|
|
(21), (22) Заявка: 2004125845/09, 24.01.2003
(24) Дата начала отсчета срока действия патента:
24.01.2003
(30) Конвенционный приоритет:
25.01.2002 (пп.1-39) US 60/351,868
(43) Дата публикации заявки: 27.01.2006
(46) Опубликовано: 20.10.2007
(56) Список документов, цитированных в отчете о поиске:
RU 2156538 С2, 20.09.2000. RU 2067770 C1, 10.10.1996. RU 2100821 C1, 27.12.1997. WO 01/93437 A1, 06.12.2001. WO 91/17606 A1, 14.11.1991. US 5697084 A, 09.12.1997.
(85) Дата перевода заявки PCT на национальную фазу:
25.08.2004
(86) Заявка PCT:
US 03/02221 (24.01.2003)
(87) Публикация PCT:
WO 2004/049580 (10.06.2004)
Адрес для переписки:
129010, Москва, ул. Б. Спасская, 25, стр.3, ООО “Юридическая фирма Городисский и Партнеры”, пат.пов. Ю.Д.Кузнецову, рег.№ 595
|
(72) Автор(ы):
ЧИККАРЕЛЛИ Стивен К. (US), РАГХУПАТХИ Арун (US)
(73) Патентообладатель(и):
КВЭЛКОММ ИНКОРПОРЕЙТЕД (US)
|
(54) ПРИЕМНАЯ СИСТЕМА AMPS, ИСПОЛЬЗУЮЩАЯ АРХИТЕКТУРУ НУЛЕВОЙ ПРОМЕЖУТОЧНОЙ ЧАСТОТЫ
(57) Реферат:
Изобретение относится к системам беспроводной связи и может быть использовано в двухрежимных системах связи. Достигаемый технический результат – снижение числа компонентов занимаемого объема. Приемная система, использующая архитектуру нулевой промежуточной частоты, содержит антенну, прямой преобразователь для преобразования принятого радиочастотного сигнала в сигнал полосы модулирующих частот, аналого-цифровой преобразователь, цифровой усилитель с переменным коэффициентом усиления, накопитель для вычисления средней мощности усиленного цифрового сигнала полосы модулирующих частот за период времени, контроллер для приема вычисленной средней мощности упомянутого сигнала от накопителя и поддержания средней мощности на постоянном установленном значении и цифровой демодулятор. 5 н. и 34 з.п. ф-лы, 7 ил.
Данная заявка заявляет приоритет предварительной заявки № 60/351,868 поданной 25 января 2002 г.
Область техники
Данное изобретение относится в целом к системам беспроводной связи, а в частности к системе и способу приема и обработки сигналов прямой линии системы AMPS.
Предшествующий уровень техники
В последние годы системы беспроводной связи растут как в числе, так и в сложности. Это уже обычное явление, когда множество операторов беспроводной связи может работать в одном географическом регионе с перекрывающимися зонами покрытия. Более того, различные провайдеры услуг беспроводной связи могут использовать в своих системах различные технологии. Некоторые провайдеры услуг могут использовать беспроводные системы многостанционного доступа с кодовым разделением каналов (МДКР), тогда как другие могут использовать системы многостанционного доступа с временным разделением каналов (МДВР). Однако некоторые регионы могут использовать только аналоговые системы, такие как система Усовершенствованной службы мобильной телефонии (AMPS). Таким образом, беспроводное устройство связи (БУС), разработанное для системы МДКР, может не работать в регионе, где предоставляются только услуги AMPS.
Для решения этой проблемы многие современные усовершенствованные БУС являются двухрежимными, что позволяет таким БУС работать как в системах МДКР, так и в системах AMPS. Система AMPS является аналоговой сотовой системой первого поколения, использующей для радиосвязи частотную модуляцию (ЧМ).
Типичной архитектурой двухрежимного приемника является гетеродин, использующий цепь автоматической регулировки уровня (АРУ) аналоговой промежуточной частоты (ПЧ), состоящую из усилителя с переменным коэффициентом усиления (УПУ) в тракте ПЧ для обработки принимаемых сигналов прямой линии (т.e. сигналов, передаваемых с базовой станции (БС) на БУС. В типичном приемнике системы AMPS сигнал радиочастоты (РЧ), обнаруживаемый РЧ блоком приемника, смешивается или преобразуется с понижением частоты на промежуточную частоту. В тракте ПЧ может выполняться дополнительное усиление и/или фильтрация. Однако новой тенденцией в конструировании беспроводных устройств связи, в частности двухрежимных беспроводных устройств связи МДКР, является прямой перенос сигнала с РЧ на частоты базовой полосы (полосы частот модулирующих сигналов) в архитектуре нулевой ПЧ (НПЧ) или низкой ПЧ. Архитектура НПЧ позволяет сэкономить средства и занимаемый объем снижением общего числа компонентов. В архитектуре НПЧ тракт ПЧ удален полностью, включая фильтры, генератор, управляемый напряжением (ГУН) и т.д. Однако использование архитектуры НПЧ в традиционном приемнике МДКР при совместном использовании с аналоговой АРУ, применяемой в типичных приемниках системы AMPS, будет затруднено в связи с проблемами смещения постоянной составляющей и другими проблемами, связанными с аналоговыми цепями. Таким образом, для преодоления этих проблем приемник МДКР с НПЧ архитектурой должен использовать цифровую АРУ.
Однако в традиционных приемниках системы AMPS для обработки принимаемых сигналов прямой линии используются аналоговые АРУ, а использование как цифровых, так и аналоговых АРУ в двухрежимных БУС увеличивает число комплектующих, стоимость производства и занимаемый объем.
