|
|
(21), (22) Заявка: 2004131641/04, 25.03.2003
(24) Дата начала отсчета срока действия патента:
25.03.2003
(30) Конвенционный приоритет:
27.03.2002 GB 0207289.0 04.11.2002 GB 0225678.2
(43) Дата публикации заявки: 27.06.2005
(46) Опубликовано: 27.10.2007
(56) Список документов, цитированных в отчете о поиске:
WO 9965906 А1, 23.12.1999. WO 0063203 A1, 26.10.2000. RU 2127270 C1, 10.03.1999.
(85) Дата перевода заявки PCT на национальную фазу:
27.10.2004
(86) Заявка PCT:
EP 03/03197 (25.03.2003)
(87) Публикация PCT:
WO 03/080580 (02.10.2003)
Адрес для переписки:
129010, Москва, ул. Б.Спасская, 25, стр.3, ООО “Юридическая фирма Городисский и Партнеры”, пат.пов. Е.Е.Назиной, рег. № 517
|
(72) Автор(ы):
АХМЕД Махмуд (GB), ДЖОНСОН Кристофер Норберт (GB), ДЖОУНС Мартин К. (GB), МАКДОНАЛЬД Грегор Джеймс (GB), МОСС Стефен Фредерик (GB), ТОМПСОН Мервин (GB), ВЭЙД Чарльз Эдвард (GB), ВИТТИ Дэвид (GB)
(73) Патентообладатель(и):
ГЛЭКСО ГРУП ЛИМИТЕД (GB)
|
(54) 3-ФЕНИЛСУЛЬФОНИЛ-8-ПИПЕРАЗИН-1-ИЛ-ХИНОЛИНЫ, ОБЛАДАЮЩИЕ АФФИННОСТЬЮ К 5-HT6 РЕЦЕПТОРУ, СПОСОБЫ ИХ ПОЛУЧЕНИЯ (ВАРИАНТЫ)
(57) Реферат:
Описывается 3-фенилсульфонил-8-пиперазин-1-ил-хинолин формулы (I) или его фармацевтически приемлемая соль, где R1 и R2 представляют собой независимо водород или С1-6алкил или R1 связан с R2 с образованием группы (СН2)2, (СН2)3 или (СН2)4; R3, R4 и R5 представляют собой водород, галоген или С1-6алкил; m представляет целое число от 1 до 4, когда m представляет целое число, которое больше чем 1, две группы R2 могут быть связаны с образованием группы СН2, (СН2)2 или (СН2)3; n равно целому числу от 1 до 3; А представляет собой группу -Ar1, Ar1 представляет собой фенильную группу, которая может быть необязательно замещена одним или несколькими, одинаковыми или разными заместителями, выбранными из группы: галоген, трифторметил, трифторметокси, С1-6алкил, С1-6алкокси. Описываются 4 способа получения соединения формулы (I). Технический результат – соединения формулы (I) обладают аффинностью к 5-НТ6 рецептору. 5 н. и 18 з.п. ф-лы, 6 ил, 5 табл.

Данное изобретение относится к новым производным хинолина, обладающим фармакологической активностью, способам их получения, содержащим их композициям и их использованию при лечении нарушений ЦНС и других нарушений.
В WO 98/27081 описан ряд арилсульфонамидных соединений, которые, как указывается, являются антагонистами 5-НТ6-рецептора и которые, как заявлено, являются полезными при лечении различных нарушений ЦНС. В патенте Великобритании 2341549 и в WO 99/47516 и WO 99/65906 описан ряд производных индола, которые, как заявлено, обладают аффинностью к 5-НТ6-рецептору. В патенте Японии 02262627 (Japan Synthetic Rubber Co) описан ряд замещенных производных хинолина, полезных в качестве элементов, преобразующих длину волны. В WO 00/42026 (Novo Nordisk) описан ряд производных хинолина и хиноксалина для использования в качестве агонистов GLP-1.
Теперь обнаружен структурно новый класс соединений, которые также обладают аффиностью к 5-НТ6-рецептору. В настоящем изобретении, таким образом, предложено в первом аспекте соединение формулы (I) или его фармацевтически приемлемая соль

где R1 и R2 представляют собой независимо водород или С1-6алкил или R1 связывается с R2 с образованием группы (СН2)2, (СН2)3 или (СН2)4;
R3, R4 и R5 представляют собой независимо водород, галоген, циано, -CF3, -CF3O, С1-6алкил, С1-6алкокси, С1-6алканоил или группу -CONR6R7;
R6 и R7 представляют собой независимо водород или С1-6алкил или могут быть соединены вместе с образованием 5-7-членного ароматического или неароматического гетероциклического кольца, необязательно прерываемого атомом О или S;
m представляет целое число от 1 до 4, так что, когда m представляет целое число, которое больше чем 1, две группы R2 могут быть связаны с образованием группы СН2, (СН2)2 или (СН2)3;
n равно целому числу от 1 до 3;
р равно 1 или 2;
А представляет собой группу -Ar1 или -Ar2Ar3;
Ar1, Ar2 и Ar3 представляют собой независимо арильную группу или гетероарильную группу, которые обе могут быть необязательно замещены одним или несколькими (например, 1, 2 или 3) заместителями, которые могут быть одинаковыми или разными и которые выбраны из группы, состоящей из галогена, гидрокси, циано, нитро, трифторметила, трифторметокси, С1-6алкила, трифторметансульфонилокси, пентафторэтила, С1-6алкокси,
арилС1–6алкокси, С1-6алкилтио, С1-6-алкоксиС1-6алкила,
С3-7циклоалкилС1-6алкокси, С1-6алканоила, С1-6алкоксикарбонила,
С1-6алкилсульфонила, С1-6алкилсульфинила, С1-6алкилсульфонилокси, С1-6алкилсульфонилС1-6алкила, арилсульфонила, арилсульфонилокси, арилсульфонилС1-6алкила, С1-6алкилсульфонамидо, С1-6алкиламидо,
С1-6алкилсульфонамидоС1-6алкила, С1-6-алкиламидоС1-6алкила, арилсульфонамидо, арилкарбоксамидо, арилсульфонамидоС1-6алкила, арилкарбоксамидоС1-6алкила, ароила, ароилС1-6алкила,
арилС1-6алканоила или группы CONR8R9 или SO2NR8R9, где R8 и R9 представляют собой независимо водород или С1-6алкил или могут быть связаны вместе с образованием 5-7-членного ароматического или неароматического гетероциклического кольца, необязательно прерываемого атомом О или S,
или его сольваты.
Алкильные группы, независимо от того, взяты ли они отдельно или как часть другой группы, могут иметь неразветвленную или разветвленную цепь и группы алкокси и алканоил должны быть интерпретированы аналогично. Алкильные фрагменты являются более предпочтительно С1-4алкилами, например метилом или этилом. Термин «галоген» используют здесь для описания, если не оговорено особо, группы, выбранной из фтора, хлора, брома или иода.
Термин «арил» включает фенил и нафтил.
Имеется в виду, что термин «гетероарил» означает 5-7-членное моноциклическое ароматическое или конденсированное 8-10-членное бициклическое ароматическое кольцо, содержащее 1-3 гетероатома, выбранных из атомов кислорода, азота и серы. Подходящие примеры таких моноциклических ароматических колец включают тиенил, фурил, пирролил, триазолил, имидазолил, оксазолил, тиазолил, оксадиазолил, изотиазолил, изоксазолил, тиадиазолил, пиразолил, пиримидил, пиридазинил, пиразинил и пиридил. Подходящие примеры таких конденсированных ароматических колец включают бензоконденсированные ароматические кольца, такие как хинолинил, изохинолинил, хиназолинил, хиноксалинил, циннолинил, нафтиридинил, индолил, индазолил, пирролопиридинил, бензофуранил, бензотиенил, бензимидазолил, бензоксазолил, бензизоксазолил, бензотиазолил, бензизотиазолил, бензоксадиазолил, бензотиадиазолил и тому подобное. Гетероарильные группы, описываемые выше, могут быть связаны с остальной частью молекулы через атом углерода или, когда он присутствует, подходящий атом азота, за исключением тех случаев, когда указано иначе.
Должно быть понятно, что, когда указанные выше арильные или гетероарильные группы имеют более чем один заместитель, эти заместители могут быть связаны с образованием кольца, например карбоксильная и аминная группы могут быть связаны с образованием амидогруппы.
R1 предпочтительно представляет собой водород, метил, этил, изопропил, изобутил или 2,2-диметилпропил. Более предпочтительно R1 представляет собой водород или метил, особенно водород. Предпочтительно R2 представляет собой водород, метил (например, 3-метил, 2-метил, 3,3-диметил или 2,5-диметил) или связывается с R1 с образованием группы (СН2)3. Более предпочтительно R2 представляет собой водород или метил (например, 3-метил), особенно водород. Предпочтительно R3 представляет собой водород, метил (например, 6-метил) или галоген (например, 7-хлор). Более предпочтительно R3 представляет собой водород. Предпочтительно R4 и R5 представляют собой независимо водород или метил, особенно водород. Предпочтительно n равно 1. Предпочтительно m и р независимо равны 1 или 2, более предпочтительно m и р, оба, равны 1. В одном предпочтительном варианте осуществления m равно 2 и обе группы R2 связаны с образованием СН2-группы, связывающей С-2 и С-5 кольца пиперазина. Когда А представляет собой группу -Ar1, Ar1 предпочтительно представляет собой необязательно замещенный фенил или пиридил, более предпочтительно фенил, необязательно замещенный галогеном (например, хлором, фтором или бромом), циано, трифторметилом или трифторметокси. Особенно предпочтительный Ar1 представляет собой незамещенный фенил или фенил, замещенный галогеном (например, 2-хлором, 3-хлором, 4-хлором, 2-фтором, 3-фтором, 4-фтором или 4-бромом), С1-6алкилом (например, 2-метилом или 4-метилом), С1-6алкокси (например, 2-метокси), трифторметилом (например, 2-трифторметилом или 3-трифторметилом) или трифторметокси (например, 2-трифторметокси). Когда А представляет собой группу -Ar2-Ar3, Ar2 и Ar3 предпочтительно, оба независимо, представляют собой фенил или моноциклическую гетероарильную группу, определяемую выше. Предпочтительно А представляет собой группу -Ar1. Наиболее предпочтительно -Ar1 представляет собой незамещенный фенил.
Предпочтительные соединения согласно изобретению включают соединения примеров Е1-Е50, как показано ниже, или их фармацевтически приемлемые соли.
Соединения формулы (I) могут образовывать кислотно-аддитивные соли. Должно быть понятно, что для использования в медицине соли соединений формулы (I) должны быть фармацевтически приемлемыми. Подходящие фармацевтически приемлемые соли должны быть известны специалисту в данной области и включают в себя соли, описанные в J. Pharm. Sci., 1977, 66, 1-19, такие как кислотно-аддитивные соли, образованные с неорганическими кислотами, например хлористоводородной, бромистоводородной, серной, азотной или фосфорной кислотой, и с органическими кислотами, например янтарной, малеиновой, уксусной, фумаровой, лимонной, винной, бензойной, п-толуолсульфоновой, метансульфоновой или нафталинсульфоновой кислотой. Настоящее изобретение включает в свой объем все возможные стехиометрические и нестехиометрические формы.
Соединения формулы (I) могут быть получены в кристаллической или некристаллической форме и, если они получены в кристаллической форме, они могут быть необязательно сольватированы, например, в виде гидрата. Данное изобретение включает в свой объем стехиометрические сольваты (например, гидраты), а также соединения, содержащие изменяющиеся количества растворителя (например, воды).
Некоторые соединения формулы (I) способны существовать в стереоизомерных формах (например, в форме диастереомеров и энантиомеров), и изобретение включает в себя каждую из этих стереоизомерных форм и их смеси, в том числе рацематы. Различные стереоизомерные формы могут быть разделены (друг от друга) обычными способами или любой данный изомер может быть получен стереоспецифическим или асимметрическим синтезом. Изобретение включает в себя также любые таутомерные формы и их смеси.
Более предпочтительные соединения в соответствии с изобретением включают в себя 3-фенилсульфонил-8-пиперазин-1-ил-хинолин или его фармацевтически приемлемую соль (например, хлористоводородную соль (гидрохлорид)), наиболее предпочтительно это соединение в виде свободного основания (например, 3-фенилсульфонил-8-пиперазин-1-ил-хинолин).
Обнаружено, что свободное основание 3-фенилсульфонил-8-пиперазин-1-ил-хинолина существует в более чем одной полиморфной форме. Настоящее изобретение включает в себя все такие формы независимо от того, находится ли оно в виде чистой полиморфной форме или смешано с другим материалом, таким как другая полиморфная форма. Здесь полиморфные формы свободного основания называются формой I и формой II. Каждая из указанных форм может быть также указана, когда это удобно, как свободное основание.
В подходящем случае изобретение предлагает свободное основание, подходящим образом характеризованное приводимыми здесь данными, полученными, по меньшей мере, одним из следующих способов: инфракрасной спектроскопией, Рамановской спектроскопией (комбинационное рассеяние), порошковой рентгенограммой или спектроскопией ядерного магнитного резонанса, и данными точки плавления, включая приведенные здесь частичные спектральные данные.
В следующем аспекте изобретения предложена форма I 3-фенилсульфонил-8-пиперазин-1-ил-хинолина.
В другом аспекте изобретения предложена форма II 3-фенилсульфонил-8-пиперазин-1-ил-хинолина.
Особым аспектом настоящего изобретения является 3-фенилсульфонил-8-пиперазин-1-ил-хинолин (форма I), охарактеризованный
(i) инфракрасным спектром, по существу в соответствии с фиг.1, и/или
(ii) спектром комбинационного рассеяния, по существу в соответствии с фиг.2, и/или
(iii) порошковой рентгенограммой (XRPD), по существу в соответствии с фиг.3.
Особым аспектом настоящего изобретения является 3-фенилсульфонил-8-пиперазин-1-ил-хинолин (форма II), охарактеризованный
(i) инфракрасным спектром, по существу в соответствии с фиг.4, и/или
(ii) спектром комбинационного рассеяния, по существу в соответствии с фиг.5, и/или
(iii) порошковой рентгенограммой (XRPD), по существу в соответствии с фиг.6.
Как следствие более высокой стабильности, обеспечиваемой более высокой точкой плавления, 3-фенилсульфонил-8-пиперазин-1-ил-хинолин (форма II) является предпочтительной формой 3-фенилсульфонил-8-пиперазин-1-ил-хинолина.
Настоящее изобретение предлагает также способ получения соединения формулы (I) или его фармацевтически приемлемой соли, который включает:
(а) взаимодействие соединения формулы (II)

где R1a имеет значения, указанные для R1, или представляет собой N-защитную группу, R2, R3, R4, R5, m, n и р имеют значения, указанные выше, и L1 представляет собой удаляемую группу, такую как иод или трифторметилсульфонилокси, с соединением формулы А-SO2H (или А-SH с последующей стадией окисления), где А имеет значения, указанные выше, с последующим, если необходимо, удалением R1aN-защитной группы;
(b) удаление защитных групп у соединения формулы (I), которое защищено, с последующим необязательным
(с) взаимопревращением в другие соединения формулы (I) и/или образованием фармацевтически приемлемой соли и/или сольвата.
Настоящее изобретение предлагает также следующий способ получения соединения формулы (I) или его фармацевтически приемлемой соли, который содержит:
(d) взаимодействие соединения формулы (IV)

c соединением формулы (V)

