|
(21), (22) Заявка: 2004108687/04, 23.08.2002
(24) Дата начала отсчета срока действия патента:
23.08.2002
(30) Конвенционный приоритет:
24.08.2001 (пп.1-14) US 60/314,857
(43) Дата публикации заявки: 20.09.2005
(46) Опубликовано: 27.10.2007
(56) Список документов, цитированных в отчете о поиске:
FR 1273989 А, 20.10.1961. ЕР 0891771 А, 20.01.1999. JP 04-247011 А, 03.09.1992. JP 63-190882 А, 08.08.1988. WO 91/19488 A1, 26.12.1991. RU 2059410 C1, 10.05.1996. RU 2152798 C1, 20.07.2000. SU 1801482 А, 15.03.1993. SU 1777882 A1, 30.11.1992.
(85) Дата перевода заявки PCT на национальную фазу:
24.03.2004
(86) Заявка PCT:
EP 02/09451 (23.08.2002)
(87) Публикация PCT:
WO 03/018568 (06.03.2003)
Адрес для переписки:
103735, Москва, ул. Ильинка, 5/2, ООО “Союзпатент”, пат.пов. А.П.Агурееву
|
(72) Автор(ы):
РАТ Маттиас (NL), НЕДЗВЕЦКИ Александра (US), ИВАНОВ Вадим (US), НЕТКЕ Шриранг (US), РУМИ М. Вахид (US)
(73) Патентообладатель(и):
РАТ Маттиас (NL)
|
(54) НОВЫЕ ПРОИЗВОДНЫЕ АСКОРБИНОВОЙ КИСЛОТЫ, СПОСОБЫ ИХ ПОЛУЧЕНИЯ И ПРИМЕНЕНИЕ
(57) Реферат:
Изобретение относится к производным L-аскорбиновой кислоты с лизином или с пролином и способам их получения. Способ получения производных L-аскорбиновой кислоты с лизином осуществляют путем обработки L-аскорбиновой кислоты лизином, с последующим выделением указанных производных L-аскорбиновой кислоты. При этом L-аскорбиновая кислота ковалентно связывается с лизином по С-6 положению L-аскорбиновой кислоты. Способ получения производных L-аскорбиновой кислоты с пролином осуществляют посредством обработки L-аскорбиновой кислоты пролином, ковалентно связанным с L-аскорбиновой кислотой с последующим выделением указанных производных L-аскорбиновой кислоты. Технический результат – производные L-аскорбиновой кислоты, ковалентно связанные с лизином или с пролином, используемые в медицине в качестве противораковых агентов. 4 н. и 10 з.п. ф-лы, 16 ил.
Область техники, к которой относится изобретение
Изобретение относится к новому способу получения соединений аскорбиновой кислоты с лизином и их производных и/или с пролином и их производных. Настоящее изобретение обеспечивает фармацевтически эффективную композицию, которая содержит производные аскорбиновой кислоты с лизином и пролином. Настоящее изобретение также включает способы применения в исследовании областей, включая, но не ограничиваясь, медициной, питанием, физиологией и фармакологией.
Уровень техники
L-аскорбиновая кислота, также известная как витамин С, является важным диетическим фактором. Она не синтезируется in vivo у человека, обезьяны и у морской свинки и поэтому определена как важный элемент пищи. Это повсеместное соединение важно для поддержания и защиты нескольких видов, включая человека. Цинга известна как заболевание, возникающее из-за дефицита L-аскорбиновой кислоты, и оно характеризуется поражением верхнего слоя кожи, петехиальным кровоизлиянием, кровоподтеком и кровотечением десен и костного мозга, что может быть угрозой жизни. Чтобы предотвратить цингу и сохранить здоровье, определена ежедневная вводимая доза L-аскорбиновой кислоты; в частности, 60 мг для взрослого мужчины и 50 мг для взрослой женщины.
L-аскорбиновая кислота является возможно самым эффективным по действию и наименее токсичным антиоксидантом. Это растворимый в воде антиоксидант, разрушающий цепи. Механизм его действия включает действие L-аскорбиновой кислоты как поглотителя вредных радикалов, подобных супероксидному, гидроксильному и синглетному кислороду, которые образуются во время нормального или патологического метаболизма клетки. Аскорбиновая кислота, как предполагают, превосходит другие растворимые в воде и в липидах антиоксиданты. Она также защищает ДНК, фермент, белок и липиды от окислительного разрушения и, таким образом, предотвращает старение, коронарные сердечные болезни, образование катаракты, дегенеративные болезни и рак. Кислородные радикалы определены как участвующие не только в инициировании и постинициировании стадий канцерогенеза, но также и в инвазийных и метастатических процессах.
L-аскорбиновая кислота принимает участие в нескольких важных физиологических процессах, происходящих in vivo. Она является важным участником синтеза коллагена, протеогликанов и различных компонентов внеклеточного матрикса (ЕСМ). Она помогает поддерживать различные ферменты в их восстановленных формах. L-аскорбиновая кислота включена в гидроксилирование лизина и пролина, приводящего к образованию оксилизина и оксипролина, которые обязательны для синтеза коллагена в живых соединительных тканях. Эти реакции вызываются лизилгидроксилазой и пролилгидроксилазой, по отношению к которым L-аскорбиновая кислота действует как кофактор. Лизин и пролин являются главными составляющими сухожилий, связок, кожи, костей, зубов, хрящей, сердечного клапана, роговицы, хрусталика глаза и основным межклеточным веществом. Оксипролин и оксилизин требуются для формирования стабильного ЕСМ и для образования поперечных связей в волокнах. Любой недостаток L-аскорбиновой кислоты снижает активность пролилгидроксилазы и лизилгидроксилазы. Это приводит к замедлению процесса образования коллагена, что ведет к истончению ткани и в конечном счете цинге.
Медицина рассматривает L-аскорбиновую кислоту и лизин как одни из самых важных натуральных веществ, которые являются необходимыми для поддержания здоровья на клеточном уровне. Дефицит указанных веществ у людей может привести к различным заболеваниям. Практически все болезни являются кульминацией недостатка L-аскорбиновой кислоты и лизина. Лизин ингибирует деструкцию молекул коллагена путем связывания с плазминогеном и, таким образом, предотвращает его разложение до плазмина, который является одним из ферментов, ответственных за распад коллагена, и для активации других матричных металлопротеиназ (MMP’s). Так как организм человека не может производить свой собственный лизин, он должен быть обеспечен им через пищу или через добавки к пище. Другая важная аминокислота, пролин, как предполагается, синтезируется в организме в адекватных количествах для нормального функционирования. Вероятно, при стрессовых состояниях количество синтезируемого пролина падает ниже необходимого уровня. Это часто приводит к состоянию дефицита этой важной аминокислоты.
Другим белком, содержащим оксипролин, является компонент комплемента плазмы Clq, который составляет неотъемлемую часть защитного механизма против болезнетворных организмов. Концентрация Clq значительно снижается у морских свинок, находящихся на диете с дефицитом аскорбиновой кислоты. Кроме того, L-аскорбиновая кислота участвует в биосинтезе карнитина и нейроэндокринных пептидов.
L-аскорбиновая кислота имеет несколько реакционноспособных гидроксильных групп, которые могут использоваться для синтеза ряда производных. Был синтезирован ряд замещенных по 2-, 3-, 5- и 6-положениям соединений. 2-сульфат L-аскорбата сохраняется у рыб и некоторых типов креветок. Он имеет активность L-аскорбиновой кислоты для рыб, таких как форель, лосось и рыба-кот. Он в 20 раз более стабилен, чем аскорбиновая кислота. Следовательно, он может быть использован в составе пищи. 2-фосфат L-аскорбата более стабилен на воздухе, чем аскорбиновая кислота. Это соединение используется как источник L-аскорбиновой кислоты у морских свинок и у резус-макак. L-аскорбил-6-пальмитат, синтетическое лепофильное производное аскорбиновой кислоты, является другим эффективным предохраняющим средством для пищевых продуктов и фармацевтических средств.
В последние годы появляется растущий интерес для терапевтического применения L-аскорбиновой кислоты и ее производных в качестве противоракового агента.
Изобретение касается нового способа получения соединений аскорбиновой кислоты с лизином и их производных и/или пролином и их производных. Настоящее изобретение обеспечивает фармацевтически эффективную композицию, которая включает эти производные аскорбиновой кислоты с лизином и пролином.
Эти новые биохимические соединения могут обеспечить дополнительный биологический эффект, превышающий эффект его отдельных компонентов. Таким образом, биохимический синтез указанных соединений, в которых аминокислоты являются ковалентно связанными с аскорбиновой кислотой, является предпочтительным по сравнению с простой физической смесью аминокислот с аскорбиновой кислотой.