Таким образом, существует потребность в приемнике системы AMPS, который мог бы использовать цифровую АРУ для обработки принимаемых сигналов прямой линии и использовать цифровую АРУ совместно с приемником МДК для снижения числа компонентов, стоимости производства и занимаемого объема. Настоящее изобретение обеспечивает это и другие преимущества, что станет видно из следующего детального описания и чертежей.
Сущность изобретения
Это раскрытие относится к приемнику системы AMPS, использующему архитектуру НПЧ и обрабатывающему принимаемые сигналы прямой линии в цифровом виде, что позволит избежать вышеописанных ограничений.
Согласно реализации настоящего изобретения приемник системы AMPS содержит прямой преобразователь для преобразования принятых РЧ сигналов прямой линии в сигналы базовой полосы, аналого-цифровые преобразователи (АЦП) с широким динамическим диапазоном, фазовращатель, цифровой УПУ, накопитель, цифровой ЧМ демодулятор и контроллер, управляющий функционированием приемника системы AMPS.
Прямой преобразователь содержит малошумящий усилитель с одним или несколькими каскадами усиления, усиливающий принятые РЧ сигналы, смесители для преобразования принятых РЧ сигналов в сигналы базовой полосы и фильтры нижних частот. Малошумящий усилитель изменяет свое усиление посредством изменения усиления с одного уровня усиления на другой уровень усиления на основании команд контроллера. Однако изменение усиления приводит к смещению фазы принятого РЧ сигнала, усиливаемого малошумящим усилителем.
Контроллер дает команду на изменение усиления малошумящего усилителя, если обнаруживает, что мощность входного сигнала на антенне превышает программируемый порог. Далее контроллер выдает команду фазовращателю изменить фазу сигналов, которые были смещены по фазе малошумящим усилителем, когда малошумящий усилитель изменил свое усиление. Фазовращатель компенсирует смещение фазы, обусловленное малошумящим усилителем.
Цифровой УПУ принимает сигнал с выхода фазовращателя и усиливает или ослабляет его до уровня, требуемого цифровому ЧМ демодулятору. Накопитель принимает сигнал с выхода цифрового УПУ и рассчитывает среднюю мощность выходного сигнала. Контроллер использует рассчитанную среднюю мощность для управления усилением цифрового УПУ и малошумящего усилителя. Наконец, цифровой ЧМ демодулятор демодулирует принятые сигналы прямой линии для получения информационных сигналов.
Другие свойства и преимущества изобретения поясняются в последующем детальном описании, иллюстрируемом чертежами, на которых показаны, в частности, различные особенности вариантов осуществления изобретения.
Краткое описание чертежей
Фиг. 1 – функциональная блок-схема варианта осуществления настоящего изобретения.
Фиг. 2 – пример выходного сигнала малошумящего усилителя приемной системы AMPS в соответствии с вариантом осуществления настоящего изобретения.
Фиг.3 – примеры уровней усиления малошумящего усилителя приемной системы AMPS в соответствии с вариантом осуществления настоящего изобретения.
Фиг. 4 – пример напряжения сигнала на входе АЦП с широким динамическим диапазоном приемной системы AMPS в соответствии с вариантом осуществления настоящего изобретения.
Фиг. 5 – пример выходного сигнала цифрового ЧМ демодулятора приемной системы AMPS в соответствии с вариантом осуществления настоящего изобретения.
Фиг. 6 – блок-схема алгоритма, поясняющая способ обработки сигнала в соответствии с вариантом осуществления настоящего изобретения.
Фиг. 7 – двухрежимное беспроводное устройство связи в соответствии с вариантом осуществления настоящего изобретения.
Детальное описание предпочтительных вариантов осуществления
На фиг. 1 показана приемная система AMPS 100 в соответствии с вариантом осуществления настоящего изобретения. Приемная система 100 содержит антенну 105 для приема РЧ сигналов прямой линии от различных базовых станций. Принцип функционирования антенны 105 хорошо известен в описываемой области техники и не нуждается в детальном описании. Антенна 105 подключена к прямому преобразователю 110. Прямой преобразователь 110 непосредственно преобразует принимаемый РЧ сигнал в сигнал базовой полосы без преобразования на промежуточную частоту (ПЧ). Сигналы прямой линии, принимаемые антенной 105, являются РЧ сигналами, которые преобразованы в сигналы базовой полосы прямым преобразователем 110. В варианте осуществления настоящего изобретения к сигналам базовой полосы относятся сигналы нулевой ПЧ и низкой ПЧ.
Прямой преобразователь 110 содержит малошумящий усилитель (МШУ) 112, разветвитель 113, смесители 114 и 116 понижающего преобразования и фильтры 118 и 119. МШУ 112 принимает сигналы прямой линии с антенны 105 и усиливает сигналы прямой линии. МШУ 112 содержит один или несколько уровней усиления для усиления принятых сигналов прямой линии с различным коэффициентом усиления. Коэффициент усиления МШУ 112 изменяется посредством изменения усиления с одного уровня усиления на другой на основе уровня принимаемого сигнала прямой линии (т.e. мощности принимаемого сигнала прямой линии), который, как правило, находится в диапазоне от -25 дБм до -125 дБм. Уровень (мощность) принимаемого сигнала прямой линии изменяется в таком широком диапазоне из-за “замираний”, таких как Рэлеевские замирания, а также вариаций расстояния между приемной системой 100 и базовой станцией, обслуживающей приемную систему 100. Контроллер 190 выбирает соответствующий уровень усиления МШУ 112 способом, детально поясненным далее.
