|
|
(21), (22) Заявка: 2006100180/09, 10.01.2006
(24) Дата начала отсчета срока действия патента:
10.01.2006
(46) Опубликовано: 27.10.2007
(56) Список документов, цитированных в отчете о поиске:
ПАЛШКОВ В.В., Радиоприемные устройства, Москва, Радио и связь, 1984, с.297. SU 1075419 А, 23.02.1984. SU 1697261 A1, 07.12.1991. US 5175881 A, 29.12.1992. US 5710997 A, 20.01.1998.
Адрес для переписки:
394018, г.Воронеж, ул. Плехановская, 14, ОАО “Концерн “Созвездие”
|
(72) Автор(ы):
Волошин Леонид Алексеевич (RU), Безгинов Иван Гаврилович (RU)
(73) Патентообладатель(и):
Открытое акционерное общество “Концерн “Созвездие” (RU)
|
(54) ПРИЕМНОЕ УСТРОЙСТВО ЧАСТОТНО-МОДУЛИРОВАННЫХ СИГНАЛОВ
(57) Реферат:
Изобретение относится к области радиотехники и может быть использовано в системах связи широкого применения. Достигаемый технический результат – повышение помехоустойчивости выделения полезного сигнала. Устройство содержит преселектор, преобразователь частоты, усилитель промежуточной частоты, детектор частотно-модулированного сигнала, усилитель низкой частоты, первый ограничитель, первый полосовой фильтр, усилитель-ограничитель, вспомогательный генератор, второй полосовой фильтр, второй ограничитель, третий полосовой фильтр, первый сумматор и второй сумматор. 7 ил.
Предлагаемое устройство относится к области радиотехники и может быть использовано в системах связи широкого применения.
Известно приемное устройство частотно-модулированных (ЧМ) сигналов, приведенное в книге В.В.Палшкова “Радиоприемные устройства”, изд-во “Связь”, М., 1965 г., стр.439, рис.10.2, содержащее преселектор, преобразователь частоты, усилитель промежуточной частоты (УПЧ), детектор ЧМ сигнала, усилитель низкой частоты (УНЧ) и управитель.
Известно также приемное устройство ЧМ сигнала, приведенное в книге Л.Е.Варакина “Системы связи с шумоподобными сигналами”, М., “Радио и связь”, 1985 год, стр.19, рис.11б, содержащее первый смеситель, УПЧ1, второй смеситель, УПЧ2, согласованный фильтр, решающее устройство, гетеродин, генератор ЧМ, частотный модулятор, генератор частот, синхронизатор и получатель информации.
Наиболее близким по технической сущности к заявляемому объекту относится приемное устройство ЧМ сигнала, приведенное в книге В.В.Палшкова “Радиоприемные устройства”, изд-во “Связь”, М., 1965 г., стр.438, фиг.10.1, принятое за прототип.
На фиг.1 приведена функциональная схема устройства-прототипа, где обозначено:
1 – преселектор;
2 – преобразователь частоты;
3 – усилитель промежуточной частоты (УПЧ);
4 – детектор частотно-модулированного сигнала (ЧМС);
5 – усилитель низкой частоты (УНЧ).
Устройство-прототип содержит последовательно соединенные преселектор 1, преобразователь частоты 2, УПЧЗ, детектор ЧМС, УНЧ5.
Работает устройство-прототип следующим образом.
Принятый сигнал поступает на вход преселектора 1, где производится отфильтровка внеполосных сигналов и усиление по высокой частоте. Сигнал с выхода преселектора 1 поступает на преобразователь частоты 2, где производится перенос частоты с высокой на промежуточную. УПЧ3 усиливает сигнал на промежуточной частоте до необходимой величины, затем сигнал детектируется детектором ЧМС4 и через УНЧ5, который усиливает его и выдает на выход потребителю информации.
Недостатками устройства-прототипа ЧМ сигнала являются: понижение чувствительности устройства при наличии больших шумов в тракте этого устройства и срыв связи при наличии в полосе приема помехи значительного уровня.