Такие неожиданные превосходные биологические эффекты включают повышенную биологическую стабильность указанных молекул, повышая поглощение различными биологическими частями клетки и большей биологической эффективностью. Такие соединения могут облегчить и усилить усвоение других пищевых компонентов еды, приводя к улучшению питания индивидуума. Эти новые соединения имеют ряд применений в различных областях, включая, но не ограничиваясь питанием, медициной и фармакологией.
Настоящее изобретение также включает способы применения в областях исследования, включая, но не ограничиваясь медициной, питанием, физиологией и фармакологией.
Общей задачей настоящего изобретения является синтез производных аскорбиновой кислоты с остатками лизина и пролина. Синтез проводят, используя L-аскорбиновую кислоту, L-лизин и L-пролин. Используется стандартная методика конденсации спирта с кислотой с получением сложного эфира. Для этой цели используют -СН2OH группу аскорбиновой кислоты в 6 положении и карбоксильную группу лизина или пролина. Используя такую схему, можно получить несколько типов соединений, включая полилизин, полипролин или их комбинацию. Приведены некоторые из возможных соединений, которые могут быть получены с помощью указанной методики.
Рисунки 1a, 1b, 1с показывают структуры L-аскорбиновой кислоты, лизина и пролина соответственно.
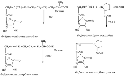
Рисунок 2 показывает схему синтеза аскорбиллизина и аскорбилпролина.
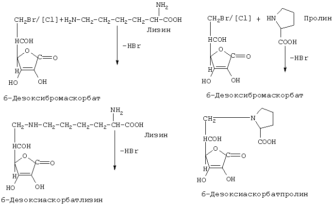
Рисунок 3а показывает схему синтеза 6-дезоксиаскорбатлизина. Эта схема использует G-аминогруппу лизина для связывания с 6-дезоксибромаскорбатом, чтобы получить производные с присоединением по 6 положению. Рисунок 3а также показывает схему синтеза 6-дезоксиаскорбатпролина. На этой схеме используют HN-группу пролина для связывания с 6-дезоксибромаскорбатом, чтобы получить производные с присоединением по 6-положению.
Рисунок 3b показывает схему синтеза 6-дезоксиаскорбатлизина, используя -NH2-группу лизина и 6-дезоксибромаскорбат.Соединения могут иметь дополнительное замещение по 2-положению при использовании карбоксильной группы лизина.
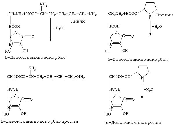
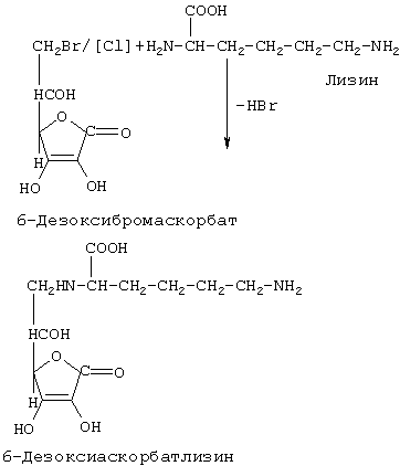
Рисунок 4 показывает схему синтеза 6-дезоксиаминоаскорбата и 6-дезоксиаминопролина, используя NH2-группу 6-дезоксиаминоаскорбата и карбоксильную группу пролина. Соединения могут иметь дополнительное замещение по 2-положению, используя карбоксильную группу пролина.
Настоящее изобретение обеспечивает процесс получения производных L-аскорбиновой кислоты, который включает следующие стадии:
1) обработка L-аскорбиновой кислоты лизином или остатками лизина, при этом L-аскорбиновая кислота ковалентно связывается с лизином или остатками лизина; и
2) выделение производных L-аскорбиновой кислоты.
Настоящее изобретение обеспечивает процесс получения производных L-аскорбиновой кислоты, который включает следующие стадии:
1) обработка L-аскорбиновой кислоты лизином или остатками лизина, при этом L-аскорбиновая кислота ковалентно связывается с лизином или остатками лизина; и
2) выделение производных L-аскорбиновой кислоты;
при этом L-аскорбиновая кислота ковалентно связывается с лизином или остатками лизина по С-6 положению L-аскорбиновой кислоты.
Настоящее изобретение обеспечивает процесс получения производных L-аскорбиновой кислоты, который включает следующие стадии:
1) обработка L-аскорбиновой кислоты лизином или остатками лизина, при этом L-аскорбиновая кислота ковалентно связывается с лизином или остатками лизина; и
2) выделение производных L-аскорбиновой кислоты;
при этом L-аскорбиновая кислота ковалентно связывается с лизином или остатками лизина по С-2 положению L-аскорбиновой кислоты.
Настоящее изобретение обеспечивает процесс получения производных L-аскорбиновой кислоты, который включает следующие стадии:
1) обработка L-аскорбиновой кислоты лизином или остатками лизина, при этом L-аскорбиновая кислота ковалентно связывается с лизином или остатками лизина; и
2) выделение производных L-аскорбиновой кислоты;
при этом L-аскорбиновая кислота ковалентно связывается с одной или большим количеством молекул лизина по С-6 положению L-аскорбиновой кислоты.
Настоящее изобретение обеспечивает процесс получения производных L-аскорбиновой кислоты, который включает следующие стадии:
1) обработка L-аскорбиновой кислоты лизином или остатками лизина, при этом L-аскорбиновая кислота ковалентно связывается с лизином или остатками лизина; и
2) выделение производных L-аскорбиновой кислоты;
при этом L-аскорбиновая кислота ковалентно связывается с одной или большим количеством молекул лизина по С-2 положению L-аскорбиновой кислоты.
Настоящее изобретение обеспечивает процесс получения производных L-аскорбиновой кислоты, который включает следующие стадии:
1) обработка L-аскорбиновой кислоты лизином или остатками лизина, при этом L-аскорбиновая кислота ковалентно связывается с лизином или остатками лизина; и
2) выделение производных L-аскорбиновой кислоты;
при этом L-аскорбиновая кислота ковалентно связывается с первой молекулой лизина по С-6 положению и со второй молекулой лизина по С-2 положению L-аскорбиновой кислоты.
Настоящее изобретение обеспечивает процесс получения производных L-аскорбиновой кислоты, который включает следующие стадии:
1) обработка L-аскорбиновой кислоты лизином или остатками лизина, при этом L-аскорбиновая кислота ковалентно связывается с лизином или остатками лизина; и
2) выделение производных L-аскорбиновой кислоты;
при этом L-аскорбиновая кислота ковалентно связывается с двумя или большим количеством молекул лизина по С-6 положению и с одной молекулой лизина по С-2 положению L-аскорбиновой кислоты.
Настоящее изобретение обеспечивает процесс получения производных L-аскорбиновой кислоты, который включает следующие стадии:
1) обработка L-аскорбиновой кислоты лизином или остатками лизина, при этом L-аскорбиновая кислота ковалентно связывается с лизином или остатками лизина; и
2) выделение производных L-аскорбиновой кислоты;
при этом L-аскорбиновая кислота ковалентно связывается с одной молекулой лизина по С-6 положению и двумя или большим количеством молекул лизина по С-2 положению L-аскорбиновой кислоты.
Настоящее изобретение обеспечивает процесс получения производных L-аскорбиновой кислоты, который включает следующие стадии:
1) обработка L-аскорбиновой кислоты лизином или остатками лизина, при этом L-аскорбиновая кислота ковалентно связывается с лизином или остатками лизина; и
2) выделение производных L-аскорбиновой кислоты;
при этом L-аскорбиновая кислота ковалентно связывается с двумя или большим количеством молекул лизина по С-6 положению и двумя или большим количеством молекул лизина по С-2 положению L-аскорбиновой кислоты.
Настоящее изобретение обеспечивает процесс получения производных L-аскорбиновой кислоты, который включает следующие стадии:
1) обработка L-аскорбиновой кислоты пролином или остатками пролина, когда пролин или остатки пролина ковалентно связаны с L-аскорбиновой кислотой; и
2) выделение производных L-аскорбиновой кислоты.
Настоящее изобретение обеспечивает процесс получения производных L-аскорбиновой кислоты, который включает следующие стадии:
1) обработка L-аскорбиновой кислоты пролином или остатками пролина, когда пролин или остатки пролина ковалентно связаны с L-аскорбиновой кислотой; и
2) выделение производных L-аскорбиновой кислоты;
при этом L-аскорбиновая кислота ковалентно связывается с пролином по С-6 положению L-аскорбиновой кислоты.
Настоящее изобретение обеспечивает процесс получения производных L-аскорбиновой кислоты, который включает следующие стадии:
1) обработка L-аскорбиновой кислоты пролином или остатками пролина, когда пролин или остатки пролина ковалентно связаны с L-аскорбиновой кислотой; и
2) выделение производных L-аскорбиновой кислоты;
при этом L-аскорбиновая кислота ковалентно связывается с пролином по С-2 положению L-аскорбиновой кислоты.