В среде мобильной связи сигналы отражаются и рассеиваются препятствиями на своем пути, такими как здания, склоны холмов, деревья, автомобили и т.д. Рассеяние сигналов приводит к появлению на приемной антенне множества копий одного сигнала. Эти копии, однако, приходят различными путями, в связи с чем принимаются антенной с различными временными сдвигами. Эти временные сдвиги могут вызвать в один момент суммирование сигналов в противофазе, компенсируя друг друга, а в другой – в фазе с увеличением уровня. Этот феномен получил название “быстрых замираний”. Таким образом, замирания приводят к флуктуациям уровня принимаемого сигнала.
Более того, уровень замираний зависит от длины волны принимаемого сигнала и скорости перемещения БУС принимающего сигнал. Например, БУС на автомобиле, передвигающемся со скоростью 70 км/час, может испытывать замирания 200 раз в секунду. Таким образом, коэффициент усиления МШУ 112 для компенсации флуктуаций уровня принимаемого сигнала прямой линии должен изменяться с соответствующей скоростью.
Фиг. 3 иллюстрирует уровни усиления МШУ 112. Кривая 211 имеет коэффициент усиления G1, кривая 213 имеет коэффициент усиления G2, а кривая 215 имеет коэффициент усиления G3. Кроме того, МШУ 112 может иметь единичное усиление (т.e. |H(w)|дБ = 0) или отрицательное усиление (т.e. входной сигнал ослабляется (например, |H(w)|дБ = -20 дБ)). Таким образом, коэффициент усиления МШУ 112 может изменяться от отрицательных до положительных значений. Например, если мощность принимаемого сигнала прямой линии низка, скажем, -125 дБм, коэффициент усиления МШУ 112 может быть увеличен с G3 до G1. С другой стороны, если мощность принимаемого сигнала прямой линии велика, например, -25 дБм, коэффициент усиления МШУ 112 может быть снижен с G1 до G2. МШУ 112 может иметь больше или меньше трех уровней усиления, показанных на фиг. 3, которая используется в иллюстративных целях. Коэффициент усиления МШУ 112 управляется контроллером 190 (см. фиг. 1), который может быть процессором, CPU, DSP процессором, аппаратно реализованным устройством или микроконтроллером. Контроллер 190 для изменения коэффициента усиления МШУ 112 посылает на МШУ 112 сигнал управления усилением. Функционирование контроллера 190 пояснено в деталях ниже.
Когда контроллер 190 изменяет коэффициент усиления МШУ 112, МШУ 112 изменяет также фазу принимаемого сигнала прямой линии. Иными словами, когда МШУ 112 изменяет свой коэффициент усиления переходом на другой уровень усиления, МШУ 112 вносит фазовый сдвиг в принимаемый сигнал прямой линии. Таким образом, усиленный сигнал на выходе МШУ 112 имеет фазовый сдвиг.
На фиг. 2 изображена кривая 205, представляющая выход МШУ 112. В точке 206 контроллер 190 изменяет коэффициент усиления МШУ 112. В результате изменения коэффициента усиления МШУ 112 производит резкий сдвиг фазы “q” на кривой 205. Таким образом, вместо того, чтобы следовать кривой 207, фаза сигнала 205 следует кривой с фазовым сдвигом q. Резкий фазовый сдвиг на выходе МШУ 112 может создать позднее серьезные проблемы. Однако фазовращатель 160 устраняет эту проблему, что детально пояснено ниже.
Как показано на фиг. 1, выход МШУ 112 подключен к разветвителю 113, который разделяет выходной сигнал на два идентичных сигнала для последующей квадратурной демодуляции. Два одинаковых выхода разветвителя 113 подключены к одинаковым смесителям 114 и 116 понижающего преобразования. Традиционный смеситель понижающего преобразования получает РЧ сигнал и сигнал гетеродина на входах и генерирует выходные сигналы в виде суммы и разности входных сигналов. Смесители 114 и 116 понижающего преобразования функционируют совершенно одинаково, за исключением фазы гетеродина. Гетеродин смесителя 114 обозначается как гетеродин LOI, тогда как гетеродин смесителя 116 обозначается как гетеродин LOQ. Гетеродины LOI и LOQ работают на одной частоте, но с фазовым сдвигом 90° относительно друг друга. Таким образом, выходы смесителей 114 и 116 являются квадратурными выходами, обозначаемыми как IOUT И QOUT соответственно. Как отмечено выше, система, изображаемая функциональной блок-схемой на фиг. 1, использует архитектуру прямого преобразования в базовую полосу или архитектуру НПИ. Соответственно гетеродины LOI и LOQ подобраны таким образом, чтобы осуществлять преобразование РЧ сигнала с МШУ 112 непосредственно на частоту базовой полосы, что означает либо нулевую ПЧ, либо низкую ПЧ, либо обе.
Выходы смесителей 114 и 116 понижающего преобразования подключены к фильтрам 118 и 119. Фильтры 118 и 119 являются аналоговыми фильтрами нижних частот (ФНЧ), которые пропускают полезный сигнал и подавляют внеполосные помехи. На выходы фильтров 118 и 119 поступают сигналы нулевой ПЧ или низкой ПЧ.
