|
(21), (22) Заявка: 2005130853/28, 04.10.2005
(24) Дата начала отсчета срока действия патента:
04.10.2005
(43) Дата публикации заявки: 10.04.2007
(46) Опубликовано: 20.10.2007
(56) Список документов, цитированных в отчете о поиске:
Б.А.Карасюк, О.Г.Семенов, А.Г.Шереметьев и др. Световодные датчики, М.: Машиностроение, 1990. SU 1825977 A1, 07.07.1993. SU 1374046 A1, 15.02.1988. JP 62242805 A, 23.10.1987.
Адрес для переписки:
440026, г.Пенза, ул. Лермонтова, 3, ООО “НИИВТ-Русичи-Фарма”
|
(73) Патентообладатель(и):
Общество с ограниченной ответственностью “НИИВТ-Русичи-Фарма” (RU)
|
(54) ВОЛОКОННО-ОПТИЧЕСКИЙ ПРЕОБРАЗОВАТЕЛЬ ПЕРЕМЕЩЕНИЯ
(57) Реферат:
Изобретение относится к контрольно-измерительной технике и может быть использовано в датчиках физических величин (давления, перемещения, ускорения, параметров вибрации и т.п.). Волоконно-оптический преобразователь перемещения, содержащий подводящие и отводящие оптические волокна, относительно общего торца которых на расстоянии Х0 установлена перемещающаяся в соответствии с измеряемым перемещением Z поверхность с зеркальной и поглощающей частями, отличается тем, что

где dОВ, NA – внешний диаметр и апертурный угол оптического волокна соответственно, зеркальная часть выполнена в виде горизонтальной полосы шириной b, равной диаметру сердцевины dc оптического волокна и верхняя граница которой установлена относительно оптической оси подводящего оптического волокна при Z=0 на расстоянии H=(dOB/2-dC/2). Технический результат заключается в упрощении технологии изготовления, в повышении надежности, в уменьшении габаритов устройства. 4 ил.
Изобретение относится к контрольно-измерительной технике и может быть использовано при измерении давления, перемещения, ускорения, параметров вибрации и т.п. в различных отраслях народного хозяйства и, в первую очередь, для измерения физических величин в условиях воздействия внешних дестабилизирующих факторов на изделиях ракетно-космической техники.
Недостатками данных датчиков являются:
– отсутствие возможности измерения перемещения, перпендикулярного общему торцу оптических волокон,
– сложность процедуры настройки датчика, предполагающей изменение начального расстояния между мембраной и общим торцом оптических волокон для обеспечения требуемой чувствительности преобразования и линейной функции преобразования.
Более близким по технической сущности к предлагаемому изобретению является устройство, в котором под воздействием переменного акустического поля свет модулируется тонкой шторкой из титановой фольги, приоткрепленной к гибкой мембране. Свет от светодиода поступает через разветвитель по волоконному световоду в полость, где расположена шторка, модулированный свет по другому световоду направляется на фотодиод [Световодные датчики/ Б.А.Красюк, О.Г.Семенов, А.Г.Шереметьев и др. – М.: Машиностроение, 1990. – С.15].
Недостатками этого устройства являются низкая чувствительность преобразования из-за потерь светового потока в процессе передачи его от подводящих оптических волокон к отводящим оптическим волокнам в пределах апертурного угла оптических волокон. Расположение оптических волокон с двух сторон относительно шторки существенно увеличивает габаритные размеры устройства. Кроме того, данное устройство требует точной юстировки оптических волокон относительно друг друга и шторки, что снижает надежность устройства, усложняет технологию его изготовления и, соответственно повышает его стоимость.
Таким образом, в прототипе не достигается технический результат, выраженный в высоких технических и эксплуатационных характеристиках: простой технологии изготовления, высокой надежности, малых габаритах, низкой стоимости. Предлагается новая конструкция волоконно-оптического преобразователя перемещения, лишенная перечисленных выше недостатков.
Указанный технический результат достигается тем, что в известном волоконно-оптическом преобразователе перемещения, содержащем подводящий и отводящие оптические волокна, относительно общего торца которых на расстоянии Х0 установлена перемещающаяся в соответствии с измеряемым перемещением Z поверхность с зеркальной и поглощающей частями, расстояние X0 определяется выражением

где dOB, NA – внешний диаметр и апертурный угол оптического волокна соответственно,
зеркальная часть выполнена в виде горизонтальной полосы шириной b, равной диаметру сердцевины dC оптического волокна и верхняя граница которой установлена относительно оптической оси подводящего оптического волокна при Z=0 на расстоянии H, определяемом выражением

