|
|
(21), (22) Заявка: 2005138430/13, 09.12.2005
(24) Дата начала отсчета срока действия патента:
09.12.2005
(43) Дата публикации заявки: 20.06.2007
(46) Опубликовано: 10.11.2007
(56) Список документов, цитированных в отчете о поиске:
SU 660652 A1, 05.05.1979. SU 1068093 A1, 23.01.1984. SU 1593605 A1, 23.09.1990. RU 2079225 C1, 10.05.1997.
Адрес для переписки:
350072, г.Краснодар, ул. Московская, 2, ГОУВПО “КубГТУ”, Отдел интеллектуальной и промышленной собственности, Проректору по НиМД, проф. В.С. Симонову
|
(72) Автор(ы):
Бархатова Татьяна Викторовна (RU), Кожухова Марина Александровна (RU), Кожухова Анна Анатольевна (RU), Ярощук Ольга Александровна (RU)
(73) Патентообладатель(и):
Государственное образовательное учреждение высшего профессионального образования “Кубанский государственный технологический университет” (ГОУВПО “КубГТУ”) (RU)
|
(54) ПИЩЕВОЙ НАПОЛНИТЕЛЬ
(57) Реферат:
Изобретение относится к пищевой промышленности, в частности к консервной, изобретение может быть использовано в производстве желированных продуктов из растительного сырья. Пищевой наполнитель включает пищевую основу, сахар-песок, кислоту, альгинат натрия, кальцийсодержащее вещество, воду, в качестве кальцийсодержащего вещества содержится творожная сыворотка, предварительно смешанная при температуре 40°С с 4% водным раствором альгината натрия в пропорции раствор альгината натрия: сыворотка 1:1,2, а в качестве кислоты содержится лимонная кислота, при этом пищевая основа представляет собой предварительно измельченное растительное сырье при следующем соотношении компонентов в %: растительное сырье 30-34, сахар-песок 36-43, лимонная кислота 0,3-0,5, смесь водного раствора альгината натрия и сыворотки 25-32. Это позволяет повысить пищевую биологическую ценность продукта и придать ему функциональные свойства, а также формировать консистенцию продукта с использованием натуральных компонентов. 3 з.п. ф-лы, 1 ил., 4 табл.
Изобретение относится к пищевой промышленности, в частности к консервной, изобретение может быть использовано в производстве желированных продуктов из растительного сырья.
Известно желейное кондитерское изделие, представляющее собой смесь плодового пюре, сахара, цитрусового пектина, вкусовых, ароматических добавок и гомогенизированного овощного наполнителя, в качестве которого используют томатные выжимки (позволяющие сохранять заданную форму изделия), с последующим увариванием массы до 78% сухих веществ и охлаждением (Ru, №1593606).
Однако в предложенном изделии для формирования требуемой консистенции необходимо соблюдать условия желирования цитрусового пектина: наличие сахара более 55%, pH меньше 3,5, что исключает возможность использования данного продукта в диетическом питании. Наличие включений томатных выжимок не всегда приемлемо с органолептической точки зрения: при использовании светлоокрашенного сырья данная добавка будет ухудшать товарный вид продукта.
Известно диетическое желе, состоящее из плодово-ягодного экстракта, сахара, желатина, аланина, лимонной кислоты и воды, обеспечивающее нормализующее действие на липидно-углеводный обмен организма человека путем добавления аланина. Получение данного продукта осуществляется путем смешивания и выдержки смеси в течение 40 минут, нагрева до кипения, охлаждения (Ru, №1068093).
В приведенном диетическом желе использование желатина в качестве структурообразователя ограничивает сферу применения данного продукта, так как температура плавления желатиновых студней выше 30-32°С. При этом желатин не обладает способностью связывать и выводить из организма тяжелые и радиоактивные металлы.
Наиболее близким по технической сущности и достигаемому результату является желейный мармелад, состоящий из водного раствора кислого полисахарида, сахара, водно-спиртовой суспензии соли кальция, вкусовых добавок, ароматизаторов и красителей, с последующей гомогенизацией смеси, нагревом и охлаждением (Ru, №660652).
Однако необходимость применения спирта и солей кальция усложняет технологию и удорожает продукт. А для улучшения цвета и запаха используются красители и ароматизаторы, что не исключает применение ненатуральных компонентов, которые, как правило, не обладают пищевой, биологической ценностью и имеют ограничения по показателям безопасности.
Задачей, решаемой изобретением, является разработка пищевого структурированного продукта с более высокими пищевыми достоинствами, обладающего профилактическим действием, а также расширение ассортимента функциональных продуктов, выпускаемых консервной промышленностью.
