Патент на изобретение №2310328
|
||||||||||||||||||||||||||||||||||||||||||||||||||||||||||||||||||||||||||||||||||||||||||||||||||||||||||||||||||||||||||||||
(54) ФУНГИЦИДНЫЕ КОМБИНАЦИИ БИОЛОГИЧЕСКИ АКТИВНЫХ ВЕЩЕСТВ
(57) Реферат:
Описываются фунгицидные комбинации биологически активных веществ, содержащие соединение формулы (I) и второй компонент, выбранный из группы, включающей пенконазол, пираклостробин, трифлоксистробин, фамоксадон, зоксамид, беналаксил, фосфористую кислоту и гидроксид меди, причем компоненты взяты в синергетически эффективном количестве. Описываются также фунгицидные комбинации биологически активных веществ, содержащие соединение формулы (I-а) и второй компонент, выбранный из группы, указанной выше. Технический результат – фунгицидная активность комбинаций биологически активных веществ существенно выше, чем сумма активностей отдельных биологически активных соединений. 2 н. и 4 з.п. ф-лы, 4 табл.
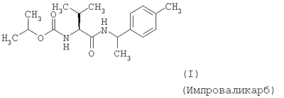
Настоящее изобретение относится к новым комбинациям биологически активных веществ, которые состоят из известного производного валинамида, с одной стороны, и из других биологически активных веществ, с другой стороны, и очень хорошо подходят для борьбы с фитопатогенными грибами. Известно, что 1-метилэтил-[2-метил-1-[[[(1S)-1-(4-метилфенил)-этил]-амино]-карбонил]-пропил]-карбамат обладает срунгицидными свойствами (ср. европейскую заявку на патент ЕР-А-472996). Активность этого вещества высокая, но при низких нормах расхода во многих случаях оставляет желать лучшего. Кроме того, известно, что многочисленные производные триазола, производные анилина, дикарбоксимиды и другие гетероциклические соединения могут быть использованы для борьбы с грибами (ср. европейскую заявку на патент ЕР-А-0040345, немецкие заявки на патент DE-A 2201063, DE-A 2324010, Pesticide Manual, 9th. Edition (1991), Seiten 249 und 827, европейские заявки на патент ЕР-А-0382375 и ЕР-А-0515901). Активность этих веществ при низких нормах расхода также не всегда достаточно высока. Кроме того, известно, что 1-[(6-хлор-3-пиридинил)-метил]-N-нитро-2-имидазоли-динимид может использоваться для борьбы с животными вредителями, например такими, как насекомые (ср. Pesticide Manual, 9th. Edition (1991), Seite 491). Но фунгицидные свойства этого вещества до сих пор еще не описаны. Далее известно, что замещенные азадиоксациклоалкены проявляют фунгицидную активность (ср. европейскую заявку на патент ЕР-А-712 396). Кроме того, известно, что производные валинамида формулы (I) могут быть использованы в комбинации с другими биологически активными веществами (ср. европейские заявки на патент ЕР-А-610764, ЕР-А-944318, международные заявки WO 00/030440, WO 00/045638). Активность этих смесей высокая, но во многих случаях оставляет желать лучшего. Было найдено, что новые комбинации биологически активных веществ, которые состоят из производных валинамида формулы (I) и (1) производного триазола формулы a) и/или b) и/или c) и/или d) и/или e) и/или f) и/или g) и/или h) и/или i) и/или (2) амида циклопропанкарбоновой кислоты формулы и/или (3) тиокарбамата формулы
и/или (4) производного анилина формулы и/или (5) производного бензотиадиазола формулы и/или (6) соединения формулы и/или (7) соединения формулы и/или (8) производного пиримидина формулы
в которой R2 представляет собой
и/или (9) соединения формулы и/или (10) гидроксиэтильного производного триазола формулы
и/или (11) метоксииминоацетамида формулы а) и/или b) и/или c) и/или d)
и/или e) и/или f)
и/или g)
и/или 12) оксазолидиндиона формулы и/или (13) производного бензамида формулы и/или (14) производного гуанидина формулы в которой m представляет собой целые число от 0 до 5 и R3 представляет собой водород (от 17 до 23%) или остаток формулы
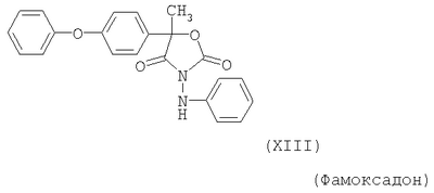
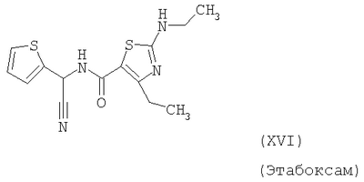
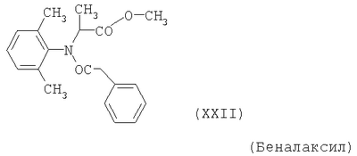
и/или (15) тиазолкарбоксамида формулы и/или (16) соединения формулы и/или (17) соединения формулы
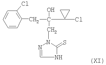
и/или (18) дикарбоксимида формулы a) и/или b) и/или (19) метоксиакрилатного производного формулы и/или (20) производного хинолина формулы и/или (21) производного фениламида формулы и/или (22) фосфористой кислоты формулы и их переносимых растениями солей, например таких, как соли алюминия, и/или (23) производного пиррола формулы a) и/или b) и/или (24) фенилкарбамата формулы и/или (25) например, гидроксида меди (I) и гидроксида меди (II), особенно гидроксида меди (II), и/или (26) производного имидазола формулы обладают очень хорошими фунгицидными свойствами. Поразительным образом фунгицидная активность заявляемых комбинаций биологически активных соединений существенно выше, чем сумма активностей отдельных биологически активных соединений. Это есть, таким образом, неожидаемый, чистый синергический эффект, а не только дополнительная активность. Из структурной формулы биологически активного вещества формулы (I) видно, что оно содержит два асимметрически замещенных атомов углерода. Поэтому продукт может находиться в форме смеси различных изомеров или в виде отдельного изомера. Предпочтительными являются соединения (I-а), в которых аминокислотная часть образуется из изопропоксикарбонил-L-валина и фенилэтиламинная часть имеет R(+)-конфигурацию. Из структурной формулы биологически активного вещества формулы (III) видно, что оно содержит три асимметрически замещенных атомов углерода. Поэтому продукт может находиться в виде смеси различных изомеров или также в форме отдельных компонент. Особенно предпочтительными являются соединения Гидроксиэтильное производное триазола формулы (XI) может находиться в “тионо”-форме формулы
