|
(21), (22) Заявка: 2006105808/06, 28.02.2006
(24) Дата начала отсчета срока действия патента:
28.02.2006
(46) Опубликовано: 10.11.2007
(56) Список документов, цитированных в отчете о поиске:
БОРОВИК Г.Ф. и др. Комплекс аппаратуры контроля нейтронного потока системы управления и защиты водо-водяных энергетических реакторов АЭС. – Атомная энергия, т.54, вып.1. – М.: Энергоатомиздат, 1983, с.27-36. SU 1807526 A1, 07.04.1993. RU 2073921 C1, 20.02.1997. RU 2240609 C1, 20.11.2004. US 4268354 A, 19.05.1981.
Адрес для переписки:
123060, Москва, а/я 73, А.М. Гусарову
|
(72) Автор(ы):
Алпатов Анатолий Михайлович (RU), Гусаров Анатолий Майорович (RU), Камышан Александр Николаевич (RU), Лужнов Александр Модестович (RU), Соколов Игорь Викторович (RU), Стефаницкая Людмила Олеговна (RU)
(73) Патентообладатель(и):
Закрытое акционерное общество “СНИИП-СИСТЕМАТОМ” (RU)
|
(54) СИСТЕМА КОНТРОЛЯ НЕЙТРОННОГО ПОТОКА ЯДЕРНОГО РЕАКТОРА
(57) Реферат:
Изобретение относится к области контроля нейтронного потока для обеспечения контроля, управления и защиты корпусных ядерных реакторов. Система контроля нейтронного потока ядерного реактора содержит датчики нейтронного потока и устройство обработки входных сигналов и формирования сигналов защиты. Датчики нейтронного потока расположены по вертикальной оси вне корпуса реактора. Число датчиков нейтронного потока составляет три. Один из датчиков нейтронного потока расположен на уровне середины активной зоны реактора по высоте, а два других – выше и ниже середины активной зоны. Устройство обработки входных сигналов и формирования сигналов защиты выполнено в виде ряда модулей. Первый модуль является модулем определения значения аксиального офсета, коэффициента неравномерности среднего для активной зоны аксиального энергораспределения и значения тепловой мощности реактора, откорректированного с учетом поправочных коэффициентов. Первый модуль связан с тремя датчиками нейтронного потока и датчиками систем технологического контроля реактора: датчиками положения органов регулирования и датчиками температуры теплоносителя на входе циркуляционных петель в реактор. Второй модуль является модулем определения значения тепловой мощности реактора, откорректированного с учетом заданного ограничения коэффициента коррекции, и формирования сигналов, инициирующих защитные действия при превышении допустимого значения упомянутой мощности. Второй модуль связан с первым выходом первого модуля, а также непосредственно с верхним и нижним датчиками нейтронного потока. Третий модуль является модулем определения величины запаса до достижения предельно допустимого значения линейного энерговыделения, значения запаса до кризиса теплообмена и формирования сигналов, инициирующих защитные действия при достижении предельных значений указанных запасов. Третий модуль связан со вторым выходом первого модуля, а также с датчиками систем технологического контроля реактора: датчиками давления в реакторе и датчиками расхода теплоносителя через активную зону. Второй и третий модули связаны с системой управления и защиты реактора. Изобретение позволяет повысить надежность защиты реактора. 4 з.п. ф-лы, 2 ил.
Изобретение относится к области контроля нейтронного потока в корпусных реакторах для обеспечения управления и защиты, а именно к системам обрабатывающим оперативную информацию, формирующим сигналы превышения заданных порогов (уставок) и выдающим сигналы в систему защиты и управления и предназначенным для контроля количества тепла, выделяемого в реакторе за счет деления ядер (тепловой мощности, выделяемой в активной зоне реактора).
Известна система контроля энергораспределения по высоте активной зоны и уровня мощности ядерного реактора, содержащая внереакторные нейтронные детекторы, расположенные в биологической защите реактора, преимущественно регистрирующие нейтроны, генерируемые в цокольном участке периферийной области реактора, за счет создания каналов, обеспечивающих преимущественное попадание нейтронов от соответствующего участка корпуса реактора на нейтронный детектор (см. А.С. №993752, G21C 17/00, 1981). Недостатком данной системы является отсутствие учета влияния на показания детектора изменения температуры теплоносителя в опускном участке ректора, влияния положения регулируемой группы органов регулирования, а также ограничение числа зон с повышенной точностью контроля плотности потока нейтронов числом детекторов, и соответственно каналов, что не позволяет обеспечить точность контроля мощности от влияния указанных факторов и обеспечить надежную защиту реактора.
