|
|
(21), (22) Заявка: 2006101019/09, 10.01.2006
(24) Дата начала отсчета срока действия патента:
10.01.2006
(46) Опубликовано: 20.10.2007
(56) Список документов, цитированных в отчете о поиске:
КУК Ч., БЕРНФЕЛЬД М. Радиолокационные системы. – М.: Советское радио, 1971, с.13. RU 2075762 С1, 20.03.1997. RU 2054693 C1, 20.02.1996. RU 2262122 C1, 10.10.2005. US 5325098 A, 28.06.1994. US 4737028 A, 12.04.1988. FR 2709835 A1, 17.03.1995.
Адрес для переписки:
603950, г.Нижний Новгород, ул. Шапошникова, 5, ФГУП “ННИИРТ”
|
(72) Автор(ы):
Блинохватов Юрий Вячеславович (RU), Хализов Сергей Геннадьевич (RU), Харитонов Сергей Александрович (RU)
(73) Патентообладатель(и):
Федеральное государственное унитарное предприятие “Нижегородский научно-исследовательский институт радиотехники” (RU)
|
(54) УСТРОЙСТВО СЕЛЕКЦИИ МЕШАЮЩИХ ОТРАЖЕНИЙ ОТ ОПТИЧЕСКИ НЕНАБЛЮДАЕМЫХ ОБЪЕКТОВ (“АНГЕЛОВ”)
(57) Реферат:
Изобретение относится к радиолокации и может быть использовано в импульсных радиолокационных станциях (РЛС). Техническим результатом изобретения является обеспечение защиты РЛС от эхосигналов оптически ненаблюдаемых объектов (“ангелов”) произвольной амплитуды, а также увеличение в зоне “ангелов” вероятности обнаружения малозаметных и малоразмерных целей, что достигается введением в прототип, содержащий последовательно соединенные усилитель промежуточной частоты, согласованный фильтр, амплитудный детектор, некогерентный накопитель и устройство обнаружения эхосигналов, а также индикатор кругового обзора, первого клапана и селектора “ангелов”, состоящего из второго клапана, блока быстрого преобразования Фурье, устройства отбора локальных максимумов, доплеровского фильтра накопления, набора режекторных фильтров и порогового устройства, с соответствующими связями. 3 ил.
Изобретение относится к радиолокации и может быть использовано в импульсных радиолокационных станциях (РЛС).
Известно, что в процессе работы РЛС на вход приемного тракта помимо полезных эхосигналов поступают различного рода помехи [1, 2]. В частности, весьма распространенными являются помехи, связанные с отражениями зондирующих импульсов в приземном слое атмосферы от дождя, тумана, а также от оптически ненаблюдаемых объектов, для которых принято собирательное название – “ангелы”. К помехам от оптически ненаблюдаемых объектов относятся все отраженные сигналы, которые не могут рассматриваться как отражения от подстилающей поверхности, от метеообразований, облаков искусственных пассивных помех или целей [3].
Основной трудностью при защите от такого типа помех является их дискретность (что делает их похожими на цель) и большие различия частот Доплера отдельных “ангелов”.
Так, использование межобзорных методов обработки оказывается неэффективным из-за малого времени жизни (1-2 обзора) каждого отдельного “ангела” и их большого числа.
Известно устройство защиты РЛС от “ангелов”, принцип работы которых основан на их подавлении в режекторном фильтре (РФ). Однако заранее неизвестная частота Доплера “ангелов” и широкий диапазон ее изменения приводят к необходимости многоканального построения этого устройства, т.е. к необходимости использовать не один РФ, а набор из нескольких сотен РФ (как правило, первого порядка – для уменьшения аппаратных затрат), центральные частоты зон режекции которых перекрывают диапазон возможных частот Доплера “ангелов”. Выходным сигналом такого устройства является сигнал с выхода РФ, обеспечивающего наибольшее подавление входного сигнала.
В качестве недостатков этого устройства можно указать следующие:
– многоканальность устройства приводит к необходимости использования большого количества РФ, что, в свою очередь, приводит к увеличению аппаратных или вычислительных затрат при реализации такого набора РФ;
– использование РФ с одной зоной режекции не позволяет подавить двухчастотный (или двухмодовый) “ангел”;
– вносятся дополнительные потери в обнаружение целей из-за неравномерности амплитудно-частотной характеристики (АЧХ) РФ.
