|
|
(21), (22) Заявка: 2006121787/09, 19.06.2006
(24) Дата начала отсчета срока действия патента:
19.06.2006
(46) Опубликовано: 27.10.2007
(56) Список документов, цитированных в отчете о поиске:
RU 2150120 С1, 27.05.2000. RU 2060508 C1, 20.05.1996. US 3992666 A, 16.11.1976. DE 3042135 A1, 22.05.1982.
Адрес для переписки:
194064, Санкт-Петербург, Тихорецкий пр., 3, ВОЕННАЯ АКАДЕМИЯ СВЯЗИ, бюро изобретательства
|
(72) Автор(ы):
Анженко Александр Васильевич (RU), Костырев Андрей Леонидович (RU), Максимов Роман Викторович (RU), Петров Владимир Викторович (RU), Платонов Дмитрий Станиславович (RU)
(73) Патентообладатель(и):
ВОЕННАЯ АКАДЕМИЯ СВЯЗИ (RU)
|
(54) СПОСОБ ОБНАРУЖЕНИЯ И ИДЕНТИФИКАЦИИ НЕСАНКЦИОНИРОВАННО УСТАНОВЛЕННЫХ НА ОБЪЕКТЕ ЭЛЕКТРОННЫХ УСТРОЙСТВ
(57) Реферат:
Изобретение относится к средствам контроля работы электронного оборудования и может быть использовано для выявления и устранения технических каналов утечки конфиденциальной информации, образованных с помощью несанкционированно установленных на объекте электронных устройств (НУОЭУ). Технический результат состоит в разработке способа, обеспечивающего повышение достоверности обнаружения и идентификации указанных электронных установок. Для этого в способе предварительно формируют базу данных о спектральных составляющих побочных генераторных излучений известных НУОЭУ перехвата информации и базу данных о спектральных составляющих радиоизлучений санкционированно установленных на объекте электронных устройств (СУОЭУ) и расписании их работы. Затем анализируют в заданном частотном диапазоне все радиосигналы от электронных установок на объекте, для чего принимают эти сигналы, усиливают их и выделяют их спектральные составляющие, превышающие заданный пороговый амплитудный уровень. Выделенные спектральные составляющие сравнивают с предварительно сформированными данными о спектральных составляющих СУОЭУ и НУОЭУ. По результатам сравнения делают вывод о наличии на объекте НУОЭУ и идентифицируют ее. 3 ил.
Изобретение относится к средствам контроля работы электронного оборудования и может быть использовано с целью выявления и устранения технических каналов утечки конфиденциальной информации, образованных с помощью электронных устройств, несанкционированно установленных на объекте, например скрытых радиомикрофонов и видеокамер.
Заявленное техническое решение расширяет арсенал средств данного назначения.
Известны технические решения по обнаружению несанкционированно проложенных токоведущих трасс, предусматривающие электромагнитное облучение подозреваемых мест с последующей обработкой отраженных сигналов (DE 4025171 A1, G01R 31/308, 13.02.92), либо измерение излучаемого установкой электрического поля с использованием, например, каскадов на полевых транзисторах (DE 2545717 A1, G01R 29/08, 21.04.77). Недостатком данных способов является ограниченная область практического применения, что обусловлено их предназначением в основном для поиска простейших проводников с током.
Известен способ обнаружения и идентификации несанкционированно установленных на объекте электронных установок (НУОЭУ), согласно которому электронную установку обнаруживают, анализируя излучаемый ею в окружающее пространство радиочастотный сигнал, который принимают, усиливают и разделяют на спектральные составляющие и фиксируют только составляющие, превышающие заданный порог (US 3992666 А, G01R 23/16, 16.11.76). Недостатки данного аналога состоят в низкой достоверности результирующей информации, обусловленной влиянием помех, и невозможности определения типа НУОЭУ, что обусловлено применением ограниченной совокупности признаковых описаний анализируемого радиочастотного сигнала.
