Патент на изобретение №2310446
|
||||||||||||||||||||||||||||||||||||||||||||||||||||||||||||||||||||||||||||||||||||||||||||||||||||||||||||||||||||||||||||||||||||||||||||||||||||||||||||||||||||||||||||||||||||||||||||||||||||||||||||||||||||||||||||||||||||||||||||||||||||||||||||||||||||||||||||||||||||||||||||||||||||||||||||
(54) ЛЕЧЕНИЕ И ПРОФИЛАКТИКА ЗАБОЛЕВАНИЙ И ИНФЕКЦИЙ СВИНЕЙ И ДОМАШНЕЙ ПТИЦЫ
(57) Реферат:
Изобретение относится к ветеринарии и ветеринарной фармакологии. Изобретение заключается в применении 3-O-ацетил-4″-O-изовалерил-тилозина или его фармакологически приемлемой кислотно-аддитивной соли в качестве активного агента для получения ветеринарного лекарственного препарата для лечения или профилактики инфекций, вызванных Lawsonia, у свиней, в частности при котором ветеринарный лекарственный препарат представляет собой добавку в корм или питьевую воду. Ветеринарный лекарственный препарат для лечения или профилактики инфекций, вызванных Lawsonia, у свиней, включающий в качестве активных ингредиентов в смеси 3-O-ацетил-4″-O-изовалерил-тилозин или его фармакологически приемлемую кислотно-аддитивную соль и тетрациклин при массовом соотношении от 1:5 до 1:10, в котором, в частности тетрациклин представляет собой хлортетрациклин или окситетрациклин. Изобретение обеспечивает повышение эффективности препарата. 2 н. и 2 з.п. ф-лы, 10 табл.
(56) (продолжение): CLASS=”b560m”isovaleryl tylosin tartrate chlortetracycline combination. Soul Taehakktyo Suuidae Nonmunjip (1998), 23(1), 25-34.
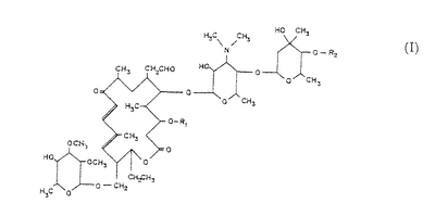
Настоящее изобретение относится к применению антибиотиков в качестве ветеринарных лекарственных препаратов для лечения или профилактики заболеваний и инфекций животных, в частности свиней и домашней птицы. Свиньи и домашняя птица, особенно интенсивно разводимые или разводимые в крупномасштабных операциях, имеют тенденцию страдать или находиться под угрозой риска приобретения разнообразных заболеваний, например заболеваний, вызываемых у свиней и домашней птицы Mycoplasma, инфекций, вызваемых Lawsonia, и свиной дизентерии у свиней и некротического энтерита у домашней птицы. Для лечения отдельных заболеваний или инфекций указанных типов были предложены лекарственные препараты. Такие лекарственные препараты или в целом не считаются высоко эффективными при широком диапазоне заболеваний или инфекций, или не считаются эффективными при низких уровнях дозировок. Так, например, тиамулин, который применяется для лечения свиной дизентерии, не эффективен при инфекциях, вызываемых Lawsonia, и не очень эффективен против заболеваний, вызываемых Mycoplasma, а эритромицин, который применяется против Mycoplasma, не имеет положительного эффекта против свиной дизентерии или Lawsonia. Авторы настоящего изобретения обнаружили, что известный антибиотик аивлозин (иначе известный как 3-О-ацетил-4″-O-изовалерил-тилозин), который ранее применялся в высоких дозах для лечения и борьбы с заболеваниями, вызываемыми Mycoplasma у домашней птицы, также эффективен при профилактике и лечении инфекций, вызванных Lawsonia (илеит) и свиной дизентерии у свиней, а также при профилактике и лечении некротического энтерита у домашней птицы. Он также эффективен при лечении и борьбе с заболеваниями, вызванными Mycoplasma, у свиней и в гораздо более низких дозах, чем применявшиеся ранее, при лечении и борьбе с заболеваниями, вызванными Mycoplasma, у домашней птицы. Кроме того, было обнаружено, что при использовании в комбинации с тетрациклинами, в частности хлортетрациклином или окситетрациклином, достигается синергический эффект. Поэтому настоящее изобретение обеспечивает применение аивлозина в чистом виде или в виде его фармакологически приемлемого (нетоксичного) производного, такого как кислотно-аддитивная соль, при получении ветеринарного лекарственного препарата для лечения или профилактики инфекций, вызванных Lawsonia, или свиной дизентерии у свиней или некротического энтерита у домашней птицы, а также способ лечения или борьбы с инфекциями, вызванными Lawsonia, или свиной дизентерией у свиней или некротическим энтеритом у домашней птицы, включающий введение свиньям или домашней птице, страдающим этими заболеваниями, эффективного количества аивлозина или его фармакологически эффективного производного. Изобретение включает применение аивлозина самого по себе или в виде его фармакологически приемлемого производного при получении ветеринарного лекарственного препарата для лечения или борьбы с заболеваниями, вызванными Mycoplasma, у свиней и домашней птицы, причем лекарственный препарат добавляют в корм в количестве менее чем 200 м.