|
(21), (22) Заявка: 2006102199/02, 26.01.2006
(24) Дата начала отсчета срока действия патента:
26.01.2006
(46) Опубликовано: 20.10.2007
(56) Список документов, цитированных в отчете о поиске:
КУДРЯВЦЕВ Н.Т. Электрохимические покрытия металлами.-М.: Химия. 1979, с.174-180. SU 263351 A1, 04.11.1970. SU 1206342 A1, 23.01.1986. GB 417419 A, 04.10.1934. US 2893934 А, 07.07.1959.
Адрес для переписки:
301670, Тульская обл., г. Новомосковск, ул. Северодонецкая, 4, кв.142, Г.И. Медведеву
|
(72) Автор(ы):
Медведев Георгий Иосифович (RU), Макрушин Николай Анатольевич (RU), Хамуньела Вилхо (RU)
(73) Патентообладатель(и):
Медведев Георгий Иосифович (RU)
|
(54) СПОСОБ ЭЛЕКТРООСАЖДЕНИЯ КАДМИЯ
(57) Реферат:
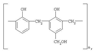
Изобретение относится к гальваностегии, в частности к электрохимическому осаждению кадмия, и может быть использовано в различных отраслях промышленности для покрытия деталей с целью защиты их от коррозии. Способ включает электроосаждение из электролита, содержащего, г/л: сульфат кадмия 40-60, серную кислоту 20-40, сульфат натрия 40-60, блескообразующую добавку 3-4, имеющую структурную формулу
при этом электроосаждение проводят при температуре электролита 15-30°С, катодной плотности тока 9-12 А/дм2 с выходом по току 85-98% для получения покрытий с выровненной поверхностью при высоких плотностях тока. 1 табл.
Изобретение относится к гальваностегии, в частности к электрохимическому осаждению кадмия, и может быть использовано в различных отраслях промышленности для покрытия деталей с целью защиты их от коррозии.
Для электроосаждения кадмия известно большое количество электролитов. Для покрытия деталей простой конфигурации, как правило, используются кислые электролиты кадмирования.
Из кислых электролитов довольно широкое применение находят сульфатные электролиты, содержащие в своем составе различные органические вещества [1, 2]. Наиболее близким к изобретению относится сульфатный электролит кадмирования следующего состава [2, с.178], г/л:
– Сульфат кадмия – 40-60
– Серная кислота – 40-60
– Сульфат натрия – 40-60
– Препарат ОП-10 – 2-5
Режим осаждения:
– Температура, °С – 15-50
– Катодная плотность тока, А/дм2 – 1-6
– Выход по току, % – 95-98
Недостатки этого электролита:
1. Получаются матовые покрытия.
2. Низкие рабочие плотности тока.
3. Электролит не обладает выравнивающей способностью.
Цель изобретения – разработка электролита кадмирования, который позволял бы получать блестящие покрытия с выровненной поверхностью при высоких плотностях тока.
Поставленная цель достигается тем, что в электролит кадмирования, содержащий сульфат кадмия, серную кислоту, сульфат натрия, вводят блескообразующую добавку (продукт конденсации фенола с формальдегидом) со структурной формулой

при следующем соотношении компонентов, г/л:
– Сульфат кадмия – 40-60
– Серная кислота – 20-40
– Сульфат натрия – 40-60
– Блескообразующая добавка – 3-4
Режим осаждения:
– Температура, °С – 15-30
– Катодная плотность тока, А/дм2 – 9-12
– Выход по току, % – 85-98
Концентрацию сульфата кадмия необходимо поддерживать в пределах 40-60 г/л. Отклонение от этих пределов приводит к уменьшению интервала рабочих плотностей тока для получения осадков с блеском.
Концентрация серной кислоты должна быть в пределах 20-40 г/л. Отклонение от этих пределов приводит к получению матовых и полублестящих покрытий.
Сульфат натрия в электролите повышает электропроводность и на внешний вид покрытий не оказывает влияния.
Концентрация блескообразующей добавки в электролите должна быть в пределах 3-4 г/л. При концентрации меньше 3 г/л получаются полублестящие покрытия. При концентрации больше 4 г/л – серебристые покрытия.
Плотность тока в предлагаемом электролите должна изменяться в пределах 9-12 А/дм2. При ik<9 А/дм2 покрытия получаются полублестящие, при ik>12 А/дм2 (до 20 А/дм2) получаются блестящие покрытия, но выход по току кадмия довольно сильно снижается (при ik=20 А/дм2 выход по току равен 50%).
Температура электролита изменяется в пределах от 15 до 50°С. Однако при температуре выше 30°С степень блеска покрытий несколько снижается.