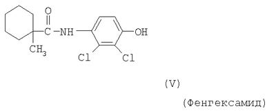
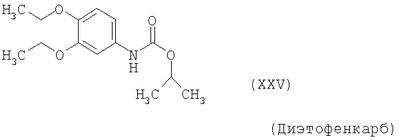
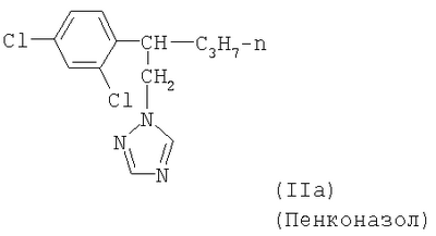
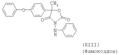
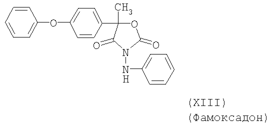
или в таутомерной “меркапто”-форме формулы
Для простоты приводится, соответственно, только “тионо”-форма. В случае производных гуанидина формулы (XV) речь идет о смеси веществ с тривиальными названиями гуазатины. В качестве компонентов в смеси с соединениями формулы (I) предпочтительными являются следующие биологически активные вещества: (3) Цинеб (IV), (4) Фенгексамид (V), (6) Спироксамин (VII), (7) Соединение формулы (VIII), (8а) Пириметанил (IXa), (8b) Ципродинил (IXb), (8с) Мепанипирим (IXc), (9) Трифлоксистробин (X), (10) Соединение формулы (XI), (11d) Соединение формулы (XIId), (12) Фамоксадон (XIII), (13) Зоксамид (XIV), (14) Соединения формулы (XV), (15) Этабоксам (XVI), (21) Беналаксил (XXII) и (22) Фосфористая кислота (XXIII). В качестве компонентов в смеси с соединениями формулы (I) особенно предпочтительными являются следующие биологически активные вещества: (7) Соединение формулы (VIII), (8а) Пириметанил (IXa), (8b) Ципродинил (IXb), (8с) Мепанипирим (IXc), (9) Трифлоксистробин (X), (11d) Соединение формулы (XIId), (12) Фамоксадон (XIII), (13) Зоксамид (XIV), (15) Этабоксам (XVI), (21) Беналаксил (XXII) и (22) Фосфористая кислота (XXIII). В качестве компонентов в смеси с соединениями формулы (I-а) предпочтительными являются следующие действующие вещества: (3) Цинеб (IV), (4) Фенгексамид (V), (6) Спироксамин (VII), (7) Соединение формулы (VIII), (8а) Пириметанил (IXa), (8b) Ципродинил (IXb), (8с) Мепанипирим (IXc), (9) Трифлоксистробин (X), (10) Соединение формулы (XI), (11d) Соединение формулы (XIId), (12) Фамоксадон (XIII), (13) Зоксамид (XIV), (14) Соединения формулы (XV), (15) Этабоксам (XVI), (21) Беналаксил (XXII) и (22) Фосфористая кислота (XXIII). В качестве компонентов в смеси с соединениями формулы (I-а) особенно предпочтительными являются следующие биологически активные вещества: (7) Соединение формулы (VIII), (8а) Пириметанил (IXa), (8b) Ципродинил (IXb), (8с) Мепанипирим (IXc), (9) Трифлоксистробин (X), (11d) Соединение формулы (XIId), (12) Фамоксадон (XIII), (13) Зоксамид (XIV), (15) Этабоксам (XVI), (21) Беналаксил (XXII) и (22) Фосфористая кислота (XXIII). В частности, биологически активные вещества описываются в следующих публикациях: (1) Соединение формулы (II) a) Pesticide Manual, 11th. Ed. (1997), Seite 933 b) европейская заявка на патент ЕР-А-112284, c) немецкая заявка на патент DE-A-3042303 d) немецкая заявка на патент DE-A-3406993 e) европейская заявка на патент ЕР-А-68813 f) немецкая заявка на патент DE-A-2551560 g) европейская заявка на патент ЕР-А-145294 h) немецкая заявка на патент DE-A-3721786 i) европейская заявка на патент ЕР-А-234242 (2) Соединение формулы (III) европейская заявка на патент ЕР-А-0341475, Pesticide Manual, 11th. Ed. (1997), Seite 744 (3) Соединения формулы (IV) Pesticide Manual, 11th. Ed. (1997), Seite 757 (4) Соединение формулы (V) европейская заявка на патент ЕР-А-0339418 (5) Соединение формулы (VI) европейская заявка на патент ЕР-А-313512, Pesticide Manual, 11th. Ed. (1997), Seite 195 (6) Соединение формулы (VII) европейская заявка на патент ЕР-А-281842, Pesticide Manual, 11th. Ed. (1997), Seite 746 (7) Соединение формулы (VIII) международная заявка WO 96/01256 (8) Соединения формулы (IX) a) Pesticide Manual, 11th. Ed. (1997), Seite 1068 b) Pesticide Manual, 11th. Ed. (1997), Seite 319 c) Pesticide Manual, 11th. Ed. (1997), Seite 464 (9) Соединение формулы (X) европейская заявка на патент ЕР-А-460575 (10) Соединение формулы (XI) международная заявка WO 96/16 048 (11) Соединение формулы (XII) a) европейская заявка на патент ЕР-А-596254 b) европейская заявка на патент ЕР-А-569384 c) немецкая заявка на патент DE 19539324 d) европейская заявка на патент ЕР-А-398692 e) международная заявка WO 97/06133 f) европейская заявка на патент ЕР-А-811612 g) международная заявка WO 96/01256 (12) Соединение формулы (XIII) европейская заявка на патент ЕР-А-393911, Pesticide Manual, 11th. Ed. (1997), Seite 500 (13) Соединение формулы (XIV) европейская заявка на патент ЕР-А-600629 (14) Соединение формулы (XV) Pesticide Manual, 11th. Ed. (1997), Seite 709 (15) Соединение формулы (XVI) европейская заявка на патент ЕР-А-639547 (16) Соединение формулы (XVII) международная заявка WO 98/23155 (17) Соединение формулы (XVIII) международная заявка WO 98/19539 (18) Соединение формулы (XIX) a) немецкая заявка на патент DE-A-2149923, Pesticide Manual, 11th. Ed. (1997), Seite 724 b) немецкая заявка на патент DE-A-2012656, Pesticide Manual, 11th. Ed. (1997), Seite 1003 (19) Соединение формулы (XX) а) европейская заявка на патент ЕР-А-326330 (20) Соединение формулы (XXI) европейская заявка на патент ЕР-А-278595, Pesticide Manual, 11th. Ed. (1997), Seite 1083 (21) Соединение формулы (XXII) немецкая заявка на патент DE-A-2903612, Pesticide Manual, 11th. Ed. (1997), Seite 87 (22) Соединение формулы (XXIII) известно или является продажным продуктом (23) Соединение формулы (XXIV) a) европейская заявка на патент ЕР-А-206999, Pesticide Manual, 11th. Ed.