Выходы фильтров 118 и 119 подключены к АЦП 120 и 130 соответственно. АЦП 120 и 130 преобразуют принятый сигнал в цифровую форму для дальнейшей обработки. Функционирование АЦП 120 и 130 хорошо известно в рассматриваемой области техники и не нуждается в дальнейшем описании. Хотя для реализации АЦП 120 и 130 может быть использован любой тип АЦП, система 100 наилучшим образом функционирует с малошумящими АЦП с широким динамическим диапазоном, такими как сигма-дельта АЦП, или другими малошумящими АЦП. Как правило, динамический диапазон АЦП представляет собой 10*log(максимальное отношение сигнал/шум АЦП). Настоящее изобретение не ограничивается конкретной формой АЦП.
В варианте осуществления настоящего изобретения, ввиду ограничений по потреблению тока, динамический диапазон АЦП 120 и 130 ограничен примерно 60-75 дБ. Однако принимаемый сигнал прямой линии имеет динамический диапазон около 100 дБ, как пояснялось выше. Несмотря на то, что для АЦП 120 и 130 могут быть использованы АЦП с более широким динамическим диапазоном, соответствующим динамическому диапазону 100 дБ принимаемого сигнала прямой линии, применение широкодиапазонных АЦП приведет к удорожанию производства и увеличению потребления питания.
В результате использования АЦП с динамическим диапазоном уже динамического диапазона принимаемого сигнала прямой линии некоторые сигналы прямой линии могут приводить к насыщению АЦП 120 и 130. Фиг. 4 демонстрирует кривую 220, представляющую входное напряжение АЦП 120 и 130. Линия 222 соответствует верхнему пределу динамического диапазона АЦП 120 и 130, а линия 224 соответствует нижнему пределу динамического диапазона АЦП 120 и 130. Как указано выше, диапазон, представляемый верхним пределом 222 и нижним пределом 224, меньше 100 дБ. В точке 223 входное напряжение АЦП 120 и 130 достигает верхнего предела 222, так что если входное напряжение будет расти выше предела 222, АЦП 120 и 130 окажутся в насыщении.
Таким образом, для предотвращения такого насыщения, когда входное напряжение АЦП 120 и 130 достигает верхнего предела 222, контроллер 190 отправляет команду регулировки усиления на МШУ 112 с целью понизить коэффициент усиления МШУ 112. В ответ на команду управления МШУ 112 снижает коэффициент усиления, например, с G1 до G2. Когда коэффициент усиления МШУ 112 снижается, снижается и входное напряжение на АЦП 120 и 130, как показано на фиг. 4 в точке 225. В точке 223 МШУ 112 снижает коэффициент усиления, и входное напряжение падает со значения в точке 223 до значения в точке 225, предотвращая таким образом насыщение АЦП 120 и 130. С другой стороны, если входное напряжение падает до определенного уровня, контроллер 190 посылает команду на МШУ 112 увеличить коэффициент усиления. В точке 226 контроллер 190 отправляет команду увеличить коэффициент усиления МШУ 112. Таким образом, входное напряжение на АЦП 120 и 130 вырастает до значения в точке 227. Однако, как было указано выше, изменение коэффициента усиления МШУ 112 создает резкий фазовый сдвиг на выходе МШУ 112.
Точка переключения 223 на фиг. 4 достигается при уровне входной мощности (т.e. мощности принимаемого РЧ сигнала прямой линии) на антенне 105 приблизительно -60 дБм, а точка переключения 226 достигается при уровне входной мощности на антенне 105 приблизительно -75 дБм. Однако в варианте осуществления настоящего изобретения точка переключения 223 может быть достигнута при уровне входной мощности на антенне 105 выше или ниже -60 дБм. Таким же образом, точка переключения 226 может быть достигнута при уровне входной мощности на антенне 105 выше или ниже -75 дБм. Уровни входной мощности, при которых МШУ 112 переключает уровни усиления, могут программироваться или меняться. Например, контроллер 190 может указать МШУ 112 снизить коэффициент усиления при уровне входной мощности -65 дБм и увеличить коэффициент усиления при уровне входной мощности -80 дБм при условии, что эти значения не приведут к насыщению АЦП 120 и 130. Другими словами, если уровень входной мощности превысит программируемое пороговое значение, контроллер 190 отправит на МШУ 112 команду снизить коэффициент усиления, а если уровень входной мощности упадет ниже программируемого порогового уровня, контроллер 190 отправит на МШУ 112 команду повысить коэффициент усиления МШУ 112. Программируемые пороговые значения могут быть сохранены в таблице соответствия в памяти 191, которая подключена к контроллеру 190. Память 191 может быть внешней или встроенной в контроллер 190, может быть памятью произвольного доступа, постоянным запоминающим устройством, EEPROM, флэш-памятью либо любым другим носителем, используемым для хранения желаемой информации.
Описываемые здесь инструкции для управления контроллером 190 режимами функционирования могут храниться на считываемом процессором носителе. В качестве примера, не ограничиваясь перечисленным, к считываемым процессором носителям могут относиться устройства хранения и/или коммуникационные устройства. Устройства хранения включают временные и постоянные, съемные или фиксированные носители, реализованные любым способом или по любой технологии и предназначенные для хранения такой информации, как инструкции процессора, структуры данных, программные модули или другие данные. Устройства хранения могут включать (не ограничиваясь перечисленным) память произвольного доступа (RAM), постоянные запоминающие устройства (ROM), EEPROM, флэш-память, фиксированные или съемные дисковые носители, включая оптические и магнитные, либо любые другие носители, которые могут хранить требуемую информацию, и к которым может получить доступ контроллер 190.
Цифровые фильтры нижних частот 140 и 150 (см. фиг. 1) принимают сигнал с выходов АЦП 120 и 130 соответственно. Фильтры 140 и 150 подавляют шумы квантования, присутствующие в принятом сигнале, и производят фильтрацию помех.
