|
|
(21), (22) Заявка: 2006114928/06, 03.05.2006
(24) Дата начала отсчета срока действия патента:
03.05.2006
(46) Опубликовано: 27.10.2007
(56) Список документов, цитированных в отчете о поиске:
RU 2235218 С2, 27.08.2004. SU 1321906 A1, 07.07.1987. RU 2160850 C1, 20.12.2000. SU 168713 A1, 30.10.1991. US 3436908 А, 30.10.1991.
Адрес для переписки:
141570, Московская обл., Солнечногорский р-н, п. Менделеево, ул. Куйбышева, 5, кв.21, В.С. Черепанову
|
(72) Автор(ы):
Черепанов Владимир Савельевич (RU)
(73) Патентообладатель(и):
Черепанов Владимир Савельевич (RU)
|
(54) ВОЗДУХОНАПОРНОЕ УСТРОЙСТВО
(57) Реферат:
Устройство относится к энергетике и предназначено для выработки сжатого воздуха и может быть использовано на тепловых и атомных электростанциях, работающих на сжатом воздухе. Воздухонапорное устройство выполнено в виде змеевикового воздушного тракта, состоящего из восходящих (теплоизолированных) и нисходящих труб, последовательно соединенных между собой и сгруппированных в регенеративные секции по нескольку витков в каждой. Путем подвода теплоты к рабочему воздуху в восходящих трубах и отвода теплоты в нисходящих трубах в витках змеевика формируются неравновесные горячие и холодные восходящие и нисходящие воздушные потоки, поступенчато сжимающие рабочий воздух до высоких статических давлений без применения каких-либо движущихся механизмов и промежуточных энергопреобразователей. При этом подвод и отвод теплоты внешними теплоносителями от источников теплообмена производятся соответственно только в крайних витках секции, а в смежных витках участки теплообмена соединены промежуточными теплоносителями, переносящими утилизированную теплоту охлаждаемого воздуха из нисходящей трубы к нагреваемому воздуху в восходящую трубу. Промежуточные теплоносители состоят из парового котла-утилизатора для выработки перегретого пара на теплоте охлаждаемого воздуха и соединенного с ним теплоизолированным паропроводом паровоздушного трубчатого нагревателя. Такое выполнение устройства позволяет значительно повысить его термический КПД при выработке сжатого воздуха. 1 з.п. ф-лы, 2 ил.
Изобретение относится к области теплоэнергетики, в частности к преобразователям тепловой энергии воздушного столба в энергию сжатого воздуха.
Известен преобразователь тепловой энергии воздушного столба в энергию воздушного потока [1]. Преобразователь содержит восходящую трубу, проложенную в толще горы. Входной и выходной концы трубы размещены в атмосфере, а ее нижняя часть, выполненная в виде петли, частично погружена в речную воду для использования в зимнее время ее плюсовой температуры. Нагретый в нижней части трубы воздух как более легкий вытесняется из трубы холодным более плотным атмосферным воздухом, образуя тем самым воздушный поток. К недостаткам такого преобразователя относятся низкие перепады давлений.
Известно воздухонапорное устройство (ВНУ) в составе теплоэлектростанции, работающей на сжатом воздухе [2], воздушный тракт которого выполнен в виде витков змеевика, состоящих из восходящих (теплоизолированных) и нисходящих труб, проложенных по склонам гор и последовательно соединенных на вершинах. Путем подвода теплоты от внешних источников тепловыделения и отбора теплоты окружающей средой в витках змеевика формируются неравновесные горячие и холодные восходящие и нисходящие воздушные потоки, поступенчато сжимащие рабочий воздух до высоких статических давлений, оцениваемых десятками МПа. Для перемещения сжатого воздуха и преодоления гидросопротивлений на входе в ВНУ установлен воздушный нагнетатель. Достоинством ВНУ является прямое преобразование тепловой энергии в энергию сжатого воздуха без применения каких-либо движущихся механизмов и энергопреобразователей. К недостаткам относятся низкая степень повышения давления в одной ступени (1,2-1,5), ограниченная высотой воздушного столба, и большие потери теплоты, уходящей с охлаждающими теплоносителями. Данное устройство принято за прототип.