(1997), Seite 566 b) Pesticide Manual, 11th. Ed. (1997), Seite 522 (24) Соединение формулы (XXV) европейская заявка на патент ЕР-А-078663, Pesticide Manual, 11th. Ed. (1997), Seite 386 (25) Соединение формулы (XXVI) Pesticide Manual, 11th. Ed. (1997), Seite 268 (26) Соединение формулы (XXVII) немецкая заявка на патент DE-А-2429523, Pesticide Manual, 11th. Ed. (1997), Seite 1000. Заявляемые комбинации биологически активных веществ, наряду с биологически активным веществом формулы (I), содержат, по меньшей мере, одно биологически активное вещество из соединений групп (1)-(26). Кроме этого, они могут содержать также другие, смешанные с ними компоненты, обладающие фунгицидным действием. Если биологически активные вещества в заявляемых комбинациях биологически активных веществ находятся в определенных массовых соотношениях, то особенно отчетливо проявляется синергический эффект. Но все-таки массовые соотношения биологически активных веществ в заявляемых комбинациях биологически активных веществ варьируются в относительно широкой области. В общем случае на 1 массовую часть биологически активного вещества формулы (I) приходится: от 0,05 до 10 массовых частей, предпочтительно от 0,05 до 5 массовых частей биологически активного вещества из группы (1а), от 0,05 до 10 массовых частей, предпочтительно от 0,05 до 5 массовых частей биологически активного вещества из группы (1b), от 0,05 до 10 массовых частей, предпочтительно от 0,05 до 5 массовых частей биологически активного вещества из группы (1с), от 0,05 до 10 массовых частей, предпочтительно от 0,05 до 5 массовых частей биологически активного вещества из группы (1d), от 0,05 до 10 массовых частей, предпочтительно от 0,05 до 5 массовых частей биологически активного вещества из группы (1е), от 0,05 до 10 массовых частей, предпочтительно от 0,05 до 5 массовых частей биологически активного вещества из группы (1f), от 0,05 до 10 массовых частей, предпочтительно от 0,05 до 5 массовых частей биологически активного вещества из группы (1g), от 0,05 до 10 массовых частей, предпочтительно от 0,05 до 5 массовых частей биологически активного вещества из группы (1h), от 0,05 до 10 массовых частей, предпочтительно от 0,05 до 5 массовых частей биологически активного вещества из группы (1i), от 0,05 до 10 массовых частей, предпочтительно от 0,05 до 5 массовых частей биологически активного вещества из группы (2), от 0,5 до 100 массовых частей, предпочтительно от 0,5 до 50 массовых частей биологически активного вещества из группы (3), от 0,05 до 10 массовых частей, предпочтительно от 0,05 до 5 массовых частей биологически активного вещества из группы (4), от 0,05 до 10 массовых частей, предпочтительно от 0,05 до 5 массовых частей биологически активного вещества из группы (5), от 0,05 до 10 массовых частей, предпочтительно от 0,05 до 5 массовых частей биологически активного вещества из группы (6), от 0,05 до 10 массовых частей, предпочтительно от 0,05 до 5 массовых частей биологически активного вещества из группы (7), от 0,05 до 10 массовых частей, предпочтительно от 0,05 до 5 массовых частей биологически активного вещества из группы (8), от 0,05 до 10 массовых частей, предпочтительно от 0,05 до 5 массовых частей биологически активного вещества из группы (9), от 0,05 до 10 массовых частей, предпочтительно от 0,05 до 5 массовых частей биологически активного вещества из группы (10), от 0,05 до 10 массовых частей, предпочтительно от 0,05 до 5 массовых частей биологически активного вещества из группы (11а), от 0,05 до 10 массовых частей, предпочтительно от 0,05 до 5 массовых частей биологически активного вещества из группы (11b), от 0,05 до 10 массовых частей, предпочтительно от 0,05 до 5 массовых частей биологически активного вещества из группы (11с), от 0,05 до 10 массовых частей, предпочтительно от 0,05 до 5 массовых частей биологически активного вещества из группы (11d), от 0,05 до 10 массовых частей, предпочтительно от 0,05 до 5 массовых частей биологически активного вещества из группы (11е), от 0,05 до 10 массовых частей, предпочтительно от 0,05 до 5 массовых частей биологически активного вещества из группы (11f), от 0,05 до 20 массовых частей, предпочтительно от 0,05 до 5 массовых частей биологически активного вещества из группы (11g), от 0,05 до 10 массовых частей, предпочтительно от 0,05 до 5 массовых частей биологически активного вещества из группы (12), от 0,05 до 10 массовых частей, предпочтительно от 0,05 до 5 массовых частей биологически активного вещества из группы (13), от 0,5 до 100 массовых частей, предпочтительно от 0,5 до 50 массовых частей биологически активного вещества из группы (14), от 0,05 до 10 массовых частей, предпочтительно от 0,05 до 5 массовых частей биологически активного вещества из группы (15), от 0,05 до 10 массовых частей, предпочтительно от 0,05 до 5 массовых частей биологически активного вещества из группы (16), от 0,05 до 10 массовых частей, предпочтительно от 0,05 до 5 массовых частей биологически активного вещества из группы (17), от 0,05 до 10 массовых частей, предпочтительно от 0,05 до 5 массовых частей биологически активного вещества из группы (18а), от 0,05 до 10 массовых частей, предпочтительно от 0,05 до 5 массовых частей биологически активного вещества из группы (18b), от 0,05 до 10 массовых частей, предпочтительно от 0,05 до 5 массовых частей биологически активного вещества из группы (19), от 0,05 до 10 массовых частей, предпочтительно от 0,05 до 5 массовых частей биологически активного вещества из группы (20), от 0,05 до 10 массовых частей, предпочтительно от 0,05 до 5 массовых частей биологически активного вещества из группы (21), от 0,5 до 100 массовых частей, предпочтительно от 0,5 до 50 массовых частей биологически активного вещества из группы (22), от 0,05 до 10 массовых частей, предпочтительно от 0,05 до 5 массовых частей биологически активного вещества из группы (23а), от 0,05 до 10 массовых частей, предпочтительно от 0,05 до 5 массовых частей биологически активного вещества из группы (23b), от 0,05 до 10 массовых частей, предпочтительно от 0,05 до 5 массовых частей биологически активного вещества из группы (24), от 0,5 до 100 массовых частей, предпочтительно