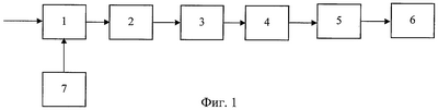
В качестве устройства-прототипа выберем типовой канал обнаружения РЛС [4]. Устройство-прототип содержит (фиг.1) последовательно соединенные усилитель промежуточной частоты (УПЧ) 1 с временной автоматической регулировкой усиления (ВАРУ), согласованный фильтр (СФ) 2, амплитудный детектор (АД) 3, некогерентный накопитель (НН) 4, устройство обнаружения эхосигналов (ОБН) 5 и индикатор кругового обзора (ИКО) 6, а также формирователь функции ВАРУ 7, выходом подключенный к входу управления усилением УПЧ 1.
В каждом периоде повторения (такте) в момент излучения зондирующего сигнала синхроимпульсом запускается формирователь функции ВАРУ, который создает на своем выходе нарастающий во времени сигнал, пропорциональный времени в квадрате [2, с.158]. При этом в зоне обзора, пораженной “ангелами”, коэффициент усиления УПЧ устанавливается таким, чтобы основная масса отражений от “ангелов” находилась ниже порога обнаружения.
В большинстве случаев эффективная поверхность рассеяния (ЭПР) “ангела” значительно меньше ЭПР цели. Однако, в некоторых случаях [3, рис.3.12] ЭПР “ангела” может быть значительно больше ЭПР цели. Поэтому возможна ситуация, когда эхосигнал “ангела” достаточно большой амплитуды превысит порог обнаружения и будет воспринят как эхосигнал цели. Т.е. устройство-прототип обеспечивает защиту РЛС только от эхосигналов “ангелов” порогового уровня и не в состоянии обеспечить защиту РЛС от эхосигналов “ангелов” большей амплитуды. Другим недостатком этого устройства является пропуск (необнаружение) малоразмерных и малозаметных целей с малыми ЭПР (сравнимыми с ЭПР “ангелов”), таких как летательные аппараты, выполненные по технологии “Стелс”, боевые блоки баллистических ракет небольших размеров, гиперзвуковые крылатые ракеты.
Технический результат предлагаемого изобретения заключается в обеспечении защиты РЛС от эхосигналов оптически ненаблюдаемых объектов (“ангелов”) произвольной амплитуды, а также увеличении в зоне “ангелов” вероятности обнаружения малозаметных и малоразмерных целей.
Указанный результат достигается тем, что в устройство-прототип, содержащее последовательно соединенные УПЧ, СФ, АД, НН и ОБН, а также ИКО, добавляются первый клапан (КЛ) и селектор “ангелов”, состоящий из второго КЛ, блока быстрого преобразования Фурье (БПФ), устройства отбора локальных максимумов (ОЛМ), доплеровского фильтра (ДФ) накопления, набора режекторных фильтров (РФ) и порогового устройства (ПУ), с соответствующими связями.
На фиг.2 приведена структурная схема заявляемого устройства, где обозначено:
1 – усилитель промежуточной частоты (УПЧ);
2 – согласованный фильтр (СФ);
3 – амплитудный детектор (АД);
4 – некогерентный накопитель (НН);
5 – устройство обнаружения эхосигналов (ОБН);
6 – индикатор кругового обзора (ИКО);
8, 9 – первый и второй клапаны (КЛ);
10 – блок быстрого преобразования Фурье (БПФ);
11 – устройство отбора локальных максимумов (ОЛМ);
12 – доплеровский фильтр накопления (ДФ);
13 – набор режекторных фильтров (РФ);
14 – пороговое устройство (ГТУ).
Как видно из фиг2, в состав заявляемого устройства входит канал обнаружения, состоящий из последовательно соединенных УПЧ 1, СФ 2, АД 3, НН 4, ОБН 5, КЛ 8 и ИКО 6, и селектор “ангелов”, состоящий из КЛ 9, блока БПФ 10, устройства ОЛМ 11, ДФ 12, набора РФ 13 и ПУ 14.