После фильтрации сигнал с выходов фильтров 140 и 150 принимает фазовращатель 160. Фазовращатель 160 может представлять собой любой тип схемы смещения фазы, изменяющей фазу принятого сигнала, например, устройство на базе алгоритма CORDIC. Фазовращатель 160 не ограничен каким-либо определенным типом фазосдвигающей аппаратуры. Как описано выше, изменение коэффициента усиления МШУ 112 меняет фазу выходного сигнала МШУ 112 на угол “ “. В конкретном варианте осуществления настоящего изобретения фазовращатель 160 может представлять собой устройство на базе алгоритма CORDIC, являющееся цифровым смесителем, производящим как динамическое, так и статическое смещение фазы сигнала. При статическом смещении фазы фазовращатель 160 смещает во времени входной сигнал вперед или назад на определенный угол сдвига фаз. По существу, фазовращатель 160 компенсирует фазовый сдвиг, вызванный изменением коэффициента усиления МШУ 112. Если изменение коэффициента усиления вызвало сдвиг фазы на угол “q”, контроллер 190 посылает сигнал управления фазовращателю 160 с командой произвести сдвиг фазы полученного сигнала на угол “-q”, или приблизительно “-q”, для компенсации фазового сдвига, вызванного МШУ 112. Таким образом, когда контроллер 190 подает команду МШУ 112 на изменение коэффициента усиления, контроллер 190 также посылает команду фазовращателю 160 произвести сдвиг фазы, компенсирующий фазовый сдвиг, вызванный МШУ 112. Так как контроллер 190 заранее знает угол смещения фазы, вызванный изменением коэффициента усиления, контроллер 190 посылает команду на фазовращатель 160, сообщающую требуемый угол смещения фазы (т.e. фазовый сдвиг, приблизительно равный или противоположный фазовому сдвигу, вызванному МШУ 112) для сигнала, принимаемого фазовращателем 160. Если коэффициент усиления МШУ 112 не меняется, фазовращатель 160 не сообщает входному сигналу никаких фазовых сдвигов. Иными словами, контроллер 190 не посылает фазовращателю 160 команды на смещение фазы.
Более того, после того как контроллер 190 отправит на МШУ 112 команду на изменение коэффициента усиления, контроллер 190 выжидает определенный период времени перед отправкой команды на фазовращатель 160 с сообщением о требуемом фазовом сдвиге. Период времени выжидания равен задержке распространения сигнала от МШУ 112 до фазовращателя 160. Задержка распространения иначе называется групповым временем запаздывания. Таким образом, контроллер выжидает период времени, равный задержке распространения, перед отправкой команды фазовращателю 160 на создание фазового сдвига, так что сигнал с фазой, смещенной МШУ 112, получает время, необходимое для прихода на фазовращатель 160, прежде чем фазовращатель 160 осуществит сдвиг фазы. Иными словами, контроллер 190 синхронизирует работу МШУ 112 и фазовращателя 160. Фактическое значение времени задержки распространения хранится в памяти 191 и является программируемым. Устранение фазового сдвига, вызванного МШУ 112, весьма важно по причинам, детально поясняемым ниже.
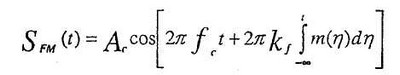
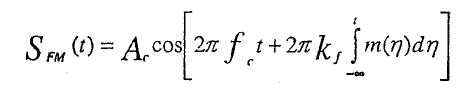
Так как система AMPS использует частотную модуляцию, сигнал прямой линии может быть описан следующим выражением:

где Ac = амплитуда сигнала несущей;
fc = частота сигнала несущей;
kf = постоянная девиации частоты; и
m(t) = информационный сигнал.
После приема сигнала прямой линии SFM(t) приемник системы AMPS демодулирует сигнал прямой линии для получения информационного сигнала m(t). Типичный приемник системы AMPS в БУС может содержать аналоговый или цифровой ЧМ демодулятор (ЦЧМ), демодулирующий сигнал прямой линии и получающий информационный сигнал m(t). Приемная система AMPS 100 в соответствии с вариантом осуществления настоящего изобретения содержит ЦЧМ-демодулятор 180, демодулирующий сигнал прямой линии. По существу, для демодулирования сигнала прямой линии ЦЧМ-демодулятор 180 выполняет операцию, аналогичную дифференцированию (т.e. получению производной по времени) принятого сигнала прямой линии.
Однако, как можно видеть на фиг. 2, сигнал 205 на выходе МШУ 112 получает резкий фазовый сдвиг 9 в точке 206 ввиду изменения коэффициента усиления МШУ 112. Ввиду резкого изменения фазы в точке 206 в производной функции в точке 206 создается точка сингулярности. Как описано выше, для демодулирования принятого сигнала прямой линии ЦЧМ-демодулятор 180 производит операцию дифференцирования. Когда ЦЧМ-демодулятор 180 производит операцию дифференцирования в точке с резким изменением фазы, как это происходит в точке 206, ЦЧМ-демодулятор 180 создает резкий выброс выходного сигнала ЦЧМ-демодулятора 180. Резкий выброс приводит к громкому “щелчку” (треску), слышимому пользователем БУС. Более того, если БУС перемещается с высокой скоростью, скорость замираний возрастает, что приводит к увеличению числа “щелчков”.