где R1а, R2, R3, R4, R5, А, m, n и р имеют значения, указанные выше, и L3 представляет собой подходящую удаляемую группу, такую как атом галогена, с последующим, если необходимо, удалением R1aN-защитной группы или
(е) взаимодействие соединения формулы (VI)

с соединением формулы (VII)

где R1а, R2, R3, R4, R5, А, m, n и р имеют значения, указанные выше, и L3 представляет собой подходящую удаляемую группу, такую как атом галогена (например, атом брома или иода) или трифторметисульфонилоксигруппа, с последующим, если необходимо, удалением R1aN-защитной группы. Используемой N-защитной группой может быть общепринятая группа, например трет-бутилоксикарбонил (Вос) или бензилоксикарбонил. Другие N-защитные группы, которые могут быть использованы, включают метил.
Способ (а), в котором соединение формулы (II) подвергают взаимодействию с соединением формулы А-SO2H, обычно включает использование основных условий и может быть наиболее удобно проведен с использованием подходящей соли соединения A-SO2H (например, натриевой соли) в подходящем растворителе, таком как N,N-диметилформамид, в присутствии соли переходного металла, такого как иодид меди (I).
Способ (а), в котором соединение формулы (II) подвергают взаимодействию с соединением формулы А-SH, обычно включает использование основных условий, например, посредством применения подходящей соли соединения А-SH (например, натриевой соли) в подходящем растворителе, таком как N,N-диметилформамид, в присутствии соли переходного металла, такого как иодид меди (I), с последующим использованием подходящего окислителя, такого как 3-хлорпербензойная кислота, перуксусная кислота или моноперсульфат калия.
В способах (а) и (b) примеры защитных групп и средств для их удаления могут быть найдены в T.W. Greene. “Protective Groups in Organic Synthesis” (J. Wiley and Sons, 1991). Подходящие аминозащитные группы включают в себя сульфонил (например, тозил), ацил (например, ацетил, 2′,2′,2′-трихлорэтоксикарбонил, бензилоксикарбонил или трет-бутоксикарбонил) и арилалкил (например, бензил), которые могут быть удалены гидролизом (например, с использованием кислоты, такой как хлористоводородная кислота) или восстановительным способом (например, гидрогенолизом бензильной группы или восстановительным удалением 2′,2′,2′-трихлорэтоксикарбонильной группы с использованием цинка в уксусной кислоте), в зависимости от того, какой из них является подходящим. Другие подходящие аминозащитные группы включают в себя трифторацетил (-COCF3), который может быть удален катализируемым основанием гидролизом, или связанная с твердофазной смолой бензильная группа, такая как связанная со смолой Merrifield 2,6-диметоксибензильная группа (линкер Ellman), которая может быть удалена гидролизом, катализируемым кислотой, например трифторуксусной кислотой. Следующие аминозащитные группы включают в себя метил, который может быть удален с использованием стандартных способов N-деалкилирования (например, 1-хлорэтилхлорформиатом в основных условиях с последующей обработкой метанолом).
Способ (с) может быть проведен с использованием общепринятых методик взаимопревращений, таких как эпимеризация, окисление, восстановление, восстановительное алкилирование, алкилирование, нуклеофильное или электрофильное ароматическое замещение, гидролиз сложного эфира или образование амидной связи. Например, N-деалкилирование соединения формулы (I), где R1 представляет собой алкильную группу, дает соединение формулы (I), где R1 представляет собой водород. Должно быть очевидно, что такое взаимопревращение может быть взаимопревращением защищенных производных формулы (I), которые могут быть затем освобождены от защитных групп после взаимопревращения.
Кроме того, способ (с) может включать, например, взаимодействие соединения формулы (I), где R1 представляет собой водород, с альдегидом или кетоном в присутствии восстанавливающего агента с получением соединения формулы (I), где R1 представляет собой С1-6алкил. Это взаимодействие может быть проведено с использованием агента, являющегося донором гидрида, такого как цианоборогидрид натрия, триацетоксиборогидрид натрия или связанная со смолой форма цианоборогидрида, в спиртовом растворителе, таком как этанол, и в присутствии кислоты, такой как уксусная кислота, или в условиях каталитического гидрирования. В альтернативном случае такое превращение может быть проведено взаимодействием соединения формулы (I), где R1 представляет собой водород, с соединением формулы R1-L, где R1 имеет значения, указанные выше, и L представляет собой удаляемую группу, такую как атом галогена (например, брома или иода) или метилсульфонилоксигруппу необязательно в присутствии подходящего основания, такого как карбонат калия или триэтиламин, с использованием подходящего растворителя, такого как N,N-диметилформамид или С1-4алканол.
Способ (d) может быть проведен в присутствии подходящего основания, такого как карбонат натрия, и с использованием подходящего растворителя, такого как н-бутанол.
Способ (е) может быть проведен в присутствии палладиевого, никелевого или медного катализатора, например смеси источника палладия, такого как Pd2(dba)3, и подходящего лиганда, такого как (R)-, (S)- или (±)-2,2′-бис(дифенилфосфино)-1,1′-бинафтил (BINAP) или (2-дициклогексилфосфанилфенил)диметиламин или 1,1′-бисдифенилфосфиноферроцен, вместе с подходящим основанием, таким как трет-бутоксид натрия, в инертном растворителе, таком как 1,4-диоксан.
Соединения формулы (II) могут быть получены взаимодействием соединения формулы (III)

где R3, R4, R5, n и L’ имеют значения, указанные выше, с соединением формулы (IV), как указано выше. Этот способ обычно включает использование подходящего основания, такого как карбанат натрия, и использование подходящего растворителя, такого как н-бутанол.
Соединения формулы (V) могут быть получены в соответствии со следующей схемой:

где R3, R4, R5, n, А и L’ имеют значения, указанные выше.
Стадия (i) обычно включает взаимодействие соединения формулы (VIII) с соединением формулы A-SO2-M, где А имеет значения, указанные выше, и М представляет собой остаток металла, такого как натрий или калий, в присутствии соли меди (I), например трифторметансульфоната меди (I) или иодида меди (I), в подходящем растворителе, таком как безводный N,N-диметилформамид или 1,4-диоксан, необязательно включающим в свой состав лиганд, такой как N,N’-диметилэтилен-1,2-диамин.
В альтернативном варианте превращение, показанное в стадии (i), может быть проведено с использованием двустадийной процедуры, обычно включающей стадии (iii) и (iv).
Стадия (iii) обычно включает взаимодействие соединения формулы (VIII) с соединением формулы A-SH, где А имеет значения, указанные выше, в присутствии основания, такого как гидрид натрия или фосфат калия, в подходящем растворителе, таком как безводный N,N-диметилформамид или этиленгликоль, необязательно в присутствии катализатора иодида меди (I).
Стадия (iv) обычно включает окисление с использованием подходящего окислителя, такого как мономагнийпероксифталат, 3-хлорпербензойная кислота, перуксусная кислота или моноперсульфат калия.
Стадию (ii) обычно проводят с использованием подходящего восстанавливающего агента, например хлорида титана (III) или порошка железа, в подходящей системе растворителей, например в водном тетрагидрофуране и/или уксусной кислоте соответственно.
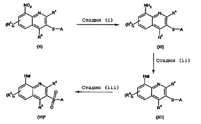
Соединения формулы (VI), где L3 представляет собой атом галогена, могут быть получены в соответствии со следующей схемой:

где R3, R4, R5, n и А имеют значения, указанные выше, и Hal представляет собой атом галогена.
Стадия (i) обычно включает диазотирование по известным способам (например, с использованием нитрита натрия с водной неорганической кислотой в качестве растворителя или алкилнитритного эфира с использованием подходящего растворителя, такого как ацетонитрил, в присутствии безводной кислоты, например трифторуксусной кислоты) с последующей обработкой образовавшейся диазониевой соли подходящей галогенидной солью, такой как бромид меди (I), иодид калия или иодид тетрабутиламмония. Такая процедура может быть проведена в водном растворе или с использованием безводных условий, например с использованием трифторуксусной кислоты в качестве растворителя.
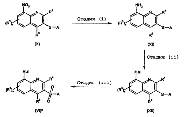
Соединения формулы (VI), где L3 представляет собой атом галогена, могут быть также получены в соответствии со следующей схемой:

