Патент на изобретение №2308457
|
||||||||||||||||||||||||||||
(54) ПИРАЗОЛО [1, 5-А] ПИРИДИНЫ И СОДЕРЖАЩИЕ ИХ ЛЕКАРСТВЕННЫЕ СРЕДСТВА
(57) Реферат:
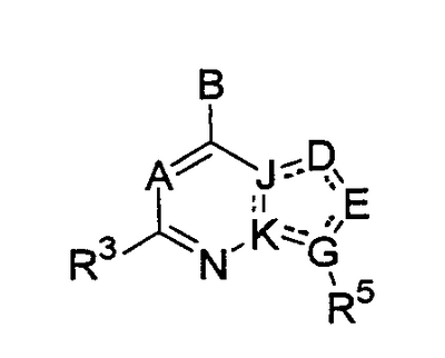
Изобретение относится к новому химическому соединению общей формулы (I), его солям или их гидратам. При этом R1 представляет группу формулы -G1-R1a (где G1 представляет одинарную связь, кислород, серу, и R1a представляет С1-10 алкил, необязательно замещенный галогеном, или С3-8 циклоалкил); R2, R3 и R4 каждый независимо представляет водород или группу формулы -G20-R20 (где G20 представляет одинарную связь, кислород, серу, сульфинил или сульфонил, и R20 представляет C1-6 алкил, необязательно замещенный 1-3 атомами галогена, или С3-8 циклоалкил); R5 и R6 каждый независимо представляет группу формулы -X5-X6-X7 (где Х5 представляет одинарную связь или -СО-, X6 представляет одинарную связь, кислород, С1-10 алкилен, и X7 представляет водород, С1-10 алкил, необязательно замещенный галогеном, C1-6алкокси, гидрокси и ди(С1-6алкил)амино, С3-8 циклоалкил, тетрагидрофуранил, и т.д.); R5 и R6 могут быть связаны друг с другом с образованием пиррольного кольца, необязательно замещенного C1-6 алкилом; Ar представляет фенил, 1,3-бензодиоксолил, нафтил, пиридил, при условии, что Ar может независимо иметь 1-3 заместителя, выбранных из следующей ниже группы заместителей А: группы формулы V1 -V2 -V3 (где V1 представляет одинарную связь или C1-6 алкилен, -V2-V3 представляет (1) галоген, (2) циано, (3) C1-6 алкил, необязательно замещенный 1-3 атомами галогена, (4) амино, небязательно замещенный C1-6 алкилом, и т.д.). Соединения формулы (I) обладают антагонистической активностью по отношению к рецепторам фактора высвобождающего кортикотропин (CRF). Объектами изобретения также являются соединения, охарактеризованные, предпочтительными структурами, фармацевтическая композиция, применение соединений формулы (I), промежуточные соединения для получения соединений и способ лечения различных заболеваний, обусловленных CRF. 17 н. и 16 з.п. ф-лы, 1 табл.
Область техники, к которой относится изобретение Настоящее изобретение относится к новым соединениям, обладающим антагонистической активностью по отношению к рецепторам фактора высвобождающего кортикотропин, их солям и их гидратам, к способу их получения и к применению их в качестве лекарственного средства. Предпосылки создания изобретения Фактор, высвобождающий кортикотропин (далее сокращенно обозначенный как “CRF”) представляет собой нейропептид, состоящий из 41 аминокислоты, который первоначально был выделен из гипоталамуса овцы [Sciense, 213, 1394 (1981)], после чего его присутствие было также подтверждено у крыс [Proc. Natl. Acad. Sci. USA, 80, 4851 (1983)] и у людей [EMBO J. 5, 775 (1983)]. Количество CRF наиболее велико в гипофизе и гипоталамусе и, кроме того, он широко распространен в коре головного мозга, мозжечке и других областях головного мозга. Его присутствие было также обнаружено в периферической ткани, такой как плацента, надпочечник, легкое, печень, поджелудочная железа и пищеварительный тракт [J. Clin. Endocrinol. Metab., 65, 176 (1987), J. Clin. Endocrinol. Metab., 67, 768 (1988), Regul. Pept., 18, 173 (1987), Peptides, 5 (Suppl. 1), 71 (1984)]. Уже описаны два подтипа рецептора CRF: CRF1 и CRF2, причем сообщается, что рецептор CRF1 широко распространен в коре головного мозга, мозжечке, обонятельной луковице, гипофизе, миндалевидном теле и других местах. Недавно были обнаружены 2 подтипа рецептора CRF2: CRF2 Как указано в следующих публикациях, CRF причастен к многим современным болезням. Сообщалось, что концентрации CRF в спинномозговой жидкости больных тяжелой депрессией повышены по сравнению со здоровыми контрольными особями [Am. J. Psychiatry, 144(7), 873 (1987)]; уровни CRF-mRNA в гипоталамусе депрессивных больных более высоки, чем у здоровых особей [Am. J. Psychiatry, 152, 1372 (1995)]; уменьшено количество рецепторов CRF в коре головного мозга жертв суицида [Arch. Gen. Psychiatry, 45, 577 (1988)]; при введении CRF депрессивным больным уменьшается рост содержания ACTH в плазме [N. Engl. J. Med., 314, 1329 (1986)]; уровень CRF в спинномозговой жидкости некоторых больных страхом с навязчиво-компульсивным расстройством, посттравматическим стрессовым расстройством или синдромом Туретта более высок, чем у здоровых особей [Arch. Gen. Psychiatry, 51, 794 (1994); Am. J. Psychiatry, 154, 624 (1997); Biol. Psychiatry, 39, 776 (1996)]; при введении CRF больным паническим расстройством уменьшается рост содержания ACTH в плазме [Am. J. Psychiatry, 143, 896 (1986)]; у экспериментальных животных наблюдается тревожное поведение при центральном введении CRF [Brain Res., 574, 70 (1992); J. Neurosci., 10(1), 176 (1992)]. Кроме того, чаще наблюдается тревожное поведение у мышей с чрезмерно выраженным CRF, чем у нормальных мышей [J. Neurosci., 14(5), 2579 (1994)], а введение анксиолитиков снижает уровень CRF в locus coeruleus [J. Pharmaco. Exp. Ther., 258, 349 (1991)]. Далее, пептидный антагонист CRF Описанное выше исследование говорит о том, что от антагонистов CRF можно ожидать проявления превосходных эффектов в лечении или профилактике депрессии и депрессивных симптомов, таких как тяжелая депрессия, эпизодическая депрессия, рецидивирующая депрессия, вызванное депрессией плохое обращение с детьми и послеродовая депрессия, мании, страха, расстройства генерализованной тревоги, панического расстройства, фобий, навязчиво-компульсивного расстройства, посттравматического стрессового расстройства, болезни Туретта, аутизма, аффективного расстройства, дистимии, биполярного расстройства, неустойчивой личности, шизофрении, болезни Альцгеймера, старческой деменции Альцгеймера, нейродегенеративного заболевания, такого как болезнь Паркинсона и болезнь Хантингтона, многоинфарктной деменции, старческой деменции, нервно-психической анорексии, повышенного аппетита и других расстройств принятия пищи, ожирения, диабета, алкогольной зависимости, фармакофилии к лекарственным средствам, таким как кокаин, героин или бензодиазепины, симптомов отмены наркотиков или алкоголя, расстройства сна, бессонницы, мигрени, вызванной стрессом головной боли, головной боли, вызванной сокращением мышц, ишемического поражения нервных клеток, эксцитотоксического поражения нервных клеток, удара, прогрессирующего супрануклеарного паралича, бокового амиотрофического склероза, рассеянного склероза, мышечного спазма, синдрома хронической усталости, психосоциальной карликовости, эпилепсии, травмы головы, повреждения спинного мозга, писчего спазма, спастической кривошеи, синдрома передней лестничной мышцы, первичной глаукомы, синдрома Меньера, расстройства вегетативной регуляции, алопеции, неврозов, таких как кардионевроз, гастроневроз и невроз мочевого пузыря, пептической язвы, синдрома раздраженной толстой кишки, язвенного колита, болезни Крона, диареи, запора, послеоперационной непроходимости кишечника, вызванных стрессом желудочно-кишечных расстройств и нервной рвоты, гипертензии, сердечно-сосудистых нарушений, таких как нервно-психическая стенокардия, тахикардия, застойная сердечная недостаточность, гипервентиляционного синдрома, бронхиальной астмы, апневза, синдрома внезапной смерти младенца, воспалительных расстройств (например, ревматического артрита, остеоартрита, люмбаго и т.д.), боли, аллергических заболеваний (например, атопического дерматита, экземы, крапивницы, псориаза и т.д.), импотенции, менопаузального расстройства, нарушения оплодотворения, бесплодия, рака, иммунной дисфункции, связанной с ВИЧ-инфекцией, иммунной дисфункции, вызванной стрессом, геморрагического стресса, синдрома Кушинга, нарушения функции щитовидной железы, энцефаломиелита, акромегалии, недержания, остеопороза и подобного. В качестве примеров антагонистов CRF были указаны пептидные антагонисты рецептора CRF, в которых модифицирована или удалена часть аминокислотной последовательности CRF человека или другого млекопитающего и которые проявляли эффекты ингибирования высвобождения АСТН или анксиолитические эффекты [Science, 224, 889 (1984), J. Pharmacol. Exp. Ther., 269, 564 (1994), Brain Research Reviews, 15, 71 (1990)]. Однако полезность пептидных производных как лекарственных средств низка с точки зрения фармакокинетики, включающей их химическую стойкость в организме, всасывание при пероральном применении, биодоступность и продвижение в головной мозг. С другой стороны, уже были также сообщения о непептидных антагонистах CRF. [1] Соединения, представленные формулой: [где R1 представляет NR4R5 и т.д.; R2 представляет С1-6 алкил и т.д.; R3 представляет С1-6 алкил и т.д.; R4 представляет С1-6 алкил и т.д.; R5 представляет С1-8 алкил и т.д.; и Ar представляет фенил и т.д.], их стереоизомеры или фармакологически приемлемые кислотно-аддитивные соли тех и других (WO97/29109); [2] Соединения, представленные формулой: [где пунктирные линии представляют одинарные или двойные связи; А представляет CR7 и т.д.; В представляет NR1R2 и т.д.; J и K являются одинаковыми или разными и представляют азот и т.д.; D и E являются одинаковыми или разными и представляют азот и т.д.; G представляет азот и т.д.; R1 представляет С1-С6 алкил и т.д.; R2 представляет С1-С12 алкил и т.д.; и R7 представляет водород и т.д.] или их фармакологически приемлемые соли (WO98/08847); [3] Производные анилинопиримидина, описанные в WO95/10506, производные пиразолопиридина, описанные в WO95/34563, производные пиразола, описанные в WO94/13661, производные пиразола и производные пиразолопиримидина, описанные в WO94/13643, производные аминопиразола, описанные в WO94/18644, производные пиразолопиримидина, описанные в WO94/13677, производные пирролопиримидина, описанные в WO94/13676, производные тиазола, описанные в ЕР-659747 и ЕР-611766, производные анилинопиримидина, описанные в J. Med. Chem., 39, 4358 (1996), производные анилинотриазина, описанные там же, 39, 4354 (1996), и производные тиенопиримидина, описанные в WO97/29110; и [4] В качестве производных пиразоло[1,5-a]пиридина соединения, описанные, например, в ЕР433854, ЕР433853 или US5445943. Раскрытие сущности изобретения Как указано выше, является весьма желательным иметь еще не открытые антагонисты CRF рецепторов, полезные в качестве лекарственных средств, причем клинически эффективных средств, проявляющих высокую степень антагонизма к CRF рецепторам и удовлетворяющих требованиям фармакологической активности, дозирования и безопасности. Поэтому целью настоящего изобретения является проведение исследования и создание таких превосходных антагонистов CRF рецепторов. В результате тщательного исследования и поиска в свете описанных выше обстоятельств создатели данного изобретения открыли новые производные пиразоло[1,5-a]пиридина, проявляющие превосходный антагонизм к CRF рецепторам. В соответствии с настоящим изобретением предлагаются: <1> соединение, представленное общей формулой: [где R1 представляет водород, галоген, нитро, циано или группу формулы -G1-R1а (где G1 представляет одинарную связь, метилен, кислород, серу, сульфинил, сульфонил, -C(О)-, -C(О)О-, -OC(О)-, -NR1b-, -C(О)-NR1b-, -S(О)2-NRlb-, -NRlb-C(О)- или -NRlb-S(О)2– и Rla и Rlb каждый независимо представляет водород, C1-10 алкил, C2-10 алкенил, C2-10 алкинил, C3-8 циклоалкил или C5-8 циклоалкенил); R2, R3 и R4 каждый независимо представляет водород, галоген, циано, нитро, гидроксил, С6-14 арил, 5-14-членную гетероарильную группу или группу формулы -G2-R2a (где G2 представляет одинарную связь, С1-6 алкилен, кислород, серу, сульфинил, сульфонил, -C(О)-, -C(О)О-, -OC(О)-, -NR2b-, -C(О)-NR2b-, -S(О)2-NR2b-, -NR2b-C(О)- или -NR2b-S(О)2-; R2a и R2b каждый независимо представляет водород, С1-6 алкил, необязательно замещенный 1-3 атомами галогена, С2-10 алкенил, С2-10 алкинил, C3-8 циклоалкил или C5-8 циклоалкенил); R2 и R3 или R3 и R4 могут быть связаны друг с другом с образованием 5-7-членного кольца, необязательно содержащего 1-4 гетероатома в кольце и необязательно содержащего карбонил в кольце; R5 и R6 каждый независимо представляет группу формулы -Х5-Х6-Х7– (где Х5 представляет одинарную связь или -СО-, Х6 представляет одинарную связь, -NR3а-, кислород, серу, сульфинил, сульфонил, C1-10 алкилен, C2-10 алкенилен или C2-10 алкинилен и Х7 и R3а каждый независимо представляет водород, C1-10 алкил, C2-10 алкенил, C2-10 алкинил, C3-8 циклоалкил, C5-8 циклоалкенил, С6-14 арил, 5-14-членную гетероарильную группу, 4-14-членную гетероциклическую группу, 9-11-членную бензольную конденсированную кольцевую группу, 8-11-членную гетероарильную конденсированную кольцевую группу или бициклическую 7-12-членную углеводородную кольцевую группу); R5 и R6 могут быть связаны друг с другом с образованием 5-10-членного кольца, необязательно содержащего 1-4 гетероатома в кольце и необязательно содержащего карбонил в кольце; R6 и R2 могут быть связаны друг с другом с образованием 6-7-членного кольца, необязательно содержащего 1 или 2 гетероатома в кольце и необязательно содержащего карбонил в кольце, и Ar представляет С6-14 арил, 5-14-членную гетероарильную группу, 9-11-членную бензольную конденсированную кольцевую группу или 8-11-членную гетероарильную конденсированную кольцевую группу; при условии, что R1а, R1b, R3а, Х6, Х7 и Ar могут независимо иметь каждый 1-4 группы, выбранные из следующей ниже группы А заместителей: <Группа А заместителей>: группа, состоящая из метилендиокси, этилендиокси и группы формулы V1-V2-V3 (где V1 представляет одинарную связь, С1-6 алкилен, С2-6 алкенилен, С2-6 алкинилен, кислород, серу, карбонил, его соль или их гидрат; <2> соединение по п.<1>, соль указанного соединения или их гидрат, где R1 представляет группу формулы -G10-R10 (где G10 представляет одинарную связь, метилен, кислород, серу, сульфинил или сульфонил и R10 представляет С1-6 алкил, необязательно замещенный 1-3 атомами галогена, С2-6 алкенил, С2-6 алкинил или C3-8 циклоалкил); <3> соединение по п.<2>, соль указанного соединения или их гидрат, где R10 представляет метил, этил, н-пропил, изопропил, трифторметил, дифторметил, монофторметил, циклопропил или циклобутил; <4> соединение по п.<1>, соль указанного соединения или их гидрат, где R1 представляет метокси; <5> соединение по п.<1>, соль указанного соединения или их гидрат, где R1 представляет этил; <6> соединение по п.<1>, соль указанного соединения или их гидрат, где R1 представляет метилтио; <7> соединение по любому из пп.<1>-<6>, соль указанного соединения или их гидрат, где R2, R3 и R4 каждый независимо представляет водород, галоген, циано, нитро, гидроксил или группу формулы -G20-R20 (где G20 представляет одинарную связь, кислород, серу, сульфинил или сульфонил и R20 представляет С1-6 алкил, необязательно замещенный 1-3 атомами галогена, С2-10 алкенил, С2-10 алкинил или C3-8 циклоалкил); <8> соединение по любому из пп.<1>-<6>, соль указанного соединения или их гидрат, где R2, R3 и R4 представляют водород; <9> соединение по любому из пп.<1>-<8>, соль указанного соединения или их гидрат, где Ar представляет фенил, 1,3-бензодиоксолил, нафтил, пиридил, пиразил, пиримидил, пиридазил, тиенил, фуранил, имидазолил, тиазолил, хинолинил, изохинолинил, индолинил, бензофуранил, бензотиенил, оксазолил или изоксазолил, причем Ar может иметь 1-4 группы, выбранные из следующей ниже группы В заместителей: <Группа В заместителей>: группа, состоящая из галогена, циано, гидроксила, нитро, метилендиокси, этилендиокси, группы формулы V4-V5 (где V4 представляет одинарную связь, кислород, серу, сульфинил или сульфонил и V5 представляет С1-6 алкил, необязательно замещенный 1-3 атомами галогена, или C3-8 циклоалкил) и группы формулы -N(R5а)R5b (где R5а и R5b каждый независимо представляет водород или С1-6 алкил); <10> соединение по любому из пп.<1>-<9>, соль указанного соединения или их гидрат, где Ar представляет фенил или пиридил, причем Ar может иметь 1-3 группы, выбранные из группы В заместителей в п.<9>; <11> соединение по любому из п.<9> или <10>, соль указанного соединения или их гидрат, где группа В заместителей представляет собой группу, состоящую из галогена, циано, С1-6 алкила, необязательно замещенного 1-3 атомами галогена, C3-8 циклоалкила, диметиламино и С1-6 алкокси, необязательно замещенного 1-3 атомами галогена; <12> соединение по любому из пп.<1>-<8>, соль указанного соединения или их гидрат, где Ar представляет группу формулы: (где R40 и R41 каждый независимо представляет метокси, этокси, этил, метил, диметиламино или галоген, R42 представляет водород, метокси, метил, диметиламино или галоген и Z1 и Z2 каждый независимо представляет метин или азот); <13> соединение по п.<12>, соль указанного соединения или их гидрат, где Z1 и Z2 представляют метин; <14> соединение по любому из пп.<1>-<13>, соль указанного соединения или их гидрат, где Х5 представляет одинарную связь и Х6 представляет одинарную связь, С1-6 алкилен, необязательно имеющий 1-3 группы, выбранные из группы А заместителей, С2-6 алкенилен, необязательно имеющий 1-3 группы, выбранные из группы А заместителей, или С2-6 алкинилен, необязательно имеющий 1-3 группы, выбранные из группы А заместителей; <15> соединение по любому из пп.<1>-<13>, соль указанного соединения или их гидрат, где Х5 представляет одинарную связь и Х6 представляет одинарную связь или С1-6 алкилен, необязательно имеющий 1-3 группы, выбранные из следующей ниже группы С заместителей: <Группа С заместителей>: группа, состоящая из галогена, гидроксила, С1-6 алкокси, нитрила, С3-8 циклоалкила и С1-6 алкила; <16> соединение по любому из пп.<1>-<13>, соль указанного соединения или их гидрат, где Х5 представляет одинарную связь и Х6 представляет одинарную связь, 1,2-этилен или метилен; <17> соединение по любому из пп.<1>-<16>, соль указанного соединения или их гидрат, где Х7 представляет С1-10 алкил, необязательно имеющий 1-3 группы, выбранные из группы А заместителей, С2-10 алкенил, необязательно имеющий 1-3 группы, выбранные из группы А заместителей, или С2-10 алкинил, необязательно имеющий 1-3 группы, выбранные из группы А заместителей, С3-8 циклоалкил, необязательно имеющий 1-3 группы, выбранные из группы А заместителей, С5-8 циклоалкенил, необязательно имеющий 1-3 группы, выбранные из группы А заместителей, С6-14 арил, необязательно имеющий 1-3 группы, выбранные из группы А заместителей, 5-14-членную гетероарильную группу, необязательно имеющую 1-3 группы, выбранные из группы А заместителей, 4-14-членную гетероциклическую группу, необязательно имеющую 1-3 группы, выбранные из группы А заместителей, или бициклическую 7-12-членную углеводородную кольцевую группу, необязательно имеющую 1-3 группы, выбранные из группы А заместителей; <18> соединение по любому из пп.<1>-<16>, соль указанного соединения или их гидрат, где Х7 представляет С1-10 алкил, необязательно имеющий 1-3 группы, выбранные из группы А заместителей, С3-8 циклоалкил, необязательно имеющий 1-3 группы, выбранные из группы А заместителей, 5-6-членную гетероарильную группу, необязательно имеющую 1-3 группы, выбранные из группы А заместителей, или 4-7-членную гетероциклическую группу, необязательно имеющую 1-3 группы, выбранные из группы А заместителей; <19> соединение по любому из пп.<1>-<16>, соль указанного соединения или их гидрат, где Х7 представляет С1-10 алкил, необязательно имеющий 1-3 группы, выбранные из описанной ниже группы D заместителей, С3-8 циклоалкил, необязательно имеющий 1-3 группы, выбранные из описанной ниже группы D заместителей, 5-6-членную гетероарильную группу, необязательно имеющую 1-3 группы, выбранные из описанной ниже группы D заместителей, или 4-7-членную гетероциклическую группу, необязательно имеющую 1-3 группы, выбранные из описанной ниже группы D заместителей: <Группа D заместителей>: группа, состоящая из галогена, гидроксила, С1-6 алкокси, нитрила, С3-8 циклоалкила, диметиламино и С1-6 алкила; <20> соединение по любому из пп.<1>-<16>, соль указанного соединения или их гидрат, где Х7 представляет водород, С1-10 алкил, необязательно имеющий 1 или 2 группы, выбранные из описанной ниже группы Е заместителей, С3-8 циклоалкил, необязательно имеющий 1 или 2 группы, выбранные из описанной ниже группы Е заместителей, тетрагидрофуранил, необязательно имеющий 1 или 2 группы, выбранные из описанной ниже группы Е заместителей, тетрагидротиофенил, необязательно имеющий 1 или 2 группы, выбранные из описанной ниже группы Е заместителей, дигидропиранил, необязательно имеющий 1 или 2 группы, выбранные из описанной ниже группы Е заместителей, тетрагидропиранил, необязательно имеющий 1 или 2 группы, выбранные из описанной ниже группы Е заместителей, диоксоланил, необязательно имеющий 1 или 2 группы, выбранные из описанной ниже группы Е заместителей, пирролидин-2-онил, необязательно имеющий 1 или 2 группы, выбранные из описанной ниже группы Е заместителей, дигидрофуран-2-онил, необязательно имеющий 1 или 2 группы, выбранные из описанной ниже группы Е заместителей, фуранил, необязательно имеющий 1 или 2 группы, выбранные из описанной ниже группы Е заместителей, тиенил, необязательно имеющий 1 или 2 группы, выбранные из описанной ниже группы Е заместителей, пирролидинил, необязательно имеющий 1 или 2 группы, выбранные из описанной ниже группы Е заместителей, пиперидил, необязательно имеющий 1 или 2 группы, выбранные из описанной ниже группы Е заместителей, оксазолил, необязательно имеющий 1 или 2 группы, выбранные из описанной ниже группы Е заместителей, изоксазолил, необязательно имеющий 1 или 2 группы, выбранные из описанной ниже группы Е заместителей, тиазолил, необязательно имеющий 1 или 2 группы, выбранные из описанной ниже группы Е заместителей, пирролил, необязательно имеющий 1 или 2 группы, выбранные из описанной ниже группы Е заместителей, пиразолил, необязательно имеющий 1 или 2 группы, выбранные из описанной ниже группы Е заместителей, морфолинил, необязательно имеющий 1 или 2 группы, выбранные из описанной ниже группы Е заместителей, диоксанил, необязательно имеющий 1 или 2 группы, выбранные из описанной ниже группы Е заместителей, или пиридил, необязательно имеющий 1 или 2 группы, выбранные из описанной ниже группы Е заместителей: <Группа Е заместителей>: группа, состоящая из гидроксила, метила, этила, метокси, диметиламино, циано, хлора и фтора; <21> соединение по п.<20>, соль указанного соединения или их гидрат, где группа Е заместителей представляет собой группу, состоящую из метила, метокси, диметиламино, хлора и фтора; <22> соединение по любому из пп.<1>-<16>, соль указанного соединения или их гидрат, где Х7 представляет водород, С1-10 алкил, С3-8 циклоалкил, тетрагидрофуранил, тетрагидротиофенил, дигидропиранил, тетрагидропиранил, диоксоланил, пирролидин-2-онил, дигидрофуран-2-онил, фуранил, тиенил, пирролидинил, пиперидил, оксазолил, изоксазолил, тиазолил, пирролил, пиразолил, морфолинил, диоксанил или пиридил; <23> соединение по любому из пп.