|
(21), (22) Заявка: 2005109814/28, 05.04.2005
(24) Дата начала отсчета срока действия патента:
05.04.2005
(43) Дата публикации заявки: 10.09.2006
(46) Опубликовано: 20.10.2007
(56) Список документов, цитированных в отчете о поиске:
SU 1796937 A1, 23.02.1993. RU 2003118757/28 A, 20.12.2004. RU 2184945 C1, 10.07.2002. SU 1631329 A1, 28.02.1991.
Адрес для переписки:
440026, г.Пенза, ул. Лермонтова, 3, ООО “НИИВТ-Русичи-Фарма”
|
(73) Патентообладатель(и):
Общество с ограниченной ответственностью “НИИВТ-Русичи-Фарма” (RU)
|
(54) ВОЛОКОННО-ОПТИЧЕСКИЙ ДАТЧИК ДАВЛЕНИЯ
(57) Реферат:
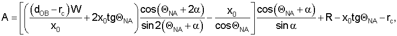
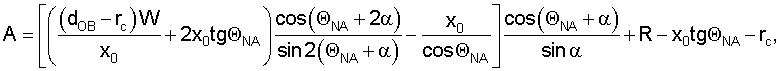
Сущность: датчик содержит корпус, прокладку, на которую опирается втулка, рабочий и дополнительный жгуты подводящих и отводящих оптических волокон, общие торцы которых закреплены во втулке. Мембрана радиусом R с зеркальной поверхностью установлена относительно общего торца рабочего жгута с зазором x0. Общий торец дополнительного жгута расположен напротив зеркальной поверхности мембраны с зазором x0. Оптические оси подводящих и отводящих оптических волокон дополнительного жгута расположены относительно оптических осей подводящих и отводящих оптических волокон рабочего жгута соответственно на расстоянии А, определяемом выражением

где rc – радиус сердцевины оптического волокна, – максимальный угол прогиба мембраны, W – максимальный прогиб центра мембраны, x0=dOB/2tg NA, где dOB – диаметр оптического волокна, NA – апертурный угол оптического волокна. Технический результат изобретения заключается в уменьшении температурной погрешности, обусловленной изменениями геометрических параметров и упругих свойств металлической мембраны при изменении температуры окружающей или измеряемой среды. 3 ил.
Изобретение относится к контрольно-измерительной технике и может быть использовано в различных отраслях народного хозяйства и, в первую очередь, для измерения давлений в условиях воздействия внешних дестабилизирующих факторов на изделиях ракетно-космической техники.
Недостатком данных датчиков является высокая температурная погрешность, обусловленная изменением геометрических параметров датчика. Данный недостаток устранен в ВОДД, содержащем корпус, подводящие и отводящие оптические волокна, относительно общего торца которых с зазором установлена стаканообразная мембрана с зеркальной отражающей поверхностью, штуцер, выполненный за одно целое с мембраной, прокладку, общие торцы подводящих и отводящих оптических волокон закреплены во втулке, поверхность которой, обращенная к мембране, опирается на торцевую поверхность прокладки, другая торцевая поверхность прокладки опирается на штуцер, причем внутренние размеры прокладки больше внешних соответствующих размеров мембраны (заявка на изобретение №2003118757, МПК6 G01L 19/04. Волоконно-оптический датчик давления).
Недостатком этого датчика является высокая погрешность, обусловленная неинформативными изгибами оптических волокон при воздействии внешних механических факторов, например при сборке датчиков, при испытаниях, при эксплуатации, которые ведут к существенным неинформативным потерям оптического сигнала при его прохождении по оптическим волокнам.
Известно устройство, содержащее отражающую поверхность, источник и приемники излучения, жгут подводящих и отводящих оптических волокон, в котором указанный выше недостаток устранен за счет введения дополнительного жгута подводящих и отводящих оптических волокон (Зак Е.А. Волоконно-оптические преобразователи с внешней модуляцией. – М.: Энергоатомиздат, 1989. – с.93).
Недостаток этого устройства заключается в том, что если зеркальная поверхность расположена на мембране, то останется неисключенной температурная погрешность, обусловленная изменениями геометрических параметров и упругих свойств металлической мембраны при изменении температуры окружающей или измеряемой среды.
Таким образом, в прототипе не достигается технический результат, выраженный в высокой точности измерения из-за влияния на результат измерения изменения геометрических и упругих параметров мембраны при изменении температуры окружающей и измеряемой среды.
Предлагается новая конструкция волоконно-оптического датчика отражательного типа, лишенная указанного недостатка.
Указанный технический результат достигается тем, что в известном волоконно-оптическом датчике давления, содержащем корпус, прокладку, на которую опирается втулка, рабочий и дополнительный жгуты подводящих и отводящих оптических волокон, общие торцы которых закреплены во втулке, мембрану радиусом R с зеркальной поверхностью, установленную относительно общего торца рабочего жгута с зазором x0, общий торец дополнительного жгута подводящих и отводящих оптических волокон расположен напротив зеркальной поверхности мембраны с зазором х0, оптические оси подводящих и отводящих волокон дополнительного жгута расположены относительно оптических осей подводящих и отводящих волокон рабочего жгута соответственно на расстоянии А, определяемом выражением

