|
|
(21), (22) Заявка: 2006116348/28, 05.05.2006
(24) Дата начала отсчета срока действия патента:
05.05.2006
(46) Опубликовано: 20.10.2007
(56) Список документов, цитированных в отчете о поиске:
RU 2244942 С2, 20.01.2005. RU 2148817 С1, 10.05.2000. RU 2161300 С1, 27.12.2000. US 6392408 А, 21.05.2002. WO 9610193 А1, 04.04.1996. GB 2284898 А, 21.06.1995.
Адрес для переписки:
197348, Санкт-Петербург, Богатырский пр., 2, ЛенСпецСМУ, В.А. Заренкову
|
(72) Автор(ы):
Мусинский Николай Николаевич (RU), Заренков Вячеслав Адамович (RU), Заренков Дмитрий Вячеславович (RU), Дикарев Виктор Иванович (RU)
(73) Патентообладатель(и):
Мусинский Николай Николаевич (RU), Заренков Вячеслав Адамович (RU), Заренков Дмитрий Вячеславович (RU), Дикарев Виктор Иванович (RU)
|
(54) СПОСОБ ДИСТАНЦИОННОГО ОБНАРУЖЕНИЯ ВЕЩЕСТВА
(57) Реферат:
Изобретение относится к радиотехническим средствам, использующим магнитный резонанс для поиска и обнаружения преимущественно наркотиков и взрывчатых веществ, а также поляризационную селекцию и фазовый анализ для поиска и обнаружения наркотиков, упакованных в неметаллическую оболочку. Способ дистанционного обнаружения вещества заключается в дистанционном возбуждении электромагнитной волной магнитного резонанса в веществе и с последующим измерением частоты отклика, при этом возбуждающий электромагнитный сигнал излучают на частоте, много большей частоты магнитного резонанса вещества, и модулируют излучаемый возбуждающий электромагнитный сигнал по поляризации на частоте магнитного резонанса, а отклик регистрируют на частоте модуляции. Электромагнитное зондирование осуществляют плоскополяризованным сигналом и прием сигналов с правой и левой круговой поляризацией, отраженных от наркотического вещества, при этом отраженный сигнал с правой круговой поляризацией стробируют по времени, пропорциональному глубине залегания наркотического вещества, а отраженный сигнал с левой круговой поляризацией преобразуют по частоте с использованием напряжения гетеродина, выделяют напряжение промежуточной частоты, перемножают его с отраженным сигналом с правой круговой поляризацией, выделяют гармоническое напряжение на стабильной частоте гетеродина, измеряют сдвиг фаз между отраженными сигналами с правой и левой круговой поляризацией на стабильной частоте гетеродина, сравнивают измеренное значение сдвига фаз с эталонным значением и по результату сравнения принимают решение о наличии наркотического вещества в укрывающей среде. Технический результат: повышение достоверности обнаружения и разрешающей способности по глубине при определении местоположения наркотических веществ. 1 ил.
Предлагаемый способ относится к физическим измерениям, а именно к радиотехническим средствам, использующим магнитный резонанс для поиска и обнаружения преимущественно наркотиков и взрывчатых веществ в составе предъявленных для исследования веществ, а также поляризационную селекцию и фазовый анализ для поиска и обнаружения наркотиков, упакованных в неметаллическую оболочку и находящихся в укрывающих средах, например в брюшной полости человека, используемого для транспортировки наркотических средств, багаже, чемоданах, дипломатах, сумках и т.п., и может найти применение в аэропортах, таможенных терминалах, блокпостах, автопарковках и т.п.
Известны способы дистанционного обнаружения вещества (патенты РФ №№2.128.832, 2.148.817, 2.150.105, 2.161.300, 2.165.104, 2.179.716, 2.185.614, 2.226.686, 2.244.942, 2.249.202; патенты США №№4.756.866, 5.986.455, 6.194.898, 6.392.408; патенты Великобритании №№2.159.626, 2.254.923, 2.289.344, 2.293.885; Гречишкин В.Д. и др. Локальный ЯКР в твердых телах. Успехи физических наук. 1993, т.163, №10 и др.).