Задачей изобретения является повышение термического КПД ВНУ за счет установки между охлаждаемыми и нагреваемыми воздушными потоками в змеевике энергосберегающих промежуточных теплоносителей.
Указанный технический результат достигается тем, что в известном ВНУ, содержащем змеевиковый воздушный тракт из восходящих (теплоизолированных) и нисходящих труб, проложенных, например, по склонам гор и последовательно соединенных между собой на вершинах, на входе которого установлен воздушный нагнетатель, а на выходе регулировочный вентиль, а также воздухонагреватели от внешних источников тепловыделения (ИТВ) с температурой нагрева выше температуры окружающей среды и охлаждающие теплообменники с окружающей средой, змеевиковый воздушный тракт разделен на последовательно соединенные между собой регенеративные секции по несколько витков в каждой, в смежных витках которых входные участки нисходящих и восходящих труб снабжены промежуточными теплоносителями, переносящими утилизированную теплоту охлаждаемого воздуха из нисходящей трубы к нагреваемому воздуху в восходящую трубу. При этом воздухонагреватели от внешних источников тепловыделения устанавливаются только в первых витках регенеративных секций, а охлаждающие теплообменники с окружающей средой – в последних.
Указанный технический результат достигается и тем, что в качестве промежуточного теплоносителя используется паровой котел-утилизатор, аккумулирующий теплоту отработавшего воздуха в перегретом паре, и соединенный с ним теплоизолированным паропроводом паровоздушный трубчатый нагреватель с выходом конденсата в окружающую среду.
Применяемый котел-утилизатор может быть как прямоточного типа с принудительным потоком воды, пароводяной смеси и перегретого пара, так и циркуляционного типа с многократно принудительной циркуляцией пароводяной смеси в испарительном контуре [3].
На Фиг.1 приведена структурная схема воздухонапорного устройства, состоящая из двух основных комплексов – воздухонапорного и теплового. На Фиг.2 – зависимость степени повышения давления в витке от температуры и высоты воздушного столба.
Рассматриваемый воздухонапорный комплекс содержит две соединенные в змеевик регенеративные трехвитковые секции РС-1 и РС-2, состоящие из восходящих 1 и нисходящих 2 труб. На входном конце змеевика установлен воздушный нагнетатель низкого давления 3 для проталкивания воздушных потоков, на выходном – регулировочный вентиль 4, управляющий расходом сжатого воздуха. Тепловой комплекс содержит воздухонагреватели (ВН) 5, установленные на входных участках регенеративных секций и соединенные с внешним источником тепловыделения (ИТВ) 6. Входные участки нисходящих и восходящих труб смежных витков соединены промежуточными теплоносителями 7, состоящими из котла-утилизатора 8 и паровоздушного нагревателя 9. В последних витках секций установлены охлаждающие теплообменники 10 для удаления охлаждающего теплоносителя в атмосферу.
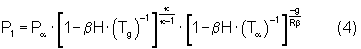
Работу сжатия в воздухонапорном комплексе можно проследить на работе одного витка. Поскольку увеличение высоты воздушного столба сопровождается падением давления и температуры, рассмотрим на примере первого витка РС-1 распределение параметров состояния в нижнем (а-а) и верхнем (б-б) соединительных сечениях восходящей трубы 1 (на участках теплообмена). Упрощая задачу, примем, что восходящая труба уже наполнена горячим воздухом, а выход из нисходящей трубы перед ПВН 9 второго витка перекрыт, что обеспечивает рассмотрение параметров в состоянии покоя. Тогда, из условия равновесия давление горячего столба внутри восходящей адиабатной трубы в нижнем соединительном сечении Рg

