|
|
(21), (22) Заявка: 2005130867/14, 05.10.2005
(24) Дата начала отсчета срока действия патента:
05.10.2005
(43) Дата публикации заявки: 10.04.2007
(46) Опубликовано: 10.11.2007
(56) Список документов, цитированных в отчете о поиске:
ЕР 1358842 А1, 05.11.2003. RU 2212842 C2, 27.09.2003. RU 2257613 C2, 17.07.2005. RU 2256223 C2, 10.07.2005. S. Parthasaradhi et al. Improvement of an algorithm for recognition of liveness using perspiration in fingerprint devices. Proc. SPIE, vol. 5404, p.270-277. RU 51430 U1, 10.02.2006. Кухарев Г.А. Биометрические системы. Методы и средства идентификации личности человека. – СПб.:, Политехника, 2001, с. 33-38.
Адрес для переписки:
190005, Санкт-Петербург, ул. 1-я Красноармейская, 1, ООО “НПП “Лазерные системы”, генеральному директору А.С. Борейшо
|
(72) Автор(ы):
Борейшо Алексей Анатольевич (RU), Дружинин Сергей Леонидович (RU), Савин Андрей Валерьевич (RU), Страхов Сергей Юрьевич (RU), Толмачев Игорь Анатольевич (RU), Чакчир Сергей Яковлевич (RU)
(73) Патентообладатель(и):
Общество с ограниченной ответственностью “Научно-производственное предприятие “Лазерные системы” (RU)
|
(54) СПОСОБ РАСПОЗНАВАНИЯ ПРИНАДЛЕЖНОСТИ ОТПЕЧАТКА ПАЛЬЦА ЖИВОМУ ИЛИ НЕЖИВОМУ ЧЕЛОВЕКУ
(57) Реферат:
Изобретение предназначено для анализа и распознавания папиллярных узоров отпечатков пальцев в различных областях информационных технологий, в области судебной медицины и криминалистики. Способ позволяет установить, жив ли человек, отпечаток пальца которого предъявлен для идентификации. Пользователь должен быть зарегистрирован путем получения отпечатка пальца, формирования паспорта папиллярного узора, включающего оцифровывание и цифровое кодирование изображения отпечатка пальца, и сохранения данных папиллярного узора. Одновременно с формированием паспорта осуществляется дополнительное кодирование, заключающееся в математической обработке оцифрованного изображения отпечатка пальца для его представления в виде математической функции, вид которой является характерным и которая имеет характерные точки. Значения математической функции в характерных точках используют для определения критерия принадлежности отпечатка пальца живому или неживому человеку. В качестве математической функции может быть использована приведенная автокорреляционная функция (ПАФ), а для определения критерия вычисляют разницу между величиной второго локального максимума и минимума ПАФ. Изобретение позволяет упростить способ распознавания принадлежности отпечатка пальца живому или неживому человеку, повысить быстродействие и достоверность результатов распознавания, снизить затраты на технические средства. 6 ил.
Предлагаемое изобретение относится к области биометрии и может быть использовано для анализа и распознавания папиллярных узоров отпечатков пальцев в различных областях информационных технологий, таких как системы управления доступом, информационная безопасность, а также в области судебной медицины и криминалистики.
Идентификация личности с помощью биометрических технологий является в настоящее время одним из перспективных, бурно развивающихся направлений, среди которых методы и средства, использующие отпечатки пальцев, занимают одно из ведущих мест.
Проблема отличия «живых» биометрических данных, полученных от их реального носителя, от «неживых» – муляжей или, в наихудшем случае, отрубленного (отчужденного) пальца, является одной из главных проблем современной биометрии. На сегодняшний день в технической и патентной литературе предлагается целый ряд способов решения указанной проблемы. Условно все эти способы можно разделить на две основные группы: технические и организационные.
1. Технические способы защиты реализуются либо на уровне программного обеспечения, работающего с изображением, либо на уровне считывающего устройства. Защита на уровне считывающих устройств связана с модификацией сканирующей системы, которая обеспечивает возможность определения дополнительных параметров, присущих только «живым» носителям.