от 0,5 до 50 массовых частей биологически активного вещества из группы (25), от 0,05 до 10 массовых частей, предпочтительно от 0,05 до 5 массовых частей биологически активного вещества из группы (26). В общем случае на 1 массовую часть биологически активного вещества формулы (I-а) приходится: от 0,05 до 20 массовых частей, предпочтительно от 0,1 до 10 массовых частей биологически активного вещества из группы (1а), от 0,05 до 20 массовых частей, предпочтительно от 0,1 до 10 массовых частей биологически активного вещества из группы (1b), от 0,05 до 20 массовых частей, предпочтительно от 0,1 до 10 массовых частей биологически активного вещества из группы (1с), от 0,05 до 20 массовых частей, предпочтительно от 0,1 до 10 массовых частей биологически активного вещества из группы (1d), от 0,05 до 20 массовых частей, предпочтительно от 0,1 до 10 массовых частей биологически активного вещества из группы (1е), от 0,05 до 20 массовых частей, предпочтительно от 0,1 до 10 массовых частей биологически активного вещества из группы (1f), от 0,05 до 20 массовых частей, предпочтительно от 0,1 до 10 массовых частей биологически активного вещества из группы (1g), от 0,05 до 20 массовых частей, предпочтительно от 0,1 до 10 массовых частей биологически активного вещества из группы (1h), от 0,05 до 20 массовых частей, предпочтительно от 0,1 до 10 массовых частей биологически активного вещества из группы (1i), от 0,05 до 20 массовых частей, предпочтительно от 0,1 до 10 массовых частей биологически активного вещества из группы (2), от 0,5 до 150 массовых частей, предпочтительно от 1 до 100 массовых частей биологически активного вещества из группы (3), от 0,05 до 20 массовых частей, предпочтительно от 0,1 до 10 массовых частей биологически активного вещества из группы (4), от 0,05 до 20 массовых частей, предпочтительно от 0,1 до 10 массовых частей биологически активного вещества из группы (5), от 0,05 до 20 массовых частей, предпочтительно от 0,1 до 10 массовых частей биологически активного вещества из группы (6), от 0,05 до 20 массовых частей, предпочтительно от 0,1 до 10 массовых частей биологически активного вещества из группы (7), от 0,05 до 20 массовых частей, предпочтительно от 0,1 до 10 массовых частей биологически активного вещества из группы (8), от 0,05 до 20 массовых частей, предпочтительно от 0,1 до 10 массовых частей биологически активного вещества из группы (9), от 0,05 до 20 массовых частей, предпочтительно от 0,1 до 10 массовых частей биологически активного вещества из группы (10), от 0,05 до 20 массовых частей, предпочтительно от 0,1 до 10 массовых частей биологически активного вещества из группы (11а), от 0,05 до 20 массовых частей, предпочтительно от 0,1 до 10 массовых частей биологически активного вещества из группы (11b), от 0,05 до 20 массовых частей, предпочтительно от 0,1 до 10 массовых частей биологически активного вещества из группы (11с), от 0,05 до 20 массовых частей, предпочтительно от 0,1 до 10 массовых частей биологически активного вещества из группы (11d), от 0,05 до 20 массовых частей, предпочтительно от 0,1 до 10 массовых частей биологически активного вещества из группы (11е), от 0,05 до 20 массовых частей, предпочтительно от 0,1 до 10 массовых частей биологически активного вещества из группы (11f), от 0,05 до 20 массовых частей, предпочтительно от 0,1 до 10 массовых частей биологически активного вещества из группы (11g), от 0,05 до 20 массовых частей, предпочтительно от 0,1 до 10 массовых частей биологически активного вещества из группы (12), от 0,05 до 20 массовых частей, предпочтительно от 0,1 до 10 массовых частей биологически активного вещества из группы (13), от 0,5 до 150 массовых частей, предпочтительно от 1 до 100 массовых частей биологически активного вещества из группы (14), от 0,05 до 20 массовых частей, предпочтительно от 0,1 до 10 массовых частей биологически активного вещества из группы (15), от 0,05 до 20 массовых частей, предпочтительно от 0,1 до 10 массовых частей биологически активного вещества из группы (16), от 0,05 до 20 массовых частей, предпочтительно от 0,1 до 10 массовых частей биологически активного вещества из группы (17), от 0,05 до 20 массовых частей, предпочтительно от 0,1 до 10 массовых частей биологически активного вещества из группы (18а), от 0,05 до 20 массовых частей, предпочтительно от 0,1 до 10 массовых частей биологически активного вещества из группы (18b), от 0,05 до 20 массовых частей, предпочтительно от 0,1 до 10 массовых частей биологически активного вещества из группы (19), от 0,05 до 20 массовых частей, предпочтительно от 0,1 до 10 массовых частей биологически активного вещества из группы (20), от 0,05 до 20 массовых частей, предпочтительно от 0,1 до 10 массовых частей биологически активного вещества из группы (21), от 0,5 до 150 массовых частей, предпочтительно от 1 до 100 массовых частей биологически активного вещества из группы (22), от 0,05 до 20 массовых частей, предпочтительно от 0,1 до 10 массовых частей биологически активного вещества из группы (23а), от 0,05 до 20 массовых частей, предпочтительно от 0,1 до 10 массовых частей биологически активного вещества из группы (23b), от 0,05 до 20 массовых частей, предпочтительно от 0,1 до 10 массовых частей биологически активного вещества из группы (24), от 0,5 до 150 массовых частей, предпочтительно от 1 до 100 массовых частей биологически активного вещества из группы (25), от 0,05 до 20 массовых частей, предпочтительно от 0,1 до 10 массовых частей, биологически активного вещества из группы (26). Заявляемые комбинации биологически активных веществ обладают очень хорошими фунгицидными свойствами и могут быть использованы для борьбы с фитопатогенными грибами, такими как Plasmodiophoromycetes, Oomycetes, Chytridiomycetes, Zygomycetes, Ascomycetes, Basidiomycetes, Deuteromycetes и т.