где R3, R4, R5, А и n имеют значения, указанные выше, и Hal представляет собой атом галогена.
Стадию (i) обычно проводят с использованием подходящего восстанавливающего агента, такого как порошок железа, получая при этом соединение формулы (XI).
Стадия (ii) обычно включает реакцию диазотирования, проводимую с использованием водного или неводного источника ионов нитрозония, как описано выше, с последующим превращением продукта в галогенид.
Стадию (iii) обычно проводят с использованием подходящего окислителя, такого как мономагнийпероксифталат.
Соединения формулы (VI), где L3 представляет собой трифторметилсульфонилоксигруппу, могут быть получены из соединений формулы (V), как описаны выше, диазотированием по известным методам с последующим нагреванием в кислотных условиях и затем обработкой трифторметилсульфоновым ангидридом в присутствии основания, такого как пиридин.
Соединения формулы (III), (IV), (VII) и (VIII) являются известными в литературе или могут быть получены аналогичными способами.
Фармацевтически приемлемые соли могут быть получены, как обычно, взаимодействием с подходящей кислотой или производным кислоты.
Полагают, что соединения формулы (I) и их фармацевтически приемлемые соли, обладающие аффинностью к 5-НТ6-рецептору, являются потенциально пригодными при лечении некоторых нарушений ЦНС, таких как тревога, депрессия, эпилепсия, обсессивно-компульсивные нарушения, мигрень, нарушения памяти и познавательной способности (например, болезнь Альцгеймера, связанное с возрастом снижение когнитивной способности и слабое когнитивное расстройство), болезнь Паркинсона, ADHD (расстройство, выражающееся в синдроме дефицита внимания и повышенной активности), нарушения сна (в том числе нарушения циркадного ритма), нарушения питания, такие как анорексия и булимия, панические приступы, синдром отмены при злоупотреблении лекарственными веществами, такими как кокаин, этанол, никотин и бензодиазепины, шизофрения (особенно, когнитивная недостаточность при шизофрении), удар и также нарушения, связанные с травмой позвоночника и/или повреждением головы, таким как гидроцефалия. Предполагается также, что соединения изобретения найдут применение при лечении некоторых GI (желудочно-кишечных) нарушений, таких как IBS (синдром раздраженной толстой кишки). Предполагается также, что соединения изобретения найдут применение при лечении ожирения.
Таким образом, изобретение относится также к соединению формулы (I) или его фармацевтически приемлемой соли для использования в качестве терапевтического средства, особенно при лечении или профилактике вышеуказанных нарушений. В частности, изобретение относится к применению соединения формулы (I) или его фармацевтически приемлемой соли при лечении депрессии, тревоги, болезни Альцгеймера, связанного с возрастом снижения когнитивной способности, ADHD, ожирения, слабого когнитивного расстройства, шизофрении, когнитивной недостаточности при шизофрении и удара.
Изобретение далее предлагает способ лечения или профилактики вышеуказанных нарушений у млекопитающих, в том числе у людей, который включает введение пациенту терапевтически эффективного количества соединения формулы (I) или его фармацевтически приемлемой соли.
В другом аспекте изобретение относится к применению соединения формулы (I) или его фармацевтически приемлемой соли при изготовлении лекарственного средства для использования при лечении или профилактике вышеуказанных нарушений.
5-НТ6-антагонисты обладают потенциальной способностью повышать уровень базальных и индуцированных обучением полисиалилированных нейронов в областях головного мозга, таких как средняя височная доля крыс и ассоциированный с ней гиппокамп, как описано в Международной патентной заявке № РСТ/ЕР03/00462. Таким образом, в соответствии со следующим аспектом настоящего изобретения авторами предложен способ стимуляции роста нервных клеток в центральной нервной системе млекопитающего, который включает стадию введения соединения формулы (I) или его фармацевтически приемлемой соли.
Для использования соединений формулы (I) в терапии их обычно вводят в состав фармацевтической композиции в соответствии со стандартной фармацевтической практикой. Настоящее изобретение предлагает также фармацевтическую композицию, которая содержит соединение формулы (I) или его фармацевтически приемлемую соль и фармацевтически приемлемый носитель.
Фармацевтическая композиция изобретения, которая может быть получена смешиванием подходящим образом при температуре окружающей среды и атмосферном давлении, обычно адаптирована для перорального, парентерального или ректального введения и как таковая она может быть в форме таблеток, капсул, пероральных жидких препаратов, порошков, гранул, лепешек, пересоздаваемых порошков, инъецируемых и инфузируемых растворов или суспензии или суппозиториев. Обычно предпочтительными являются перорально вводимые композиции.
Таблетки и капсулы для перорального введения могут быть в дозированной лекарственной форме и могут содержать общепринятые эксципиенты, такие как связующие агенты, наполнители, применяемые при таблетировании смазывающие вещества, дезинтеграторы и приемлемые смачивающие агенты. Таблетки могут быть покрыты в соответствии со способами, хорошо известными в обычной фармацевтической практике.
Пероральные жидкие препараты могут быть в форме, например, водной или масляной суспензии, растворов, эмульсий, сиропов или эликсиров или могут быть в форме сухого продукта для разведения водой или другим подходящим наполнителем перед использованием. Такие жидкие препараты могут содержать общепринятые добавки, такие как суспендирующие агенты, эмульгирующие агенты, неводные наполнители (которые могут включать съедобные масла), консерванты и, если необходимо, общепринятые корригенты или красители.
Для парентерального введения жидкие дозированные лекарственные формы получают с использованием соединения изобретения или его фармацевтически приемлемой соли и стерильного наполнителя. Соединение, в зависимости от наполнителя и используемой концентрации, может быть либо суспендировано либо растворено в наполнителе. При получении растворов для инъекции соединение может быть растворено и стерилизовано при помощи фильтра перед заполнением в подходящий флакон или ампулу и герметизацией. Вспомогательные средства, такие как местный анестетик, консерванты и буферные агенты, преимущественно растворяют в наполнителе. Для повышения стабильности композиция может быть заморожена после заполнения в пузырек и вода может быть удалена в вакууме. Парентеральные суспензии получают по существу таким же образом, за исключением того, что соединение суспендируют в наполнителе вместо растворения и стерилизация не может быть выполнена фильтрованием. Соединение может быть стерилизовано воздействием на него этиленоксида перед суспендированием в стерильном наполнителе. Поверхностно-активное вещество или смачивающий агент, преимущественно включают в композицию для облегчения однородного распределения соединения.
Композиция может содержать от 0,1 до 99 мас.%, предпочтительно от 10 до 60 мас.%, активного материала в зависимости от способа введения.
Доза соединения, используемого при лечении вышеуказанных нарушений, будет варьировать обычно в зависимости от серьезности нарушений, массы пациента и других подобных факторов. Однако в качестве основного принципа подходящими стандартными дозами могут быть 0,05-1000 мг, более подходящими 0,05-200 мг, например 20-40 мг, и такие стандартные дозы будут вводить предпочтительно один раз в день, хотя может требоваться введение более чем однократное; такая терапия может продолжаться в течение нескольких недель или месяцев.
Все публикации, включающие патенты и заявки на патенты, но не ограничивающиеся ими, и цитированные в данном описании, включены здесь в качестве ссылок, как если бы каждая отдельная публикация конкретно и индивидуально была указана, как включенная здесь в качестве ссылки во всей ее полноте.
Следующие описания и примеры иллюстрируют получение соединений по изобретению.
Описание 1
3-Бром-8-(4-метилпиперазин-1-ил)хинолин (D1)
Гидрохлорид бис-(2-хлорэтил)амина (3,7 г, 19,2 ммоль) и карбонат натрия (9,0 г, 85 ммоль) добавляют к суспензии 3-бромхинолин-8-ил-амина (3,9 г, 17,5 ммоль) (синтез см. в Gershon et al., Monatsh. Chem., 1991, 122, 935) в н-бутаноле (70 мл). Перемешиваемую суспензию нагревают при температуре образования флегмы с обратным холодильником в течение 72 час. Реакционную смесь охлаждают до температуры окружающей среды, разбавляют дихлорметаном (300 мл) и раствор промывают водой (300 мл), сушат (MgSO4) и концентрируют в вакууме с образованием масла. Масло очищают хроматографией на силикагеле при элюировании смесью метанол/дихлорметан с градиентом, получая при этом указанное в заголовке соединение (D1) в виде масла (2,6 г, 8,5 ммоль, 49%).
Н (CDCl3): 2,43 (3Н, с), 2,78 (4Н, ушир. с), 3,44 (4Н, ушир. с), 7,14 (1Н, д, J = 6,8 Гц), 7,33 (1Н, д, J = 7,4 Гц), 7,47 (1Н, дд, J = 7,8 Гц), 8,25 (1Н, д, J = 2,3 Гц), 8,85 (1Н, д, J = 2,3 Гц).
Масс-спектр: для С14Н16BrN3 требуется 305/307; найдено 306/308 (МН+).
Описание 2
3-Иод-8-(4-метилпиперазин-1-ил)хинолин (D2)
Смесь 3-бром-8-(4-метилпиперазин-1-ил)хинолина (D1) (1,75 г, 5,7 ммоль), иодида меди (I) (5,4 г, 28,5 ммоль) и иодида калия (9,6 г, 57,8 ммоль) в гексаметилфосфорамиде (20 мл) нагревают на масляной бане при 150°С в течение 21 час в атмосфере аргона. К охлажденной реакционной смеси добавляют толуол (120 мл) и 1 М хлористоводородную кислоту (120 мл) и всю смесь энергично встряхивают в течение 5 минут. Нерастворимое коричневое твердое вещество затем собирают фильтрованием, промывают метанолом (3×40 мл) и снова суспендируют в смеси дихлорметана (150 мл) и 2 М гидроксида натрия (150 мл). После энергичного встряхивания смеси нерастворенный материал отфильтровывают, промывают дихлорметаном (2×50 мл) и выгружают. Фильтрат и промывочную жидкость переносят в делительную воронку и слои разделяют. Водную фазу экстрагируют дихлорметаном (2×100 мл) и объединенные органические экстракты сушат (MgSO4) и концентрируют до образования коричневого масла (1,5 г), которое идентифицируют ЯМР-спектроскопией как смесь указанного в заголовке соединения (D2) и 3-бром-8-(4-метилпиперазин-1-ил)хинолина (D1) в отношении 4:1. Смесь используют непосредственно в следующей стадии (см. пример 1).
3-Иод-8-(4-метилпиперазин-1-ил)хинолин (D2): Н (CDCl3) 2,41 (3Н, с), 2,76 (4Н, ушир. с), 3,42 (4Н, ушир. с), 7,14 (1Н, д, J =6,8 Гц), 7,29 (1Н, д, J = 7,4 Гц), 7,44 (1Н, дд, J = 7,8 Гц), 8,47 (1Н, д, J = 2,3 Гц), 8,98 (1Н, д, J = 2,3 Гц);
масс-спектр: для С14Н16IN3 требуется 353; найдено 354 (МН+).
Описание 3
3-Иод-8-нитрохинолин (D3)
Перемешиваемую смесь 8-нитрохинолина (100 г, 0,57 моль) в уксусной кислоте (500 мл) обрабатывают порциями N-иодсукцинимида (155 г, 0,69 моль) на протяжении 10 минут и нагревают до 62°С в течение 6 час. Вводят дополнительную порцию N-иодсукцинимида (25 г, 0,14 моль) и смесь перемешивают в течение дополнительных 16 час перед охлаждением до температуры окружающей среды. Растворитель удаляют в вакууме, поддерживая температуру ниже 35°С. Остаток растворяют в дихлорметане (2 л) и промывают последовательно насыщенным водным раствором бикарбоната натрия (2×1 л), 10% водным раствором тиосульфата натрия (1 л), водой (1 л), насыщенным раствором соли (100 мл), затем органическую фазу сушат над сульфатом магния. Смесь фильтруют и растворитель удаляют, получая при этом желтое твердое вещество, которое перекристаллизовывают из этилацетата с получением указанного в заголовке соединения (D3) (168 г, 97%) в виде желтого твердого вещества.
Н (CDCl3): 7,65 (1Н, прибл. т), 7,94 (1Н, дд), 8,07 (1Н, дд), 8,66 (1Н, д, J = 2 Гц), 9,19 (1Н, д, J = 2 Гц);
масс-спектр: для С9Н5IN2 требуется 300; найдено 301 (МН+).
Описание 4
8-Нитро-3-фенилсульфонилхинолин (D4)
3-Иод-8-нитрохинолин (D3) (135 г, 0,45 моль) суспендируют в диметилформамиде (2,4 л) в 3-горлой колбе на 5 л, снабженной помещенной сверху мешалкой, в атмосфере аргона. Смесь обрабатывают последовательно безводным фенилсульфинатом натрия (99,6 г, 0,608 моль) и комплексом бис(медь (I) трифторметилсульфонат)бензол (170 г, 0,338 моль). Образовавшуюся суспензию нагревают до 65°С в течение 18 час. Смесь охлаждают, фильтруют и растворитель выпаривают в вакууме. К остатку добавляют ацетон (2,5 л) и раствор фильтруют. Фильтрат упаривают в вакууме, добавляют еще 2,5 л ацетона и смесь снова фильтруют. Растворитель выпаривают в вакууме и остаток растворяют в хлороформе (3 л) и промывают 10% водным аммиаком (2×2 л), органическую фазу сушат над сульфатом магния и растворитель выпаривают в вакууме. Темный коричневый остаток очищают с использованием хроматографа Biotage flash-150 (5 кг силикагеля) при элюировании гексаном с увеличивающимися пропорциями этилацетата, получая при этом указанное в заголовке соединение (D4) (81,5 г, 58%) в виде желтого твердого вещества.
Н (d6-ДМСО): 7,67 (2Н, т), 7,57 (1Н, д), 7,96 (1Н, т), 8,13 (2Н, д), 8,51 (1Н, д), 8,59 (1Н, д), 9,42 (1Н, д), 9,50 (1Н, д);
масс-спектр: для С15Н10SO4N2 требуется 314; найдено 315 (МН+).
Описание 5
8-Амино-3-фенилсульфонилхинолин (D5)
Суспензию 8-нитро-3-фенилсульфонилхинолина (D4) (46,7 г, 172 ммоль) в тетрагидрофуране (750 мл) добавляют к перемешиваемому раствору 30% хлорида титана (III) в водной HCl (470 мл) [доставляется BDH], охлажденному на ледяной бане, при такой скорости, чтобы температура сохранялась ниже 35°С. После завершения добавления раствор перемешивают в течение дополнительных 10 минут, затем вводят воду (1,5 л) и смесь выливают в 5-литровой химический стакан. Быстро перемешиваемый раствор обрабатывают добавлением по порциям твердого карбоната калия, чтобы достичь значения рН 8,5. Добавляют этилендиаминтетрауксусную кислоту (EDTA) (250 г, 0,86 моль) с последующим дополнительным добавлением карбоната калия для поддержания рН 8,5. Смесь экстрагируют дихлорметаном (3×1 л) и объединенную органическую фазу пропускают через слой диоксида кремния (500 г) с элюированием дополнительным дихлорметаном (1 л) и 10% этилацетатом в дихлорметане (1 л). Объединенные органические фазы упаривают и остаток подвергают очистке с использованием хроматографа Biotage Flash-75 (2 кг силикагеля) и элюирования дихлорметаном и увеличивающимися пропорциями эфира, получая при этом указанное в заголовке соединение (D5) (34,5 г, 72%) в виде светло-коричневого твердого вещества.