К этой группе можно отнести способы, реализованные в системе персональной биометрической идентификации (см. патент US №5719950, МПК G06K 9/00, опубл. 1998.02.17, аналог – международная заявка WO 9526013, опубл. 1995.09.28.). Для защиты от фальсификаций, например для предотвращения возможности получения права доступа с использованием фальсифицированных или отрезанных пальцев, в патенте предлагается дополнительно к снятию отпечатка пальца удостовериться в том, что личность с данным отпечатком является живым человеком. Для идентификации в системе используется комбинация уникальных биометрических параметров, которые сравниваются с базой данных. В патенте описываются также различные способы электронной идентификации личности, с помощью которых можно установить, жив ли человек, отпечаток пальца которого предъявлен для идентификации. К этим способам относится снятие частоты пульса или прием электрокардиографических сигналов, измерение содержания кислорода в крови, температуры кожи, давления крови или механических свойств поверхности кожи.
В статье (S.Kurt, «Biometrics – what you need to know”, Security Portal 10, Jan. 2001) описан способ распознавания изображения, в котором используется трехмерное лазерное сканирование папиллярной структуры пальца и пульса.
Известна также аппаратура, предназначенная для распознавания отпечатков пальцев, в которой реализован способ, основанный на диэлектрических свойствах пальца (см. патент US №6175641, МПК G06K 9/20, опубл. 2001.01.16, приоритет Венгрии 1996.10.04., аналоги: WO 9714111, ЕР 0853795, HU 214533). В патенте описан датчик для распознавания принадлежности пальца живому человеку. Датчик представляет собой сканер, на рабочей поверхности которого расположена система электродов, изготовленная из электропроводного материала. При приложении пальца к рабочей поверхности сканера он покрывает эти электроды. Вне области приложения пальца имеется электрический образец, соединенный с электродами. Он реагирует на изменения электрических свойств электродов при приложении к ним пальца.
Общим недостатком описанных выше способов является сложность и большие габариты устройств, с помощью которых реализуются способы. Это обусловлено необходимостью использования специальных технических средств для измерения физиологических или биометрических параметров, присущих только «живым» носителям, что повышает стоимость оборудования и усложняет проведение процедуры распознавания.
Известны также способы и системы, построенные на основе изменения электрических свойств пальца. В качестве примера можно привести способ распознавания свойств живого организма кожи человека (см. патент РФ на изобретение №2212842, кл. А61В 5/053, А61В 5/117, опубл. 2003.09.27, приоритет DE 1998.07.09). Способ предназначен для того, чтобы при проверке отпечатков пальцев удостовериться, что отпечатки принадлежат живому человеку. Способ может быть осуществлен с использованием датчика отпечатков пальцев с электрическими проводниками, размещенными в опорной плоскости, предназначенной для снятия отпечатков пальцев, или под ней. При приложении кончика пальца к опорной плоскости проводники приводятся в непосредственное касание с поверхностью кожи (гальваническая связь) или устанавливаются на определенном расстоянии от поверхности кожи (емкостная связь). В способе используется то обстоятельство, что кожа живого человека имеет характерное строение слоев, которые обладают заметно различающейся электрической проводимостью. Особенно ярко выражена характеристика кривой омического сопротивления. Ход этой кривой весьма затруднительно имитировать с использованием искусственного пальца. В случае же отрезанного пальца ход кривой быстро изменяется вследствие отмирания тканей кожи. Эта характеристическая кривая импеданса может быть использована для верификации подлинности приложенного пальца. Характеристика импеданса поверхности кожи измеряется как функция частоты электрического переменного напряжения путем приложения напряжения к одному или нескольким электрическим проводникам, которые связаны с поверхностью кожи гальваническим или емкостным способом. Затем осуществляется сравнение полученной характеристики с опорной характеристикой, которая была предварительно сформирована. При существенном совпадении характеристической кривой импеданса и опорной характеристики принимается решение о том, что поверхность кожи является тканью живого организма. Предпочтительно, чтобы опорная характеристика снималась отдельно для каждого лица, подлежащего впоследствии идентификации. Однако, поскольку между характеристиками для различных персон имеются лишь незначительные отклонения, в необходимом случае можно применять одну единственную опорную характеристику для всех идентифицируемых персон. Эта особенность способа является его несомненным достоинством. Из недостатков, присущих описанному способу, следует отметить следующие. Рассмотренный способ является активным, так как он реализуется путем воздействия на палец сторонним напряжением для получения отклика. В связи с этим возможны помехи электрического сигнала, что снижает надежность метода. Недостатком способа является также то, что в его основе лежит различие в электрической проводимости слоев кожи живого человека. Это предусматривает при осуществлении способа наличие электрических проводников в датчике отпечатков пальца, что усложняет конструкцию, необходимую для реализации способа, увеличивает ее габариты и стоимость, усложняет алгоритм обработки данных.