п. Заявляемые комбинации биологически активных веществ особенно хорошо подходят для борьбы с Phytophthora infestans и Plasmopara viticola. Хорошая переносимость растениями комбинаций биологически активных веществ в концентрациях, необходимых для борьбы с болезнями растений, позволяет обрабатывать наземные части растений, посадочный материал и семена, а также и почву. Заявляемые комбинации биологически активных веществ могут быть использованы для нанесения на листья или также как протравливающее средство. Заявляемые комбинации биологически активных веществ пригодны также для повышения урожайности. Они, кроме того, обладают невысокой токсичностью и хорошо переносятся растениями. Согласно изобретению, могут обрабатываться все растения и части растений. Под растениями при этом понимаются все растения и популяции растений, такие как желательные и нежелательные дикие растения или культурные растения (включая встречающиеся в природе культурные растения). Культурными растениями могут быть растения, которые могут быть получены посредством традиционных методов селекции и оптимизации или посредством биотехнологических и генно-инженерных методов или комбинаций этих методов, включая трансгенные растения и включая сорта растений, защищаемые или не защищаемые с помощью правил защиты сортов. Под частями растений следует понимать все надземные и подземные части и органы растений, такие как побег, лист, цветок и корень, при этом в качестве примера приводятся листья, иглы, стебли, стволы, цветки, созревающие плоды (завязи), плоды и семена, а также корни, клубни и корневища. К частям растений принадлежат также плоды (урожая), а также вегетативный и генеративный материал для размножения, например, черенки, клубни, корневища, горизонтальные отростки (побеги) и зародыши (семена). Как уже было упомянуто выше, согласно изобретению, могут обрабатываться все растения и их части. В предпочтительной форме исполнения обрабатываются встречающиеся в природе дикие или полученные с помощью обычных биологических методов селекции, таких как скрещивание или слияние протоплазм, виды растений или сорта растений, а также их части. В другой предпочтительной форме исполнения обрабатываются трансгенные растения или сорта растений, которые были получены с помощью генно-инженерных методов, при необходимости, в комбинации с традиционными методами (генетически модифицированные организмы), и их части. Понятие “части”, соответственно “части растений”, или “растительные части “, было объяснено выше. Особенно предпочтительно, согласно изобретению, обрабатываются растения, соответственно, продажных или находящихся в употреблении сортов растений. Под сортами растений понимают растения с новыми свойствами (особенностями), которые были выведены как посредством традиционной селекции, посредством мутагенеза, так и посредством рекомбинантной ДНК-технологии. Это могут быть сорта, био- и генотипы. В зависимости от видов растений, соответственно сортов растений, их места разведения и условий роста (почва, климат, вегетационный период, подкормка) за счет заявляемой обработки могут проявиться также сверхаддитивные (“синергические”) эффекты. Так, например, возможны сниженные нормы расхода и/или расширения спектра действия, и/или увеличение активности используемых согласно изобретению веществ и средств, лучший рост растений, повышенная толерантность по отношению к высоким и низким температурам, повышенная толерантность по отношению к засухе или по отношению к содержанию в почве воды или солей, повышенная сила цветения, повышенная завязь плодов, ускорение созревания плодов, более высокая урожайность, более высокое качество и/или более высокая питательная ценность продуктов урожая, лучшая способность к хранению и/или к обработке продуктов урожая, причем указанные свойства превосходят первоначально ожидаемые эффекты. К предпочтительным трансгенным (полученным с помощью генной инженерии) растениям или сортам растений, подлежащим обработке согласно изобретению, принадлежат все растения, которые получены с помощью генно-инженерной модификации генетического материала, который придает этим растениям особенно предпочтительные ценные свойства (особенности). Примерами таких свойств являются лучший рост растений, повышенная толерантность по отношению к высоким или низким температурам, повышенная толерантность по отношению к засухе или по отношению к содержанию в почве воды или солей, повышенная сила цветения, повышенная завязь плодов, ускорение созревания плодов, более высокая урожайность, более высокое качество и/или более высокая питательная ценность продуктов урожая, лучшая способность к хранению и/или к обработке продуктов урожая. Другими и особенно отмечаемыми примерами таких свойств являются повышенная сопротивляемость растений к повреждению со стороны животного мира и к микробиологическим повреждениям, например по отношению к насекомым, клещам, патогенным растительным грибам, бактериям и/или вирусам, а также повышенная толерантность растений по отношению к определенным гербицидным активным веществам. В качестве примеров трансгенных растений упоминаются важные культурные растения, например злаковые (пшеница, рис), кукуруза, соя, картофель, хлопчатник, рапс, а также фруктовые растения (с плодами яблок, груш, цитрусовых и винограда), при этом кукуруза, соя, картофель, хлопчатник и рапс отмечаются особо. В качестве свойств (характерных черт) особенно отмечаются повышенная сопротивляемость растений по отношению к насекомым за счет возникающих в растениях токсинов, в частности