<1>-<16>, соль указанного соединения или их гидрат, где Х7 представляет водород, С1-10 алкил, С3-8 циклоалкил, тетрагидрофуранил, тетрагидротиофенил, тетрагидропиранил, диоксоланил, фуранил, тиенил, оксазолил, диоксанил, пиридил, пиперидил или тиазолил; <24> соединение, представленное общей формулой: [где R7а представляет водород, нитро, -NO или NHR7d (где R7d представляет водород, трет-бутоксикарбонил или бензилоксикарбонил); R7с представляет метилен, кислород или серу; и R7b представляет водород, галоген, группу формулы: (где R8а и R8b каждый независимо представляет водород или С1-6 алкил или R8а и R8b могут быть связаны друг с другом с образованием 1,2-этилена, 1,3-пропилена или 2,3-диметилбутан-2,3-диола), группу формулы: (где R8c, R8d и R8e каждый независимо представляет С1-6 алкил) или группу формулы: (где R40 и R41 каждый независимо представляет метокси, этокси, этил, диметиламино, метил или галоген, R42 представляет водород, метокси, метил или галоген и Z1 и Z2 каждый независимо представляет метин или азот), при условии, что в данные выше определения не включены соединения, удовлетворяющие следующим условиям (1), (2) или (3): (1) R7с представляет кислород, R7b представляет водород и R7а представляет водород, нитро, -NO или -NH2, (2) R7с представляет серу, R7b представляет водород и R7а представляет нитро или -NH2 или (3) R7с представляет метилен, R7b представляет водород и R7а представляет -NO], его соль или их гидрат; <25> соединение по п.<24>, соль указанного соединения или их гидрат, где R7a и R7b представляют водород; <26> соединение по п.<24>, соль указанного соединения или их гидрат, где R7b не является водородом; <27> соединение, представленное общей формулой: [где R5 и R6 определены так же, как R5 и R6 в п.<1> соответственно; R7с представляет метилен, кислород или серу; и R7е представляет галоген, группу формулы: (где R8а и R8b каждый независимо представляет водород или С1-6 алкил или R8а и R8b могут быть связаны друг с другом с образованием 1,2-этилена, 1,3-пропилена или 2,3-диметилбутан-2,3-диола) или группу формулы: (где R8c, R8d и R8e каждый независимо представляет С1-6 алкил)], его соль или их гидрат; <28> антагонист рецептора фактора, высвобождающего кортикотропин (CRF), содержащий соединение по п.<1>; <29> антагонист рецептора фактора, высвобождающего кортикотропин (CRF)-1 или рецептора фактора, высвобождающего кортикотропин (CRF)-2, содержащий соединение по п.<1>; <30> средство для лечения или профилактики заболевания, связанного с фактором, высвобождающим кортикотропин (CRF), содержащее соединение по п.<1>; <31> средство для лечения или профилактики депрессии, депрессивного симптома, мании, страха, расстройства генерализованной тревоги, панического расстройства, фобий, навязчиво-компульсивного расстройства, посттравматического стрессового расстройства, болезни Туретта, аутизма, аффективного расстройства, дистимии, биполярного расстройства, неустойчивой личности или шизофрении, содержащее соединение по п.<1>; <32> средство для лечения или профилактики депрессивного симптома, представляющего собой тяжелую депрессию, эпизодическую депрессию, рецидивирующую депрессию, вызванное депрессией плохое обращение с детьми или послеродовую депрессию, содержащее соединение по п.<1>; <33> средство для лечения или профилактики пептической язвы, синдрома раздраженной толстой кишки, язвенного колита, болезни Крона, диареи, запора, послеоперационной непроходимости кишечника, вызванных стрессом желудочно-кишечных расстройств или нервной рвоты, содержащее соединение по п.<1>; <34> средство для лечения или профилактики болезни Альцгеймера, старческой деменции Альцгеймера, нейродегенеративного заболевания, многоинфарктной деменции, старческой деменции, нервно-психической анорексии, расстройства принятия пищи, ожирения, диабета, алкогольной зависимости, фармакофилии, симптомов отмены наркотиков, симптомов отмены алкоголя, расстройства сна, бессонницы, мигрени, вызванной стрессом головной боли, головной боли, вызванной сокращением мышц, ишемического поражения нервных клеток, эксцитотоксического поражения нервных клеток, удара, прогрессирующего супрануклеарного паралича, бокового амиотрофического склероза, рассеянного склероза, мышечного спазма, синдрома хронической усталости, психосоциальной карликовости, эпилепсии, травмы головы, повреждения спинного мозга, писчего спазма, спастической кривошеи, синдрома передней лестничной мышцы, первичной глаукомы, синдрома Меньера, расстройства вегетативной регуляции, алопеции, невроза, гипертензии, сердечно-сосудистого нарушения, тахикардии, застойной сердечной недостаточности, гипервентиляционного синдрома, бронхиальной астмы, апневза, синдрома внезапной смерти младенца, воспалительного расстройства, боли, аллергической болезни, импотенции, менопаузального расстройства, нарушения оплодотворения, бесплодия, рака, иммунной дисфункции, вызванной ВИЧ-инфекцией, иммунной дисфункции, вызванной стрессом, геморрагического стресса, синдрома Кушинга, нарушения функции щитовидной железы, энцефаломиелита, акромегалии, недержания или остеопороза, содержащее соединение по п.<1>; <35> применение соединения по п.<1> или его соли для изготовления антагониста рецептора фактора, высвобождающего кортикотропин (CRF); <36> применение соединения по п.<1> или его соли для изготовления антагониста рецептора фактора, высвобождающего кортикотропин (CRF)-1 или антагониста рецептора фактора, высвобождающего кортикотропин (CRF)-2; <37> применение соединения по п.<1> или его соли для изготовления средства для лечения или профилактики депрессии, депрессивного симптома, мании, страха, расстройства генерализованной тревоги, панического расстройства, фобии, навязчиво-компульсивного расстройства, посттравматического стрессового расстройства, болезни Туретта, аутизма, аффективного расстройства, дистимии, биполярного расстройства, неустойчивой личности, шизофрении, пептической язвы, синдрома раздраженной толстой кишки, язвенного колита, болезни Крона, диареи, запора, послеоперационной непроходимости кишечника, вызванных стрессом желудочно-кишечных расстройств или нервной рвоты; <38> способ лечения или профилактики заболевания, связанного с рецептором фактора, высвобождающего кортикотропин (CRF), включающий однократное или многократное введение терапевтически эффективной дозы соединения по п.<1> или его соли пациенту, страдающему заболеванием, связанным с рецептором фактора, высвобождающего кортикотропин (CRF). Наилучший способ осуществления изобретения Настоящее изобретение объясняется далее более подробно. Некоторые из структурных формул соединений, приведенные в данном описании, представляют для удобства конкретный изомер, но изобретение не ограничивается такими конкретными изомерами и охватывает все возможные для данных структур соединений изомеры и смеси изомеров, включая геометрические изомеры, производные по асимметрическим углеродным атомам оптические изомеры, стереоизомеры и таутомеры, из которых можно использовать любой изомер или любую смесь изомеров. Соединения по настоящему изобретению могут, таким образом, включать соединения, имеющие в своих молекулах асимметрические атомы углерода и существующие в виде оптически активных форм или рацемических форм, и все такие соединения настоящее изобретение охватывает без ограничений. Нет также ограничений на кристаллический полиморфизм соединений и можно использовать любые кристаллические формы в отдельности или в смесях, причем соединения по настоящему изобретению могут также включать ангидриды и гидраты. Пункты формулы изобретения охватывают также метаболиты соединений по настоящему изобретению, образованные в результате разложения в организме. Далее даны определения символов и терминов, использованных в данном описании, с более подробным описанием настоящего изобретения. Термин «антагонист рецептора CRF» при использовании в данном описании относится к веществу, способному инактивировать рецепторы CRF. Такие вещества включают также вещества, способные ослаблять или ингибировать физиологическую активность CRF. В качестве заболеваний, подразумеваемых под термином «заболевания, связанные с CRF» или «заболевания, связанные с рецепторами CRF» в данном описании, могут быть названы депрессия и депрессивные симптомы (тяжелая депрессия, эпизодическая депрессия, рецидивирующая депрессия, вызванное депрессией плохое обращение с детьми или послеродовая депрессия), мания, страх, расстройство генерализованной тревоги, паническое расстройство, фобии, навязчиво-компульсивное расстройство, посттравматическое стрессовое расстройство, болезнь Туретта, аутизм, аффективное расстройство, дистимия, биполярное расстройство, неустойчивая личность, шизофрения, пептическая язва, синдром раздраженной толстой кишки, язвенный колит, болезнь Крона, диарея, запор, послеоперационная непроходимость кишечника, вызванные стрессом желудочно-кишечные расстройства, нервная рвота, болезнь Альцгеймера, старческая деменция Альцгеймера, нейродегенеративное заболевание, многоинфарктная деменция, старческая деменция, нервно-психическая анорексия, расстройство принятия пищи, ожирение, диабет, алкогольная зависимость, фармакофилия, симптомы отмены наркотиков, симптомы отмены алкоголя, расстройство сна, бессонница, мигрень, вызванная стрессом головная боль, головная боль, вызванная сокращением мышц, ишемическое поражение нервных клеток, эксцитотоксическое поражение нервных клеток, удар, прогрессирующий супрануклеарный паралич, боковой амиотрофический склероз, рассеянный склероз, мышечный спазм, синдром хронической усталости, психосоциальная карликовость, эпилепсия, травма головы, повреждение спинного мозга, писчий спазм, спастическая кривошея, синдром передней лестничной мышцы, первичная глаукома, синдром Меньера, расстройство вегетативной регуляции, алопеция, невроз, гипертензия, сердечно-сосудистое нарушение, тахикардия, застойная сердечная недостаточность, гипервентиляционный синдром, бронхиальная астма, апневз, синдром внезапной смерти младенца, воспалительное расстройство, боль, аллергическая болезнь, импотенция, менопаузальное расстройство, нарушение оплодотворения, бесплодие, рак, иммунная дисфункция, вызванная ВИЧ-инфекцией, иммунная дисфункция, вызванная стрессом, геморрагический стресс, синдром Кушинга, нарушение функции щитовидной железы, энцефаломиелит, акромегалия, недержание, остеопороз и тому подобное. Соединения по настоящему изобретению полезны для лечения или профилактики указанных заболеваний. Термин «нейродегенеративное заболевание» при использовании в данном описании относится либо к острому дегенеративному заболеванию, либо к хроническому дегенеративному заболеванию и, в частности, он включает, например, невропатии, такие как субарахноидальное кровоизлияние, цереброваскулярное нарушение на острой стадии и т.д., и болезнь Альцгеймера, болезнь Паркинсона, хорею Хантингтона, боковой амиотрофический склероз, дегенерацию спинного мозга и мозжечка и т.д. Термин «расстройство принятия пищи» при использовании в данном описании относится к повышенному аппетиту, патологическому отвращению к пище и подобному. Термин «сердечно-сосудистое нарушение» при использовании в данном описании относится к нервно-психической стенокардии и подобному. Термин «воспалительное расстройство» при использовании в данном описании относится, например, к ревматическому артриту, остеоартриту, люмбаго и подобному, и термин «аллергическая болезнь» относится, например, к атопическому дерматиту, экземе, крапивнице, псориазу и подобному. Во всем описании «н-» означает «нормальный», «втор-» означает «вторичный» и «трет-» и «т-» означают «третичный». Галоген при использовании в данном описании относится к фтору, хлору, брому, иоду и подобному, причем предпочтительным является фтор, хлор или бром. Термины «С1-6 алкил» и «С1-10 алкил» при использовании в данном описании относятся соответственно к неразветвленной или разветвленной алкильной группе с 1-6 углеродными атомами и неразветвленной или разветвленной алкильной группе с 1-10 углеродными атомами и означают предпочтительно метил, этил, н-пропил, изопропил, н-бутил, изобутил, втор-бутил, трет-бутил, н-пентил, 1,1-диметилпропил, 1,2-диметилпропил, 2,2-диметилпропил, 1-этилпропил, 2-этилпропил, н-гексил, 1-метил-2-этилпропил, 1-этил-2-метилпропил, 1,1,2-триметилпропил, 1-пропилпропил, 1-метилбутил, 2-метилбутил, 1,1-диметилбутил, 1,2-диметилбутил, 2,2-диметилбутил, 1,3-диметилбутил, 2,3-диметилбутил, 2-этилбутил, 2-метилпентил, 3-метилпентил или тому подобное, более предпочтительно метил, этил, н-пропил, изопропил или трет-бутил и еще более предпочтительно метил, этил или изопропил. Термины «С2-6 алкенил» и «С2-10 алкенил» при использовании в данном описании относятся соответственно к неразветвленной или разветвленной алкенильной группе с 2-6 углеродными атомами и неразветвленной или разветвленной алкенильной группе с 2-10 углеродными атомами, и предпочтительные примеры таких групп включают винил, аллил, 1-пропенил, 2-пропенил, изопропенил, 2-метил-1-пропенил, 3-метил-1-пропенил, 2-метил-2-пропенил, 3-метил-2-пропенил, 1-бутенил, 2-бутенил, 3-бутенил, 1-пентенил, 1-гексенил, 1,3-гександиенил и 1,6-гександиенил. Термины «С2-6 алкинил» и «С2-10 алкинил» при использовании в данном описании относятся соответственно к алкинильной группе с 2-6 углеродными атомами и алкенильной группе с 2-10 углеродными атомами, и предпочтительные примеры таких групп включают этинил, 1-пропинил, 2-пропинил, 1-бутинил, 2-бутинил, 3-бутинил, 3-метил-1-пропинил, 1-этинил-2-пропинил, 2-метил-3-пропинил, 1-пентинил, 1-гексинил, 1,3-гександиинил и 1,6-гександиинил. Термин «С1-6 алкилен», использованный в данном описании, относится к двухвалентной группе, произведенной удалением водорода из любого требуемого положения указанного выше «С1-6 алкила», и в качестве конкретных примеров указанной группы можно назвать метилен, этилен, метилэтилен, пропилен, этилэтилен, 1,1-диметилэтилен, 1,2-диметилэтилен, триметилен, 1-метилтриметилен, 1-этилтриметилен, 2-метилтриметилен, 1,1-диметилтриметилен, тетраметилен, пентаметилен и гексаметилен, предпочтительно метилен и 1,2-этилен и более предпочтительно метилен. Термин «С2-6 алкенилен», использованный в данном описании, относится к двухвалентной группе, произведенной удалением водорода из указанного выше «С2-6 алкенила», и в качестве конкретных примеров указанной группы можно назвать винилен, пропенилен, бутенилен, пентенилен и гексенилен, предпочтительно винилен, пропенилен, бутенилен, пентенилен, более предпочтительно винилен, пропенилен и бутенилен и еще более предпочтительно 1,2-винилен и 1,3-пропенилен. Термин «С2-6 алкинилен», использованный в данном описании, относится к двухвалентной группе, произведенной удалением водорода из указанного выше «С2-6 алкинила», и в качестве конкретных примеров указанной группы можно назвать этинилен, пропинилен, бутинилен, пентинилен и гексинилен, предпочтительно этинилен, пропинилен, бутинилен и пентинилен, более предпочтительно этинилен, пропинилен и бутинилен, еще более предпочтительно этинилен и пропинилен и наиболее предпочтительно этинилен. Термин «С3-8 циклоалкил», использованный в данном описании, относится к циклической алифатической углеводородной группе с 3-8 углеродными атомами и в качестве примеров указанной группы можно назвать циклопропил, циклобутил, циклопентил, циклогексил, циклогептил и циклооктил, предпочтительно циклопропил, циклобутил и циклопентил и более предпочтительно циклопропил. Термин «С5-8 циклоалкенил», использованный в данном описании, относится к циклоалкенильной группе, состоящей из 5-8 углеродных атомов, и в качестве примеров указанной группы можно назвать циклопентен-3-ил, циклогексен-1-ил и циклогексен-3-ил. Термины «С1-6 алкокси» и «С1-10 алкокси», использованные в данном описании, относятся соответственно к оксигруппе, связанной с вышеуказанным «С1-6 алкилом», и оксигруппе, связанной с вышеуказанным «С1-10 алкилом», и в качестве примеров таких групп можно назвать метокси, этокси, н-пропокси, изопропокси, втор-пропокси, н-бутокси, изобутокси, втор-бутокси, трет-бутокси, н-пентилокси, изопентилокси, втор-пентилокси, н-гексокси, изогексокси, 1,1-диметилпропилокси, 1,2-диметилпропокси, 2,2-диметилпропилокси, 2-этилпропокси, 1-метил-2-этилпропокси, 1-этил-2-метилпропокси, 1,1,2-триметилпропокси, 1,1,2-триметилпропокси, 1,1-диметилбутокси, 1,2-диметилбутокси, 2,2-диметилбутокси, 2,3-диметилбутилокси, 1,3-диметилбутилокси, 2-этилбутокси, 1,3-диметилбутокси, 2-метилпентокси, 3-метилпентокси и гексилокси, предпочтительно метокси, этокси, н-пропокси, изопропокси, втор-пропокси, н-бутокси, изобутокси, втор-бутокси и трет-бутокси и более предпочтительно метокси. Термины «С1-6 алкилтио» и «С1-10 алкилтио», использованные в данном описании, относятся соответственно к тиогруппе, связанной с вышеуказанным «С1-6 алкилом», и тиогруппе, связанной с вышеуказанным «С1-10 алкилом», и в качестве примеров таких групп можно назвать метилтио, этилтио, н-пропилтио, изопропилтио, н-бутилтио, изобутилтио, втор-бутилтио, трет-бутилтио, н-пентилтио, 1,1-диметилпропилтио, 1,2-диметилпропилтио, 2,2-диметилпропилтио, 1-этилпропилтио, 2-этилпропилтио, н-гексилтио, 1-метил-2-этилпропилтио, 1-этил-2-метилпропилтио, 1,1,2-триметилпропилтио, 1-пропилпропилтио, 1-метилбутилтио, 2-метилбутилтио, 1,1-диметилбутилтио, 1,2-диметилбутилтио, 2,2-диметилбутилтио, 1,3-диметилбутилтио, 2,3-диметилбутилтио, 2-этилбутилтио, 2-метилпентилтио и 3-метилпентилтио. Термин «С1-6 алкилсульфинил», использованный в данном описании, относится к сульфинильной группе, связанной с вышеуказанным «С1-6 алкилом», и в качестве примеров можно назвать метилсульфинил, этилсульфинил, н-пропилсульфинил и изопропилсульфинил. Термин «С1-6 алкилсульфонил», использованный в данном описании, относится к сульфонильной группе, связанной с вышеуказанным «С1-6 алкилом», и в качестве примеров можно назвать метилсульфонил, этилсульфонил, н-пропилсульфонил и изопропилсульфонил. Термин «С6-14 арил», использованный в данном описании, относится к ароматической углеводородной кольцевой группе с 6-14 углеродными атомами, которая может быть моноциклической, бициклической или трициклической конденсированной группой. В качестве предпочтительных примеров таких групп можно назвать фенил, инденил, 1-нафтил, 2-нафтил, азуленил, гепталенил, бифенил, индаценил, аценафтил, флуоренил, феналенил, фенантренил, антраценил, циклопентациклооктенил и бензоциклооктенил, предпочтительно фенил, 1-нафтил или 2-нафтил и более предпочтительно фенил. Термин «5-14-членная гетероарильная группа», использованный в данном описании, относится к 5-14-членной ароматической гетероциклической группе, которая является моноциклической, бициклической или трициклической группой, содержащей, по крайней мере, один гетероатом, выбранный из N, O и S. В качестве конкретных примеров таких групп можно назвать азотсодержащие гетероарильные группы, такие как пирролил, пиридил, пиридазинил, пиримидинил, пиразинил, триазолил, тетразолил, бензотриазолил, пиразолил, имидазолил, бензимидазолил, индолил, изоиндолил, индолидинил, пуринил, индазолил, хинолил, изохинолил, хинолидил, фталазил, нафтилидинил, хиноксалил, хиназолинил, циннолинил, птеридинил, имидазотриазинил, пиразинопиридазинил, акридинил, фенантридинил, карбазолил, карбазолинил, пиримидинил, фенантролинил, феназинил, имидазопиридинил, имидазопиримидинил, пиразолопиридинил и пиразолопиримидинил; серусодержащие гетероарильные группы, такие как тиенил и бензотиенил; кислородсодержащие гетероарильные группы, такие как фурил, пиранил, циклопентапиранил, бензофурил и изобензофурил; и гетероарильные группы, содержащие два или более разных гетероатомов, такие как тиазолил, изотиазолил, бензотиазолил, бензотиадиазолил, фенотиазинил, изоксазолил, фуразанил, феноксазинил, оксазолил, изоксазолил, бензоксазолил, оксадиазолил, пиразолоксазолил, имидазотиазолил, тиенофуранил, фуропирролил, пиридоксазинил и бензо[1,2,5]тиадиазолил. Предпочтительно «5-14-членная гетероарильная группа» представляет собой пирролил, пиридил, пиридазинил, пиримидинил, пиразинил, триазолил, тетразолил, пиразолил, имидазолил, индолил, тиенил, бензотиенил, фурил, бензофуранил, тиазолил, изотиазолил, оксазолил, изоксазолил или оксадиазолил, а более предпочтительно – пиридил, тиенил, фурил, тиазолил или оксазолил. Термин «5-6-членная гетероарильная группа», использованный в данном описании, относится к 5-6-членной гетероарильной группе, входящей в указанную выше 5-14-членную гетероарильную группу, и в качестве конкретных примеров можно назвать пирролил, пиридил, пиридазинил, пиримидинил, пиразинил, триазолил, тетразолил, пиразолил, имидазолил, тиенил, фурил, тиазолил, изотиазолил, оксазолил, изоксазолил и оксадиазолил, а более предпочтительно пиридил, тиенил, фурил, тиазолил или оксазолил. Термин «9-11-членная бензольная конденсированная кольцевая группа», использованный в данном описании, относится к бициклической группе, содержащей неароматическое кольцо, конденсированное с бензольным кольцом и имеющее 9-11 атомов, составляющих кольцо кольцевой группы. «9-11-членное бензольное конденсированное кольцо» «9-11-членной бензольной конденсированной кольцевой группы» представляет собой кольцо, представленное следующей формулой: (где Y1, Y2, Y3, Y4 и Y5 представляют карбонил, кислород, серу, метилен или группу формулы -NR31– (где R31 представляет водород или С1-6 алкил), причем такое «9-11-членное бензольное конденсированное кольцо» представляет собой предпочтительно кольцо, представленное формулой: (где Y1, Y2, Y3 и Y4 имеют такие же значения, как указано выше), более предпочтительно кольцо, представленное формулой: и еще более предпочтительно кольцо, представленное формулой: Термин «9-11-членная бензольная конденсированная кольцевая группа» относится к одновалентной группе, произведенной удалением атома водорода из любого желаемого положения «9-11-членного бензольного конденсированного кольца». Термин «8-11-членная гетероарильная конденсированная кольцевая группа», использованный в данном описании, относится к бициклической группе, содержащей неароматическое кольцо, конденсированное с «5-6-членным ароматическим гетероциклом», таким как пиридин, тиофен или фуран, и имеющее 8-11 атомов, составляющих кольцо кольцевой группы. Термин «моноциклическая 4-8-членная неароматическая гетероциклическая группа», использованный в данном описании, относится к: [1] моноциклической неароматической циклической группе, [2] имеющей 4-8 атомов в кольце циклической