В качестве анодов используется кадмий марки КД0 или КД1. Во избежание загрязнения электролита анодным шламом кадмиевые аноды следует заключать в чехлы из полипропиленовой ткани.
Корректирование электролита по CdSO4, Н2SO4, Na2SO4 проводится по данным химического анализа. Корректирование электролита по блескообразующей добавке необходимо проводить после пропускания 200 А·ч/л, добавляя в ванну 1 г/л добавки.
Электролит кадмирования готовится следующим образом. Емкость для приготовления электролита на три четверти заполняют дистиллированной водой и в нее при перемешивании небольшими порциями добавляют серную кислоту. Затем растворяют необходимое количество сульфата кадмия и сульфата натрия. Раствор фильтруют. В фильтрат при перемешивании добавляют блескообразующую добавку (предварительно растворенную в дистиллированной воде при температуре 25-30°С), доливают дистиллированной водой до заданного уровня и электролит готов к работе.
В таблице приведены предлагаемые (1-3) и известные (4-5) составы электролитов и условия электроосаждения кадмиевых покрытий.
Как видно из таблицы, предлагаемый электролит (1-3), в отличие от известного (4-5), позволяет получать блестящие покрытия с выровненной поверхностью при высоких плотностях тока с высоким выходом по току.
Полученные блестящие покрытия из предлагаемого электролита имеют красивый декоративный вид, мелкокристаллическую структуру, беспористы при толщине 6 мкм, прочно сцеплены с основным металлом.
| Таблица |
| Компоненты, г/л. Условия электроосаждения |
Составы |
| 1 |
2 |
3 |
4 |
5 |
| Сульфат кадмия |
40 |
50 |
60 |
40 |
60 |
| Серная кислота |
20 |
30 |
40 |
40 |
60 |
| Сульфат натрия |
20 |
40 |
60 |
40 |
60 |
| Блескообразующая добавка |
3 |
3,5 |
4 |
– |
– |
| ОП-10 |
– |
– |
– |
2 |
5 |
| Температура, °С |
15 |
30 |
30 |
15 |
50 |
| Катодная плотность тока, А/дм2 |
9-12 |
9-12 |
9-12 |
1-6 |
1-6 |
| Выход по току, % |
85-93 |
92-95 |
93-98 |
95 |
96 |
| Внешний вид покрытий |
блестящие |
матовые |
| Степень выравнивания* |
0,2-0,3 |
0,2-0,3 |
0,2-0,3 |
0 |
0 |
| * степень выравнивания определяли прямым профилографическим методом на пологом синусоидальном микропрофиле по формуле С.С.Кругликова [3, с.17]. |
Источники информации
1. Ильин В.А. Цинкование, кадмирование, оловянирование и свинцевание. Изд. 5-е, перераб. и доп. – Л.: Машиностроение, Ленингр. отд-ние. – 1983. – 87 с. (Б-чка гальванотехника / Под ред. П.М.Вячеславова. Вып.2).
2. Кудрявцев Н.Т. Электрохимические покрытия металлами. М.: Химия. – 1979. – 352 с.
3. Практикум по прикладной электрохимии. Учеб. пособие для Вузов / Н.Г.Бахчисарайцьян, Г.К.Буркат и др. / Под ред. В.Н.Варяпаева, В.Н.Кудрявцева. – 3-е изд., перераб. – Л.: Химия. – 1990. – 304 с.
Формула изобретения
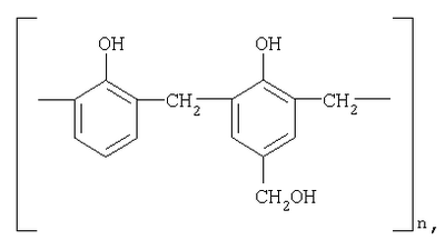
Способ электроосаждения кадмия из электролита, содержащего сульфат кадмия, серную кислоту, сульфат натрия и воду, отличающийся тем, что электроосаждение проводят при температуре электролита 15-30°С, катодной плотности тока 9-12 А/дм2 с выходом по току 85-98%, при этом в электролит вводят блескообразующую добавку со структурной формулой

при следующем соотношении компонентов, г/л:
| сульфат кадмия |
40-60 |
| серная кислота |
20-40 |
| сульфат натрия |
40-60 |
| блескообразующая добавка |
3-4 |
MM4A – Досрочное прекращение действия патента СССР или патента Российской Федерации на изобретение из-за неуплаты в установленный срок пошлины за поддержание патента в силе
Дата прекращения действия патента: 27.01.2008
Извещение опубликовано: 20.09.2009 БИ: 26/2009
|