Н (CDCl3): 5,0 (2Н, ушир. с), 7,02 (1Н, дд), 7,25 (1Н, дд), 7,44 (1Н, т), 7,50-7,59 (3Н, м), 8,00-8,40 (2Н, м), 8,70 (1Н, с), 0,09 (1Н, с);
масс-спектр: для С15Н12SO2N2 требуется 284; найдено 285 (МН+).
Описание 6
8-Иод-3-фенилсульфонилхинолин (D6)
8-Амино-3-фенилсульфонилхинолин (D5) (31,6 г, 0,11 моль) растворяют в трихлоруксусной кислоте (60 мл) и смесь упаривают. Образовавшееся коричневое масло растворяют в ацетонитриле (200 мл) и добавляют по каплям к перемешиваемому раствору н-бутилнитрита (6,1 мл) в ацетонитриле (300 мл), выдерживаемому при температуре <5°С. После завершения добавления смесь перемешивают в течение пяти минут, затем по частям добавляют иодид тетра(н-бутил)аммония (82 г, 0,22 моль), поддерживая при этом температуру ниже 10°С. Смесь перемешивают в течение дополнительных 20 минут, затем концентрируют в вакууме. Темный остаток подвергают флэш-75-хроматографии (2 кг силикагеля) с элюированием гексаном и дихлорметаном, получая при этом коричневое твердое вещество. Вещество растворяют в дихлорметане (500 мл) и промывают 10% водным тиосульфатом натрия (2 х 300 мл), сушат над сульфатом магния и концентрируют до получения оранжевого твердого вещества. Его растирают с метанолом, получая при этом указанное в заголовке соединение (D6) (25,2 г, 75%) в виде светло-желтого твердого вещества.
Н (CDCl3): 7,39 (1Н, т), 7,53-7,63 (3Н, м), 7,96 (1Н, д), 8,04 (2Н, дд), 8,50 (1Н, дд), 8,79 (1Н, д), 9,32 (1Н, д);
масс-спектр: для С15Н10NO2SI требуется 395; найдено 396 (МН+).
Описание 7
8-(4-трет-Бутоксикарбонил)пиперазин-1-ил-3-фенилсульфонилхинолин (D7)
8-Иод-3-фенилсульфонилхинолин (D6) (25,2 г, 63,6 ммоль) растворяют в сухом дегазированном диоксане (500 мл) в атмосфере аргона. К этому раствору добавляют трет-бутоксид натрия (8,56 г, 89,2 ммоль) и 1-трет-бутилоксикарбонилпиперазин (14,2 г, 76,4 ммоль) с последующим добавлением суспензии катализатора в атмосфере аргона. Катализатор получают обработкой ультразвуком смеси трис(дибензилиденацетон)дипалладия (0) (1,75 г, 1,91 ммоль) и 2-дициклогексилфосфино-2′-(N,N-диметиламино)бифенила (2,25 г, 5,73 ммоль) в сухом дегазированном диоксане (10 мл) в течение 2 минут. Смесь перемешивают при 40°С в течение 5 час, после чего вводят дополнительную загрузку катализатора (получен, как описано выше, но в половинном количестве) и перемешивание продолжают в течение 16 час при 40°С. Смесь фильтруют и растворитель удаляют. Остаток адсорбируют на диоксиде кремния и хроматографируют на диоксиде кремния с элюированием 1% метанолом в дихлорметане, получая при этом указанное в заголовке соединение (D7) (22,0 г, 76%) в виде желтого твердого вещества.
Н (CDCl3): 1,49 (9Н, т), 3,31 (4Н, м), 3,72 (4Н, м), 7,25 (1Н, м), 7,52 (2Н, т), 7,57 (3Н, м), 8,00 (2Н, м), 8,76 (1Н, д), 9,21 (1Н, д);
масс-спектр: для С24Н27N3О4S требуется 453; найдено 454 (МН+).
Описание 8
8-(4-трет-Бутоксикарбонил)пиперазин-1-ил-3-(3-трифторметил)фенилсульфонилхинолин (D8)
Это соединение получают из 8-иод-3-(3-трифторметил)фенилсульфонилхинолина (D34) способом, аналогичным способу, описанному в описании 7 (D7).
Н (CDCl3): 1,50 (9Н, с), 3,32 (4Н, т), 3,73 (4Н, т), 7,28 (1Н, д), 7,59 (1Н, с), 7,61 (1Н, д), 7,69 (1Н, т), 7,85 (1Н, д), 8,21 (1Н, д), 8,28 (1Н, с), 8,79 (1Н, д), 9,23 (1Н, с);
масс-спектр: для С25Н26F3N3О4S требуется 521; найдено 522 (МН+).
Описание 9
8-(4-трет-Бутоксикарбонил)гомопиперазин-1-ил-3-фенилсульфонилхинолин (D9)
Получают с использованием способа, аналогичного способу, описанному в описании 7 (D7), и с использованием 8-иод-3-фенилсульфонилхинолина (D6) (200 мг, 0,51 ммоль), трет-бутоксида натрия (68 мг, 0,71 ммоль), 1-(трет-бутилоксикарбонил)гомопиперазина (122 мг, 0,61 ммоль), трис(дибензилиденацетон)дипалладия (0) (14 мг, 0,015 ммоль) и 2-дициклогексилфосфино-2′-(N,N-диметиламино)бифенила (18 мг, 0,045 ммоль). Этот способ приводит к образованию смеси, содержащей указанное в заголовке соединение (D9). Смесь охлаждают, фильтруют, растворитель выпаривают и неочищенный материал используют непосредственно в примере 14 (Е14).
Масс-спектр: для С25Н29N3О4S требуется 467; найдено 468 (МН+).
Описание 10
8-Амино-3-(2-хлор)фенилсульфонилхинолин (D10)
Получают из 3-(2-хлор)фенилсульфонил-8-нитрохинолина (D18) способом, аналогичным способу, описанному в описании 5 (D5).
Н (CDCl3): 5,0 (2Н, ушир.с), 7,07 (1Н, д), 7,27 (1Н, д), 7,43-7,47 (2Н, м), 7,52-7,57 (2Н, м), 8,44-8,46 (1Н, м), 8,77 (1Н, д), 9,05 (1Н, д);
масс-спектр: для С15Н11ClN2О2S требуется 318, 320; найдено 319, 321 (МН+).
Описание 11
8-Амино-3-(3-хлор)фенилсульфонилхинолин (D11)
Получают из 3-(3-хлор)фенилсульфонил-8-нитрохинолина (D19) способом, аналогичным способу, описанному в описании 5 (D5).
Н (CDCl3): 5,0 (2Н, ушир.с), 7,05 (1Н, д), 7,27 (1Н, д), 7,43-7,57 (3Н, м), 7,89 (1Н, д), 8,00 (1Н, т), 8,70 (1Н, д), 9,08 (1Н, д);
масс-спектр: для С15Н11ClN2О2S требуется 318, 320; найдено 319, 321 (МН+).
Описание 12
8-Амино-3-(2-фтор)фенилсульфонилхинолин (D12)
Получают из 3-(2-фтор)фенилсульфонил-8-нитрохинолина (D20) способом, аналогичным способу, описанному в описании 5 (D5).
Н (CDCl3): 5,1 (2Н, ушир.с), 7,08 (2Н, т), 7,27 (1Н, д), 7,36 (1Н, т), 7,46 (1Н, м), 7,55-7,63 (1Н, м), 8,19 (1Н, т), 8,79 (1Н, т), 9,14 (1Н, т);
масс-спектр: для С15Н11FN2О2S требуется 302; найдено 303 (МН+).
Описание 13
8-Амино-3-(4-хлор)фенилсульфонилхинолин (D13)
Получают из 3-(4-хлор)фенилсульфонил-8-нитрохинолина (D21) способом, аналогичным способу, описанному в описании 5 (D5).
Н (CDCl3): 5,0 (2Н, ушир. с), 7,05 (1Н, дд), 7,25 (1Н, дд), 7,42-7,53 (3Н, м), 7,95 (2Н, дт), 8,68 (1Н, д), 9,07 (1Н, с);
масс-спектр: для С15Н11N2SO2Cl требуется 318, 320; найдено 319, 321 (МН+).
Описание 14
8-Амино-3-(3-фтор)фенилсульфонилхинолин (D14)
Получают из 3-(3-фтор)фенилсульфонил-8-нитрохинолина (D22) способом, аналогичным способу, описанному в описании 5 (D5).
Н (CDCl3): 5,0 (2Н, ушир. с), 7,05 (1Н, дд), 7,24-7,29 (2Н, м), 7,44 (1Н, д), 7,52 (1Н, дт), 7,72 (1Н, дт), 7,82 (1Н, дт), 8,70 (1Н, д), 9,09 (1Н, д);
масс-спектр: для С15Н11N2О2SF требуется 302; найдено 303 (МН+).
Описание 15
8-Амино-3-(4-бром-2-трифторметокси)фенилсульфонилхинолин (D15)
Получают из 3-(4-бром-2-трифторметокси)фенил-8-нитросульфонил-8-нитрохинолина (D23) способом, аналогичным способу, описанному в описании 5 (D5).
Н (CDCl3): 5,0 (2Н, ушир. с), 7,07 (1Н, дд), 7,26 (1Н, дд), 7,43-7,48 (2Н, м), 7,65 (1Н, дд), 8,21 (1Н, д), 8,72 (1Н, д), 9,04 (1Н, д);
масс-спектр: для С16Н10N2О3SF3Br требуется 446, 448; найдено 447, 449 (МН+).
Описание 16
8-Амино-6-метил-3-фенилсульфонилхинолин (D16)
Получают из 6-метил-8-нитро-3-фенилсульфонилхинолина (D24) способом, аналогичным способу, описанному в описании 5 (D5).
Н (CDCl3): 2,45 (3Н, с), 4,94 (2Н, ушир. с), 6,90 (1Н, с), 7,04 (1Н, с), 7,50-7,60 (3Н, м), 8,02 (2Н, д), 8,60 (1Н, с), 9,01 (1Н, с);
масс-спектр: для С16Н14N2О2S требуется 298; найдено 299 (МН+).
Описание 17
8-Амино-3-(3-трифторметил)фенилсульфонилхинолин (D17)
Получают из 8-нитро-3-(3-трифторметил)фенилсульфонилхинолина (D25) способом, аналогичным способу, описанному в описании 5 (D5).
Н (CDCl3): 5,0 (2Н, ушир. с), 7,06 (1Н, дд), 7,27 (1Н, д), 7,47 (1Н, т), 7,69 (1Н, т), 7,85 (1Н, д), 8,20 (1Н, д), 8,29 (1Н, с), 8,73 (1Н, д), 9,10 (1Н, д);
масс-спектр: для С16Н11N2О2SF3 требуется 352; найдено 353 (МН+).
Описание 18
3-(2-Хлор)фенилсульфонил-8-нитрохинолин (D18)
Смесь 3-(2-хлор)фенилсульфанил-4-нитрохинолина (D26) (0,63 г, 2,0 ммоль) и 3-хлорпербензойной кислоты (1,73 г, 10 ммоль) в дихлорметане (10 мл) перемешивают при комнатной температуре в течение 3 час. Смесь затем разбавляют дихлорметаном (50 мл) и промывают насыщенным водным метабисульфитом натрия (50 мл), насыщенным водным гидрокарбонатом натрия (50 мл), сушат над сульфатом магния и концентрируют в вакууме, получая при этом указанное в заголовке соединение (D18) (0,65 г, 94%) в виде оранжевой пасты.
Н (CDCl3): 7,06 (1Н, д), 7,27 (1Н, д), 7,44 (1Н, с), 7,52-7,57 (3Н, м), 8,48 (1Н, д), 8,76 (1Н, д), 9,05 (1Н, д);
масс-спектр: для С15Н9ClN2О4S требуется 348, 350; найдено 349, 351 (МН+).
Описание 19
3-(3-Хлор)фенилсульфонил-8-нитрохинолин (D19)
Получают из 3-(3-хлор)фенилсульфанил-4-нитрохинолина (D27) способом, аналогичным способу, описанному в описании 18 (D18).
Н (CDCl3): 7,52 (1Н, т), 7,62 (1Н, д), 7,81 (1Н, т), 7,93 (1Н, д), 8,00 (1Н, с), 8,21-8,24 (2Н, м), 8,95 (1Н, д), 9,39 (1Н, д);
масс-спектр: для С15Н9ClN2О4S требуется 348, 350; найдено 349, 351 (МН+).
Описание 20
3-(2-Фтор)фенилсульфонил-8-нитрохинолин (D20)
Получают из 3-(2-фтор)фенилсульфанил-4-нитрохинолина (D28) способом, аналогичным способу, описанному в описании 18 (D18).
Н (CDCl3): 7,17 (1Н, т), 7,40 (2Н, т), 7,65 (1Н, м), 7,81 (1Н, т), 8,20-8,27 (2Н, м), 9,05 (1Н, т), 9,40 (1Н, т);
масс-спектр: для С15Н9FN2О4S требуется 332; найдено 333 (МН+).
Описание 21
3-(4-Хлор)фенилсульфонил-8-нитрохинолин (D21)
Получают из 3-(4-хлор)фенилсульфанил-4-нитрохинолина (D29) способом, аналогичным способу, описанному в описании 18 (D18).
Н (CDCl3): 7,54 (2Н, дт), 7,80 (1Н, т), 7,97 (2Н, дт), 8,20 (2Н, д), 8,92 (1Н, д), 9,37 (1Н, д);
масс-спектр: для С15Н9N2SO4Cl требуется 348, 350; найдено 349, 351 (МН+).
Описание 22
3-(3-Фтор)фенилсульфонил-8-нитрохинолин (D22)
Получают из 3-(3-фтор)фенилсульфанил-4-нитрохинолина (D30) способом, аналогичным способу, описанному в описании 18 (D18).
Масс-спектр: для С15Н9N2О4SF требуется 332; найдено 333 (МН+).
Описание 23
3-(4-Бром-2-трифторметокси)фенил-8-нитросульфонилхинолин (D23)
Получают из 3-(4-бром-2-трифторметокси)фенил-8-нитросульфанилхинолина (D31) способом, аналогичным способу, описанному в описании 18 (D18).
Масс-спектр: для С16Н8N2О5SF3Br требуется 476, 478; найдено 479, 481 (МН+).
Описание 24
6-Метил-8-нитро-3-фенилсульфонилхинолин (D24)
Получают из 6-метил-8-нитро-3-фенилсульфанилхинолина (D32) способом, аналогичным способу, описанному в описании 18 (D18).
Н (CDCl3): 2,65 (3Н, с), 7,60-7,67 (3Н, м), 7,95 (1Н, с), 8,00-8,05 (3Н, м), 8,82 (1Н, д), 9,30 (1Н, д);
масс-спектр: для С16Н12N2О4S требуется 328; найдено 329 (МН+).
Описание 25
8-Нитро-3-(3-трифторметил)фенилсульфонилхинолин (D25)
Получают из 8-нитро-3-(3-трифторметил)фенилсульфанилхинолина (D33) способом, аналогичным способу, описанному в описании 18 (D18).
Н (CDCl3): 7,75 (1Н, т), 7,82 (1Н, т), 7,91 (1Н, д), 8,22-8,25 (3Н, м), 8,30 (1Н, с), 8,98 (1Н, д), 9,40 (1Н, д);
масс-спектр: для С16Н9N2О2SF3 требуется 381; найдено 382 (МН+).
Описание 26
3-(2-Хлор)фенилсульфанил-8-нитрохинолин (D26)
К суспензии гидрида натрия (0,16 г, 6,67 ммоль) в диметилформамиде (10 мл) медленно добавляют 2-хлортиофенол (0,96 г, 6,67 ммоль) в виде раствора в диметилформамиде (5 мл). Реакционную смесь перемешивают в течение 10 минут, затем медленно добавляют раствор 3-иод-8-нитрохинолина (D3) (1,0 г, 3,33 ммоль) в диметилформамиде (5 мл) и смесь нагревают до 90°С в течение 4 час. Смесь охлаждают до температуры окружающей среды, затем осторожно добавляют воду (50 мл) и смесь экстрагируют дихлорметаном (2×50 мл). Органическую фазу промывают насыщенным раствором соли (50 мл), сушат над сульфатом магния и концентрируют в вакууме. Сырой материал очищают хроматографией на диоксиде кремния с элюированием смесью гексан/этилацетат с градиентом, получая при этом указанное в заголовке соединение (D26) (0,70 г, 70%) в виде коричневого масла.
Н (CDCl3): 7,25-7,28 (1Н, м), 7,34 (1Н, т), 7,40 (1Н, д), 7,51 (1Н, д), 7,63 (1Н, т), 7,93 (1Н, д), 8,02 (1Н, д), 8,09 (1Н, с), 8,87 (1Н, с);
масс-спектр: для С15Н9ClN2О2S требуется 316, 318; найдено 317, 319 (МН+).
Описание 27
3-(3-Хлор)фенилсульфанил-8-нитрохинолин (D27)
Получают из 3-иод-8-нитрохинолина (D3) и 3-хлортиофенола способом, аналогичным способу, описанному в описании 26 (D26).
Н (CDCl3): 7,35 (3Н, ушир. с), 7,45 (1Н, с), 7,63 (1Н, с), 7,92 (1Н, с), 8,02 (1Н, д), 8,10 (1Н, с), 8,89 (1Н, с);
масс-спектр: для С15Н9ClN2О2S требуется 316, 318; найдено 317, 319 (МН+).
Описание 28
3-(2-Фтор)фенилсульфанил-8-нитрохинолин (D28)
Получают из 3-иод-8-нитрохинолина (D3) и 2-фтортиофенола способом, аналогичным способу, описанному в описании 26 (D26).
Н (CDCl3): 7,21 (1Н, д), 7,42-7,49 (2Н, м), 7,53-7,62 (2Н, м), 7,88 (1Н, д), 7,97 (1Н, д), 8,04 (1Н, д), 8,86 (1Н, д);
масс-спектр: для С15Н9FN2О2S требуется 300; найдено 301 (МН+).
Описание 29
3-(4-Хлор)фенилсульфанил-8-нитрохинолин (D29)
Получают из 3-иод-8-нитрохинолина (D3) и 4-хлортиофенола способом, аналогичным способу, описанному в описании 26 (D26).
Н (CDCl3): 7,00 (1Н, дд), 7,25-7,50 (3Н, м), 7,56 (2Н, д), 7,99 (1Н, дд), 8,24 (1Н, д), 8,81 (1Н, д);
масс-спектр: для С15Н9N2О2SCl требуется 316, 318; найдено 317, 319 (МН+).
Описание 30
3-(3-Фтор)фенилсульфанил-8-нитрохинолин (D30)
Получают из 3-иод-8-нитрохинолина (D3) и 3-фтортиофенола способом, аналогичным способу, описанному в описании 26 (D26).
Н (CDCl3): 7,07 (1Н, дт), 7,15 (1Н, дт), 7,22 (1Н, дт), 7,35 (1Н, дд), 7,62 (1Н, дд), 7,94 (1Н, дд), 8,02 (1Н, дд), 8,11 (1Н, д), 8,89 (1Н, д);
масс-спектр: для С15Н9N2SO2F требуется 300; найдено 301 (МН+).
Описание 31
3-(4-Бром-2-трифторметокси)фенил-8-нитросульфанилхинолин (D31)
Получают из 3-иод-8-нитрохинолина (D3) и 4-бром-2-трифторметокситиофенола способом, аналогичным способу, описанному в описании 26 (D26).
Масс-спектр: для С18Н8N2О3SF3Br требуется 444, 446; найдено 445, 447 (МН+).
Описание 32
6-Метил-8-нитро-3-фенилсульфанилхинолин (D32)
Получают из 3-бром-6-метил-8-нитрохинолина [синтез см. в Tinsley, J. Am. Chem. Soc., 1955, 77, 4175] способом, аналогичным способу, описанному в описании 26 (D26).
Н (CDCl3): 2,56 (3Н, с), 7,38-7,43 (3Н, м), 7,47-7,51 (2Н, м), 7,63 (1Н, с), 7,82 (1Н, с), 7,88 (1Н, д), 8,78 (1Н, д);
масс-спектр: для С16Н12N2О2S требуется 296; найдено 297 (МН+).
Описание 33
8-Нитро-3-(3-трифторметил)фенилсульфанилхинолин (D33)
Получают из 3-иод-8-нитрохинолина (D3) и 3-трифторметилтиофенола способом, аналогичным способу, описанному в описании 26 (D26).
Н (CDCl3): 7,51 (1Н, т), 7,59-7,67 (3Н, м), 7,44 (1Н, ушир. с), 7,94 (1Н, дд), 8,03 (1Н, дд), 8,13 (1Н, д), 8,90 (1Н, д);