группе, [3] содержащей 1 или 2 гетероатома среди атомов кольца циклической группе, [4] необязательно содержащей 1 или 2 двойные связи в кольце, и [5] необязательно содержащей 1-3 карбонила в кольце. В качестве конкретных примеров «моноциклического 4-8-членного неароматического гетероцикла» «моноциклической 4-8-членной неароматической гетероциклической группы» можно назвать пирролидин, пиперидин, азепан, пиридон, пиразинон, тетрагидрофуран, тетрагидротиофен, тетрагидропиран, морфолин, тиоморфолин, пиперазин, тиазолидин, диоксан, имидазолин, тиазолин, азетидин, оксетан, тиетан, диоксолан, пиперидин-4-он, пиперидин-3-он, пиперидин-2-он, пирролидин-2-он, тетрагидрофуран-2-он и 3,4-дигидро-2Н-пиран. «Моноциклическая 4-8-членная неароматическая гетероциклическая группа» представляет собой одновалентную группу, произведенную удалением атома водорода из любого желаемого положения «моноциклического 4-8-членного неароматического гетероцикла». Термин «бициклическое 7-12-членное углеводородное кольцо», использованный в данном описании, относится к бициклическому углеводородному кольцу, имеющему 7-12 углеродных атомов в кольце. В частности, он относится к: [1] углеводородному кольцу, представленному формулой: (где М1а, М2а и М3а каждый независимо представляет группу формулы -(СН2)m1– (где m1 представляет целое число 0-2), при условии, что М1а, М2а и М3а не все представляют -(СН2)0-), [2] углеводородному кольцу, представленному формулой: (где М6а представляет группу формулы -(СН2)m3– (где m3 представляет целое число 0-3)) или [3] углеводородному кольцу, представленному формулой: (где М4а и М5а каждый независимо представляет группу формулы В качестве конкретных примеров «бициклического 7-12-членного углеводородного кольца» можно назвать бицикло[3.1.0]гексан, бицикло[4.1.0]гептан, спиро[2.4]гептан, спиро[2.5]октан, бицикло[4.4.0]декан(декагидронафталин), октагидроинден(бицикло[4.3.0]нонан), бицикло[3.3.1]нонан, бицикло[3.2.1]октан, спиро[4.5]декан, спиро[3.5]нонан, норборнан, адамантан, бицикло[1.1.0]бутан, спиро[2.2]пентан, бицикло[2.1.0]пентан, бицикло[3.1.0]гексан, бицикло[4.1.0]гептан, нортрициклан, квадрициклан, бицикло[3.3.0]октан, бицикло[2.2.2]октан, пергидрохинацен, бицикло[3.3.3]ундекан и пергидроантрацен. «Бициклический 7-12-членный углеводородный цикл» представляет собой предпочтительно бицикло[4.4.0]декан(декагидронафталин), октагидроинден(бицикло[4.3.0]нонан), бицикло[3.3.1]нонан, бицикло[3.2.1]октан, спиро[5.4]декан или спиро[3.5]нонан и более предпочтительно бицикло[4.4.0]декан(декагидронафталин) или октагидроинден(бицикло[4.3.0]нонан). Термин «бициклическая 7-12-членная углеводородная кольцевая группа», использованный в данном описании, относится к одновалентной группе, произведенной удалением атома водорода из любого желаемого положения указанного выше «бициклического 7-12-членного углеводородного цикла». Термин «бициклическая 7-12-членная неароматическая гетероциклическая группа», использованный в данном описании, относится к: [1] бициклической неароматической циклической группе, [2] имеющей 7-12 атомов в кольце циклической группе, [3] содержащей 1-3 гетероатома среди атомов кольца циклической группе, [4] необязательно содержащей 1-3 двойные связи в кольце, и [5] необязательно содержащей 1-3 карбонила в кольце. То есть «бициклическая 7-12-членная неароматическая гетероциклическая группа» является одновалентной группой, произведенной от указанного «бициклического 7-12-членного углеводородного цикла» [1] заменой любого 1-3 метина или метилена в кольце кислородом, серой, азотом или группой -NH- и затем [2] удалением атома водорода в любом желаемом положении кольца. Термин «4-14-членная гетероциклическая группа», использованный в данном описании, относится к: [1] моноциклической, бициклической или трициклической гетероциклической группе, [2] имеющей 4-14 атомов в кольце циклической группе, [3] содержащей 1-3 гетероатома среди атомов кольца циклической группе, [4] необязательно содержащей 1-3 двойные связи в кольце, и [5] необязательно содержащей 1-3 карбонила в кольце. В частности, например, он относится к указанной выше «моноциклической 4-8-членной неароматической гетероциклической группе» или «бициклической 7-12-членной неароматической гетероциклической группе». «4-14-Членная гетероциклическая группа» представляет собой предпочтительно «4-7-членную гетероциклическую группу», определенную ниже, и более предпочтительно включает в качестве примеров тетрагидрофуранил, тетрагидротиофенил, тетрагидропиранил, диоксоранил, пирролидин-2-онил, дигидрофуран-2-онил и пиперидинил. Термин «4-7-членная гетероциклическая группа», использованный в данном описании, относится к 4-7-членным гетероциклическим группам из групп, называемых «4-14-членной гетероциклической группой», определенной выше. В частности, он относится к одновалентной группе, произведенной удалением атома водорода из любого желаемого положения кольца, представленного, например, формулой: (где Х10 представляет серу, кислород или -NX12 (где X12 представляет водород или С1-6 алкил), Х11 представляет метилен, серу, кислород или -NX13 (где X13 представляет водород или С1-6 алкил) и s представляет целое число 1-3), и в качестве предпочтительных примеров таких групп можно назвать тетрагидрофуранил, тетрагидротиофенил, тетрагидропиранил, диоксоранил, пирролидин-2-онил, дигидрофуран-2-онил и пиперидинил. Термин «тетрагидрофуранил», использованный в данном описании, относится к одновалентной группе, произведенной удалением атома водорода из любого желаемого положения тетрагидрофуранового кольца, и конкретными примерами такой группы можно назвать тетрагидрофуран-2-ил и тетрагидрофуран-3-ил. Термин «тетрагидротиофенил», использованный в данном описании, относится к одновалентной группе, произведенной удалением атома водорода из любого желаемого положения тетрагидротиофенового кольца, и конкретными примерами такой группы можно назвать тетрагидротиофен-2-ил и тетрагидротиофен-3-ил. Термин «тетрагидропиранил», использованный в данном описании, относится к одновалентной группе, произведенной удалением атома водорода из любого желаемого положения тетрагидропиранового кольца, и конкретными примерами такой группы можно назвать тетрагидропиран-2-ил, тетрагидропиран-3-ил и тетрагидропиран-4-ил. Термин «диоксоланил», использованный в данном описании, относится к одновалентной группе, произведенной удалением атома водорода из любого желаемого положения диоксоланового кольца, и конкретными примерами такой группы можно назвать диоксолан-2-ил и диоксолан-4-ил. Термин «пирролидин-2-онил», использованный в данном описании, относится к одновалентной группе, произведенной удалением атома водорода из любого желаемого положения пирролидин-2-онового кольца, и конкретными примерами такой группы можно назвать пирролидин-2-он-1-ил, пирролидин-2-он-3-ил, пирролидин-2-он-4-ил и пирролидин-2-он-5-ил. Термин «фуранил», использованный в данном описании, относится к одновалентной группе, произведенной удалением атома водорода из любого желаемого положения фуранового кольца, и конкретными примерами такой группы можно назвать 2-фуранил и 3-фуранил. Термин «тиенил», использованный в данном описании, относится к одновалентной группе, произведенной удалением атома водорода из любого желаемого положения тиофенового кольца, и конкретными примерами такой группы можно назвать 2-тиенил и 3-тиенил. Термин «пирролидинил», использованный в данном описании, относится к одновалентной группе, произведенной удалением атома водорода из любого желаемого положения пирролидинового кольца, и конкретными примерами такой группы можно назвать 1-пирролидинил, 2-пирролидинил и 3-пирролидинил. Термин «пиперидил», использованный в данном описании, относится к одновалентной группе, произведенной удалением атома водорода из любого желаемого положения пиперидинового кольца, и конкретными примерами такой группы можно назвать 1-пиперидил, 2-пиперидил и 3-пиперидил. Термин «оксазолил», использованный в данном описании, относится к одновалентной группе, произведенной удалением атома водорода из любого желаемого положения оксазольного кольца, и конкретными примерами такой группы можно назвать 2-оксазолил, 4-оксазолил и 5-оксазолил. Термин «изоксазолил», использованный в данном описании, относится к одновалентной группе, произведенной удалением атома водорода из любого желаемого положения изоксазольного кольца, и конкретными примерами такой группы можно назвать 3-изоксазолил, 4-изоксазолил и 5-изоксазолил. Термин «тиазолил», использованный в данном описании, относится к одновалентной группе, произведенной удалением атома водорода из любого желаемого положения тиазольного кольца, и конкретными примерами такой группы можно назвать 2-тиазолил, 4-тиазолил и 5-тиазолил. Термин «пирролил», использованный в данном описании, относится к одновалентной группе, произведенной удалением атома водорода из любого желаемого положения пиррольного кольца, и конкретными примерами такой группы можно назвать 1-пирролил, 2-пирролил и 3-пирролил. Термин «пиразолил», использованный в данном описании, относится к одновалентной группе, произведенной удалением атома водорода из любого желаемого положения пиразольного кольца, и конкретными примерами такой группы можно назвать 1-пиразолил, 3-пиразолил, 4-пиразолил и 5-пиразолил. Термин «морфолинил», использованный в данном описании, относится к одновалентной группе, произведенной удалением атома водорода из любого желаемого положения морфолинового кольца, и конкретными примерами такой группы можно назвать 4-морфолинил, 2-морфолинил и 3-морфолинил. Термин «пиридил», использованный в данном описании, относится к одновалентной группе, произведенной удалением атома водорода из любого желаемого положения пиридинового кольца, и конкретными примерами такой группы можно назвать 2-пиридил, 3-пиридил и 4-пиридил. Термин «диоксанил», использованный в данном описании, относится к одновалентной группе, произведенной удалением атома водорода из любого желаемого положения 1,3-диоксанового кольца или 1,4-диоксанового кольца, и конкретными примерами такой группы можно назвать 1,3-диоксан-2-ил, 1,3-диоксан-4-ил, 1,3-диоксан-5-ил и 1,4-диоксан-2-ил. Термин «дигидропиранил», использованный в данном описании, относится к одновалентной группе, произведенной удалением атома водорода из любого желаемого положения 3,4-дигидро-2Н-пиранового кольца или 3,6-дигидро-2Н-пиранового кольца, и конкретными примерами такой группы можно назвать 3,4-дигидро-2Н-пиран-2-ил, 3,4-дигидро-2Н-пиран-3-ил, 3,4-дигидро-2Н-пиран-4-ил, 3,4-дигидро-2Н-пиран-5-ил, 3,4-дигидро-2Н-пиран-6-ил, 3,6-дигидро-2Н-пиран-2-ил, 3,6-дигидро-2Н-пиран-3-ил, 3,6-дигидро-2Н-пиран-4-ил, 3,6-дигидро-2Н-пиран-5-ил и 3,6-дигидро-2Н-пиран-6-ил. Термин «дигидрофуран-2-онил», использованный в данном описании, относится к одновалентной группе, произведенной удалением атома водорода из любого желаемого положения дигидрофуран-2-онового кольца, и конкретными примерами такой группы можно назвать дигидрофуран-2-он-3-ил, дигидрофуран-2-он-4-ил и дигидрофуран-2-он-5-ил. Соединение показанной выше общей формулы (I), где «R2 и R3 или R3 и R4 могут быть связаны друг с другом с образованием 5-7-членного кольца, необязательно содержащего 1-4 гетероатома в кольце и необязательно содержащего карбонил в кольце», является соединением, в котором пиразоло[1,5-a]пиридин в общей формуле (I) конденсирован с М1 в положениях присоединения R2 и R3, как представлено формулой: (где R1, R4, R5, R6 и Ar имеют такие же значения, как определено выше, кольцо М1 представляет 5-7-членное кольцо, необязательно имеющее 1-4 гетероатома и необязательно имеющее карбонил в кольце, причем кольцо М1 также необязательно имеет заместитель, выбранный из группы А заместителей, описанной выше), или соединением, в котором пиразоло[1,5-a]пиридин в общей формуле (I) конденсирован с М1 в положениях присоединения R4 и R3, как представлено формулой: (где R1, R2, R5, R6 и Ar имеют такие же значения, как определено выше, кольцо М1 представляет 5-7-членное кольцо, необязательно имеющее 1-4 гетероатома и необязательно имеющее карбонил в кольце, причем кольцо М1 также необязательно имеет заместитель, выбранный из группы А заместителей, описанной выше). В качестве колец для «кольца М1» можно указать как предпочтительные пиридин, необязательно имеющий заместитель, выбранный из группы А заместителей, бензол, необязательно имеющий заместитель, выбранный из группы А заместителей, тиофен, необязательно имеющий заместитель, выбранный из группы А заместителей, циклогексан, необязательно имеющий заместитель, выбранный из группы А заместителей, пиридин, необязательно имеющий заместитель, выбранный из группы А заместителей, и пиперидин-2-он, необязательно имеющий заместитель, выбранный из группы А заместителей. Соединение показанной выше общей формулы (I), где «R5 и R6 могут быть связаны друг с другом с образованием 5-10-членного кольца, необязательно содержащего 1-4 гетероатома в кольце и необязательно содержащего карбонил в кольце» является соединением, в котором R5 и R6 в формуле (I) связаны друг с другом с образованием кольца М2, как представлено формулой: (где R1, R2, R3, R4 и Ar имеют такие же значения, как определено выше, кольцо М2 представляет 5-10-членное кольцо, необязательно имеющее 1-4 гетероатома и необязательно имеющее карбонил в кольце, причем кольцо М2 также необязательно имеет заместитель, выбранный из группы А заместителей, описанной выше). В качестве колец для «кольца М2» можно указать как предпочтительные «5-14-членную гетероарильную группу», необязательно имеющую заместитель, выбранный из группы А заместителей, «4-14-членную гетероциклическую группу, необязательно имеющую заместитель, выбранный из группы А заместителей, «9-11-членную бензольную конденсированную кольцевую группу», необязательно имеющую заместитель, выбранный из группы А заместителей, и «8-11-членную гетероарильную конденсированную кольцевую группу», необязательно имеющую заместитель, выбранный из группы А заместителей. Соединение показанной выше общей формулы (I), где «R6 и R2 могут быть связаны друг с другом с образованием 6-7-членного кольца, необязательно содержащего 1 или 2 гетероатома в кольце и необязательно содержащего карбонил в кольце» является соединением, в котором R6 и R2 связаны друг с другом в виде М3 с образованием кольца, как представлено формулой: (где R1, R3, R4, R5 и Ar имеют такие же значения, как определено выше, и кольцо М3 представляет необязательно замещенный 1,2-этилен, необязательно замещенный 1,3-пропилен, необязательно замещенный 1,2-винилен или необязательно замещенный амид). Термин «соль», использованный в данном описании, особо не ограничивается, лишь бы это была фармакологически приемлемая соль, образованная с соединением по настоящему изобретению, и в качестве предпочтительных солей можно назвать соль галогеноводородной кислоты (например, гидрофторид, гидрохлорид, гидробромид и гидроиодид), соль неорганической кислоты (например, сульфат, нитрат, перхлорат, фосфат, карбонат и бикарбонат), органический карбоксилат (например, ацетат, трифторацетат, оксалат, малеат, тартрат, фумарат и цитрат), органический сульфонат (например, метансульфонат, трифторметансульфонат, этансульфонат, бензолсульфонат, толуолсульфонат и камфорсульфонат), соль аминокислоты (например, аспартат и глутамат), соль четвертичного амина, соль щелочного металла (например, натриевая соль и калиевая соль) или соль щелочно-земельного металла (например, магниевая соль и кальциевая соль), а более предпочтительными «фармакологически приемлемыми солями» являются гидрохлорид, оксалат, трифторацетат и тому подобное. Далее описаны типичные схемы получения соединений по настоящему изобретению, представленных показанной выше формулой (I). На следующих схемах получения R1, R2, R3, R4, R5, R6, R8а, R8b, R8с, R8d и Ar имеют соответственно такие же значения, как определено выше, Х представляет галоген (например, фтор, хлор, бром или иод) и ХBS представляет бор, замещенный OR8а и OR8b, или олово, замещенное R8с, R8d и R8e. Y представляет NRy, O, S(O)n и А представляет NO или NO2. Группа, представленная ProtN, является аминозащитной группой, а группа, представленная ProtО, является гидроксилзащитной группой. АХ представляет Ar или Х [когда Ar и Х имеют такие же соответственные значения, как определено выше], Ar кольцо имеет такое же значение, как определено выше для Ar, Het кольцо представляет необязательно замещенный 5-14-членный гетероарил или 9-11-членную бензольную конденсированную кольцевую группу и R1c и R1d каждый представляет необязательно замещенный С1-6 алкил, С2-6 алкенил, С2-6 алкинил, С3-8 циклоалкил или тому подобное. Rса представляет необязательно замещенный С1-6 алкил или тому подобное и Lev представляет уходящую группу, такую как галоген или трифторметансульфонил. Rar и Rhet каждый представляет циано, С1-6 алкил, С2-6 алкенил, С2-6 алкинил, галогенированный С1-6 алкил, С1-6 алкокси, галогенированный С1-6 алкокси, С2-6 алкенилокси, С2-6 алкинилокси или тому подобное. Rrr представляет циано, С1-6 алкокси, необязательно замещенный арил или необязательно замещенный 5-14-членный гетероарил и RХ1 представляет С1-6 алкил, С2-6 алкенил, С2-6 алкинил, галогенированный С1-6 алкил, бензил, заместитель, служащий в качестве защитной группы для атома Y, такой как Вос, или тому подобное. Ry и R6 Схема 1 получения Стадия А: Галогенированное соединение (1) может быть подвергнуто реакции в присутствии катализатора, такого как палладиевый катализатор или иодид меди (I), с производным ацетилена в присутствии основания в инертном растворителе при 0-250°С с получением производного ацетилена (2). Используемый растворитель будет отличаться в зависимости от исходного вещества, реагента и т.д. и особо не ограничивается, если только он не замедляет реакцию и до некоторой степени растворяет исходные вещества, но предпочтительно можно назвать бензол, толуол, ксилол, анизол, N,N-диметилформамид, 1,2-диметоксиэтан, тетрагидрофуран, диоксан, н-бутанол, этанол, метанол, 1-метил-2-пирролидинон, воду или их смеси. Используемое основание будет отличаться в зависимости от исходных веществ, растворителя и т.д. и особо не ограничивается, если только оно не замедляет реакцию, и в качестве предпочтительных оснований можно назвать карбонат калия, карбонат натрия, фторид цезия, фторид калия, гидрокарбонат натрия, триэтиламин и диэтиламин. Указанные основания можно также использовать в качестве растворителей. При использовании палладиевого или никелевого металлического комплекса он также будет отличаться в зависимости от исходных веществ, растворителя и т.д. и особо не ограничивается, если только он не замедляет реакцию, но предпочтительными являются Pd(PPh3)4, Pd(ОАс)2/PPh3, PdCl2, PdCl2(dppf), Ni(dpp)2Cl2 и тому подобное. Стадия В: Производное ацетилена (2) может быть обработано N-аминирующим агентом (например, гидроксиламино-О-сульфоновой кислотой или О-мезитиленсульфонилгидроксиламином) в растворителе (например, этилацетате, тетрагидрофуране, диэтиловом эфире, дихлорметане, 1,2-диметоксиэтане, воде или подобном) при температуре от -50°С до комнатной температуры с получением соли N-аминопиридиния, которая реагирует в присутствии основания при температуре от 0°С до 250°С с получением замкнутого кольцевого соединения (3). Используемый растворитель будет отличаться в зависимости от исходных веществ, реагента и т.д. и особо не ограничивается, если только он не замедляет реакцию и до некоторой степени растворяет исходное вещество, но предпочтительно можно назвать бензол, толуол, ксилол, анизол, N,N-диметилформамид, 1,2-диметоксиэтан, тетрагидрофуран, диоксан, н-бутанол, этанол, метанол и 1-метил-2-пирролидинон. Используемое основание будет отличаться в зависимости от исходных веществ, растворителя и т.д. и особо не ограничивается, если только оно не замедляет реакцию, но в качестве предпочтительных оснований можно назвать карбонат калия, карбонат натрия, фторид цезия, фторид калия, гидрокарбонат натрия, триэтиламин, метоксид натрия, этоксид натрия, трет-бутоксид натрия и трет-бутоксид калия. Схема 2 получения Стадия А: Производное пиразоло[1,5-a]пиридина (3), полученное согласно схеме 1 получения, может быть обработано алкиллитиевым реагентом (например, н-бутиллитием, втор-бутиллитием или трет-бутиллитием) в инертном растворителе при температуре от Стадия В: Галогенированное соединение (4) может быть подвергнуто взаимодействию с производным гетероарилборной кислоты или арилборной кислоты или металлароматическим соединением (например, гетероарилоловом или арилоловом) и палладиевым или никелевым комплексом при температуре от 0°С до 250°С с получением арил- или гетероарилзамещенного производного (5). Используемый растворитель будет отличаться в зависимости от исходных веществ, реагентов и т.д. и особо не ограничивается, если только он не замедляет реакцию и до некоторой степени растворяет исходные вещества, но предпочтительно можно назвать бензол, толуол, ксилол, мезитилен, анизол, N,N-диметилформамид, 1,2-диметоксиэтан, тетрагидрофуран, 1,4-диоксан, н-бутанол, этанол, метанол, 1-метил-2-пирролидинон, воду и их смеси. Используемое основание будет отличаться в зависимости от исходного вещества, растворителя и т.д. и особо не ограничивается, если только оно не замедляет реакцию, но в качестве предпочтительных оснований можно назвать карбонат калия, карбонат натрия, гидроксид бария, фторид цезия, фторид калия, гидрокарбонат натрия и триэтиламин. При использовании палладиевого или никелевого комплекса он также будет отличаться в зависимости от исходного вещества, растворителя и т.д. и особо не ограничивается, если только он не замедляет реакцию, но предпочтительными являются Pd(PPh3)4, Pd(ОАс)2/PPh3, PdCl2, PdCl2(dppf), Ni(dpp)2Cl2 и тому подобное. Стадия С: Производное пиразоло[1,5-a]пиридина (5) может быть подвергнуто взаимодействию с нитрующим агентом либо в растворителе, либо без растворителя с получением производного 3-нитропиразоло[1,5-a]пиридина (6). Растворитель, если его используют, будет отличаться в зависимости от исходного вещества, реагента и т.д. и особо не ограничивается, если только он не замедляет реакцию и до некоторой степени растворяет исходное вещество, но предпочтительно можно назвать уксусный ангидрид, уксусную кислоту, серную кислоту, трифторуксусный ангидрид, трифторуксусную кислоту, ацетонитрил, 1,2-диметоксиэтан и тетрагидрофуран. Используемый нитрующий агент будет отличаться в зависимости от исходного вещества, растворителя и т.