Методы, реализуемые на уровне программного обеспечения (алгоритмические методы), связаны с поиском новых алгоритмов обработки биометрических данных, позволяющих учесть особенности, присущие только «живому» отпечатку. К этой группе относится, например, способ, основанный на биологической особенности «живого» пальца выделять испарину (см. S.Parthasaradhi, R.Derakhshani и др., “Improvement of an algorithm for recognition of liveness using perspiration in fingerprint devices”, Proc. SPIE, Vol.5404, pp.270-277). Выделение «живым» пальцем испарины является результатом того, что на подушечках пальцев имеются потовые железы. Процесс выделения испарины происходит постоянно. При использовании, например, оптического сканера испарина оседает на приемном стекле и изменяет изображение отпечатка. При этом сама форма папиллярных линий не искажается, но вокруг них появляются бледные ореолы за счет изменения отражающих свойств приемного стекла при конденсации на них влаги от потения. Эти изменения (возникновение и трансформация ореолов) происходят в течение от 2 до 5 секунд после прикладывания пальцев к сканеру. На приемной цифровой матрице ореолы проявляются в тонах серого и, соответственно, фиксируются (оцифровываются). При обработке отпечатка берутся минимум два отпечатка через несколько секунд, чтобы отследить динамику изменения ореолов (в статье – через 2 и через 5 секунд). В качестве особенностей отпечатка для их сравнения и выявления временных изменений используются шесть специальных критериев. В «мертвом» пальце выделение испарины не происходит, и указанные ореолы не образуются. К недостаткам известного способа можно отнести следующие:
– необходимость длительного приложения пальца к сканеру (5 секунд), чтобы проследить изменения, связанные с выделением испарины;
– необходимость обработки минимум двух отпечатков (через 2 и через 5 секунд), что требует времени и дополнительных ресурсов процессора;
– изменение свойства пальца выделять испарину в зависимости от внешних условий (понижение температуры, индивидуальные особенности пальца);
– необходимость использования для реализации способа сканера и приемной матрицы с достаточно высокой чувствительностью. Это обусловлено тем, что ореолы, возникающие вокруг папиллярных линий, имеют недостаточно высокую яркость;
– слабая защита метода от помех изображения, что напрямую связано с «тонкостью» выявляемого эффекта.
2. Организационные методы, суть которых заключается в организации процессов по оптимизации системы допуска. К этой группе можно отнести:
– одновременное использование нескольких биометрических технологий, например отпечаток пальца и одновременно форма лица или сетчатка глаза и т.п. (мультибиометрия);
– одновременное использование нескольких методов аутентификации, например биометрических и смарт-карт и т.п. (многофакторная аутентификация).
Таким образом, несмотря на значительное количество существующих методов защиты от муляжей и использования отчужденных пальцев, каждый из которых имеет свои достоинства и недостатки, ни один из них не может считаться абсолютно надежным, универсальным и не приводящим к существенному удорожанию биометрической системы. Это обстоятельство усиливает актуальность упомянутой выше проблемы поиска новых эффективных и недорогих методов такой защиты.