Из известных способов наиболее близким к предлагаемому является «Способ дистанционного обнаружения вещества» (патент РФ №2.244.942, G01R 33/20, 2003), который и выбран в качестве прототипа.
Указанный способ основан на дистанционном обнаружении вещества с использованием дистанционного возбуждения электромагнитной волной магнитного резонанса в веществе и с последующим измерением частоты отклика, по наличию которого делают заключение о наличии данного вещества, при этом возбуждающий электромагнитный сигнал излучают на частоте, много большей частоты магнитного резонанса подлежащего обнаружению вещества, и модулируют излучаемый возбуждающий электромагнитный сигнал по поляризации на частоте магнитного резонанса, а отклик регистрируют на частоте модуляции.
Однако известный способ не полностью реализует свои потенциальные возможности, он может использовать поляризационную селекцию и фазовый анализ для поиска и обнаружения наркотиков, упакованных в неметаллическую оболочку и находящихся в укрывающих средах, например в брюшной полости человека, используемого для транспортировки наркотических средств, багаже, сумках, чемоданах, дипломатах и т.п.
Технической задачей изобретения является расширение функциональных возможностей способа путем поиска и обнаружения наркотиков, упакованных в неметаллическую оболочку и находящихся в укрывающих средах, например в брюшной полости человека, используемого для транспортировки наркотических средств, багаже, сумках, чемоданах, дипломатах и т.п.
Поставленная задача решается тем, что согласно способа дистанционного обнаружения вещества с использованием дистанционного возбуждения электромагнитной волной магнитного резонанса в веществе и с последующим измерением частоты отклика, по наличию которого делают заключение о наличии данного вещества, при этом возбуждающий электромагнитный сигнал излучают на частоте, много большей частоты магнитного резонанса подлежащего обнаружению вещества, и модулируют излучаемый возбуждающий электромагнитный сигнал по поляризации на частоте магнитного резонанса, а отклик регистрируют на частоте модуляции, осуществляют электромагнитное зондирование предполагаемого места закладки наркотического вещества плоскополяризованным сигналом и прием сигналов с правой и левой круговой поляризацией, отраженных от наркотического вещества, находящегося в укрывающей среде, при этом отраженный сигнал с правой круговой поляризацией стробируют по времени, пропорциональном глубине залегания наркотического вещества, а отраженный сигнал с левой круговой поляризацией преобразуют по частоте с использованием напряжения гетеродина, выделяют напряжение промежуточной частоты, перемножают его с отраженным сигналом правой круговой поляризации, выделяют гармоническое напряжение на стабильной частоте гетеродина, измеряют сдвиг фаз между отраженными сигналами с правой и левой круговой поляризацией на стабильной частоте гетеродина, сравнивают измеренное значение сдвига фаз с эталонным значением и по результату сравнения принимают решение о наличии наркотического вещества в укрывающей среде.
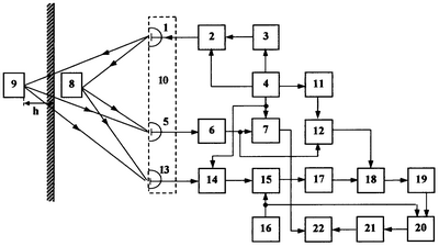
Структурная схема устройства, реализующего предлагаемый способ, представлена на чертеже.
Устройство содержит последовательно включенные генератор 3 импульсов, управляющий вход которого соединен с первым выходом синтезатора 4, передатчик 2, управляющий вход которого соединен с вторым выходом синхронизатора 4, и передающую антенну 1, последовательно включенные первую приемную антенну 5, первый приемник 6, управляющий вход которого соединен с третьим выходом синхронизатора 4, накопитель 7, управляющий вход которого соединен с третьим выходом синхронизатора 4, и блок регистрации 22, последовательно включенные вторую приемную антенну 13, второй приемник 14, управляющий вход которого соединен с третьим выходом синхронизатора 4, смеситель 15, второй вход которого соединен с выходом гетеродина 16, усилитель 17 промежуточной частоты, перемножитель 18, узкополосный фильтр 19, фазовый детектор 20, второй вход которого соединен с выходом гетеродина 16, и блок 21 сравнения, выход которого соединен с вторым входом блока 22 регистрации, последовательно подключенные к четвертому выходу синхронизатора 4 блок 11 временной задержки и ключ 12, второй вход которого соединен с выходом второго приемника 6, а выход подключен к второму входу перемножителя 18.