будет уравновешено с внешней стороны давлением холодного атмосферного воздуха Р , описываемого уравнением политропы [4]

где Pgh и Р h – давления горячего и холодного воздуха на уровне Н, Па;
Т и Tg – температуры воздуха на входе и на выходе ВН, К; Н – высота воздушного столба, м; – высотный градиент снижения температуры, град/м; К – показатель адиабаты; R – газовая постоянная, Дж/кг·К; g – ускорение свободного падения, м/с.
Из уравнений (1) и (2) следует, что давление Pgh над горячим столбом воздуха внутри трубы всегда превышает атмосферное на том же уровне вне трубы P h на величину разности веса воздушных столбов, что и представляет собой сущность статической компрессии. Другими словами, статическое сжатие воздуха в трубе происходит не за счет работы расширения его при нагреве, как это происходит обычно в закрытых термодинамических процессах, а за счет работы сжатия горячего столба внешней архимедовой силой, вызываемой неравновесностью сообщающихся столбов.
В верхнем соединительном сечении на участке теплообмена при постоянном давлении Pgh горячий воздух в восходящей трубе непосредственно сообщается через охлаждающее устройство с охлажденным воздухом в нисходящей трубе, сжимает его и будет находиться в равновесии с ним постоянно при Pgh=const. В нисходящей теплопроницаемой трубе при температуре, равной температуре окружающей среды, состояние рабочего воздуха также определяется по уравнению (2), где (сменив Р h на Pgh, Pg=P по условию) давление сжатия Р1 на выходе из витка принимает наибольшее значение

или, после совмещения (3) с уравнением (1), имеем

При установившемся потоке воздуха в трубах происходит нарушение статического равновесия, однако сжатие воздуха по данной схеме остается прежним и производится последовательно во всех других витках секции с учетом изменяющихся параметров по давлению и температуре по формуле

где n – порядковый номер витка; Pn-1 – давление воздуха на выходе предыдущего витка, МПа; Тg – температура горячего воздуха в восходящей трубе n – витка, К.
В тепловом комплексе тепловой поток (Q1), приобретаемый рабочим воздухом в ВН 5 первого витка, рассчитывается по уравнению теплового баланса [3]

где Qp – располагаемый поток теплоты, подводимый от ИТВ, кВт; М – массовый расход воздуха, кг/с; (cp)” и (cp)’ – теплоемкости при t и t’, °C, кДж/кг·град; l’ и lк – энтальпии горячего и охлажденного теплоносителя; – КПД воздухонагревателя.
В свою очередь, Q1 можно разложить на составляющие баланса

где QB – теплопотери в восходящей трубе через стенки, от влияния высотного градиента и уходящие с охлаждаемым воздухом; QК – теплота, передаваемая в котле-утилизаторе перегретому пару; QП – сумма потерь в паропроводе и уходящих с конденсатом; QН – тепловой поток, отданный перегретым паром в ПВН 9 смежного витка.
Поскольку витки идентичны, теплоту, проходящую через них, удобно выражать через Qi первого витка, располагающего максимумом тепловой энергии, получаемой от ИТВ 6

где Qn – тепловой поток, проходящий через n – виток секции, кВт;
К=(1- QB) (1- QП) Н – коэффициент передачи теплоты;
 – КПД котла-утилизатора; Н – КПД паровоздушного нагревателя n – витка.
Отсюда, располагаемый поток Qp можно представить в виде суммы тепловых затрат в витках PC по формуле