д. (200 г/1000 кг корма), а также соответствующий способ лечения или борьбы с заболеваниями, вызванными Mycoplasma, у свиней и домашней птицы. Изобретение также включает ветеринарный лекарственный препарат, включающий в качестве активных ингредиентов аивлозин и тетрациклин в виде смеси, в частности хлортетрациклин или окситетрацклин. Оно также включает композицию с устойчивым покрытием для добавления в корм для животных (например, для свиней и домашней птицы), включающую аивлозин в форме частиц, покрытых поливинилпирролидоном. В описании патента Великобритании № 1539907 раскрыты производные тилозина, имеющие ацильные группы в положениях 3 и 4″, и их кислотно-аддитивные соли, в частности аддитивные соли винной, уксусной, пропионовой, лимонной, янтарной, хлористоводородной, серной и фосфорной кислот. Среди производных тилозина, в частности, раскрыт 3-О-ацетил-4″-О-изовалерил-тилозин, который в настоящее время обычно известен как аивлозин. Данное соединение имеет формулу: где R1 представляет ацетил, а R2 представляет изовалерил. Раскрыт также способ получения аивлозина биохимическим ацилированием тилозина или соответствующим образом частично ацилированного тилозина посредством соответствующего ацилирующего микроорганизма рода Streptomyces, в частности микроорганизма, выбранного из Streptomyces termotolerans (ATCC 11416), Streptomyces mycarofaciens (ATCC 21454) и Streptomyces hygroscopicus (ATCC 21582), в присутствии соответствующего ацильного донора, в частности ацетил СоА, изовалерил СоА, уксусной кислоты, изовалерияновой кислоты, калиевых, натриевых или аммониевых солей данных кислот, сложных метаноловых и этаноловых эфиров данных кислот, амидов данных кислот и В указанном описании упоминается, что производные тилозина могут вводиться людям или животным, и речь идет об их активности против ряда грам-положительных бактерий, включая некоторые бактерии, устойчивые к лекарственным препаратам, но в нем нет конкретных указаний на применение указанных производных при лечении или борьбе с определенными заболеваниями или инфекциями животных, хотя в нем говорится о том, что они могут применяться на людях, домашнем скоте, домашних животных, лабораторных животных и домашней птице и при энтеральной, парентеральной или местной борьбе с инфекционными заболеваниями образом, подобным тому, который используется для известных препаратов макролидных антибиотиков. В действительности аивлозин на основании его первоначальной маркетинговой регистрации в Японии (№ 4 chika АС1771) до настоящего времени поступил в продажу и санкционирован для продаж только в целях лечения и борьбы с заболеваниями, вызванными Mycoplasma у свиней и домашней птицы, в высоких дозах от 200 до 500 м.д. в корме. Нет оснований предполагать, что он мог бы подойти для лечения и профилактики других инфекций и заболеваний свиней и домашней птицы; и, в частности, другие макролидные антибиотики, обладающие эффективностью против заболеваний, вызванных Mycoplasma, такие как эритромицин, не оказывают никакого эффекта или никакого значительного эффекта против других инфекций свиней и домашней птицы, таких как инфекции, указанные выше. Это, конечно, характерная особенность схем санкционирования, которые применяются во всех крупных странах, заключающаяся в том, что ветеринарный лекарственный препарат, который санкционирован для реализации на рынке по одному определенному назначению, не может продаваться или рекомендоваться к применению по любому другому определенному назначению без отдельного утверждения или одобрения соответствующего