Наиболее близким к заявляемому способу является способ, который реализован в устройстве для измерения физиологических параметров, например кровяного давления, содержащем пульсовый детектор для одновременного получения данных отпечатка пальца и сигнала, поступающего из организма пользователя, например сигнала пульсовой волны. Данные отпечатка пальца используют для идентификации зарегистрированного пользователя, затем производят измерение физиологического параметра, например пульсовой волны, и полученный сигнал сравнивают с сигналом, полученным от пользователя на этапе регистрации для подтверждения того, что данный пользователь является тем же, отпечаток пальца которого был проверен (см. заявку ЕР 1358842, МПК 7 А61В 5/117, А61В 5/021, А63В 21/00, опубл. 05.11.2003, приоритет Японии 09.04.2002). Однако к недостаткам описанного выше технического решения следует отнести сложность его осуществления и длительность процесса идентификации, обусловленные дополнительными измерениями кровяного давления пользователя. Недостатками известного способа являются также большие габариты устройств, используемых для его осуществления, увеличенный объем памяти, необходимость использования высокочувствительных матриц, что требует больших материальных затрат для реализации способа.
Задачей предлагаемого изобретения является упрощение способа распознавания принадлежности отпечатка пальца живому или неживому человеку при одновременном повышении быстродействия и достоверности результатов распознавания, а также снижении затрат на технические средства.
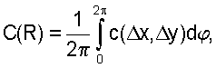
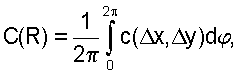
Для достижения этого технического результата предлагается способ распознавания принадлежности отпечатка пальца живому или неживому человеку, который, как и наиболее близкий к нему способ, выбранный в качестве прототипа, заключается в регистрации пользователя путем получения отпечатка пальца, формирования паспорта папиллярного узора, включающего оцифровывание и цифровое кодирование изображения отпечатка пальца, и сохранения данных папиллярного узора для последующей идентификации. Одновременно с формированием паспорта папиллярного узора определяют параметр, свойственный только живому человеку, который в процессе распознавания используется для подтверждения принадлежности предъявленного отпечатка пальца живому человеку. Особенностью предлагаемого способа, отличающей его от известного способа, является то, что для определения параметра, свойственного живому человеку, осуществляют дополнительное кодирование, заключающееся в математической обработке оцифрованного изображения отпечатка пальца для его представления в виде математической функции, вид которой является характерным и которая имеет характерные точки. Значения математической функции в характерных точках используют для определения критерия принадлежности отпечатка пальца живому или неживому человеку. Для представления оцифрованного изображения отпечатка пальца в виде математической функции оцифрованное изображение отпечатка пальца может быть очищено от фоновой засветки и помех изображения, проведено геометрическое восстановление формы отпечатка, устранены нарушения, связанные с оптическими аберрациями изображения, и вычислена двумерная автокорреляционная функция изображения: После этого проводят интегрирование автокорреляционной функции по азимутальной координате для различных расстояний R от центра отпечатка для вычисления приведенной автокорреляционной функции (ПАФ):

В качестве характерных точек, значения функции в которых используют для определения критерия при оценке принадлежности предъявляемого отпечатка пальца живому или неживому человеку, выбирают второй локальный максимум и минимум ПАФ. Величину критерия M вычисляют как разницу между величиной второго локального максимума и минимума ПАФ и заносят M в базу данных вместе с данными папиллярного узора, полученными на этапе регистрации пользователя. При оценке принадлежности предъявляемого отпечатка пальца живому человеку устанавливается коридор (диапазон) допустимых значений M.
Сущность предлагаемого способа заключается в следующем.