таких, которые образуются в растениях за счет генетического материала из Тюрингских бацилл (Bacillus Thuringiensis) [например, за счет генов CryIA(a), CryIA(b), CryIA(c), CryIIA, CryIIIA, CryIIIB2, Cry9c, Cry2Ab, Cry3Вb и CryIF, а также их комбинаций] (далее Bt-растения). В качестве свойств (характерных черт) особенно подчеркиваются также повышенная сопротивляемость растений по отношению к грибам, бактериям и вирусам за счет “системной приобретенной резистенции” (SAR), Системина, Фитоалексина, Элициторена, а также резистентных генов и соответственно экспримированных протеинов и токсинов. В качестве свойств (характерных черт) особенно отмечаются повышенная толерантность растений по отношению к определенным гербицидным активным веществам, например имидазолинонам, сульфонилмочевинам, Глифосату или Фосфинотрицину (например, “PAT” – ген). Гены, сопровождающие, соответственно, желаемые свойства (особенности), могут встречаться также в комбинации друг с другом в трансгенных растениях. В качестве примеров Bt-растений следует назвать сорта кукурузы, сорта хлопчатника, сорта сои и сорта картофеля, которые продаются под торговыми наименованиями (марками) YIELD GARD® (например, кукуруза, хлопчатник, соя), KnockOut® (например, кукуруза), StarLink® (например, кукуруза), Bollgard® (хлопчатник), Nucotn® (хлопчатник) и NewLeaf® (картофель). В качестве примеров толерантных к гербицидам растений следует назвать сорта кукурузы, сорта хлопчатника и сорта сои, которые продаются под торговыми наименованиями Roundup Ready® (толерантность по отношению к Глифосату, например кукуруза, хлопчатниик, соя), Liberty Link® (толерантность по отношению к Фосфинотрицину, например pane), IMI® (толерантность по отношению к имидазолинонам) и STS® (толерантность по отношению к сульфонилмочевинам, например, кукуруза). В качестве резистентных к гербицидам растений (обычно выведенных на толерантность к гербицидам) следует упомянуть также сорта (например, кукурузы), продающихся под названием Clearfield®. Понятно, что указанные положения действуют также для сортов растений, которые будут выведены в будущем или поступят в будущем на рынок, с указанными или созданными в будущем генетическими свойствами (особенностями). Приведенные растения, согласно изобретению, особенно предпочтительно могут быть обработаны заявляемыми смесями биологически активных веществ. Предпочтительные области, указанные выше для биологически активных веществ или смесей, справедливы также для обработки указанных растений. Особенно следует отметить обработку растений приведенными в настоящем тексте специально смесями. Заявляемая обработка растений и частей растений биологически активными веществами происходит прямо или посредством воздействия на их окружение, жизненное пространство или с помощью обработки овощехранилища по обычным методам обработки, например погружением, опрыскиванием, испарением, окутыванием туманом, рассыпанием, обмазыванием, и в случае материала для размножения, в частности семян, кроме того, посредством однослойных или многослойных оболочек. Заявляемые комбинации биологически активных веществ могут быть переведены в обычные составы, такие как растворы, эмульсии, суспензии, порошки, пены, пасты, грануляты, аэрозоли, микрокапсулирования в полимерных веществах и оболочках для семян, а также ULV-составы. Указанные составы получают обычным способом, например смешением биологически активных веществ или комбинаций биологически активных веществ с разбавляющими средствами, с жидкими растворителями, с находящимися под давлением сжиженными газами и/или твердыми носителями, при необходимости, с использованием поверхностно-активных средств, т.е. эмульгаторов и/или диспергирующих средств, и/или пенообразующих средств. В случае использования в качестве разбавляющего средства воды в качестве вспомогательных растворителей также могут быть использованы, например, органические растворители. В качестве жидких растворителей могут рассматриваться в основном: ароматические углеводороды, такие как ксилол, толуол или алкилнафталины, хлорированные ароматические соединения и хлорированные алифатические углеводороды, такие как хлорбензолы, хлорэтилены или метиленхлорид, алифатические углеводороды, такие как циклогексан или парафины, например нефтяные фракции, спирты, такие как бутанол или гликоль, а также их простые и сложные эфиры, кетоны, такие как ацетон, метилэтилкетон, метилизобутилкетон или циклогексанон, высоко полярные растворители, такие как диметилформамид и диметилсульфоксид, а также вода. В случае сжиженных газообразных разбавителей или носителей имеются в виду такие жидкости, которые при нормальной температуре и при нормальном давлении являются газообразными, например, аэрозольные газы-носители, такие как бутан, пропан, азот и диоксид углерода. В качестве твердых носителей рассматриваются: например, природные измельченные горные породы, такие как каолины, глиноземы, тальк, мел, кварц, аттапульгит, монтмориллонит или диатомовые земли, и синтетические горные измельченные породы, такие как высокодисперсный диоксид кремния, оксид алюминия и силикаты. В качестве твердых носителей для гранулятов рассматриваются: например, дробленые и фракционированные природные горные породы, такие как кальцит, мрамор, пемза, сепиолит, доломит, а также синтетические грануляты из неорганических и органических порошков, а также грануляты из органических материалов, таких как опилки, оболочки кокосовых орехов, кукурузные початки и стебли табака; в качестве эмульгаторов и/или пенообразующих средств рассматриваются: например, неионогенные и анионные эмульгаторы, такие как эфиры полиоксиэтилированных жирных кислот, эфиры полиоксиэтилированных жирных