|
|
(21), (22) Заявка: 2006112755/15, 18.04.2006
(24) Дата начала отсчета срока действия патента:
18.04.2006
(43) Дата публикации заявки: 20.10.2006
(46) Опубликовано: 10.11.2007
(56) Список документов, цитированных в отчете о поиске:
RU 2091389 C1, 27.09.1997. WO 89/06134 A1, 13.07.1989. ЕР 327263 A1, 09.08.1989. RU 2189806 С1, 27.09.2002. реф. Holick MF et al. Clinical uses for calciotropic hormones 1,25-dihydroxyvitamin D3 and parathyroid hormone-related peptide in dermatology: a new perspective. J. Investig Dermatol Symp Proc. 1996; 1 (1): 1-9.
Адрес для переписки:
143396, Московская обл., Наро-Фоминский р-н, п/о Птичное, к/п “Согласие”, ул. Весенняя, 4, Л.Ю.Брежневу
|
(72) Автор(ы):
Осипов Василий Николаевич (RU), Брежнев Леонид Юрьевич (RU)
(73) Патентообладатель(и):
Брежнев Леонид Юрьевич (RU)
|
(54) СРЕДСТВО ДЛЯ СТИМУЛЯЦИИ РОСТА ВОЛОС, ЕГО ВАРИАНТЫ И СПОСОБ ЕГО ПОЛУЧЕНИЯ
(57) Реферат:
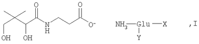
Изобретение относится к косметической промышленности и фармакологии и касается применения производных пантотеновой кислоты, а именно аммонийной соли пантотеновой кислоты с пептидом Glu-Trp следующей формулы I:

где Х=ОН, Trp; Y=OH, Trp,
а также конъюгата пантотеновой кислоты с пептидом Glu-Trp следующей формулы II:

где Х=ОН, Trp; Y=OH, Trp,
в качестве стимуляторов роста и для укрепления корней волос, а также способа получения этих производных. Изобретение позволяет получить высокоэффективное средство. 4 н.п. ф-лы, 1 табл., 1 ил.
Изобретение относится к косметическим средствам, в частности к стимулирующим рост волос, а также касается способов получения биологически активных производных пантотеновой кислоты.
Нарушения нормального роста волос, вплоть до полного их выпадения, могут иметь разные причины, но независимо от этого такие патологические проявления имеют достаточно значимый социальный характер.
Первые попытки улучшать рост волос предпринимались еще приблизительно 5000 лет назад в древних египетских рецептах. В настоящее время в развитых странах около 50-100 миллионов человек страдает потерей волос на голове, на фоне сравнительно небольшого прогресса в области получения эффективных составов и методов против выпадения волос и для стимулирования их роста.
Наиболее применяемым и эффективным методом восстановления волос (наряду с трансплантацией и средствами нетрадиционной медицины) является лекарственная терапия. Однако использование лекарств встречается с большими ограничениями. Одними из самых эффективных препаратов являются «Миноксидил» (UpJohn Inc., Пат. US 4596812) и «Аминексил» (Лаборатории VICHY).
Пантотеновая кислота – витамин группы В (Витамин В5); по химической природе – дипептид, состоящий из остатков аминокислоты -аланина и пантоевой кислоты. Известно, что пантотеновая кислота и ее различные активные производные являются внутренним фактором, важным для протекания метаболических процессов в тканях кожи, а также она специфична в отношении роста и пигментации волос (Пат. US 3376334A, 17.06.65). Недостаток пантотеновой кислоты в организме животных приводит к нарушениям обмена веществ, на основе которых развиваются дерматиты, депигментация и потеря волос, шерсти или перьев (В.М.Березовский. Химия витаминов. М., 1973, с.69). Однако попытки получить эффективное средство, стимулирующее рост волос на основе пантотеновой кислоты, провалились.