Техническим результатом данного изобретения является повышение пищевой, биологической ценности продукта и придание ему функциональных свойств, а также формирование консистенции продукта с использованием натуральных компонентов.
Поставленная задача решается тем, что в пищевом наполнителе, включающем пищевую основу, сахар-песок, кислоту, альгинат натрия, кальцийсодержащее вещество, воду, в качестве кальцийсодержащего вещества содержится сыворотка, предварительно смешанная при температуре 40°С с 4% водным раствором альгината натрия в пропорции раствор альгината натрия:сыворотка 1:1,2, а в качестве кислоты содержится лимонная кислота, при этом пищевая основа представляет собой предварительно измельченное растительное сырье при следующем соотношении компонентов в %:
Растительное сырье 30-34;
Сахар-песок 36-43;
Лимонная кислота 0,3-0,5;
Смесь водного раствора
альгината натрия и сыворотки 25-32
В качестве растительного сырья можно использовать ягодное, фруктовое и овощное сырье, подготовленное соответствующим образом.
Профилактическое действие предлагаемого продукта достигается за счет того, что в его состав входит сыворотка и альгинат натрия.
Сыворотка – вторичный продукт переработки молока – достаточно дешевый и доступный, который образуется при производстве творога.
Она содержит 5-7% сухих веществ, в том числе лактозу (3,2-5,1%), азотистые вещества (0,5-1,4%), жир (0,05-0,8%), витамины B1, B2, В6, B12, С, А, Е.
Минеральный состав сыворотки весьма разнообразен. В сыворотке находятся практически все соли и микроэлементы молока. Абсолютное содержание основных зольных элементов в сыворотке следующее (в %): кальция (0,09-0,19), калия (0,04-0,11), натрия (0,0,-0,05), магния (0,009-0,02), фосфора (0,04-0,1), хлора (0,08-0,11).
Высокую биологическую ценность сыворотки обуславливают белковые вещества, в ней содержатся все незаменимые аминокислоты, а также витамины, гормоны, органические кислоты, бифидогенные факторы.
Таким образом, состав сыворотки позволяет создать продукт с высокой биологической и пищевой ценностью; она технологична в переработке, что облегчает получение разных типов продуктов; ее вкус хорошо сочетается со вкусом вводимых компонентов и его можно регулировать в желаемом направлении.
Альгинаты являются не только структурообразователями, но и природными ионообменниками и комплексообразователями, благодаря чему используются в профилактическом питании для выведения из организма токсичных и радиоактивных металлов.
Альгинаты способны образовывать особо прочные коллоидные растворы, отличающиеся кислотоустойчивостью. Растворы альгинатов не коагулируют при нагревании и сохраняют свои свойства при охлаждении, при замораживании и последующей дефростации. Поэтому они относятся к структурообразователям широкого спектра действия: их можно применять в качестве студнеобразующих, желирующих, эмульгирующих, стабилизирующих и влагоудерживающих компонентов.
Образованию альгинатных гелей способствует подкисление среды, так как при этом снижается заряд дисперсных частиц, и силы притяжения начинают преобладать над силами отталкивания.
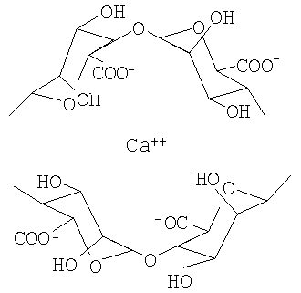
При взаимодействии с ионами кальция и другими поливалентными металлами золь альгината натрия переходит в гель. Пространственная сетка геля образуется за счет взаимодействия ионов кальция с карбоксильными группами полисахарида и дополнительно стабилизована координационными связями между ионами кальция и гидроксильными группами преимущественно остатков гулуроновой кислоты, что изображено в виде формулы:

Необходимые для формирования геля компоненты – ионы поливалентных металлов, включая кальций, и органические кислоты, в естественном виде содержатся в творожной сыворотке.
Опытным путем было определено оптимальное количество сыворотки в смеси, которое обеспечивает многократное увеличение вязкости и образование гелевой структуры по сравнению с образцом без сыворотки.
Экспериментальным путем установлено, что добавление сыворотки в количестве 15% в водный раствор альгината натрия обуславливает максимальную вязкость и однородную структуру геля.
Сравнительные реологические характеристики композиций альгината натрия с глюконатом кальция, сывороткой и без нее представлены в таблице 1.