Для устранения указанных недостатков в устройство, содержащее последовательно соединенные преселектор, преобразователь частоты, УПЧ, последовательно соединенные ЧМС, УНЧ, выход которого является выходом устройства, а вход преселектора является входом устройства, введены: последовательно соединенные вспомогательный генератор, первый сумматор, первый ограничитель, первый полосовой фильтр, усилитель-ограничитель, второй сумматор, второй ограничитель, третий полосовой фильтр, выход которого соединен со входом ЧМС, при этом выход первого ограничителя, кроме того, соединен через второй полосовой фильтр со вторым входом второго сумматора, а выход УПЧ соединен со вторым входом первого сумматора.
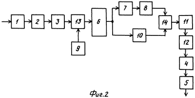
На фиг.2 приведена функциональная схема предлагаемого устройства, где обозначено:
1 – преселектор;
2 – преобразователь частоты;
3 – усилитель промежуточной частоты (УПЧ);
4 – детектор частотно-модулированного сигнала (ЧМС);
5 – усилитель низкой частоты (УНЧ);
6 – первый ограничитель;
7 – первый полосовой фильтр;
8 – усилитель-ограничитель;
9 – вспомогательный генератор;
10 – второй полосовой фильтр;
11 – второй ограничитель;
12 – третий полосовой фильтр;
13 – первый сумматор;
14 – второй сумматор.
Предлагаемое устройство содержит последовательно соединенные преселектор 1, преобразователь частоты 2, УПЧ3, первый сумматор 13, первый ограничитель 6, первый полосовой фильтр 7, усилитель-ограничитель 8, второй сумматор 14, второй ограничитель 11, третий полосовой фильтр 12, ЧМС4, УНЧ5, выход которого является выходом устройства, а вход преселектора 1 является входом устройства, при этом второй вход первого сумматора 13 соединен со входом вспомогательного генератора 9, кроме того, выход первого ограничителя 6 также соединен через второй полосовой фильтр 10 со вторым входом второго сумматора 14.
Работает предлагаемое устройство следующим образом.
Принятый сигнал поступает на вход преселектора 1, где производится отфильтровка внеполосных сигналов и возможно усиление по высокой частоте. С выхода преселектора 1 сигнал поступает на преобразователь частоты 2, где производится перенос с высокой частоты на промежуточную (гетеродин входит в состав преобразователя). УПЧ3 усиливает сигнал на промежуточной частоте до необходимой величины, который затем поступает на первый вход сумматора 13, на второй вход которого подается сигнал со вспомогательного генератора 9. С выхода первого сумматора 13 сигнал поступает на вход первого ограничителя 6.
Известные традиционные способы приема частотно-модулированных сигналов предполагают следующие процедуры над сигналами:
– ограничение по амплитуде принятой смеси (сигнал плюс шум);
– детектирование этой смеси частотным детектором (дискриминатором).
В предлагаемом устройстве в отличие от традиционных введены дополнительные операции над сигналами, позволяющие получить новое качество – повышение помехоустойчивости выделения полезного сигнала. Суть этих дополнительных операций заключается в образовании дополнительного первого зеркального (по отношению к входным сигнал плюс шум) канала, а затем образование второго дополнительного канала с умноженной в три раза девиацией. За счет такого увеличения девиации полезного сигнала происходит перераспределение шумовой составляющей и на выходе дискриминатора повышается отношение сигнал/шум.
Упомянутые операции над сигналом осуществляются следующим образом.
Первый зеркальный канал образуется тем, что принятая смесь (сигнал плюс шум) на выходе УПЧ3