Наиболее близкой к предложенному техническому решению является система контроля нейтронного потока в активной зоне ядерного реактора (далее – СКНП), основанная на использовании сигналов одного или двух датчиков нейтронного потока, расположенных в вертикальном канале за пределами корпуса реактора (см. Г.Ф.Боровик, И.Е.Буренко, А.М.Гусаров и др. “Комплекс аппаратуры контроля нейтронного потока системы управления и защиты водо-водяных энергетических реакторов АЭС”, журнал “Атомная энергия”, т.54, вып.1, М., Энергоатомиздат, 1983, стр.27-36). Система содержит упомянутые датчики, устройство обработки сигналов датчиков и формирования сигналов защиты. Такая система позволяет контролировать величину нейтронного потока, пропорциональную тепловой мощности реактора, путем обработки сигналов (или суммы сигналов) датчиков и инициировать защитные действия при превышении значениями выходных сигналов устройств обработки наперед заданных предельных значений.
Недостатком известной системы является зависимость выходного сигнала не только от значения мощности, выделяемой в активной зоне реактора, но также от формы аксиального энергораспределения, положения органов регулирования и температуры теплоносителя в опускном участке корпуса реактора (соответствующей температуре на входе циркуляционных петель в реактор). Это часто приводит к отсутствию пропорциональности выходного сигнала СКНП мощности реактора, особенно в переходных режимах, что резко снижает надежность защиты реактора.
Задачей предложенной системы является путем использования сигналов, по меньшей мере, трех датчиков нейтронного потока, расположенных по вертикальной оси вне корпуса реактора, причем один из датчиков расположен на уровне середины активной зоны реактора по высоте, а, по меньшей мере, два других – выше и ниже середины активной зоны, а также сигналов датчиков систем технологического контроля реактора – датчиков температуры теплоносителя на входе циркуляционных петель в реактор, датчиков положения органов регулирования, датчиков давления внутри корпуса реактора и датчиков расхода теплоносителя через активную зону реактора (т.е. штатных датчиков других систем реактора), путем передачи сигналов вышеупомянутых датчиков в соответствующие модули и последующей обработки сигналов по заложенным в модули алгоритмам осуществить:
– автоматическую коррекцию в режиме “on-line” выходного сигнала с целью обеспечения его пропорциональности тепловой мощности реактора в диапазоне от 5 до 150% номинальной мощности в стационарных и переходных режимах;
– вычисление характеристик среднего для активной зоны аксиального энергораспределения в активной зоне реактора (аксиального офсета и коэффициента неравномерности среднего для активной зоны аксиального энергораспределения);
– определение величины запаса до достижения предельно допустимого для активной зоны значения линейного энерговыделения;
– определение запаса до кризиса теплообмена.
Вычисления могут производиться с привлечением заранее табулированных и записанных в узлах вычисления данных.
Выходной сигнал предложенной СКНП пропорционален мощности во всех энергетических режимах работы реактора за счет учета аксиального и радиального энергораспределения, влияния положения управляющих групп и температуры теплоносителя на входе циркуляционных петель в реактор, давления и расхода теплоносителя через активную зону реактора.
Техническим результатом от использования предложенного изобретения является увеличение числа контролируемых СКНП параметров с возможностью их использования для регулирования, управления и защиты реактора и повышение таким образом надежности защиты реактора, обеспечение пропорциональности выходного сигнала системы в энергетическом диапазоне тепловой мощности реактора во всех режимах его работы путем учета влияния аксиального энергораспределения в активной зоне реактора, положения органов регулирования, температуры на входе циркуляционных петель в реактор и мощности, выделяемой в активной зоне, обеспечение возможности формирования сигналов защиты (выходных сигналов системы) по значениям локальных параметров энергонапряженности активной зоны (величины запаса до достижения предельно допустимого линейного энерговыделения и значения запаса до кризиса теплообмена, вычисляемых в модулях системы).
Достижение технического результата обеспечивается тем, что система контроля нейтронного потока ядерного реактора включает, по меньшей мере, три датчика нейтронного потока, расположенных по вертикальной оси вне корпуса реактора. Один из датчиков нейтронного потока расположен на уровне середины активной зоны реактора по высоте, а, по меньшей мере, два других – выше и ниже середины активной зоны реактора. Устройство обработки входных сигналов и формирования сигналов защиты выполнено в виде ряда модулей. Первый модуль устройства обработки входных сигналов и формирования сигналов защиты является модулем определения значения аксиального офсета (АО), коэффициента неравномерности (kz) среднего для активной зоны аксиального энергораспределения и значения тепловой мощности (Wкор) реактора, откорректированного с учетом поправочных коэффициентов (далее – первый модуль). Первый модуль связан с, по меньшей мере, тремя датчиками нейтронного потока, а также с штатными датчиками положения органов регулирования и штатными датчиками температуры теплоносителя на входе циркуляционных петель в реактор (т.е. датчиками систем технологического контроля реактора).
Второй модуль является модулем определения значения тепловой мощности (Wкор(k огр)) реактора, откорректированного с учетом заданного ограничения коэффициента (kкор огр) коррекции и формирования сигналов, инициирующих защитные действия при превышении допустимого значения упомянутой мощности (далее – второй модуль). Второй модуль связан с первым модулем, а также с верхним и нижним датчиками нейтронного потока.