Настоящее изобретение обеспечивает процесс получения производных L-аскорбиновой кислоты, который включает следующие стадии:
1) обработка L-аскорбиновой кислоты пролином или остатками пролина, когда пролин или остатки пролина ковалентно связаны с L-аскорбиновой кислотой; и
2) выделение производных L-аскорбиновой кислоты;
при этом L-аскорбиновая кислота ковалентно связывается с двумя или большим количеством молекул пролина по С-6 положению L-аскорбиновой кислоты.
Настоящее изобретение обеспечивает процесс получения производных L-аскорбиновой кислоты, который включает следующие стадии:
1) обработка L-аскорбиновой кислоты пролином или остатками пролина, когда пролин или остатки пролина ковалентно связаны с L-аскорбиновой кислотой; и
2) выделение производных L-аскорбиновой кислоты;
при этом L-аскорбиновая кислота ковалентно связывается с двумя или большим количеством молекул пролина по С-2 положению L-аскорбиновой кислоты.
Настоящее изобретение обеспечивает процесс получения производных L-аскорбиновой кислоты, который включает следующие стадии:
1) обработка L-аскорбиновой кислоты пролином или остатками пролина, когда пролин или остатки пролина ковалентно связаны с L-аскорбиновой кислотой; и
2) выделение производных L-аскорбиновой кислоты;
при этом L-аскорбиновая кислота ковалентно связывается с первой молекулой пролина по С-6 положению L-аскорбиновой кислоты и второй молекулой пролина по С-2 положению L-аскорбиновой кислоты.
Настоящее изобретение обеспечивает процесс получения производных L-аскорбиновой кислоты, который включает следующие стадии:
1) обработка L-аскорбиновой кислоты пролином или остатками пролина, когда пролин или остатки пролина ковалентно связаны с L-аскорбиновой кислотой; и
2) выделение производных L-аскорбиновой кислоты;
при этом L-аскорбиновая кислота ковалентно связывается с пролином по С-2 положению L-аскорбиновой кислоты и полипролином по С-6 положению L-аскорбиновой кислоты.
Настоящее изобретение обеспечивает процесс получения производных L-аскорбиновой кислоты, который включает следующие стадии:
1) обработка L-аскорбиновой кислоты пролином или остатками пролина, когда пролин или остатки пролина ковалентно связаны с L-аскорбиновой кислотой; и
2) выделение производных L-аскорбиновой кислоты;
при этом L-аскорбиновая кислота ковалентно связывается с полипролином по С-2 положению L-аскорбиновой кислоты и молекулой пролина по С-6 положению L-аскорбиновой кислоты.
Настоящее изобретение обеспечивает процесс получения производных L-аскорбиновой кислоты, который включает следующие стадии:
1) обработка L-аскорбиновой кислоты пролином или остатками пролина, когда пролин или остатки пролина ковалентно связаны с L-аскорбиновой кислотой; и
2) выделение производных L-аскорбиновой кислоты;
при этом L-аскорбиновая кислота ковалентно связывается с первой молекулой полипролина по С-2 положению L-аскорбиновой кислоты и со второй молекулой полипролина по С-6 положению L-аскорбиновой кислоты.
Настоящее изобретение обеспечивает процесс получения производных L-аскорбиновой кислоты, который включает следующие стадии:
1) обработка 6-дезоксибромаскорбата лизином или остатками лизина, при этом L-аскорбиновая кислота ковалентно связывается с лизином или остатками лизина; и
2) выделение производных L-аскорбиновой кислоты;
когда 6-дезоксибромаскорбат ковалентно связан с одной молекулой лизина. Настоящее изобретение обеспечивает процесс получения производных L-аскорбиновой кислоты, который включает следующие стадии:
1) обработка 6-дезоксибромаскорбата лизином или остатками лизина, при этом L-аскорбиновая кислота ковалентно связывается с лизином или остатками лизина; и
2) выделение производных L-аскорбиновой кислоты;
когда 6-дезоксибромаскорбат взаимодействует с -NH2-группой лизина.
Настоящее изобретение обеспечивает процесс получения производных L-аскорбиновой кислоты, который включает следующие стадии:
1) обработка 6-дезоксибромаскорбата лизином или остатками лизина, при этом L-аскорбиновая кислота ковалентно связывается с лизином или остатками лизина; и
2) выделение производных L-аскорбиновой кислоты;
когда 6-дезоксибромаскорбат ковалентно связывается с молекулой полилизина.
Настоящее изобретение обеспечивает процесс получения производных L-аскорбиновой кислоты, который включает следующие стадии:
1) обработка 6-дезоксибромаскорбата лизином или остатками лизина, при этом L-аскорбиновая кислота ковалентно связывается с лизином или остатками лизина; и
2) выделение производных L-аскорбиновой кислоты;
когда 6-дезоксибромаскорбат взаимодействует с -NH2-группой полилизина.
Настоящее изобретение обеспечивает процесс получения производных L-аскорбиновой кислоты, который включает следующие стадии:
1) обработка 6-дезоксибромаскорбата пролином или остатками пролина, при этом L-аскорбиновая кислота ковалентно связывается с пролином или остатками пролина; и
2) выделение указанных производных L-аскорбиновой кислоты.
Настоящее изобретение обеспечивает процесс получения производных L-аскорбиновой кислоты, который включает следующие стадии:
1) обработка 6-дезоксибромаскорбата пролином или остатками пролина, когда L-аскорбиновая кислота ковалентно связывается с пролином или остатками пролина; и
2) выделение указанных производных L-аскорбиновой кислоты;
когда 6-дезоксибромаскорбат ковалентно связывается с полипролином.
Настоящее изобретение обеспечивает процесс получения производных L-аскорбиновой кислоты, который включает следующие стадии:
1) обработка 6-дезоксибромаскорбата пролином или остатками пролина, при этом L-аскорбиновая кислота ковалентно связывается с пролином или остатками пролина; и
2) выделение указанных производных L-аскорбиновой кислоты;
когда 6-дезоксибромаскорбат ковалентно связывается с первой молекулой пролина
по С-2 положению L-аскорбиновой кислоты и полипролином по С-6 положению L-аскорбиновой кислоты.
Настоящее изобретение обеспечивает процесс получения производных L-аскорбиновой кислоты, который включает следующие стадии:
1) обработка 6-дезоксибромаскорбата лизином/остатками лизина и пролином/остатками пролина, при этом L-аскорбиновая кислота ковалентно связывается с лизином/остатками лизина и пролином/остатками пролина; и
2) выделение указанных производных L-аскорбиновой кислоты.
Настоящее изобретение обеспечивает процесс получения производных L-аскорбиновой кислоты, который включает следующие стадии:
1) обработка 6-дезоксибромаскорбата лизином/остатками лизина и пролином/остатками пролина, при этом L-аскорбиновая кислота ковалентно связывается с лизином/остатками лизина и пролином/остатками пролина; и
2) выделение указанных производных L-аскорбиновой кислоты;
когда 6-дезоксибромаскорбат ковалентно связывается с пролином по С-2 положению L-аскорбиновой кислоты и с одной молекулой лизина по С-6 положению L-аскорбиновой кислоты.
Настоящее изобретение обеспечивает процесс получения производных L-аскорбиновой кислоты, который включает следующие стадии:
1) обработка 6-дезоксибромаскорбата лизином/остатками лизина и пролином/остатками пролина, при этом L-аскорбиновая кислота ковалентно связывается с лизином/остатками лизина и пролином/остатками пролина; и
2) выделение указанных производных L-аскорбиновой кислоты;
когда 6-дезоксибромаскорбат ковалентно связывается с пролином по С-6 положению L-аскорбиновой кислоты и полипролином по С-2 положению L-аскорбиновой кислоты.
Настоящее изобретение обеспечивает процесс получения производных L-аскорбиновой кислоты, который включает следующие стадии:
1) обработка 6-дезоксибромаскорбата лизином/остатками лизина и пролином/остатками пролина, при этом L-аскорбиновая кислота ковалентно связывается с лизином/остатками лизина и пролином/остатками пролина; и
2) выделение указанных производных L-аскорбиновой кислоты;
когда 6-дезоксибромаскорбат ковалентно связывается с полипролином по С-6 положению L-аскорбиновой кислоты и с одной молекулой лизина по С-2 положению L-аскорбиновой кислоты.
Настоящее изобретение обеспечивает процесс получения производных L-аскорбиновой кислоты, который включает следующие стадии:
1) обработка 6-дезоксибромаскорбата лизином/остатками лизина и пролином/остатками пролина, при этом L-аскорбиновая кислота ковалентно связывается с лизином/остатками лизина и пролином/остатками пролина; и
2) выделение указанных производных L-аскорбиновой кислоты;
когда 6-дезоксибромаскорбат ковалентно связывается с -NH2-группой лизина.