уполномоченного органа. Поэтому существует сильный противоположный стимул применять даже известные антибиотики по новым показаниям к применению в ветеринарии. Однако авторы изобретения в настоящее время обнаружили и подтвердили на основании обширной работы по испытаниям in vitro и in vivo (на животных), что аивлозин и его приемлемые производные эффективны при профилактике и лечении инфекций, вызванных Lawsonia, и свиной дизентерии (вызванной Brachyspira hyodysenteriae) у свиней при целесообразных режимах введения. В результате обширной работы по испытаниям in vitro и in vivo (на животных) было также обнаружено и подтверждено, что они эффективны в низких диапазонах доз при профилактике и лечении заболеваний, вызванных Mycoplasma, у домашней птицы и свиней. Наконец, работа по испытаниям in vitro показала, что они, вероятно, эффективны при профилактике и лечении некротического энтерита (вызванного Clostridium perfringens) у домашней птицы. Аивлозин имеется в свободной форме в виде белого кристаллического порошка, имеющего точку плавления 180°-184°С, растворимого в низших спиртах, таких как этанол, кетонах, таких как ацетон, простых эфирах, таких как простой диэтиловый эфир, сложных эфирах, таких как этилацетат, и ароматических углеводородах, таких как толуол, хотя он едва растворим в н-гексане и в петролейном эфире. Он хорошо растворим в водных растворах с рН около или ниже 7, но менее растворим в водных растворах с более высоким рН. Ввиду того, что он представляет собой основное соединение, он образует кислотно-аддитивные соли, и применение таких солей, которые являются фармакологически приемлемыми, также включено в рамки настоящего изобретения. Кислоты для образования приемлемых кислотно-аддитивных солей включают неорганические кислоты, такие как хлористоводородная, серная или фосфорная кислота, и органические кислоты, такие как винная, уксусная, пропионовая, лимонная и янтарная кислоты. Определенными примерами приемлемых производных являются аивлозин гидрохлорид (точка плавления 129-133°С) и аивлозин тартрат (точка плавления 119-122°С). Такие производные часто более растворимы в воде, чем сам аивлозин, и поэтому их применение может иметь преимущества при получении композиций. Аивлозин и соответствующие производные в соответствии с настоящим изобретением могут составляться в ветеринарные лекарственные препараты известными способами, например, для предоставления композиций для орального, энтерального или парентерального введения, смешиванием с соответствующими твердыми или жидкими носителями и наполнителями для желательного пути введения. Обычные ингредиенты могут применяться в качестве носителей и наполнителей, например водные и солевые растворы для жидких композиций, и кремнистые материалы – кремнезем и силикаты (такие как гидратированный силикат магния), злаковые продукты (такие как пищевые продукты из соевых бобов и пшеничная мука) и другие фармакологически приемлемые твердые вещества для твердых композиций для орального введения. Композиции могут также обычным образом содержать дополнительные вспомогательные вещества и добавки, такие как минералы, смазывающие вещества, консерванты, стабилизаторы, смачивающие средства, эмульгаторы, буферы и красящие или ароматизирующие материалы. При профилактике или борьбе с указанными заболеваниями особенно удобно включить аивлозин или производное в качестве добавки в корм животных или в питьевую воду для свиней или домашней птицы, но при лечении заболеваний он при желании может быть включен в раствор для инъекций или в таблетку, капсулу или сироп. Аивлозин (в чистом виде или в виде соответствующего производного, например, в виде кислотно-аддитивной соли, такой как тартрат) может включаться в качестве ингредиента в премиксы в различных соотношениях от 1 до 10 мас.