Передающая антенна 1, приемные антенны 5 и 13 образуют антенный блок 10. Кроме того, устройство содержит исследуемое вещество 8 и наркотическое вещество 9, помещенное в укрывающую среду. Передатчик 2, приемники 6 и 14 снабжены поляризаторами.
Предлагаемый способ реализуется следующим образом.
Устройство, реализующее предлагаемый способ, может работать в двух режимах.
Первый режим основан на дистанционном возбуждении электромагнитной волной магнитного резонанса в исследуемом веществе с последующим измерением частоты отклика.
Второй режим основан на электромагнитном радиолокационном зондировании плоскополяризованной волной предполагаемого места закладки наркотического вещества, упакованного в неметаллическую оболочку и размещенного в укрывающей среде, с последующим измерением сдвига фаз между двумя отраженными составляющими, которые в общем случае имеют эллиптическую поляризацию с противоположными направлениями вращения вектора электромагнитного поля.
В первом режиме импульсы с частотой заполнения W1 и {W1-W), формируемые в генераторе 3 импульсов, поступают на передатчик 2 и излучаются передающей антенной 1 в направлении исследуемого вещества 8. Последнее может располагаться, например, на теле человека под его одеждой. Передающая 1 и приемные 5, 13 антенны выполнены, например, в виде рупорных антенн, которые снабжены поляризаторами. Сигнал на передающую антенну 1 поступает с круглого волновода, на который в свою очередь с передатчика 2 подаются две ортогональные (по поляризации) составляющие, одна на частоте W1, а другая – на частоте (W1-W), в результате чего излучаемая антенной 1 волна будет модулирована по поляризации с частотой магнитного резонанса W.
Исследуемое вещество 8, облученное электромагнитной волной, содержащей составляющую на частоте магнитного резонанса W, возбуждается и по окончании импульса облучения излучает сигнал отклика на этой же частоте. Сигнал отклика принимается приемной антенной 5, содержащей четыре ферритовых стержня диаметром 8 мм и длиной 138 мм, при этом на стержни намотаны катушки индуктивности, содержащие по 20 витков и соединенные параллельно. Работой устройства управляет синхронизатор 4.
Сигнал с приемной антенны 5 поступает на приемник 6, на который поступает также опорное напряжение с выхода синхронизатора 4, запирающее приемник 6 на время излучения импульсов. С выхода приемника 6 сигнал поступает на накопитель 7, где сигналы постепенно накапливаются, что позволяет увеличить дальность от приемной антенны 5 до исследуемого вещества 8 в 2-3 раза. На накопитель 7 поступает также опорное напряжение, обеспечивающее синхронизацию накапливаемых импульсов.
В случае модуляции по поляризации излучаемого сигнала с частотой W, равной частоте магнитного резонанса исследуемого вещества 8, при частоте излучаемого сигнала W1>W, вектор напряженности магнитного поля излучаемого электромагнитного сигнала содержит составляющую:

Исследуемое вещество 8 будет активно взаимодействовать с магнитным полем на частоте W (Дудкин В.И., Пахомов Л.Н. Основы квантовой электроники. СПб-ГТУ, 2001). Поскольку частота W1 может быть выбрана достаточно высокой W1>W, то в этом случае реализации передающая антенна 1 может быть осуществлена, например, с помощью техники антенн сверхвысоких частот (СВЧ), на которую модулированный по поляризации сигнал поступает из круглого волновода, на который в свою очередь поступают две линейно-поляризованные ортогональные волны и , частоты которых равны соответственно W1 и (W1-W).
Переход на частоту возбуждающего излучения в диапазоне СВЧ позволяет обеспечить «дальнюю зону» для излучаемого электромагнитного сигнала уже при дальности в несколько десятков сантиметров. В результате на расстояниях порядка нескольких метров от излучателя обеспечивается уровень электромагнитного излучения, достаточный для возбуждения резонанса в веществе.