Вход 1 КЛ 9 соединен с выходом СФ 2, а вход 2 – с выходом ОБН 5. Выход КЛ 9 соединен со входами блоков БПФ 10 и ДФ 12. Выход блока БПФ 10 через устройство ОЛМ 11 подключен ко входам 2 ДФ 12 и набора РФ 13. ДФ 12 соединен своим выходом через набор РФ 13 и ПУ 14 со входом 2 КЛ 8. На вход 2 ПУ 14 подается постоянный порог ПП.
Набор РФ 13 состоит (фиг.3) из N РФ второго порядка, N устройств вычисления коэффициента подавления эхосигналов (ВКПЭ) и устройства отбора максимального коэффициента подавления (ОМКП), при этом число N (несколько десятков) пропорционально диапазону возможных частот Доплера “ангелов” и обратно пропорционально частоте повторения импульсов РЛС (Fп).
РФ и устройства ВКПЭ входами 1 подключены к выходу ДФ 12 (фиг.2). Входы 2 РФ соединены с выходом устройства ОЛМ 11 (фиг.2). Выходы РФ подключены ко входам 2 устройств ВКПЭ соответственно, а выходы устройств ВКПЭ соединены со входами устройства ОМКП, выходом подключенного ко входу 1 ПУ 14 (фиг.2).
Принцип работы заявляемого устройства основан на различии радиальных скоростей (доплеровских частот) целей и “ангелов”. Указанное различие позволяет производить селекцию “ангелов”, используя РФ с последующей оценкой коэффициента подавления (КП) на его выходе. При этом, располагая нули АЧХ РФ в диапазоне предполагаемых доплеровских частот эхосигналов “ангелов”, неизбежно получим хотя бы в одном РФ КП эхосигнала “ангела”, значительно превышающий КП эхосигнала цели. Таким образом, по величине КП можно произвести селекцию эхосигналов “ангелов”. Для достоверной селекции двухчастотных (или двухмодовых) “ангелов” предлагается использовать РФ второго порядка с двумя нулями в АЧХ.
Селектор “ангелов” включается при обнаружении цели или “ангела”, т.е. при подаче сигнала на вход 2 КЛ 9. При этом сигнал с выхода КЛ 9 поступает последовательно на блок БПФ 10, где путем операции БПФ находится межпериодный спектр S(f) анализируемого сигнала, и устройство ОЛМ 11, в котором отбираются частоты f1 и f2, соответствующие наибольшим значениям S(f1) и S(f2) в межпериодном спектре S(f).
ДФ 12, настроенный на частоту f1, осуществляет когерентное накопление импульсов, следующих через период вобуляции, и увеличивает отношение сигнал/шум. Это позволяет улучшить эффективность селекции эхосигналов “ангелов” порогового уровня.
Особенностью блока БПФ является то, что он формирует спектр сигнала в ограниченном частотном диапазоне (от 0 до Fп), который может быть меньше диапазона возможных частот Доплера “ангелов”. Поэтому в устройстве используется не один РФ, а несколько – набор РФ 13, на вход которых поступает накопленный сигнал с выхода ДФ 12. Нули АЧХ РФ из набора РФ 13 располагаются на частотах f01=f1+nFп и f02=f2+kFп, где n и k – целые числа. Количество РФ (а также устройств ВКПЭ) N выбирается максимально возможным, учитывая при этом, чтобы частоты f01 и f02 не выходили за диапазон возможных частот Доплера “ангелов”.
На выходе каждого РФ подсчитывается КП, в устройстве ОМКП выбирается наибольший – КПmax; который в ПУ 14 сравнивается с порогом ПП. Порог ПП выбирается исходя из значения максимального провала в АЧХ РФ в области доплеровских частот сигнала цели. При превышении КПmax порога принимается решение о наличии “ангела”. В противном случае принимается решение о наличии цели.
Принятое решение (“ангел” или цель) поступает на вход 2 КЛ 8. Если эхосигнал идентифицируется как “ангел”, то он бланкируется в КЛ 8 и не поступает на ИКО 6. Если эхосигнал идентифицируется как цель, то он проходит через КЛ 8 на ИКО 6.