% Особенно подходящая композиция для производства таких премиксов включает соль аивлозина, наполнитель, такой как порошок соевых бобов, и добавки, такие как гидроксипропилцеллюлоза, и имеет уровень содержания от 180 до 220 мг/г. Для обеспечения устойчивости аивлозина в корме для животных, который может подвергаться высокотемпературной обработке для получения таблетированного или подвергнутого экструзии корма, желательно предоставить покрытый аивлозин (в чистом виде или в виде соответствующего производного, например, кислотно-аддитивной соли, такой как тартрат) в виде частиц, покрытых поливинилпирролидоном. Подходящие пропорции по массе находятся в диапазоне соотношения активного ингредиента и поливинилпирролидона от 50:1 до 1:1. В таких композициях могут присутствовать инертные наполнители и другие ингредиенты, причем общая концентрация поливинилпирролидона составляет предпочтительно от 0,1 до 10 мас.% Композиции ветеринарного лекарственного препарата могут для достижения поставленной цели также содержать дополнительные активные ингредиенты, которые могут применяться при лечении инфекций и заболеваний свиней и домашней птицы, такие как дополнительные антибиотики, в частности тетрациклиновые антибиотики. На основании исследований чувствительности авторы настоящего изобретения обнаружили, что применение аивлозина вместе с тетрациклиновым антибиотиком обеспечивает возможность применения более низких дозировок обоих антибиотиков, чем было бы возможно при использовании каждого антибиотика отдельно, для достижения сравнимых результатов. Композиции ветеринарного лекарственного препарата для применения или в виде добавок к корму, или в виде непосредственно вводимых препаратов могут содержать любую удобную пропорцию аивлозина, например от 1 мас.% или менее до 90 мас.% или более. Жидкие композиции обычно содержат от 50 до 90 мас.%, в то время как твердые композиции обычно содержат от 1 до 25 мас.% Для лечения или борьбы с инфекциями, вызванными у свиней Lawsonia, им можно, например, вводить препарат в корм в количестве от 40 до 120 м.д. по массе (40-120 г на 1000 кг корма) в течение периода времени, достаточно длительного для успешной борьбы или лечения заболевания, например в течение 7-14 дней. Например, могут использоваться цифры от 40 до 100 или от 50 до 80 м.д. Курс в количестве 50 м.д. в течение 10 дней обычно эффективен при борьбе с заболеванием, а курс в количестве 100 м.д. в течение 10 дней обычно очень эффективен при его лечении. Для лечения или борьбы со свиной дизентерией могут использоваться сравнимые количества и периоды; курс введения в корм в количестве 50 м.д. в течение 10 дней будет, вероятно, эффективен при профилактике вспышки. Ожидается, что аналогичные или более низкие количества и время введения будут также эффективны, когда применяется аивлозин или производное при лечении или профилактике некротического энтерита. Для борьбы с заболеваниями, вызываемыми Mycoplasma у молодой домашней птицы, композиция аивлозина может инъецироваться непосредственно в яйца. Это также обеспечивает отрицательные результаты анализов, выявляющих организмы, подобные тем, которые вызывают плевро-пневмонию (PPLO) у цыплят в возрасте, измеряемом днями. Количества вводимого препарата и периоды, в течение которых проводится введение для лечения или борьбы с заболеваниями, вызываемыми Mycoplasma у домашней птицы, удивительно малы. В первоначальной маркетинговой регистрации в Японии указывались уровни от 200 до 400 м.д. по массе в корме, в то время как в настоящем изобретении применяется менее чем 200 м.д., предпочтительно от 40 до 150 м.д. или менее, например, в диапазонах, упомянутых выше. Когда аивлозин или производное вводится непосредственно для лечения или борьбы с инфекциями, вызываемыми Lawsonia, свиной дизентерией или некротическим энтеритом, уровни введения, основанные на массе тела, могут находиться в диапазоне от 1 до 8, предпочтительно от 1 до 5 мг/кг массы тела/день. Когда аивлозин применяется в смеси с тетрациклином, в частности хлортетрациклином или окситетрациклином, для получения синергических результатов против Brachyspira hyodysenteriae или Mycoplasma synoviae, количества каждого ингредиента могут быть существенно уменьшены, например, до уровня от половины до одной трети количества того же ингредиента, применяемого отдельно. Смеси могут содержать аивлозин и тетрациклин в широком