Наиболее близким к предложенному способу является способ обнаружения и идентификации НУОЭУ, реализованный по патенту РФ №2150120 “Способ обнаружения и идентификации скрытых электронных установок и устройство для его осуществления”, класс G01R 29/08, заявл. 09.11.1999. Способ-прототип заключается в том, что анализу подвергают побочное излучение вспомогательных генераторов электронной установки, при этом НУОЭУ обнаруживают, анализируя излучаемый ею в окружающее пространство радиочастотный сигнал, который принимают, усиливают и разделяют на спектральные составляющие, сравнивают полученные спектральные составляющие с частотами из априорно определенных частотных спектров побочных генераторных излучений известных электронных установок (например, радиомикрофонов и видеокамер) и по результатам сравнения идентифицируют НУОЭУ.
По сравнению с аналогами способ-прототип может быть использован в более широкой области, когда не только обнаруживается НУОЭУ, но и определяется ее тип, что необходимо для повышения оперативности выявления и устранения технических каналов утечки конфиденциальной информации на объекте, образованных с помощью НУОЭУ.
Недостатком прототипа является низкая достоверность обнаружения и идентификации НУОЭУ, а именно указанная электронная установка может быть не обнаружена в случае совпадения частоты ее радиоизлучения и расписания работы с частотой излучения и расписанием работы санкционированно установленных на объекте электронных установок (СУОЭУ). Кроме того, в случае обнаружения на объекте радиоизлучения электронной установки неизвестного типа возникает неопределенность еще и относительно назначения указанной установки, т.к. в прототипе применяют ограниченную совокупность признакового пространства и не предусматривается учет данных о спектральных составляющих радиоизлучений СУОЭУ и расписании их работы.
Целью заявленного технического решения является разработка способа обнаружения и идентификации НУОЭУ, обеспечивающего повышение достоверности обнаружения и идентификации указанных электронных установок, что необходимо для своевременного и оперативного выявления и устранения на объекте технических каналов утечки конфиденциальной информации.
Поставленная цель достигается тем, что в известном способе обнаружения и идентификации НУОЭУ, заключающемся в том, что предварительно формируют базу данных о спектральных составляющих побочных генераторных излучений известных типов НУОЭУ, принимают и усиливают сигналы, излучаемые на объекте, выделяют их спектральные составляющие, сравнивают их с предварительно сформированными данными о спектральных составляющих сигналов и по результатам сравнения идентифицируют НУОЭУ, предварительно формируют дополнительную базу данных о спектральных составляющих радиоизлучений СУОЭУ, данные об их пороговых амплитудных значениях и расписании их работы. Затем анализируют в заданном частотном диапазоне все радиосигналы от электронных установок на объекте, для чего принимают эти сигналы, усиливают, выделяют их спектральные составляющие, превышающие заданный пороговый амплитудный уровень, сравнивают их с предварительно сформированными данными о спектральных составляющих СУОЭУ и данными о расписании их работы. При их совпадении продолжают анализ в заданном частотном диапазоне, а при несовпадении выделенные спектральные составляющие сравнивают с предварительно сформированными данными о спектральных составляющих побочных генераторных излучений НУОЭУ. В случае несовпадения по результатам сравнения делают вывод об обнаружении неизвестной, а при их совпадении идентифицируют НУОЭУ.
Благодаря новой совокупности существенных признаков в заявленном способе обеспечивается более высокая достоверность обнаружения и идентификации НУОЭУ за счет учета в совокупности признаковых описаний не только спектральных составляющих побочных генераторных излучений известных типов НУОЭУ, но и спектральных составляющих радиоизлучений СУОЭУ, что необходимо для своевременного и оперативного выявления и устранения на объекте технических каналов утечки конфиденциальной информации.