Таблица 1. Сравнительные реологические характеристики композиций альгинатом натрия. |
| Состав композиции |
Содержание кальция в композиции, мг/1 г альгината натрия |
Эффективная вязкость при напряжении сдвига 18 Па, Па·с |
| 0,5% альгинат натрия |
– |
1,8 |
| 0,5% альгинат натрия с сывороткой (15%) |
19 |
5,6 |
| 0,5% альгинат натрия с глюконатом кальция (0,3%) |
19 |
4,1 |
Как видно из таблицы, при одинаковом содержании кальция в композициях эффективная вязкость больше у смеси, состоящей из альгината натрия с сывороткой, что можно объяснить содержанием в сыворотке белков, органических кислот, солей, которые также влияют на структурообразование.
Экспериментальным путем определено, что необходимый эффект достигается при определенном порядке внесения компонентов. Так, смешивание компонентов в последовательности: альгинат натрия – сыворотка – вода (АН+С+В) приводит к снижению вязкости за счет перехода растворимого альгината натрия в нерастворимый альгинат кальция в условиях избытка ионов кальция. Смешивание компонентов в последовательности: альгинат натрия – вода – сыворотка (АН+В+С), при условии постепенного добавления сыворотки в раствор альгината натрия приводит к значительному повышению вязкости вследствие образования альгинатного геля (см. чертеж).
Гель занимает промежуточное положение между коллоидным раствором (АН+В) и суспензией (АН+С+В). В данном случае он образуется при участии ионов кальция, магния, возможно, белков, которые в определенных контактных зонах связывают молекулы альгината и таким образом формируют трехмерную гелевую структуру.
Продукты, в которых структурообразователем является альгинат натрия, имеют широкую сферу применения. Заявляемый продукт может использоваться в качестве фруктово-ягодных наполнителей в молочной промышленности; начинок для хлебобулочных и кондитерских изделий и как самостоятельный продукт.
Технологический процесс получения пищевого наполнителя осуществляется путем смешивания следующих компонентов в определенном порядке: готовят водный раствор альгината натрия при температуре 40°С, затем при постоянном перемешивании добавляют сыворотку. Полученный раствор добавляют к смеси, состоящей из фруктовой или овощной основы, сахара и лимонной кислоты, и тщательно перемешивают. Далее смесь пастеризуют при 95°С в течение 15 минут, охлаждают и направляют на дальнейшее использование или консервируют асептическим способом.
Примеры конкретного выполнения
Пример 1
Растительное сырье – 30%
Сахар-песок – 43%
Лимонная кислота – 0,4%
Смесь водного раствора
альгината натрия и сыворотки – 26,6%
0,5 г Альгината натрия растворяют в 12 г воды при температуре 40°С и при постоянном перемешивании вносят 15 г сыворотки. Полученную смесь добавляют в количестве 26,6% к составу, включающему 30 г нарезанной кусочками или дробленой земляники, 43 г сахара, 0,4 г лимонной кислоты и перемешивают. Смесь пастеризуют при 95°С в течение 15 минут, охлаждают до температуры 40°С и направляют на дальнейшее использование или консервируют асептическим способом с расфасовкой в полимерную тару или металлические контейнеры. Полученный пищевой наполнитель на ягодной основе обладает натуральным вкусом ароматом и цветом, свойственным добавляемому сырью; качественные показатели представлены в таблицах 2, 3, 4.
Пример 2. Пищевой наполнитель выполнен, как и пример 1, при следующем соотношении компонентов:
Растительное сырье – 32%
Сахар-песок – 36%
Лимонная кислота – 0,3%
Смесь водного раствора
альгината натрия и сыворотки – 31,7%
Для подготовки смеси альгината натрия и сыворотки берут 0,6 г альгината натрия, растворяют его в 14 г воды при температуре 40°С и при постоянном перемешивании вносят 17,5 г сыворотки.
В качестве растительного сырья применяется фруктовое сырье. Качественные показатели пищевого наполнителя на фруктовой основе приведены в таблицах 2, 3, 4.
Пример 3. Пищевой наполнитель выполнен, как и пример 1, при следующем соотношении компонентов:
Растительное сырье – 34%
Сахар-песок – 40%
Лимонная кислота – 0,5%
Смесь водного раствора
альгината натрия и сыворотки – 25,5%
В качестве растительного сырья применяется овощное сырье. Качественные показатели пищевого наполнителя на овощной основе представлены в таблицах 2, 3, 4.
Во всех образцах полученного продукта исследовали физико-химические показатели – рН, массовую долю сухих веществ, массовую долю сахара, титруемую кислотность. Данные исследований представлены в таблице 2.