Фиг. 5 демонстрирует кривую 230, представляющую выходной сигнал ЦЧМ-демодулятора 180 для немодулированной несущей без компенсации фазовых сдвигов, вызванных МШУ 112. Кривая 230 имеет резкий выброс (пик) в точке 231, вызванный дифференцированием точки сингулярности. Выброс в точке 231 вызывает “щелчок”, слышимый пользователем БУС. Кривая 232 представляет выходной сигнал ЦЧМ-демодулятора 180 для немодулированной несущей с компенсацией фазового сдвига, вызванного МШУ 112. Кривая 232 не имеет каких-либо резких выбросов, которые могли бы вызвать “щелчки”, так как фазовращатель 160 удалил все резкие переходы фазы, вызванные изменением коэффициента усиления МШУ 112.
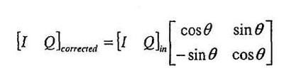
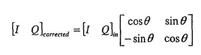
Таким образом, во избежание “щелчков” фазовращатель 160 должен удалить фазовые сдвиги, вызванные изменением коэффициента усиления МШУ 112. Функционирование фазовращателя 160 может быть математически описано следующим выражением

где [I Q]corrected = сигнал на выходе фазовращателя 160;
[I Q]in = сигнал на входе фазовращателя 160.
Итак, фазовращатель 160 удаляет фазовые сдвиги, вызванные МШУ 112, для предотвращения “щелчков”.
Цифровой усилитель с переменным коэффициентом усиления (ЦУПУ) 170 принимает сигнал с выхода фазовращателя 160. ЦУПУ 170 усиливает или ослабляет входной сигнал до уровня, требуемого ЦЧМ-демодулятором 180, что поясняется детально ниже. ЦУПУ 170 имеет вход управления для приема сигналов управления с контроллера 190, управляющего коэффициентом усиления ЦУПУ 170.
Накопитель 185 принимает сигналы с выхода ЦУПУ 170 и вычисляет их среднюю мощность за определенный период времени. Период времени для вычисления средней мощности может быть легко определен и запрограммирован специалистом на основании текущих потребностей и спецификаций. В реализации настоящего изобретения желательно удерживать вычисленную среднюю мощность равной постоянной установленной точке.
P = средняя мощность = постоянная установленная точка.
Контроллер 190 принимает вычисленное значение средней мощности и пытается удержать это значение равным постоянной установленной точке подстройкой коэффициента усиления ЦУПУ 170 и МШУ 112. МШУ 112 используется для грубой подстройки средней мощности, а ЦУПУ 170 – для точной подстройки. Контроллер 190 посылает соответствующие сигналы управления на МШУ 112 и ЦУПУ 170, регулирующие коэффициент усиления для поддержания средней мощности на уровне постоянной установленной точки.
ЦЧМ-демодулятор 180 принимает сигнал с выхода ЦУПУ 170 и демодулирует его для получения информационного сигнала m(t), как было описано выше. Цифровой процессор сигналов (на схеме не показан) принимает сигнал с выхода ЦЧМ-демодулятора 180 для его дальнейшей фильтрации и обработки с целью получения аудиосигнала, пригодного для прослушивания пользователем БУС.
На фиг. 6 приведена блок-схема алгоритма способа обработки сигнала 240 в соответствии с реализацией настоящего изобретения. На этапе 250 осуществляется прием РЧ сигнала прямой линии. На этапе 252 подстраивается коэффициент мощности малошумящего усилителя на основе мощности принятого РЧ сигнала прямой линии. На этапе 254 РЧ сигнал прямой линии усиливается малошумящим усилителем. На этапе 256 усиленный РЧ сигнал прямой линии преобразуется в сигнал базовой полосы. На этапе 258 сигнал базовой полосы проходит через аналоговый фильтр. На этапе 260 сигнал базовой полосы преобразуется в цифровой сигнал базовой полосы. На этапе 262 цифровой сигнал базовой полосы обрабатывается цифровым фильтром. На этапе 263 определяется, изменялся ли коэффициент усиления малошумящего усилителя. Если коэффициент усиления изменялся, управление передается на этап 264, а если нет – на этап 266. На этапе 264 изменяется фаза цифрового сигнала базовой полосы в соответствии с изменением коэффициента усиления малошумящего усилителя. На этапе 266 цифровой сигнал базовой полосы усиливается цифровым усилителем. На этапе 268 измеряется средняя мощность усиленного цифрового сигнала базовой полосы. На этапе 270 подстраиваются коэффициенты усиления цифрового и малошумящего усилителей на основе средней мощности усиленного цифрового сигнала базовой полосы. На этапе 272 усиленный цифровой сигнал базовой полосы демодулируется.
На фиг. 7 показано двухрежимное беспроводное устройство связи (ДБУС) 310 в соответствии с вариантом осуществления настоящего изобретения. ДБУС 310 содержит приемник системы AMPS 320 и приемник МДКР 330. Приемник системы AMPS 320 и приемник МДКР 330 совместно используют некоторую часть схем. Совместно используемая часть схем обозначена на фиг. 7 как затененная зона 340. Совместно используемая часть 340 включает цифровые схемы АРУ и другие схемы, которые могут быть использованы как приемником системы AMPS 320, так и приемником МДКР 330. В варианте осуществления настоящего изобретения совместно используемая часть 340 включает цифровые фильтры нижних частот 140, фазовращатель 160, цифровой УПУ 170, накопитель 185 и контроллер 190, показанные на фиг. 1. Цифровые фильтры нижних частот 140, фазовращатель 160, цифровой УПУ 170, накопитель 185 и контроллер 190 формируют часть цифровых схем АРУ. Совместное использование элементов схем приемником системы AMPS 320 и приемником МДКР 330 снижает стоимость производства и пространство, занимаемое этими схемами.
