|
| На основании пункта 3 статьи 13 Патентного закона Российской Федерации от 23 сентября 1992 г. № 3517-I патентообладатель обязуется передать исключительное право на изобретение (уступить патент) на условиях, соответствующих установившейся практике, лицу, первому изъявившему такое желание и уведомившему об этом патентообладателя и федеральный орган исполнительной власти по интеллектуальной собственности, – гражданину РФ или российскому юридическому лицу. |
|
(21), (22) Заявка: 2006107775/28, 13.03.2006
(24) Дата начала отсчета срока действия патента:
13.03.2006
(46) Опубликовано: 27.10.2007
(56) Список документов, цитированных в отчете о поиске:
RU 2270498 C1, 20.02.2006. RU 2239174 C1, 27.10.2004. RU 2048686 C1, 20.11.1995. JP 5322563 A, 07.12.1993. JP 4119025 A, 20.04.1992.
Адрес для переписки:
111555, Москва, Свободный пр-кт, 9, корп.2, кв.173, А.А. Часовскому
|
(72) Автор(ы):
Часовской Александр Абрамович (RU)
(73) Патентообладатель(и):
Часовской Александр Абрамович (RU)
|
(54) ОПТОЭЛЕКТРОННЫЙ ПЕРЕДАТЧИК
(57) Реферат:
Изобретение относится к оптоэлектронике и может быть использовано в системах, где применяется кристаллический лазер. Техническим результатом изобретения является увеличение мощности излучения и уменьшение громоздкости. Оптоэлектронный передатчик содержит лазер, электрооптическое отклоняющее устройство, две корректирующие линзы, повернутые зеркала и оптоэлектронный преобразователь, оптический выход лазера связан через электрооптическое отклоняющее устройство, повернутые зеркала, оптоэлектронный преобразователь и вторую корректирующую линзу с оптическим входом лазера. Дополнительно устройство содержит третью корректирующую линзу, повернутое полупрозрачное зеркало, фотоэлемент, светодиод и источник напряжения, при этом между оптическим выходом оптоэлектронного преобразователя и второй корректирующей линзой расположены оптически последовательно связанные первая корректирующая линза и повернутое полупрозрачное зеркало, оптический выход оптоэлектронного преобразователя связан также через первую корректирующую линзу и повернутое полупрозрачное зеркало с оптическим входом фотоэлемента, выход которого соединен с входом светодиода, соединенного с выходом источника напряжения, оптический выход светодиода связан через третью корректирующую линзу и повернутое полупрозрачное зеркало со второй корректирующей линзой. 1 ил.
Изобретение относится к области оптоэлектроники и может быть использовано в оптических системах.
Известен оптоэлектронный передатчик, в котором используется оптоэлектронный преобразователь. Он изложен в книге И.К.Верещагина “Введение в оптоэлектронику”. Высшая школа, 1991 г., стр.62. Излучение может быть и однородным. На вход преобразователя может поступать световая энергия от лазера, а на выходе меняется спектр. Однако устройство не способно увеличить мощность излучения без введения дополнительных узлов.
Известен оптоэлектронный передатчик, изложенный в патенте автора №2270498, бюл. №5 от 20.02.2006 г. Принцип его работы заключается в следующем. Световой поток с выхода лазера, отражаясь от повернутых отражательных зеркал, проходит через корректирующую линзу в оптоэлектронный преобразователь, который усиливает свет и меняет его спектр, поступающий далее через вторую корректирующую линзу на оптический вход лазера. При этом необходимым условием является значительное превышение частоты, поступающей на вход лазера, над излучаемой им частотой.
Вывод световой энергии осуществляется с помощью электрооптического модулятора, представляющего собой электрооптическое отклоняющее устройство.
С помощью предлагаемого устройства увеличивается мощность излучения без введения громоздких узлов. Достигается это введением между оптическим выходом оптоэлектронного преобразователя и второй корректирующей линзой последовательно оптически связанных первой корректирующей линзы и повернутого полупрозрачного отражательного зеркала вместо третьего повернутого отражательного зеркала, а также введением фотоэлемента, светодиода, источника напряжения и третьей корректирующей линзы, при этом оптический выход оптоэлектронного преобразователя через вышеупомянутые первую корректирующую линзу и повернутое полупрозрачное отражательное зеркало связан также с оптическим входом фотоэлемента, выход которого соединен с входом светодиода, соединенным с выходом источника напряжения, и имеющего оптический выход, связанный через третью корректирующую линзу, через упомянутое повернутое полупрозрачное отражательное зеркало с второй корректирующей линзой.
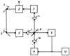
На чертеже и в тексте приняты следующие обозначения:
1 – повернутое отражательное зеркало;
2 – электрооптическое отклоняющее устройство;
3 – лазер;
4 – корректирующая линза;
5 – повернутое отражательное зеркало;
6 – оптоэлектронный преобразователь;
7 – корректирующая линза;
8 – повернутое полупрозрачное отражательное зеркало;
9 – фотоэлемент;
10 – корректирующая линза;
11 – светодиод;
12 – источник напряжения,
при этом оптический выход лазера 3 через электрооптическое отклоняющее устройство 2, через повернутые отражательные зеркала 1 и 5, через оптоэлектронный преобразователь 6, через корректирующую линзу 7, через повернутое полупрозрачное отражательное зеркало 8, через корректирующую линзу 4 связан с оптическим входом лазера 1 и также с оптическим входом фотоэлемента 9, выход которого соединен с выходом источника напряжения 12, соединенным также с входом светодиода 11, имеющего оптический выход, связанный через корректирующую линзу 10, через вышеупомянутое полупрозрачное зеркало 8 с упомянутой корректирующей линзой 4.