диапазоне соотношений массы, например 10 частей или менее тетрациклина на одну часть аивлозина по массе, в частности от 10:1 до 5:1 или от 8:1 до 6:1 по массе. Следующие примеры, в которых части представлены по массе, иллюстрируют применение аивлозина при производстве ветеринарных лекарственных средств или препаратов для лечения или профилактики инфекций свиней и домашней птицы в соответствии с настоящим изобретением и для синергического эффекта. Пример 1 20 частей аивлозина в качестве API (активного фармацевтического ингредиента), приготовленного в виде раствора в воде, смешивают с 80 частями корма из соевых бобов, и смесь сушат распылением для получения твердой добавки для кормового продукта, содержащего 200 кг активного аивлозина на 1000 кг. Эта композиция может добавляться в корм для свиней и домашней птицы для обеспечения концентрации аивлозина в корме от 25 до 200 г аивлозина на 1000 кг конечного корма. Пример 2 25 частей 20% аивлозина смешивают с 50 частями гидратированного силиката магния (инертный кремнезем), 24 частями пшеничной кормовой муки и 1 частью жидкого парафина в соответствии с ЕР (Европейской Фармакопеей) в виде порошкообразной смеси для получения твердой добавки для кормового продукта, содержащего 50 кг активного аивлозина на 1000 кг. Эта композиция может использоваться в корме для свиней и домашней птицы, как в примере 1. Пример 3 5 частей 20% аивлозина, по аналогии с применением в примере 2, смешивают с 40 частями гидратированного силиката магния, 54 частями пшеничной кормовой муки и 1 частью жидкого парафина в соответствии с ЕР в виде порошкообразной смеси для получения твердой добавки для кормового продукта, содержащего 10 кг активного аивлозина на 1000 кг. Эта композиция может использоваться в корме для свиней и домашней птицы, как в примере 1. Пример 4 Аивлозин растворяют в воде для предоставления водного раствора, содержащего 80-90% активного аивлозина для использования в питьевой воде для свиней или домашней птицы. Данная композиция может добавляться в питьевую воду для обеспечения концентрации аивлозина в питьевой воде в диапазоне от 25 до 100 г на 200 л питьевой воды. Пример 5 Аивлозин в качестве API, содержащий более чем 80% мас./мас. аивлозина тартрата, вмешивают в порцию массой 850 кг, включающую
Порцию подвергают обработке и воду удаляют во время обработки. При введении аивлозина в качестве API вносят поправку на величину содержания свободного основания в сырьевом материале, определяемую ВЭЖХ, для достижения уровня содержания при биологическом анализе конечного продукта от 180-220 мг/г. Продукт (AIVLOSIN FG 200), который мог бы быть также получен в порциях других размеров, был пригоден для производства премиксов аивлозина при различных уровнях содержания от 1 до 10%. Пример 6 Композиции покрытого аивлозина, обладающие устойчивостью в корме для животных после высокотемпературной обработки, для таблетированного или подвергнутого экструзии корма производят порциями по 1000 кг (хотя могут использоваться другие размеры порций) из следующих ингредиентов:
Результаты испытания 1. Инфекции, вызванные Lawsonia Инфекции, вызванные у свиней Lawsonia (илеит или пролиферативная свиная энтеропатия), обуславливаются патогеном Lawsonia intracellularis, который выделен только около шести лет тому назад и представляет собой бактерию, обитающую в клетках кишечной стенки нижнего отдела тонкой кишки свиней. До настоящего времени немногие антимикробные средства были признаны эффективными при профилактике и лечении данного заболевания, которое по своей частоте встречаемости широко распространено по всему миру и имеет существенное экономическое значение в разведении и выращивании свиней. Обширная испытательная работа, проведенная авторами изобретения как in vitro, так и in vivo, показала, что аивлозин очень эффективен при лечении заболевания и профилактике его дальнейшего распространения в инфицированной среде. В следующей табл.1 показаны клинические результаты исследования эффективности аивлозина при свиной пролиферативной энтеропатии, проведенного авторами настоящего изобретения.