масс-спектр: для С16Н9N2SO2F3 требуется 350; найдено 351 (МН+).
Описание 34
8-Иод-3-(3-трифторметил)фенилсульфонилхинолин (D34)
Получают из 8-амино-3-(3-трифторметил)фенилсульфонилхинолина (D17) способом, аналогичным способу, описанному в описании 6 (D6), с выходом 44%.
Н (CDCl3): 7,44 (1Н, т), 7,71 (1Н, т), 7,88 (1Н, д), 8,00 (1Н, дд), 8,22 (1Н, д), 8,29 (1Н, ушир. с), 8,52 (1Н, дд), 8,1 (1Н, д), 9,33 (1Н, д);
масс-спектр: для С16Н9NO2SIF3 требуется 463; найдено 464 (МН+).
Общая процедура 1
Следующие промежуточные продукты использовали для получения соединений примеров 18-20, 23-25, 30, 32-34 и 39.
Описание 4 (альтернативная процедура)
8-Нитро-3-фенилсульфонилхинолин (D4)
В сосуд на 2 л загружают 3-иод-8-нитрохинолин (D3) (70,8 г, 236 ммоль), иодид меди (I) (2,25 г, 11,8 ммоль, 5 мол.%), фосфат калия (100 г, 472 ммоль, 2 экв.), этиленгликоль (0,71 л, 10 об.) и бензолтиол (36,2 мл, 354 ммоль). Смесь перемешивают и нагревают при 80°С в течение 3,5 час. Реакционную смесь охлаждают до 20°С, затем добавляют Н2О (700 мл) и дихлорметан (700 мл), смесь перемешивают в течение 5 минут, затем нижний органический слой удаляют (содержит твердые вещества). К органическому слою добавляют уголь (35,4 г, Norit SX) и смесь перемешивают при комнатной температуре в течение 15 мин, затем фильтруют через фильтровальную бумагу GF/F. Фильтровальный осадок промывают дихлорметаном (140 мл) и объединенные фильтраты промывают Н2О (350 мл). Образовавшийся раствор в дихлорметане добавляют к суспензии гексагидрата магниевой соли монопероксифталевой кислоты (210 г, 424 ммоль, 1,8 экв.) в смеси дихлорметана (700 мл) и метанола (140 мл) на протяжении 45 минут при поддержании температуры от 18 до <23°С. Образовавшуюся смесь быстро перемешивают в течение 2,25 час при 20-23°С, затем на протяжении 15 минут добавляют 10% мас./об. водный сульфит натрия (700 мл), смесь разделяют и обрабатывают насыщенным водным бикарбонатом натрия (280 мл). Смесь перемешивают в течение 20 мин перед выдерживанием для разделения слоев. Низший органический слой удаляют, промывают водой (280 мл), затем концентрируют при атмосферном давлении до объема 210 мл. Образовавшуюся смесь охлаждают до 0°С, перемешивают в течение 2 час, затем фильтруют. Фильтровальный осадок промывают холодным (0-5°С) дихлорметаном (70 мл), затем сушат в вакууме при 25-40°С, получая при этом указанное в заголовке соединение (D4) в виде светло-желтого твердого вещества с выходом 64-66%, которое является по данным спектроскопии идентичным соединению, полученному более ранним способом.
Описание 35
Соль 8-амино-3-фенилсульфонилхинолина и метансульфоновой кислоты (D35)
Суспензию порошка железа (26,7 г, 5 экв., 325 меш) в ТГФ (300 мл, 10 об.), воде (30 мл, 1 об.) и уксусной кислоте (19,2 мл, 3,5 экв.) нагревают до 50°С. К смеси на протяжении 30 мин порциями добавляют 8-нитро-3-фенилсульфонилхинолин (D4) (30 г, 1 мас.), поддерживая при этом температуру ниже 60°С. Реакционную смесь перемешивают при 50-55°С в течение 60 мин. Добавляют толуол (240 мл, 8 об.), затем воду (60 мл, 2 об.) перед охлаждением до 40°С и фильтрованием смеси через слой силикагеля. Слой силикагеля промывают толуолом (2×60 мл, 2 об.). Слои объединенного фильтрата разделяют и органический слой концентрируют в вакууме приблизительно до 10 объемов. Реакционную смесь нагревают до 77°С, затем обрабатывают метансульфоновой кислотой (7,42 мл, 1,2 экв.), добавленной на протяжении 15 мин, поддерживая при этом температуру при 75-80°С. Образовавшуюся оранжевую суспензию медленно охлаждают до температуры окружающей среды, перемешивают при температуре окружающей среды в течение приблизительно 2 час, затем продукт фильтруют и промывают толуолом (3×60 мл). Образовавшееся розовое твердое вещество (D35) сушат в вакууме приблизительно при 45°С до постоянной массы. Выход 34,17 г, 94%.
Н (d6-ДМСО): 2,46 (3Н, с), 7,54 (1Н, д, J = 8 Гц), 7,60-7,70 (3Н, м), 7,70-7,75 (1Н, т, J = 8 Гц), 7,81 (1Н, J = 8 Гц), 8,13 (2Н, д, J = 8 Гц), 8,28 (3Н, ушир. с), 9,14 (1Н, д, J = 2 Гц) и 9,28 (1Н, J = 2 Гц).
Описание 6 (альтернативная процедура)
8-Иод-3-фенилсульфонилхинолин (D6)
Раствор нитрита натрия (5,44 г, 78,8 ммоль, 1,2 экв.) в воде (125 мл, 5 об.) добавляют к перемешиваемой суспензии соли 8-амино-3-фенилсульфонилхинолина и метансульфоновой кислоты (D35) (25,0 г, 65,7 ммоль) в 5 М HCl (500 мл, 20 об.). Смесь перемешивают при 23-24,5°С в течение 1 час, затем через 5 мин добавляют ацетонитрил (200 мл, 8 об.). Через 10 мин на протяжении 3 мин добавляют раствор иодида натрия (14,8 г, 98,6 ммоль, 1,5 экв.) в воде (125 мл, 5 об.), что приводит к образованию коричневой смеси и выделению газа. Коричневую смесь перемешивают при 25-23°С в течение 1 час, через 5 мин добавляют дихлорметан (500 мл, 20 об.) и смесь перемешивают в течение 5 мин. Низший органический слой удаляют и водный слой экстрагируют дихлорметаном (125 мл, 5 об.). Объединенные органические слои промывают 10 мас./об.% сульфитом натрия (125 мл, 5 об.), затем концентрируют при пониженном давлении. Образовавшуюся смесь фильтруют, фильтровальный осадок промывают ацетонитрилом (2×25 мл) и сушат в сушильном шкафу при 40°С и пониженном давлении, получая при этом указанное в заголовке соединение D6 (выход 15,27 г, 59%), которое является по данным спектроскопии идентичным соединению, полученному первым способом.
Общая процедура 2
Следующие промежуточные продукты использовали для получения соединений примеров 21-22, 26-29, 31, 35-38 и 40.
Описание 36
8-Нитро-3-(3-фторфенил)сульфанилхинолин (D36)
Суспензию 3-иод-8-нитрохинолина (D3) (4,5 г, 15 моль), иодида меди (I) (150 мг, 0,8 ммоль, 5 мол.%), фосфата калия (7,0 г, 2 экв.), этиленгликоля (45 мл) и 3-фторбензолтиола (2,88 г, 22,5 ммоль) перемешивают и нагревают при 80°С в течение 3,5 час. Реакционную смесь охлаждают до 20°С, затем добавляют Н2О (45 мл) и дихлорметан (70 мл), смесь перемешивают в течение 5 минут, затем низший органический слой удаляют (содержит твердые вещества). К органическому слою добавляют уголь (2 г, Norit SX) и смесь перемешивают при комнатной температуре в течение 15 мин, затем фильтруют. Фильтровальный осадок промывают дихлорметаном (40 мл) и объединенный фильтрат промывают Н2О (100 мл). Слой дихлорметана упаривают, получая при этом указанное в заголовке соединение в виде желтого твердого вещества.
Н (CDCl3): 7,07 (1Н, дт), 7,15 (1Н, дт), 7,24 (1Н, т), 7,35 (1Н, дд), 7,62 (1Н, т), 7,92 (1Н, д), 8,02 (1Н, д), 8,11 (1Н, д), 8,89 (1Н, д);
масс-спектр: для С15Н9N2SO2F требуется 300; найдено 301 (МН+).
Описание 37
8-Амино-3-(3-фтор)фенилсульфанилхинолин (D37)
Суспензию порошка железа (1,7 г, 30,4 ммоль) в ТГФ (20 мл), воды (2 мл) и уксусной кислоты (1,2 мл, 21 ммоль) нагревают до 50°С. Затем к смеси на протяжении 15 минут добавляют по порциям 8-нитро-3-(3-фторфенил)сульфанилхинолин (D36) (1,8 г, 6 ммоль), поддерживая при этом температуру ниже 60°С. Реакционную смесь затем перемешивают при 60°С в течение 5 час перед добавлением толуола (5 мл). После выдерживания для охлаждения до 60°С смесь фильтруют через слой диоксида кремния, промывают толуолом (2×20 мл). Летучие компоненты удаляют в вакууме и остаток очищают хроматографией на силикагеле при элюировании смесью этилацетат/гексан с градиентом, получая при этом указанное в заголовке соединение в виде твердого вещества (1,6 г, 5,7 ммоль, 96%).
Н (CDCl3): 5,0 (2Н, ушир. с), 6,92-7,38 (7Н, м), 8,12 (1Н, д), 8,67 (1Н, д);
масс-спектр: для С15Н11N2SF требуется 270; найдено 271 (МН+).
Описание 38
8-Иод-3-(3-фтор)фенилсульфанилхинолин (D38)
Раствор 8-амино-3-(3-фтор)фенилсульфанилхинолина (D37) (1,4 г, 5,2 ммоль) в трифторуксусной кислоте (5 мл) концентрируют в вакууме и образовавшееся масло растворяют в ацетонитриле (10 мл). Раствор затем добавляют по каплям к охлажденному льдом раствору н-бутилнитрила (0,91 мл, 7,78 ммоль) в ацетонитриле (10 мл). Реакционную смесь затем перемешивают при этой температуре в течение 10 минут с последующим добавлением по порциям иодида тетра-н-бутиламмония (3,8 г, 10,4 ммоль). После перемешивания при температуре окружающей среды в течение 1 час смесь концентрируют в вакууме и остаток очищают хроматографией на силикагеле при элюировании смесью этилацетат/гексан с градиентом, получая при этом указанное в заголовке соединение (D38) в виде твердого вещества (1,13 г, 3,0 ммоль, 57%).
Масс-спектр: для С15Н9NSFI требуется 281; найдено 282 (МН+).
Описание 39
8-Иод-3-(3-фтор)фенилсульфонилхинолин (D39)
Раствор 8-иод-3-(3-фтор)фенилсульфанилхинолина (D38) (754 мг, 2,0 ммоль) в дихлорметане (10 мл) обрабатывают раствором гексагидрата мономагнийпероксифлатата (2 г, технический) в метаноле (3 мл). Смесь нагревают до 40°С в течение 12 час, затем обрабатывают 10% водным сульфитом натрия (20 мл) и дихлорметаном (20 мл). Органическую фазу отделяют и промывают последовательно насыщенным водным раствором бикарбоната натрия (20 мл) и насыщенным раствором соли (5 мл) перед концентрированием, остаток очищают флэш-хроматографией на силикагеле (элюирование смесью гесан-дихлорметан), получая при этом указанное в заголовке соединение (D39) в виде светло-желтого твердого вещества с выходом 50%.
Н (CDCl3): 7,30 (1Н, дт), 7,41 (1Н, т), 7,53 (1Н, дт), 7,73 (1Н, дт), 7,83 (1Н, д), 7,97 (1Н, д), 8,52 (1Н, д), 8,78 (1Н, д), 9,32 (1Н, д);
масс-спектр: для С15Н9NO2SFI требуется 313; найдено 314 (МН+).
Пример 1
8-(4-Метилпиперазин-1-ил)-3-фенилсульфонилхинолин (Е1)
Смесь (4:1) 3-иод-8-(4-метилпиперазин-1-ил)хинолина (D2) и 3-бром-8-(4-метилпиперазин-1-ил)хинолина (D1) (1,5 г), дигидрата натриевой соли фенилсульфиновой кислоты (2,52 г, 12,6 ммоль) и иодида меди (I) (2,4 г, 12,6 ммоль) в N,N-диметилформамиде (25 мл) перемешивают на масляной бане при 120°С в течение 40 час в атмосфере аргона. К реакционной смеси, охлажденной до температуры окружающей среды, добавляют 5% раствор гидрокарбоната натрия (100 мл) и дихлорметан (100 мл) при энергичном встряхивании. Нерастворенный материал отфильтровывают, промывают дихлорметаном (3×20 мл) и выгружают. Фильтрат и промывные жидкости переносят в делительную воронку и слои разделяют. Водный слой экстрагируют дихлорметаном (100 мл) и объединенные органические экстракты промывают водой (100 мл), сушат (MgSO4) и концентрируют в вакууме, получая при этом масло (0,9 г). Масло очищают хроматографией на силикагеле при элюировании смесью метанол/дихлорметан с градиентом, получая при этом оранжевое масло (0,28 г, Rf 0,11, метанол/дихлорметан, 1:19). Этот материал далее очищают пропусканием через колонку с сильным катионообменником (SCX) при элюировании сначала метанолом (фракции выгружают) и затем смесью метанол/водный аммиак-880 (10:1), получая при этом указанное в заголовке соединение (Е1) в виде оранжевого масла (0,152 г, 0,41 ммоль, 7% после двух стадий).
Н (CDCl3): 2,40 (3Н, с), 2,72-2,76 (4Н, м), 3,44 (4Н, ушир. с), 7,25-7,27 (1Н, м), 7,48-7,61 (5Н, м), 7,99-8,02 (2Н, м), 8,75 (1Н, д, J = 2,4 Гц), 9,21 (1Н, д, J = 2,4 Гц);
масс-спектр: для С20Н21N3O2S требуется 367; найдено 368 (МН+).
Пример 1 (альтернативная процедура 1)
8-(4-Метилпиперазин-1-ил)-3-фенилсульфонилхинолин (Е1)
Раствор 8-амино-3-фенилсульфонилхинолина (D5) (38,8 г, 137 ммоль) в трет-бутаноле (360 мл) обрабатывают гидрохлоридом бис-(2-хлорэтил)амина (40 мл, 138 ммоль) и карбонатом натрия (72 г, 0,68 моль). Смесь нагревают для энергичного кипения с обратным холодильником (100°С) в течение 16 час, затем вводят дополнительную порцию гидрохлорида бис-(2-хлорэтил)амина (25 г, 86 ммоль) и нагревание продолжают в течение дополнительных 4 час. Раствор охлаждают и добавляют смесь (1:1) насыщенного водного бикарбоната натрия и водного 10% раствора тиосульфата натрия (2 л). Перемешивание продолжают при температуре окружающей среды в течение 16 час, затем водную фазу экстрагируют дихлорметаном (3×500 мл), объединенную органическую фазу сушат над сульфатом магния, упаривают в вакууме и подвергают хроматографии на хроматографе Biotage Flash-75 (1 кг силикагеля), получая при этом указанное в заголовке соединение (Е1) в форме свободного основания (11,6 г), идентичное по данным спектроскопии с соединением, полученным первым способом. Часть этого материала обрабатывают 1 М HCl в эфире, затем упаривают, получая при этом гидрохлоридную соль в виде желтого твердого вещества.
Н (CDCl3): 2,95 (3Н, д), 2,38-3,52 (4Н, м), 4,01-4,06 (2Н, м), 4,19-4,26(2Н, м), 7,60 (2Н, т), 7,70 (1Н, т), 7,96 (1Н, т), 8,07 (2Н, с), 8,09 (2Н, с), 9,34 (1Н, д), 9,63 (1Н, д), 12,9 (1Н, ушир. с).
Пример 1 (альтернативная процедура 2)
8-(4-Метилпиперазин-1-ил)-3-фенилсульфонилхинолин (Е1)
Суспензию 3-фенилсульфонил-8-пиперазин-1-ил-хинолина (Е16) (200 мг, 0,55 ммоль) в этаноле (4 мл) обрабатывают последовательно уксусной кислотой (100 мкл), 37% формальдегидом в водном матаноле (формалин) (0,1 мл) и связанным со смолой Amberlyst цианоборогидридом (3 ммоль/г, 0,5 г). Смесь перемешивают при температуре окружающей среды в течение одного часа, затем фильтруют и фильтрат абсорбируют на картридже SCX. Картридж промывают этанолом, затем продукт элюируют раствором 3% аммиака в 7% водном метаноле. Раствор упаривают и остаток подвергают очистке флэш-хроматографией на силикагеле (элюирование смесью дихлорметан-метанол-водный NH3), получая при этом указанное в заголовке соединение (Е1), идентичное по данным спектроскопии соединению, полученному ранее описанными способами.
Пример 1 (альтернативная процедура 3)
8-(4-Метилпиперазин-1-ил)-3-фенилсульфонилхинолин (Е1)
8-Иод-3-фенилсульфонилхинолин (D6) (190 мг, 0, 48 ммоль), N-метилпиперазин (48 мг, 0,48 ммоль), трет-бутоксид натрия (65 мг, 0,68 ммоль), дипалладийтетракис(дибензилиденацетон) [Pd2(dba)3] (88 мг, 0,1 ммоль) и 1,1′-дифенилфосфиноферроцен (161 мг, 0,3 ммоль) суспендируют в дегазированном сухом диоксане (2 мл). Смесь перемешивают в атмосфере аргона при 40°С в течение 16 час. Растворитель удаляют и остаток подвергают флэш-хроматографии на силикагеле (элюирование смесью дихлорметан-метанол-водный аммиак), получая при этом указанное в заголовке соединение (Е1), идентичное по данным спектроскопии соединению, полученному ранее описанными способами.
Пример 2
Гидрохлорид 3-фенилсульфонил-8-пиперазин-1-ил-хинолина (Е2)