д. и особо не ограничивается, если только он не замедляет реакцию, но предпочтительно можно назвать тригидрат нитрата меди, азотную кислоту, дымящую азотную кислоту, нитрат натрия, BF4NO2, NH4 +NO3 – и тому подобное. Температура реакции обычно находится в пределах от -50°С до 200°С. Альтернативно производное пиразоло[1,5-a]пиридина (5) может быть подвергнуто взаимодействию с нитрозирующим агентом с получением производного 3-нитрозопиразоло[1,5-a]пиридина (6). Данную реакцию также можно проводить либо без растворителя, либо с растворителем и в последнем случае растворитель будет отличаться в зависимости от исходного вещества, реагента и т.д. и особо не ограничивается, если только он не замедляет реакцию и до некоторой степени растворяет исходное вещество, но предпочтительно можно назвать растворители, такие как уксусный ангидрид, уксусная кислота, хлористо-водородная кислота, серная кислота, трифторуксусный ангидрид, трифторуксусная кислота, ацетонитрил, 1,2-диметоксиэтан и тому подобное или их смеси с водой или этанолом. Используемый нитрозирующий агент будет отличаться в зависимости от исходного вещества, растворителя и т.д. и особо не ограничивается, если только он не замедляет реакцию, но предпочтительно можно назвать нитрит натрия, BF4NO и тому подобное. Температура реакции обычно находится в пределах от Стадия D: Нитро- или нитрозопроизводное (6) может быть подвергнуто взаимодействию с металлом (порошок) в присутствии или в отсутствие кислоты и либо в растворителе, либо без растворителя, с получением производного 3-аминопиразоло[1,5-a]пиридина (7). Температура реакции обычно находится в пределах от -10°С до 150°С. Кислота, если ее используют, будет отличаться в зависимости от исходного вещества, растворителя и т.д. и особо не ограничивается, если только она не замедляет реакцию, но предпочтительно можно назвать уксусную кислоту, хлористо-водородную кислоту, серную кислоту и тому подобное. Растворитель, если его используют, будет отличаться в зависимости от исходного вещества, реагента и т.д. и особо не ограничивается, если только он не замедляет реакцию и до некоторой степени растворяет исходное вещество, но предпочтительно можно назвать метанол, этанол, н-бутанол, воду и тому подобное, которые используют в отдельности или в виде их смеси. Используемым металлом (порошком) может быть Zn, Fe, SnCl2, NiCl2 или тому подобное. В альтернативном способе нитро- или нитрозопроизводное (6) может быть подвергнуто реакции гидрирования в атмосфере водорода с получением производного 3-аминопиразоло[1,5-a]пиридина (7). Давление водорода находится в пределах от 1 до 100 атмосфер, а температура реакции – в интервале 0-200°С. Реакцию можно проводить либо без растворителя, либо с растворителем, и в последнем случае растворитель будет отличаться в зависимости от исходного вещества, реагента и т.д. и особо не ограничивается, если только он не замедляет реакцию и до некоторой степени растворяет исходное вещество, но предпочтительно можно назвать метанол, этанол, пропанол, бутанол, тетрагидрофуран, 1,4-диоксан, этилацетат, ацетон, N,N-диметилформамид и тому подобное. Реакцию можно проводить в присутствии или в отсутствие кислоты с использованием металлического катализатора. Используемые кислота и металлический катализатор будут отличаться в зависимости от исходного вещества, растворителя и т.д. и особо не ограничиваются, если только они не замедляют реакцию, но в качестве предпочтительных кислот можно назвать уксусную кислоту и хлористо-водородную кислоту, а в качестве предпочтительных металлических катализаторов можно назвать Pd-C, PtO2, Pt-C, Ni Ренея и тому подобное. Кроме того, для генерирования водорода в системе в ходе реакции получения производного 3-аминопиразоло[1,5-a]пиридина (7) можно нагревать формиат аммония или тому подобное в растворителе, таком как метанол. Стадия Е: Производное 3-Аминопиразоло[1,5-a]пиридина (7) может быть подвергнуто взаимодействию с производным карбонила (например, диэтилкетоном) или производным альдегида (например, пропиональдегидом) в присутствии восстановителя с получением производного пиразоло[1,5-a]пиридина, представленного формулой (I) или [I’]. Соединение [I] или соединение [I’] получают в зависимости от числа молей карбонильного производного. Реакцию можно проводить в присутствии или в отсутствие кислоты, с растворителем или без и в присутствии или в отсутствие неорганической соли. Растворитель, если его используют, будет отличаться в зависимости от исходного вещества, реагента и т.д. и особо не ограничивается, если только он не замедляет реакцию и до некоторой степени растворяет исходное вещество, но предпочтительно можно назвать тетрагидрофуран, диэтиловый эфир, 1,2-дихлорэтан, дихлорметан, хлороформ, ацетонитрил, воду и тому подобное. Используемые кислота, неорганическая соль и восстановитель будут отличаться в зависимости от исходного вещества, растворителя и т.д. и особо не ограничиваются, если только они не замедляют реакцию, но предпочтительно можно назвать уксусную кислоту, серную кислоту и тому подобное в качестве кислот, сульфат натрия и тому подобное в качестве неорганических солей и триацетоксиборгидрид натрия, боргидрид натрия, цианборгидрид натрия и тому подобное в качестве восстановителя. Температура реакции обычно находится в пределах от -10°С до 150°С. Схема 3 получения Стадия А: Производное пиразоло[1,5-a]пиридина (4) может быть подвергнуто реакции нитрования или реакции нитрозирования так же, как на стадии С схемы 2 получения, описанной выше, с получением соединения (8). Стадия В: Галогенированное соединение (8) может быть подвергнуто реакции перекрестного сочетания так же, как на стадии В схемы 2 получения, описанной выше, с получением арил- или гетероарилзамещенного производного (6). Схема 4 получения Стадия А: Производное 3-аминопиразоло[1,5-a]пиридина (7) может быть подвергнуто взаимодействию с аминозащитным реагентом (например, ди-трет-бутилдикарбонатом) с получением производного 3-аминопиразоло[1,5-a]пиридина (9), имеющего в положении 3 аминогруппу, защищенную карбаматной группой (например, трет-бутоксикарбонилом). Реакцию можно проводить с растворителем или без и в присутствии или в отсутствие основания. Растворитель, если его используют, будет отличаться в зависимости от исходного вещества, реагента и т.д. и особо не ограничивается, если только он не замедляет реакцию и до некоторой степени растворяет исходное вещество, но предпочтительно можно назвать тетрагидрофуран, диэтиловый эфир, 1,4-диоксан, дихлорметан, 1,2-дихлорэтан, хлороформ, N,N-диметилформамид и тому подобное. Основание, если его используют, будет отличаться в зависимости от исходного вещества, растворителя и т.д. и особо не ограничивается, если только оно не замедляет реакцию, но предпочтительно можно назвать триэтиламин, гидрид натрия, карбонат калия, карбонат натрия, карбонат цезия, гидрокарбонат натрия, 4-(диметиламино)пиридин, бис(триметилсилил)амид натрия и тому подобное. Температура реакции обычно находится в пределах от Стадия В: Производное 3-аминопиразоло[1,5-a]пиридина (9) может быть подвергнуто взаимодействию с алкилирующим агентом (например, необязательно замещенным алкилгалогенидом) с получением производного пиразоло[1,5-a]пиридина (10). Реакцию можно проводить с растворителем или без и в присутствии или в отсутствие основания. Растворитель, если его используют, будет отличаться в зависимости от исходного вещества, реагента и т.д. и особо не ограничивается, если только он не замедляет реакцию и до некоторой степени растворяет исходное вещество, но предпочтительно можно назвать тетрагидрофуран, диэтиловый эфир, N,N-диметилформамид, диметилсульфоксид и тому подобное. Основание, если его используют, будет отличаться в зависимости от исходного вещества, растворителя и т.д. и особо не ограничивается, если только оно не замедляет реакцию, но предпочтительно можно назвать гидрид натрия, гидрид калия, карбонат калия, карбонат натрия, карбонат цезия, гидроксид калия, гидроксид натрия и тому подобное. Температура реакции обычно находится в пределах от Стадия С: Производное 3-аминопиразоло[1,5-a]пиридина (10) с защищенной аминогруппой может быть подвергнуто реакции снятия защиты с получением производного 3-моноалкиламинопиразоло[1,5-a]пиридина (I’). Реакцию можно проводить в присутствии или в отсутствие реагента для снятия защиты. В случае использования реагент для снятия защиты будет отличаться в зависимости от исходного вещества, растворителя и т.д. и особо не ограничивается, если только он не замедляет реакцию, но предпочтительно можно назвать хлористо-водородную кислоту, серную кислоту, трифторуксусную кислоту, метансульфоновую кислоту, иодтриметилсилан, хлорид алюминия (III), триметилсилилтрифлат и тому подобное. Когда в качестве защитной группы используют группу, отличную от Вос (такую как Fmoc, Troc или тому подобное), снятие защиты производят, используя реагенты и реакции, подходящие для данной защитной группы. Реакцию можно проводить с растворителем или без и, если ее осуществляют с растворителем, растворитель предпочтительно представляет собой этилацетат, тетрагидрофуран, диэтиловый эфир, 1,4-диоксан, ацетонитрил, дихлорметан, хлороформ, нитрометан, фенол, анизол, тиофенол или тому подобное. Растворитель будет отличаться в зависимости от исходного вещества, реагента и т.д. и особо не ограничивается, если только он не замедляет реакцию и до некоторой степени растворяет исходное вещество. Температура реакции обычно находится в пределах от Стадия D: Производное пиразоло[1,5-a]пиридина (I’) может быть подвергнуто взаимодействию с карбонильным производным (например, диэтилкетоном), альдегидным производным (например, пропиональдегидом) или эквивалентным карбонилу соединением (например, ((1-этоксициклопропил)окси)триметилсиланом) в присутствии восстановителя с получением производного пиразоло[1,5-a]пиридина (I). Температура реакции обычно находится в пределах от -10°С до 150°С. Реакцию можно проводить в присутствии или в отсутствие кислоты, с растворителем или без и в присутствии или в отсутствие неорганической соли. Растворитель, если его используют, будет отличаться в зависимости от исходного вещества, реагента и т.д. и особо не ограничивается, если только он не замедляет реакцию и до некоторой степени растворяет исходное вещество, но предпочтительно можно назвать тетрагидрофуран, диэтиловый эфир, 1,2-дихлорэтан, дихлорметан, хлороформ, ацетонитрил, этанол, метанол, воду и тому подобное, которые можно использовать в отдельности или в виде смешанных растворителей. Используемые кислота, неорганическая соль и восстановитель будут отличаться в зависимости от исходного вещества, растворителя и т.д. и особо не ограничиваются, если только они не замедляют реакцию, но предпочтительно можно назвать уксусную кислоту, серную кислоту и тому подобное в качестве кислот, сульфат натрия и тому подобное в качестве неорганических солей и триацетоксиборгидрид натрия, боргидрид натрия, цианборгидрид натрия и тому подобное в качестве восстановителя. Альтернативно, производное пиразоло[1,5-a]пиридина (I’) может быть подвергнуто взаимодействию с ацилирующим агентом в присутствии или в отсутствие основания и с растворителем или без него с получением производного пиразоло[1,5-a]пиридина (I). Температура реакции обычно находится в пределах от -20°С до 150°С. Растворитель, если его используют, будет отличаться в зависимости от исходного вещества, реагента и т.д. и особо не ограничивается, если только он не замедляет реакцию и до некоторой степени растворяет исходное вещество, но предпочтительно можно назвать тетрагидрофуран, диэтиловый эфир, 1,2-дихлорэтан, дихлорметан, ацетонитрил, этанол, метанол, воду и тому подобное, которые можно использовать в отдельности или в виде смешанных растворителей. Основание, если его используют, будет отличаться в зависимости от исходного вещества, растворителя и т.д. и особо не ограничивается, если только оно не замедляет реакцию, но предпочтительно можно назвать триэтиламин, N,N-диизопропилэтиламин, 4-(диметиламино)пиридин, карбонат натрия, карбонат калия, гидроксид натрия, гидроксид калия и тому подобное. Схема 5 получения Стадия А: Нитро- или нитрозопроизводное (8) может быть подвергнуто взаимодействию с металлом (порошок) с получением производного 3-аминопиразоло[1,5-a]пиридина (11). Температура реакции обычно находится в пределах от -10°С до 150°С. Реакцию можно проводить в присутствии или в отсутствие кислоты и либо с растворителем, либо без растворителя. Кислота, если ее используют, будет отличаться в зависимости от исходного вещества, растворителя и т.д. и особо не ограничивается, если только она не замедляет реакцию, но предпочтительно можно назвать уксусную кислоту, хлористо-водородную кислоту, серную кислоту и тому подобное. Растворитель, если его используют, будет отличаться в зависимости от исходного вещества, реагентов и т.д. и особо не ограничивается, если только он не замедляет реакцию и до некоторой степени растворяет исходное вещество, но предпочтительно можно назвать метанол, этанол, н-бутанол, тетрагидрофуран, воду и тому подобное, которые используют в отдельности или в виде смешанных растворителей. Используемым металлом (порошком) может быть цинк, железо, SnCl2, NiCl2 или тому подобное. Стадия В: Производное 3-аминопиразоло[1,5-a]пиридина (11) может быть подвергнуто такому же взаимодействию, как на стадии А схемы 4 получения, описанной выше, и защите его аминогруппы с получением соединения (12). Стадия С: Галогенированное соединение (12) может быть подвергнуто реакции поперечного связывания с использованием палладиевого катализатора так же, как на стадии В схемы 2 получения, описанной выше, получая в результате соединение (9). Схема 6 получения Стадия А: Производное карбоновой кислоты (13) может быть подвергнуто взаимодействию с азидирующим агентом (например, дифенилфосфорилазидом (DPPA)) с использованием растворителя или без и в присутствии или в отсутствие основания при температуре от -70°С до 250°С, получая в результате производное азида кислоты, которое нагревают до 0-250°С для осуществления реакции перегруппировки, такой как реакция Курциуса, с образованием в системе изоцианата и затем подвергают взаимодействию с трет-бутанолом или подобным с получением производного 3-аминопиразоло[1,5-a]пиридина ((9) или (12)), защищенного карбаматной группой, такой как трет-бутоксикарбонил (Вос). Растворитель, если его используют, будет отличаться в зависимости от исходного вещества, реагентов и т.д. и особо не ограничивается, если только он не замедляет реакцию и до некоторой степени растворяет исходное вещество, но предпочтительно можно назвать бензол, толуол, ксилол, дифениловый эфир, трет-бутанол, тетрагидрофуран, диоксан, ацетонитрил, N,N-диметилформамид и тому подобное, которые можно использовать в отдельности или в виде смешанных растворителей. Основание, если его используют, будет отличаться в зависимости от исходного вещества, растворителя и т.д. и особо не ограничивается, если только оно не замедляет реакцию, но предпочтительно можно назвать триэтиламин, диизопропилэтиламин, 4-(диметиламино)пиридин, пиридин и тому подобное. В альтернативном способе синтеза производного азида кислоты производное карбоновой кислоты (9) может быть преобразовано в хлорангидрид кислоты или смешанный ангидрид кислоты и может быть подвергнуто взаимодействию с азидирующим агентом (например, азидом натрия, триметилсилилазидом и т.д.), получая в результате производное азида кислоты. И в еще одном альтернативном способе целевое соединение ((9) или (12)) может быть получено проведением реакции перегруппировки по Гофману или Шмидту. Схема 7 получения Стадия А: Соединение (12) может быть алкилировано таким же способом, как на стадии В схемы 4 получения, с получением соединения (13). Стадия В: У соединения (13) может быть удалена защитная группа таким же способом, как на стадии С схемы 4 получения, с получением соединения (14). Стадия С: Соединение (14) может быть алкилировано или ацилировано таким же способом, как на стадии D схемы 4 получения, с получением соединения (15). Стадия D: Соединение (11) может быть алкилировано таким же способом, как на стадии Е схемы 2 получения, с получением соединения (15). Стадия Е: Соединение (15) может быть подвергнуто реакции перекрестного сочетания, используя палладиевый комплекс или подобное, таким же способом, как на стадии В схемы 2 получения, с получением соединения (I). Схема 8 получения Стадия А: Соединение (19) может быть получено способом, описанным в Heterocycles, 1977, 6, 379. В частности, соединение (17) может быть подвергнуто взаимодействию с соединением (18) с получением соединения (19). Стадия В: Соединение (20) может быть получено восстановлением соединения (19) согласно стадии D схемы 2 получения. Стадия С: Соединение (21), имеющее защищенную аминогруппу в положении 3, может быть получено из соединения (20) согласно стадии А схемы 4 получения. Стадия D: Галогенированное соединение (12′) может быть получено из соединения (21) с защищенной аминогруппой в положении 3 введением галогена в положение 7 согласно стадии А схемы 2 получения. Схема 9 получения Стадия А: Соединение (Is) может быть окислено окислителем, таким как м-хлорпербензойная кислота или тому подобное, с использованием растворителя или без, получая в результате сульфоксид (Is1). Температура реакции обычно составляет от -70°С до 150°С. Растворитель, если его используют, будет отличаться в зависимости от исходного вещества, реагента и т.д. и особо не ограничивается, если только он не замедляет реакцию и до некоторой степени растворяет исходное вещество, но предпочтительно можно назвать ацетон, уксусную кислоту, трифторуксусную кислоту, дихлорметан, хлороформ, бензол, нитрометан, метанол, этанол, воду и тому подобное, которые можно использовать в отдельности или в виде смешанных растворителей. В качестве используемых окислителей можно назвать м-хлорпербензойную кислоту, трифторперуксусную кислоту, бис(триметилсилил)пероксикислоту, периодат натрия, тетроксид диазоат, смесь азотная кислота/серная кислота, хромовую кислоту и тому подобное. Стадия В: Сульфоксид (Is1) может быть окислен окислителем, таким как м-хлорпербензойная кислота или тому подобное, с использованием растворителя или без, получая в результате сульфон (Is2). Температура реакции обычно составляет от -70°С до 150°С. Растворитель, если его используют, будет отличаться в зависимости от исходного вещества, реагента и т.д. и особо не ограничивается, если только он не замедляет реакцию и до некоторой степени растворяет исходное вещество, но предпочтительно можно назвать ацетон, уксусную кислоту, трифторуксусную кислоту, дихлорметан, хлороформ, бензол, метанол, этанол, воду и тому подобное, которые можно использовать в отдельности или в виде смешанных растворителей. В качестве используемых окислителей можно назвать м-хлорпербензойную кислоту, хромовую кислоту, тетроксид осмия, перманганат калия и тому подобное. Схема 10 получения Стадия А: Сложный эфир 2-пиридилуксусной кислоты (22) и гидроксиламин-О-сульфоновой кислоты (23) могут быть подвергнуты взаимодействию в присутствии или в отсутствие основания и с использованием растворителя, получая в результате производное 2-гидроксипиразоло[1,5-a]пиридина (24). Температура реакции обычно составляет от 0°С до 100°С. Используемый растворитель будет отличаться в зависимости от исходного вещества, реагента и т.д. и особо не ограничивается, если только он не замедляет реакцию и до некоторой степени растворяет исходное вещество, но предпочтительно можно назвать ацетон, уксусную кислоту, метанол, этанол, воду и тому подобное, которые можно использовать в отдельности или в виде смешанных растворителей. Стадия В: Производное 2-гидроксипиразоло[1,5-a]пиридина (24) может быть подвергнуто взаимодействию с алкилирующим агентом с использованием растворителя или без него и в присутствии или в отсутствие основания, получая в результате соединение (25). Температура реакции обычно составляет от 0°С до 100°С. Растворитель, если его используют, будет отличаться в зависимости от исходного вещества, реагента и т.д. и особо не ограничивается, если только он не замедляет реакцию и до некоторой степени растворяет исходное вещество, но предпочтительно можно назвать ацетон, метанол, этанол, воду и тому подобное, которые можно использовать в отдельности или в виде смешанных растворителей. В качестве алкилирующих агентов можно назвать диметилсерную кислоту, алкилгалогениды, диазометан, триметилсилилдиазометан или тому подобное. Основание, если его используют, будет отличаться в зависимости от исходного вещества, растворителя и т.д. и особо не ограничивается, если только оно не замедляет реакцию, но предпочтительно можно назвать карбонат кальция, карбонат натрия, гидрокарбонат натрия, триэтиламин и тому подобное. Стадия С: Соединение (25) может быть использовано для получения соединения (26) таким же способом, как на стадии А схемы 2 получения. Стадия D: Соединение (26) может быть использовано для получения соединения (8′) таким же способом, как на стадии C схемы 2 получения. Схема 11 получения Стадия А: Стадия преобразования уходящей группы Lev, замещающей в положении 7 или у атома N в положении 3 производного пиразоло[1,5-a]пиридина, представленного формулой (Iа1) или формулой (Ih1), в требуемый заместитель Rar или Rrr. Могут быть использованы следующие реакции. [1] Производное пиразоло[1,5-a]пиридина, представленное формулой (Iа1) или формулой (Ih1), может быть нагрето и подвергнуто взаимодействию с цианидом металла, таким как цианид меди(I), цианид цинка или цианид калия, с использованием растворителя или без него и в присутствии или в отсутствие катализатора, получая в результате производное пиразоло[1,5-a]пиридина, представленное формулой (Iа2) или формулой (Ih2). Температура реакции обычно составляет от 40°С до 250°С. Растворитель, если его используют, будет отличаться в зависимости от исходного вещества, реагента и т.д. и особо не ограничивается, если только он не замедляет реакцию и до некоторой степени растворяет исходное вещество, но предпочтительно можно назвать N,N-диметилформамид, 1-метил-2-пирролидинон, 1,3-диметил-2-имидазолидинон, тетрагидрофуран, 1,4-диоксан, пиридин, хинолин и тому подобное, которые можно использовать в отдельности или в виде смешанных растворителей. Катализатор, если его используют, будет отличаться в зависимости от исходного вещества, растворителя и т.