Третий модуль является модулем определения величины запаса до достижения предельно допустимого значения линейного энерговыделения, значения запаса до кризиса теплообмена и формирования сигналов, инициирующих защитные действия при достижении предельных значений указанных запасов. При этом третий модуль связан со вторым выходом первого модуля, а также с датчиками систем технологического контроля реактора: датчиками давления в реакторе и датчиками расхода теплоносителя через активную зону.
Второй и третий модули связаны с системой управления и защиты реактора. Связи выполнены электрическими или механическими, или оптическими, или в виде радиоканалов или другими.
В первом модуле записаны заранее табулированные значения поправочных коэффициентов, определенных в зависимости от положения органов регулирования реактора, температуры теплоносителя на входе циркуляционных петель в реактор и мощности, выделяемой в активной зоне реактора. С их учетом производится коррекция мощности реактора.
В третьем модуле на основании сигналов датчиков нейтронного потока, полученных из первого модуля и с использованием поправочных коэффициентов, аналогичных записанным в виде таблиц в первом модуле, записанных в том же виде и в третьем модуле, вычисляется таким же образом, как в первом модуле, значение тепловой мощности (Wкор) реактора, откорректированное с учетом поправочных коэффициентов (откорректированное значение тепловой мощности реактора), и коэффициент неравномерности (kz) среднего для активной зоны аксиального энергораспределения.
В первом и третьем модулях определение коэффициента неравномерности (kz) среднего для активной зоны аксиального энергораспределения производится для заданных координат по высоте активной зоны реактора и для тех же координат в третьем модуле происходит определение линейного энерговыделения в максимально энергонапряженном ТВЭЛе.
Коррекция мощности реактора во втором модуле производится путем введения ограниченного коэффициента коррекции (k кор огр). Коэффициент коррекции определяется как kкор=Wкор/WАКНП, где
Wкор – откорректированное значение тепловой мощности, определенное в первом модуле;
WAKH=(P2+P3)/2, где
Р2 и Р3 – сигналы верхнего и нижнего детекторов соответственно, при этом коэффициент коррекции ограничен заранее заданной величиной, определяемой экспериментальным путем для каждого типа реактора индивидуально.
Второй модуль выполнен с возможностью формирования сигнала, инициирующего защитные действия при превышении заданного значения мощности, передаче сигнала превышения заданного значения в систему управления защитой реактора, индикации сигнала и архивирования.
Определение линейного энерговыделения в максимально энергонапряженном ТВЭЛе в третьем модуле производится для заданных координат по высоте активной зоны с использованием заранее табулированных и записанных в третьем модуле значений относительного энерговыделения в ТВЭЛах в зависимости от выработанных эффективных суток, а определение значения величины запаса до достижения предельно допустимого значения линейного энерговыделения производится с использованием заранее табулированных и записанных также в третьем модуле значений относительного энерговыделения и максимально допустимого линейного энерговыделения в зависимости от типа, размещения ТВЭЛа и выработанных эффективных суток для ТВЭЛов с максимальным для активной зоны отношением относительного энерговыделения к максимально допустимому энерговыделению. При этом при уменьшении величины упомянутого запаса до наперед заданного значения происходит формирование сигнала, инициирующего защитные действия. Третий модуль выполнен с возможностью передачи упомянутого сигнала в систему управления реактором.
Также в третьем модуле вычисление величины запаса до достижения кризиса теплообмена для активной зоны осуществляется путем вычисления отношения критического и локального тепловых потоков в заданных координатах канала, включающего наиболее энергонапряженный ТВЭЛ, определение значения вышеназванного отношения и формирования сигнала, инициирующего защиту при уменьшении значения запаса до кризиса теплообмена до наперед заданной величины.
Все три модуля связаны с аппаратурой протоколирования и отображения информации.
Изобретение поясняется чертежами.
На фиг.1 изображена функциональная структура СКНП.
На фиг.2 изображена принципиальная схема взаимодействия функциональных узлов СКНП.
Система включает в себя устройство обработки входных сигналов и формирования сигналов защиты, содержащее первый модуль 1, связанный с, по меньшей мере, тремя датчиками 2, 3, 4 нейтронного потока, датчиками систем технологического контроля реактора – датчиками 5 температуры теплоносителя на входе циркуляционных петель в реактор и датчиками 6 положения органов регулирования. Датчики 2, 3, 4 расположены по вертикальной оси вне корпуса реактора. Один из датчиков – датчик 4 – расположен на уровне середины активной зоны реактора по высоте, а по меньшей мере два других – датчики 2, 3 – выше и ниже середины активной зоны. Первый модуль 1 связан также со вторым модулем 7, который в свою очередь связан с верхним и нижним датчиками 2, 3 нейтронного потока. Третий модуль 8 системы связан и с датчиками систем технологического контроля реактора: датчиками 9 давления в реакторе и датчиками 10 расхода теплоносителя через активную зону реактора с обеспечением поступления в третий модуль 8 сигналов упомянутых датчиков. Второй и третий модули 7, 8 связаны так же с системой управления и защиты реактора для передачи выработанных сигналов.
