|
|
(21), (22) Заявка: 2006124973/04, 11.07.2006
(24) Дата начала отсчета срока действия патента:
11.07.2006
(46) Опубликовано: 10.11.2007
(56) Список документов, цитированных в отчете о поиске:
RU 2221769 C1, 20.01.2004. RU 2186760 C2, 10.08.2002. GB 1348183 A, 13.03.1974.
Адрес для переписки:
400131, г.Волгоград, пр. Ленина, 28, ВолгГТУ, отдел интеллектуальной собственности
|
(72) Автор(ы):
Бутов Геннадий Михайлович (RU), Мохов Владимир Михайлович (RU), Кунаев Роман Уазерович (RU)
(73) Патентообладатель(и):
Государственное образовательное учреждение высшего профессионального образования Волгоградский государственный технический университет (ВолгГТУ) (RU)
|
(54) СПОСОБ ПОЛУЧЕНИЯ 3-БРОМАДАМАНТИЛ-1-АЛКИЛ(АРИЛ)КЕТОНОВ
(57) Реферат:
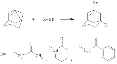
Изобретение относится к способу получения 3-бромадамантил-1-алкил(арил)кетонов общей формулы

которые могут представлять интерес в качестве полупродуктов в синтезе некоторых биологически активных веществ. Способ заключается во взаимодействии 1,3-дегидроадамантана с -бромкетонами из ряда: -бромацетон, -бромацетофенон, -бромциклогексанон при мольных соотношениях реагентов, равном соответственно 1:2-3, в среде абсолютного диэтилового эфира при температуре 34-40°С в течение 3-4 часов. Способ позволяет получить заявленные соединения с высоким выходом.
Изобретение относится к химии производных адамантана, а именно к новому способу получения 3-бромадамантил-1-алкил(арил)кетонов общей формулы

которые могут представлять интерес в качестве полупродуктов в синтезе некоторых биологически активных веществ.
Известен способ синтеза 3-бром-1-адамантанкарбоновой [Stetter Н., Mayer J. Chem.Ber. 1962, 95, 667] и 3-бром-1-адамантилуксусной кислоты [Bott К. Chem.Ber. 1968, 101, 564-573] путем прямого бромирования 1-адамантанкарбоновой или 1-адамантилуксусной кислот в присутствии или в отсутствие катализатора.
Недостатком этого метода является как ограниченное число синтезируемых соединений, так и то, что этим способом невозможно получить соединения заявляемой структурной формулы; требуются химические превращения, с помощью которых возможно получение заявляемых соединений, но которые также не описаны в литературе.
Наиболее близким к предлагаемому изобретению является способ получения 3-бромадамантил-1-ацетона из 1,3-дибромадамантана и изопропенилацетата в присутствии бромистого алюминия в качестве катализатора с выходом 76% (Патент РФ №2221769. С07С 49/115, 49/15, 45/46. Опубл. 22.24.2002].
Недостатками этого метода является необходимость использования значительною количества бромистого алюминия и растворителя, необходимость стадии нейтрализации и отмывки катализатора, который безвозвратно теряется и не подлежит регенерации. Кроме этого, данным способом получают только одно из соединений заявляемой структурной формулы.
Задачей предлагаемого изобретения является разработка технологичного малостадийного метода синтеза 3-бромадамантил-1-алкил(арил)кетонов, протекающего с высоким выходом по исходному адамантану.
Техническим результатом является расширение ассортимента химических соединений, в частности получение новых 3-бромадамантил-1-алкил(арил)кетонов с высоким выходом.
Поставленный технический результат достигается в новом способе получения 3-бромадамантил-1-алкил(арил)кетонов общей формулы

с использованием производного адамантана, отличающемся тем, что в качестве производного адамантана используют 1,3-дегидроадамантан, процесс заключается во взаимодействии 1,3-дегидроадамантана с -бромкетонами из ряда: -бромацетон, -бромацетофенон, -бромциклогексанон, при мольных соотношениях реагентов, равных соответственно 1:2-3, в среде абсолютного диэтилового эфира при температуре 34-40°С в течение 3-4 часов.