д. и особо не ограничивается, если только он не замедляет реакцию, но предпочтительно можно назвать краунэфиры, такие как 18-краун-6. [2] Производное пиразоло[1,5-a]пиридина, представленное формулой (Iа1) или формулой (Ih1), может быть подвергнуто взаимодействию с органическим производным борной кислоты, органическим производным олова или цианидом металла, таким как цианид меди(I), цианид цинка или цианид калия, в присутствии палладиевого или никелевого комплекса, с использованием растворителя или без него и в присутствии или в отсутствие основания, получая в результате производное пиразоло[1,5-a]пиридина, представленное формулой (Iа2) или формулой (Ih2). Температура реакции обычно составляет от 0°С до 150°С. Растворитель, если его используют, будет отличаться в зависимости от исходного вещества, реагента и т.д. и особо не ограничивается, если только он не замедляет реакцию и до некоторой степени растворяет исходное вещество, но предпочтительно можно назвать N,N-диметилформамид, 1-метил-2-пирролидинон, 1,3-диметил-2-имидазолидинон, тетрагидрофуран, 1,4-диоксан, 1,2-диметоксиэтан, бензол, толуол, ксилол, этанол, воду и тому подобное, которые можно использовать в отдельности или в виде смешанных растворителей. В качестве примеров палладиевых или никелевых комплексов можно назвать Pd(PPh3)4, Pd(ОАс)2/PPh3, Pd2(dba)3, PdCl2, PdCl2(dppf), Ni(dpp)2Cl2 и тому подобное. Основание, если его используют, будет отличаться в зависимости от исходного вещества, растворителя и т.д. и особо не ограничивается, если только оно не замедляет реакцию, но предпочтительно можно назвать карбонат калия, карбонат натрия, фторид цезия, фторид калия, гидрокарбонат натрия, гидроксид бария, триэтиламин и тому подобное. Схема 12 получения Стадия А: Стадия удаления Rх1 из соединения, представленного формулой (Iа3), имеющего YRх1, где Rх1 считается защитной группой, при условиях, подходящих для ее удаления. Например, когда YRх1 представляет С1-6 алкоксигруппу, ее можно подвергнуть взаимодействию со снимающим защиту реагентом, таким как трибромид бора, либо с использованием растворителя, либо без него, с получением соединения, представленного формулой (Iа4). Реакцию можно проводить либо в присутствии, либо в отсутствие снимающего защиту агента. Снимающий защиту агент, если его используют, будет отличаться в зависимости от исходного вещества, растворителя и т.д., но предпочтительно можно назвать трибромид бора, иодтриметилсилан, диэтилтрибромидэфират бора, хлористо-водородную кислоту и тому подобное. Используемый растворитель будет отличаться в зависимости от исходного вещества, реагента и т.д. и особо не ограничивается, если только он не замедляет реакцию и до некоторой степени растворяет исходное вещество, но предпочтительно можно назвать хлороформ, дихлорметан, ацетонитрил, этилацетат, метанол, этанол, воду и тому подобное, которые можно использовать в отдельности или в виде смешанных растворителей. Данная стадия включают также удаление группы Rх1, считающейся защитной группой, когда Y представляет NRy или S(O)n. Стадия В: Например, соединение, представленное формулой (Iа4), имеющее фенольную гидроксильную группу, может быть подвергнуто взаимодействию с алкилирующим агентом (например, необязательно замещенным алкилгалогенидом) либо в присутствии, либо в отсутствие основания и с использованием растворителя или без него, получая в результате соединение, представленное формулой (Iа5), с введенной в него группой Rу. Реакцию можно проводить с растворителем или без и в присутствии или в отсутствие основания. Растворитель, если его используют, будет отличаться в зависимости от исходного вещества, реагента и т.д. и особо не ограничивается, если только он не замедляет реакцию и до некоторой степени растворяет исходное вещество, но предпочтительно можно назвать тетрагидрофуран, диэтиловый эфир, N,N-диметилформамид, диметилсульфоксид, ацетон, этанол, метанол, воду и тому подобное. Основание, если его используют, будет отличаться в зависимости от исходного вещества, растворителя и т.д. и особо не ограничивается, если только оно не замедляет реакцию, но предпочтительно можно назвать гидрид натрия, гидрид калия, карбонат калия, карбонат натрия, карбонат цезия, гидроксид калия, гидроксид натрия и тому подобное. Температура реакции обычно находится в пределах от В качестве альтернативного способа можно использовать необязательно замещенное производное спирта для реакции Мицунобу в присутствии диазосоединения, такого как диэтилазодикарбоксилат, и органического соединения фосфора, такого как трифенилфосфин, с использованием растворителя или без него при температуре реакции от -70°С до 100°С с получением соединения, представленного формулой (Iа5), с введенным в него Rу. Растворитель, если его используют, будет отличаться в зависимости от исходного вещества, реагента и т.д. и особо не ограничивается, если только он не замедляет реакцию и до некоторой степени растворяет исходное вещество, но предпочтительно можно назвать тетрагидрофуран, диэтиловый эфир и тому подобное. Данная стадия может также включать введение заместителей подходящими способами введения заместителей, когда Y представляет NRу или S(O)n. Схема 13 получения Стадия А: Соединение (Iо), имеющее гидроксильную группу, защищенную бензоатной группой или тому подобным, на заместителе R6О у атома N в положении 3, может быть подвергнуто реакции снятия защиты с получением соединения (Iо1), имеющего гидроксильную группу, на заместителе R6О у атома N в положении 3. Реакцию можно проводить либо в присутствии, либо в отсутствие снимающего защиту агента. Снимающий защиту агент, если его используют, будет отличаться в зависимости от исходного вещества, растворителя и т.д., но предпочтительно можно назвать гидроксид натрия, гидроксид калия, гидрокарбонат натрия, карбонат калия, карбонат натрия и тому подобное. Реакцию можно проводить также без растворителя или с растворителем и в последнем случае растворитель особо не ограничивается, если только он не замедляет реакцию и до некоторой степени растворяет исходное вещество, но предпочтительно можно назвать метанол, этанол, н-бутанол, воду и тому подобное. Температура реакции обычно составляет от 0°С до 200°С. Когда в качестве защитной группы используют группу, отличную от бензоатной группы (например, метоксиметил, бензил, ацетил и т.д.), снятие защиты осуществляют с помощью реакции, в которой используют реагент, подходящий для данной защитной группы. Схема 14 получения Стадия А: Соединение (12) или (15) может быть подвергнуто взаимодействию с производным сложного эфира борной кислоты, таким как триэтоксиборан, или галогенированным оловоорганическим соединением, таким как хлорид триметилолова, с растворителем или без, после использования литийорганического реагента, такого как н-бутиллитий, для превращения атома галогена в анион, получая в результате органическое производное борной кислоты или органическое производное олова, представленное формулой (27) или (28). Температура реакции обычно составляет от -100°С до комнатной температуры. Используемый растворитель будет отличаться в зависимости от исходного вещества, реагента и т.д. и особо не ограничивается, если только он не замедляет реакцию и до некоторой степени растворяет исходное вещество, но предпочтительно можно назвать тетрагидрофуран, диэтиловый эфир, н-гексан, н-пентан и их смеси. Используемый литийорганический реагент будет отличаться в зависимости от исходного вещества или растворителя, но предпочтительно можно назвать н-бутиллитий, втор-бутиллитий, трет-бутиллитий и тому подобное. Используемый сложный эфир борной кислоты тоже будет отличаться в зависимости от исходного вещества, растворителя и т.д., но предпочтительно можно назвать триметоксиборан, триэтоксиборан, триизопропилоксиборан и тому подобное. Аналогичным образом, используемое оловоорганическое соединение также будет отличаться в зависимости от исходного вещества, растворителя и т.д., но предпочтительно можно назвать хлорид триметилолова, хлорид трибутилолова, бромид трибутилолова и тому подобное. Вместо использования литийорганического реагента, органическое производное борной кислоты или органическое производное олова, представленное формулой (27) или (28), может быть получено взаимодействием реактива Гриньяра, полученного из галогенида, используя металлический магний, и сложного эфира борной кислоты, производного диборана или галогенированного оловоорганического реагента, с использованием растворителя или без него. В качестве альтернативного способа соединение (12) или (15) может быть подвергнуто реакции связывания с дибораном, таким как бис(пинаколато)диборан, или оловоорганическим соединением, таким как гексаметилдиолово(IV), в присутствии Pd катализатора, такого как комплекс тетракис(трифенилфосфин)палладий(0), в присутствии или в отсутствие основания и с использованием растворителя или без него, получая в результате органическое производное борной кислоты или органическое производное олова, представленное формулой (27) или (28). Температура реакции обычно составляет от 0°С до 200°С. Используемый растворитель будет отличаться в зависимости от исходного вещества, реагента и т.д. и особо не ограничивается, если только он не замедляет реакцию и до некоторой степени растворяет исходное вещество, но предпочтительно можно назвать диоксан, толуол, 1,2-диметоксиэтан и их смеси. Стадия В: Соединение (27) или (28) может быть подвергнуто реакции связывания таким же образом, как на стадии В схемы 2 получения, описанной выше, с получением соединения (9) или (I). Схема 15 получения Стадия А: Производное пиразоло[1,5-a]пиридина (I’) может быть подвергнуто взаимодействию с арилгалогенидом (например, бромбензолом) или гетероарилгалогенидом (например, 2-бромпиридином) в присутствии или в отсутствие фосфорорганического соединения, такого как три-трет-бутилфосфин, и в присутствии Pd катализатора, такого как Pd2(dba)2, с получением производного пиразоло[1,5-a]пиридина (I), где R6 представляет арильную или гетероарильную группу. Температура реакции обычно составляет от 0°С до 250°С. Реакцию можно проводить в присутствии или в отсутствие основания и с растворителем или без него. Растворитель, если его используют, будет отличаться в зависимости от исходного вещества, реагента и т.д. и особо не ограничивается, если только он не замедляет реакцию и до некоторой степени растворяет исходное вещество, но предпочтительно можно назвать толуол, ксилол, мезитилен, тетрагидрофуран, диэтиловый эфир, 1,2-диметоксиэтан, 1,4-диоксан, воду и тому подобное, которые можно использовать в отдельности или в виде смешанных растворителей. Основание, если его используют, будет отличаться в зависимости от исходного вещества, растворителя и т.д. и особо не ограничивается, если только оно не замедляет реакцию, но предпочтительно можно назвать трет-бутоксид натрия, трет-бутоксид калия, карбонат натрия, карбонат калия, карбонат бария, карбонат цезия и тому подобное. В качестве используемых фосфорорганических соединений можно назвать три-трет-бутилфосфин, 2,2′-бис(дифенилфосфино-1,1′-бинафтил, ди-трет-бутил-о-бифенилфосфин и тому подобное. В качестве используемых Pd катализаторов можно назвать комплекс дихлорбис(три-о-толилфосфин)палладий, комплекс тетракис(трифенилфосфин)палладий, Pd2(dba)3, Pd2(dba)3CHCl3, Pd(ОАс)2, PdCl2(PPh3)2 и тому подобное. Выше описаны типичные схемы получения соединения (I) по настоящему изобретению, но исходные соединения и реагенты, используемые для получения соединений по настоящему изобретению, могут также образовывать соли или гидраты, которые будут отличаться в зависимости от используемых исходных веществ и растворителя и особо не ограничивается, если только они не замедляют реакцию. Используемые растворители также будут отличаться в зависимости от исходных веществ и реагентов и особо не ограничивается, если только они не замедляют реакцию и до некоторой степени растворяют исходные продуктов. Когда соединение (I) по настоящему изобретению получают в виде свободного соединения, то можно использовать обычный способ для превращения его в соль, которую может образовывать соединение (I). Различные изомеры (например, геометрические изомеры и оптические изомеры, вращающиеся изомеры, стереоизомеры и таутомеры, основанные на асимметрических атомах углерода), полученные для соединения (I) по настоящему изобретению, могут быть очищены и выделены обычными методами разделения, такими как перекристаллизация, методы диастереомерных солей, методы ферментативного разделения и хроматографические методы (например, тонкослойная хроматография, колоночная хроматография, газовая хроматография и т.д.). Соединения по настоящему изобретению, представленные формулой (I), и их соли проявляют сильный антагонизм к CRF рецепторам, особенно к CRF1 рецептору, а также являются низкотоксичными и в высокой степени безопасными и, следовательно, весьма полезны как лекарственные средства. Соединения по настоящему изобретению и их соли можно, таким образом, использовать для изготовления антагонистов рецептора фактора, высвобождающего кортикотропин (CRF) и антагонистов рецептора фактора, высвобождающего кортикотропин (CRF)-1 или рецептора фактора, высвобождающего кортикотропин (CRF)-2. Соединения по настоящему изобретению и их соли можно использовать для изготовления фармацевтических композиций (препаратов) в качестве (i) средств для лечения или профилактики заболеваний, связанных с фактором, высвобождающим кортикотропин (CRF), (ii) средств для лечения или профилактики депрессии, депрессивного симптома, мании, страха, расстройства генерализованной тревоги, панического расстройства, фобий, навязчиво-компульсивного расстройства, посттравматического стрессового расстройства, болезни Туретта, аутизма, аффективного расстройства, дистимии, биполярного расстройства, неустойчивой личности и шизофрении, (iii) средств для лечения или профилактики депрессивных симптомов, таких как тяжелая депрессия, эпизодическая депрессия, рецидивирующая депрессия, вызванное депрессией плохое обращение с детьми или послеродовая депрессия, (iv) средств для лечения или профилактики пептической язвы, синдрома раздраженной толстой кишки, язвенного колита, болезни Крона, диареи, запора, послеоперационной непроходимости кишечника, вызванных стрессом желудочно-кишечных расстройств или нервной рвоты и (v) средств для лечения или профилактики болезни Альцгеймера, старческой деменции Альцгеймера, нейродегенеративного заболевания, многоинфарктной деменции, старческой деменции, нервно-психической анорексии, расстройства принятия пищи, ожирения, диабета, алкогольной зависимости, фармакофилии, симптомов отмены наркотиков, симптомов отмены алкоголя, расстройства сна, бессонницы, мигрени, вызванной стрессом головной боли, головной боли, вызванной сокращением мышц, ишемического поражения нервных клеток, эксцитотоксического поражения нервных клеток, удара, прогрессирующего супрануклеарного паралича, бокового амиотрофического склероза, рассеянного склероза, мышечного спазма, синдрома хронической усталости, психосоциальной карликовости, эпилепсии, травмы головы, повреждения спинного мозга, писчего спазма, спастической кривошеи, синдрома передней лестничной мышцы, первичной глаукомы, синдрома Меньера, расстройства вегетативной регуляции, алопеции, невроза, гипертензии, сердечно-сосудистого нарушения, тахикардии, застойной сердечной недостаточности, гипервентиляционного синдрома, бронхиальной астмы, апневза, синдрома внезапной смерти младенца, воспалительного расстройства, боли, аллергической болезни, импотенции, менопаузального расстройства, нарушения оплодотворения, бесплодия, рака, иммунной дисфункции, вызванной ВИЧ-инфекцией, иммунной дисфункции, вызванной стрессом, геморрагического стресса, синдрома Кушинга, нарушения функции щитовидной железы, энцефаломиелита, акромегалии, недержания и остеопороза. Лечение или профилактика заболевания, связанного с рецепторами фактора, высвобождающего кортикотропин (CRF), возможно также путем однократного или многократного введения терапевтически эффективной дозы соединения по настоящему изобретению или его соли пациенту, страдающему болезнью, связанной с рецепторами CRF. Соединения по настоящему изобретению, представленные формулой (I), их соли или гидраты тех и других можно применять непосредственно или в смеси с известными фармацевтически приемлемыми носителями, причем смеси приготавливают обычными методами. В качестве предпочтительных лекарственных форм можно назвать таблетки, порошки, мелкие частицы, гранулы, таблетки с покрытием, капсулы, сиропы, лепешки, лекарственные формы для ингаляции, суппозитории, инъекционные растворы, мази, глазные мази, глазные капли, капли в нос, эмульсии, лосьоны и тому подобное. Для изготовления лекарственных форм можно использовать любые обычно применяемые эксципиенты, связующие вещества, разрыхлители, смазывающие вещества, красители, корригирующие покрытия и, если необходимо, стабилизаторы, эмульгаторы, вещества, способствующие всасыванию, поверхностно-активные вещества, регуляторы рН, консерванты, антиоксиданты или тому подобное в сочетании с различными компонентами, которые обычно используют в качестве исходных продуктов для фармацевтических препаратов. В качестве таких компонентов можно назвать животные и растительные масла, такие как соевое масло, говяжий твердый жир и синтетические глицериды; углеводороды, такие как жидкий парафин, сквалан и твердый парафин; сложноэфирные масла, такие как октилдодецилмиристат и изопропилмиристат; высшие спирты, такие как цетостеариловый спирт и бегениловый спирт; силиконовые смолы; силиконовые масла; поверхностно-активные вещества, такие как полиоксиэтиленовые сложные эфиры жирных кислот, сорбитановые сложные эфиры жирных кислот, глицериновые сложные эфиры жирных кислот, полиоксиэтиленсорбитановые сложные эфиры жирных кислот, полиоксиэтиленовое гидрогенизированное касторовое масло и блок-сополимер полиоксиэтилена и полиоксипропилена; водорастворимые полимеры, такие как гидроксиэтилцеллюлоза, полиакриловая кислота, карбоксивиниловый полимер, полиэтиленгликоль, поливинилпирролидон и метилцеллюлоза; низшие спирты, такие как этанол и изопропанол; многоатомные спирты, такие как глицерин, пропиленгликоль, дипропиленгликоль и сорбит; сахара, такие как глюкоза и сахароза; неорганические порошки, такие как кремниевый ангидрид, алюмосиликат магния и алюмосиликат; дистиллированную воду и тому подобное. Примеры эксципиентов, которые могут быть использованы, включают лактозу, кукурузный крахмал, белый мягкий сахар, глюкозу, маннит, сорбит, кристаллическую целлюлозу и диоксид кремния; примеры связывающих веществ, которые могут быть использованы, включают поливиниловый спирт, простой виниловый полиэфир, метилцеллюлозу, этилцеллюлозу, аравийскую камедь, трагакант, желатин, шеллак, гидроксипропилцеллюлозу, гидроксипропилметилцеллюлозу, поливинилпирролидон, блок-сополимер полипропиленгликоля и полиоксиэтилена и меглумин, цитрат кальция, декстрин, пектин и кальцийкарбоксиметилцеллюлозу; примеры разрыхлителей, которые могут быть использованы, включают крахмал, агар, желатиновый порошок, кристаллическую целлюлозу, карбонат кальция, гидрокарбонат натрия, цитрат кальция, декстрин, пектин и кальцийкарбоксиметилцеллюлозу; примеры смазывающих веществ, которые могут быть использованы, включают стеарат магния, тальк, полиэтиленгликоль, диоксид кремния и гидрогенизированные растительные масла; примеры красителей, которые могут быть использованы, включают любые красители, допущенные для добавления к лекарственным средствам; примеры корригирующих покрытий, которые могут быть использованы, включают порошок какао, ментол, ароматические порошки, ментоловое масло, борнеол и молотая корица; и примеры антиоксидантов, которые могут быть использованы, включают те антиоксиданты, которые допущены для добавления к лекарственным средствам, такие как аскорбиновая кислота и альфа-токоферол. Препарат для перорального применения может быть изготовлен смешением соединения по настоящему изобретению или его соли с наполнителем с добавлением, если необходимо, связывающего вещества, разрыхлителя, смазывающего вещества, красителя, корригирующего покрытия или подобного и изготовлением порошка, тонкоизмельченных частиц, гранул, таблеток, таблеток с покрытием, капсул и т.д. обычным способом. Таблетки или гранулы можно, конечно, также покрывать, если необходимо, сахарной оболочкой, желатиновой оболочкой или подходящей оболочкой другого типа. В случае жидкого препарата, такого как сироп, инъекционный раствор, глазные капли или тому подобное, можно использовать обычный способ изготовления с добавлением рН регулятора, солюбилизатора, изотонизирующего вещества или подобного, а также, если необходимо, вещества, улучшающего растворимость, стабилизатора, буферного средства, суспендирующего вещества, антиоксиданта и т.д. В случае жидкого препарата его можно также лиофилизовать, а раствор для инъекций можно вводить внутривенно, подкожно или внутримышечно. В качестве предпочтительных примеров суспендирующих веществ можно назвать метилцеллюлозу, полисорбат 80, гидроксиэтилцеллюлозу, аравийскую камедь, порошкообразный трагакант, натрийкарбоксиметилцеллюлозу, полиоксиэтиленсорбитанмонолаурат и тому подобное; в качестве предпочтительных примеров веществ, улучшающих растворимость, можно назвать полиоксиэтиленовое гидрогенизированное касторовое масло, полисорбат-80, никотинамид, полиоксиэтиленсорбитанмонолаурат и тому подобное; в качестве предпочтительных примеров стабилизаторов можно назвать сульфит натрия, метасульфит натрия, эфир и тому подобное; и в качестве предпочтительных примеров консервантов можно назвать метилпараоксибензоат, этилпараоксибензоат, сорбиновую кислоту, фенол, крезол, хлоркрезол и тому подобное. Нет особых ограничений на способ изготовления наружного средства и можно применять любой способ. Используемыми продуктами для основ могут быть любые сырьевые продукты, обычно используемые в лекарственных средствах, квазилекарственных средствах, косметике и подобном, и в качестве примеров можно назвать сырьевые материалы, такие как животные и растительные масла, минеральные масла, сложноэфирные масла, воски, высшие спирты, жирные кислоты, силиконовые масла, поверхностно-активные вещества, фосфолипиды, спирты, многоатомные спирты, водорастворимые полимеры, глинистые минералы, дистиллированную воду и тому подобное, с добавлением, если необходимо, регуляторов рН, антиоксидантов, хелатирующих веществ, антисептиков и фунгицидов, красителей, ароматизаторов и подобного. Кроме того, в случае необходимости могут быть также включены компоненты, вызывающие дифференциацию, или другие компоненты, такие как активаторы циркуляции, бактерицидные средства, противовоспалительные средства, активаторы клеток, витамины, аминокислоты, увлажнители, кератолитические средства и тому подобное. Лекарственные препараты, содержащие соединения по настоящему изобретению и их соли или гидраты тех и других в качестве эффективных компонентов, полезны для лечения или профилактики заболеваний у млекопитающих (например, людей, мышей, крыс, морских свинок, кроликов, собак, лошадей, обезьян и т.