При этом первый модуль может быть выполнен например в следующем виде: аналого-цифровой преобразователь (АЦП) 11, АЦП 12, узел вычислений 13; второй модуль: узел связи 14, узел вычисления 15, АЦП 16; третий модуль: контроллер 17, процессор 18, АЦП 19, контроллер 20.
Входы АЦП 11 связаны с датчиками 2, 3, 4, а его выход подключен к первому входу узла вычисления 13, второй вход которого связан с выходом АЦП 12, связанного с датчиками 5 температуры теплоносителя на входе циркуляционных петель в реактор и датчиками 6 положения органов регулирования. Узел вычисления 13, выполнен, например на программируемых микросхемах большой степени интеграции (по принципу жесткой логики).
Первый выход узла вычисления 13 связан со входом узла связи 14, выход которого связан с первым входом узла вычисления 15, выполненного например аналогично узлу вычисления 13. По меньшей мере, второй и третий выходы узла вычисления 13 связаны с системой управления и защиты реактора.
Второй вход узла вычисления 15 связан с выходом АЦП 16, входы которого связаны с датчиками 2, 3, со входом аналого-цифрового преобразователя 16. По меньшей мере, три выхода узла вычисления 15 связаны с системой управления и защиты реактора.
Выход АЦП 11 связан также с первым входом контроллера 17, второй вход которого связан с выходом АЦП 12. Выход контроллера 17 подключен к первому входу процессора 18, второй вход которого связан с выходом АЦП 19, входы которого связаны с датчиками 9, 10. Выход процессора связан со входом контроллера 20, по меньшей мере, два выхода которого связаны в свою очередь с системой управления и защиты реактора.
Работает устройство следующим образом.
Сигнал от датчиков 2, 3, 4 нейтронного потока поступает на вход АЦП 11, в котором они переводятся в значения параметров, сигнал от датчиков 5 температуры теплоносителя на входе циркуляционных петель в реактор и датчиков 6 положения органов регулирования поступает на вход АЦП 12, в котором они также преобразуются в значения параметров. С выходов АЦП 11, 12 значения параметров поступают на первый и второй входы узла вычисления 13. В узле 13 производится вычисление аксиального офсета, например, по установленной экспериментальным образом формуле

и коэффициента неравномерности среднего для активной зоны аксиального энергораспределения, например, по установленной также экспериментальным путем формуле
где
zi – координата, для которой определяется kz;
Fn(z, t) – см. стр.14 настоящего описания.
Также в узле 13 вычисляется значение (Wкор) тепловой мощности реактора, откорректированное с учетом поправочных коэффициентов (откорректированное значение тепловой мощности реактора), например, на основании установленной экспериментально зависимости
Сигналы, пропорциональные значениям АО и kz, передаются со второго и третьего выходов узла 13 по средствам связи в аппаратуру протоколирования и отображения информации (например в ЭВМ верхнего уровня, которая формирует изображение – информационные слайды для архивации и индикации). Передача сигнала может осуществляться, например, посредством электрической шины или радиоканала или т.п.
Сигнал, пропорциональный (Wкор) с первого выхода узла 13, поступает на вход узла 14, передающего данный сигнал на первый вход узла вычисления 15. Сигнал датчиков 2, 3 поступает на вход АЦП 16, где обеспечивается прием, преобразование и передача сигналов упомянутых датчиков 2, 3 на второй вход узла вычисления 15.
В узле 15 происходит
– вычисление мощности (WАКНП) реактора
WАКНП=(P2+P3)/2, где
Р2 и Р3 – сигналы верхнего датчика 2 и нижнего датчика 3 соответственно;
– определение коэффициента коррекции kкор=Wкор/WАКНП;
– ограничение коэффициента коррекции в соответствии с заранее заданной величиной с получением ограниченного коэффициента коррекции kкор огр;
– вычисление значения тепловой мощности Wкор(k кор огр) реактора, откорректированного с учетом ограниченного коэффициента коррекции
Wкор(k кор огр)=WАКНП·k кор огр.
Ограничение коэффициента коррекции производится по заранее заданной величине, индивидуальной для каждого типа реактора, которая может быть определена экспериментальным путем.
Полученное откорректированное значение тепловой мощности реактора сравнивается с уставкой, заложенной в узле 15. В случае превышения заданного значения в узле 15 формируется дискретный сигнал защиты и этот дискретный сигнал с одного из выходов узла 15 передается в систему управления и защиты реактора.