Сущностью метода является реакция получения 3-бромадамантил-1-алкил(арил)кетонов по реакции присоединения к 1,3-дегидроадамантану соответствующих -бромкетонов.
Реакция основана на ранее неизвестных свойствах 1,3-дегидроадамантана взаимодействовать по связи углерод-галоген в алифатических, алициклических и жирноароматических кетонах, содержащих бром в -положении к карбонильной группе. Реакция является неизвестной, так как в литературе отсутствуют сведения о взаимодействии 1,3-дегидроадамантана с -бромкетонами или родственными им соединениями, равно как и отсутствуют сведения о получении и свойствах соединений заявляемой структурной формулы. Взаимодействие является возможным благодаря высокой подвижности атома брома в -бромкетонах, создаваемой электронноакцепторным влиянием расположенной у ближайшей метиленовой (метиловой) группы карбонильной группы.
Способ осуществляется следующим образом.
К 2-3-кратному мольному избытку соответствующего -бромкетона приливают раствор 1,3-дегидроадамантана в легкокипящем инертном растворителе (диэтиловый эфир), при этом наблюдается экзотермический эффект. Раствор 1,3-дегидроадамантана и -бромкетона в диэтиловом эфире нагревают в течение 3-4 часов при температуре кипения реакционной смеси (34-40°С), после чего растворитель и избыток исходного -бромкетона отгоняют в вакууме водоструйного насоса. Возможна регенерация исходных -бромкетонов путем их отгонки из реакционной смеси и организация рецикла с добавлением рассчитанного количества свежего -бромкетона. Синтезированные 3-бромадамантил-1-алкил(арил)кетоны очищают вакуумной перегонкой. Выходы данных продуктов составляют 59-86%.
Как показали проведенные исследования, оптимальным условием проведения реакции присоединения -бромкетонов к 1,3-дегидроадамантану является ее осуществление в среде абсолютного диэтилового эфира при мольном соотношении 1,3-дегидроадамантан : -бромкетон = 1:2-3. Использование стехиометрического соотношения приводило к некоторому снижению выхода целевых продуктов за счет возможной гомополимеризации 1,3-дегидроадамантана и его неполной конверсии. Дальнейшее увеличение избытка -бромкетона не влияло на выход целевых продуктов и являлось нецелесообразным в связи с лакримирующим действием -бромкетонов. Оптимальной температурой реакции является 34-40°С, позволяющая проводить синтез при кипении диэтилового эфира. Повышение температуры и использование более высококипящих растворителей нецелесообразно в связи с достаточно высокой скоростью реакции и невысокой термической стабильностью большинства -бромкетонов. Оптимальной продолжительностью процесса является 3-4 часа. При этом наблюдалась полная конверсия 1,3-дегидроадамантана.
Строение синтезированных соединений подтверждено ЯМР 1Н-спектроскопией и элементным анализом.
Изобретение иллюстрируется следующими примерами.
Пример 1.
3-Бромадамантил-1-ацетон

К 9 г (0,066 моль) -бромацетона в атмосфере сухого азота при комнатной температуре прикапывают раствор 3 г (0,022 моль) свежевозогнанного 1,3-дегидроадамантана (соотношение 1,3-ДГА : -бромацетон = 1:3) в 20 мл абсолютного диэтилового эфира, после чего реакционную смесь кипятят при температуре 34-40°С в течение 3 часов, после чего растворитель и избыток -бромацетона удаляют перегонкой в вакууме водоструйного насоса, остаток перегоняют в вакууме и получают 3,7 г (0,0136 моль, 62%) 3-бромадамантил-1-ацетона. Ткип.=196-197°С /20 мм рт.ст., n20 D 1.5358. Спектр ЯМР 1Н, , м.д.: 1,45, 1,63, 2,09 (14 Н, адамантил-1,3), 2,27 с (3Н, СН3), 2,32 с (2Н, СН2С(О)).
Найдено, %: С 57,64, Н 6,93, Br 29,55. С13Н19OBr. Вычислено, %: С 57,56, Н 7,01, Br 29,52.
Пример 2.
2-(3-Бромадамантил-1)циклогексанон