Настоящее изобретение обеспечивает процесс получения производных L-аскорбиновой кислоты, который включает следующие стадии:
1) обработка 6-дезоксибромаскорбата лизином/остатками лизина и пролином/остатками пролина, при этом L-аскорбиновая кислота ковалентно связывается с лизином/остатками лизина и пролином/остатками пролина; и
2) выделение указанных производных L-аскорбиновой кислоты;
когда 6-дезоксибромаскорбат ковалентно связывается с пролином по С-6 положению L-аскорбиновой кислоты и полилизином по С-6 положению L-аскорбиновой кислоты.
Настоящее изобретение обеспечивает процесс получения производных L-аскорбиновой кислоты, который включает следующие стадии:
1) обработка 6-дезоксибромаскорбата лизином/остатками лизина и пролином/остатками пролина, при этом L-аскорбиновая кислота ковалентно связывается с лизином/остатками лизина и пролином/остатками пролина; и
2) выделение указанных производных L-аскорбиновой кислоты;
когда 6-дезоксибромаскорбат ковалентно связывается с пролином и лизинпролином по С-2 положению L-аскорбиновой кислоты.
Настоящее изобретение обеспечивает процесс получения производных L-аскорбиновой кислоты, который включает следующие стадии:
1) обработка 6-дезоксибромаскорбата лизином/остатками лизина и пролином/остатками пролина, при этом L-аскорбиновая кислота ковалентно связывается с лизином/остатками лизина и пролином/остатками пролина; и
2) выделение указанных производных L-аскорбиновой кислоты;
когда 6-дезоксибромаскорбат ковалентно связывается с пролином и пролинлизином по С-2 положению L-аскорбиновой кислоты.
Настоящее изобретение обеспечивает процесс получения производных L-аскорбиновой кислоты, который включает следующие стадии:
1) обработка 6-дезоксибромаскорбата лизином/остатками лизина и пролином/остатками пролина, при этом L-аскорбиновая кислота ковалентно связывается с лизином/остатками лизина и пролином/остатками пролина; и
2) выделение указанных производных L-аскорбиновой кислоты;
когда 6-дезоксибромаскорбат ковалентно связывается с -NH2-группой лизина.
Настоящее изобретение обеспечивает процесс получения производных L-аскорбиновой кислоты, который включает следующие стадии:
1) обработка 6-дезоксибромаскорбата лизином/остатками лизина и пролином/остатками пролина, при этом L-аскорбиновая кислота ковалентно связывается с лизином/остатками лизина и пролином/остатками пролина; и
2) выделение указанных производных L-аскорбиновой кислоты;
когда 6-дезоксибромаскорбат ковалентно связывается с -NH2-группой полилизина.
Настоящее изобретение обеспечивает процесс получения производных L-аскорбиновой кислоты, который включает следующие стадии:
1) обработка 6-дезоксибромаскорбата лизином/остатками лизина и пролином/остатками пролина, при этом L-аскорбиновая кислота ковалентно связывается с лизином/остатками лизина и пролином/остатками пролина; и
2) выделение указанных производных L-аскорбиновой кислоты;
когда 6-дезоксибромаскорбат ковалентно связывается с лизинпролином.
Настоящее изобретение обеспечивает процесс получения производных L-аскорбиновой кислоты, который включает следующие стадии:
1) обработка 6-дезоксибромаскорбата лизином/остатками лизина и пролином/остатками пролина, при этом L-аскорбиновая кислота ковалентно связывается с лизином/остатками лизина и пролином/остатками пролина; и
2) выделение указанных производных L-аскорбиновой кислоты;
когда 6-дезоксибромаскорбат ковалентно связывается с -NH2-группой лизина по С-6 положению L-аскорбиновой кислоты и одним пролином по С-2 положению L-аскорбиновой кислоты.
Настоящее изобретение обеспечивает процесс получения производных L-аскорбиновой кислоты, который включает следующие стадии:
1) обработка 6-дезоксибромаскорбата лизином/остатками лизина и пролином/остатками пролина, при этом L-аскорбиновая кислота ковалентно связывается с лизином/остатками лизина и пролином/остатками пролина; и
2) выделение указанных производных L-аскорбиновой кислоты;
когда 6-дезоксибромаскорбат ковалентно связывается с авиагруппой полилизина по С-6 положению L-аскорбиновой кислоты и одной молекулой пролина по С-2 положению L-аскорбиновой кислоты.
Настоящее изобретение обеспечивает процесс получения производных L-аскорбиновой кислоты, который включает следующие стадии:
1) обработка 6-дезоксибромаскорбата лизином/остатками лизина и пролином/остатками пролина, при этом L-аскорбиновая кислота ковалентно связывается с лизином/остатками лизина и пролином/остатками пролина; и
2) выделение указанных производных L-аскорбиновой кислоты;
когда 6-дезоксибромаскорбат ковалентно связывается с -NH2-группой лизина по С-6 положению L-аскорбиновой кислоты и полипролином по С-2 положению L-аскорбиновой кислоты.
Настоящее изобретение обеспечивает процесс получения производных L-аскорбиновой кислоты, который включает следующие стадии:
1) обработка 6-дезоксибромаскорбата лизином/остатками лизина и пролином/остатками пролина, при этом L-аскорбиновая кислота ковалентно связывается с лизином/остатками лизина и пролином/остатками пролина; и
2) выделение указанных производных L-аскорбиновой кислоты;
когда 6-дезоксибромаскорбат ковалентно связывается с -NH2-группой лизина по С-6 положению L-аскорбиновой кислоты и лизин-пролином по С-2 положению L-аскорбиновой кислоты.
Настоящее изобретение обеспечивает процесс получения производных L-аскорбиновой кислоты, который включает следующие стадии:
1) обработка 6-дезоксибромаскорбата лизином/остатками лизина и пролином/остатками пролина, при этом L-аскорбиновая кислота ковалентно связывается с лизином/остатками лизина и пролином/остатками пролина; и
2) выделение указанных производных L-аскорбиновой кислоты;
когда 6-дезоксиаминоаскорбат ковалентно связывается с карбоксильной группой лизина по С-6 положению L-аскорбиновой кислоты.
Настоящее изобретение обеспечивает процесс получения производных L-аскорбиновой кислоты, который включает следующие стадии:
1) обработка 6-дезоксибромаскорбата лизином/остатками лизина и пролином/остатками пролина, при этом L-аскорбиновая кислота ковалентно связывается с лизином/остатками лизина и пролином/остатками пролина; и
2) выделение указанных производных L-аскорбиновой кислоты;
когда 6-дезоксиаминоаскорбат ковалентно связывается с карбоксильной группой полилизина по С-6 положению L-аскорбиновой кислоты.
Настоящее изобретение обеспечивает процесс получения производных L-аскорбиновой кислоты, который включает следующие стадии:
1) обработка 6-дезоксибромаскорбата лизином/остатками лизина и пролином/остатками пролина, при этом L-аскорбиновая кислота ковалентно связывается с лизином/остатками лизина и пролином/остатками пролина; и
2) выделение указанных производных L-аскорбиновой кислоты;
когда 6-дезоксиаминоаскорбат ковалентно связывается с карбоксильной группой лизин-пролина по С-6 положению L-аскорбиновой кислоты.
Настоящее изобретение обеспечивает процесс получения производных L-аскорбиновой кислоты, который включает следующие стадии:
1) обработка 6-дезоксибромаскорбата лизином/остатками лизина и пролином/остатками пролина, при этом L-аскорбиновая кислота ковалентно связывается с лизином/остатками лизина и пролином/остатками пролина; и
2) выделение указанных производных L-аскорбиновой кислоты;
когда 6-дезоксиаминоаскорбат ковалентно связывается с карбоксильной группой пролина по С-6 положению L-аскорбиновой кислоты.
Настоящее изобретение обеспечивает процесс получения производных L-аскорбиновой кислоты, который включает следующие стадии:
1) обработку 6-дезоксибромаскорбата лизином/остатками лизина и пролином/остатками пролина, при этом L-аскорбиновая кислота ковалентно связывается с лизином/остатками лизина и пролином/остатками пролина; и
2) выделение указанных производных L-аскорбиновой кислоты;
когда 6-дезоксиаминоаскорбат ковалентно связывается с карбоксильной группой полипролина по С-6 положению L-аскорбиновой кислоты.
Настоящее изобретение обеспечивает фармацевтическую композицию, содержащую производные L-аскорбиновой кислоты в качестве эффективного ингредиента, вместе с фармацевтически приемлемым носителем.
