°С. Строение выделенного и высушенного лиофильно комплекса доказывается ИК- и УФ-спектрометрией. В ИК-спектрах не наблюдается интенсивных полос при 3100 и 3220 см-1, характерных для свободного метронидазола. В УФ-спектрах метронидазола при 2. Получение композиции 2 взаимодействием поливинилпирролидона ММ=11000 с метронидазолом при мольном соотношении компонентов 1:0.107 соответственно (6:1 вес.). Синтез и исследование полимерного комплекса осуществляют аналогично примеру 1. К 6 г (0.054 моля) поливинилпирролидона в 24 мл воды приливают раствор 1 г (0.0058 моля) метронидазола в 70 мл воды. ММ полученного комплекса 12900±500. 3. Получение композиции 3 взаимодействием поливинилпирролидона ММ=35000 с метронидазолом при мольном соотношении компонентов 1:0.130 соответственно (5:1 вес.). Синтез и исследование полимерного комплекса осуществляют аналогично примеру 1. К 6 г (0.054 моля) поливинилпирролидона в 24 мл воды приливают раствор 1.2 г (0.007 моля) метронидазола в 90 мл воды. ММ композиции 3 42000±200. 4. Получение композиции 4 взаимодействием поливинилпирролидона ММ=35000 с метронидазолом при мольном соотношении компонентов 1:0.05 соответственно (13:1 вес.). Синтез и исследование полимерного комплекса осуществляют аналогично примеру 1. К 7.8 г (0.0702 моля) поливинилпирролидона в 22 мл воды приливают раствор 0.6 г (0.0035 моля) метронидазола в 30 мл воды. ММ композиции 4 35000. 5. Получение композиции 5 взаимодействием поливинилпирролидона ММ=11000 с метронидазолом при мольном соотношении компонентов 1:0.5 соответственно (1.3:1 вес.). Синтез и исследование полимерного комплекса осуществляют аналогично примеру 1. К 3.9 г (0.035 моля) поливинилпирролидона в 16 мл воды приливают раствор 3 г (0.0126 моля) метронидазола в 280 мл воды. ММ полученного комплекса 15000±200. Исследование антибактериальной активности полученных комплексов а) Изучение антибактериальной активности in vitro проводили стандартными методами с использованием серийных разведений тест-штаммов в жидкой тиогликолевой среде. С последующим высевом на 5% кровяной анаэробный гемагар с гемином в соответствии с требованиями Международной фармакопеи для тестирования анаэробов. Для создания анаэробных условий использовали систему BBL GasPak (США). Учет результатов проводили через 24 часа для факультативных анаэробов и через 42-48 часов для облигатных. В качестве тест-штаммов использовали представленные Государственным институтом стандартизации и контроля медицинских биологических препаратов им. Л.А.Тарасовича музейные штаммы микроорганизмов и штаммы, выделенные от больных гнойно-септического центра. В таблице 1 представлены исследования антимикробной активности композиции по примерам относительно анаэробов. Из таблицы 1 видно, что при мольном соотношении поливинилпирролидон:метронидазол =1:0.05 получена композиция, антибактериальная активность которой низкая, несмотря на то, что концентрация реагента составляет 1%. Для изучения активности полученных комплексов в отношении анаэробных и факультативных микроорганизмов проведены выделение и идентификация клинических штаммов из гнойных ран и изучены их чувствительность с применением “базовой” (10 мкг/мл) концентрации на примере композиции 1 (таблица 2). Таблица 2 демонстрирует выраженную антимикробную активность композиции по отношению к клостридиальным и неклостридиальным анаэробам, анаэробным пептококками и пептострептококкам. Сравнительная характеристика чувствительности клинических штаммов к полученному комплексу в сравнении с метронидазолом представлена в таблице 3. Приведенные данные свидетельствуют о расширении антибактериального спектра метронидазола, входящего в состав образующегося комплекса, по сравнению с обычным препаратом. б) Для изучения антибактериальной активности полученных комплексов in vivo использовали модель раневой анаэробной инфекции на белых крысах, которым внутримышечно вводили 1.0 мл 10% раствора CaCl2, индуцирующего развитие некроза ткани. Спустя 30 мин инокулировали тест-культуру микроорганизмов в дозе, соответствующей LD90. Комплекс 2 вводили однократно внутривенно в дозе 15 и 30 мг/кг. Наблюдали за животными в течение 1 недели. Полученные данные представлены в таблице 4. Как видно из таблицы 4, введение возбудителя вызвало гибель шести контрольных животных. При этом наблюдалась типичная картина “газовой” инфекции. При