К 9,74 г (0,055 моль) -бромциклогексанона в атмосфере сухого азота при комнатной температуре прикапывают раствор 3 г (0,022 моль) свежевозогнанного 1,3-дегидроадамантана (соотношение 1,3-ДГА : -бромциклогексанона = 1: 2,5) в 20 мл абсолютного диэтилового эфира, после чего реакционную смесь кипятят при температуре 34-40°С в течение 4 часов, после чего растворитель и избыток -бромциклогексанона удаляют перегонкой в вакууме водоструйного насоса, остаток перегоняют в вакууме и получают 4,04 г (0,013 моль, 59%) 2-(3-бромадамантил-1)циклогексанона в виде вязкого масла, при стоянии кристаллизуется. Ткип=245-247°С /20 мм рт. ст. Спектр ЯМР 1Н, , м.д.: 1,19-2,30 (14 Н, адамантил-1,3+6Н, -(СН2)3-), 2,16, 2,203 с (1+2Н, – СНС(O)СН2-).
Найдено, %: С 61,80, Н 7,32, Br 25,77. С16Н23OBr. Вычислено, %: С 61,74, Н 7,39, Br 25.72.
Пример 3.
(3-Бромадамантил-1-метил)фенилкетон.

К 6,0 г (0,03 моль) этилового эфира -бромацетофенона в атмосфере сухого азота при комнатной температуре прикапывают раствор 2 г (0,015 моль) свежевозогнанного 1,3-дегидроадамантана (соотношение 1,3-ДГА : -бромацетофенон = 1:2) в 15 мл абсолютного диэтилового эфира, после чего реакционную смесь кипятят при температуре 34-40°С в течение 3 часов, после чего растворитель и избыток -бромацетофетона удаляют перегонкой в вакууме водоструйного насоса, остаток перегоняют в вакууме и получают 4,1 г (0,0123 моль, 82%) (3-бромадамантил-1-метил)фенилкетона. Ткип=248-249°С/10 мм рт.ст. Спектр ЯМР 1Н, , м.д.: 1,12, 1,62, 2,01, 2,20 (14 Н, адамантил-1,3); 2,66 с (2Н, СН2С(О)); 7,34, 7,42, 7,81 3 м (2+1+2Н, C6H5).
Найдено, %: С 64,93, Н 6,24, Br 24,07. C18H21OBr. Вычислено, %: С 64,86, Н 6,31, Br 24,02.
Выводы
Разработан новый одностадийный способ получения 3-бромадамантил-1-алкил(арил)кетонов, позволяющий получать соединения заявляемой структурной формулы с высокими выходами. Структура полученных соединений подтверждена ЯМР1H-спектроскопией и элементным анализом.
Формула изобретения
Способ получения 3-бромадамантил-1-алкил(арил)кетонов общей формулы

с использованием производного адамантана, отличающийся тем, что в качестве производного адамантана используют 1,3-дегидроадамантан, процесс заключается во взаимодействии 1,3-дегидроадамантана с -бромкетонами из ряда: -бромацетон, -бромацетофенон, -бромциклогексанон, при мольных соотношениях реагентов, равных соответственно 1:2-3, в среде абсолютного диэтилового эфира при температуре 34-40°С в течение 3-4 ч.
MM4A – Досрочное прекращение действия патента СССР или патента Российской Федерации на изобретение из-за неуплаты в установленный срок пошлины за поддержание патента в силе
Дата прекращения действия патента: 12.07.2008
Извещение опубликовано: 10.07.2010 БИ: 19/2010
|
|