В то же время цифровой сигнал, пропорциональный откорректированному с учетом ограниченного коэффициента коррекции значению тепловой мощности Wкор(k кор огр) реактора, передается с другого выхода в аппаратуру протоколирования и отображения информации, например, посредством электрической шины для архивации и индикации. И по отдельному средству связи с третьего выхода, например, по другой шине цифровой сигнал, пропорциональный значению тепловой мощности Wкор(k кор огр) реактора, полученному с учетом ограниченного коэффициента коррекции, передается в систему управления и защиты ректора для управления реактором.
С выхода АЦП 11 также преобразованные сигналы датчиков 2, 3, 4 поступают на первый вход контроллера 17, служащего для приема и передачи сигнала по последовательному каналу. На второй вход контроллера 17 поступают преобразованные сигналы датчиков 5, 6 с выхода АЦП 12. Сигналы поступают в процессор 18. Сигнал от датчиков 9, 10 поступает на вход АЦП 19, обеспечивающего прием, преобразование и передачу сигналов в процессор 18.
В процессоре 18 вычисляется величина запаса до достижения предельно допустимого значения линейного энерговыделения и минимальное значение запаса до кризиса теплообмена, проводится сравнение с уставками и формирование дискретных сигналов защиты. Дискретные сигналы с выхода процессора 18 поступают на вход контроллера 20, служащего для приема и передачи сигналов по последовательному каналу, и с его первого и второго выходов передаются в систему управления и защиты реактора, инициализируя защитные действия.
Одновременно с третьего выхода контроллера 20 значения указанных величин передаются в цифровом виде по соответствующим средствам связи в систему протоколирования и отображения информации для архивации и индикации.
Работоспособность устройства подтверждена экспериментальными исследованиями и математическим обоснованием, в котором алгоритм обработки данных и вычисления величин в модулях представлен следующим образом:
– считываются значения выходных сигналов датчиков;
– сигналы датчиков переводятся в значения параметров;
– из записанных в памяти процессорных модулей таблиц считываются поправочные коэффициенты, соответствующие значениям вышеупомянутых параметров;
– вычисляются значения коэффициентов при базисных функциях;
– вычисляется значение коэффициента неравномерности (kz) среднего для активной зоны аксиального энергораспределения в координатах {Zi; i=1, 10}, равномерно распределенных по высоте активной зоны;
– вычисляется значение аксиального офсета АО;
– вычисляется значение тепловой мощности Wкор реактора, откорректированное с учетом поправочных коэффициентов;
– вычисляется мощность реактора WАКНП;
– определяется коэффициент коррекции kкор и производится его ограничение в соответствии с заранее заданной величиной;
– вычисляется значение мощности, скорректированное с учетом ограниченного коэффициента коррекции;
– вычисляется величина запаса до достижения допустимого значения линейного энерговыделения;
– вычисляется значение запаса до кризиса теплообмена;
– в аппаратуру протоколирования и отображения информации передаются соответствующие значения параметров;
– в систему управления и защиты реактора передаются соответствующие значения параметров.
В основу алгоритма положена следующая зависимость:
где
P(t) – сигнал детектора нейтронов, расположенных в вертикальном канале вне корпуса реактора,
W(t) – количество тепла, выделяемого в реакторе за счет деления ядер (тепловая мощность реактора),
Н – высота активной зоны реактора.
Поправочные коэффициенты, записанные заранее в виде таблиц в узлах вычисления модулей:
 – коэффициент, учитывающий азимутальную неравномерность
энергораспределения,
t – коэффициент, учитывающий изменение температуры теплоносителя в опускном участке корпуса реактора (на входе в реактор),
н – коэффициент, учитывающий деформацию радиального энергораспределения за счет перемещения групп органов регулирования или изменению мощности реактора,
S(z) – весовая функция детектора, т.е. эффективность регистрации детектором нейтронов, рожденных в слое активной зоны, имеющем координату z,
F(z, t) – среднее аксиальное энергораспределение в активной зоне.
Любое реальное распределение может быть аппроксимировано конечным рядом:
где
n(t) – коэффициент разложения в ряд,
n(z) – базисная функция, которая может быть выражена как
, где А – экстраполированная добавка отражателя.
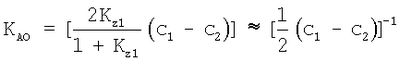
При этом аксиальный офсет определяется как

а коэффициент неравномерности (kz) среднего для активной зоны аксиального энергораспределения определяется как
где zi – координата, для которой определяется kz.
В то же время, базисная функция сформирована специально для минимизации числа членов ряда, необходимого для описания реальных энергораспределений.
В данном случае достаточным является аппроксимация четырьмя членами ряда, причем три коэффициента разложения получаются из показаний трех расположенных в одном вертикальном канале нейтронных детекторов, и четвертый коэффициент – из условия нормировки:

Принята следующая формула разложения:
z ( , Н+ ), где



где х – значение величины.
Нечетные базисные функции нормируются так:

что позволяет установить связь между 3 и 1; , где .
Анализ экспериментальных данных показал, что 2(t) и 4(t) связаны линейной корреляционной зависимостью .