где rс– радиус сердцевины оптического волокна,
– максимальный угол прогиба мембраны,

где W- максимальный прогиб центра мембраны,
x0=dOB/2tg NA, (3)
где dOB – диаметр оптического волокна,
NA – апертурный угол оптического волокна.
В результате поиска по источникам патентной и технической информации не обнаружены устройства с совокупностью существенных признаков, совпадающих с предполагаемым изобретением и обеспечивающим заявляемый технический результат.
Таким образом, предлагаемое изобретение представляет собой техническое решение задачи, являющееся новым, промышленно применимым и обладающим изобретательским уровнем, т.е. предлагаемое изобретение отвечает критериям патентоспособности.
На фигуре 1 приведена упрощенная конструкция предлагаемого датчика, на фигурах 2 и 3 – геометрические построения для определения конструктивных параметров волоконно-оптического преобразователя давления.
Датчик содержит рабочий жгут подводящих 1 и отводящих 2 оптических волокон, общий торец которых закреплен во втулке 3 на расстоянии x0, определяемом выражением (3), от отражающей поверхности мембраны 4, выполненной за одно целое со штуцером 5. Начальный зазор между мембраной и общим торцом рабочего жгута оптических волокон выставляется с помощью прокладки 6. Втулка 3 жестко закреплена посредством прокладки 6 и корпуса 7 относительно штуцера 5. Во втулке 3 на расстоянии x0 от отражающей поверхности мембраны 4, определяемом выражением (3), жестко закреплен общий торец дополнительного жгута подводящих 8 и отводящих 9 оптических волокон. Оптические оси подводящих и отводящих оптических волокон дополнительного жгута расположены относительно оптических осей подводящих и отводящих оптических волокон рабочего жгута на расстоянии А соответственно, определяемом выражением (1).
Датчик работает следующим образом.
Световой поток Ф0 от источника излучения ИИ 10 по подводящим оптическим волокнам ПОВ 1 и 8 направляется к отражающей поверхности мембраны 4. Под действием давления мембрана 4 прогибается. Интенсивность потоков, отраженных от нее и поступающих в отводящие оптические волокна OOB 2 и 9, изменяется.
В первом измерительном канале (в зоне рабочего жгута волокон) происходят следующие преобразования (фиг.2).
Лучи света от ПОВ 1 проходят путь Xi до зеркала и путь Хi в обратном направлении до OOB 2 под апертурным углом NA к оптической оси OB. При этом в плоскости OOB 2 наблюдается освещенная кольцевая зона.
Так как площадь светового пятна SOTP1 на отражающей поверхности мембраны ничтожно мала в сравнении с площадью мембраны, то можно с достаточной точностью считать, что под действием давления Р центральная часть поверхности мембраны перемещается перпендикулярно оптической оси волоконно-оптического преобразователя давления.
Таким образом, под действием измеряемого давления Р зеркальная поверхность мембраны 4 прогибается на величину W и перемещается в направлении X. При этом изменяется положение кольцевой зоны относительно OOB 2 в направлении -Z1, которое ведет к изменению площади SПР1 приемного торца OOB 2, освещенной отраженным от зеркала световым потоком.
Таким образом, происходят следующие преобразования:

Во втором измерительном канале (в зоне дополнительного жгута волокон) происходят следующие преобразования (фиг.2 и 3).
Лучи света от ПОВ 8 проходят путь до зеркальной поверхности мембраны и путь в обратном направлении до OOB 9 под апертурным углом NA к оптической оси OB. При этом в плоскости OOB 9 наблюдается освещенная кольцевая зона.
Под действием измеряемого давления Р зеркальная поверхность мембраны 4, расположенная вблизи защемления, прогибается на угол . При этом изменяется положение освещенной кольцевой зоны относительно OOB 9 в направлении +Z2, которое ведет к изменению площади SПР2 приемного торца ООВ 9, освещенной отраженным от зеркала световым потоком.
Так как прогиб центральной части мембраны W небольшой и, соответственно, угол ничтожно мал, то можно с достаточной точностью считать, что угол определяется выражением (2).
Таким образом, происходят следующие преобразования:

Отраженный световой поток Ф1(P), изменяющийся в соответствии с законом изменения контролируемого давления Р, по отводящим оптическим волокнам 2 поступает на рабочий приемник излучения РПИ 11, где формируется электрический сигнал I1(Р). Отраженный световой поток Ф2(Р), изменяющийся в соответствии с законом изменения контролируемого давления Р, по отводящим оптическим волокнам 9 поступает на рабочий приемник излучения РПИ 12, где формируется электрический сигнал I2(P).
Электрические I1 и I2, поступают на вход блока преобразования информации (БПИ), где формируется разность сигналов I1(Р)-I2(Р).
При изменении температуры окружающей или измеряемой среды изменяются геометрические параметры мембраны: толщина h и радиус R, а также упругие свойства мембраны, что ведет к изменению модуля упругости материала мембраны Е. Для уменьшения температурной погрешности датчика, обусловленной перечисленными факторами повышения чувствительности преобразования, необходимо сформировать отношение разности сигналов I1(P) и I2(P) к их сумме: I1(P)-I1(P)/I1(P)+I2(P).
Данная операция позволяет также компенсировать изменения мощности излучения светодиода и неинформативные потери светового потока при изгибах оптических волокон, так как их отношение не зависит от указанных факторов.
Для того чтобы осуществлялось дифференциальное преобразование оптических сигналов необходимо, чтобы |-z1i|=|+z2i|.
Значения Z1 и Z2 находим из геометрических построений, приведенных на фигуре 3.
Рассмотрим OPN и OFL:
|ОР|=|PN| и |OF|=|FL| треугольники являются равносторонними, тогда:

|РК|=х0,; |FK’|=x0-W; |ON|=dOB-rc,; |OL|=dOB-rc-z1i.
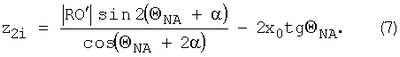
Подставляя эти выражения в формулу (4), получим равенство:

откуда

Выразим нужные для расчета углы через и NA. Рассмотрим RBA’ и RBS: так как A’B BS и A’R RS, RB – общая сторона, то в прямоугольном треугольнике RA’S: RA’S=90- ; BSR= ; RA’B= .
Так как RBS=90+ NA, то BRS=90- NA– .
Рассмотрим O’RQ: O’RQ= ;
где – угол между перпендикуляром к прогнутой мембране и падающим на мембрану лучом;
=180-(90- NA)-(90- )= NA+ .
Рассмотрим RQM: RQM= ,
где – угол между перпендикуляром к прогнутой мембране и горизонтальной плоскостью;
=180-(90- )=90+ .
Находим угол между отраженным лучом и горизонтальной плоскостью:
=180- – =180- NA– -90- =90- NA-2 .
Рассмотрим UEM: UEM= ,
где – угол между отраженными от мембраны лучами в крайних ее положениях;
=180-(90+ NA)- =180-90- NA-90+ NA+2 =2 .
Рассмотрим O’RM: 0’RM=2 ; RO’M=90- ; O’MR= ;