Перемешиваемый раствор 8-(4-метилпиперазин-1-ил)-3-фенилсульфонилхинолина (Е1) (0,148 г, 0,4 ммоль), 1-хлорэтилхлорформиата (0,093 мл, 0,85 ммоль) и N,N-диизопропилэтиламина (0,148 мл, 0,85 ммоль) в 1,2-дихлорэтане (9 мл) нагревают при температуре образования флегмы с обратным холодильником в течение 1,25 час в атмосфере аргона. Реакционную смесь охлаждают до температуры окружающей среды и концентрируют в вакууме до получения масла. Масло очищают хроматографией на силикагеле при элюировании смесью метанол/дихлорметан с градиентом, объединением фракций, которые содержат основной компонент (Rf 0,9, метанол/дихлорметан, 1:19). Очищенный материал снова растворяют в метаноле (15 мл) и раствор кипятят с обратным холодильником в течение 1 час в атмосфере аргона. Реакционную смесь охлаждают до температуры окружающей среды и концентрируют в вакууме до получения твердого вещества, которое перемешивают с диэтиловым эфиром (5 мл) и фильтруют, получая при этом указанное в заголовке соединение (Е2) (0,08 г, 0,21 ммоль, 51%).
Н (d6-ДМСО): 3,32 (4Н, ушир. с), 3,55 (4Н, ушир. с), 7,35 (1Н, д, J = 6,5 Гц), 7,63-7,77 (4Н, м), 7,86 (1Н, д, J = 7,4 Гц), 8,10 (2Н, м), 9,10 (1Н, д, J = 2,4 Гц), 9,21 (2Н, с), 9,24 (1Н, д, J = 2,4 Гц);
масс-спектр: для С19Н19N3O2S требуется 353; найдено 354 (МН+).
Пример 2 (альтернативная процедура)
Гидрохлорид 3-фенилсульфонил-8-пиперазин-1-ил-хинолина (Е2)
Смесь 8-(4-трет-бутоксикарбонил)пиперазин-1-ил-3-фенилсульфонилхинолина (D7) (35,7 г, 78,8 ммоль), 1,4-диоксана (200 мл) и 4 М водной HCl (200 мл) перемешивают при температуре окружающей среды в течение двух часов, затем растворитель выпаривают. Остаток упаривают несколько раз с толуолом и оставшуюся часть кристаллизуют из горячего этанола, получая при этом указанное в заголовке соединение (Е2) (18,9 г, 68%) в виде желтого кристаллического твердого вещества.
Н (d6-ДМСО): 3,32 (4Н, ушир. с), 3,55 (4Н, ушир. с), 7,35 (1Н, д, J = 6,5 Гц), 7,63-7,77 (4Н, м), 7,86 (1Н, д, J = 7,4 Гц), 8,10 (2Н, м), 9,10 (1Н, д, J = 2,4 Гц), 9,21 (2Н, с), 9,24 (1Н, д, J = 2,4 Гц);
масс-спектр: для С19Н19N3O2S требуется 353; найдено 354 (МН+);
т.пл. 200°С (фазовое изменение), 270-274°С (разложение).
Пример 3
Гидрохлорид 3-(2-хлор)фенилсульфонил-8-пиперазин-1-ил-хинолина (Е3)
Гидрохлорид бис-(2-хлорэтил)амина (0,36 г, 1,89 ммоль) и карбоната натрия (0,50 г, 4,72 ммоль) добавляют к суспензии 8-амино-3-(2-хлор)фенилсульфонилхинолина (D10) (0,30 г, 0,94 ммоль) в н-бутаноле (10 мл). Перемешиваемую суспензию нагревают при температуре образования флегмы с обратным холодильником в течение 48 час. Реакционную смесь охлаждают до температуры окружающей среды, разбавляют дихлорметаном (50 мл) и раствор промывают водой (50 мл), сушат (MgSO4) и концентрируют в вакууме до получения масла. Масло очищают хроматографией на силикагеле при элюировании смесью метанол/дихлорметан с градиентом, получая при этом 3-(2-хлорфенилсульфонил)-8-(4-метилпиперазин-1-ил)хинолин в виде масла (0,17 г, 44%). Перемешиваемый раствор 3-(2-хлорфенилсульфонил)-8-(4-метилпиперазин-1-ил)хинолина (0,17 г, 0,42 ммоль), 1-хлорэтилхлорформиата (0,14 мл, 1,27 ммоль) и N,N-диизопропилэтиламина (0,22 г, 1,27 ммоль) в 1,2-дихлорэтане (8 мл) нагревают при температуре образования флегмы с обратным холодильником в течение 1 час в атмосфере аргона. Реакционную смесь охлаждают до температуры окружающей среды и концентрируют в вакууме до образования масла. Этот материал снова растворяют в метаноле (10 мл) и раствор кипятят с обратным холодильником в течение 1 час в атмосфере аргона. Реакционную смесь охлаждают до температуры окружающей среды и концентрируют в вакууме, получая при этом твердое вещество, которое очищают препаративной ВЭЖХ. Чистый материал перемешивают со смесью 1 М HCl/диэтиловый эфир (5 мл) и метанолом (5 мл), затем образовавшуюся смесь выпаривают в вакууме, получая при этом указанное в заголовке соединение (Е3).
Н (CD3OD): 3,31 (4Н, ушир. с), 3,53 (4Н, ушир. с), 7,57 (1Н, д), 7,61 (1Н, д), 7,69 (2Н, т), 7,75 (1Н, т), 7,89 (1Н, д), 8,48 (1Н, д), 9,10 (1Н, с), 9,25 (1Н, с);
масс-спектр: для С19Н18ClN3O2S требуется 387; найдено 388 (МН+).
Пример 4
Гидрохлорид 3-(3-хлор)фенилсульфонил-8-пиперазин-1-ил-хинолина (Е4)
Получают из 8-амино-3-(3-хлор)фенилсульфонилхинолина (D11) способом, аналогичным способу, описанному в примере 3 (Е3).
Н (CD3OD): 3,31 (4Н, ушир. с), 3,53 (4Н, ушир. с), 7,56-7,64 (2Н, м), 7,69-7,76 (2Н, м), 7,87 (1Н, д), 8,01 (1Н, д), 8,13 (1Н, с), 9,12 (1Н, с), 9,29 (1Н, с);
масс-спектр: для С19Н18ClN3O2S требуется 387, 389; найдено 388, 390 (МН+).
Пример 5
Гидрохлорид 3-(2-фтор)фенилсульфонил-8-пиперазин-1-ил-хинолина (Е5)
Получают из 8-амино-3-(2-фтор)фенилсульфонилхинолина (D12) способом, аналогичным способу, описанному в примере 3 (Е3).
Н (CD3OD): 3,51 (4Н, ушир. с), 3,59 (4Н, ушир. с), 7,30 (1Н, т), 7,49 (1Н, т), 7,54 (1Н, д), 7,72 (2Н, т), 7,86 (1Н, д), 8,23 (1Н, т), 9,05 (1Н, с), 9,27 (1Н, ушир. с);
масс-спектр: для С19Н18FN3O2S требуется 371; найдено 372 (МН+).
Пример 6
Гидрохлорид 3-(4-хлор)фенилсульфонил-8-пиперазин-1-ил-хинолина (Е6)
Получают из 8-амино-3-(4-хлор)фенилсульфонилхинолина (D13) способом, аналогичным способу, описанному в примере 3 (Е3).
Н (CD3OD): 3,54-3,57 (8Н, ушир. с), 7,63 (2Н, д), 7,84 (2Н, ушир. c), 8,03-8,06 (1Н, м), 8,12 (2Н, д), 9,39 (2Н, ушир. с);
масс-спектр: для С19Н18ClN3O2S требуется 387; найдено 388 (МН+).
Пример 7
Гидрохлорид 3-(3-фтор)фенилсульфонил-8-пиперазин-1-ил-хинолина (Е7)
Получают из 8-амино-3-(3-фтор)фенилсульфонилхинолина (D14) способом, аналогичным способу, описанному в примере 3 (Е3).
Н (CD3OD): 3,53-3,68 (8Н, м), 7,41-3,56 (2Н, м), 7,62-7,75 (2Н, м), 7,85-7,95 (3Н, м), 9,09 (1Н, д), 9,27 (1Н, д);
масс-спектр: для С19Н18FN3O2S требуется 371; найдено 372 (МН+).
Пример 8
Гидрохлорид 3-(4-бром-2-трифторметокси)фенилсульфонил-8-пиперазин-1-ил-хинолина (Е8)
Получают из 8-амино-3-(4-бром-2-трифторметокси)фенилсульфонилхинолина (D15) способом, аналогичным способу, описанному в примере 3 (Е3).
Н (CD3OD): 3,54 (4Н, м), 3,60 (4Н, м), 7,58 (1Н, дд), 7,66 (1Н, т), 7,74 (1Н, т), 7,86 (2Н, дд), 8,30 (1Н, д), 9,03 (1Н, д), 9,23 (1Н, д);
масс-спектр: для С20Н17BrF3N3O3S требуется 515, 517; найдено 516, 518 (МН+).
Пример 9
Гидрохлорид 8-пиперазин-1-ил-3-(3-трифторметил)фенилсульфонилхинолина (Е9)
К перемешиваемому раствору 8-(4-трет-бутилоксикарбонил)пиперазин-1-ил-3-(3-трифторметил)фенилсульфонилхинолина (D8) (0,33 г, 0,63 ммоль) в диоксане (10 мл) добавляют 4 М HCl (10 мл). После перемешивания в течение 4 час растворители удаляют в вакууме, получая при этом указанное в заголовке соединение (Е9) в виде бесцветного твердого вещества (0,30 г, 97%).
Н (CD3OD): 3,54-3,63 (8Н, м), 7,88-8,00 (3Н, м), 8,03-15 (2Н, м), 8,44 (2Н, д), 9,48 (1Н, д), 9,56 (1Н, д);
масс-спектр: для С20Н18F3N3O2S требуется 421; найдено 422 (МН+).
Пример 10
Гидрохлорид 7-хлор-3-фенилсульфонил-8-пиперазин-1-ил-хинолина (Е10)
К перемешиваемому раствору гидрохлорида 3-фенилсульфонил-8-пиперазин-1-ил-хинолина (E2) (54 мг, 0,14 ммоль) в ледяной уксусной кислоте (0,5 мл) при комнатной температуре добавляют N-хлорсукцинимид (19 мг, 0,14 ммоль). Через 16 час растворитель удаляют и монохлорированный продукт выделяют препаративной хроматографией с обращенной фазой (градиент 10-90% ацетонитрила в воде). После удаления растворителей остаток растворяют в метаноле и обрабатывают раствором хлорида водорода в диэтиловом эфире (1 М). Растворитель удаляют, получая при этом указанное в заголовке соединение (Е10) (9 мг, 17%).
Н (CDCl3): 3,4 (4Н, ушир. м), 3,6 (4Н, очень ушир. м), 7,61 (3Н, м), 7,68 (2Н, т), 8,05 (2Н, д), 8,77 (1Н, д), 9,22 (1Н, д), 9,74 (2Н, ушир. NH2);
масс-спектр: для С19Н18ClN3O2S требуется 387, 389; найдено 388, 390 (МН+).
Пример 11
Гидрохлорид 6-метил-3-фенилсульфонил-8-пиперазин-1-ил-хинолина (Е11)
Получают из 8-амино-6-метил-3-фенилсульфонилхинолина (D16) с использованием способа, аналогичного способу, описанному в примере 3 (Е3).
Н (CD3OD): 2,51 (3Н, с), 3,30 (4Н, ушир. с), 3,55 (4Н, ушир. с), 7,32 (1Н, с), 7,26-7,67 (4Н, м), 8,07 (2Н, д), 8,88 (1Н, д), 9,14 (1Н, д);
масс-спектр: для С20Н21N3O2S требуется 367; найдено 368 (МН+).
Пример 12
Гидрохлорид (R)-8-(3-метил)пиперазин-1-ил-3-фенилсульфонилхинолина (Е12)
8-Иод-3-фенилсульфонилхинолин (D6) (200 мг, 0,51 ммоль) растворяют в сухом, дегазированном диоксане (4 мл) в атмосфере аргона. К этому раствору добавляют трет-бутоксид натрия (68 мг, 0,71 ммоль) и (R)-(-)-2-метилпиперазин (61 мг, 0,61 ммоль) с последующим добавлением суспензии катализатора в атмосфере аргона. Катализатор получают обработкой ультразвуком трис(дибензилиденацетон)дипалладия (0) (14 мг, 0,015 ммоль) и 2-дициклогексилфосфино-2′-(N,N-диметиламино)бифенила (18 мг, 0,015 ммоль) в сухом дегазированном диоксане (1 мл) в течение 2 минут. Смесь перемешивают при 40°С в течение 5 час, затем вводят дополнительную загрузку катализатора (получен, как указано выше, в половинном количестве) и перемешивание продолжают в течение 16 час при 40°С. Смесь фильтруют и растворитель удаляют. Остаток растворяют в метаноле и пропускают через колонку с ионообменником SCX, элюируя метанолом для удаления примесей. Продукт выделяют элюированием 15% 0,880 водным аммиаком в метаноле. Растворитель удаляют, остаток растворяют в метаноле и обрабатывают раствором хлорида водорода в диэтиловом эфире (1 М). Растворитель удаляют и остаток перекристаллизовывают из этанола, получая при этом указанное в заголовке соединение (Е12) (40 мг, 16%).
Н (CD3OD): 1,40 (3Н, д), 2,96 (1Н, т), 3,19 (1Н, м), 3,51 (2Н, м), 3,69 (1Н, м), 3,95 (2Н, д), 7,46 (1Н, д), 7,62-7,70 (4Н, м), 7,81 (1Н, д), 8,09 (2Н, д), 8,99 (1Н, д), 9,22 (1Н, д);
масс-спектр: для С20Н21N3O2S требуется 367; найдено 368 (МН+).
Пример 13
Гидрохлорид (S)-8-(3-метил)пиперазин-1-ил-3-фенилсульфонилхинолина (Е13)
Получают из (S)-(+)-2-метилпиперазина, применяемого вместо (R)-(-)-2-фенилпиперазина, с использованием способа, аналогичного способу, используемому в примере 12 (Е12), получая при этом указанное в заголовке соединение (Е13) (77 мг, 37%) в виде желтого твердого вещества.
Н (CD3OD): 1,40 (3Н, д), 2,96 (1Н, т), 3,19 (1Н, м), 3,51 (2Н, м), 3,69 (1Н, м), 3,95 (2Н, д), 7,46 (1Н, д), 7,62-7,70 (4Н, м), 7,81 (1Н, д), 8,09 (2Н, д), 8,99 (1Н, д), 9,22 (1Н, д);
d (62,9 МГц, CD3OD): 16,7 (СН3), 45,1 (СН2), 48,4 (СН2), 53,3 (СН), 56,8 (СН2), 122,5 (СН), 125,8 (СН), 129,4 (2× HC), 130,0 (С), 130,6 (СН), 131,3 (2× СН), 135,6 (СН), 137,0 (С), 140 (СН), 142,7 (С), 144,5 (С), 146,4 (СН), 149,0 (С).
Масс-спектр: для С20Н21N3O2S требуется 367; найдено 368 (МН+).
Т.пл. 266-269°С с разлож. (кристаллизован из IPA).
Пример 14
Гидрохлорид 8-гомопиперазин-1-ил-3-фенилсульфонилхинолина (Е14)
Неочищенный 8-(4-трет-бутоксикарбонил)гомопиперазин-1-ил-3-фенилсульфонилхинолин (D9) суспендируют в смеси диоксана (2 мл) и 4 М хлористоводородной кислоты (2 мл) и перемешивают при 80°С в течение 1 час с образованием гомогенного раствора. Растворители удаляют, остаток растворяют в метаноле и пропускают через колонку с ионообменником SCX, элюируя метанолом. Продукт выделяют дальнейшим разбавлением 15% 0,880 водным аммиаком в метаноле. Растворители удаляют и остаток обрабатывают раствором хлорида водорода в диэтиловом эфире (1 М). Растворители удаляют и остаток перекристаллизовывают из этанола, получая при этом указанное в заголовке соединение (Е14) (20 мг, 10%).
Н (CD3OD): 2,31 (2Н, м), 3,45 (2Н, м), 3,55 (2Н, м), 3,74 (4Н, м), 7,40 (1Н, д), 7,60-7,70 (5Н, м), 8,08 (2Н, м), 8,94 (1Н, д), 9,18 (1Н, д);
масс-спектр: для С20Н21N3O2S требуется 367; найдено 368 (МН+).
Пример 15
Гидрохлорид 8-((S)-2-метилпиперазин-1-ил)-3-фенилсульфонилхинолина (Е15)
трет-Бутиловый эфир (S)-3-метил-4-(3-фенилсульфонилхинолин-8-ил)пиперазин-1-карбоновой кислоты получают в соответствии с процедурой, описанной в описании 7 (D7), но с заменой трет-бутилового эфира пиперазин-1-карбоновой кислоты трет-бутиловым эфиром (S)-3-метилпиперазин-1-карбоновой кислоты. Этот материал затем подвергают воздействию условий, описанных в примере 2 (альтернативная процедура), получая при этом указанное в заголовке соединение (Е15).
Н (CD3OD): 0,92 (3Н, д), 3,25 (1Н, м), 3,43 (3Н, м), 3,57 (2Н, м), 4,09 (1Н, ушир. с), 7,64 (2Н, т), 7,71 (1Н, т), 7,90 (1Н, т), 7,98 (1Н, д), 8,14 (3Н, м), 9,38 (1Н, с), 9,39 (1Н, с);
масс-спектр: для С20Н21N3O2S требуется 367; найдено 368 (МН+).
Пример 16
3-Фенилсульфонил-8-пиперазин-1-ил-хинолин (Е16) (форма свободного основания Е2)
В трехгорлую колбу на 100 мл загружают Pd2(dba)3 (174 мг, 0,19 ммоль, 0,03 экв.), 8-иод-3-фенилсульфонилхинолин (D6) (2,5 г, 6,33 ммоль), 1,1′-бисдифенилфосфеноферроцен (316 мг, 0,57 ммоль), трет-бутоксид натрия (851 мг, 8,86 ммоль, 1,4 экв.) и пиперазин (2,72 г, 31,6 ммоль, 5 экв.). Из колбы откачивают воздух и заполняют ее азотом четыре раза, затем добавляют безводный 1,4-диоксан (17,5 мл, 7 об.). Смесь перемешивают и нагревают до 40°С в течение 16 1/2 час. Темному раствору дают возможность охладиться до комнатной температуры, добавляют дихлорметан (12,5 мл) и раствор промывают Н2О (12,5 мл). Водную промывочную жидкость экстрагируют дихлорметаном и объединенные органические слои экстрагируют 5 М HCl (2×12,5 мл). Объединенные водные слои промывают (дихлорметан, 2,5 мл), затем переносят в коническую колбу, добавляют дихлорметан (12,5 мл) и колбу охлаждают на бане лед/вода. При перемешивании добавляют 10 М водный гидроксид натрия (13 мл), смесь затем перемешивают при комнатной температуре до тех пор, пока не растворятся все твердые вещества. Низший органический слой удаляют и водный слой экстрагируют дихлорметаном (7,5 мл), объединенные органические слои концентрируют при пониженном давлении до 5 мл. К темно-коричневому раствору добавляют изооктан (2,5 мл), что приводит к кристаллизации, смесь перемешивают при комнатной температуре в течение 5 мин, затем на протяжении 5 мин добавляют изооктан (22,5 мл). Смесь подвергают старению при комнатной температуре в течение 1 1/2 час перед охлаждением на бане лед/вода в течение 30 мин, смесь фильтруют и осадок на фильтре промывают изооктаном (5 мл). Осадок сушат при пониженном давлении, получая при этом указанное в заголовке соединение Е16; выход 1,67 г, 75%.
Н (CDCl3): 1,6 (1Н, ушир. с), 3,18 (4Н, м), 3,34 (4Н, м), 7,27 (1Н, м), 7,49-7,60 (5Н, м), 8,01 (2Н, дд), 8,75 (1Н, д), 9,21 (1Н, д).
Пример 17
Гидрохлорид 8-(4-этилпиперазин-1-ил)-3-фенилсульфонилхинолина (Е17)
Суспензию 3-фенилсульфонил-8-пиперазин-1-ил-хинолина (Е16) (200 мг, 0,55 ммоль) в этаноле (4 мл) обрабатывают последовательно уксусной кислотой (100 мкл), ацетальдегидом (100 мг, 2,3 ммоль) и связанным со смолой Amberlyst цианоборогидридом (3 ммоль/г, 0,5 г). Смесь перемешивают при температуре окружающей среды в течение 18 час, затем фильтруют и фильтрат абсорбируют на картридже SCX. Картридж промывают этанолом, затем продукт элюируют раствором 3% аммиака в 7% водном метаноле. Раствор упаривают и остаток подвергают очистке флэш-хроматографией на силикагеле (элюирование смесью дихлорметан-метанол-водный NH3), получая при этом раствор свободного основания указанного в заголовке соединения. Раствор упаривают и обрабатывают 1 М HCl в эфире, затем кристаллизуют из изопропанола, получая при этом указанное в заголовке соединение (Е17) в виде желтого твердого вещества.
Н (CDCl3): 1,54 (3Н, т), 3,22 (2Н, кв), 3,27-3,91 (8Н, м), 7,23-7,70 (м, 6Н), 8,03 (2Н, д), 8,80 (1Н, с), 9,22 (1Н, с), 12,5 (1Н, ушир. с);
масс-спектр: для С17Н23N3O2S требуется 381; найдено 382 (МН+).
Примеры 18-22 (Е18-22)
Соединения примеров 18-22 получают с использованием способа, описанного для примера 16, из подходящим образом замещенного 3-арилсульфонил-8-иодхинолина (полученного из подходящего тиола, указанного в таблице 1, с использованием общих процедур 1 или 2), применяемого вместо 3-фенилсульфонил-8-иодхинолина (D6).