Во втором режиме генератор 3 импульсов формирует зондирующий сигнал
U1(t)=V1·Cos(W1·t+ 1), 0 t Т1,
где V1, W1, 1, T1 – амплитуда, несущая частота, начальная фаза и длительность сигнала (импульса),
который поступает на вход передатчика 2, где он приобретает плоскую поляризацию. Указанный сигнал через передающую антенну 1 излучается в направлении поверхности укрывающей среды, под которой может находиться наркотическое вещество 9.
Обнаружение наркотических веществ в окружающих средах осуществляется оператором путем перемещения антенного блока 10 над предполагаемым местом закладки наркотического вещества 9. При этом в укрывающей среде создается электромагнитное поле путем его электромагнитного зондирования. При достижении зондирующим сигналом наркотического вещества происходит его частичное отражение в сторону поверхности укрывающей среды.
Когда плоскополяризованная электромагнитная волна отражается от наркотического вещества 9, на которое воздействует внешнее магнитное поле Земли, то она разделяется на две независимые составляющие, которые в общем случае имеют эллиптическую поляризацию с противоположными направлениями вращения вектора электромагнитного поля. На частотах дециметрового диапазона обе составляющие имеют круговую поляризацию. Наркотическое вещество 9 имеет отличные от укрывающей среды электрические параметры (проводимость и диэлектрическую проницаемость).
Обе волны отражаются и распространяются с различными скоростями, вследствие чего фазовые соотношения между этими волнами изменяются. Это явление обычно называют эффектом Фарадея, из-за которого отраженный сигнал испытывает вращение плоскости поляризации. Угол поворота плоскости поляризации, который определяется разной скоростью распространения и отражения сигналов с правой и левой круговой поляризацией от наркотического вещества, находится из соотношения:
Z=1/2( п– л),
где п, л – фазовые запаздывания отраженных сигналов с правой (вращение плоскости поляризации по часовой стрелке) и левой (вращение плоскости поляризации против часовой стрелки) круговой поляризации соответственно.
Отраженный сигнал улавливается приемными антеннами 5 и 13. При этом приемная антенна 5 восприимчива только к отраженному сигналу с правой круговой поляризацией, а приемная антенна 13 – только к отраженному сигналу с левой круговой поляризацией.
На выходе приемников 6 и 14 образуются следующие сигналы:
Uп(t)=Vп·Cos[(W1± W)·t+ п],
Uл(t)=Vл·Cos[(W1± W)·t+ л], 0 t Т1,
где индексы “п” и “л” относятся соответственно к сигналам с правой и левой круговой поляризацией;
± W – нестабильность несущей частоты, обусловленная некогерентным отражением и другими дестабилизирующими факторами.
Сигнал Uп(t) с выхода приемника 6 через ключ 12 поступает на первый вход перемножителя 18. Чтобы измеряемая разность фаз соответствовала глубине h залегания наркотического вещества 9, перемножитель 18 стробируется по времени с помощью ключа 12, на управляющий вход которого поступают стробирующие импульсы, формируемые блоком 11 временной задержки. Последний управляется синхронизатором 4. Временная задержка импульсов определяется глубиной h залегания наркотического вещества 9 в укрывающей среде. При изменении глубины меняется и время задержки.
Отраженный сигнал Uл(t) с выхода приемника 14 поступает на первый вход смесителя 15, на второй вход которого подается напряжение гетеродина 16:
Uг(t)=Vг·Cos(Wг·t+ г).
На выходе смесителя 15 образуются напряжения комбинационных частот. Усилителем 17 выделяется напряжение промежуточной (разностной) частоты:
Uпр(t)=Vпр·Cos[(Wпр± W)·t+ пр], 0 t Т1,
где Vпр=1/2K1·Vл·Vг,
К1 – коэффициент передачи смесителя;
Wпр=W1-Wг – промежуточная частота;
пр= л– г,
которое поступает на второй вход перемножителя 18. На выходе последнего образуется гармоническое напряжение:
U2(t)=V2·Cos(Wг·t+ г+ ), 0 t Т1,
где V2=1/2К2·Vп·Vпр;
K2 – коэффициент передачи перемножителя;
 = п-фл – разность фаз между отраженными сигналами с правой и левой круговой поляризацией,
которое выделяется узкополосным фильтром 19 и поступает на первый вход фазового детектора 20, на второй вход которого подается напряжение гетеродина Uг(t). На выходе последнего образуется низкочастотное напряжение:
Uн( )=Vн·Cos ,
где Vн=1/2К3·V2·Vг;
К3 – коэффициент передачи фазового детектора, пропорциональное измеряемому сдвигу фаз  . Это напряжение сравнивается в блоке 21 сравнения с эталонным напряжением.