Настоящее изобретение обеспечивает фармацевтическую композицию, содержащую производные L-аскорбиновой кислоты в качестве эффективного ингредиента, вместе с фармацевтически приемлемым носителем, когда производные L-аскорбиновой кислоты выбраны из группы, содержащей аскорбил-6-лизин, аскорбил-2-лизин, аскорбил-6-полилизин, аскорбил-2,6-дилизин, аскорбил-6-полилизин-2-лизин, аскорбил-6-лизин-2-полилизин, аскорбил-2,6-полилизин, аскорбил-6-пролин, аскорбил-2-пролин, аскорбил-6-полипролин, аскорбил-2-полипролин, аскорбил-2,6-дипролин, аскорбил-2-пролин-6-полипролин, аскорбил-2-полипролин-6-пролин, аскорбил-2,6-дипролин, 6-дезоксиаскорбиллизин, 6-дезоксиаскорбилпролин, 6-дезоксиаскорбилполилизин, 6-дезоксиаскорбилполипролин, 6-дезоксиаскорбиллизин-2-пролин, 6-дезоксиаскорбилпролин-2-лизин, 6-дезоксиаскорбилполилизин-2-пролин, 6-дезоксиаскорбилполипролин-2-лизин, 6-дезоксиаскорбиллизин-2-полипролин, 6-дезоксиаскорбилпролин-2-полилизин, 6-дезоксиаскорбатпролин-2-лизинпролин, 6-дезоксиаскорбат-2-пролинлизин, 6-дезоксиаскорбиллизин, 6-дезоксиаскорбат-лизинпролин, 6-дезоксиаскорбиллизин-2-пролин, 6-дезоксиаскорбилполилизин-2-пролин, 6-дезоксиаскорбиллизин-2-полипролин, 6-дезоксиаскорбиллизин-2-лизинпролин, 6-дезоксиаминоаскорбилполилизин, 6-дезоксиаминоаскорбиллизинпролин, 6-дезоксиаминоаскорбилпролин, 6-дезоксиаминоаскорбилполипролин.
Настоящее изобретение обеспечивает действующую при местном нанесении композицию, содержащую производные L-аскорбиновой кислоты, когда производные L-аскорбиновой кислоты выбраны из группы, содержащей аскорбил-6-лизин, аскорбил-2-лизин, аскорбил-6-полилизин, аскорбил-2,6-дилизин, аскорбил-6-полилизин-2-лизин, аскорбил-6-лизин-2-полилизин, аскорбил-2,6-полилизин, аскорбил-6-пролин, аскорбил-2-пролин, аскорбил-6-полипролин, аскорбил-2-полипролин, аскорбил-2,6-дипролин, аскорбил-2-пролин-6-полипролин, аскорбил-2-полипролин-6-пролин, аскорбил-2,6-дипролин, 6-дезоксиаскорбиллизин, 6-дезоксиаскорбилпролин, 6-дезоксиаскорбилполилизин, 6-дезоксиаскорбилполипролин, 6-дезоксиаскорбиллизин-2-пролин, 6-дезоксиаскорбилпролин-2-лизин, 6-дезоксиаскорбилполилизин-2-пролин, 6-дезоксиаскорбилполипролин-2-лизин, 6-дезоксиаскорбиллизин-2-полипролин, 6-дезоксиаскорбилпролин-2-полилизин, 6-дезоксиаскорбатпролин-2-лизинпролин, 6-дезоксиаскорбат-2-пролинлизин, 6-дезоксиаскорбиллизин, 6-дезоксиаскорбат-лизинпролин, 6-дезоксиаскорбиллизин-2-пролин, 6-дезоксиаскорбилполилизин-2-пролин, 6-дезоксиаскорбиллизин-2-полипролин, 6-дезоксиаскорбиллизин-2-лизинпролин, 6-дезоксиаминоаскорбилполилизин, 6-дезоксиаминоаскорбиллизинпролин, 6-дезоксиаминоаскорбилпролин, 6-дезоксиаминоаскорбилполипролин.
Настоящее изобретение обеспечивает способ лечения повреждения кожного покрова, включающий местное нанесение композиции на кожный покров.
Настоящее изобретение обеспечивает способ предотвращения процесса окисления, включающий применение фармацевтической композиции, содержащей производные L-аскорбиновой кислоты в качестве эффективного ингредиента, вместе с фармацевтически приемлемым носителем.
Настоящее изобретение обеспечивает способ предотвращения процесса окисления, включающий применение фармацевтической композиции, содержащей производные L-аскорбиновой кислоты в качестве эффективного ингредиента, вместе с фармацевтически приемлемым носителем, когда производные L-аскорбиновой кислоты выбраны из группы, содержащей аскорбил-6-лизин, аскорбил-2-лизин, аскорбил-6-полилизин, аскорбил-2,6-дилизин, аскорбил-6-полилизин-2-лизин, аскорбил-6-лизин-2-полилизин, аскорбил-2,6-полилизин, аскорбил-6-пролин, аскорбил-2-пролин, аскорбил-6-полипролин, аскорбил-2-полипролин, аскорбил-2,6-дипролин, аскорбил-2-пролин-6-полипролин, аскорбил-2-полипролин-6-пролин, аскорбил-2,6-дипролин, 6-дезоксиаскорбиллизин, 6-дезоксиаскорбилпролин, 6-дезоксиаскорбилполилизин, 6-дезоксиаскорбилполипролин, 6-дезоксиаскорбиллизин-2-пролин, 6-дезоксиаскорбилпролин-2-лизин, 6-дезоксиаскорбилполилизин-2-пролин, 6-дезоксиаскорбилполипролин-2-лизин, 6-дезоксиаскорбиллизин-2-полипролин, 6-дезоксиаскорбилпролин-2-полилизин, 6-дезоксиаскорбатпролин-2-лизинпролин, 6-дезоксиаскорбат-2-пролинлизин, 6-дезоксиаскорбиллизин, 6-дезоксиаскорбат-лизинпролин, 6-дезоксиаскорбиллизин-2-пролин, 6-дезоксиаскорбилполилизин-2-пролин, 6-дезоксиаскорбиллизин-2-полипролин, 6-дезоксиаскорбиллизин-2-лизинпролин, 6-дезоксиаминоаскорбилполилизин, 6-дезоксиаминоаскорбиллизинпролин, 6-дезоксиаминоаскорбилпролин, 6-дезоксиаминоаскорбилполипролин.
Настоящее изобретение обеспечивает способ предотвращения или замедления старения, включающий применение фармацевтической композиции, содержащей производные L-аскорбиновой кислоты в качестве эффективного ингредиента, вместе с фармацевтически приемлемым носителем.
Настоящее изобретение обеспечивает способ предотвращения или замедления старения, включающий применение фармацевтической композиции, содержащей производные L-аскорбиновой кислоты в качестве эффективного ингредиента, вместе с фармацевтически приемлемым носителем, когда производные L-аскорбиновой кислоты выбраны из группы, содержащей аскорбил-6-лизин, аскорбил-2-лизин, аскорбил-6-полилизин, аскорбил-2,6-дилизин, аскорбил-6-полилизин-2-лизин, аскорбил-6-лизин-2-полилизин, аскорбил-2,6-полилизин, аскорбил-6-пролин, аскорбил-2-пролин, аскорбил-6-полипролин, аскорбил-2-полипролин, аскорбил-2,6-дипролин, аскорбил-2-пролин-6-полипролин, аскорбил-2-полипролин-6-пролин, аскорбил-2,6-дипролин, 6-дезоксиаскорбиллизин, 6-дезоксиаскорбилпролин, 6-дезоксиаскорбилполилизин, 6-дезоксиаскорбилполипролин, 6-дезоксиаскорбиллизин-2-пролин, 6-дезоксиаскорбилпролин-2-лизин, 6-дезоксиаскорбилполилизин-2-пролин, 6-дезоксиаскорбилполипролин-2-лизин, 6-дезоксиаскорбиллизин-2-полипролин, 6-дезоксиаскорбилпролин-2-полилизин, 6-дезоксиаскорбатпролин-2-лизинпролин, 6-дезоксиаскорбат-2-пролинлизин, 6-дезоксиаскорбиллизин, 6-дезоксиаскорбатлизинпролин, 6-дезоксиаскорбиллизин-2-пролин, 6-дезоксиаскорбилполилизин-2-пролин, 6-дезоксиаскорбиллизин-2-полипролин, 6-дезоксиаскорбиллизин-2-лизинпролин, 6-дезоксиаминоаскорбилполилизин, 6-дезоксиаминоаскорбиллизинпролин, 6-дезоксиаминоаскорбилпролин, 6-дезоксиаминоаскорбилполипролин.
Настоящее изобретение обеспечивает способ для профилактической и терапевтической медицины, включающий применение фармацевтической композиции, содержащей производные L-аскорбиновой кислоты в качестве эффективного ингредиента, вместе с фармацевтически приемлемым носителем.