Несмотря на это пантотеновая кислота была предложена как составная часть средств для роста волос (JP 11246360, JP 2001288043, JP 2002316918, JP 2004091390). Наряду с пантотеновой кислотой в состав этих средств входят различные биологически активные вещества, в том числе природного происхождения, позволяющие в комплексе ингибировать выпадение и стимулировать рост волос.
Пептиды тимуса обладают ярко выраженными иммуномодулирующими свойствами, они осуществляют также тканеспецифическое действие, направленное на восстановление нормального функционирования иммунных клеток (В.Г.Морозов, В.Х.Хавинсон, В.В.Малинин. Пептидные тимомиметики. С-П., Наука, 2000, с.33). Пептиды, выделенные из тимуса, восстанавливают иммунологическую реактивность клеток кожи, регулируют реакции клеточного иммунитета, стабилизируют обмен веществ в клетках кожи, стимулируют репаративные процессы. Эти пептиды активизируют также рост волосяных фолликулов, что способствует укреплению корней волос и ускорению роста волос, и входят в состав некоторых средств для волос. Эти препараты представляют собой набор полипептидов различной длины, воздействующих на различные звенья иммунного ответа, а также на ряд других физиологических функций организма, что ведет к появлению нежелательных побочных эффектов. Кроме того, практическое использование таких препаратов затруднено в связи со сложностью способов их извлечения из природного сырья, малым выходом, значительной вариабельностью их физико-химических свойств. Последнее обстоятельство явилось стимулом для создания синтетических пептидов, обладающих иммунорегуляторными свойствами.
Большой интерес представляет создание пептидных иммуностимуляторов на основе коротких, селективно действующих высокоактивных пептидов, синтез которых является экономически выгодным. Из тимуса выделен ряд коротких пептидов, обладающих иммунобиологической активностью (В.Г.Морозов, В.Х.Хавинсон, В.В.Малинин. Пептидные тимомиметики. С-П., Наука, 2000, с.63-64). Некоторые химически синтезированные пептиды широко применяются в медицинской практике (например Glu-Trp (тимоген, WO 8906134), Lys-Glu (вилон)).
Предложены некоторые синтетические пептидные тимомиметики ( -Glu-Trp (Бестим, RU 2091389), Ile-Glu-Trp (Неоген, RU 2107691, WO 9626955, US 6159940) как иммунорегуляторы.
Тимоген (Glu-Trp) предложен как основной компонент для средства по уходу за кожей (Пат. RU 2008894), помогая восстанавливать защитные свойства кожи. Тимоген является ближайшим аналогом представленного изобретения.
По данным авторов в патентной и научной литературе отсутствуют сведения о совместном применении пантотеновой кислоты и иммуноактивных пептидов для косметических средств, также отсутствуют сведения о способах получения солей и конъюгатов пантотеновой кислоты и пептидов.
Целью данного изобретения является получение веществ, ускоряющих рост волос и укрепляющих корни волос.
Цель достигается получением производных пантотеновой кислоты и пептидов, являющихся тимомиметиками, и использование их в косметических средствах для волос.
Нами получена аммонийная соль пантотеновой кислоты с пептидами следующей формулы I

где в соединениях 1 Х=Trp, Y=ОН; 2Х=ОН, Y=Trp; 3Х=Trp, Y=Trp,
а также получен конъюгаты пантотеновой кислоты с пептидами следующей формулы II

где в соединениях 1а Х=Trp, Y=ОН; 2а Х=ОН, Y=Trp; 3а Х=Trp, Y=Trp,
обладающие свойствами стимулирования роста волос.