В отличие от устройства-прототипа заявляемое устройство осуществляет защиту РЛС от эхосигналов “ангелов” не только порогового уровня, но и практически любой мощности (при условии, что этот эхосигнал был обнаружен). Так, при достаточно больших мощностях эхосигналов “ангелов” в устройстве-прототипе они превысят порог обнаружения и вызовут увеличение вероятности ложных тревог. А в заявляемом устройстве увеличение мощности эхосигналов “ангелов” приведет к увеличению максимального КП и, следовательно, к увеличению вероятности селекции “ангелов”. Бланкирование идентифицированных эхосигналов “ангелов” не допускает увеличения вероятности ложных тревог.
Если селектор “ангелов” выносит решение о том, что анализируемый сигнал – это эхосигнал цели, то он поступает на ИКО 6 без каких-либо изменений. Т.е. заявляемое устройство не вносит дополнительных потерь в обнаружение целей. Поэтому характеристики обнаружения малозаметных и малоразмерных целей в зоне “ангелов” при использовании заявляемого устройства будут лучше, чем при использовании устройства-прототипа, т.к. принцип работы устройства-прототипа основывается на уменьшении коэффициента усиления УПЧ в зоне “ангелов”, что приводит к потерям в обнаружении эхосигналов “слабых” целей.
Таким образом, введение первого клапана КЛ 8 в канал обнаружения, а также селектора “ангелов”, состоящего из второго КЛ 9, блока БПФ 10, устройства ОЛМ 11, ДФ 12, набора РФ 13 и ПУ 14, позволило обеспечить защиту РЛС от эхосигналов “ангелов” с произвольной амплитудой и увеличить в зоне “ангелов” вероятность обнаружения малозаметных и малоразмерных целей.
Литература
1. Справочник по радиолокации. Под ред. Сколника М., т.1, М.: Советское радио, 1976, с.256-263.
2. Справочник по радиолокации. Под ред. Сколника М., т.3, М.: Советское радио, 1979, с.158, 161, 179.
3. Бакулев П.А. Методы и устройства селекции движущихся целей. М.: Радио и связь, 1986.
4. Кук Ч., Бернфельд М. Радиолокационные сигналы. М.: Советское радио, 1971, с.13.
Формула изобретения
Устройство селекции мешающих отражений от оптически ненаблюдаемых объектов – “ангелов”, состоящее из канала обнаружения, включающего последовательно соединенные усилитель промежуточной частоты, согласованный фильтр, амплитудный детектор, некогерентный накопитель и устройство обнаружения эхосигналов, а также индикатор кругового обзора, отличающееся тем, что в канал обнаружения введен первый клапан, первый вход которого соединен с выходом устройства обнаружения эхосигналов, а выход – со входом индикатора кругового обзора, и селектор “ангелов”, включающий второй клапан, блок быстрого преобразования Фурье, устройство отбора локальных максимумов, доплеровский фильтр накопления, набор режекторных фильтров и пороговое устройство, причем первый вход второго клапана соединен с выходом согласованного фильтра, второй его вход – с выходом устройства обнаружения эхосигналов, а выход – со входами блока быстрого преобразования Фурье и доплеровского фильтра накопления, выход блока быстрого преобразования Фурье через устройство отбора локальных максимумов соединен со вторыми входами набора режекторных фильтров и доплеровского фильтра накопления, выход которого через набор режекторных фильтров и пороговое устройство, на второй вход которого подается постоянный порог, соединен со вторым входом первого клапана.
РИСУНКИ
Другие изменения, связанные с зарегистрированными изобретениями
Изменения:
Зарегистрирован переход исключительного права без заключения договора Дата и номер государственной регистрации перехода исключительного права: РП0000095 от 30.09.2009 Патентообладатель: Открытое акционерное общество “Федеральный научно-производственный центр “Нижегородский научно-исследовательский институт радиотехники” Прежний патентообладатель: Федеральное государственное унитарное предприятие “Нижегородский научно-исследовательский институт радиотехники”
Номер и год публикации бюллетеня: 29-2007
Извещение опубликовано: 10.11.2009 БИ: 31/2009
|
|