|
| На основании пункта 3 статьи 13 Патентного закона Российской Федерации от 23 сентября 1992 г. № 3517-I патентообладатель обязуется передать исключительное право на изобретение (уступить патент) на условиях, соответствующих установившейся практике, лицу, первому изъявившему такое желание и уведомившему об этом патентообладателя и федеральный орган исполнительной власти по интеллектуальной собственности, – гражданину РФ или российскому юридическому лицу. |
|
(21), (22) Заявка: 2006119168/09, 31.05.2006
(24) Дата начала отсчета срока действия патента:
31.05.2006
(46) Опубликовано: 27.10.2007
(56) Список документов, цитированных в отчете о поиске:
SU 1319140 A1, 23.06.1987. RU 2239930 C1, 10.11.2004. RU 2161355 C1, 27.12.2000. SU 193593 A1, 01.01.1967. US 6628486 A, 30.09.2003.
Адрес для переписки:
355021, г.Ставрополь, ул. Ленина, 320, СВВАИУ, НИО, В.И. Винокурову
|
(72) Автор(ы):
Винокуров Владимир Иванович (RU), Винокуров Дмитрий Владимирович (RU), Сухопаров Владимир Павлович (RU)
(73) Патентообладатель(и):
Винокуров Владимир Иванович (RU), Винокуров Дмитрий Владимирович (RU), Сухопаров Владимир Павлович (RU)
|
(54) СПОСОБ ЗАЩИТЫ ЛИНИЙ ЭЛЕКТРОПЕРЕДАЧ И УСТРОЙСТВО ДЛЯ ЕГО ОСУЩЕСТВЛЕНИЯ
(57) Реферат:
Изобретение относится к системам защиты электрических линий, реагирующим на разность между токами, в которых сравниваются значения напряжения или тока в соответствующих точках на разных проводах одной и той же схемы, например током в прямом и обратном проводнике. Технический результат заключается в повышении быстродействия за счет измерения скорости изменения разности токов в прямом и обратном проводе и электронном отключении сети. В схему устройства защиты линии электропередач введены первый и второй датчики тока, схема вычитания, схема измерения скорости разности токов, пороговое устройство и первый и второй электронный выключатель, причем выходы первого и второго датчиков токов соединены с входами схемы вычитания, выход которой через схему измерения скорости изменения разности токов соединен с входом порогового устройства, выход которого соединен с входами первого и второго электронного выключателя. 2 н.п. ф-лы, 1 ил.
Изобретение относится к системам защиты электрических линий, реагирующим на разность между токами, в которых сравниваются значения напряжения или тока в соответствующих точках на разных проводах одной и той же схемы, например током в прямом и обратном проводнике.
Известен способ продольной дифференциальной токовой защиты линии электропередачи с соединительными проводами, при котором измеряют величину и направление токов по концам линии электропередачи, формируют рабочий сигнал, пропорциональный геометрической схеме этих токов, формируют тормозные сигналы, пропорциональные величинам токов по концам линии, контролируют исправность соединительных проводов и при превышении рабочего сигнала над тормозным данного конца линии действуют на отключение линии электропередачи, измеряют скорость изменения тока данного конца линии и действуют на отключение линии при исправном состоянии соединительных проводов, превышении рабочего сигнала над тормозным и фиксированном увеличении скорости изменения тока линии (авторское свидетельство СССР №1319140, кл. Н02Н 3/28, 1985).
Известно устройство для продольной дифференциальной токовой защиты линии электропередачи с выключателями и трансформаторами тока, содержащее полукомплекты, соединенные проводным каналом связи (соединительными проводами), в каждый из которых входят входные преобразователи токов, формирователи абсолютного значения рабочего и тормозного сигналов, блок, на выходе которого формируется сигнал, пропорциональный скорости изменения тока защищаемой линии, реализующий орган, фиксирующий наличие сигнала на выходе блока, орган сравнения рабочего и тормозного сигналов, элемент выдержки времени, логический элемент И, исполнительный элемент, разделительный конденсатор, орган контроля исправности соединительных проводов и логический элемент НЕ (авторское свидетельство СССР №1319140, кл. Н02Н 3/28, 1985).
Недостатком данных способа и устройства является сложность технической реализации и низкое быстродействие.
Технической задачей изобретения является упрощение технической реализации и повышение быстродействия.
Сущность предлагаемого изобретения заключается в том, что в способе защиты линии электропередач, заключающемся в измерении величины и направления токов по концам линии электропередачи, дополнительно формируют сигнал, пропорциональный разности токов в прямом и обратном проводе, формируют сигнал, пропорциональный скорости изменения разности токов в прямом и обратном проводе, сравнивают данный сигнал с пороговым, формируют рабочий сигнал на отключение линии электропередачи при превышении данным сигналом порогового значения.
Устройство, реализующее способ защиты линии электропередач, содержащее выключатель, дополнительно имеет первый и второй датчики тока, схему вычитания, схему измерения скорости разности токов, пороговое устройство и первый и второй электронный выключатель, причем выходы первого и второго датчиков токов соединены с входами схемы вычитания, выход которой через схему измерения разности токов соединен с входом порогового устройства, выход которого соединен с входами первого и второго электронных выключателей.
Технический результат изобретения обеспечен за счет упрощения схемы устройства и повышения его быстродействия за счет применения электронных выключателей.
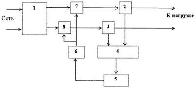
На чертеже приведена функциональная схема устройства защиты линии электропередач.
Устройство защиты линии электропередач содержит выключатель 1, первый 2 и второй 3 датчики тока, схему вычитания 4, схему измерения скорости разности токов 5, пороговое устройство 6 и первый 7 и второй 8 электронный выключатель, причем выходы первого 2 и второго 3 датчиков токов соединены с входами схемы вычитания 4, выход которой через схему измерения разности токов 5 соединен с входом порогового устройства 6, выход которого соединен с входами первого 7 и второго 8 электронного выключателя.
Устройство функционирует следующим образом. При нормальном режиме работы токи в прямом и обратном проводе равны. При возникновении неравенства токов в прямом и обратном проводе, на выходе схемы измерения скорости разности токов 5, формируется сигнал, пропорциональный скорости изменения разности токов. Этот сигнал через пороговое устройство 6 воздействует на первый 7 и второй 8 электронный выключатель и размыкает цепь.
Источники информации
1. Авторское свидетельство СССР №1319140, кл Н02Н 3/28, 1985.
Формула изобретения
1. Способ защиты линии электропередач, заключающийся в измерении величины и направления токов по концам линии электропередачи, отличающийся тем, что формируют сигнал, пропорциональный разности токов в прямом и обратном проводе, формируют сигнал, пропорциональный скорости изменения разности токов в прямом и обратном проводе, сравнивают данный сигнала с пороговым, формируют рабочий сигнал на отключение линии электропередачи при превышении данным сигналом порогового.
2. Устройство защиты линии электропередач, содержащее выключатель, отличающееся тем, что имеет первый и второй датчики тока, схему вычитания, схему измерения скорости изменения разности токов, пороговое устройство и первый и второй электронные выключатели, причем выходы первого и второго датчиков тока соединены с входами схемы вычитания, выход которой через схему измерения скорости изменения разности токов соединен с входом порогового устройства, выход которого соединен с входами первого и второго электронных выключателей.
РИСУНКИ
|
|