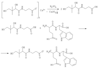
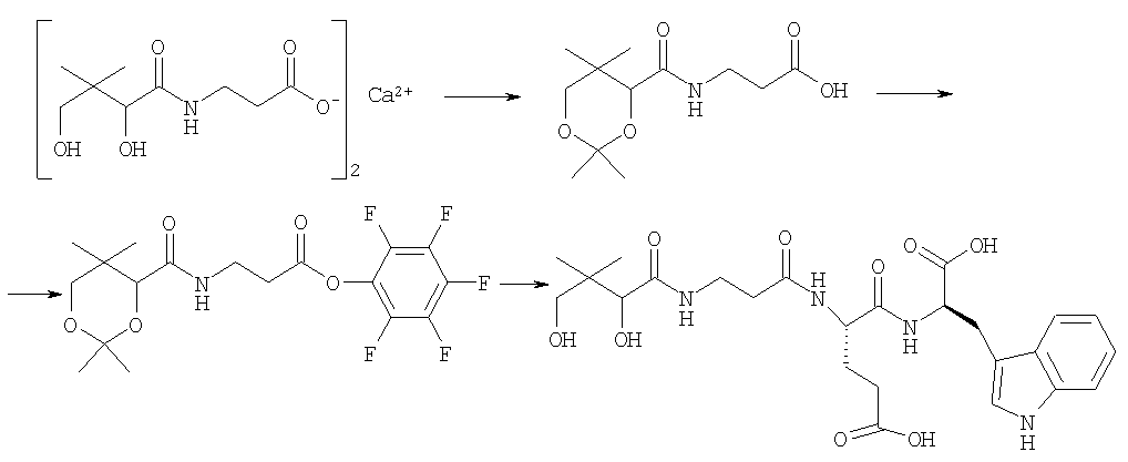
Аммонийные соли пантотеновой кислоты с пептидами получали способом, заключающимся в получении пантотеновой кислоты из пантотената кальция обработкой его серной кислотой, затем образовании аммонийной соли посредством кипячения водно-спиртового раствора пантотеновой кислоты и пептида.
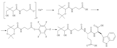
Конъюгаты пантотеновой кислоты с пептидоми могут быть получены образованием амидной связи любым известным способом, применяемым в пептидной химии. Предпочтительно использовать метод активированных эфиров, используя пентафторфениловый эфир пантотеновой кислоты. Гидроксильные группы пантотеновой кислоты предпочтительно предварительно защищать ацетальной группой, с ее последующим снятием. Предпочтительный способ получения конъюгатов пантотеновой кислоты заключается в том, что гидроксильные группы пантотеновой кислоты защищают 2,2-диметоксипропаном, образуя таким образом ацетальную защиту, затем получают пентафторфениловый эфир защищенной пантотеновой кислоты, проводят его дальнейшее взаимодействие с пептидом с образованием амидной связи, снимают ацетальную защиту, выделяя целевой продукт.
Пептиды, приведенные в описании, могут быть приготовлены химическим синтезом, используя методы, известные в химии пептидов, такие как твердофазный синтез (Merrifield, 1964, J. Am. Chem. Soc. 85: 2149-2154) или синтез в гомогенном растворе (Houbenweyl, 1987, Methods of Organic Chemistry, ed. E. Wansch, Vol.15 I и II, Thieme, Stuttgart).
Заявляемые соединения могут быть использованы в различных косметических средствах для волос: таких как кремы, маски, бальзамы, шампуни, тоники и др. В состав средства может входить одно или оба из заявляемых соединений.
Пантотеновая кислота не токсична (токсичность на кроликах >2000 мг/кг внутривенно) (В.М.Березовский, Химия витаминов. М., 1973, с.72).
Результаты исследований показали, что при внутрибрюшном введении 1000-кратной дозы описываемые пептиды не оказывали острого токсического действия и при этих дозах оказалось невозможным достигнуть их LD50 (RU 2091389, WO 9640740).
Полученные соединения не вызывают аллергических реакций, в организме не кумулируются и хронической токсичностью не обладают.
Технический результат
Результат – восстановление волосяного покрова, достигается путем нанесеня раствора аммонийной соли соединения 1 на кожу головы в местах потери волос.