Настоящее изобретение обеспечивает способ для профилактической и терапевтической медицины, включающий применение фармацевтической композиции, содержащей производные L-аскорбиновой кислоты в качестве эффективного ингредиента, вместе с фармацевтически приемлемым носителем, когда производные L-аскорбиновой кислоты выбраны из группы, содержащей аскорбил-6-лизин, аскорбил-2-лизин, аскорбил-6-полилизин, аскорбил-2,6-дилизин, аскорбил-6-полилизин-2-лизин, аскорбил-6-лизин-2-полилизин, аскорбил-2,6-полилизин, аскорбил-6-пролин, аскорбил-2-пролин, аскорбил-6-полипролин, аскорбил-2-полипролин, аскорбил-2,6-дипролин, аскорбил-2-пролин-6-полипролин, аскорбил-2-полипролин-6-пролин, аскорбил-2,6-дипролин, 6-дезоксиаскорбиллизин, 6-дезоксиаскорбилпролин, 6-дезоксиаскорбилполилизин, 6-дезоксиаскорбилполипролин, 6-дезоксиаскорбиллизин-2-пролин, 6-дезоксиаскорбилпролин-2-лизин, 6-дезоксиаскорбилполилизин-2-пролин, 6-дезоксиаскорбилполипролин-2-лизин, 6-дезоксиаскорбиллизин-2-полипролин, 6-дезоксиаскорбилпролин-2-полилизин, 6-дезоксиаскорбатпролин-2-лизинпролин, 6-дезоксиаскорбат-2-пролинлизин, 6-дезоксиаскорбиллизин, 6-дезоксиаскорбатлизинпролин, 6-дезоксиаскорбиллизин-2-пролин, 6-дезоксиаскорбилполилизин-2-пролин, 6-дезоксиаскорбиллизин-2-полипролин, 6-дезоксиаскорбиллизин-2-лизинпролин, 6-дезоксиаминоаскорбилполилизин, 6-дезоксиаминоаскорбиллизинпролин, 6-дезоксиаминоаскорбилпролин, 6-дезоксиаминоаскорбилполипролин.
Настоящее изобретение обеспечивает способ укрепления соединительной ткани, включающий применение фармацевтической композиции, содержащей производные L-аскорбиновой кислоты в качестве эффективного ингредиента, вместе с фармацевтически приемлемым носителем.
Настоящее изобретение обеспечивает способ укрепления соединительной ткани, включающий применение фармацевтической композиции, содержащей производные L-аскорбиновой кислоты в качестве эффективного ингредиента, вместе с фармацевтически приемлемым носителем, когда производные L-аскорбиновой кислоты выбраны из группы, содержащей аскорбил-6-лизин, аскорбил-2-лизин, аскорбил-6-полилизин, аскорбил-2,6-дилизин, аскорбил-6-полилизин-2-лизин, аскорбил-6-лизин-2-полилизин, аскорбил-2,6-полилизин, аскорбил-6-пролин, аскорбил-2-пролин, аскорбил-6-полипролин, аскорбил-2-полипролин, аскорбил-2,6-дипролин, аскорбил-2-пролин-6-полипролин, аскорбил-2-полипролин-6-пролин, аскорбил-2,6-дипролин, 6-дезоксиаскорбиллизин, 6-дезоксиаскорбилпролин, 6-дезоксиаскорбилполилизин, 6-дезоксиаскорбилполипролин, 6-дезоксиаскорбиллизин-2-пролин, 6-дезоксиаскорбилпролин-2-лизин, 6-дезоксиаскорбилполилизин-2-пролин, 6-дезоксиаскорбилполипролин-2-лизин, 6-дезоксиаскорбиллизин-2-полипролин, 6-дезоксиаскорбилпролин-2-полилизин, 6-дезоксиаскорбатпролин-2-лизинпролин, 6-дезоксиаскорбат-2-пролинлизин, 6-дезоксиаскорбиллизин, 6-дезоксиаскорбат-лизинпролин, 6-дезоксиаскорбиллизин-2-пролин, 6-дезоксиаскорбилполилизин-2-пролин, 6-дезоксиаскорбиллизин-2-полипролин, 6-дезоксиаскорбиллизин-2-лизинпролин, 6-дезоксиаминоаскорбилполилизин, 6-дезоксиаминоаскорбиллизинпролин, 6-дезоксиаминоаскорбилпролин, 6-дезоксиаминоаскорбилполипролин.
Настоящее изобретение обеспечивает способ предотвращения разрушения внеклеточного матрикса, включающий применение фармацевтической композиции, содержащей производные L-аскорбиновой кислоты в качестве эффективного ингредиента, вместе с фармацевтически приемлемым носителем.
Настоящее изобретение обеспечивает способ предотвращения разрушения внеклеточного матрикса, включающий применение фармацевтической композиции, содержащей производные L-аскорбиновой кислоты в качестве эффективного ингредиента, вместе с фармацевтически приемлемым носителем, когда производные L-аскорбиновой кислоты выбраны из группы, содержащей аскорбил-6-лизин, аскорбил-2-лизин, аскорбил-6-полилизин, аскорбил-2,6-дилизин, аскорбил-6-полилизин-2-лизин, аскорбил-6-лизин-2-полилизин, аскорбил-2,6-полилизин, аскорбил-6-пролин, аскорбил-2-пролин, аскорбил-6-полипролин, аскорбил-2-полипролин, аскорбил-2,6-дипролин, аскорбил-2-пролин-6-полипролин, аскорбил-2-полипролин-6-пролин, аскорбил-2,6-дипролин, 6-дезоксиаскорбиллизин, 6-дезоксиаскорбилпролин, 6-дезоксиаскорбилполилизин, 6-дезоксиаскорбилполипролин, 6-дезоксиаскорбиллизин-2-пролин, 6-дезоксиаскорбилпролин-2-лизин, 6-дезоксиаскорбилполилизин-2-пролин, 6-дезоксиаскорбилполипролин-2-лизин, 6-дезоксиаскорбиллизин-2-полипролин, 6-дезоксиаскорбилпролин-2-полилизин, 6-дезоксиаскорбатпролин-2-лизинпролин, 6-дезоксиаскорбат-2-пролинлизин, 6-дезоксиаскорбиллизин, 6-дезоксиаскорбатлизинпролин, 6-дезоксиаскорбиллизин-2-пролин, 6-дезоксиаскорбилполилизин-2-пролин, 6-дезоксиаскорбиллизин-2-полипролин, 6-дезоксиаскорбиллизин-2-лизинпролин, 6-дезоксиаминоаскорбилполилизин, 6-дезоксиаминоаскорбиллизинпролин, 6-дезоксиаминоаскорбилпролин, 6-дезоксиаминоаскорбилполипролин.
В дальнейшем изобретение иллюстрируется, но не ограничивается следующими примерами.
Структуры L-аскорбиновой кислоты, L-лизина и L-пролина показаны на рис.1. Эти соединения приобретены от фирмы Sigma (St.Louis). Все другие используемые реагенты представляют собой высокочистые реагенты, полученные от фирм Sigma или Aldridge Company.
6-дезоксибромкаскорбат синтезирован путем взаимодействия L-аскорбиновой кислоты с бромистым водородом в уксусной кислоте по методике, описанной у Block, Lundt and Pedersenj К.Block, I.Lundt and C.Pederson. Carbohydrate Research. 68: 313 (1979).
6-дезоксиамино-L-аскорбат синтезирован по способу Suskovic (В.Suskovic. Croat Chem Acta. 62: 537(1989).
Анализ на С, Н и N выполнен для всех синтезируемых соединений, определена их точка плавления. Методы ЯМР, ИК, УФ и ГХ/МС использованы, чтобы определить структуры соединений. Чистота соединений оценивалась с помощью ТСХ или ВЭЖХ хроматографий.
ПРИМЕРЫ
Пример 1. Синтез L-аскорбил-6-лизина
Используют стандартную методику конденсирования спирта с кислотой. Методика Cousins et al R.C.Cousins, P.A.Seib, R.C.Hoseney, C.W.Deyoe, Y.T.Lianc, and D.W.Lillard., J Am Chem Soc: 54, 308 (1977) кратко состоит в следующем.
Аскорбиновую кислоту (8 ммолей) добавляют к раствору лизина (10 ммолей) приблизительно в 20 мл серной кислоты. После перемешивания в течение приблизительно 2 часов при комнатной температуре реакционную смесь оставляют при комнатной температуре в течение ночи. Затем ее выливают в размельченный лед. Экстрагируют дважды эфиром, промывают водой и сушат над сульфатом натрия. Эфир удаляют. Продукт кристаллизуют из этанола и сушат в вакууме.
Пример 2. Синтез L-аскорбил-6-пролина
Используют методику синтеза аскорбил-6-пролина. Аскорбиновую кислоту (8 ммолей) добавляют к раствору пролина (10 ммолей) примерно в 20 мл серной кислоты и перемешивают в течение приблизительно 2 часов при комнатной температуре, после чего дают возможность отстояться в течение ночи. Реакционную смесь выливают в размельченный лед, экстрагируют дважды эфиром и промывают водой. Сушат над сульфатом натрия, эфир удаляют и продукт кристаллизуют из этанола, сушат в вакууме.