Необходимо отметить, что, с учетом различных вышеизложенных вариантов осуществления и преимуществ настоящего изобретения, данное описание является иллюстративным, и, оставаясь в рамках основных принципов изобретения, в детали могут вноситься самые разнообразные изменения. Таким образом, настоящее изобретение должно ограничиваться только прилагаемой формулой изобретения.
Формула изобретения
1. Приемная система AMPS (Усовершенствованная служба мобильной телефонии), содержащая антенну для приема радиочастотного (РЧ) сигнала, передаваемого из удаленного местоположения; прямой преобразователь для преобразования принятого РЧ сигнала в сигнал полосы модулирующих частот; аналого-цифровой преобразователь (АЦП) для преобразования сигнала полосы модулирующих частот в цифровой сигнал полосы модулирующих частот; цифровой усилитель с переменным коэффициентом усиления (ЦУПУ) для усиления цифрового сигнала полосы модулирующих частот, причем ЦУПУ содержит вход управления ЦУПУ для настройки коэффициента усиления ЦУПУ; накопитель для вычисления средней мощности усиленного цифрового сигнала полосы модулирующих частот за период времени; контроллер для приема вычисленной средней мощности упомянутого сигнала от накопителя и поддержания средней мощности на постоянном установленном значении посредством подачи сигнала управления усилением ЦУПУ на вход управления ЦУПУ для настройки коэффициента усиления ЦУПУ и цифровой демодулятор для демодуляции усиленного цифрового сигнала полосы модулирующих частот для получения информационного сигнала.
2. Приемная система AMPS по п.1, отличающаяся тем, что прямой преобразователь содержит малошумящий усилитель (МШУ) для усиления принятого РЧ сигнала, причем МШУ имеет, по меньшей мере, один уровень усиления и вход управления уровнями усиления для управления усилением МШУ, и смеситель для преобразования принятого РЧ сигнала в сигнал полосы модулирующих частот.
3. Приемная система AMPS по п.2, отличающаяся тем, что контроллер посылает сигнал управления усилением МШУ на вход управления уровнями усиления для управления усилением МШУ.
4. Приемная система AMPS по п.3, отличающаяся тем, что контроллер посылает на вход управления усилением МШУ сигнал управления усилением для поддержания средней мощности на постоянном установленном значении.
5. Приемная система AMPS по п.3, отличающаяся тем, что контроллер посылает сигнал управления усилением МШУ для снижения усиления МШУ, если мощность принятого РЧ сигнала превышает первое программируемое значение.
6. Приемная система AMPS по п.5, отличающаяся тем, что контроллер посылает сигнал управления усилением МШУ для повышения усиления МШУ, если мощность принятого РЧ сигнала падает ниже второго программируемого значения.
7. Приемная система AMPS по п.6, отличающаяся тем, что динамический диапазон принимаемого РЧ сигнала шире динамического диапазона АЦП.
8. Приемная система AMPS по п.3, отличающаяся тем, что дополнительно содержит фазовращатель для изменения фазы цифрового сигнала полосы модулирующих частот.
9. Приемная система AMPS по п.8, отличающаяся тем, что контроллер посылает сигнал управления сдвигом фазы на фазовращатель для изменения фазы цифрового сигнала полосы модулирующих частот, если контроллер посылает сигнал управления усилением МШУ для изменения усиления МШУ.
10. Приемная система AMPS по п.9, отличающаяся тем, что фазовращатель представляет собой cordic-вращатель, являющийся цифровым смесителем, осуществляющим динамическое и статическое смещение фазы сигнала.
11. Приемная система AMPS по п.10, отличающаяся тем, что фазовращатель изменяет фазу цифрового сигнала полосы модулирующих частот на угол, равный и противоположный по знаку смещению фазы принятого РЧ сигнала, вызванному изменением усиления МШУ.
12. Приемная система AMPS по п.1, отличающаяся тем, что дополнительно содержит цифровой фильтр для подавления шумов в цифровом сигнале полосы модулирующих частот.
13. Приемная система AMPS по п.1, отличающаяся тем, что прямой преобразователь содержит аналоговый фильтр для фильтрации шумов сигнала полосы модулирующих частот.
14. Приемная система AMPS по п.2, отличающаяся тем, что прямой преобразователь дополнительно содержит разветвитель для разделения усиленного РЧ сигнала на два идентичных сигнала.
15. Схема приемника AMPS, содержащая прямой преобразователь для преобразования принятого РЧ сигнала в сигнал полосы модулирующих частот; аналого-цифровой преобразователь (АЦП) для преобразования сигнала полосы модулирующих частот в цифровой сигнал полосы модулирующих частот; фазовращатель для изменения фазы цифрового сигнала полосы модулирующих частот и контроллер для посылки на фазовращатель сигнала управления фазой для управления фазой цифрового сигнала полосы модулирующих частот.
16. Схема приемника AMPS по п.15, отличающаяся тем, что контроллер посылает на фазовращатель сигнал управления фазой для изменения фазы цифрового сигнала полосы модулирующих частот спустя время задержки распространения, если прямой преобразователь изменяет фазу принятого РЧ сигнала.
17. Схема приемника AMPS по п.16, отличающаяся тем, что прямой преобразователь содержит малошумящий усилитель (МШУ) для усиления принятого РЧ сигнала, причем МШУ имеет, по меньшей мере, один уровень усиления и вход управления уровнями усиления для управления усилением МШУ, и смеситель для преобразования усиленного РЧ сигнала в сигнал полосы модулирующих частот.
18. Схема приемника AMPS по п.17, отличающаяся тем, что контроллер посылает сигнал управления усилением МШУ на вход управления уровнями усиления на основании мощности принятого РЧ сигнала.