Нами получены следующие данные: через месяц лечения у 94,3% пациентов отмечалось улучшение состояния подкожно-жировой клетчатки (увеличивалась ее толщина), оживление фолликулярного аппарата. При оценки результатов через три месяца у 34,4% пациентов с очаговыми формами алопеции наблюдалось полное восстановление волосяного покрова, 62,7% – хороший рост остистых волос в очагах.
У больных с тотальной формой алопеции наблюдался рост остистых волос на коже скальпа в 25,2% испытуемых и у 38,9% рост пушковых волос.
При оценки результатов проводимого исследования через пять месяцев у 84,1% пациентов с очаговыми формами заболевания отмечалась клиническая ремиссия, у 47,2% больных с тотальной формой заболевания наблюдалось восстановление остистых волос более чем на 50% скальпа.
Все без исключения пациенты хорошо переноси лечение, субъективных жалоб не предъявляли. Побочные явления не были отмечены ни у одного больного.
Сущность изобретения иллюстрируется в следующих примерах.
Пример 1
Получение соли пантотеновой кислоты с Glu-Trp (соед. 1)

Пантотенат кальция 86 мг (1,81·10-4 моль) растворяют в 2 мл воды, подкисляют 0,09 мл 10%-ного раствора Н2SO4, выпавший сульфат кальция отфильтровывают. Промывают на фильтре 2 мл абсолютного спирта.
К полученному раствору добавляют суспензию 130 мг (3,62·10-4 моль) тимогена в 10 мл воды. Реакционную смесь кипятят в течение часа. Растворитель упаривают досуха, остаток в виде масла растирают в эфире. Получают аморфный порошок светло-коричневого цвета. Выход 201 мг (96%).
Аналогично получены соли пантотеновой кислоты с остальными описанными пептидами (соединения 1-3 в таблице).
Пример 2
Получение конъюгата Glu-Trp с пантотеновой кислотой.

1. Получение ацетонида пантотеновой кислоты
К суспензии 5,00 г (10,5 ммоль) пантотената кальция и 0,94 г (10,5 ммоль) безводной щавелевой кислоты в ацетоне приливают 7,1 мл (0,058 моль) 2,2-диметоксипропана, кипятят в присутствии молекулярного сита 4Å в течение 15 часов (контроль ТСХ). Отфильтровывают осадок оксалата кальция, отгоняют ацетон, остаток растворяют в этилацетате, промывают водой и сушат над сульфатом магния. Растворитель отгоняют, остаток растирают в гексане, получают 4,5 г белых не требующих дополнительной очистки кристаллов (Выход 78%).
Тпл=87-89°С.
ТСХ: хлороформ:метанол – 3:1 (Sorbfil, проявитель 1% KMnO4), Rf=0,46.
2. Получение пентафторфенилового эфира ацетонида пантотеновой кислоты
Растворяют 1 г (3,30 ммоль) ацетонида пантотеновой кислоты и 0,68 г (3,68 ммоль) пентафторфенола в 30 мл безводного хлористого метилена, смесь охлаждают до -10°С, присыпают 0,76 г (3,68 ммоль) дициклогексилкарбодиимида и перемешивают при -10-0°С три часа, затем 4 часа при 20°С (контроль ТСХ).
Отфильтровывают осадок дициклогексилмочевины, отгоняют растворитель, кристаллизуют из гексана. Получают 1,1 г (72%) пентафторфенилового эфира ацеталя пантотеновой кислоты.
Tпл=112-114°C.
ТСХ: хлороформ (Sorbfil, проявитель 1% KMnO4), Rf=0,40.
3. Получение конъюгата пантотеновой кислоты с Glu-Trp
Готовят 4 мл 1М раствора комплекса хлористого цинка с пиридином в ДМФА. Растворяют в нем 0,12 г (0,34 ммоль) пептида и 0,19 г (0,4 ммоль) пентафторфенилового эфира, полученного в п.2, добавляют 5 мас.% имидазола, перемешивают при 40°С 10 часов (контроль ТСХ).