При сравнении двух отпечатков пальцев, один из которых взят у живого человека, а другой – у того же самого человека, но после его смерти, кодирование, проведенное традиционными методами, не дает возможности определить, живому или мертвому человеку принадлежат предъявленные отпечатки. В результате отпечатки идентифицируются как принадлежащие одному и тому же человеку. Иными словами, известные методы распознавания, основанные, например, на анализе взаимного расположения мелких особенностей папиллярного узора (минуций), называемых в дактилоскопии дельтами, петлями, завитками, или на анализе потоков папиллярных линий, при котором отпечаток пальца представляется непрерывным полем касательных к потоку папиллярных линий, не обеспечивают возможности удостовериться в принадлежности отпечатка именно живому человеку. С помощью этих методик можно решить лишь одну задачу: осуществить распознавание «свой/чужой». Это обстоятельство привело к поиску и созданию всевозможных методов распознавания биометрических данных, полученных от «живых» и «неживых» носителей, классификация которых и описания некоторых из них представлены в разделе «Уровень техники» предлагаемой заявки. Способ, выбранный в качестве ближайшего аналога (см. заявку ЕР 1358842, МПК 7 А61В 5/117, опубл. 05.11.2003), основан на создании дополнительных средств, а именно – устройства для измерения такого физиологического параметра, как кровяное давление, позволяющего определить, принадлежит ли предъявленный отпечаток пальца «живому» объекту. В отличие от указанного технического решения заявляемый способ распознавания не требует для своего осуществления существенных дополнительных средств, а следовательно, и дополнительных материальных затрат. Это обеспечено за счет того, что в качестве параметра, определяющего принадлежность отпечатка пальца живому человеку, в отличительную часть формулы введен новый существенный признак – дополнительное кодирование, представляющее собой математическую обработку оцифрованного изображения папиллярного узора отпечатка пальца, полученного на этапе регистрации пользователя. Эта высокоскоростная процедура производится одновременно с основным кодированием, которое осуществляется в процессе формирования паспорта папиллярного узора и предназначено для распознавания «свой/чужой». Дополнительное кодирование реализовано на уровне программного обеспечения, что позволило существенно упростить способ, выбранный в качестве прототипа, повысить его быстродействие и достоверность, а также существенно снизить материальные затраты, необходимые для реализации способа. А самое главное – процедура дополнительного кодирования, в отличие от способа, выбранного в качестве прототипа, без дополнительного измерения физиологического параметра (кровяного давления) позволяет выявить особенности, отличающие «живые» отпечатки от «неживых».
Признаки способа, включенные в зависимые пункты формулы, характеризуют одну из конкретных возможностей реализации предлагаемого способа.
Таким образом, совокупность указанных выше признаков позволяет решить поставленные задачи.
В качестве объективных медицинских предпосылок, связанных с изменениями в биологических тканях после смерти и используемых при разработке предлагаемого способа, можно назвать следующие:
– изменение эластичности кожных покровов и, соответственно, папиллярного узора;
– прекращение деятельности потовых и сальных желез и связанное с этим усыхание кожных покровов;
– прекращение кровообращения в пальце и, следовательно, уменьшение его объема;
– появление изменений в папиллярном рисунке под действием консервирующих растворов.
В качестве математического критерия в заявляемом изобретении предлагается использовать приведенную автокорреляционную функцию (ПАФ), характеризующую масштаб и контрастность изображения, а также – наличие зон потери изображения папиллярных линий (см. формулу 1 ниже). Таким образом, функция ПАФ, отражая в математическом виде такие параметры изображения отпечатка пальца, как масштаб, контрастность, участки с потерянным изображением, отразит и те изменения, которые произойдут с этими параметрами в результате изменений в биологических тканях после смерти. Увидеть эти изменения мы сможем на кривых, изображающих эту функцию, а в численном виде – это будет выражено величиной M.
На чертежах, иллюстрирующих предлагаемый способ, представлено:
на фиг.1a) – отпечаток пальца живого человека;
на фиг.1б) – отпечаток пальца через 14 часов после смерти человека;
на фиг.2 – приведен характерный вид ПАФ для отпечатка пальца живого человека (см. кривую 1) и отпечатка пальца через 14 часов после смерти человека (см. кривую 2).
Из рассмотрения фиг.1а) и 1б) отчетливо видно снижение контраста изображения и изменение толщины папиллярных линий, отображаемых на сканере. При этом попытки приложить палец к сканеру таким образом, чтобы изображение соответствовало отпечатку пальца живого человека, не удавались. Смачивание пальца также не изменяло ситуацию.
Из рассмотрения кривых 1 и 2 на фиг.2 видно, что для подавляющего большинства случаев ПАФ для «живого» пальца имеет характерные точки: два выраженных локальных максимума и один локальный минимум. Так как ПАФ представляет собой функцию (векторный критерий), использование ее для анализа не очень удобно. Поэтому в качестве критерия, характеризующего конкретную ПАФ, вычисляется разница M между значениями функции в характерных точках (втором локальном максимуме и минимуме).