использовании однократного введения композиции обеспечивало выживание трех животных при применении дозы 15 мг/кг и всех шести животных при дозе 30 мг/кг. в) Изучение фармакокинетики полученных комплексов проводили на белых крысах. Животным однократно вводили композицию 1 – 1 группа, композицию 3 – 2 группа, метронидазол – 3 группа в дозе 150 мг/кг. Для исследования забирали кровь через 1, 3, 6, 24, 30, 40 и 48 часов. В сыворотке крови определяли содержание метронидазола методом высокоэффективной жидкостной хроматографии. Полученные данные представлены в таблице 5. Приведенные результаты свидетельствуют, что максимальная концентрация метронидазола в крови образуется во всех группах через 1 час после введения. Через 3 ч содержание препарата снижается почти в 2 раза, а к 6 часам стабилизируются в 1-ой и 2-ой группах, тогда как в контроле концентрация метронидазола падает в 4,4 раза. Через сутки определяются его следовые количества, в 1-ой группе уровень метронидазола находится в пределах МИК для клостридиальных и неклостридиальных анаэробов, тогда как во 2-ой группе концентрация метронидазола на терапевтическом уровне сохранялась через 40-48 часов. Таким образом, однократное использование комплекса поливинилпирролидон-метронидазол позволяет поддержать концентрацию антибактериального препарата на высоком уровне. При этом освободившийся поливинилпирролидон дополнительно может выполнять роль сорбента, поглощая из раневого очага микроорганизмы и токсичные метаболиты, что положительно сказывается на общем терапевтическом эффекте. г) Параметры острой токсичности пролонгированного метронидазола определяли стандартным методом на белых мышах обоего пола массой тела 18-20 г при внутреннем и внутрибрюшном введении. Среднесмертельная доза композиции 1 и композиции 3, рассчитанная методом пробит-анализа, при внутрибрюшном введении составила 2240±204 мг/кг, при внутривенном – 1900±311 мг/кг, что позволяет отнести их к практически нетоксичным соединениям. В подостром эксперименте мышам вводили внутрибрюшинно 1/10 LD50 в течение 10 дней. В результате не выявлено никаких токсических проявлений в опытной группе относительно контрольной, не отмечено значимых изменений в лабораторных показателях гемограммы.
Формула изобретения
1. Антимикробная фармацевтическая композиция на основе поливинилпирролидона и метронидазола, обладающая пролонгированным эффектом, отличающаяся тем, что она представляет собой комплекс гидрофильного полимера и антибактериального вещества общей формулы где n=76-276, m=5-40, причем в состав комплекса входит от 9 до 19.5% метронидазола. 2. Способ получения комплекса по п.1, отличающийся тем, что к водному раствору поливинилпирролидона молекулярной массы 9000-35000 при перемешивании при температуре 20-25С° прибавляют водный раствор метронидазола при соблюдении мольного соотношения компонентов 1:0.065÷1:0.130.
|
|||||||||||||||||||||||||||||||||||||||||||||||||||||||||||||||||||||||||||||||||||||||||||||||||||||||||||||||||||||||||||||||||||||||||||||||||||||||||||||||||||||||||||||||||||||||||||||||||||||||||||||||||||||||||||||||||||||||||||||||||||||||||||||||||||||||||||||||||||||||||||||||||||||||||||||||||||||||||||||||||||||||||||||||||||||||||||||||||||||




=1663 и 1681 см-1), что является отражением образования водородной связи между >С=О…Н-O-СН2– [Кирш Ю.Э. Поли-N-винилпирролидон и другие поли-N-виниламиды. М.: Наука 1998, С.98; Водородная связь / Под редакцией Соколова Н.Д. М.: Наука. 1981, С.283], а появление полосы при 1354 и 1535 см-1 в спектре модифицированного полимера свидетельствует о присутствии группы -NO2. Полоса при 3458 см-1, характерная для межмолекулярной водородной связи в исходном полимере, в спектре комплекса смещается до 3411 см-1; полоса, характеризующая -ОН-группу в метронидазоле при 3220 см-1, в результате взаимодействия смещается до 3260 см-1; интенсивность полосы при 3100 см-1, характерная для азольного цикла, в ИК-спектре комплекса резко снижается, что свидетельствует об отсутствии свободного метронидазола в реакционной среде. Этот факт использован для контроля этого реагента в составе полученного препарата.
, нм 325, 230) и незначительное смещение полосы от 319 до 325 нм. При этом растворимость метронидазола возрастала практически в 2-3 раза.
xap=0.01; n=88, m=9, что соответствует присутствию в композиции 14% метронидазола.