Было также значительное улучшение потребления корма, прибавки массы тела и эффективности кормления в группах лечения аивлозином. По всем данным продуктивным показателям аивлозин работал хорошо. Аивлозин при уровне включения 50 г на 1 т (1000 кг) корма (50 м.д.), предоставляемого в течение 10 дней, был эффективен при борьбе с заболеванием, в то время как при уровне 100 м.д. в течение 10 дней осуществлялось очень успешное лечение вспышки. 2. Свиная дизентерия Свиная дизентерия вызывается Brachyspira hyodysenteriae, бактерией, которая обитает в просвете толстой кишки свиней, где она прячется в криптах и питается на слизистой оболочке. Ее ранее лечили нитроимидазолами, но данные препараты в настоящее время запрещены к применению у животных, предназначенных для потребления человеком. Химические соединения из группы плевромутилина, в частности тиамулин, имеются для лечения данного заболевания, и тилозин был предложен для применения в прошлом, хотя его применение резко снизилось в последние годы вследствие развития устойчивости патогена к тилозину. Аивлозин прошел испытания авторами настоящего изобретения in vitro и in vivo на его эффективность против данных бактерий в сравнении с тиамулином и тилозином. Результаты исследования in vitro представлены ниже в табл. 2 (МИК обозначает минимальную ингибирующую концентрацию, а именно самую низкую концентрацию активного ингредиента в мкг/мл, которая ингибирует рост исследуемого штамма Brachyspira hyodysenteriae).
Очевидно, что аивлозин гораздо эффективнее in vitro, чем тилозин. Проведенные авторами настоящего изобретения испытания на модели заболевания животных, где неинфицированные свиньи были искусственно инфицированы вирулентным штаммом бактерий, показали, что аивлозин эффективен в профилактике вспышки при введении в количестве 50 м.д. в корм в течение 10 дней, в то время как тилозин было необходимо обеспечивать в течение периода 21 день или дольше, тогда как тиамулин необходимо обеспечивать в течение всего периода, при котором свиньи находятся под угрозой риска инфекции. При лечении заболевания аивлозин в количестве 50 м.д. работал лучше, чем и тиамулин (по результатам), и тилозин (по длительности), или так же как эти препараты. Профилактика клинического заболевания Группа 1: не получавшая препараты группа с контрольным заражением. Группа 2: группа, получавшая аивлозин в количестве 50 м.д. в течение 10 дней. Группа 3: группа без контрольного заражения, не получавшая препараты.
3. Некротический энтерит Некротический энтерит представляет собой заболевание, вызываемое токсинами, продуцируемыми бактериями Clostridium perfringens, которое может привести к широко распространенной деструкции выстилки кишечника с последующим увеличением смертности и низкой скоростью роста. Виргиниамицин и цинк бацитрацин применялись в прошлом в качестве стимуляторов роста для борьбы с данным заболеванием, но их применение было недавно запрещено. Ранее не было ни предложения применять макролидные антибиотики для лечения или борьбы с некротическим энтеритом, ни какого-либо ожидания, что такие антибиотики могли бы использоваться. Однако тесты in vitro, проведенные авторами настоящего изобретения, показывают, что, как видно ниже из табл.3, аивлозин значительно эффективнее, чем цинк бацитрацин, против различных штаммов Clostridium perfringens.