Использование указанных зависимостей и эквивалентных преобразований позволило получить более простую формулу, лежащую в основе алгоритмов вычисления мощности и характеристик энергораспределения:
где
Р=P(t) – сигнал детектора,
W – тепловая мощность реактора,
 = (t) – коэффициент, характеризующий азимутальную неравномерность энергораспределения,
0= 0(t)=[ T(t) H(1)]-1 – величина, обратная произведению определяемых экспериментальным и расчетным путем поправок, учитывающих влияние на сигнал детектора температуры теплоносителя в опускном участке внутри корпуса реактора и радиального энергораспределения,


S=(S3-l)(l+ 1S4), где

Физический смысл формулы (5) в том, что форма аксиального энергораспределения определяется выражением в квадратных скобках, причем величины С и S в процессе эксплуатации почти не изменяются.
Форма энергораспределения определяется с помощью коэффициентов при второй и третьей базисных функциях. Эти коэффициенты вычисляются по соотношениям сигналов детекторов. Например:
где
Р – сигналы детекторов (индекс 2 соответствует верхнему детектору, индекс 3 – нижнему и индекс 4 – среднему детектору).
где k – отношения сигналов детекторов при аксиальном распределении, совпадающем с первой базисной функцией 4(z) из (4)

Откорректированное значение тепловой мощности (Wкор) реактора, прямо пропорциональное W(t), связано с сигналами детекторов через их взвешенную сумму:
где

k1 и k2 – коэффициенты пропорциональности из (5).
Расчет коэффициентов при базисных функциях подразумевает априорное определение констант К, С и S. Операции по определению этих констант проводятся в начале эксплуатации системы контроля нейтронного потока и повторяются при замене, перемещении нейтронных детекторов или изменении аппаратурных коэффициентов преобразования. Эти операции называются калибровкой и практически заключаются в совместной обработке результатов регистрации показаний детекторов и выбранного за эталон среднего аксиального энергораспределения, полученного, например, из показаний системы внутриреакторного контроля (СВРК) или полученного путем расчета при деформации аксиального энергораспределения при постоянном уровне мощности (в частности, за счет перемещения органов регулирования с одновременной компенсацией изменением концентрации растворенного поглотителя).
При калибровке регистрируются и синхронизируются следующие данные:
– текущее время;
– значение тепловой мощности реактора;
– распределение тепловой мощности по секторам активной зоны, расположенным напротив сборок нейтронных детекторов, установленных в вертикальных каналах вне корпуса реактора (по данным термоконтроля);
– температура на входе циркуляционных петель в реактор;
– среднее аксиальное распределение мощности в активной зоне (по данным внутриреакторного нейтронного контроля или по результатам расчета);
– положение органов регулирования;
– число отработанных эффективных суток.
После определения калибровочных коэффициентов последние записываются в процессорные модули всех каналов СКНП.
В качестве примера может быть приведено определение калибровочных коэффициентов, с помощью которых рассчитывается коэффициент при второй гармонике 2

Создается файл экспериментальных данных, куда включаются значения среднего аксиального энергораспределения и значения показаний внереакторных нейтронных детекторов.
Методом наименьших квадратов находятся коэффициенты регрессии уравнения:
b1+b2х=у, где
x=(1-Р3/Р2)(1+Р3/Р2); у= 2;
Далее находятся значения калибровочных коэффициентов:
КАО=b2; К =b1/b2.
Настройка системы выполняется в случае, когда расхождение между значением тепловой мощности, вычисленным в СКНП, отличается от значения тепловой мощности, вычисленной по теплофизическим и гидравлическим параметрам более чем на заданное значение. Настройка СКНП производится путем изменения одного коэффициента. Кроме калибровочных коэффициентов в постоянных запоминающих устройствах процессорных модулей СКНП в табличной форме записаны зависимости используемых в расчетных формулах коэффициентов от внешних параметров (от температуры теплоносителя на входе в реактор, от положения органов регулирования, от мощности, от проработанных эффективных суток). Эти зависимости являются либо экспериментальным, либо определены расчетным путем.
Зависимость поправочного коэффициента от температуры теплоносителя вычисляется с помощью экспоненциальной зависимости ослабления плотности потока нейтронов, испускаемых источником (периферией активной зоны) при прохождении слоя вещества (в данном случае в основном слоя воды в опускном участке и материала корпуса реактора)
где
v – расстояние между источником и внешней границей ослабляющей среды (в данном случае между периферией активной зоны и внешней поверхностью корпуса ректора);
о – плотность потока нейтронов, испускаемых источником;
Li – длина релаксации для нейтронов материала, входящего в ослабляющую среду;
vi – толщина слоя среды, характеризуемого длиной релаксации Li.
Длина релаксации нейтронов в воде зависит от плотности воды (т.е. от температуры и давления).