19. Схема приемника AMPS по п.15, отличающаяся тем, что дополнительно содержит цифровой усилитель с переменным коэффициентом усиления (ЦУПУ) для усиления цифрового сигнала полосы модулирующих частот, причем контроллер посылает на ЦУПУ сигнал управления усилением ЦУПУ для управления усилением ЦУЛУ.
20. Схема приемника AMPS по п.19, отличающаяся тем, что дополнительно содержит накопитель для вычисления средней мощности усиленного цифрового сигнала полосы модулирующих частот.
21. Схема приемника AMPS по п.20, отличающаяся тем, что сигнал управления усилением ЦУПУ основан на средней мощности усиленного цифрового сигнала полосы модулирующих частот.
22. Схема приемника AMPS по п.21, отличающаяся тем, что дополнительно содержит цифровой демодулятор для демодуляции усиленного цифрового сигнала полосы модулирующих частот для получения информационного сигнала.
23. Схема приемника AMPS по п.22, отличающаяся тем, что дополнительно содержит цифровой фильтр для подавления шумов в цифровом сигнале полосы модулирующих частот.
24. Схема приемника AMPS, содержащая малошумящий усилитель (МШУ) для усиления принятого РЧ сигнала; смеситель для преобразования усиленного РЧ сигнала в сигнал полосы модулирующих частот; аналого-цифровой преобразователь (АЦП) для преобразования низкочастотного сигнала в цифровой сигнал полосы модулирующих частот; фазовращатель для изменения фазы цифрового сигнала полосы модулирующих частот и контроллер для управления усилением МШУ и смещением фазы фазовращателя.
25. Схема приемника AMPS по п.24, отличающаяся тем, что контроллер изменяет усиление МШУ на основании мощности принятого РЧ сигнала.
26. Схема приемника AMPS по п.25, отличающаяся тем, что МШУ смещает фазу принятого РЧ сигнала, когда контроллер изменяет усиление МШУ.
27. Схема приемника AMPS по п.26, отличающаяся тем, что фазовращатель изменяет фазу цифрового сигнала полосы модулирующих частот на угол, равный и противоположный по знаку смещению фазы принятого РЧ сигнала, вызванному изменением усиления МШУ.
28. Схема приемника AMPS по п.24, отличающаяся тем, что дополнительно содержит цифровой усилитель с переменным коэффициентом усиления (ЦУПУ) для усиления цифрового сигнала полосы модулирующих частот.
29. Схема приемника AMPS по п.28, отличающаяся тем, что контроллер управляет усилением ЦУПУ на основании средней мощности усиленного цифрового сигнала полосы модулирующих частот.
30. Схема приемника AMPS по п.29, отличающаяся тем, что контроллер управляет усилением МШУ на основании средней мощности усиленного цифрового сигнала полосы модулирующих частот.
31. Схема приемника AMPS по п.28, отличающаяся тем, что дополнительно содержит цифровой демодулятор для демодуляции усиленного цифрового сигнала полосы модулирующих частот для получения информационного сигнала.
32. Способ обработки принятого радиочастотного (РЧ) сигнала, заключающийся в том, что усиливают принятый РЧ сигнал для получения усиленного РЧ сигнала; преобразуют усиленный РЧ сигнал в сигнал полосы модулирующих частот; преобразуют сигнал полосы модулирующих частот в цифровой сигнал полосы модулирующих частот; усиливают цифровой сигнал полосы модулирующих частот для получения усиленного цифрового сигнала полосы модулирующих частот, управляют усилением принятого РЧ сигнала и цифрового сигнала полосы модулирующих частот на основании средней мощности усиленного цифрового сигнала полосы модулирующих частот и изменяют фазу цифрового сигнала полосы модулирующих частот на основании изменения усиления РЧ сигнала.
33. Способ по п.32, отличающийся тем, что дополнительно изменяют усиление РЧ сигнала на основании мощности принятого РЧ сигнала.
34. Способ по п.33, отличающийся тем, что дополнительно осуществляют фильтрацию шумов цифрового сигнала полосы модулирующих частот.
35. Способ по п.34, отличающийся тем, что дополнительно демодулируют усиленный цифровой сигнал полосы модулирующих частот для получения информационного сигнала.
36. Система для обработки принятого радиочастотного (РЧ) сигнала, содержащая средство для усиления принятого РЧ сигнала для получения усиленного РЧ сигнала; средство для преобразования усиленного РЧ сигнала в сигнал полосы модулирующих частот; средство для преобразования сигнала полосы модулирующих частот в цифровой сигнал полосы модулирующих частот; средство для усиления цифрового сигнала полосы модулирующих частот для получения усиленного цифрового сигнала полосы модулирующих частот; средство для управления усилением принятого РЧ сигнала и цифрового сигнала полосы модулирующих частот на основании средней мощности усиленного цифрового сигнала полосы модулирующих частот и средство для изменения фазы цифрового сигнала полосы модулирующих частот на основании изменения усиления принятого РЧ сигнала.
37. Система по п.36, отличающаяся тем, что дополнительно содержит средство для изменения усиления принятого РЧ сигнала на основании мощности принятого РЧ сигнала.
38. Система по п.37, отличающаяся тем, что дополнительно содержит средство для фильтрации шумов в цифровом сигнале полосы модулирующих частот.
39. Система по п.38, отличающаяся тем, что дополнительно содержит средство демодуляции усиленного цифрового сигнала полосы модулирующих частот для получения информационного сигнала.
РИСУНКИ
|
|