4. Чувствительность бактерий к аивлозину и тетрациклинам, по отдельности и в комбинации Чувствительность выражается в виде самой низкой концентрации антибиотика (а мкг/мл), которая ингибирует рост исследуемых бактерий (МИК = минимальная ингибирующая концентрация). Brachyspira hyodysenteriae Комбинация аивлозина (АИВ) и хлортетрациклина (ХТЦ).
Mycoplasma synoviae Комбинация аивлозина (АИВ) и хлортетрациклина.
Комбинация аивлозина (АИВ) и окситетрациклина (ОТЦ).
5. Aivlosin, применяемый в виде инъекции, непосредственно в яйца для профилактики заболевания, вызываемого Mycoplasma у молодых цыплят, а также для достижения у цыплят в возрасте, исчисляемом днями, отрицательных результатов анализов, выявляющих PPLO (организмы, подобные тем, которые вызывают плевро-пневмонию). Следующая работа была проведена по АИВ с использованием инъекционного устройства Embrex in ovo. Всасывание аивлозина после приема внутрь на 150-200% лучше, по сравнению с тилозином, и проникновение к целевому участку лучше. МИК в сравнении с тилозином улучшена. Инъекцию аивлозина готовили добавлением 40 г активного аивлозина с использованием растворимого в воде аивлозина в 1 л стерильного солевого раствора. Следующее испытание было проведено с целью изучения эффекта аивлозина, инъецированного в яйцо, против инфекции Mycoplasma у кур и индюшек. Пилотное испытание было проведено для тестирования токсичности нескольких антибиотиков, инъецированных в яйцо при возрасте яиц, содержащих эмбрионы, 18 дней. Аивлозин тестировали в дозе 1,3 и 5 мг на яйцо (0,05 мл), по 25 яиц на группу. Результаты были очень хорошие. Вылупляемость в% 100% при дозе 1 мг 95,8% (1 зародыш живой, но не проклюнулся) при дозе 3 мг 100% при дозе 5 мг. Выводы: Инъекция аивлозина (4 мг на яйцо в 0,05 мл солевого раствора) не влияла на вылупляемость в группе лечения. Инъекция солевого раствора (0,05 мл на яйцо) не влияла на вылупляемость в контрольной группе.
Масса цыплят через 3 дня после вылупливания (через 2 д после вылупливания в инкубаторе)
Формула изобретения
1. Применение 3-O-ацетил-4″-O-изовалерил-тилозина или его фармакологически приемлемой кислотно-аддитивной соли в качестве активного агента для получения ветеринарного лекарственного препарата для лечения или профилактики инфекций, вызванных Lawsonia, у свиней. 2. Применение по п.1, при котором ветеринарный лекарственный препарат представляет собой добавку в корм или питьевую воду. 3. Ветеринарный лекарственный препарат для лечения или профилактики инфекций, вызванных Lawsonia, у свиней, включающий в качестве активных ингредиентов в смеси 3-О-ацетил-4″-О-изовалерил-тилозин или его фармакологически приемлемую кислотно-аддитивную соль и тетрациклин при массовом соотношении от 1:5 до 1:10. 4. Ветеринарный лекарственный препарат по п.3, в котором тетрациклин представляет собой хлортетрациклин или окситетрациклин.
|
||||||||||||||||||||||||||||||||||||||||||||||||||||||||||||||||||||||||||||||||||||||||||||||||||||||||||||||||||||||||||||||||||||||||||||||||||||||||||||||||||||||||||||||||||||||||||||||||||||||||||||||||||||||||||||||||||||||||||||||||||||||||||||||||||||||||||||||||||||||||||||||||||||||||||||


-оксовалерияновой кислоты.