Работа устройства осуществляется следующим образом. Лазер 3 формирует световой поток, который проходит через электрооптическое отклоняющее устройство 2 и далее, отражаясь от повернутых отражательных зеркал 1, 5, поступает в оптоэлектронный преобразователь 6, который усиливает сигнал. При этом на выходе формируется другой спектр, поступающий через корректирующую линзу 7, и, отражаясь от повернутого отражательного полупрозрачного зеркала 8 и пройдя далее через корректирующую линзу 4, поступает на оптический вход лазера 3. Корректирующая линза 7 обеспечивает поддержание параллельности лучей внутри пучка, а корректирующая линза 4 осуществляет формирование расходимости пучка для осуществления накачки.
В данном устройстве отсутствует изображение картин и излучение оптоэлектронного преобразователя 6 является однородным. Благодаря зеркалам 1, 5 осуществляется положительная обратная связь оптического выхода лазера 3 с его входом. Увеличение интенсивности света также достигается с помощью фотоэлемента 9, корректирующей линзы 10, светодиода 11, питаемого от источника питания 12. При этом пучок с оптического выхода оптоэлектронного преобразователя 6 через вышеупомянутую корректирующую линзу 7 и повернутое полупрозрачное отражательное зеркало 8 поступает на оптический вход фотоэлемента 9, преобразующего световую энергию в электрическую и спектральная чувствительность которого соответствует спектру, выдаваемому оптоэлектронным преобразователем 6. Выход фотоэлемента 9 соединен с входом светодиода 11 и с выходом источника напряжения 12. В светодиоде 11 осуществляется преобразование электрической энергии в световую, которая через корректирующую линзу 10, обеспечивающую поддержание параллельности лучей внутри пучка, поступает через повернутое полупрозрачное отражательное зеркало 8, через вышеупомянутую корректирующую линзу 4 на оптический вход лазера 3 и поступает также на вышеупомянутый оптический вход фотоэлемента 9. В результате обратной связи происходит лавинообразное увеличение освещенности фотоэлемента 9, а следовательно, и увеличение тока и напряжения на входе светодиода 11, спектр излучения которого соответствует спектру излучения оптоэлектронного преобразователя 6. Расстояние же повернутого полупрозрачного отражательного зеркала 8 от корректирующих линз 7 и 10 обеспечивает настройку контура в резонанс частоты, осуществляющей максимальную генерацию света на выходе лазера 3, благодаря увеличению силы света на этой частоте, поступающей на его вход. Таким образом, осуществляется увеличение мощности излучения лазера 3 благодаря увеличению коэффициента преобразования мощности накачки в выходную мощность. Следовательно, уменьшается влияние отсутствия монохроматичности света на входе лазера 3 на уменьшение мощности излучения. Кроме того, создается возможность работать при отсутствии лампы накачки внутри лазера, так как в качестве лампы можно использовать светодиод 11, после появления на нем световой энергии, достаточной для начала генерации лазера, а дальнейшее увеличение мощности излучения будет происходить вышеизложенным методом. Это уменьшает громоздкость устройства. Пример конкретного исполнения лазера, который может увеличить мощность излучения при осуществлении накачки с помощью света с увеличенной частотой спектра по сравнению с излучаемым спектром, представлен, например, в книге Л.З.Криксунов “Справочник по основам инфракрасной техники”. М., Сов. Радио, 1978 г., стр.308. Пример конкретного исполнения электрооптического отклоняющего устройства представлен, например, в книге Ю.М.Климков “Основы расчета оптикоэлектронных приборов с лазерами” М., Сов. Радио, 1978 г., стр.87, рис.3.5, а прибор конкретного применения фотоэлемента представлен, например, в книге А.М.Василевский и др. “Оптическая электроника”. Энергоатомиздат, 1990 г., стр.26, 27 и в вышеупомянутом Справочнике Л.З.Криксунова на стр.248-250.
Устройство наиболее эффективно может быть использовано в системах, где применяется кристаллический лазер. При этом увеличивается мощность излучения при уменьшении громоздкости.
Формула изобретения
Оптоэлектронный передатчик, содержащий лазер, электрооптическое отклоняющее устройство, две корректирующие линзы, повернутые зеркала и оптоэлектронный преобразователь, оптический выход лазера связан через электрооптическое отклоняющее устройство, повернутые зеркала, оптоэлектронный преобразователь и вторую корректирующую линзу с оптическим входом лазера, отличающийся тем, что дополнительно содержит третью корректирующую линзу, повернутое полупрозрачное зеркало, фотоэлемент, светодиод и источник напряжения, при этом между оптическим выходом оптоэлектронного преобразователя и второй корректирующей линзой расположены оптически последовательно связанные первая корректирующая линза и повернутое полупрозрачное зеркало, оптический выход оптоэлектронного преобразователя связан также через первую корректирующую линзу и повернутое полупрозрачное зеркало с оптическим входом фотоэлемента, выход которого соединен с входом светодиода, соединенного с выходом источника напряжения, оптический выход светодиода связан через третью корректирующую линзу и повернутое полупрозрачное зеркало со второй корректирующей линзой.
РИСУНКИ
|
|