где b – расстояние от края сердцевины оптического волокна до основания перпендикуляра опущенного на мембрану в отсутствие ее прогиба.
Подставляя последнее равенство в предыдущую формулу, получаем зависимость:

Из полученной формулы выражаем z2i подставляя значения углов и :

Выразим b через х0 и NA:

Подставляя последнее равенство в формулу (6), получаем зависимость:

|RO’|=||O’B|-|RB|. (8)
Находим |O’B|:

Для дальнейших рассуждений удобно расстояние BS от защемления мембраны до точки падения луча на мембрану обозначить через m.
Находим m:
m=R-A-b-rc,
где А – расстояние между двумя парами волокон.
Подставляем значение b в полученное выражение, тогда:
m=R-A-(x0tg NA+rc). (10)
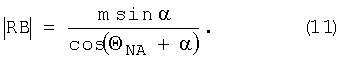
Находим |RB|. Рассмотрим RBS и ARB:



Окончательно с учетом выражений (10) и (11):

Подставив в формулу (8) выражения (12) и (9), получим:

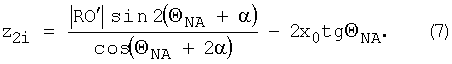
Подставляя равенство (12) в формулу (7), получаем зависимость:

Для нахождения расстояния А, при котором осуществляется дифференциальное преобразование сигналов, необходимо, чтобы |z1i|=|z2i|. Для этого приравниваем выражения (5) и (14):

получим

Для круглой мембраны

где – коэффициент Пуассона.
Тогда с учетом выражения (15) формула (14) примет вид:
 
Условие A

В качестве примера рассмотрим волоконно-оптический преобразователь давления с круглой мембраной и оптическими волокнами TXO.735.123ТУ с параметрами: диаметр оптического волокна dOB=500 мкм, dC=200 мкм, апертурный угол NA=12°.
Проведем приближенные вычисления для указанного примера, приняв x0=930 мкм, получим:

930 мкм > 550 мкм.
Вывод: Условие выполняется, следовательно, существует такое расстояние А, при котором возможно дифференциальное изменение оптических сигналов в рабочем и дополнительном измерительных каналах.
Технический результат предлагаемого изобретения следующий.
Предложенная конструкция датчика обеспечивает дифференциальную обработку оптических сигналов, которая позволяет существенно снизить температурную погрешность, обусловленную изменениями геометрических параметров и упругих свойств металлической мембраны при изменении температуры окружающей или измеряемой среды. Кроме того, достигается более линейная функция преобразования, значительно снижается влияние на точность измерения неинформативных параметров внешней среды и изгибов волоконно-оптического кабеля, снижаются погрешности, обусловленные изменением мощности источников излучения.
При этом данное техническое решение не ведет к существенному усложнения конструктивного и схемного решения датчика, соответственно, не ведет к лишним материальным затратам.
Формула изобретения
Волоконно-оптический датчик давления, содержащий корпус, прокладку, на которую опирается втулка, рабочий и дополнительный жгуты подводящих и отводящих оптических волокон, общие торцы которых закреплены во втулке, мембрану радиусом R с зеркальной поверхностью, установленную относительно общего торца рабочего жгута с зазором x0, отличающийся тем, что общий торец дополнительного жгута подводящих и отводящих оптических волокон расположен напротив зеркальной поверхности мембраны с зазором х0, оптические оси подводящих и отводящих волокон дополнительного жгута расположены относительно оптических осей подводящих и отводящих волокон рабочего жгута соответственно на расстоянии А, определяемом выражением

где rc – радиус сердцевины оптического волокна;
– максимальный угол прогиба мембраны,

где W – максимальный прогиб центра мембраны;
x0=dOB/2tg NA,
где dOB – диаметр оптического волокна;
NA – апертурный угол оптического волокна.
РИСУНКИ
MM4A – Досрочное прекращение действия патента СССР или патента Российской Федерации на изобретение из-за неуплаты в установленный срок пошлины за поддержание патента в силе
Дата прекращения действия патента: 06.04.2008
Извещение опубликовано: 27.05.2010 БИ: 15/2010
|