Как показали многочисленные эксперименты, проведенные авторами на базе кафедры судебно-медицинской экспертизы Российской военно-медицинской академии им. С.М.Кирова, вид ПАФ является характерным для данного отпечатка. При этом величина M слабо изменяется в зависимости от силы прижатия пальца к сканеру, что делает ее универсальным критерием отпечатка.
На фиг.3 показаны характерные ПАФ для различной силы прижатия «живого» пальца. Несмотря на то, что сами кривые смещаются вдоль оси «у», величина M практически не изменяется, сохраняются также положения локальных минимума и максимумов. На фиг.4 показан разброс величины M для конкретного пользователя (по горизонтальной шкале откладывается номер «n» эксперимента). В экспериментах палец прикладывался с различной силой.
В процессе разработки предлагаемого способа были выполнены следующие серии экспериментов.
Первая серия. Эксперименты по изменению отпечатков пальцев без их отчуждения от тела после смерти.
Вторая серия. Эксперименты с отчужденными пальцами, помещенными в консервирующие растворы.
Третья серия. Эксперименты по изменению отпечатков пальцев без их отчуждения от тела после смерти, но после помещения их в консервирующие растворы.
Эксперименты первой серии показали, что через определенное время после смерти ПАФ качественно меняется, приобретая характер монотонно падающей функции (см. фиг.2, кривая 2), при этом величина M уменьшается вплоть до отрицательных значений. На фиг.5 показана зависимость величины M от времени, прошедшего после смерти, иллюстрирующая эту тенденцию.
Исследования второй серии показали, что консервирующие растворы, сохраняя ткани, вызывают при этом существенное изменение папиллярного узора пальца, фиксируемого оптическим устройством для регистрации отпечатков пальцев. А именно, снижается контрастность изображения, «разваливаются» папиллярные линии и, более того, на отпечатке проявляются зоны потери папиллярных линий, отчетливо видимые глазом. При этом попытки приложить палец таким образом, чтобы линии восстановились, не приводили к успеху. Изменения были необратимыми. Эксперименты показали, что выявить отличия возможно уже через 3…10 часов после погружения в консервирующие растворы.
Исследование третей серии подтвердили вывод о разрушающем воздействии консервирующих растворов на папиллярный узор.
Таким образом, в результате анализа многочисленных экспериментов авторы заявляемого способа пришли к выводу о том, что распознать отпечатки пальцев живых носителей и неживых (отчужденных пальцев) возможно путем применения специальных математических алгоритмов обработки изображений отпечатков пальцев, полученных с помощью оптических устройств для регистрации отпечатков пальцев, основанных на использовании эффекта нарушенного внутреннего отражения. Указанные результаты исследований явились основой предлагаемого изобретения.
Предлагаемый способ распознавания принадлежности отпечатка пальца живому или неживому человеку иллюстрируется чертежом (см. фиг.6), на котором представлена функциональная схема конкретного примера выполнения устройства для осуществления способа.
Устройство состоит из следующих компонентов (фиг.6):
1 – устройство для регистрации отпечатков пальцев;
2 – цифровая видеосистема;
3 – устройство связи;
4 – процессор;
5 – программное обеспечение.
Предлагаемый способ осуществляется следующим образом.
На первом этапе осуществления способа каждый пользователь должен быть зарегистрирован. Для этого на контактной поверхности устройства 1 для регистрации отпечатков пальцев, в качестве которого может быть использован один из вариантов устройства, запатентованного заявителем (см. патент РФ на полезную модель №46914, МПК 7 А61В 5/053, А61В 5/117, опубл. 10.08.2005), необходимо получить отпечаток пальца каждого пользователя. Изображение папиллярного узора отпечатка пальца формируется на фотоприемном устройстве цифровой видеосистемы 2 и передается в процессор 4 через устройство связи 3.