Таблица 1
| Пример |
Q1 |
Общая процедура |
Исходный тиол |
М+Н+ |
| 18 |
2-Ме |
1 |
2-Метилбензолтиол |
368 |
| 19 |
2-ОМе |
1 |
2-Метоксибензолтиол |
384 |
| 20 |
4-Ме |
1 |
4-Метилбензолтиол |
368 |
| 21 |
4-F |
2 |
4-Фторбензолтиол |
372 |
| 22 |
2-CF3 |
2 |
2-Трифторметилбензолтиол |
422 |
Примеры 23-31 (Е23-31)
Соединения примеров 23-31 получают с использованием способа, описанного для примера 1 (альтернативная процедура 3), из подходящим образом замещенного 3-арилсульфонил-8-иодхинолина (полученного из подходящего тиола, указанного в таблице 2, с использованием общих процедур 1 или 2), применяемого вместо 3-фенилсульфонил-8-иодхинолина (D6).

Таблица 2
| Пример |
Q1 |
Общая процедура |
Исходный тиол |
М+Н+ |
| 23 |
2-Ме |
1 |
2-Метилбензолтиол |
382 |
| 24 |
2-ОМе |
1 |
2-Метоксибензолтиол |
398 |
| 25 |
4-Ме |
1 |
4-Метилбензолтиол |
382 |
| 26 |
4-F |
2 |
4-Фторбензолтиол |
386 |
| 27 |
3-F |
2 |
3-Фторбензолтиол |
386 |
| 28 |
2-F |
2 |
2-Фторбензолтиол |
386 |
| 29 |
4-Cl |
2 |
4-Хлорбензолтиол |
402, 404 |
| 30 |
3-Cl |
1 |
3-Хлорбензолтиол |
402, 404 |
| 31 |
2-CF3 |
2 |
2-Трифторметилбензолтиол |
436 |
Примеры 32-40 (Е32-40)
Соединения примеров 32-40 получают с использованием способа, описанного для примера 13, и с использованием подходящего замещенного 3-арилсульфонил-8-иодхинолина (полученного из подходящего тиола, указанного в таблице 3, с использованием общих процедур 1 или 2), вместо 3-фенилсульфонил-8-иодхинолина (D6).