Пример 3. Синтез аскорбил-2-лизина и аскорбил-2-пролина
Аскорбил-2-лизин и аскорбил-2-пролин синтезируют так же. Чтобы получить производные по 2-му положению, гидроксильные группы по 5- и 6-положениям должны быть сначала защищены. Применяют методику Джека и Джонса (K.G.A.Jackson and J.K.N.Jones, Can J Chem. 47: 2498 (1969), чтобы получить 5,6-O-изопропилиденаскорбиновую кислоту. 5,6-O-изопропилиденаскорбиновой кислоты (5 ммолей) в сухом пиридине и ацетоне добавляют к лизилхлориду (7 ммолей) или пропилхлориду (7 ммолей) и продукты обрабатывают в соответствии с методикой Cousins et al. и кристаллизуют из этанола.
Кроме того, 2,6-дизамещенные производные лизина или пролина синтезируют путем взаимодействия L-аскорбиновой кислоты или с избытком хлористого лизила, или хлористого пролила в сухом пиридине, как описано выше.
Кроме того, дизамещенные производные L-аскорбиновой кислоты с различными группами в 2- и 6-положениях синтезируют путем взаимодействия с соответствующими хлоридами, комбинируя методы, описанные выше.
Пример 4. Синтез 6-дезоксиаскорбатлизина
6-дезоксибромаскорбат (8 ммолей) реагирует с лизином (10 ммолей) в сухом пиридине, что дает желаемый продукт. Аминогруппа лизина защищена так, что эта группа является доступной для взаимодействия. Реакцию осуществляют в течение ночи. Пиридин удаляют при пониженном давлении, смесь выливают на лед, экстрагируют эфиром, промывают водой, сушат над сульфатом натрия. Эфир удаляют и продукт кристаллизуют из этанола.
Другую комбинацию аминокислоты с аскорбиновой кислотой по 2- и 2,6-положениям синтезируют с помощью комбинации способов, описанных выше.
6-дезоксиаскорбатпролин синтезируют с помощью той же самой методики, описанной выше для 6-дезоксиаскорбатлизина. 6-дезоксибромаскорбат (8 ммолей) реагирует с пролином (10 ммолей) в сухом пиридине, что дает 6-дезоксиаскорбатпролин. Продукт кристаллизуют из этанола, сушат в вакууме.
Другую комбинацию аминокислоты с аскорбиновой кислотой по 2- и 2,6-положениям синтезируют с помощью комбинирования способов, описанных выше.
Пример 6. Синтез L-6-дезоксиаскорбиллизина
Защищают -группу лизина (7 ммолей), и он реагирует с 6-дезоксибромаскорбатом (5 ммолей) в сухом пиридине с образованием указанного продукта. После завершения реакции продукт обрабатывают, как описано выше, и кристаллизуют из этанола.
Соединения с замещениями по 2-положению получают с помощью способа, описанного выше.
Пример 7. Синтез 6-дезоксиаминоаскорбатлизина
6-дезоксиаминоаскорбат (5 ммолей) реагирует с лизилхлоридом (7 ммолей) в сухом пиридине, и продукт реакции обрабатывают в соответствии с методикой, описанной у Cousine et al. Его кристаллизуют из этанола.
Другую комбинацию аминокислоты с аскорбиновой кислотой по 2- и 2,6-положениям получают, как описано выше.
Пример 8. Синтез 6-дезоксиаминоаскорбатпролина
6-дезоксиаминоаскорбат (5 ммолей) реагирует с пропилхлоридом (7 ммолей) в сухом пиридине, и продукт обрабатывают с помощью способа, как описано выше, после чего кристаллизуют из этанола.
Другую комбинацию аминокислоты с аскорбиновой кислотой по 2- и 2,6-положениям получают, как описано выше.
6-дезоксиаминоаскорбат (5 ммолей) реагирует с пропилхлоридом (7 ммолей) в сухом пиридине, обрабатывают, как описано выше, после чего кристаллизуют из этанола. Определяют точку плавления и выполняют С, Н и N анализ. Структуру устанавливают с помощью ЯМР, ИК, УФ и ГХ/МС методик.
Другую комбинацию аминокислоты с аскорбиновой кислотой по 2- и 2,6-положениям получают, как описано выше.
Настоящее изобретение ни в коем случае не ограничивается приведенными конкретными воплощениями и не ограничивается объемом приведенных конкретных примеров, описанных в настоящем изобретении. Различные модификации настоящего изобретения станут очевидными для среднего специалиста из предшествующего описания и сопутствующих рисунков. Такие модификации находятся в границах настоящего изобретения.

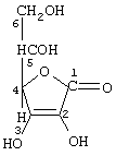
Структура L-аскорбиновой кислоты
Рис.1a

Структура лизина
Рис.1b

Структура пролина
Рис.1с



Другие комбинации аминокислот с аскорбиновой кислотой.
I. Полилизин, или полипролин, или лизинпролин являются комбинациями этих остатков в положении 6.
II. Такие же, как в 1 присоединены в положении 2.
III. Любые возможные комбинации 1 и 2 указанных выше.
Синтез различных производных аскорбиновой кислоты в 6-положении с лизином и пролином
Рис.2

Другие комбинации аминокислот с аскорбиновой кислотой. Полилизин или полипролин или лизинпролин являются этими комбинациями по положению 6.
Схема синтеза 6-дезоксиаскорбатлизина и 6-дезоксиаскорбатпролина. Используют -аминогруппу лизина и HN-группу пролина для связывания.
Рис.3a

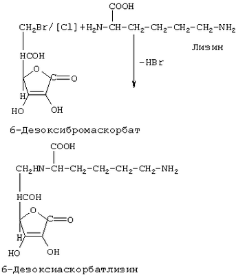
-NH2 присоединением. Полилизин или лизинпролин или их комбинации по положению 6.
Синтез 6-дезоксиаскорбата лизина, используя -NH2-группу лизина и 6-дезоксибромаскорбат. Соединения могут иметь дополнительное замещение в 2-положении, используя карбоксильную группу или лизина или пролина.
Рис.3b

Другие комбинации аминокислот с аскорбиновой кислотой. Полилизин, или полипролин, или лизинпролин содержат комбинации по положению 6.
Синтез 6-дезоксиаминоаскорбата и 6-дезоксиаминопролина, используя NH2-группу 6-дезоксиаминоаскорбата и карбоксильную группу или лизина, или пролина. Группа соединений может иметь дополнительное замещение по 2-положению, используя карбоксильную группу или лизина, или пролина.
Рис.4
Дополнительные экспериментальные данные
Материал:
L-аскорбиновая кислота, D-изоаскорбиновая кислота, L-лизин, L-пролин и МТТ были приобретены в фирме Sigma (St.Lous).
Новозим 435 (иммобилизованная липаза В из Candida Antarctica), t-амиловый спирт, ацетонитрил и ацетон приобретались в фирме Aldridge (Milwaukee, WI). Пластины для тонкослойной хроматографии (TLC), покрытые силикагелем 150 Е, 250 мкм были получены в фирме Whatman International Ltd., Maidstone, Англия.
Все другие реагенты были особо чистыми и были получены либо в фирме Sigma, либо в фирме Aldridge.
Чистота синтезируемых соединений проверялась TLC.
Способы:
1. Культура клеток. Нормальный человеческий покровный фибробласт (NHDF), клетки меланомы человека А2058, клетки HepG2 и клетки рака груди человека MDA MB 231 были получены из АТСС. Они были выращены в полной среде Dulbecco’s Modified Eagle с добавлением 10% фетальной коровьей сыворотки, пенициллина (100 U/мл) и стрептомицина (100 мг/мл) в 24 луночных планшетах для культуры ткани (Costar, Cambridge, MA) и инкубировались при 37°С в инкубаторе для культур тканей при равновесии 95% воздуха и 5% СО2. При состоянии, близком к конфлуентному, клетки обрабатывались трижды тестовым соединением в концентрации 0,10 мкМ, 100 мкМ, 500 мкМ и 1000 мкМ.
2. Анализ МТТ. Жизнеспособность клеток оценивалась анализом МТТ. После обработки тестовыми соединениями клетки промывались в PBS и 0,5 мл МТТ (5 мг/мл) в PBS и добавлялись в каждую лунку. Планшеты с культурами инкубировались при 37°С в течение дополнительных 2 часов. Среда аккуратно отсасывалась и добавлялся 1 мл DMSO в каждую лунку для растворения сформировавшихся голубых кристаллов формазана. Измерялась оптическая плотность на 590 нм с помощью спектрометра BioSpec 1601, Shimadzu.