По окончании реакции отгоняют ДМФА, добавляют к остатку 10 мл 0,5М раствора соляной кислоты, перемешивают 30 мин. Реакционную массу экстрагируют этилацетатом и сушат над сульфатом магния. Растворитель отгоняют, остаток растирают в эфире, получают 0,09 г (43%) желтых кристаллов, которые перекристаллизовывают из этилацетата/метанола 1:1.
Тпл=145-147°С.
ТСХ: хлороформ:метанол:уксусная к-та – 8:1:1 (Sorbfil, проявитель 1% KMnO4), Rf=0,15.
Аналогично получены конъюгаты пантотеновой кислоты с остальными пептидами (соединения 1а-3а в таблице).
| Таблица |
| Характеристики солей пантотеновой кислоты с пептидами (соединения 1-3) и конъюгатов пантотеновой кислоты с пептидами (соединения 1а-3а). |
| Пептид |
№ соед |
Выход |
№ соедин |
Выход |
Rf |
| |
инения |
|
ения |
|
|
| Glu-Trp |
1 |
96 |
la |
55 |
0,15 |
-Glu-Trp |
2 |
98 |
2а |
47 |
0,16 |
| Glu(Trp)-Trp |
3 |
96 |
3а |
60 |
0,21 |
Пример 3
Фармакологические исследования были проведены на 40 беспородных мышах (по 5 самца и 5 самки на каждое соединение и контрольная группа) массой 20-22 г. Животные подбирались одного половозрелого возраста без поражений волосяного покрова. Контрольная и опытная группы содержалась в одинаковых условиях вивария и на стандартном рационе. У мышей была гладко выбрита область в нижней части спины.
Определение специфического фармакологического действия осуществлялось путем нанесения экспериментальной группе животных 1%-ных растворов исследуемых соединений в 50%-ном водном диметилсульфоксиде по 100 мг на один эпилированный участок кожи, однократно, в одно и то же время суток, при помощи легкого массажа. Обработка проводилась 1, 2, 4 и 5 дни. Контрольной группе животных на эпилированный участок кожи наносилась чистая основа.
Рост волос (маленький серый мех, хорошо видимый на фоне розовой кожи) наблюдался у мышей, обработанных соединением 1, уже на 2-й день.
На 5-й день после начала обработки рост волос был выявлен на всех мышах, обработанных солями и конъюгатоми пантотеновой кислоты с пептидоми. Значительный рост у мышей, обработанных описываемыми соединениями, наблюдался на 7 день (чертеж). В областях применения растворов исследуемых веществ воспаления, высыхания кожи, или любых других побочных эффектов на коже не наблюдалось. В контрольной группе мышей на 7-й день эффекта роста волос не выявлено (чертеж).
Чертеж
Контрольная мышь (слева) и мышь, обрабатываемая соединением 1, на 7-й день после начала эксперимента (справа).
Формула изобретения
1. Применение производных пантотеновой кислоты, а именно аммонийных солей с пептидами, формулы I

где Х=ОН, Trp; Y=OH, Trp,
в качестве стимулятора роста волос.
2. Применение производных пантотеновой кислоты, а именно конъюгатов пантотеновой кислоты с пептидами, формулы II

где Х=ОН, Trp; Y=OH, Trp,
в качестве стимулятора роста волос.
3. Способ получения аммонийных солей пантотеновой кислоты с пептидоми по п.1, заключающийся в получении пантотеновой кислоты из пантотената кальция обработкой его серной кислотой, затем образование аммонийных солей посредством кипячения водно-спиртового раствора пантотеновой кислоты и пептидов.
4. Способ получения производных пантотеновой кислоты по п.2, заключающийся в том, что гидроксильные группы пантотеновой кислоты защищают ацетальной группой с помощью 2,2-диметоксипропаном, получают пентафторфениловый эфир защищенной пантотеновой кислоты, проводят его дальнейшее взаимодействие с пептидами с образованием амидной связи, затем снимают ацетальную защиту.
РИСУНКИ
|
|