В процессоре 4 с помощью программного обеспечения 5 полученное изображение отпечатка пальца оцифровывается и преобразуется в уникальный цифровой код. В биометрии понятие «уникальность» означает, что не может быть двух человек, имеющих идентичные характеристики (см. Кухарев Г.А. Биометрические системы: Методы и средства идентификации личности человека. – СПб.: Политехника, 2001, стр.13). Цифровой код является эталонным паспортом регистрируемого пользователя и заносится в базу данных системы для его сохранения и последующего сравнения с предъявляемым папиллярным узором.
Вторым этапом осуществления метода является дополнительное кодирование, которое производится путем математической обработки оцифрованного изображения папиллярного узора регистрируемого отпечатка пальца. Этот этап осуществляется одновременно с цифровым кодированием, производимым на первом этапе при формировании паспорта папиллярного узора, и заключается в следующем:
– оцифрованное изображение отпечатка пальца очищается от фоновой засветки и помех изображения, связанных с запыленностью или загрязнениями на оптической поверхности устройства, для регистрации отпечатка пальца;
– проводится геометрическое восстановление формы отпечатка и устраняются нарушения, связанные с оптическими аберрациями изображения;
– вычисляется двумерная автокорреляционная функция изображения:

где х, у – текущие пространственные координаты в плоскости отпечатка пальца, х и у – сдвиги координат х, у;
– проводится интегрирование автокорреляционной функции по азимутальной координате для различных расстояний R от центра отпечатка для вычисления приведенной автокорреляционной функции (ПАФ):

где – угловая координата в плоскости отпечатка пальца;
– затем для определения величины критерия M вычисляют разницу между величиной второго локального максимума и минимума и заносят M в базу данных вместе с данными папиллярного узора пользователя, полученными на первом этапе.
Непосредственная проверка предъявленного на контроле отпечатка пальца для распознавания живому или мертвому человеку принадлежит отпечаток осуществляется следующим образом.
Сначала предъявленный отпечаток проверяется для решения задачи «свой/чужой». Для этого формируется паспорт предъявленного папиллярного узора, который сравнивается с эталонным паспортом (полученным на этапе регистрации). При положительном результате этого сравнения выполняется дальнейшее распознавание на предмет «живой/мертвый». Для этого заранее администратором системы управления доступом устанавливается диапазон допустимых изменений величины М относительно эталонного значения, полученного на этапе регистрации пользователя. Выполняется дополнительное кодирование предъявленного отпечатка с целью определения ПАФ и величины М. В том случае, если полученная величина М укладывается в допустимый диапазон, отпечаток пальца считается принадлежащим живому человеку. В противном случае человеку, предъявившему отпечаток пальца, будет отказано в доступе.
Таким образом, использование в предложенном способе дополнительного кодирования изображения отпечатка пальца, реализованного на уровне программного обеспечения, позволяет существенно упростить процесс распознавания принадлежности предъявленного отпечатка пальца живому или мертвому человеку, повысить быстродействие и достоверность, а также существенно снизить материальные затраты, необходимые для реализации способа.
Формула изобретения
Способ распознавания принадлежности отпечатка пальца живому или неживому человеку, заключающийся в регистрации пользователя путем получения отпечатка пальца, формировании паспорта папиллярного узора, включающего оцифровывание изображения отпечатка пальца и сохранение этих данных для последующей идентификации, определении параметра, свойственного живому человеку, который в процессе распознавания используют для подтверждения принадлежности предъявленного отпечатка пальца живому человеку, отличающийся тем, что для определения параметра, свойственного живому человеку, осуществляют математическую обработку оцифрованного изображения отпечатка пальца, для чего вычисляют двумерную автокорреляционную функцию изображения

затем осуществляют интегрирование автокорреляционной функции по азимутальной координате для различных расстояний R от центра отпечатка для вычисления приведенной автокорреляционной функции (ПАФ)

по которой определяют второй локальный максимум и минимум ПАФ, разницу между величинами которых M используют как критерий принадлежности предъявляемого отпечатка пальца живому человеку, устанавливают диапазон допустимых значений M и в случае, если полученная при распознавании величина M укладывается в установленный диапазон, считают отпечаток пальца принадлежащим живому человеку, в противном случае он не принадлежит живому человеку.
РИСУНКИ
|
|