В результате поиска по источникам патентной и технической информации не обнаружены способы и устройства с совокупностью существенных признаков, совпадающих с предлагаемым изобретением и обеспечивающих заявляемый технический результат.
Таким образом, предлагаемое изобретение представляет собой техническое решение задачи, являющееся новым, промышленно применимым и обладающим изобретательским уровнем, т.е. предлагаемое изобретение отвечает критериям патентоспособности.
На фигуре 1 приведена расчетно-конструктивная схема предлагаемого преобразователя перемещения, на фигуре 2 – поясняющие геометрические построения, на фигуре 3 – упрощенная конструктивная схема одного из вариантов волоконно-оптического датчика давления, включающего предлагаемый преобразователь перемещения, на фигуре 4 – пример расчетных зависимостей K=f(Z) для перемещения аттенюатора с отражающей поверхностью в диапазоне Z=0…200 мкм для разных Х0 при использовании оптических волокон с параметрами NA=12 град, rC=100 мкм, dC=500 мкм.
Волоконно-оптический преобразователь перемещения содержит подводящее оптическое волокно ПОВ 1, отводящее оптическое волокно OOB 2, аттенюатор 3, имеющий поверхность с зеркальной 4 и поглощающей 5 частями (фигура 1). Аттенюатор 3 расположен на расстоянии Х0, определяемом выражением (1), относительно общего торца подводящих и отводящих оптических волокон ПОВ 1 и OOB 2.
Зеркальная часть 4 выполнена в виде горизонтальной полосы шириной b, равной диаметру сердцевины dC оптического волокна, и верхняя граница которой установлена относительно оптической оси подводящего оптического волокна при Z=0 на расстоянии H, определяемом выражением (2) в соответствии с построениями, приведенными на фигуре 2.
Волоконно-оптический преобразователь перемещения работает следующим образом.
Световой поток Ф0 от подводящего оптического волокна ПОВ1 проходит в прямом направлении расстояние X0 до аттенюатора и расстояние Х0 в обратном направлении до отводящего оптического волокна OOB 2 под апертурным углом NA к оптической оси волокна (см. фиг.1). При этом в плоскости приемного торца отводящего оптического волокна OOB 2 наблюдается освещенная кольцевая зона SA-A шириной h=(3) и (4) соответственно


где Х0 – расстояние от аттенюатора до оптических волокон 1 и 2,
rC – радиус сердцевины волокон.
В нейтральном положении, когда измеряемый параметр соответствует начальной точке диапазона измерения при Z=0, аттенюатор установлен относительно общего торца оптических волокон таким образом, чтобы освещенная кольцевая зона SK полностью перекрывала поверхность SOOB отводящего оптического волокна.
Под действием измеряемой физической величины (например, давления) аттенюатор 3 перемещается на значение Z относительно ПОВ 1 и OOB 2, что ведет к изменению интенсивности светового потока Ф(Z), поступающего далее по отводящему волокну OOB 2 на приемник излучения (см. фиг.4).
При изменении измеряемого параметра аттенюатор перемещается в направлении Z на Z=Zi. При этом изменяется освещенная отраженным световым потоком площадь SПР приемного торца OOB, т.е. SПР=f(Z).
Задача управления световым потоком в пространстве волоконно-оптического преобразователя перемещения состоит в том, чтобы обеспечить необходимые функцию преобразования Ф(Z), динамический диапазон изменения оптического сигнала в диапазоне измерения и глубину модуляции оптического сигнала.
Функция преобразования Ф(Z) в наиболее общем случае имеет вид

где K(Z) – коэффициент передачи тракта “ПОВ – поверхность аттенюатора – ООВ”;
Ф0 – световой поток, введенный в зону измерения.
Очевидно, что при ФО=const поведение функции преобразования Ф(Z) будет оцениваться по поведению функции передачи оптического тракта, то есть коэффициента K(Z), в диапазоне измерения.
Рассмотрим, каким образом можно управлять поведением функции преобразования K=f(Z) с учетом геометрических построений, приведенных на фиг.1. Имеем

где – коэффициент отражения зеркальной поверхности аттенюатора;
суммарная площадь приемных торцов OOB, освещенная отраженным от зеркала световым потоком; i=1, 2 – количество ООВ;
SK – площадь кольцевой зоны в плоскости приемных торцов OOB;

где RВНЕШ, RВНУТ – внешний и внутренний диаметры кольцевой освещенной зоны в плоскости OOB.
Подставив выражения (3) и (4) в (7), получим:

где X0=D/2tg NA.
При D=dOB
X0=dOB/2tg NA;
тогда SK=4 rС(dOB-rС).
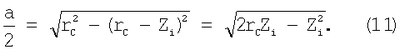
SПР представляет собой круговой сектор, образованный взаимным пересечением круга радиусом rC и прямой АВ – хорды длиной а, соответствующей границе раздела отражающей и поглощающей поверхностей аттенюатора.
В соответствии с фигурой 1 имеем

Но , соответственно

где

С учетом выражений (10) и (11) выражение (9) примет вид


Коэффициент преобразования K(Z) зависит от расстояния Х0 от торца OB до зеркальной отражающей поверхности и от расстояния D между оптическими осями ПОВ и OOB.
Графики зависимости K=f(Z) для перемещения аттенюатора с отражающей поверхностью в диапазоне Z=0…200 мкм и rC=100 мкм для разных Х0 приведены на фигуре 4. Зависимость достаточно линейная. Некоторая нелинейность наблюдается на участках 0…40, 160…200 мкм, поэтому диапазон перемещения аттенюатора относительно OB ограничен участком 40…160 мкм, то есть приблизительно равен 120 мкм.
Изменяя параметры D, Х0, можно целенаправленно управлять поведением функции K=f(Z). Управление конструктивными параметрами волоконно-оптического преобразователя перемещения в данном случае обеспечивает максимальную чувствительность преобразования при максимально достижимых линейности функции преобразования и глубине модуляции оптического сигнала.
Относительное изменение интенсивности светового потока Ф/Ф0=f(Z) в диапазоне измерения будет носить аналогичный характер.
На фигуре 4 в качестве примера приведена упрощенная конструкция волоконно-оптического датчика давления, в котором используется предлагаемый преобразователь.
Датчик содержит подводящее оптическое волокно ПОВ 1, отводящее оптическое волокно OOB 2, аттенюатор 3, имеющий поверхность с зеркальной 4 и поглощающей 5 частями и жестко закрепленный на мембране 6. Мембрана 6 закреплена в штуцере 7, например, с помощью сварки. Оптические волокна жестко закреплены в корпусе 8 на расстоянии Х0, определяемом выражением (4), относительно рабочей поверхности аттенюатора 3. Для осуществления процесса юстировки оптических волокон относительно отражающей поверхности аттенюатора в конструкцию введена прокладка 9 переменной толщины. Корпус 8, прокладка 9 и штуцер 7 соединены между собой жестко, например, с помощью сварки.
Датчик работает следующим образом.
От источника излучения 10 (например, светодиода) световой поток Ф0 по подводящему оптическому волокну ПОВ 1 проходит расстояние Х0 в направлении к аттенюатору 3. Отраженный от зеркальной поверхности 4 световой поток проходит расстояние Х0 в обратном направлении до отводящего оптического волокна OOB 2. Под действием измеряемого давления Р прогибается мембрана 6, при этом аттенюатор 3 перемещается на значение Z относительно ПОВ 1 и OOB 2, что ведет к изменению интенсивности светового потока Ф(Z), поступающего по отводящему волокну OOB 2 на светочувствительную площадку приемника излучения 11 (например, фотодиода). Приемник излучения преобразует оптический сигнал в электрический.
Технический результат предлагаемого изобретения следующий.
Предложенный волоконно-оптический преобразователь перемещения имеет простую, надежную конструкцию, не требует сложных технологических, юстировочных и измерительных операций при изготовлении оптической части преобразователя, имеет дешевую компонентную базу: многомодовые оптические волокна. Соответственно, предлагаемое техническое решение не ведет к лишним материальным затратам.
Формула изобретения
Волоконно-оптический преобразователь перемещения, содержащий подводящие и отводящие оптические волокна, относительно общего торца которых на расстоянии Х0 установлена перемещающаяся в соответствии с измеряемым перемещением Z поверхность с зеркальной и поглощающей частями, отличающийся тем, что где dOB, NA – внешний диаметр и апертурный угол оптического волокна соответственно, зеркальная часть выполнена в виде горизонтальной полосы шириной b, равной диаметру сердцевины dC оптического волокна, и верхняя граница которой установлена относительно оптической оси подводящего оптического волокна при Z=0 на расстоянии H=(dOB/2-dC/2).
РИСУНКИ
MM4A – Досрочное прекращение действия патента СССР или патента Российской Федерации на изобретение из-за неуплаты в установленный срок пошлины за поддержание патента в силе
Дата прекращения действия патента: 05.10.2007
Извещение опубликовано: 20.05.2009 БИ: 14/2009
|