д.), и особенно для лечения и профилактики болезней у людей. Дозировка лекарственного средства по настоящему изобретению различается в зависимости от тяжести симптомов у пациента, возраста, пола, массы тела, лекарственной формы, типа соли, чувствительности к лекарственному средству и конкретного типа болезни и т.д., но обычно доза составляет от примерно 30 мкг до 10 г, предпочтительно от 100 мкг до 500 мг, более предпочтительно от 100 мкг до 100 мг в сутки для взрослых людей в случае перорального введения или примерно 1-3000 мкг/кг, а предпочтительно 3-1000 мкг/кг, в случае инъекции и вводится одноразово или несколько раз в сутки. [ПРИМЕРЫ] Следующие примеры получения, примеры и примеры испытаний служат лишь для целей иллюстрации и никоим образом не ограничивают соединения по настоящему изобретению. Специалистам в данной области очевидно, что возможны различные изменения, помимо указанных примеров, входящих в объем притязаний, приведенных в данном описании для максимизации эффекта изобретения, а также и такие изменения, которые охватываются пунктами формулы изобретения. Пример 1 получения 2-(1-Бутинил)пиридин После растворения 2-бромпиридина (50 г) в диэтиламине (500 мл) и добавления дихлорбис(трифенилфосфин)палладия(II) (2,2 г) и иодида меди (0,3 г) смесь перемешивали при комнатной температуре в течение 4 часов, вводя при этом 1-бутин (100 г) в виде газа. После барботирования азота смесь экстрагировали этилацетатом. Нерастворимую часть отфильтровывали через целит и затем органический слой промывали водой и насыщенным раствором соли. После сушки над безводным сульфатом магния и фильтрования растворитель удаляли при пониженном давлении, остаток очищали хроматографией на колонке с силикагелем и указанное в заголовке соединение (35 г) получали из фракции н-гексан:этилацетат (5:1) в виде коричневого масла. 1H ЯМР (400 МГц, CDCl3) Пример 2 получения 2-Этилпиразоло[1,5-a]пиридин После растворения 2-(1-бутинил)пиридина (12,8 г) в дихлорметане (60 мл) добавляли по каплям при охлаждении льдом раствор О-мезитиленсульфонилгидроксиамина (ссылочный документ: Synthesis, 1997, 1) (20 г) в дихлорметане (132 мл) и смесь перемешивали 30 минут. К реакционной смеси добавляли диэтиловый эфир (2 л) для осаждения кристаллов, которые отфильтровывали и сушили при пониженном давлении с получением мезитиленсульфоната N-амино-2-(1-бутинил)пиридиния (12,6 г) в виде бесцветных кристаллов. Часть (6,1 г) полученного мезитиленсульфоната N-амино-2-(1-бутинил)пиридиния растворяли в тетрагидрофуране (600 мл), добавляли при комнатной температуре трет-бутоксид калия (3,55 г), и смесь интенсивно перемешивали в течение 30 минут. После добавления к реакционной смеси ледяной воды проводили экстракцию этилацетатом. Водный слой опять экстрагировали этилацетатом, нерастворимую часть отфильтровывали через целит, и органические слои объединяли и промывали насыщенным раствором соли. После сушки над безводным сульфатом магния и фильтрования растворитель удаляли при пониженном давлении и остаток очищали хроматографией на колонке с силикагелем с получением из фракции н-гексан:этилацетат (10:1) указанного в заголовке соединения (0,63 г) в виде светло-желтого масла. 1H ЯМР (400 МГц, CDCl3) Пример 3 получения 7-Бром-2-этилпиразоло[1,5-a]пиридин После растворения 2-этилпиразоло[1,5-a]пиридина (80 мг) в тетрагидрофуране (1 мл) добавляли по каплям при -78°С в струе азота гексановый раствор н-бутиллития (1,6 М, 0,58 мл) и смесь перемешивали 30 минут. К реакционной смеси добавляли раствор 1,2-дибром-1,1,2,2-тетрахлорэтана (196 мг) в тетрагидрофуране (0,5 мл) и продолжали перемешивание в течение 30 минут. Повышали температуру до комнатной, добавляли воду, смесь экстрагировали этилацетатом и органический слой промывали водой и насыщенным раствором соли. После сушки над безводным сульфатом магния и фильтрования растворитель удаляли при пониженном давлении и остаток очищали хроматографией на колонке с силикагелем с получением из фракции н-гексан:этилацетат (20:1) указанного в заголовке соединения (90 мг) в виде светло-коричневого масла. 1H ЯМР (400 МГц, CDCl3) Пример 4 получения 7-(2,4-Дихлорфенил)-2-этилпиразоло[1,5-a]пиридин После растворения 7-бром-2-этилпиразоло[1,5-a]пиридина (300 мг) в этаноле (2 мл) и толуоле (4 мл) добавляли к смеси 2,4-дихлорфенилборную кислоту (508 мг), комплекс тетракис(трифенилфосфин)палладий(0) (154 мг) и 2 М водный раствор карбоната натрия (1,33 мл) и смесь нагревали и перемешивали при 80°С в течение 3 часов в токе азота. К реакционной смеси добавляли воду, проводили экстракцию этилацетатом, и органический слой промывали насыщенным раствором соли. После сушки над безводным сульфатом магния и фильтрования растворитель удаляли при пониженном давлении и остаток очищали хроматографией на колонке с силикагелем с получением из фракции н-гексан:этилацетат (100:1) указанного в заголовке соединения (380 мг) в виде светло-желтого масла. 1H ЯМР (400 МГц, CDCl3) Пример 5 получения 7-(2,4-Дихлорфенил)-2-этил-3-нитропиразоло[1,5-a]пиридин После растворения 7-(2,4-дихлорфенил)-2-этилпиразоло[1,5-a]пиридина (280 мг) в ацетонитриле (20 мл) добавляли тетрафторборат нитрония (255 мг) 4 раза с 30-минутными интервалами при перемешивании на льду. Реакционную смесь добавляли в ледяную воду, смесь экстрагировали этилацетатом, и экстракт промывали водой и насыщенным раствором соли. После сушки над безводным сульфатом магния и фильтрования растворитель удаляли при пониженном давлении и остаток очищали хроматографией на колонке с силикагелем с получением из фракции н-гексан:этилацетат (20:1) указанного в заголовке соединения (115 мг) в виде желтых кристаллов. 1H ЯМР (400 МГц, CDCl3) Пример 6 получения 7-Бром-2-этил-3-нитропиразоло[1,5-a]пиридин После растворения 7-бром-2-этилпиразоло[1,5-a]пиридина (1,1 г) в ацетонитриле (20 мл) добавляли тетрафторборат нитрония (1,3 г) при перемешивании на льду и продолжали перемешивание в течение 30 минут. Реакционную смесь добавляли в ледяную воду, смесь экстрагировали этилацетатом, и экстракт промывали водой и насыщенным раствором соли. После сушки над безводным сульфатом магния и фильтрования растворитель удаляли при пониженном давлении и остаток очищали хроматографией на колонке с силикагелем с получением из фракции н-гексан:этилацетат (10:1) указанного в заголовке соединения (670 мг) в виде желтых кристаллов. 1H ЯМР (400 МГц, CDCl3) Пример 7 получения 7-(2-Хлор-4-метоксифенил)-2-этил-3-нитропиразоло[1,5-a]пиридин После растворения 7-бром-2-этил-3-нитропиразоло[1,5-a]пиридина (100 мг) в 1,2-диметоксиэтане (6 мл) и воде (1 мл) добавляли к смеси 2-хлор-4-метоксифенилборную кислоту (138 мг), комплекс тетракис(трифенилфосфин)палладий(0) (86 мг) и октагидрат гидроксида бария (233 мг) и смесь нагревали и перемешивали при 80°С в течение 3 часов в токе азота. К реакционной смеси добавляли воду, проводили экстракцию этилацетатом и экстракт промывали насыщенным водным раствором гидрокарбоната натрия и насыщенным раствором соли в указанном порядке. После сушки над безводным сульфатом магния и фильтрования растворитель удаляли при пониженном давлении и остаток очищали хроматографией на колонке с силикагелем с получением из фракции н-гексан:этилацетат (30:1) указанного в заголовке соединения (90 мг) в виде желтых кристаллов. 1H ЯМР (400 МГц, CDCl3) Пример 8 получения 2-Этил-4-метоксипиразоло[1,5-a]пиридин После добавления дихлорбис(трифенилфосфин)палладия(II) (671 мг) и иодида меди (91 мг) к раствору 2-бром-3-метоксипиридина (18,0 г) в диэтиламине (250 мл), через смесь барботировали 1-бутин (15,5 г) при комнатной температуре и перемешивали смесь в течение 20 часов. По окончании реакции отгоняли при пониженном давлении растворитель. К полученному остатку добавляли воду, смесь экстрагировали этилацетатом, экстракт промывали насыщенным раствором соли и сушили над сульфатом магния и отгоняли при пониженном давлении растворитель. Полученный остаток подвергали хроматографии на колонке с силикагелем (500 г) с получением из фракции н-гексан:этилацетат (2:1) 2-(1-бутинил)-4-метоксипиридина (10,0 г) в виде коричневого масла. К раствору полученного 2-(1-бутинил)-4-метоксипиридина (10,0 г) в дихлорметане (100 мл) добавляли по каплям раствор О-мезитиленсульфонилгидроксиамина (16,0 г) в дихлорметане (100 мл) при 0°С, и смесь перемешивали в течение 1 часа. Добавляли к реакционной смеси диэтиловый эфир (250 мл), и выпавшее в осадок твердое вещество отфильтровывали вакуумным фильтрованием и высушивали, получив в результате мезитиленсульфонат N-амино-2-(1-бутинил)-4-метоксипиридиния в виде белой соли (20,7 г). К раствору мезитиленсульфоната N-амино-2-(1-бутинил)-4-метоксипиридиния (20,7 г) в тетрагидрофуране (300 мл) и N,N-диметилформамиде (15 мл) добавляли трет-бутоксид калия (11,1 г), и смесь перемешивали при комнатной температуре в течение 1 часа. Добавляли воду при охлаждении на льду, смесь экстрагировали этилацетатом, экстракт промывали насыщенным раствором соли и сушили над сульфатом магния и отгоняли при пониженном давлении растворитель. Остаток подвергали хроматографии на колонке с силикагелем (200 г) с получением из фракции н-гексан:этилацетат (3:1) указанного в заголовке соединения (6,44 г) в виде желтого масла. 1H ЯМР (400 МГц, CDCl3) Пример 9 получения 7-Бром-2-этил-4-метоксипиразоло[1,5-a]пиридин н-Бутиллитий (1,32 мл) медленно добавляли по каплям к раствору 2-этил-4-метоксипиразоло[1,5-a]пиридина (303 мг) в тетрагидрофуране (15 мл) при -78°С. После перемешивания смеси при -78°С в течение 1 часа добавляли 1,2-дибромэтан (0,18 мл) и продолжали перемешивание в течение 1 часа. Добавляли насыщенный водный раствор хлорида аммония, смесь экстрагировали этилацетатом, экстракт промывали насыщенным раствором соли и сушили над сульфатом магния и отгоняли при пониженном давлении растворитель. Остаток подвергали хроматографии на колонке с силикагелем (20 г) с получением из фракции н-гексан:этилацетат (5:1) указанного в заголовке соединения (282 мг) в виде бесцветного масла. 1H ЯМР (400 МГц, CDCl3) Пример 10 получения 7-Бром-2-этил-4-метокси-3-нитропиразоло[1,5-a]пиридин После добавления тетрафторбората нитрония (176 мг) к раствору 7-бром-2-этил-4-метоксипиразоло[1,5-a]пиридина (282 мг) в ацетонитриле (20 мл) при 0°С, смесь перемешивали в течение 20 минут. По окончании реакции добавляли воду, смесь экстрагировали этилацетатом, экстракт промывали насыщенным водным раствором гидрокарбоната натрия и насыщенным раствором соли и сушили над сульфатом магния и отгоняли при пониженном давлении растворитель. Остаток подвергали хроматографии на колонке с силикагелем (20 г) с получением из фракции н-гексан:этилацетат (3:1) указанного в заголовке соединения (159 мг) в виде желтых кристаллов. 1H ЯМР (400 МГц, CDCl3) Пример 11 получения 2-Этил-4-метокси-7-(2-метокси-4,6-диметилфенил)-3-нитропиразоло[1,5-a]пиридин После добавления 4,6-диметил-2-метоксифенилборной кислоты (191 мг), октагидрата гидроксида бария (334 мг) и комплекса тетракис(трифенилфосфин)палладий(0) (123 мг) к раствору 7-бром-2-этил-4-метокси-3-нитропиразоло[1,5-a]пиридина (159 мг) в смеси диэтилового эфира этиленгликоля (15 мл) и воды (7,5 мл) смесь нагревали при 80°С в течение 30 минут. Добавляли воду, и смесь экстрагировали этилацетатом, экстракт промывали насыщенным водным раствором гидрокарбоната натрия и насыщенным раствором соли, сушили над сульфатом магния и отгоняли при пониженном давлении растворитель. Остаток подвергали хроматографии на колонке с силикагелем (20 г) с получением из фракции н-гексан:этилацетат (5:1) указанного в заголовке соединения (185 мг) в виде желтых кристаллов. 1H ЯМР (400 МГц, CDCl3) Пример 12 получения трет-Бутил N-[2-метилтиопиразоло[1,5-a]пиридин-3-ил]карбамат 2-Метилтио-3-нитропиразоло[1,5-a]пиридин (ссылочный документ: Heterocycles, 1977, 6, 379) (400 мг) суспендировали в этаноле (20 мл), затем добавляли воду (10 мл), уксусную кислоту (2 мл) и цинковый порошок (800 мг), и смесь нагревали и перемешивали при 80°С в течение 30 минут. Реакционную смесь фильтровали, к фильтрату добавляли воду, проводили экстракцию этилацетатом и экстракт промывали насыщенным водным раствором гидрокарбоната натрия и насыщенным раствором соли. После сушки над безводным сульфатом магния и фильтрования растворитель удаляли при пониженном давлении с получением 2-метилтиопиразоло[1,5-a]пиридин-3-ил]амина в виде неочищенного продукта. Полученный продукт затем растворяли в дихлорметане (5 мл), добавляли триэтиламин (0,4 мл), еще добавляли ди-трет-бутилдикарбонат (625 мг) при охлаждении на льду и смесь перемешивали в течение ночи при комнатной температуре. После добавления к реакционной смеси воды смесь экстрагировали два раза этилацетатом и органический слой промывали водой и насыщенным раствором соли. После сушки над безводным сульфатом магния и фильтрования растворитель удаляли при пониженном давлении и остаток очищали хроматографией на колонке с силикагелем с получением из фракции н-гексан:этилацетат (5:1) указанного в заголовке соединения (230 мг) в виде желтого масла. 1H ЯМР (400 МГц, CDCl3) Пример 13 получения трет-Бутил N-[7-иод-2-метилтиопиразоло[1,5-a]пиридин- 3-ил]карбамат После растворения трет-бутил N-[2-метилтиопиразоло[1,5-a]пиридин-3-ил]карбамата (21,6 г) в тетрагидрофуране (1 л) добавляли по каплям при -78°С в токе азота раствор н-бутиллития в гексане (1,6 М; 130 мл) и смесь перемешивали в течение 30 минут. Добавляли к реакционной смеси раствор 1,2-дииодэтана (24 г) в тетрагидрофуране (50 мл) и продолжали перемешивание в течение 1 часа. К реакционной смеси добавляли насыщенный водный раствор хлорида аммония, повышали температуру до комнатной, проводили экстракцию этилацетатом и экстракт промывали водой и насыщенным раствором соли. После сушки над безводным сульфатом магния и фильтрования растворитель удаляли при пониженном давлении и остаток очищали хроматографией на колонке с силикагелем с получением из фракции н-гексан:этилацетат (5:1) указанного в заголовке соединения в виде желтых кристаллов. 1H ЯМР (400 МГц, CDCl3) Пример 14 получения 7-Бром-2-метоксипиразоло[1,5-a]пиридин Раствор 2-метоксипиразоло[1,5-a]пиридина (7,15 г) [CAS № 59942-88-0] в тетрагидрофуране (140 мл) охлаждали до -78°С в токе азота, затем добавляли по каплям раствор н-бутиллития в гексане (1,6 М; 46 мл) и смесь перемешивали в течение 30 минут. Добавляли по каплям при -78°С раствор 1,2-дибром-1,1,2,2-тетрахлорэтана (18,9 г) в тетрагидрофуране (30 мл) и продолжали перемешивание в течение 1 часа. После повышения температуры реакционной смеси до комнатной температуры и добавления воды проводили экстракцию этилацетатом и экстракт промывали насыщенным раствором соли. После сушки полученного органического слоя над безводным сульфатом магния и фильтрования растворитель удаляли при пониженном давлении и остаток очищали хроматографией на колонке с силикагелем с получением из фракции н-гексан:этилацетат (50:1) указанного в заголовке соединения (7,1 г) в виде желтого масла. 1H ЯМР (400 МГц, CDCl3) Пример 15 получения 2-Метокси-7-(2-метокси-4,6-диметилфенил)- 3-нитрозопиразоло[1,5-a]пиридин После растворения 7-бром-2-метоксипиразоло[1,5-a]пиридина (400 мг) в уксусной кислоте (4 мл) добавляли водный раствор (2 мл), содержавший нитрит натрия (134 мг), и смесь перемешивали при комнатной температуре в течение 30 минут. Выпавшие в осадок кристаллы отфильтровывали и промывали водой. После растворения, без дальнейшей очистки, полученного неочищенного 7-бром-2-метокси-3-нитрозопиразоло[1,5-a]пиридина в 1,2-диметоксиэтане (40 мл) и воде (20 мл) добавляли 4,6-диметил-2-метоксифенилборную кислоту (475 мг), комплекс тетракис(трифенилфосфин)палладий(0) (203 мг) и октагидрат гидроксида бария (829 мг) и смесь нагревали и перемешивали при 80°С в течение 1 часа. Добавляли к реакционной смеси воду, проводили экстракцию этилацетатом, органический слой промывали насыщенным раствором соли, сушили над безводным сульфатом магния и фильтровали, и растворитель удаляли при пониженном давлении. Полученный остаток очищали хроматографией на колонке с силикагелем с получением из фракции н-гексан:этилацетат (5:1) указанного в заголовке соединения (200 мг) в виде коричневого масла. 1H ЯМР (400 МГц, CDCl3) Пример 16 получения 7-Бром-2-метоксипиразоло[1,5-a]пиридин-3-амин После растворения 7-бром-2-метоксипиразоло[1,5-a]пиридина (1 г) в уксусной кислоте (10 мл) добавляли водный раствор (5 мл), содержавший нитрит натрия (334 мг), и смесь перемешивали при комнатной температуре в течение 20 минут. После добавления к реакционной смеси этанола (60 мл) и воды (30 мл) добавляли цинковый порошок (1 г) и смесь нагревали и перемешивали при 60°С в течение 30 минут. Отфильтровывали нерастворимый остаток, добавляли воду и проводили экстракцию этилацетатом. После промывки органического слоя насыщенным раствором соли, сушки его над безводным сульфатом магния и фильтрования, растворитель удаляли при пониженном давлении и остаток очищали хроматографией на колонке с силикагелем с получением из фракции н-гексан:этилацетат (3:1) указанного в заголовке соединения (750 мг) в виде коричневых кристаллов. 1H ЯМР (400 МГц, CDCl3) Пример 17 получения трет-Бутил N-[7-бром-2-метоксипиразоло[1,5-a]пиридин- 3-ил]карбамат После растворения 7-бром-2-метоксипиразоло[1,5-a]пиридин-3-амина (810 мг) в дихлорметане (20 мл) добавляли триэтиламин (0,7 мл), еще добавляли ди-трет-бутилдикарбонат (923 мкл) при охлаждении на льду и смесь перемешивали в течение ночи при комнатной температуре. После добавления к реакционной смеси воды смесь экстрагировали этилацетатом и органический слой промывали насыщенным раствором соли. После сушки над безводным сульфатом магния и фильтрования растворитель удаляли при пониженном давлении и остаток очищали хроматографией на колонке с силикагелем с получением из фракции н-гексан:этилацетат (10:1) указанного в заголовке соединения (1,05 г) в виде желтых кристаллов. 1H ЯМР (400 МГц, CDCl3) Пример 18 получения 3-[(трет-Бутоксикарбонил)амино]-2- (метилсульфанил)пиразоло[1,5-a]пиридин-7-илборная кислота После растворения трет-бутил N-(7-иод-2-(метилсульфанил)пиразоло[1,5-a]пиридин-3-ил)карбамата (200 мг) в тетрагидрофуране (2 мл) смесь охлаждали до -78°С и добавляли по каплям н-бутиллитий (1,6 М; 0,66 мл). Смесь перемешивали 1 час при той же температуре, добавляли триэтоксиборан (109 мкл) и повышали температуру до комнатной. К полученной реакционной смеси добавляли насыщенный водный раствор хлорида аммония, и смесь экстрагировали этилацетатом. Полученный органический слой промывали насыщенным раствором соли и сушили над безводным сульфатом магния и отгоняли при пониженном давлении растворитель с получением указанного в заголовке соединения (106 мг) в виде серовато-белых кристаллов. 1H ЯМР (400 МГц, CDCl3) Пример 1 трет-Бутил N-[7-(2,4-дихлорфенил)-2-этилпиразоло[1,5-a]пиридин-3-ил]карбамат После растворения [7-(2,4-дихлорфенил)-2-этилпиразоло[1,5-a]пиридин-3-ил]амина (60 мг) и триэтиламина (0,041 мл) в дихлорметане добавляли при охлаждении на льду ди-трет-бутилдикарбонат (71 мг) и смесь перемешивали в течение ночи при комнатной температуре. Добавляли к реакционной смеси воду, проводили экстракцию этилацетатом, органический слой промывали водой и насыщенным раствором соли. После сушки над безводным сульфатом магния и фильтрования растворитель удаляли при пониженном давлении, остаток очищали хроматографией на колонке с силикагелем с получением из фракции н-гексан:этилацетат (10:1) указанного в заголовке соединения (59 мг) в виде светло-желтого масла. 1H ЯМР (400 МГц, CDCl3) Пример 2 N-[7-(2,4-Дихлорфенил)-2-этилпиразоло[1,5-a]пиридин-3-ил]- N,N-дипропиламин 7-(2,4-Дихлорфенил)-2-этил-3-нитропиразоло[1,5-a]пиридин (110 мг) суспендировали в этаноле (6 мл) и затем добавляли воду (3 мл), уксусную кислоту (1 мл) и цинковый порошок (220 мг) и смесь нагревали и перемешивали при 60°С в течение 1 часа. Реакционную смесь фильтровали, к фильтрату добавляли воду, проводили экстракцию этилацетатом и экстракт промывали насыщенным водным раствором гидрокарбоната натрия и насыщенным раствором соли. После сушки над безводным сульфатом магния и фильтрования растворитель удаляли при пониженном давлении с получением [7-(2,4-дихлорфенил)-2-этилпиразоло[1,5-a]пиридин-3-ил]амина (90 мг) в виде неочищенных кристаллов. Полученные кристаллы растворяли в тетрагидрофуране (1 мл) и после добавления пропиональдегида (0,059 мл) и 3 М водного раствора серной кислоты (0,294 мл) добавляли боргидрид натрия (22,2 мг) пятью порциями при интенсивном перемешивании на льду и продолжали перемешивание еще 30 минут. Добавляли к реакционной смеси воду, экстрагировали смесь этилацетатом и экстракт промывали насыщенным водным раствором гидрокарбоната натрия и насыщенным раствором соли. После сушки над безводным сульфатом магния и фильтрования растворитель удаляли при пониженном давлении и остаток очищали хроматографией на колонке с силикагелем с получением из фракции н-гексан:этилацетат (100:1) указанного в заголовке соединения (59 мг) в виде желтого масла. 1H ЯМР (400 МГц, CDCl3) Пример 3 N-[7-(2-Хлор-4-метоксифенил)-2-этилпиразоло[1,5-a]пиридин-3-ил]-N,N-дипропиламин 7-(2-Хлор-4-метоксифенил)-2-этил-3-нитропиразоло[1,5-a]пиридин (5 мг) суспендировали в этаноле (2 мл), и затем добавляли воду (1 мл), уксусную кислоту (0,5 мл) и цинковый порошок (10 мг), и смесь нагревали и перемешивали при 80°С в течение 30 минут. Реакционную смесь фильтровали, к фильтрату добавляли воду, проводили экстракцию этилацетатом и экстракт промывали насыщенным водным раствором гидрокарбоната натрия и насыщенным раствором соли. После сушки над безводным сульфатом магния и фильтрования растворитель удаляли при пониженном давлении с получением [7-(2-хлор-4-метоксифенил)-2-этилпиразоло[1,5-a]пиридин-3-ил]амина в виде неочищенных кристаллов. Полученные кристаллы растворяли в тетрагидрофуране (1 мл) без дальнейшей очистки, и после добавления пропиональдегида (0,015 мл) и 3 М водного раствора серной кислоты (0,071 мл) добавляли боргидрид натрия (5,4 мг) пятью порциями при интенсивном перемешивании на льду и продолжали перемешивание еще 30 минут. Добавляли к реакционной смеси воду, экстрагировали смесь этилацетатом и экстракт промывали насыщенным водным раствором гидрокарбоната натрия и насыщенным раствором соли. После сушки над безводным сульфатом магния и фильтрования растворитель удаляли при пониженном давлении и остаток очищали препаративной ТСХ [н-гексан:этилацетат (5:1), Rf=0,5] с получением указанного в заголовке соединения (6 мг) в виде светло-желтого масла. 