Проведенный анализ уровня техники позволил установить, что аналоги, характеризующиеся совокупностью признаков, тождественных всем признакам заявленного технического решения, отсутствуют, что указывает на соответствие заявленного устройства условию патентоспособности «новизна». Результаты поиска известных решений в данной и смежных областях техники с целью выявления признаков, совпадающих с отличительными от прототипа признаками заявленного объекта, показали, что они не следуют явным образом из уровня техники. Из уровня техники также не выявлена известность влияния предусматриваемых существенными признаками заявленного изобретения преобразований на достижение указанного технического результата. Следовательно, заявленное изобретение соответствует условию патентоспособности «изобретательский уровень».
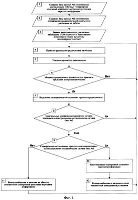
Заявленный способ поясняется чертежами, на которых показаны:
фиг.1 – блок-схема алгоритма, реализующего способ обнаружения и идентификации несанкционированно установленных на объекте электронных установок;
фиг.2, 3 – схемы, иллюстрирующие последовательность анализа спектральных составляющих радиоизлучений.
Заявленный способ реализуется следующим образом. Известно, что для своевременного и оперативного выявления и устранения технических каналов утечки конфиденциальной информации, образованных за счет НУОЭУ перехвата информации, необходимо с высокой достоверностью определять факты работы указанных установок и исключить ложное реагирование на факты работы СУОЭУ. Существующие технические решения не позволяют достичь необходимого уровня достоверности при выявлении НУОЭУ перехвата информации, так как современные объекты характеризуются большим количеством СУОЭУ, радиоизлучения которых проявляют себя как помехи в процессе выявления и устранения (ликвидации) НУОЭУ.
Поиск эффективных технических решений может быть осуществлен путем включения в процесс анализа дополнительных данных, характеризующих работу установленных на объекте электронных установок. Такими данными являются совокупности признаковых описаний не только спектральных составляющих побочных генераторных излучений известных типов НУОЭУ, но и спектральных составляющих радиоизлучений СУОЭУ, информация об их пороговых амплитудных значениях и расписании их работы, что реализуется в предлагаемом способе. Схемы, иллюстрирующие реализацию предлагаемого способа обнаружения и идентификации НУОЭУ представлены на фиг.2, 3.
Возможность реализации заявленного способа объясняется следующим. Предварительно формируют базу данных №1 (п.1 фиг.1, п.6 фиг.2) о спектральных составляющих побочных генераторных излучений известных НУОЭУ перехвата информации, что обеспечивает в дальнейшем идентификацию типа обнаруженной НУОЭУ, и дополнительную базу данных №2 о спектральных составляющих радиоизлучений СУОЭУ (п.2 фиг.1, п.5 фиг.2). В базу данных №2 также включают данные о пороговых амплитудных значениях спектральных составляющих радиоизлучений и расписании работы СУОЭУ (п.3 фиг.1). Учет в базе данных №2 информации о спектральных составляющих радиоизлучений СУОЭУ, их пороговых амплитудных значениях и расписании работы обеспечивает исключение ложного реагирования на факты работы СУОЭУ в процессе обнаружения и идентификации НУОЭУ. Методы преобразования сигнала с целью формирования первичных признаков для решения задач распознавания сигналов описаны, например, в книгах: Алексеев А.А. и Кириллов А.Б. «Технический анализ сигналов и распознавание радиоизлучений». – СПб.: ВАС, 1998, с.24-31, Марпл – мл. С.Л. «Цифровой спектральный анализ и его приложения». – М.: Мир, 1990, с.43-67.