Таблица 3
| Пример |
Q1 |
Общая процедура |
Исходный тиол |
М+Н+ |
| 32 |
2-Ме |
1 |
2-Метилбензолтиол |
382 |
| 33 |
2-ОМе |
1 |
2-Метоксибензолтиол |
398 |
| 34 |
4-Ме |
1 |
4-Метилбензолтиол |
382 |
| 35 |
4-F |
2 |
4-Фторбензолтиол |
386 |
| 36 |
3-F |
2 |
3-Фторбензолтиол |
386 |
| 37 |
2-F |
2 |
2-Фторбензолтиол |
386 |
| 38 |
4-Cl |
2 |
4-Хлорбензолтиол |
402, 404 |
| 39 |
3-Cl |
1 |
3-Хлорбензолтиол |
402, 404 |
| 40 |
2-CF3 |
2 |
2-Трифторметилбензолтиол |
436 |
Примеры 41-44 (Е41-44)
Соединения примеров 41-44 получают с использованием способов, описанных для примера 16 или 15, и с использованием указанных в таблице 4 аминов вместо пиперазина или 2-(S)-метилпиперазина соответственно.

Таблица 4
| Пример |
Q2 |
Аналогичная процедура |
Амин |
М+Н+ |
| 41 |
 |
Пример 15 |
 |
368 |
| 42 |
 рацемическое |
Пример 16 |
 |
382 |
| 43 |
 |
Пример 16 |
 |
382 |
| 44 |
 |
Пример 16 |
 |
394 |
Примеры 45-49 (Е45-49)
Соединения примеров 45-49 получают с использованием способа, описанного для примера 17, и с использованием аминов и карбонильных соединений, указанных в таблице 5, вместо ацетальдегида.
Таблица 5
| Пример |
R1 |
R2 |
Амин |
Альдегид/кетон |
М+Н+ |
| 45 |
iPr |
Н |
Е2 |
Ацетон |
396 |
| 46 |
iBu |
Н |
Е2 |
Изобутиральдегид |
410 |
| 47 |
2,2-Диметилпропил |
Н |
Е2 |
2,2-Диметилпро-пиональдегид |
424 |
| 48 |
Ме |
(R)-Ме |
Е12 |
37% формальдегид в водном метаноле |
382 |
| 49 |
Ме |
(S)-Ме |
Е13 |
37% формальдегид в водном метаноле |
382 |
Пример 50
Гидрохлорид 3-фенилсульфонил-8-({1S,4S}-2,5-диазабициклогептан-2-ил)хинолина (Е50)
3-Сульфонил-8-иодхинолин (D6) (200 мг, 0,48 ммоль), трет-бутиловый эфир (1S,4S)-2,5-диазабицикло[2.2.1]гептан-2-карбоновой кислоты (95 мг, 0,48 ммоль), трет-бутоксид натрия (65 мг, 0,68 ммоль), дипалладийтетракис(дибензилиденацетон) (88 мг, 0,1 ммоль) и 1,1′-дифенилфосфиноферроцен (161 мг, 0,3 ммоль) суспендируют в дегазированном сухом диоксане (2 мл). Смесь перемешивают в атмосфере аргона при 40°С в течение 16 час. Растворитель удаляют и остаток очищают хроматографией на диоксиде кремния с использованием 30% этилацетата в гексане, получая при этом трет-бутиловый эфир (1S,4S)-5-(3-бензолсульфонилхинолин-8-ил)-2,5-диазабицикло[2.2.1]гептан-2-карбоновой кислоты с выходом 70%. Этот материал (160 мг) обрабатывают 4 М хлористоводородной кислотой (1 мл) и диоксаном (1 мл) с перемешиванием при 80°С в течение 30 мин. Растворитель удаляют, получая при этом указанное в заголовке соединение (Е50) в виде желтого твердого вещества.
Н (MeOD-d4): 1,96 (1Н, д), 2,16 (1Н, д), 3,37 (2Н, м), 3,69 (1Н, м), 4,17 (1Н, м), 4,41 (1Н, с), 5,17 (1Н, с), 7,06 (1Н, дд), 7,53-7,98 (4Н, м), 8,08 (1Н, м), 8,88 (1Н, д), 9,08 (1Н, д), 9,00 (1Н, д), 9,55 (1Н, ушир. с);
найдено [M+1]+ 366 (С20Н19N3O2S).
Пример 51
Кристаллизация 3-фенилсульфонил-8-пиперазин-1-ил-хинолина (форма I)
3-Фенилсульфонил-8-пиперазин-1-ил-хинолин (Е16) (0,1 г) растворяют в этилацетате (1,7 мл) при нагревании. При охлаждении продукт кристаллизуется в виде игл. Растворителю дают возможность выпариться для получения указанного в заголовке соединения с количественным выходом. Точка плавления 158°С.
Полученные данные, характеризующие соединение примера 51
Инфракрасный спектр твердого продукта регистрировали с использованием ИК-спектрометра с преобразователем Фурье (FT) Nicolet Avatar 360, снабженного универсальным вспомогательным устройством ATR. FT-ИК-спектр (фиг.1) обнаруживает полосы у 2945, 2819, 1606, 1590, 1566, 1487, 1469, 1447, 1380, 1323, 1283, 1247, 1164, 1138, 1126, 1107, 1095, 1083, 1056, 1026, 997, 964, 949, 919, 906, 879, 859, 824, 785, 761, 723, 705 см-1.
Спектр комбинационного рассеяния с преобразованием Фурье регистрировали с использованием спектрометра ThermNicolet 960 E.S.P. Возбуждение при 1064 нм обеспечивали лазером Nd:YVO4 с мощностью 400 мВт в положении образца. Регистрировали 1200 сканов при разрешении 4 см-1. ИК-спектр с FT (фиг.5) обнаруживал полосы у 215, 252, 293, 304, 315, 338, 556, 705, 858, 997, 1025, 1098, 1154, 1363, 1382, 1397, 1566, 1584, 1606 и 3059 см-1.
Рентгеновскую порошковую дифрактограмму продукта (фиг.3) регистрировали с использованием следующих условий обнаружения: неизмельченный материал помещали в кремниевые чашки, заполненные доверху. Порошковые рентгенограммы получали с использованием рентгеновского порошкового дифрактометра Bruker D8 Advance с Cu-анодом (40 кВ, 40 мА), регулируемой щелью дивергенции, первичными и вторичными щелями Soller и чувствительным к положению детектором. Данные получали в диапазоне 2-40 градусов 2-тета, используя размер шага 0,0145 градуса 2-тета (1 сек на шаг). При получении данных образцы вращали. Характеристическими углами 2 XRPD были 6,84, 8,61, 10,47, 13,01, 15,11, 15,50, 16,24, 16,63, 17,20, 18,00, 19,65, 21,07, 21,66, 22,20, 22,62, 23,99, 25,61, 26,12, 26,76, 27,96, 28,86, 29,64, 30,26, 30,85, 31,31, 32,60, 33,08, 33,70, 34,35, 35,65, 36,85, 38,05 и 38,460.
Пример 52
Кристаллизация 3-фенилсульфонил-8-пиперазин-1-ил-хинолина (форма II)
3-Фенилсульфонил-8-пиперазин-1-ил-хинолин (Е16) (0,5 г) растворяют в изопропаноле (5 мл) при нагревании. Раствору дают возможность охладиться до температуры окружающей среды, затем перемешивают на протяжении ночи перед охлаждением на бане лед/вода в течение 15 мин. Продукт собирают фильтрованием и сушат в вакууме при 50°С, получая при этом указанное в заголовке соединение, 371 мг, 74%. Точка плавления 164°С.
Полученные данные, характеризующие соединение примера 51
Инфракрасный спектр регистрировали с использованием ИК-спектрометра с преобразователем Фурье (FT) Nicolet Avatar 360, снабженного универсальным вспомогательным устройством ATR. FT-ИК-спектр (фиг.4) обнаруживает полосы у 3335, 2939, 2812, 1585, 1564, 1485, 1470, 1443, 1382, 1361, 1322, 1310, 1250, 1232, 1179, 1158, 1129, 1107, 1093, 1061, 1022, 1000, 950, 914, 862, 813, 774, 760, 727 см-1.
Спектр комбинационного рассеяния с преобразованием Фурье образца в стеклянной трубке получали с использованием спектрометра ThermNicolet 960 E.S.P. Возбуждение при 1064 нм обеспечивали лазером Nd:YVO4 с мощностью 400 мВт в положении образца. Регистрировали 1200 сканов при разрешении 4 см-1. ИК-спектр с FT (фиг.5) обнаруживал полосы у 216, 252, 288, 617, 701, 726, 863, 1000, 1026, 1078, 1153, 1197, 1339, 1360, 1381, 1396, 1445, 1564, 1584 и 3052 см-1.
Рентгеновскую порошковую дифрактограмму (фиг.6) регистрировали с использованием следующих условий обнаружения: неизмельченный материал помещали в кремниевые чашки, заполненные доверху. Порошковые рентгенограммы получали с использованием рентгеновского порошкового дифрактометра Bruker D8 Advance с Cu-анодом (40 кВ, 40 мА), регулируемой щелью дивергенции, первичными и вторичными щелями Soller и чувствительным к положению детектором. Данные получали в диапазоне 2-40 градусов 2-тета, используя размер шага 0,0145 градуса 2-тета (1 сек на шаг). При получении данных образцы вращали. Характеристическими углами 2 XRPD были 9,30, 9,95, 10,99, 13,40, 14,63, 15,03, 16,04, 16,47, 17,93, 18,19, 18,73, 19,17, 20,69, 21,49, 22,12, 23,55, 24,59, 25,27, 27,03, 28,22, 28,61, 29,48, 29,81, 30,70, 32,05, 33,32, 33,95, 34,39, 34,90, 35,77, 36,25, 36,80, 37,60, 38,19, 38,70 и 39,26°.
Фармакологические данные
Соединения могут быть испытаны по процедурам, указанным в WO 98/27081. Соединения примеров Е1-Е14, Е16-40 и Е44-50 были испытаны и проявили хорошую аффинность к 5-НТ6-рецепторам, имея величины pKi >8,0 на клонированных 5-НТ6-рецепторах человека. Соединения примеров Е15 и Е41-43 также были испытаны и проявили хорошую аффинность к 5-НТ6-рецепторам, имея величины pKi >7,5 на клонированных 5-НТ6-рецепторах человека.
Краткое описание графических материалов
На фиг.1 показан инфракрасный спектр, полученный для 3-фенилсульфонил-8-пиперазин-1-ил-хинолина (форма I).
На фиг.2 показан спектр комбинационного рассеяния, полученный для 3-фенилсульфонил-8-пиперазин-1-ил-хинолина (форма I).
На фиг.3 показана рентгеновская порошковая дифрактограмма, полученная для 3-фенилсульфонил-8-пиперазин-1-ил-хинолина (форма I).
На фиг.4 показан инфракрасный спектр, полученный для 3-фенилсульфонил-8-пиперазин-1-ил-хинолина (форма II).
На фиг.5 показан спектр комбинационного рассеяния, полученный для 3-фенилсульфонил-8-пиперазин-1-ил-хинолина (форма II).
На фиг.6 показана рентгеновская порошковая дифрактограмма, полученная для 3-фенилсульфонил-8-пиперазин-1-ил-хинолина (форма II).
Формула изобретения
1. 3-Фенилсульфонил-8-пиперазин-1-ил-хинолин формулы (I) или его фармацевтически приемлемая соль

где R1 и R2 представляют собой, независимо, водород или С1-6алкил или R1 связан с R2 с образованием группы (СН2)2, (СН2)3 или (СН2)4;
R3, R4 и R5 представляют собой водород, галоген или С1-6алкил;
m представляет целое число от 1 до 4, так что, когда m представляет целое число, которое больше чем 1, две группы R2 могут быть связаны с образованием группы СН2, (СН2)2 или (СН2)3;
n равно целому числу от 1 до 3;
А представляет собой группу -Ar1;
Ar1 представляет собой фенильную группу, которая может быть необязательно замещена одним или несколькими заместителями, которые могут быть одинаковыми или разными и которые выбраны из группы, состоящей из галогена, трифторметила, трифторметокси, С1-6алкила и C1-6алкокси.
2. Соединение формулы (I) по п.1, где R1 представляет собой водород, метил, этил, изопропил, изобутил или 2,2-диметилпропил.
3. Соединение формулы (I) по п.2, где R1 представляет собой водород.
4. Соединение формулы (I) по любому из пп.1, 2 и 3, где R2 представляет собой водород, метил или связан с R1 с образованием группы (СН2)3.
5. Соединение формулы (I) по п.4, где R представляет собой водород.
6. Соединение формулы (I) по любому из пп.1, 2, 3 и 5, где R3 представляет собой водород, метил или галоген.
7. Соединение формулы (I) по п.6, где R3 представляет собой водород.
8. Соединение формулы (I) по любому из пп.1, 2, 3, 5 и 7, где R4 и R5 независимо представляют собой водород.
9. Соединение формулы (I) по любому из пп.1, 2, 3, 5 и 7, где n равно 1.
10. Соединение формулы (I) по любому из пп.1, 2, 3, 5 и 7, где m независимо равно 1 или 2.
11. Соединение формулы (I) по любому из пп.1, 2, 3, 5 и 7, где Аг1 представляют собой незамещенный фенил.
12. Соединение формулы (I) по п.1, которое представляет собой 8-(4-метилпиперазин-1-ил)-3-фенилсульфонилхинолин или его фармацевтически приемлемую соль.
13. Соединение формулы (I) по п.1, которое представляет собой
3-(2-хлор)фенилсульфонил-8-пиперазин-1-ил-хинолин;
3-(3-хлор)фенилсульфонил-8-пиперазин-1-ил-хинолин;
3-(2-фтор)фенилсульфонил-8-пиперазин-1-ил-хинолин;
3-(4-хлор)фенилсульфонил-8-пиперазин-1-ил-хинолин;
3-(4-бром-2-трифторметокси)фенилсульфонил-8-пиперазин-1-ил-хинолин;
8-пиперазин-1-ил-3-(3-трифторметил)фенилсульфонилхинолин;
7-хлор-3-фенилсульфонил-8-пиперазин-1-ил-хинолин;
6-метил-3-фенилсульфонил-8-пиперазин-1-ил-хинолин;
(R)-8-(3-метил)пиперазин-1-ил-3-фенилсульфонилхинолин;
(S)-8-(3-метил)пиперазин-1-ил-3-фенилсульфонилхинолин;
8-гомопиперазин-1-ил-3-фенилсульфонилхинолин;
8-((S)-2-метилпиперазин-1-ил)-3-фенилсульфонилхинолин или его фармацевтически приемлемая соль.
14. Соединение формулы (I) по п.1, которое представляет собой
8-(4-этилпиперазин-1-ил)-3-фенилсульфонилхинолин;
8-пиперазин-1-ил-3-(толуол-2-сульфонил)хинолин;
3-(2-метоксибензолсульфонил)-8-пиперазин-1-ил-хинолин;
8-пиперазин-1-ил-3-(толуол-4-сульфонил)хинолин;
3-(4-фторбензолсульфонил)-8-пиперазин-1-ил-хинолин;
8-(4-метилпиперазин-1-ил)-3-(толуол-2-сульфонил)хинолин;
3-(2-метоксибензолсульфонил)-8-(4-метилпиперазин-1-ил)хинолин;
8-(4-метилпиперазин-1-ил)-3-(толуол-4-сульфонил)хинолин;
3-(4-фторбензолсульфонил)-8-(4-метилпиперазин-1-ил)хинолин;
3-(3-фторбензолсульфонил)-8-(4-метилпиперазин-1-ил)хинолин;
3-(2-фторбензолсульфонил)-8-(4-метилпиперазин-1-ил)хинолин;
3-(4-хлорбензолсульфонил)-8-(4-метилпиперазин-1-ил)хинолин;
8-((S)-3-метилпиперазин-1-ил)-3-(толуол-2-сульфонил)хинолин;
3-(2-метоксибензолсульфонил)-8-((S)-3-метилпиперазин-1-ил)хинолин;
8-((S)-3-метилпиперазин-1-ил)-3-(толуол-4-сульфонил)хинолин;
3-(4-фторбензолсульфонил)-8-((S)-3-метилпиперазин-1-ил)хинолин;
3-(3-фторбензолсульфонил)-8-((S)-3-метилпиперазин-1-ил)хинолин;
3-(3-хлорбензолсульфонил)-8-((S)-3-метилпиперазин-1-ил)хинолин;
3-бензолсульфонил-8-((R)-2-метилпиперазин-1-ил)хинолин;
3-бензолсульфонил-8-((2R,5S)-2,5-диметилпиперазин-1-ил)хинолин, рацемат;
3-бензолсульфонил-8-(гексагидропирроло[1,2-а]пиразин-2-ил)хинолин, рацемат;
3-бензолсульфонил-8-(4-изопропилпиперазин-1-ил)хинолин;
3-бензол сульфонил-8-(4-изобутилпиперазин-1-ил)хинолин;
3-бензолсульфонил-8-[4-(2,2-диметилпропил)пиперазин-1-ил]хинолин;
3-бензолсульфонил-8-((R)-3,4-диметилпиперазин-1-ил)хинолин;
3-бензол сульфонил-8-((S)-3,4-диметилпиперазин-1-ил)хинолин;
3-фенилсульфонил-8-({1S,4S}-2,5-диазабициклогептан-2-ил)хинолин
или его фармацевтически приемлемую соль.
15. Соединение формулы (I) по п.1, которое является 3-фенилсульфонил-8-пиперазин-1-ил-хинолином или его фармацевтически приемлемой солью.
16. Соединение формулы (I) по п.15, которое является свободным основанием 3-фенилсульфонил-8-пиперазин-1-ил-хинолина.
17. Соединение формулы (I) по п.16, которое является 3-фенилсульфонил-8-пиперазин-1-ил-хинолином формулы I.
18. Соединение формулы (I) по п.16, которое является 3-фенилсульфонил-8-пиперазин-1-ил-хинолином формулы II.
19. Соединение формулы (I) по п.1, которое является 3-(3-фтор)фенилсульфонил-8-пиперазин-1-ил-хинолином или его фармацевтически приемлемой солью.
20. Способ получения соединения формулы (I) по п.1 или его фармацевтически приемлемой соли, который включает взаимодействие соединения формулы (II)

где R1a имеет значения, определенные для R1 в п.1, и R2, R3, R4, R5, m и n имеют значения, указанные в п.1, и L1 представляет собой удаляемую группу;
с соединением формулы A-SO2H (или A-SH с последующей стадией окисления), где А имеет значения, определенные в п.1.
21. Способ получения соединения формулы (I) по п.1 или его фармацевтически приемлемой соли, который включает
взаимодействие соединения формулы (IV)

с соединением формулы (V)

где R1а имеет значения, определенные для R1 в п.1, R2, R3, R4, R5, A, m и n имеют значения, указанные в п.1, и L2 представляет собой подходящую удаляемую группу.
22. Способ получения соединения формулы (I) по п.1 или его фармацевтически приемлемой соли, который включает
взаимодействие соединения формулы (VI)

с соединением формулы (VII)

где R1а имеет значения, определенные для R1 в п.1, или является N-защитной группой, R2, R3, R4, R5, m, n и А имеют значения, указанные в п.1, и L3 представляет собой подходящую удаляемую группу с последующим, если это необходимо, удалением R1aN-защитной группы.
23. Способ получения соединения формулы (I) по п.1 или его фармацевтически приемлемой соли, который включает удаление защитной группы в соединении формулы (I), которое является защищенным, с последующим необязательным взаимопревращением в другие соединения формулы (I) и/или образованием фармацевтически приемлемой соли.
Приоритет по пунктам:
27.04.2002 – пп.1 – 12, 15, 16, 20, 21, 23;
04.11.2002 – пп.13, 19, 22.
РИСУНКИ
|
|