где Q – теплота, удаляемая из от 10 в атмосферу.
Пользуясь тепловыми потоками по формуле (8) и уравнением теплового баланса (6) нетрудно рассчитать температуру горячего воздуха в любом из витков через разность энтальпий и использовать ее в уравнении (5) для определения промежуточных давлений.
На Фиг.2 изображена графическая зависимость степени повышения давления от температуры и высоты воздушного столба. Из графиков видно, что наибольшее влияние на величину в витке оказывает высота столба и значительно меньшее – температура. Таким образом, работа сжатия, выполняемая внешней силой, осуществляется практически при постоянной температуре, если не считать внутренних потерь теплоты через поверхности трубы и снижения температуры с высотой. В этой связи, учитывая большой тепловой потенциал уходящей из витка теплоты, повышение эффективности может рассматриваться только за счет дальнейшего использования этого потенциала, а термический КПД – как отношение количества теплоты, потребляемой всеми витками секции (а не одним витком как в прототипе) к подводимому располагаемому потоку

Так, например, для Н=5000 м в диапазоне потенциально используемых температур от 1000 до 400 К и потерях теплоты в витках, снижающих температуру потока в среднем до 200°С в PC, может быть установлено четыре витка с общей степенью повышения давления.

По расчетам, ожидаемый термический КПД лежит в пределах 60-90%, что в несколько раз превосходит КПД прототипа при одинаковых затратах Qp. ВНУ с одной регенеративной секцией могут выполняться для сжатия воздуха до 0,5-0,6 МПа. Для более высоких давлений змеевик должен составляться из нескольких секций с подводом теплоты от ИТВ к каждой секции в отдельности.
ВНУ работают на любых ИТВ (органическом или ядерном топливе, источниках искусственного или естественного происхождения окружающей среды). Основное назначение ВНУ – массовое производство сжатого воздуха, востребованного как энергетическое сырье для различных отраслей промышленности.
Широкое применение ВНУ могут найти в электроэнергетике, например, в составе энергоустановок тепловых и атомных электростанций, работающих на чистом сжатом воздухе. Использование сжатого воздуха в качестве рабочего тела с параметрами давлений на уровне паровых турбин (до 15-20) МПа, а рабочих температур до 800-900°С, что почти вдвое превышает температуры водяных паров, а также способность ТЭС работать на низкосортном топливе открывают хорошие перспективы для их развития.
Успешно ВНУ могут применяться и для создания длительных и непрерывных воздушно-газовых потоков с большими расходами и высокими давлениями для научно-исследовательских и экспериментальных целей, например, в аэродинамических испытательных центрах при оценке обтекаемости различных форм и моделей.
Источники информации
1. SU 1321906 А, 07.07.1987 (БИ N25, 1987).
2. RU 2235218 С2, 31.07.2002 (БИ N24, 2004).
3. Баскаков А.П. Теплотехника. М.: Энергоиздат, 1991 (с.106, 146).
4. Алексеев А.В. и др. Оптическая рефракция в земной атмосфере. Н.: Наука, 1982, (с.37).
Формула изобретения
1. Воздухонапорное устройство, содержащее змеевиковый воздушный тракт из восходящих (теплоизолированных) и нисходящих труб, последовательно соединенных между собой на вершинах, на входе которого установлен воздушный нагнетатель, а на выходе – регулировочный вентиль, а также воздухонагреватели от внешних источников тепловыделения с температурой нагрева выше температуры окружающей змеевик среды и охлаждающие теплообменники с окружающей средой, отличающееся тем, что змеевиковый воздушный тракт разделен на последовательно соединенные между собой регенеративные секции по нескольку витков в каждой, в смежных витках которых входные участки нисходящих и восходящих труб снабжены промежуточными теплоносителями, переносящими утилизированную теплоту охлаждаемого воздуха из нисходящей трубы к нагреваемому воздуху в восходящую трубу, при этом воздухонагреватели от внешних источников тепловыделения устанавливаются только в первых витках регенеративных секций, а охлаждающие теплообменники с окружающей средой – в последних.
2. Воздухонапорное устройство по п.1, отличающееся тем, что в качестве промежуточного теплоносителя используется паровой котел-утилизатор, аккумулирующий теплоту отработавшего воздуха в перегретом паре и соединенный с ним теплоизолированным паропроводом паровоздушный трубчатый нагреватель с выходом конденсата в окружающую среду.
РИСУНКИ
|
|