1H ЯМР (400 МГц, CDCl3) Соединения примеров 4-32 синтезировали способами получения примеров 1, 2 и 3. Пример 4 N-[2-Этил-7-(2-метокси-4,6-диметилфенил)пиразоло[1,5-a]пиридин-3-ил]-N,N-дипропиламин (Светло-желтые кристаллы) 1H ЯМР (400 МГц, CDCl3) Пример 5 N-[7-(2,6-Диметокси-4-метилфенил)-2-этилпиразоло[1,5-a]пиридин-3-ил]-N,N-дипропиламин (Светло-желтое масло) 1H ЯМР (400 МГц, CDCl3) Пример 6 N-[7-(2,4-Диметоксифенил)-2-этилпиразоло[1,5-a]пиридин-3-ил]-N,N-дипропиламин (Светло-желтое масло) 1H ЯМР (400 МГц, CDCl3) Пример 7 N-[2-Этил-7-(4-метокси-2-метилфенил)пиразоло[1,5-a]пиридин-3-ил]-N,N-дипропиламин (Светло-желтое масло) 1H ЯМР (400 МГц, CDCl3) Пример 8 N,N-Дициклопропилметил-N-[2-этил-7-(2-метокси-4,6-диметилфенил)пиразоло[1,5-a]пиридин-3-ил]амин (Бесцветные кристаллы) 1H ЯМР (400 МГц, CDCl3) Пример 9 N,N-Дициклопропилметил-N-[2-этил-7-(4-метокси-2-метилфенил)пиразоло[1,5-a]пиридин-3-ил]амин (Желтое масло) 1H ЯМР (400 МГц, CDCl3) MC (ESI) m/z 390 MH+ Пример 10 N-[7-(4-Хлор-2-метоксифенил)-2-этилпиразоло[1,5-a]пиридин-3-ил]-N,N-дициклопропилметиламин (Желтое масло) 1H ЯМР (400 МГц, CDCl3) MC (ESI) m/z 410 MH+ Пример 11 N,N-Дициклопропилметил-N-[2-этил-7-(4-метокси-2,6-диметилфенил)пиразоло[1,5-a]пиридин-3-ил]амин (Желтые кристаллы) 1H ЯМР (400 МГц, CDCl3) МС (ESI) m/z 404 MH+ Пример 12 N,N-Дициклопропилметил-N-[7-(2,6-диметокси-4-метилфенил)-2-этилпиразоло[1,5-a]пиридин-3-ил]амин (Желтое масло) 1H ЯМР (400 МГц, CDCl3) Пример 13 N,N-Дициклопропилметил-N-[7-(2,4-диметокси-6-метилфенил)-2-этилпиразоло[1,5-a]пиридин-3-ил]амин (Бесцветные кристаллы) 1H ЯМР (400 МГц, CDCl3) Пример 14 N,N-Дициклопропилметил-N-[2-этил-7-(2,4,6-триметоксифенил)пиразоло[1,5-a]пиридин-3-ил]амин (Светло-желтые кристаллы) 1H ЯМР (400 МГц, CDCl3) Пример 15 N,N-Дициклопропилметил-N-[7-(2,4-диметоксифенил)-2-этилпиразоло[1,5-a]пиридин-3-ил]амин (Желтое масло) 1H ЯМР (400 МГц, CDCl3) Пример 16 N,N-Дициклопропилметил-N-[2-этил-7-(2-метокси-4-метилфенил)пиразоло[1,5-a]пиридин-3-ил]амин (Желтое масло) 1H ЯМР (400 МГц, CDCl3) Пример 17 N,N-Дициклопропилметил-N-[2-этил-7-(2-метокси-4-трифторметилфенил)пиразоло[1,5-a]пиридин-3-ил]амин (Желтое масло) 1H ЯМР (400 МГц, CDCl3) Пример 18 N-[7-(4-Хлор-2,6-диметоксифенил)-2-этилпиразоло[1,5-a]пиридин- 3-ил]-N,N-дициклопропилметиламин (Желтое масло) 1H ЯМР (400 МГц, CDCl3) МС (ESI) m/z 440 MH+ Пример 19 N-[7-(2-Хлор-4-метоксифенил)-2-этилпиразоло[1,5-a]пиридин-3-ил]-N,N-дициклопропилметиламин (Желтое масло) 1H ЯМР (400 МГц, CDCl3) МС (ESI) m/z 410 MH+ Пример 20 N,N-Дициклопропилметил-N-[7-(2,4-дихлор-6-метоксифенил)-2-этилпиразоло[1,5-a]пиридин-3-ил]амин (Белые кристаллы) 1H ЯМР (400 МГц, CDCl3) МС (ESI) m/z 444 MH+ Пример 21 N,N-Дициклопропилметил-N-[2-этил-7-(4-метокси-2-трифторметилфенил)пиразоло[1,5-a]пиридин-3-ил]амин (Желтое масло) 1H ЯМР (400 МГц, CDCl3) Пример 22 N-[7-(2-Хлор-6-метокси-4-метилфенил)-2- этилпиразоло[1,5-a]пиридин-3-ил]-N,N-дициклопропилметиламин (Светло-желтые кристаллы) 1H ЯМР (400 МГц, CDCl3) Пример 23 N-[7-(2,4-Дихлорфенил)-2-этилпиразоло[1,5-a]пиридин-3-ил]-N-(3-гексил)амин После растворения [7-(2,4-дихлорфенил)-2-этилпиразоло[1,5-a]пиридин-3-ил]амина (30 мг) в уксусной кислоте (1 мл) добавляли 3-гексанон (0,024 мл) сульфат натрия (139 мг) и смесь перемешивали при комнатной температуре в течение 30 минут. Затем добавляли триацетоксиборгидрид натрия (41,5 мг) и продолжали перемешивание еще 2 часа. Добавляли к реакционной смеси воду, проводили экстракцию этилацетатом и экстракт промывали насыщенным водным раствором гидрокарбоната натрия и насыщенным раствором соли. После сушки полученного органического слоя над безводным сульфатом магния и фильтрования растворитель удаляли при пониженном давлении, остаток очищали хроматографией на колонке с силикагелем с получением из фракции н-гексан:этилацетат (30:1) указанного в заголовке соединения (21 мг) в виде желтого масла. 1H ЯМР (400 МГц, CDCl3) Пример 24 N-[7-(2,4-Дихлорфенил)-2-этилпиразоло[1,5-a]пиридин-3-ил]-N-(2-метоксиэтил)амин После растворения трет-бутил N-[7-(2,4-дихлорфенил)-2-этилпиразоло[1,5-a]пиридин-3-ил]карбамата (57 мг) в N,N-диметилформамиде (2 мл) добавляли при охлаждении на льду гидрид натрия (60%, 7,3 мг), после чего добавляли простой 2-бромэтилметиловый эфир (0,015 мл) и смесь перемешивали в течение 1 часа. Добавляли к реакционной смеси воду, проводили экстракцию этилацетатом и экстракт промывали насыщенным раствором соли. Полученный органический слой сушили над безводным сульфатом магния и фильтровали, после чего растворитель удаляли при пониженном давлении с получением неочищенного продукта. Полученный неочищенный продукт без дальнейшей очистки растворяли в этилацетате (1 мл), добавляли 4 н. раствор хлористо-водородная кислота/этилацетат (2 мл) и смесь перемешивали при комнатной температуре в течение 1 часа. Реакционную смесь нейтрализовали 5 н. водным гидроксидом натрия при охлаждении на льду, затем экстрагировали этилацетатом и органический слой промывали водой и насыщенным раствором соли. После сушки над безводным сульфатом магния и фильтрования растворитель удаляли при пониженном давлении и остаток очищали хроматографией на колонке с силикагелем с получением из фракции н-гексан:этилацетат (5:1) указанного в заголовке соединения (46 мг) в виде желтого масла. 1H ЯМР (400 МГц, CDCl3) Пример 25 N-[7-(2,4-Дихлорфенил)-2-этилпиразоло[1,5-a]пиридин-3-ил]-N-(2-метоксиэтил)-N-пропиламин N-[7-(2,4-Дихлорфенил)-2-этилпиразоло[1,5-a]пиридин-3-ил]-N-(2-метоксиэтил)амин (14 мг) растворяли в тетрагидрофуране (1 мл), и после добавления пропиональдегида (0,016 мл) и 3 М водного раствора серной кислоты (0,77 мл) добавляли боргидрид натрия (5,8 мг) пятью порциями при интенсивном перемешивании на льду и продолжали перемешивание еще 30 минут. Добавляли к реакционной смеси воду, проводили экстракцию этилацетатом и экстракт промывали насыщенным водным раствором гидрокарбоната натрия и насыщенным раствором соли. После сушки над безводным сульфатом магния и фильтрования растворитель удаляли при пониженном давлении и остаток очищали препаративной ТСХ [н-гексан:этилацетат (5:1), Rf=0,5] с получением указанного в заголовке соединения (9,5 мг) в виде светло-желтого масла. 1H ЯМР (400 МГц, CDCl3) Соединения примеров 26-39 синтезировали способами получения примера 25. Пример 26 N-Циклопропилметил-N-[7-(2,4-дихлорфенил)-2- этилпиразоло[1,5-a]пиридин-3-ил]-N-(2-метоксиэтил)амин (Светло-желтое масло) 1H ЯМР (400 МГц, CDCl3) Пример 27 N-[7-(2,4-Дихлорфенил)-2-этилпиразоло[1,5-a]пиридин-3-ил]- N-изобутил-N-(2-метоксиэтил)амин (Светло-желтое масло) 1H ЯМР (400 МГц, CDCl3) Пример 28 N-[2-Этил-7-(2-метокси-4,6-диметилфенил)пиразоло[1,5-a]пиридин-3-ил]-N-изобутил-N-(2-метоксиэтил)амин (Светло-желтое масло) 1H ЯМР (400 МГц, CDCl3) Пример 29 N-[2-Этил-7-(2-метокси-4,6-диметилфенил)пиразоло[1,5-a]пиридин-3-ил]-N-изобутил-N-(2-метоксиэтил)амин (Светло-желтое масло) МС (ESI) m/z 396 МН+ Пример 30 N-[2-Этил-7-(2-метокси-4,6-диметилфенил)пиразоло[1,5-a]пиридин-3-ил]-N-(3-фторпропил)-N-пропиламин (Светло-желтое масло) 1H ЯМР (400 МГц, CDCl3) Пример 31 N-[2-Этил-7-(2-метокси-4,6-диметилфенил)пиразоло[1,5-a]пиридин-3-ил]-N-пропил-N-тетрагидро-2-фуранилметиламин (Светло-желтое масло) МС (ESI) m/z 422 МН+ Пример 32 N-Циклопропилметил-N-[2-этил-7-(2-метокси-4,6-диметилфенил)пиразоло[1,5-a]пиридин-3-ил]-N-пропиламин (Светло-желтое масло) МС (ESI) m/z 392 МН+ Пример 33 N-Циклопропилметил-N-[2-этил-7-(2-метокси-4,6-диметилфенил)пиразоло[1,5-a]пиридин-3-ил]-N-(2-метоксиэтил)амин (Светло-желтое масло) МС (ESI) m/z 408 МН+ Пример 34 N-Циклопропилметил-N-[2-этил-7-(2-метокси-4,6-диметилфенил)пиразоло[1,5-a]пиридин-3-ил]-N-(3-фторпропил)амин (Светло-желтое масло) 1H ЯМР (400 МГц, CDCl3) Пример 35 N-Циклопропилметил-N-[2-этил-7-(2-метокси-4,6-диметилфенил)пиразоло[1,5-a]пиридин-3-ил]-N-тетрагидро-2-фуранилметиламин (Светло-желтое масло) МС (ESI) m/z 434 МН+ Пример 36 N-Циклопропилметил-N-[2-этил-7-(2-метокси-4,6-диметилфенил)пиразоло[1,5-a]пиридин-3-ил]-N-тетрагидро-3-фуранилметиламин (Желтое масло) 1H ЯМР (400 МГц, CDCl3) Пример 37 N-Циклопропилметил-N-[7-(2,6-диметокси-4-метилфенил)-2-этилпиразоло[1,5-a]пиридин-3-ил]-N-тетрагидро-3-фуранилметиламин (Желтое масло) 1H ЯМР (400 МГц, CDCl3) Пример 38 N-Циклопропилметил-N-[7-(2,6-диметокси-4-метилфенил)-2-этилпиразоло[1,5-a]пиридин-3-ил]-N-тетрагидро-2-фуранилметиламин (Светло-желтое масло) 1H ЯМР (400 МГц, CDCl3) Пример 39 N-Циклопропил-N-[7-(2,6-диметокси-4-метилфенил)-2-этилпиразоло[1,5-a]пиридин-3-ил]-N-(1,3-диоксолан-2-илметил)амин (Желтое масло) 1H ЯМР (400 МГц, CDCl3) Пример 40 N-Циклопропилметил-N-[7-(2,4-диметокси-6-метилфенил)-2-этилпиразоло[1,5-a]пиридин-3-ил]-N-тетрагидро-3-фуранилметиламин После растворения N-(7-бром-2-этилпиразоло[1,5-a]пиридин-3-ил]-N-циклопропилметил-N-тетрагидро-3-фуранилметиламина (150 мг) в 1,2-диметоксиэтане (20 мл) и воде (10 мл) добавляли 2,4-диметокси-6-метилфенилборную кислоту (155 мг), комплекс тетракис(трифенилфосфин)палладий(0) (92 мг) и октагидрат гидроксида бария (250 мг) и смесь нагревали и перемешивали при 80°С в течение 1 часа. Добавляли к реакционной смеси воду, проводили экстракцию этилацетатом, органический слой промывали насыщенным раствором соли, сушили над безводным сульфатом магния и фильтровали, и растворитель удаляли при пониженном давлении. Полученный остаток очищали хроматографией на колонке с силикагелем с получением из фракции н-гексан:этилацетат (6:1) указанного в заголовке соединения (88 мг) в виде желтого масла. 1H ЯМР (400 МГц, CDCl3) Соединения примеров 41-46 синтезировали способом получения примера 40. Пример 41 N-Циклопропилметил-N-[2-этил-7-(4-метокси-2,6-диметилфенил)пиразоло[1,5-a]пиридин-3-ил]-N-тетрагидро-3-фуранилметиламин (Желтые кристаллы) 1H ЯМР (400 МГц, CDCl3) Пример 42 N-[7-(4-Хлор-2-метоксифенил)-2-этилпиразоло[1,5-a]пиридин-3-ил]-N-циклопропилметил-N-тетрагидро-3-фуранилметиламин (Светло-желтое масло) 1H ЯМР (400 МГц, CDCl3) Пример 43 N-Циклопропилметил-N-[2-этил-7-(2-[2-(фторметокси)-4,6-диметилбензил]окси-4,6-диметилфенил)пиразоло[1,5-a]пиридин- 3-ил]-N-тетрагидро-3-фуранилметиламин (Желтое масло) 1H ЯМР (400 МГц, CDCl3) Пример 44 N-[7-(2-Хлор-6-метокси-4-метилфенил)-2-этилпиразоло[1,5-a]пиридин-3-ил]-N-циклопропилметил-N-тетрагидро-3-фуранилметиламин (Желтое масло) 1H ЯМР (400 МГц, CDCl3) Пример 45 N-Циклопропилметил-N-2-этил-7-[2-(фторметокси)-4,6-диметилфенил]пиразоло[1,5-a]пиридин-3-ил-N-тетрагидро-3-фуранилметиламин (Желтое масло) 1H ЯМР (400 МГц, CDCl3) Пример 46 N-[7-(2,6-Диметокси-4-метилфенил)-2-этилпиразоло[1,5-a]пиридин-3-ил]-N-пропил-N-тетрагидро-3-фуранилметиламин (Желтое масло) 1H ЯМР (400 МГц, CDCl3) МС (ESI) m/z 438+ Пример 47 N-Циклопропилметил-N-[2-этил-7-(2-метокси-4,6-диметилфенил)пиразоло[1,5-a]пиридин-3-ил]-N-тетрагидро-2Н-4-пиранилметиламин После растворения N-циклопропилметил-N-[2-этил-7-(2-метокси-4,6-диметилфенил)пиразоло[1,5-a]пиридин-3-ил]амина (255 мг) в тетрагидрофуране (2 мл) добавляли тетрагидро-2Н-4-пиранкарбальдегид (173 мг) [CAS № 50675-18-8] и триацетоксиборгидрид натрия (241 мг) и смесь перемешивали при комнатной температуре в течение 1 часа. Добавляли к реакционной смеси насыщенный водный раствор гидрокарбоната натрия, смесь экстрагировали этилацетатом и экстракт промывали насыщенным раствором соли. После сушки над безводным сульфатом магния и фильтрования растворитель удаляли при пониженном давлении и остаток очищали хроматографией на колонке с силикагелем с получением из фракции н-гексан:этилацетат (5:1) указанного в заголовке соединения (134 мг) в виде желтого масла. 1H ЯМР (400 МГц, CDCl3) Соединения примеров 48-61 синтезировали способом получения примера 47. Пример 48 N-Циклопропилметил-N-[2-этил-7-(4-метокси-2,6-диметилфенил)пиразоло[1,5-a]пиридин-3-ил]-N-тетрагидро-2Н-4-пираниламин (Белые кристаллы) 1H ЯМР (400 МГц, CDCl3) МС (ESI) m/z 434 MH+ Пример 49 N-[7-(4-Хлор-2,6-диметоксифенил)-2-этилпиразоло[1,5-a]пиридин- 3-ил]-N-циклопропилметил-N-тетрагидро-2Н-4-пираниламин (Желтое масло) 1H ЯМР (400 МГц, CDCl3) МС (ESI) m/z 470 MH+ Пример 50 N-[2-Этил-7-(4-метокси-2,6-диметилфенил)пиразоло[1,5-a]пиридин-3-ил]-N-пропил-N-тетрагидро-2Н-4-пираниламин (Белые кристаллы) 1H ЯМР (400 МГц, CDCl3) MC (ESI) m/z 422 MH+ Пример 51 N-[7-(4-Хлор-2,6-диметоксифенил)-2-этилпиразоло[1,5-a]пиридин- 3-ил]-N-пропил-N-тетрагидро-2Н-4-пираниламин (Желтые кристаллы) 1H ЯМР (400 МГц, CDCl3) МС (ESI) m/z 458 MH+ Пример 52 N-Циклопропилметил-N-[2-этил-7-(2-метокси-4,6-диметилфенил)пиразоло[1,5-a]пиридин-3-ил]-N-тетрагидро-2Н-4-пираниламин (Желтое масло) 1H ЯМР (400 МГц, CDCl3) Пример 53 N-[2-Этил-7-(2-метокси-4,6-диметилфенил)пиразоло[1,5-a]пиридин-3-ил]-N-(3-фторпропил)-N-тетрагидро-2Н-4-пираниламин (Желтое масло) 1H ЯМР (400 МГц, CDCl3) Пример 54 [2-Этил-7-(2-метокси-4,6-диметилфенил)пиразоло[1,5-a]пиридин- 3-ил]-N-(2-метоксиэтил)-N-тетрагидро-2Н-4-пираниламин (Желтое масло) 1H ЯМР (400 МГц, CDCl3) Пример 55 N-Циклопропилметил-N-[7-(2,6-диметокси-4-метилфенил)-2-этилпиразоло[1,5-a]пиридин-3-ил]-N-тетрагидро-2Н-4-пираниламин (Желтое масло) 1H ЯМР (400 МГц, CDCl3) Пример 56 N-[7-(2,6-Диметокси-4-метилфенил)-2-этилпиразоло[1,5-a]пиридин-3-ил]-N-(3-фторпропил)-N-тетрагидро-2Н-4-пираниламин (Желтое масло) 1H ЯМР (400 МГц, CDCl3) Пример 57 N-[7-(2,6-Диметокси-4-метилфенил)-2-этилпиразоло[1,5-a]пиридин-3-ил]-N-(2-метоксиэтил)-N-тетрагидро-2Н-4-пираниламин (Желтое масло) 1H ЯМР (400 МГц, CDCl3) Пример 58 N-Циклопропилметил-N-[7-(2,4-диметокси-6-метилфенил)-2-этилпиразоло[1,5-a]пиридин-3-ил]-N-тетрагидро-2Н-4-пираниламин (Желтое масло) 1H ЯМР (400 МГц, CDCl3) Пример 59 N-[7-(2,4-Диметокси-6-метилфенил)-2-этилпиразоло[1,5-a]пиридин-3-ил]-N-(3-фторпропил)-N-тетрагидро-2Н-4-пираниламин (Желтое масло) 1H ЯМР (400 МГц, CDCl3) Пример 60 N-Циклопропилметил-N-[2-этил-7-(2-метокси-4,6-диметилфенил)пиразоло[1,5-a]пиридин-3-ил]-N-тетрагидро-2Н-3-пираниламин (Желтое масло) 1H ЯМР (400 МГц, CDCl3) Пример 61 N-Циклопропилметил-N-[7-(2,6-диметокси-4-метилфенил)-2-этилпиразоло[1,5-a]пиридин-3-ил]-N-тетрагидро-2Н-4-пиранилметиламин (Желтое масло) 1H ЯМР (400 МГц, CDCl3) Пример 62 N,N-Дициклопропилметил-N-[2-этил-4-метокси-7-(2-метокси-4,6-диметилфенил)пиразоло[1,5-a]пиридин-3-ил]амин 2-Этил-4-метокси-7-(2-метокси-4,6-диметилфенил)-3-нитропиразоло[1,5-a]пиридин (185 мг) растворяли в смеси этанола (7 мл) и воды (7,5 мл), затем добавляли уксусную кислоту (0,3 мл) и цинковый порошок (185 мг) и реакционную смесь нагревали при 60°С в течение 20 минут. Реакционную смесь фильтровали через целит и полученный фильтрат концентрировали при пониженном давлении. Добавляли воду, смесь экстрагировали этилацетатом, экстракт промывали насыщенным водным раствором гидрокарбоната натрия и насыщенным раствором соли и сушили над сульфатом магния и отгоняли при пониженном давлении растворитель с получением 2-этил-4-метокси-7-(2-метокси-4,6-диметилфенил)пиразоло[1,5-a]пиридин-3-амина в виде неочищенного продукта. К раствору полученного неочищенного 2-этил-4-метокси-7-(2-метокси-4,6-диметилфенил)пиразоло[1,5-a]пиридин-3-амина в тетрагидрофуране (10 мл) добавляли циклопропанкарбоксиальдегид (0,20 мл) и 3 М серную кислоту (0,87 мл), после чего медленно добавляли при 0°С боргидрид натрия (79 мг) и смесь перемешивали при комнатной температуре в течение 30 минут. Добавляли при охлаждении на льду 5 н. водный раствор гидроксида натрия, чтобы сделать реакционную смесь основной, и затем смесь экстрагировали этилацетатом, экстракт промывали насыщенным водным раствором гидрокарбоната натрия и насыщенным раствором соли и сушили над сульфатом магния, после чего отгоняли при пониженном давлении растворитель. Остаток очищали хроматографией на колонке с силикагелем (20 г) с получением из фракции н-гексан:этилацетат (6:1) указанного в заголовке соединения (185 мг) в виде белых кристаллов. 1H ЯМР (400 МГц, CDCl3) MC (ESI) m/z 434 MH+ Пример 63 N-[2-Этил-4-метокси-7-(2-метокси-4,6-диметилфенил)пиразоло[1,5-a]пиридин-3-ил]-N-(1-этилпропил)амин К раствору 2-этил-4-метокси-7-(2-метокси-4,6-диметилфенил)пиразоло[1,5-a]пиридин-3-амина (100 мг) в уксусной кислоте (10 мл) добавляли 3-пентанон (0,04 мл) и затем медленно добавляли при комнатной температуре триацетоксиборгидрид натрия (85,0 мг) и смесь перемешивали 3 часа. Добавляли при охлаждении на льду 5 н. водный раствор гидроксида натрия, затем смесь экстрагировали этилацетатом, органический слой промывали насыщенным водным раствором гидрокарбоната натрия и насыщенным раствором соли и сушили над безводным сульфатом магния, после чего отгоняли при пониженном давлении растворитель. Полученный остаток подвергали хроматографии на колонке с силикагелем (10 г) с получением из фракции н-гексан:этилацетат (5:1) указанного в заголовке соединения (69 мг) в виде желтых кристаллов. 1H ЯМР (400 МГц, CDCl3) MC (ESI) m/z 396 MH+ Пример 64 трет-Бутил N-[7-(2,4-дихлорфенил)-2- метилтиопиразоло[1,5-a]пиридин-3-ил]карбамат После растворения трет-бутил N-[2-метилтиопиразоло[1,5-a]пиридин-3-ил]карбамата (220 мг) в тетрагидрофуране (3 л) добавляли по каплям при -78°С в токе азота раствор н-бутиллития в гексане (1,6 М; 1,51 мл) и смесь перемешивали в течение 30 минут. Добавляли к реакционной смеси раствор 1,2-дибром-1,1,2,2-тетрахлорэтана (384 мг) в тетрагидрофуране (2 мл) и продолжали перемешивание в течение 30 минут. К реакционной смеси добавляли насыщенный водный раствор хлорида аммония, повышали температуру до комнатной, проводили экстракцию этилацетатом и экстракт промывали водой и насыщенным раствором соли. После сушки над безводным сульфатом магния и фильтрования растворитель удаляли при пониженном давлении и остаток очищали хроматографией на колонке с силикагелем с получением из фракции н-гексан:этилацетат (10:1) трет-бутил N-[7-бром-2-метилтиопиразоло[1,5-a]пиридин-3-ил]карбамата в виде желтых кристаллов. После растворения полученного продукта в 1,2-диметоксиэтане (6 мл) и воде (1 мл) добавляли 2,4-дихлорфенилборную кислоту (191 мг), комплекс тетракис(трифенилфосфин)палладий(0) (116 мг) и октагидрат гидроксида бария (315 мг) и смесь нагревали и перемешивали при 80°С в течение 4 часов в токе азота. Добавляли к реакционной смеси воду, проводили экстракцию этилацетатом и экстракт промывали насыщенным раствором соли. После сушки над безводным сульфатом магния и фильтрования растворитель удаляли при пониженном давлении и остаток очищали хроматографией на колонке с силикагелем с получением из фракции н-гексан:этилацетат (20:1) указанного в заголовке соединения (160 мг) в виде желтого масла. 1H ЯМР (400 МГц, CDCl3) Пример 65 трет-Бутил N-[7-(2-метокси-4,6-диметилфенил)-2-(метилсульфанил)пиразоло[1,5-a]пиридин-3-ил]карбамат После растворения трет-бутил N-[7-иод-2-(метилсульфанил)пиразоло[1,5-a]пиридин-3-ил]карбамата (2,0 г) в 1,2-диметоксиэтане (60 мл) и воде (30 мл) добавляли 4,6-диметил-2-метоксифенилборную кислоту (1,33 г), комплекс тетракис(трифенилфосфин)палладий(0) (865 мг) и октагидрат гидроксида бария (2,34 г) и смесь нагревали и перемешивали при 80°С в течение 3 часов. Добавляли к реакционной смеси воду, проводили экстракцию этилацетатом и экстракт промывали насыщенным раствором соли. После сушки над безводным сульфатом магния и фильтрования растворитель удаляли при пониженном давлении и остаток очищали хроматографией на колонке с силикагелем с получением из фракции н-гексан:этилацетат (20:1) указанного в заголовке соединения (2,1 г) в виде желтого аморфного вещества. 1H ЯМР (400 МГц, CDCl3) Пример 66 N-Циклопропилметил-N-[7-(2-метокси-4,6-диметилфенил)-2-(метилсульфанил)пиразоло[1,5-a]пиридин-3-ил]амин После растворения трет-бутил N-[7-(2-метокси-4,6-диметилфенил)-2-(метилсульфанил)пиразоло[1,5-a]пиридин-3-ил]карбамата (400 мг) в N,N-диметилформамиде (5 мл) добавляли при охлаждении на льду гидрид натрия (60%, 58 мг), после чего добавляли (бромметил)циклопропан (111 мкл) и смесь перемешивали в течение 1 часа при 40°С. Добавляли к реакционной смеси воду, проводили экстракцию этилацетатом и экстракт промывали насыщенным раствором соли. После сушки органического слоя над безводным сульфатом магния и фильтрования растворитель удаляли при пониженном давлении с получением неочищенного трет-бутил N-циклопропилметил-N-[7-(2-метокси-4,6-диметилфенил)-2-(метилсульфанил)пиразоло[1,5-a]пиридин-3-ил]карбамата. Полученный неочищенный продукт растворяли без очистки в этилацетате (10 мл), добавляли 4 н. раствор (20 мл) хлористо-водородная кислота/этилацетат, и смесь перемешивали при 40°С в течение 1 часа. Реакционную смесь нейтрализовали 5 н. водным раствором гидроксида натрия при охлаждении на льду, и затем смесь экстрагировали этилацетатом, и органический слой промывали насыщенным раствором соли. После сушки над безводным сульфатом магния и фильтрования отгоняли при пониженном давлении растворитель с получением указанного в заголовке соединения (368 мг) в виде желтого масла. 1H ЯМР (400 МГц, CDCl3) Пример 67 N-[7-(2-Метокси-4,6-диметилфенил)-2-(метилсульфанил)пиразоло[1,5-a]пиридин-3-ил]-N,N-дипропиламин трет-Бутил N-[7-(2-метокси-4,6-диметилфенил)-2-(метилсульфанил)пиразоло[1,5-a]пиридин-3-ил]карбамат (50 мг) растворяли в 4 н. растворе (2 мл) хлористо-водородная кислота/этилацетат, и смесь перемешивали при комнатной температуре в течение 1 часа. Реакционную смесь нейтрализовали 5 н. водным раствором гидроксида натрия и экстрагировали этилацетатом и органический слой концентрировали с получением 7-(2-метокси-4,6-диметилфенил)-2-(метилсульфанил)пиразоло[1,5-a]пиридин-3-амина. Полученный продукт растворяли в тетрагидрофуране (1 мл), и после добавления пропиональдегида (0,078 мл) и 3 М водной серной кислоты (0,363 мл) добавляли боргидрид натрия (27 мг) пятью порциями за некоторое время при интенсивном перемешивании на льду и продолжали перемешивание еще 30 минут. После добавления насыщенного водного раствора гидрокарбоната натрия для нейтрализации реакционной смеси проводили экстракцию этилацетатом и органический слой концентрировали. Остаток очищали хроматографией на колонке с силикагелем с получением из фракции н-гексан:этилацетат (7:1) указанного в заголовке соединения (20,6 мг) в виде светло-желтого масла. 