где U – напряжение прямого канала;
Uc– напряжение сигнала;
W – частота сигнала;
– низкая частота;
Uш – напряжение сигнала шума,
и дополнительный вспомогательный гармонический сигнал

подаются одновременно на первый ограничитель 6, но при этом должны быть выдержаны следующие амплитудные и частотные соотношения:

где Uпр – напряжение прямого канала;
2 – полоса пропускания УПЧ приемника.
Вспомогательный гармонический сигнал может быть как справа, так и слева от принятого сигнала в зависимости от удобства разработчика.
Диаграмма сигналов для этой операции (до ограничителя) приведена на фиг.3 в координатах: уровень – частота – время. При этом в первом ограничителе 6 образуется первый зеркальный канал (см. И.С.Гоноровский “Радиотехнические цепи и сигналы”, М., “Радио и связь”, 1986 г., стр.238, рис.8.21 и 8.22) и остается основной (прямой) канал соответственно.


где Uз1(t) – напряжение зеркального канала.
Диаграммы сигналов на выходе первого ограничителя (выражения 4а и 4б) показаны на фиг.4.
Из выражений 4а и 4б видно, что девиации сигнальной части Uз1(t) и Uпр(t) имеют противоположные знаки. Для получения второго зеркального канала проделаем следующие подготовительные операции.
Сигналы Uз1(t) и Uпр(t) подвергаются индивидуальной фильтрации, а один из них, например Uпр(t), подвергается еще усилению и ограничению, вследствие чего вид изменится:

где (t) – угол, в зависимости от времени, описывает паразитную девиацию частоты за счет шума в канале.
Диаграмма сигналов на входе второго ограничителя показана на фиг.5. Должно быть выполнено требование
Uз1c.
Подготавливаемая таким образом смесь сигналов подается на второй ограничитель 11, на выходе которого образуется второй зеркальный канал Uз2(t) относительно Uoc(t), который имеет вид

Это выражение является исходным для последующего ограничения и детектирования частотным дискриминатором. Из него видно, что сигнальная часть имеет утроенную полезную девиацию и удвоенную паразитную. Шумовая компонента в выражении (6), (второе слагаемое), в силу закона образования зеркального канала также приобретает частотную модуляцию по закону полезного сигнала. При этом девиация ЧМ модуляции шумовой составляющей составляет удвоенную величину. Для иллюстрации на фиг.6 показана сигнальная часть Uз2(t) с утроенной полезной девиацией и полоса частот, занимаемая шумовой составляющей Uшз2(t) в зеркальном канале Uз2(t).
На фиг.7 приведена диаграмма, показывающая образование аддитивной шумовой составляющей, модулированной ЧМ полезного сигнала с удвоенной девиацией.
За счет этого явления влияние этой аддитивной составляющей шума на дальнейшее искажение полезного сигнала весьма незначительно.
Дополнительно, влияние этой аддитивной шумовой составляющей ослабляется еще тем, что она детектируется на фоне сигнала с увеличенной в три раза девиацией (Л.Я.Кантор “Методы повышения помехозащищенности приема ЧМ сигнала”, М., “Связь”, 1967 г., стр.41).
Таким образом, влиянием аддитивной шумовой составляющей на сигнал во втором зеркальном канале можно пренебречь и для последующего детектирования рассматривать сигнал вида

Сравнивая исходное выражение (5) и полученное выражение (7), видно, что соотношение между полезной и мешающей составляющими в выражении (7) в 1,5 раза выше, чем в выражении (5).
Это подтверждает положительный эффект предлагаемого устройства.
Формула изобретения
Приемное устройство частотно-модулированных сигналов, содержащее последовательно соединенные преселектор, преобразователь частоты, усилитель промежуточной частоты (УПЧ), последовательно соединенные детектор частотно-модулированного сигнала (ЧМС), усилитель низкой частоты (УНЧ), выход которого является выходом устройства, а вход преселектора является входом устройства, отличающееся тем, что введены последовательно соединенные вспомогательный генератор, первый сумматор, первый ограничитель, первый полосовой фильтр, усилитель-ограничитель, второй сумматор, второй ограничитель, третий полосовой фильтр, выход которого соединен со входом ЧМС, при этом выход первого ограничителя, кроме того, соединен через второй полосовой фильтр со вторым входом второго сумматора, а выход УПЧ соединен со вторым входом первого сумматора.
РИСУНКИ
|
|