Зависимость поправочных коэффициентов от положения органов регулирования и мощности реактора рассчитывается с помощью программы БИПР-7, обычно применяемой для расчета характеристик активных зон реактора ВВЭР (см. “Вопросы атомной науки и техники. Физика и техника ядерных реакторов”, “Аннотация программы БИПР-7”, вып.1, М., 1991, стр.32).
Следующий раздел вычислений относится к третьему модулю.
Путем анализа результатов расчетов характеристик активной зоны для данного цикла эксплуатации активной зоны в зависимости от выработанных эффективных суток выделяется критическая группа тепловыделяющих элементов (ТВЭЛ), для которых комплекс является максимальным где
kq – коэффициент, характеризующий относительное значение тепловой мощности, выделяемой в тепловыделяющей сборке (ТВС),
kk – коэффициент, характеризующий относительное энерговыделение данного ТВЭЛа в пределах ТВС;
– предельно допустимое значение линейного энерговыделения с учетом типа ТВЭЛ, его положения и глубины выгорания.
Вычисляется значение максимального линейного энерговыделения для критической группы ТВЭЛ для данного числа выработанных эффективных суток.
где
– среднее для данного состояния активной зоны значение линейного энерговыделения.
, где
WИЗМ – измеренное каналом СКНП значение тепловой мощности реактора,
NТВЭЛ – число ТВЭЛ в активной зоне;
На.з – высота столба топлива в активной зоне;
kz(z) – вычисленные в СКНП по сигналам датчиков нейтронного потока значения аксиального коэффициента неравномерности энерговыделения.
(kqkk)крит в зависимости от выработанных эффективных суток рассчитываются с помощью программы расчета характеристик активных зон реакторов ВВЭР БИПР-7 и мелкосеточной программы ПЕРМАК-360 В, применяемой в данном случае для расчета относительного энерговыделения в отдельных тепловыделяющих элементах (ТВЭЛ), входящих в топливную сборку (ТВС) ВВЭР. (см. “Вопросы атомной науки и техники. Физика и техника ядерных реакторов”, “Аннотация программы БИПР-7”, вып.1, М., 1991 г., стр.32, и М.П.Лизоркин и др. “Аннотация программы ПЕРМАК-360 В”, “Вопросы атомной науки и техники. Физика и техника ядерных реакторов”, вып.1, М., 1991 г, стр.37).
Аналогичные расчеты могут проводиться с помощью других программ, адаптированных к расчетам характеристик активных зон ВВЭР.
Величина запаса до достижения предельно допустимого значения линейного энерговыделения для данного состояния активной зоны:

Значение в зависимости от выработанных эффективных суток для различных типов ТВЭЛ определяется на основании зависимостей, полученных от производителей ТВЭЛ.
В случае, когда оказывается меньше наперед заданного значения, в СКНП формируется сигнал, инициирующий защитные действия.
Запас до кризиса теплообмена (далее – принятое в атомной технике обозначение – DNBR) характеризуется следующими отношениями:
где
Qcr – критический тепловой поток;
Qloc – локальный тепловой поток.
Существуют различные экспериментальные соотношения для определения значения критического теплового потока в зависимости от геометрии, параметров теплоносителя, характеристик потока теплоносителя и энергораспределения в активной зоне. В частности, нами было использовано соотношение ОКБ “Гидропресс” (см. Безруков Ю.А., Астахов В.И. и др. Экспериментальные исследования и статистический анализ данных по кризису теплообмена в пучках стержней для реактора ВВР, журнал “Теплоэнергетика” №2, Москва, 1976 г., стр.35-40 или В.И.Астахов, Ю.А.Безруков и др. Исследования влияния профиля тепловыделения по длине на кризис теплообмена в пучках стержней. Труды семинара “Теплофизическое исследование для обеспечения надежности и безопасности ядерных реакторов водо-водяного типа (ТФ78)”, Будапешт, 1978 г., т.2, стр.589-600).
где
– критический поток без учета аксиального энергораспределения, где
х – относительная энтальпия;
Р – давление в реакторе;
u – весовая скорость теплоносителя с учетом аксиального энергораспределения.

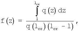
F(z)=[f(z)]n
где
q(z) – аксиальное энергораспределение,
lcr – расстояние от входа в канал до места возникновения кризиса теплообмена lcr-1=0,72 м;
n=3,79-19,61 (P/Pcr)2;
Pcr=22,088 МПа.
Qloc вычисляется для “горячего” канала, т.е. канала, включающего ТВЭЛ, имеющие максимальное энерговыделение. Для такого канала Qloc в каждом сечении:
, где
– среднее линейное энерговыделение для ТВЭЛ активной зоны.
где
W – измеряемая СКНП мощность реактора;
NТВЭЛ – число ТВЭЛ в активной зоне;
На.з. – высота столба топлива в активной зоне;
R – радиус ТВЭЛ;
kq – относительная мощность ТВС;
kk – относительное энерговыделение ТВЭЛ в ТВС;
kz(zi) – коэффициента неравномерности (kz) среднего для активной зоны аксиального энергораспределения для координат zi.