Затем анализируют в заданном частотном диапазоне все радиосигналы от электронных установок на объекте, для чего принимают эти сигналы, усиливают их (п.4, 5 фиг.1, п.1 фиг.2, п.а, б фиг.3) и выделяют их спектральные составляющие, превышающие заданный пороговый амплитудный уровень (п.6, 7 фиг.1, п.2, 3 фиг.2, п.в фиг.3). Методы приема и спектрального анализа сигналов описаны, например, в книге Воллернера Н.Ф. «Аппаратурный спектральный анализ сигналов». – М.: Сов. Радио, 1977. Выделенные спектральные составляющие (п.в фиг.3) сравнивают с предварительно сформированными данными о спектральных составляющих санкционированных электронных установок и с данными о расписании их работы (п.8, 9 фиг.1, п.4 фиг.2, п.г фиг.3). Методы сравнения и обнаружения изменений сигналов описаны, например, в книге «Обнаружение изменения свойств сигналов и динамических систем» (Под редакцией М.Бассвиль и А.Банвениста. – М.: Мир, 1989, с.28-43). При их совпадении (п.8 фиг.1) продолжают анализ радиосигналов от электронных установок на объекте в заданном частотном диапазоне (п.4, 5, 6, 7 фиг.1). При их несовпадении (п.8 фиг.1) выделенные спектральные составляющие сравнивают (п.9 фиг.1, п.7 фиг.2) с предварительно сформированными данными (п.6 фиг.2) о спектральных составляющих побочных генераторных излучений несанкционированных электронных установок (п.е фиг.3). В случае их несовпадения (п.9 фиг.1) по результатам сравнения делают вывод (п.11 фиг.1) об обнаружении неизвестной несанкционированно установленной электронной установки на объекте (п.ж фиг.3), а при их совпадении (п.9 фиг.1) идентифицируют несанкционированно установленную электронную установку (п.10, 12 фиг.1, п.е фиг.3).
Таким образом, из рассмотренной сути способа видно, что способ обеспечивает повышение достоверности определения фактов работы НУОЭУ и исключение ложного реагирования на работу СУОЭУ и, следовательно, повышение защищенности информации на объекте от утечки по искусственно созданным техническим каналам. Этим достигается сформулированная цель – разработка способа обнаружения и идентификации несанкционированно установленных на объекте электронных установок, обеспечивающего повышение достоверности обнаружения и идентификации НУОЭУ электронных установок, что необходимо для своевременного и оперативного выявления и устранения на объекте технических каналов утечки конфиденциальной информации.
Формула изобретения
Способ обнаружения и идентификации несанкционированно установленных на объекте электронных устройств, заключающийся в том, что предварительно формируют базу данных о спектральных составляющих побочных генераторных излучений известных несанкционированно устанавливаемых на объекте электронных установок перехвата информации, принимают и усиливают сигналы, излучаемые на объекте, выделяют их спектральные составляющие, сравнивают их с предварительно сформированными данными о спектральных составляющих сигналов и по результатам сравнения идентифицируют несанкционированно установленную на объекте электронную установку, отличающийся тем, что предварительно формируют дополнительную базу данных о спектральных составляющих радиоизлучений санкционированно установленных электронных установок на объекте, кроме того, в дополнительной базе данных учитывают данные о пороговых амплитудных значениях и расписании работы в заданном частотном диапазоне радиосигналов от санкционированных электронных установок на объекте, в процессе контроля осуществляют прием и усиление радиосигналов, излучаемых электронными установками, выделяют спектральные составляющие, превышающие предварительно заданный пороговый амплитудный уровень и сравнивают с предварительно сформированными данными в дополнительной базе данных о спектральных составляющих санкционированных электронных установок, при их совпадении продолжают анализ радиосигналов в заданном частотном диапазоне, а при несовпадении выделенные спектральные составляющие сравнивают с предварительно сформированными данными о спектральных составляющих побочных генераторных излучений несанкционированно установленных на объекте электронных установок, в случае обнаружения несоответствия данных о выделенных спектральных составляющих с предварительно сформированными данными о спектральных составляющих побочных генераторных излучений несанкционированно установленных на объекте электронных установок делают вывод об обнаружении неизвестной ранее несанкционированно установленной электронной установки на объекте, а при их совпадении идентифицируют несанкционированно установленную электронную установку.
РИСУНКИ
MM4A – Досрочное прекращение действия патента СССР или патента Российской Федерации на изобретение из-за неуплаты в установленный срок пошлины за поддержание патента в силе
Дата прекращения действия патента: 20.06.2008
Извещение опубликовано: 20.06.2010 БИ: 17/2010
|
|