спиртов, например, алкиларилполигликолевые эфиры, алкилсульфонаты, алкилсульфаты, арилсульфонаты, а также гидролизаты белка. В качестве диспергирующих средств рассматриваются: например, лигнин-сульфитные щелоки и метилцеллюлоза. В составах можно использовать средства для улучшения сцепления (связующие), такие как карбоксиметилцеллюлоза, природные и синтетические порошкообразные, зернистые или латекс-полимеры, например, гуммиарабик, поливиниловый спирт, поливинилацетат, а также природные фосфолипиды, такие как кефалин и лецитин, и синтетические фосфолипиды. Другие добавки могут представлять собой минеральные и растительные масла. Можно использовать красители, такие как неорганические пигменты, например, оксид железа, оксид титана, ферроциан-голубой, и органические красители, такие как ализарин-, азо- и металлфталоцианиновые красящие вещества и микропитающие вещества (микроэлементы), например, соли железа, марганца, бора, меди, кобальта, молибдена и цинка. В общем случае составы содержат между 0,1 и 95% масс. биологически активного вещества, предпочтительно между 0,5 и 90%. Заявляемые комбинации биологически активных веществ могут использоваться как таковые или в составах, а также в смесях с известными фунгицидами, бактерицидами, акарицидами, нематицидами, для того чтобы, например, расширить спектр действия или предотвратить развитие резистенции. Во многих случаях при этом проявляются синергические эффекты, т.е. активность смеси выше, чем сумма активностей отдельных компонентов. Возможна также смесь с другими известными биологически активными веществами, например, гербицидами или с удобрениями и регуляторами роста. Комбинации биологически активных веществ могут использоваться как таковые, в форме своих составов или в виде приготовленных из них готовых форм, например таких, как готовые к употреблению растворы, эмульгируемые концентраты, эмульсии, суспензии, порошки для распыления, растворимые порошки и грануляты. Внесение происходит обычным образом, например, посредством полива, разбрызгивания, распыления, рассыпания, намазывания, сухого протравливания, влажного протравливания, мокрого протравливания, протравливания суспензией или инкрустированием. При использовании заявляемых комбинаций биологически активных веществ нормы расхода, в зависимости от способа внесения, могут варьироваться внутри широкой области. При обработке частей растений нормы расхода комбинации биологически активных веществ лежат в общем случае между 0,1 и 10000 г/га, предпочтительно между 10 и 1000 г/га. При обработке семян нормы расхода комбинации биологически активных веществ лежат в общем случае между 0,001 и 50 г на килограмм семян, предпочтительно между 0,01 и 10 г на килограмм семян. При обработке почвы нормы расхода комбинации биологически активных веществ лежат в общем случае между 0,1 и 10 000 г/га, предпочтительно между 1 и 5000 г/га. Высокая фунгицидная активность заявляемых комбинаций биологически активных веществ проиллюстрирована указанными ниже примерами. В то время, как отдельные биологически активные вещества имеют слабую фунгицидную активность, комбинации показывают активность, которая превосходит активность при простом суммировании активностей. Синергический эффект в случае фунгицидов имеет место всегда, когда фунгицидная активность комбинаций биологически активных веществ выше, чем сумма активностей отдельно используемых биологически активных веществ. Ожидаемая активность для заданной комбинации двух веществ может быть рассчитана согласно S.R.Colby (“Calculation Synergistic and Antagonistic Responses of Herbicide Combinations”, Weeds 15 (1967), 20-22), как представлено ниже. Если Х обозначает уровень активности при использовании биологически активного вещества А при нормах расхода m г/га, Y обозначает уровень активности при использовании биологически активного вещества В при нормах расхода n г/га и Е обозначает уровень активности при использовании биологически активных веществ А и В вместе при нормах расхода m и n г/га г/га, тогда
При этом уровень активности получается в %. 0% означает уровень активности, которая соответствует активности контроля, в то время как 100% означают, что не наблюдается никакого полегания. Если действительная фунгицидная активность выше, чем рассчитанная, то комбинация в своем действии сверх аддитивна, т.е. имеет место синергический эффект. В этом случае наблюдаемый в действительности уровень активности (Е) должен быть выше, чем уровень активности, ожидаемый из вышеприведенной формулы. Изобретение наглядно иллюстрируется последующими примерами. Примеры не ограничивают притязаний заявителя. А: Опыт с Phvtophthora (помидоры): защитное действие Растворитель: 24,5 массовых частей ацетона 24,5 массовых частей диметилацетамида Эмульгатор: 0,3 массовой части алкиларилполигликолевого простого эфира Для получения целевой композиции биологически активного вещества смешивают 1 массовую часть биологически активного вещества с указанными количествами растворителя и эмульгатора и концентрат разбавляют водой до желаемой концентрации. Для проверки защитного действия опрыскивают молодые растения полученным средством до тех пор, пока оно не начнет стекать с листьев. После подсыхания нанесенного в указанном количестве средства растения инокулируют водной суспензией Phytophthora и затем растения устанавливают в инкубационную камеру с температурой около 20°С и 100%-ной относительной влажностью воздуха. Через 3 дня после инокуляции осуществляют оценку поражения. При этом 0% означает, что степень действия соответствует степени действия контрольного опыта, а 100%-ная степень действия означает, что поражения не наблюдаются. Результаты сведены в таблицах А1-A3.