Алгоритм вычисления DNBR в соответствующем процессорном модуле СКНП выглядит следующим образом:
– вычисляется значение путем использования измеренного в СКНП значения мощности;
– для заданных аксиальных координат zi вычисляются значения kz (zi);
– вычисляются значения Qloc(zi) с учетом использования расчетных табулированных значений kq kk для выбранных чисел выработанных эффективных суток;
– вычисляются значения формфактора F(zi) с учетом значения давления в реакторе, поступающего на один из входов процессорного модуля от соответствующего датчика;
– по выбранному соотношению определяется Qcr(zi) (требуемые для вычисления значения переменных u и х для “горячего” канала определяются из записанных в долговременной памяти таблиц на основании информации о давлении в реакторе, мощности реактора, положении органов регулирования, расходе теплоносителя через реактор и температуре теплоносителя на входе в реактор;
– для каждой из координат zi “горячего” канала определяется значение DNBR.

Минимальное из вычисленных значений DNBR(zi) сравнивается с заранее заданным значением и в случае, когда DNBR(zi)minзад вырабатывается сигнал, инициирующий защитные действия.
Объем и структура вводимой и записанной в процессорных модулях информации в совокупности с используемым программным обеспечением обеспечивают скорость обмена вычисляемых значений 10 раз в секунду, что является достаточным для реализации безынерционного контроля и формирования защитных сигналов по соответствующим параметрам.
Таким образом изобретение позволяет повысить уровень защиты реактора и увеличить надежность его эксплуатации, особенно в маневренных режимах, что получило хорошее подтверждение при испытаниях, проведенных на некоторых действующих АЭС.
Формула изобретения
1. Система контроля нейтронного потока ядерного реактора, содержащая датчики нейтронного потока, расположенные по вертикальной оси вне корпуса реактора, и устройство обработки входных сигналов и формирования сигналов защиты, отличающаяся тем, что число датчиков нейтронного потока составляет, по меньшей мере, три, один из датчиков нейтронного потока расположен на уровне середины активной зоны реактора по высоте, а, по меньшей мере, два других – выше и ниже середины активной зоны, а устройство обработки входных сигналов и формирования сигналов защиты выполнено в виде ряда модулей, из которых первый модуль является модулем определения значения аксиального офсета, коэффициента неравномерности среднего для активной зоны аксиального энергораспределения и значения тепловой мощности реактора, откорректированного с учетом поправочных коэффициентов, причем первый модуль связан с, по меньшей мере, тремя датчиками нейтронного потока и датчиками систем технологического контроля реактора: датчиками положения органов регулирования и датчиками температуры теплоносителя на входе циркуляционных петель в реактор, второй модуль является модулем определения значения тепловой мощности реактора, откорректированного с учетом заданного ограничения коэффициента коррекции, и формирования сигналов, инициирующих защитные действия при превышении допустимого значения упомянутой мощности, причем второй модуль связан с первым выходом первого модуля, а также непосредственно с верхним и нижним датчиками нейтронного потока, третий модуль является модулем определения величины запаса до достижения предельно допустимого значения линейного энерговыделения, значения запаса до кризиса теплообмена и формирования сигналов, инициирующих защитные действия при достижении предельных значений указанных запасов, при этом третий модуль связан со вторым выходом первого модуля, а также с датчиками систем технологического контроля реактора: датчиками давления в реакторе и датчиками расхода теплоносителя через активную зону, кроме того второй и третий модули связаны с системой управления и защиты реактора.
2. Система контроля нейтронного потока ядерного реактора по п.1, отличающаяся тем, что в первом модуле записаны заранее табулированные значения поправочных коэффициентов в зависимости от положения органов регулирования реактора, температуры теплоносителя на входе циркуляционных петель в реактор и мощности, выделяемой в активной зоне реактора.
3. Система контроля нейтронного потока ядерного реактора по одному из п.1 или 2, отличающаяся тем, что первый модуль связан с системой управления и защиты реактора с обеспечением возможности передачи в нее значений аксиального офсета и коэффициента неравномерности среднего для активной зоны аксиального энергораспределения для управления реактором.
4. Система контроля нейтронного потока ядерного реактора по одному из п.1 или 2, отличающаяся тем, что коэффициент коррекции определяется как
Kкор=Wкор/WАКНП,
где Wkop – откорректированное значение тепловой мощности, определенное в первом модуле;
WАКНП=(Р2+Р3)/2,
где Р2 и Р3 – сигналы верхнего и нижнего датчиков нейтронного потока соответственно,
при этом коэффициент коррекции ограничен заранее заданной величиной.
5. Система контроля нейтронного потока ядерного реактора по одному из п.1 или 2, отличающаяся тем, что все три модуля связаны с аппаратурой протоколирования и отображения информации.
РИСУНКИ
|