3. Анализ инвазии (распространения) матригеля. Исследования проводились с использованием вставок с матригелем (Becton Dickinson) в соответствующие планшеты с 24 лунками. Клетки рака груди MDA MB 231 (2×104) в 200 мкл среды с добавлением различных доз тестовых соединений в соответствии с планом эксперимента помещались на вставку в лунку. Среда на вставке и ячейка содержали одни добавки. Затем планшеты с вставками возвращались в инкубатор на 18-20 часов. После инкубации среда удалялась из ячеек. Клетки аккуратно снимались с верхних поверхностей вставок ватным тампоном. Клетки, которые проникали через матригелевую мембрану и мигрировали на нижнюю поверхность матригеля, окрашивались красителем hemacolor (ЕМ Sciences) и визуально подсчитывались под микроскопом.
Аскорбил-6-лизин
Обычный способ конденсации спирта с кислотой в присутствии небольшого количества органического растворителя (t-амиловый спирт), катализируемый иммобилизованной липазой В из Candida Antarctica. Этот способ использовался Yan, Bornscheuier и Schmid для эфиров жирных кислот аскорбиновой кислоты ((Y.Yan, U.T.Bornscheuer and R.D.Schmid, Biotechnology Letters 21, 1051, 1999).
Аскорбиновая кислота (1 ммоль, 176 мг), лизин (1.5 ммоля, 219 мг), новозим 435 (200 мг) и t-амиловый спирт (20 мл) перемешивались при 40°С в атмосфере азота. Нагревание и перемешивание продолжались в течение 12 часов. Реакционная смесь затем фильтровалась при отсосе, промывалась в 10 мл t-амилового спирта и 10 мл дистиллированной воды. Как t-амиловый спирт, так и вода удалялись при пониженном давлении. Остаток несколько раз промывался метанолом и ацетоном. Полученная таким способом твердая фракция выкристаллизовывалась из воды и метанола с получением аскорбил-6-лизина. Выход составлял приблизительно 50% (161 мг).
Чистоту продукта устанавливали с помощью TLC, используя растворяющую систему, состоящую из ацетонитрила, ацетона, воды и уксусной кислоты (70:10:15:5) в соответствии с методом, предложенным Roomi и Tsao (M.W.Roomi and C.S.Tsao, J Agri Fd Chem: 46, 1406, 1998). Определение осуществляли визуально в камере после обработки йодом. Анализ показал, что имеется темное пятно, соответствующее аскорбил-6-лизину, и два слабых, соответствующих аскорбиновой кислоте и лизину.
Изоаскорбил-6-лизин
Изоаскорбил-6-лизин получали таким же образом, как и аскорбил-6-лизин, используя аскорбиновую кислоту (1 ммоль, 176 мг), лизин (1.5 ммоля, 219 мг), новозим 435 (200 мг) и t-амиловый спирт (20 мл). Остаток при кристаллизации из воды и метанола давал 170 мг изоаскорбил-6-лизина (выход 52%).
Результат TLC показал, что имеется темное пятно, соответствующее изоаскорбил-6-лизину, и два малых пятна, соответствующих изоаскорбиновой кислоте и лизину.
Аскорбил-6-пролин
Аскорбил-6-пролин синтезировали таким же образом, как описано для аскорбил-6-лизина.
Аскорбиновая кислота (1 ммоль, 176 мг), пролин (1.5 ммоля, 172 мг), новозим 435 (200 мг) и t-амиловый спирт (20 мл) перемешивались при 40°С в атмосфере азота. Нагревание и перемешивание продолжались в течение 12 часов. Реакционная смесь затем фильтровалась при отсосе, промывалась в t-амиловом спирте (10 мл) и воде (10 мл). Вода и t-амиловый спирт удалялись при пониженном давлении. Остаток несколько раз промывался метанолом и ацетоном. Продукт реакции кристаллизовывали из воды и метанола с получением 150 мг аскорбил-6-пролина (выход 50%).
Результат TLC показал, что имеется темное пятно, соответствующее аскорбил-6-пролину и два слабых пятна, соответствующих аскорбиновой кислоте и пролину.
Изоаскорбил-6-пролин
Изоаскорбил-6-лизин синтезировали точно таким же образом, как и описанный синтез аскорбил-6-пролина, заменяя аскорбиновую кислоту изоаскорбиновой кислотой. Продукт реакции также кристаллизовывали из воды и метанола. Выход составил около 45-50%.
Результат TLC показал, что имеется темное пятно, соответствующее изоаскорбил-6-пролину и два слабых пятна, соответствующих изоаскорбиновой кислоте и пролину.
Результаты
Как показано на фиг.1-4, производные не оказывают сколько-либо существенного влияния на нормальные человеческие покровные фибробласты в анализе МТТ. Как показано на фиг.5-8, протестированные производные оказывают ингибирующее воздействие на жизнеспособность клеток меланомы в анализе МТТ, причем наиболее эффективны аскорбил-6-лизин и изоаскорбил-6-лизин. Как показано на фиг.9-12, производные оказывают также ингибирующее воздействие на жизнеспособность клеток рака груди (анализ МТТ), причем наиболее эффективны аскорбил-6-лизин и изоаскорбил-6-лизин. Эти результаты показывают, что протестированные производные являются нетоксичными по отношению к нормальным клеткам, в то время как они оказывают ингибирующее действие на жизнеспособность раковых клеток. Как показано на фиг.13-16, протестированные производные оказывают существенное ингибирующее воздействие на миграцию раковых клеток, показанное в анализе распространения в матригеле для клеток рака груди, причем наиболее эффективными производными являются аскорбил-6-пролин и изоаскорбил-6-пролин.
Формула изобретения
1. Способ получения производных L-аскорбиновой кислоты с лизином, включающий
1) обработку L-аскорбиновой кислоты лизином, при этом L-аскорбиновая кислота ковалентно связывается с лизином по С-6 положению L-аскорбиновой кислоты, и 2) выделение указанных производных L-аскорбиновой кислоты.
2. Способ по п.1, в котором L-аскорбиновая кислота дополнительно ковалентно связывается с лизином по С-2 положению L-аскорбиновой кислоты.
3. Способ по п.1, в котором L-аскорбиновая кислота на стадии а) превращается в 6-дезоксибромаскорбат или 6-дезоксиаминоаскорбат и 6-дезоксибромаскорбат или 6-дезоксиаминоаскорбат ковалентно связан с лизином.
4. Способ по п.3, в котором 6-дезоксибромаскорбат взаимодействует с -NH2-группой лизина.
5. Способ по п.3 или 4, в котором 6-дезоксибромаскорбат ковалентно связан с -NH2-группой лизина.
6. Способ по п.3, в котором 6-дезоксиаминоаскорбат ковалентно связан с карбоксильной группой лизина.
7. Производное L-аскорбиновой кислоты с лизином, полученное способом по любому из пп.1-6, в котором L-аскорбиновая кислота ковалентно связана с остатком лизина по С-6 положению в L-аскорбиновой кислоте.
8. Способ получения производных L-аскорбиновой кислоты с пролином, включающий 1) обработку L-аскорбиновой кислоты пролином, при этом пролин ковалентно связываются с L-аскорбиновой кислотой, и 2) выделение указанных производных L-аскорбиновой кислоты.
9. Способ по п.8, в котором L-аскорбиновая кислота ковалентно связывается с пролином по С-6 положению L-аскорбиновой кислоты.
10. Способ по п.8, в котором L-аскорбиновая кислота ковалентно связывается с пролином по С-2 положению L-аскорбиновой кислоты.
11. Способ по п.8, в котором L-аскорбиновая кислота ковалентно связывается с первым пролином по С-6 положению L-аскорбиновой кислоты и со вторым пролином по С-2 положению L-аскорбиновой кислоты.
12. Способ по п.8, в котором L-аскорбиновая кислота на стадии а) превращается в 6-дезоксибромаскорбат и этот 6-дезоксибромаскорбат ковалентно связан с пролином.
13. Способ по п.12, в котором 6-дезоксибромаскорбат ковалентно связан с первым пролином по С-2 положению L-аскорбиновой кислоты и пролином по С-6 положению L-аскорбиновой кислоты.
14. Производное L-аскорбиновой кислоты с пролином, полученное способом по любому из пп.8-13, в котором L-аскорбиновая кислота ковалентно связана с пролином.
РИСУНКИ
MM4A – Досрочное прекращение действия патента СССР или патента Российской Федерации на изобретение из-за неуплаты в установленный срок пошлины за поддержание патента в силе
Дата прекращения действия патента: 24.08.2007
Извещение опубликовано: 10.08.2010 БИ: 22/2010
NF4A – Восстановление действия патента СССР или патента Российской Федерации на изобретение
Дата, с которой действие патента восстановлено: 20.08.2010
Извещение опубликовано: 20.08.2010 БИ: 23/2010
|