Б: Опыт на Plasmopara (виноград) / защитный Растворитель: 24,5 массовых частей ацетона 24,5 массовых частей диметилацетамида Эмульгатор: 0,3 массовой части алкиларилполигликолевого простого эфира Для получения целевой композиции биологически активного вещества смешивают 1 массовую часть биологически активного вещества с указанными количествами растворителя и эмульгатора и концентрат разбавляют водой до желаемой концентрации. Для проверки на защитную активность молодые растения обрызгивают композицией биологически активного вещества. После высыхания нанесенного состава растения инокулируют водной суспензией спор Plasmopara viticola и затем оставляют на один день во влажной камере при температуре 20-22°С и 100%-ной относительной влажности воздуха. Затем растения помещают в теплицу на пять дней при температуре 21°С и приблизительно 90%-ной влажности воздуха, после чего их увлажняют и помещают на один день во влажную камеру. Через шесть дней после инокуляции анализируют результаты. При этом 0% означает, что степень действия соответствует степени действия контрольного опыта, а 100%-ная степень действия означает, что поражения не наблюдаются. Результаты сведены в табл.Б1.
Из вышеприведенных экспериментальных данных однозначно вытекает неожиданное синергетическое действие предлагаемых фунгицидных комбинаций биологически активных веществ.
Формула изобретения
1. Фунгицидные комбинации биологически активных веществ, содержащие соединение формулы (I) и (1) производное триазола формулы а) или (7) соединение формулы или (9) соединение формулы или (12) оксазолидиндион формулы или (13) производное бензамида формулы или (21) производное фениламида формулы или (22) фосфористую кислоту формулы
или (25) гидроксид меди (XXVI), причем компоненты взяты в синергетически эффективном количестве. 2. Фунгицидные комбинации биологически активных веществ по п.1, отличающиеся тем, что массовое отношение биологически активного вещества формулы (I) к биологически активному веществу группы (1) а) лежит между 1:0,05 и 1:10, биологически активному веществу группы (7) лежит между 1:0,05 и 1:10, биологически активному веществу группы (9) лежит между 1:0,05 и 1:10, биологически активному веществу группы (12) лежит между 1:0,05 и 1:10, биологически активному веществу группы (13) лежит между 1:0,05 и 1:10, биологически активному веществу группы (21) лежит между 1:0,05 и 1:10, биологически активному веществу группы (22) лежит между 1:0,5 и 1:100, биологически активному веществу группы (25) лежит между 1:0,5 и 1:100. 3. Фунгицидные комбинации биологически активных веществ по п.1 или 2, содержащие соединение формулы (I) и (7) Пираклостробин (VIII), или (9) Трифлоксистробин (X), или (12) Фамоксадон (XIII), или (13) Зоксамид (XIV), или (21) Беналаксил (XXII), или (22) Фосфористую кислоту (XXIII). 4. Фунгицидные комбинации биологически активных веществ, содержащие соединение формулы (1-а) и (1) производное триазола формулы а) или (7) соединение формулы или (9) соединение формулы или (12) оксазолидиндион формулы или (13) производное бензамида формулы или (21) производное фениламида формулы или (22) фосфористую кислоту формулы
или (25) гидроксид меди (XXVI), причем компоненты взяты в синергетически эффективном количестве. 5. Фунгицидные комбинации биологически активных веществ по п.4, отличающиеся тем, что массовое отношение биологически активного вещества формулы (I-а) к биологически активному веществу группы (1) а) лежит между 1:0,05 и 1:20, биологически активному веществу группы (7) лежит между 1:0,05 и 1:20, биологически активному веществу группы (9) лежит между 1:0,05 и 1:20, биологически активному веществу группы (12) лежит между 1:0,05 и 1:20, биологически активному веществу группы (13) лежит между 1:0,05 и 1:20, биологически активному веществу группы (21) лежит между 1:0,05 и 1:20, биологически активному веществу группы (22) лежит между 1:0,5 и 1:150, биологически активному веществу группы (25) лежит между 1:0,5 и 1:150. 6. Фунгицидные комбинации биологически активных веществ по п.4 или 5, содержащие соединение формулы (I-а) и (7) Пираклостробин (VIII), или (9) Трифлоксистробин (X), или (12) Фамоксадон (XIII), или (13) Зоксамид (XIV), или (21) Беналаксил (XXII), или (22) Фосфористую кислоту (XXIII).
MM4A – Досрочное прекращение действия патента СССР или патента Российской Федерации на изобретение из-за неуплаты в установленный срок пошлины за поддержание патента в силе
Дата прекращения действия патента: 13.08.2009
Извещение опубликовано: 20.07.2010 БИ: 20/2010
|
||||||||||||||||||||||||||||||||||||||||||||||||||||||||||||||||||||||||||||||||||||||||||||||||||||||||||||||||||||||||||||||



















,














(от 77 до 83%)



