Uэ( э)=Vэ·Cos э,
где  э – неизменяемый фазовый сдвиг, получаемый при зондировании укрывающей среды при отсутствии наркотического вещества 9.
Сдвиг фаз  э определяется частотой зондирующего сигнала и электрическими параметрами укрывающей среды. Этот сдвиг фаз остается неизменным при зондировании укрывающейся среды в отсутствие наркотических средств.
Если Uн( ) Uэ( э), то в блоке 21 сравнения не формируется постоянное напряжение.
При Uн( )>Uэ( э) в блоке 21 сравнения формируется постоянное напряжение, которое поступает на второй вход блока 22 регистрации. Причем факт регистрации этого напряжения свидетельствует о наличии наркотического вещества в данной укрывающей среде.
Таким образом, предлагаемый способ по сравнению с прототипом и другими техническими решениями аналогичного назначения обеспечивает поиск и обнаружение наркотических веществ, упакованных в неметаллическую оболочку и находящихся в укрывающих средах, например в брюшной полости человека, используемого для транспортировки наркотических средств, багаже, чемоданах, дипломатах, сумках и т.п.
При этом предлагаемый способ позволяет повысить достоверность поиска и обнаружения и разрешающую способность по глубине при определении местоположения наркотических веществ, находящихся в укрывающих средах. Это достигается за счет использования поляризационной селекции и устранения неоднозначности фазовых измерений, что обеспечивается тем, что фазовые измерения осуществляются между отраженными сигналами с правой и левой круговой поляризацией, а не между зондирующим и отраженным сигналами. При этом фазовый сдвиг между отраженными сигналами с правой и левой круговой поляризацией измеряется на стабильной частоте Wг гетеродина. Поэтому процесс измерения фазового сдвига  инвариантен к нестабильности несущей частоты отраженного сигнала, возникающей при некогерентном отражении сигнала от наркотического вещества и других дестабилизирующих факторах, что позволяет повысить точность измерения фазового сдвига  и, следовательно, и точность определения местоположения наркотических веществ. Тем самым функциональные возможности способа расширены.
Формула изобретения
Способ дистанционного обнаружения вещества с использованием дистанционного возбуждения электромагнитной волной магнитного резонанса в веществе и с последующим измерением частоты отклика, по наличию которого делают заключение о наличии данного вещества, при этом возбуждающий электромагнитный сигнал излучают на частоте, много большей частоты магнитного резонанса подлежащего обнаружению вещества, и модулируют излучаемый возбуждающий электромагнитный сигнал по поляризации на частоте магнитного резонанса, а отклик регистрируют на частоте модуляции, отличающийся тем, что осуществляют электромагнитное зондирование предполагаемого места закладки наркотического вещества плоскополяризованным сигналом и прием сигналов с правой и левой круговой поляризацией, отраженных от наркотического вещества, находящегося в укрывающей среде, при этом отраженный сигнал с правой круговой поляризацией стробируют по времени, пропорциональному глубине залегания наркотического вещества, а отраженный сигнал с левой круговой поляризацией преобразуют по частоте с использованием напряжения гетеродина, выделяют напряжение промежуточной частоты, перемножают его с отраженным сигналом правой круговой поляризацией, выделяют гармоническое напряжение на стабильной частоте гетеродина, измеряют сдвиг фаз между отраженными сигналами с правой и левой круговой поляризацией на стабильной частоте гетеродина, сравнивают измеренное значение сдвига фаз с эталонным значением и по результату сравнения принимают решение о наличии наркотического вещества в укрывающей среде.
РИСУНКИ
MM4A – Досрочное прекращение действия патента СССР или патента Российской Федерации на изобретение из-за неуплаты в установленный срок пошлины за поддержание патента в силе
Дата прекращения действия патента: 06.05.2008
Извещение опубликовано: 10.06.2010 БИ: 16/2010
|
|