Таблица 2. Физико-химические показатели заявляемого продукта |
| |
Показатели |
| Название продукта |
рН |
Массовая доля сухих веществ, % |
Массовая доля общего сахара, % |
Титруемая кислотность, % |
| Пищевой наполнитель, содержащий ягодное сырье |
3,52 |
50 |
47 |
0,92 |
| Пищевой наполнитель, содержащий фруктовое сырье |
3,08 |
42 |
40 |
1,16 |
| Пищевой наполнитель, содержащий овощное сырье |
3,60 |
48 |
45 |
0,86 |
Сравнительная оценка пищевой и биологической ценности продуктов представлена в таблице 3.
Таблица 3. Сравнительная оценка пищевой и биологической ценности заявляемого и известного продуктов. |
| Наименование продукта |
Углеводы, % |
Азотистые вещества, % |
Витамины, мг/100 г |
Минеральные вещества, мг/100 г |
Энергетическая ценность, ккал/100 г |
-каротин |
С |
Р |
гр. В |
Са |
К |
Na |
Mg |
Р |
| 1 |
2 |
3 |
4 |
5 |
6 |
7 |
8 |
9 |
10 |
11 |
12 |
13 |
| Пищевой наполнитель, содержащий ягодное сырье |
47 |
0,54 |
0,01 |
18 |
225 |
0,03 |
32 |
48,3 |
5,4 |
5,4 |
6,9 |
188 |
| Продолжение таблицы 3 |
| 1 |
2 |
3 |
4 |
5 |
6 |
7 |
8 |
9 |
10 |
11 |
12 |
13 |
| Пищевой наполнитель, содержащий фруктовое сырье |
40 |
0,13 |
0,001 |
4,8 |
416 |
0,01 |
21,2 |
79,4 |
8,3 |
2,9 |
3,5 |
160 |
| Пищевой наполнитель, содержащий овощное сырье |
45 |
0,2 |
0,01 |
5,1 |
– |
0,02 |
25,1 |
81 |
0,7 |
3,1 |
4,1 |
180 |
| Желейный мармелад |
38-75,5 |
– |
– |
– |
– |
– |
18-20 |
– |
0,3 |
– |
– |
152-302 |
Таким образом, сочетание натурального растительного сырья с сывороткой обуславливает более высокую пищевую и биологическую ценность готового продукта.
Разработанные продукты были оценены членами дегустационной комиссии по пятибалльной системе. Результаты дегустации занесены в таблицу 4.
Таблица 4. Результаты дегустации |
Название продукта |
Показатели |
Общий балл |
| Цвет |
Вкус |
Аромат |
Консистенция |
| 1 |
2 |
3 |
4 |
5 |
6 |
| Пищевой наполнитель, содержащий ягодное сырье |
5 |
5 |
5 |
4,9 |
5 |
| Пищевой наполнитель, содержащий фруктовое сырье |
5 |
5 |
4,8 |
5 |
5 |
| Продолжение таблицы 4 |
| 1 |
2 |
3 |
4 |
5 |
6 |
| Пищевой наполнитель, содержащий овощное сырье |
5 |
5 |
4,5 |
5 |
4,9 |
Наилучшими по своим органолептическим свойствам были признаны образцы, содержащие фруктовое и ягодное сырье: они имели ярковыраженный аромат, натуральный цвет и вкус, свойственный использованному сырью.
Таким образом, разработанный продукт наряду с функциональными свойствами характеризуется повышенной пищевой и биологической ценностью и высокими органолептическими показателями.
Формула изобретения
1. Пищевой наполнитель, включающий пищевую основу, сахар-песок, кислоту, альгинат натрия, кальцийсодержащее вещество, воду, отличающийся тем, что в качестве кальцийсодержащего вещества содержит творожную сыворотку, предварительно смешанную при температуре 40°С с 4% водным раствором альгината натрия в пропорции раствор альгината натрия: сыворотка 1:1,2, а в качестве кислоты содержит лимонную кислоту, при этом пищевая основа представляет собой предварительно измельченное растительное сырье, при следующем соотношении компонентов, %:
| Растительное сырье |
30-34 |
| Сахар-песок |
36-43 |
| Лимонная кислота |
0,3-0,5 |
| Смесь водного раствора |
|
| альгината натрия и сыворотки |
25-32 |
2. Пищевой наполнитель по п.1, отличающийся тем, что в качестве растительного сырья содержится ягодное сырье.
3. Пищевой наполнитель по п.1, отличающийся тем, что в качестве растительного сырья содержится фруктовое сырье.
4. Пищевой наполнитель по п.1, отличающийся тем, что в качестве растительного сырья содержится овощное сырье.
РИСУНКИ
MM4A – Досрочное прекращение действия патента СССР или патента Российской Федерации на изобретение из-за неуплаты в установленный срок пошлины за поддержание патента в силе
Дата прекращения действия патента: 10.12.2007
Извещение опубликовано: 27.07.2009 БИ: 21/2009
|
|