1H ЯМР (400 МГц, CDCl3) Соединения примеров 68-101 синтезировали способом получения примера 67. Пример 68 N-[7-(2,6-Диметокси-4-метилфенил)-2-(метилсульфанил)пиразоло[1,5-a]пиридин-3-ил]-N,N-дипропиламин (Светло-желтое масло) 1H ЯМР (400 МГц, CDCl3) Пример 69 N-[7-(2,6-Диметокси-3-пиридил)-2- (метилсульфанил)пиразоло[1,5-a]пиридин-3-ил]-N,N-дипропиламин (Светло-желтое масло) 1H ЯМР (400 МГц, CDCl3) Пример 70 N-[7-(6-Метокси-2-метил-3-пиридил)-2-(метилсульфанил)пиразоло[1,5-a]пиридин-3-ил]-N,N-дипропиламин (Светло-желтое масло) 1H ЯМР (400 МГц, CDCl3) Пример 71 N3,N3-Дипропил-7-[6-(диметиламино)-4-метил-3-пиридил]-2-(метилсульфанил)пиразоло[1,5-a]пиридин-3-амин (Светло-желтое масло) 1H ЯМР (400 МГц, CDCl3) МС (ESI) m/z 398+ Пример 72 N,N-Дициклопропилметил-N-[7-(2-метокси-4,6-диметилфенил)-2-(метилсульфанил)пиразоло[1,5-a]пиридин-3-ил]амин (Светло-желтое масло) 1H ЯМР (400 МГц, CDCl3) Пример 73 N,N-Диизобутил-N-[7-(2-метокси-4,6-диметилфенил)-2-(метилсульфанил)пиразоло[1,5-a]пиридин-3-ил]амин (Светло-желтое масло) МС (ESI) m/z 426 МН+ Пример 74 N-[7-(2,4-Диметокси-6-метилфенил)-2-(метилсульфанил)пиразоло[1,5-a]пиридин-3-ил]-N,N-дипропиламин (Светло-желтое масло) 1H ЯМР (400 МГц, CDCl3) Пример 75 N-[7-(2-Метокси-4-метилфенил)-2- (метилсульфанил)пиразоло[1,5-a]пиридин-3-ил]-N,N-дипропиламин (Светло-желтое масло) 1H ЯМР (400 МГц, CDCl3) Пример 76 N,N-Дициклопропилметил-N-[7-(2,6-диметокси-4-метилфенил)-2-(метилсульфанил)пиразоло[1,5-a]пиридин-3-ил]амин (Бесцветное масло) 1H ЯМР (400 МГц, CDCl3) Пример 77 N-[7-(4-Хлор-2-метоксифенил)-2- (метилсульфанил)пиразоло[1,5-a]пиридин-3-ил]-N,N-дициклопропилметиламин (Светло-желтое масло) 1H ЯМР (400 МГц, CDCl3) Пример 78 N-[7-(2-Хлор-4-метоксифенил)-2-(метилсульфанил)пиразоло[1,5-a]пиридин-3-ил]-N,N-дициклопропилметиламин (Светло-желтое масло) 1H ЯМР (400 МГц, CDCl3) Пример 79 N,N-Дициклопропилметил-N-[7-(4-метокси-2-метилфенил)-2-(метилсульфанил)пиразоло[1,5-a]пиридин-3-ил]амин (Светло-желтое масло) 1H ЯМР (400 МГц, CDCl3) Пример 80 N-[7-(4-Метокси-2,6-диметилфенил)-2-(метилсульфанил)пиразоло[1,5-a]пиридин-3-ил]-N,N-дипропиламин (Светло-желтые кристаллы) 1H ЯМР (400 МГц, CDCl3) МС (ESI) m/z 398 MH+ Пример 81 N,N-Дициклопропилметил-N-[7-(4-метокси-2,6-диметилфенил)-2-(метилсульфанил)пиразоло[1,5-a]пиридин-3-ил]амин (Светло-желтые кристаллы) 1H ЯМР (400 МГц, CDCl3) МС (ESI) m/z 422 MH+ Пример 82 N,N-Дициклопропилметил-N-[7-[4-метокси-2-(трифторметил)фенил]-2-(метилсульфанил)пиразоло[1,5-a]пиридин-3-ил]амин (Желтое масло) 1H ЯМР (400 МГц, CDCl3) Пример 83 N-[7-(2-Хлор-4-(трифторметокси)фенил)-2-(метилсульфанил)пиразоло[1,5-a]пиридин-3-ил]- N,N-дициклопропилметиламин (Желтое масло) 1H ЯМР (400 МГц, CDCl3) Пример 84 N,N-Дициклопропилметил-N-[7-(4-метил-1,3-бензодиоксол-5-ил)-2-(метилсульфанил)пиразоло[1,5-a]пиридин-3-ил]амин (Желтые кристаллы) 1H ЯМР (400 МГц, CDCl3) Пример 85 N-[7-(2,4-Диметоксифенил)-2- (метилсульфанил)пиразоло[1,5-a]пиридин-3-ил]-N,N-дипропиламин (Желтое масло) 1H ЯМР (400 МГц, CDCl3) Пример 86 N,N-Дициклопропилметил-N-[7-(2,4-диметоксифенил)-2-(метилсульфанил)пиразоло[1,5-a]пиридин-3-ил]амин (Желтое масло) 1H ЯМР (400 МГц, CDCl3) Пример 87 N-[7-(4-Хлор-2,6-диметоксифенил)-2-(метилсульфанил)пиразоло[1,5-a]пиридин-3-ил]-N,N-дипропиламин (Желтые кристаллы) 1H ЯМР (400 МГц, CDCl3) МС (ESI) m/z 434 MH+ Пример 88 N-[7-(4-Хлор-2,6-диметоксифенил)-2- (метилсульфанил)пиразоло[1,5-a]пиридин-3-ил]-N,N-дициклопропилметиламин (Желтые кристаллы) 1H ЯМР (400 МГц, CDCl3) МС (ESI) m/z 458 MH+ Пример 89 N-[7-(2-Хлор-6-метокси-4-метилфенил)-2-(метилсульфанил)пиразоло[1,5-a]пиридин-3-ил]-N,N-дипропиламин (Желтые кристаллы) 1H ЯМР (400 МГц, CDCl3) МС (ESI) m/z 418 MH+ Пример 90 N-[7-(2-Хлор-6-метокси-4-метилфенил)-2-(метилсульфанил)пиразоло[1,5-a]пиридин-3-ил]- N,N-дициклопропилметиламин (Желтые кристаллы) 1H ЯМР (400 МГц, CDCl3) MC (ESI) m/z 442 MH+ Пример 91 N,N-Дициклопропилметил-N-[2-(метилсульфанил)-7-(2,4,6-триметоксифенил)пиразоло[1,5-a]пиридин-3-ил]амин (Светло-желтые кристаллы) 1H ЯМР (400 МГц, CDCl3) Пример 92 N,N-Дициклопропилметил-N-[7-(2,4-диметокси-6-метилфенил)-2-(метилсульфанил)пиразоло[1,5-a]пиридин-3-ил]амин (Желтое масло) 1H ЯМР (400 МГц, CDCl3) Пример 93 N3,N3-Дициклопропилметил-7-[6-(диметиламино)-2-метил-3-пиридил]-2-(метилсульфанил)пиразоло[1,5-a]пиридин-3-амин (Желтое масло) 1H ЯМР (400 МГц, CDCl3) Пример 94 N3,N3-Дициклопропилметил-7-[6-(диметиламино)-2,4-диметил-3-пиридил]-2-(метилсульфанил)пиразоло[1,5-a]пиридин-3-амин (Желтое масло) 1H ЯМР (400 МГц, CDCl3) Пример 95 N3,N3-Дициклопропилметил-7-[6-(диметиламино)-3-пиридил]-2-(метилсульфанил)пиразоло[1,5-a]пиридин-3-амин (Желтое масло) 1H ЯМР (400 МГц, CDCl3) Пример 96 N,N-Дициклопропилметил-N-[7-(4-метокси-6-метил-3-пиридил)-2-(метилсульфанил)пиразоло[1,5-a]пиридин-3-ил]амин (Желтое масло) 1H ЯМР (400 МГц, CDCl3) Пример 97 N,N-Дициклопропилметил-N-[7-(4,6-диметил-3-пиридил)-2-(метилсульфанил)пиразоло[1,5-a]пиридин-3-ил]амин (Коричневое масло) 1H ЯМР (400 МГц, CDCl3) Пример 98 N3,N3-Дициклопропилметил-7-[6-(диметиламино)-4-метил-3-пиридил]-2-(метилсульфанил)пиразоло[1,5-a]пиридин-3-амин (Светло-желтое масло) 1H ЯМР (400 МГц, CDCl3) Пример 99 N-[7-(2-Метокси-4,6-диметилфенил)-2-(метилсульфанил)пиразоло[1,5-a]пиридин-3-ил]-N,N-дитетрагидро- 3-фуранилметиламин (Желтое масло) 1H ЯМР (400 МГц, CDCl3) Пример 100 N,N-Ди(3-фурилметил)-N-[7-(4-метокси-2,6-диметилфенил)-2-(метилсульфанил)пиразоло[1,5-a]пиридин-3-ил]амин (Желтое масло) 1H ЯМР (400 МГц, CDCl3) Пример 101 N-[7-(4-Бром-2-метоксифенил)-2-(метилсульфанил)пиразоло[1,5-a]пиридин-3-ил]-N,N-дициклопропилметиламин (Желтое масло) 1H ЯМР (400 МГц, CDCl3) Пример 102 N-[7-(2,4-Дихлорфенил)-2-метилтиопиразоло[1,5-a]пиридин- 3-ил]-N-пропиламин После растворения трет-бутил N-[7-(2,4-дихлорфенил)-2-метилтиопиразоло[1,5-a]пиридин-3-ил]карбамата (150 мг) в N,N-диметилформамиде (3 мл) добавляли при охлаждении на льду гидрид натрия (60%, 21 мг), затем добавляли 1-иодпропан (0,041 мл) и смесь перемешивали 30 минут. Добавляли к реакционной смеси воду, проводили экстракцию этилацетатом и экстракт промывали насыщенным раствором соли. Полученный органический слой сушили над безводным сульфатом магния и фильтровали, после чего отгоняли при пониженном давлении растворитель с получением неочищенного продукта. Полученный неочищенный продукт растворяли без очистки в этилацетате (1 мл), добавляли 4 н. раствор (4 мл) хлористо-водородная кислота/этилацетат, и смесь перемешивали при комнатной температуре в течение 2 часов. Реакционную смесь нейтрализовали 5 н. водным раствором гидроксида натрия при охлаждении на льду, и затем смесь экстрагировали этилацетатом и органический слой промывали водой и насыщенным раствором соли. После сушки над безводным сульфатом магния и фильтрования растворитель удаляли при пониженном давлении и остаток очищали хроматографией на колонке с силикагелем с получением из фракции н-гексан:этилацетат (20:1) указанного в заголовке соединения (60 мг) в виде желтого масла. 1H ЯМР (400 МГц, CDCl3) Пример 103 N-[7-(2,4-Дихлорфенил)-2-метилтиопиразоло[1,5-a]пиридин-3-ил]-N,N-дипропиламин N-[7-(2,4-Дихлорфенил)-2-метилтиопиразоло[1,5-a]пиридин-3-ил]-N-пропиламин (59 мг) растворяли в тетрагидрофуране (1 мл), и после добавления пропиональдегида (0,035 мл) и 3 М серной кислоты (0,16 мл) добавляли боргидрид натрия (12 мг) пятью порциями при интенсивном перемешивании на льду, после чего смесь продолжали перемешивать еще 30 минут. Добавляли к реакционной смеси воду, смесь экстрагировали диэтиловым эфиром и экстракт промывали насыщенным водным раствором гидрокарбоната натрия и насыщенным раствором соли. После сушки над безводным сульфатом магния и фильтрования растворитель удаляли при пониженном давлении и остаток очищали хроматографией на колонке с силикагелем с получением из фракции н-гексан:этилацетат (100:1) указанного в заголовке соединения (49 мг) в виде желтого масла. 1H ЯМР (400 МГц, CDCl3) Соединения примеров 104-158 синтезировали способом получения примеров 102 и 103. Пример 104 N-Изобутил-N-[7-(2-метокси-4,6-диметилфенил)-2-(метилсульфанил)пиразоло[1,5-a]пиридин-3-ил]-N-пропиламин (Светло-желтое масло) 1H ЯМР (400 МГц, CDCl3) Пример 105 N-Циклопропилметил-N-[7-(2-метокси-4,6-диметилфенил)-2-(метилсульфанил)пиразоло[1,5-a]пиридин-3-ил]-N-пропиламин (Желтое масло) 1H ЯМР (400 МГц, CDCl3) Пример 106 N-[7-(2-Метокси-4,6-диметилфенил)-2-(метилсульфанил)пиразоло[1,5-a]пиридин-3-ил]-N-(2-метоксиэтил)-N-пропиламин (Светло-желтое масло) 1H ЯМР (400 МГц, CDCl3) Пример 107 N-Циклопропилметил-N-[7-(2-метокси-4,6-диметилфенил)-2-(метилсульфанил)пиразоло[1,5-a]пиридин-3-ил]-N- (2-метоксиэтил)амин (Светло-желтое масло) 1H ЯМР (400 МГц, CDCl3) Пример 108 N-Изобутил-N-[7-(2-метокси-4,6-диметилфенил)-2-(метилсульфанил)пиразоло[1,5-a]пиридин-3-ил]-N- (2-метоксиэтил)амин (Светло-желтое масло) МС (ESI) m/z 428 МН+ Пример 109 N-(3-Фторпропил)-N-[7-(2-метокси-4,6-диметилфенил)-2-(метилсульфанил)пиразоло[1,5-a]пиридин-3-ил]-N-пропиламин (Светло-желтое масло) 1H ЯМР (400 МГц, CDCl3) Пример 110 N-Циклопропилметил-N-(3-фторпропил)-N-[7-(2-метокси-4,6-диметилфенил)-2-(метилсульфанил)пиразоло[1,5-a]пиридин-3-ил]амин (Светло-желтое масло) 1H ЯМР (400 МГц, CDCl3) Пример 111 N-(3-Фторпропил)-N-изобутил-N-[7-(2-метокси-4,6-диметилфенил)-2-(метилсульфанил)пиразоло[1,5-a]пиридин-3-ил]амин (Светло-желтое масло) МС (ESI) m/z 430 МН+ Пример 112 N-Циклопропилметил-N-[7-(2-метокси-4,6-диметилфенил)-2-(метилсульфанил)пиразоло[1,5-a]пиридин-3-ил]-N-тетрагидро-2-фуранилметиламин (Светло-желтое масло) МС (ESI) m/z 452 МН+ Пример 113 N-Изобутил-N-[7-(2-метокси-4,6-диметилфенил)-2-(метилсульфанил)пиразоло[1,5-a]пиридин-3-ил]-N-тетрагидро- 2-фуранилметиламин (Светло-желтое масло) МС (ESI) m/z 454 МН+ Пример 114 N-[7-(2-Метокси-4,6-диметилфенил)-2-(метилсульфанил)пиразоло[1,5-a]пиридин-3-ил]-N- (2-морфолиноэтил)-N-пропиламин (Светло-желтое масло) МС (ESI) m/z 469 МН+ Пример 115 N1-[7-(2-Метокси-4,6-диметилфенил)-2-(метилсульфанил)пиразоло[1,5-a]пиридин-3-ил]-N2,N2-диметил-N1-пропил-1,2-этандиамин (Светло-желтое масло) МС (ESI) m/z 427 МН+ Пример 116 N-[7-(2-Метокси-4,6-диметилфенил)-2-(метилсульфанил)пиразоло[1,5-a]пиридин-3-ил]-N-пропил-N- (2-тетрагидро-1Н-1-пирролилэтил)амин (Светло-желтое масло) МС (ESI) m/z 453 МН+ Пример 117 N-[7-(2-Метокси-4,6-диметилфенил)-2-(метилсульфанил)пиразоло[1,5-a]пиридин-3-ил]-N-пропил-N- (2-пиридилметил)амин (Светло-желтое масло) МС (ESI) m/z 447 МН+ Пример 118 N-Циклопропилметил-N-[7-(4-метокси-2,6-диметилфенил)-2-(метилсульфанил)пиразоло[1,5-a]пиридин-3-ил]-N-пропиламин (Желтое масло) 1H ЯМР (400 МГц, CDCl3) MC (ESI) m/z 410 MH+ Пример 119 N-Изобутил-N-[7-(4-метокси-2,6-диметилфенил)-2-(метилсульфанил)пиразоло[1,5-a]пиридин-3-ил]-N-пропиламин (Желтые кристаллы) 1H ЯМР (400 МГц, CDCl3) МС (ESI) m/z 412 MH+ Пример 120 N-Циклопропилметил-N-изобутил-N-[7-(4-метокси-2,6-диметилфенил)-2-(метилсульфанил)пиразоло[1,5-a]пиридин-3-ил]амин (Желтые кристаллы) 1H ЯМР (400 МГц, CDCl3) МС (ESI) m/z 424 MH+ Пример 121 N-Циклопропилметил-N-[7-(2-метокси-4,6-диметилфенил)-2-(метилсульфанил)пиразоло[1,5-a]пиридин-3-ил]-N-[(3-метил-3-оксетанил)метил]амин (Светло-желтое масло) 1H ЯМР (400 МГц, CDCl3) Пример 122 N-Циклопропилметил-N-[7-(2,6-диметокси-4-метилфенил)-2-(метилсульфанил)пиразоло[1,5-a]пиридин-3-ил]-N-тетрагидро-2-фуранилметиламин (Желтое масло) 1H ЯМР (400 МГц, CDCl3) Пример 123 N-Циклопропилметил-N-[7-(2-метокси-4,6-диметилфенил)-2-(метилсульфанил)пиразоло[1,5-a]пиридин-3-ил]-N-тетрагидро- 3-фуранилметиламин (Желтое масло) 1H ЯМР (400 МГц, CDCl3) Пример 124 N-Этил-N-[7-(2-метокси-4,6-диметилфенил)-2-(метилсульфанил)пиразоло[1,5-a]пиридин-3-ил]-N-тетрагидро- 3-фуранилметиламин (Светло-желтое масло) 1H ЯМР (400 МГц, CDCl3) Пример 125 N-Циклопропилметил-N-[7-(2,6-диметокси-4-метилфенил)-2-(метилсульфанил)пиразоло[1,5-a]пиридин-3-ил]-N-тетрагидро- 3-фуранилметиламин (Светло-желтое масло) 1H ЯМР (400 МГц, CDCl3) Пример 126 1-(2-(Циклопропилметил)[7-(2-метокси-4,6-диметилфенил)-2-(метилсульфанил)пиразоло[1,5-a]пиридин-3-ил]аминоэтил)- 2-пирролидинон (Светло-желтое масло) 1H ЯМР (400 МГц, CDCl3) Пример 127 N-[7-(2,6-Диметокси-4-метилфенил)-2-(метилсульфанил)пиразоло[1,5-a]пиридин-3-ил]-N-пропил-N-тетрагидро-3-фуранилметиламин (Белые кристаллы) 1H ЯМР (400 МГц, CDCl3) Пример 128 N-[7-(4-Метокси-2,6-диметилфенил)-2-(метилсульфанил)пиразоло[1,5-a]пиридин-3-ил]-N-пропил-N-тетрагидро-3-фуранилметиламин (Желтое масло) 1H ЯМР (400 МГц, CDCl3) Пример 129 N-Циклопропилметил-N-[7-(4-метокси-2,6-диметилфенил)-2-(метилсульфанил)пиразоло[1,5-a]пиридин-3-ил]-N-тетрагидро- 3-фуранилметиламин (Желтое масло) 1H ЯМР (400 МГц, CDCl3) Пример 130 N-[7-(4-Метокси-2,6-диметилфенил)-2-(метилсульфанил)пиразоло[1,5-a]пиридин-3-ил]-N-пропил- N-тетрагидро-2-фуранилметиламин (Желтое масло) 1H ЯМР (400 МГц, CDCl3) Пример 131 N-Циклопропилметил-N-[7-(4-метокси-2,6-диметилфенил)-2-(метилсульфанил)пиразоло[1,5-a]пиридин-3-ил]-N-тетрагидро- 2-фуранилметиламин (Желтое масло) 1H ЯМР (400 МГц, CDCl3) Пример 132 N-[7-(4-Хлор-2,6-диметоксифенил)-2-(метилсульфанил)пиразоло[1,5-a]пиридин-3-ил]-N-пропил-N-тетрагидро-2-фуранилметиламин (Желтые кристаллы) 1H ЯМР (400 МГц, CDCl3) Пример 133 N-[7-(4-Хлор-2,6-диметоксифенил)-2-(метилсульфанил)пиразоло[1,5-a]пиридин-3-ил]-N-циклопропилметил-N-тетрагидро-2-фуранилметиламин (Желтое масло) 1H ЯМР (400 МГц, CDCl3) Пример 134 N-(3-Фурилметил)-N-[7-(4-метокси-2,6-диметилфенил)-2-(метилсульфанил)пиразоло[1,5-a]пиридин-3-ил]-N-пропиламин (Светло-желтое масло) 1H ЯМР (400 МГц, CDCl3) Пример 135 N-Циклопропилметил-N-(3-фурилметил)-N-[7-(4-метокси-2,6-диметилфенил)-2-(метилсульфанил)пиразоло[1,5-a]пиридин-3-ил]амин (Желтое масло) 1H ЯМР (400 МГц, CDCl3) Пример 136 N-(3-Фурилметил)-N-[7-(2-метокси-4,6-диметилфенил)-2-(метилсульфанил)пиразоло[1,5-a]пиридин-3-ил]-N-пропиламин (Желтое масло) 1H ЯМР (400 МГц, CDCl3) Пример 137 N-Циклопропилметил-N-(3-фурилметил)-N-[7-(2-метокси-4,6-диметилфенил)-2-(метилсульфанил)пиразоло[1,5-a]пиридин-3-ил]амин (Желтое масло) 1H ЯМР (400 МГц, CDCl3) Пример 138 N-[7-(2,6-Диметокси-4-метилфенил)-2-(метилсульфанил)пиразоло[1,5-a]пиридин-3-ил]-N-пропил- N-тетрагидро-2-фуранилметиламин (Белые кристаллы) 1H ЯМР (400 МГц, CDCl3) Пример 139 3-(Циклопропилметил)[7-(2-метокси-4,6-диметилфенил)-2-(метилсульфанил)пиразоло[1,5-a]пиридин-3-ил]аминотетрагидро-2-фуранон (Белые кристаллы) 1H ЯМР (400 МГц, CDCl3) Пример 140 N-Циклопропилметил-N-[7-(2,4-диметокси-6-метилфенил)-2-(метилсульфанил)пиразоло[1,5-a]пиридин-3-ил]-N-тетрагидро- 3-фуранилметиламин (Желтое масло) 1H ЯМР (400 МГц, CDCl3) Пример 141 N-[7-(2,4-Диметокси-6-метилфенил)-2-(метилсульфанил)пиразоло[1,5-a]пиридин-3-ил]-N-пропил- N-тетрагидро-3-фуранилметиламин (Желтое масло) 1H ЯМР (400 МГц, CDCl3) Пример 142 N-Циклопропилметил-N-[7-(2,4-диметокси-6-метилфенил)-2-(метилсульфанил)пиразоло[1,5-a]пиридин-3-ил]-N-тетрагидро-2-фуранилметиламин (Светло-желтые кристаллы) 1H ЯМР (400 МГц, CDCl3) Пример 143 N-[7-(2,4-Диметокси-6-метилфенил)-2-(метилсульфанил)пиразоло[1,5-a]пиридин-3-ил]-N-пропил-N-тетрагидро-2-фуранилметиламин (Светло-желтые кристаллы) 1H ЯМР (400 МГц, CDCl3) Пример 144 N-Циклопропилметил-N-[7-(2,6-диметокси-4-метилфенил)-2-(метилсульфанил)пиразоло[1,5-a]пиридин-3-ил]-N- (3-фурилметил)амин (Желтое масло) 1H ЯМР (400 МГц, CDCl3) Пример 145 N-[7-(2-Метокси-4,6-диметилфенил)-2-(метилсульфанил)пиразоло[1,5-a]пиридин-3-ил]-N-пропил- N-тетрагидро-3-фуранилметиламин (Желтое масло) 1H ЯМР (400 МГц, CDCl3) Пример 146 N-Циклопропилметил-N-[7-(2-метокси-4,6-диметилфенил)-2-(метилсульфанил)пиразоло[1,5-a]пиридин-3-ил]-N-(2-тетрагидро-2-фуранилэтил)амин (Желтое масло) 1H ЯМР (400 МГц, CDCl3) Пример 147 N-Циклопропилметил-N-[7-(2-метокси-4,6-диметилфенил)-2-(метилсульфанил)пиразоло[1,5-a]пиридин-3-ил]-N- (3-пиридилметил)амин (Желтое масло) 1H ЯМР (400 МГц, CDCl3) Пример 148 N-Циклопропилметил-N-[7-(2,6-диметокси-4-метилфенил)-2-(метилсульфанил)пиразоло[1,5-a]пиридин-3-ил]-N- (2-фурилметил)амин (Желтое масло) 1H ЯМР (400 МГц, CDCl3) Пример 149 N-Циклопропилметил-N-[7-(2,6-диметокси-4-метилфенил)-2-(метилсульфанил)пиразоло[1,5-a]пиридин-3-ил]-N-[(5-метил-2-фурил)метил]амин (Желтое масло) 1H ЯМР (400 МГц, CDCl3) Пример 150 N-Циклопропилметил-N-[7-(2-метокси-4,6-диметилфенил)-2-(метилсульфанил)пиразоло[1,5-a]пиридин-3-ил]-N-(1Н-3-пирролилметил)амин (Желтое масло) 1H ЯМР (400 МГц, CDCl3) Пример 151 N-Циклопропилметил-N-[7-(2-метокси-4,6-диметилфенил)-2-(метилсульфанил)пиразоло[1,5-a]пиридин-3-ил]-N-(1Н-4-пиразолилметил)амин (Желтое масло) 1H ЯМР (400 МГц, CDCl3) Пример 152 N-Циклопропилметил-N-[7-(2-метокси-4,6-диметилфенил)-2-(метилсульфанил)пиразоло[1,5-a]пиридин-3-ил]-N- (4-пиридилметил)амин (Желтое масло) 1H ЯМР (400 МГц, CDCl3) Пример 153 N-Циклопропилметил-N-(2,2-дифторэтил)-N-[7-(2-метокси-4,6-диметилфенил)-2-(метилсульфанил)пиразоло[1,5-a]пиридин-3-ил]амин (Желтое масло) 1H ЯМР (400 МГц, CDCl3) Пример 154 N-(2,2-Дифторэтил)-N-[7-(2-метокси-4,6-диметилфенил)-2-(метилсульфанил)пиразоло[1,5-a]пиридин-3-ил]-N-тетрагидро- 3-фуранилметиламин (Желтое масло) 1H ЯМР (400 МГц, CDCl3) Пример 155 N-Циклопропилметил-N-[7-[2-фторметокси)-4,6-диметилфенил)-2-(метилсульфанил)пиразоло[1,5-a]пиридин-3-ил]-N-тетрагидро-3-фуранилметиламин (Светло-желтое масло) 1H ЯМР (400 МГц, CDCl3) Пример 156 N-Циклопропилметил-N-[7-(2-метокси-4,6-диметилфенил)-2-(метилсульфанил)пиразоло[1,5-a]пиридин-3-ил]-N-[(1-метил-1Н-2-имидазолил)метил]амин (Светло-желтое аморфное вещество) 1H ЯМР (400 МГц, CDCl3) Пример 157 N3-Циклопропилметил-N3-[6-(диметиламино)-3-пиридил]метил-7- (2-метокси-4,6-диметилфенил)- 2-(метилсульфанил)пиразоло[1,5-a]пиридин-3-амин (Светло-желтое аморфное вещество) 1H ЯМР (400 МГц, CDCl3) Пример 158 N-[7-(2-Метокси-4,6-диметилфенил)-2-(метилсульфанил)пиразоло[1,5-a]пиридин-3-ил]амино-1-метилэтилбензоат (Желтое масло) 1H ЯМР (400 МГц, CDCl3) Пример 159 N-Циклопропилметил-N-[7-(2-метокси-4,6-диметилфенил)-2-(метилсульфанил)пиразоло[1,5-a]пиридин-3-ил]-N-тетрагидро-2Н- 4-пиранилметиламин После растворения N-циклопропилметил-N-[7-(2-метокси-4,6-диметилфенил)-2-(метилсульфанил)пиразоло[1,5-a]пиридин-3-ил]амина (100 мг) в тетрагидрофуране (2 мл) добавляли тетрагидро-2Н-4-пиранкарбальдегид (78 мг) [CAS № 50675-18-8] и триацетоксиборгидрид натрия (87 мг) и смесь перемешивали в течение 1 часа. Добавляли к реакционной смеси насыщенный водный раствор гидрокарбоната натрия, смесь экстрагировали этилацетатом и экстракт промывали насыщенным раствором соли. После сушки над безводным сульфатом магния и фильтрования растворитель удаляли при пониженном давлении и остаток очищали хроматографией на колонке с силикагелем с получением из фракции н-гексан:этилацетат (7:1) указанного в заголовке соединения (70 мг) в виде желтого масла. 1H ЯМР (400 МГц, CDCl3) Соединения примеров 160-198 синтезировали способом получения примера 159. Пример 160 N-[7-(4-Хлор-2,6-диметоксифенил)-2-(метилсульфанил)пиразоло[1,5-a]пиридин-3-ил]-N-циклопропилметил-N-тетрагидро-2Н-4-пираниламин (Желтое масло) 1H ЯМР (400 МГц, CDCl3) МС (ESI) m/z 488 MH+ Пример 161 N-Циклопропилметил-N-[7-(2-метокси-4,6-диметилфенил)-2-(метилсульфанил)пиразоло[1,5-a]пиридин-3-ил]-N-тетрагидро-2Н- 4-пираниламин (Светло-желтое аморфное вещество) 1H ЯМР (400 МГц, CDCl3) Пример 162 N-[7-(2-Метокси-4,6-диметилфенил)-2-(метилсульфанил)пиразоло[1,5-a]пиридин-3-ил]-N-пропил-N-тетрагидро-2Н-4-пираниламин (Светло-желтые кристаллы) 1H ЯМР (400 МГц, CDCl3) Пример 163 N-(3-Фторпропил)-N-[7-(2-метокси-4,6-диметилфенил)-2-(метилсульфанил)пиразоло[1,5-a]пиридин-3-ил]-N-тетрагидро-2Н- 4-пираниламин (Светло-желтые кристаллы) 1H ЯМР (400 МГц, CDCl3) Пример 164 N-Циклопропилметил-N-[7-(2,6-диметокси-4-метилфенил)-2-(метилсульфанил)пиразоло[1,5-a]пиридин-3-ил]-N-тетрагидро-2Н- 4-пираниламин (Светло-желтое аморфное вещество) 1H ЯМР (400 МГц, CDCl3) Пример 165 N-[7-(2,6-Диметокси-4-метилфенил)-2-(метилсульфанил)пиразоло[1,5-a]пиридин-3-ил]-N-пропил-N-тетрагидро-2Н-4-пираниламин (Светло-желтые кристаллы) 1H ЯМР (400 МГц, CDCl3) Пример 166 N-[7-(2,6-Диметокси-4-метилфенил)-2-(метилсульфанил)пиразоло[1,5-a]пиридин-3-ил]-N-(3-фторпропил)- N-тетрагидро-2Н-4-пираниламин (Светло-желтые кристаллы) 1H ЯМР (400 МГц, CDCl3) Пример 167 N-[7-(4-Метокси-2,6-диметилфенил)-2-(метилсульфанил)пиразоло[1,5-a]пиридин-3-ил]-N-пропил-N-тетрагидро-2Н-4-пираниламин (Желтое масло) 1H ЯМР (400 МГц, CDCl3) МС (ESI) m/z 440 MH+ Пример 168 N-Циклопропилметил-N-[7-(4-метокси-2,6-диметилфенил)-2-(метилсульфанил)пиразоло[1,5-a]пиридин-3-ил]-N-тетрагидро-2Н-4-пираниламин (Желтые кристаллы) 1H ЯМР (400 МГц, CDCl3) МС (ESI) m/z 452 MH+ Пример 169 N-(3-Фторпропил)-N-[7-(4-метокси-2,6-диметилфенил)-2-(метилсульфанил)пиразоло[1,5-a]пиридин-3-ил]-N-тетрагидро-2Н-4-пираниламин (Светло-коричневое масло) 1H ЯМР (400 МГц, CDCl3) МС (ESI) m/z 458 MH+ Пример 170 N-[7-(4-Хлор-2,6-диметоксифенил)-2-(метилсульфанил)пиразоло[1,5-a]пиридин-3-ил]-N-(3-фторпропил)-N-тетрагидро-2Н-4-пираниламин (Желтые кристаллы) 1H ЯМР (400 МГц, CDCl3) Пример 171 N-[7-(4-Хлор-2,6-диметоксифенил)-2-(метилсульфанил)пиразоло[1,5-a]пиридин-3-ил]-N-пропил-N-тетрагидро-2Н-4-пираниламин (Желтые кристаллы) 1H ЯМР (400 МГц, CDCl3) MC (ESI) m/z 476 MH+ Пример 172 N-[7-(2-Хлор-6-метокси-4-метилфенил)-2-(метилсульфанил)пиразоло[1,5-a]пиридин-3-ил]-N-циклопропилметил-N-тетрагидро-2Н-4-пираниламин (Светло-зеленые кристаллы) 1H ЯМР (400 МГц, CDCl3) Пример 173 N-[7-(2-Хлор-6-метокси-4-метилфенил)-2-(метилсульфанил)пиразоло[1,5-a]пиридин-3-ил]-N-пропил-N-тетрагидро-2Н-4-пираниламин (Светло-желтые кристаллы) 1H ЯМР (400 МГц, CDCl3) Пример 174 N-Циклопропилметил-N-[7-(4-метокси-2,6-диметилфенил)-2-(метилсульфанил)пиразоло[1,5-a]пиридин-3-ил]-N-(1-метил-4-пиперидил)амин (Желтые кристаллы) 1H ЯМР (400 МГц, CDCl3) МС (ESI) m/z 465 MH+ Пример 175 1-(4-(Циклопропилметил)[7-(4-метокси-2,6-диметилфенил)-2-(метилсульфанил)пиразоло[1,5-a]пиридин-3-ил]аминопиперидино)- 1-этанон (Светло-желтое масло) 1H ЯМР (400 МГц, CDCl3) MC (ESI) m/z 493 MH+ Пример 176 N-Циклопропилметил-N-[7-(2-метокси-4,6-диметилфенил)-2-(метилсульфанил)пиразоло[1,5-a]пиридин-3-ил]-N-тетрагидро-2-тиофениламин (Светло-желтое масло) 1H ЯМР (400 МГц, CDCl3) Пример 177 N-Циклопропилметил-N-[7-(2-метокси-4,6-диметилфенил)-2-(метилсульфанил)пиразоло[1,5-a]пиридин-3-ил]-N-тетрагидро-2Н-3-пираниламин (Желтое твердое вещество) 1H ЯМР (400 МГц, CDCl3) МС (ESI) m/z 452 MH+ Пример 178 N-(3-Фурилметил)-N-[7-(4-метокси-2,6-диметилфенил)-2-(метилсульфанил)пиразоло[1,5-a]пиридин-3-ил]-N-тетрагидро-2Н- 4-пираниламин (Желтое масло) 1H ЯМР (400 МГц, CDCl3) Пример 179 N-(3-Фурилметил)-N-[7-(2-метокси-4,6-диметилфенил)-2-(метилсульфанил)пиразоло[1,5-a]пиридин-3-ил]-N-тетрагидро-2Н- 4-пираниламин (Желтое аморфное вещество) 1H ЯМР (400 МГц, CDCl3) Пример 180 N-[7-(2,6-Диметокси-4-метилфенил)-2-(метилсульфанил)пиразоло[1,5-a]пиридин-3-ил]-N-тетрагидро-2-фуранилметил-N-тетрагидро-2Н-4-пираниламин (Белые кристаллы) 1H ЯМР (400 МГц, CDCl3) Пример 181 N-Циклопропилметил-N-[7-(2-метокси-4,6-диметилфенил)-2-(метилсульфанил)пиразоло[1,5-a]пиридин-3-ил]-N-тетрагидро-3-фураниламин (Белое твердое вещество) 1H ЯМР (400 МГц, CDCl3) Пример 182 N-[7-(2-Метокси-4,6-диметилфенил)-2-(метилсульфанил)пиразоло[1,5-a]пиридин-3-ил]-N-тетрагидро-3-фуруанил-N-тетрагидро-3-фуранилметиламин (Белое твердое вещество) 1H ЯМР (400 МГц, CDCl3) Пример 183 N-Циклопропилметил-N-[7-(2,6-диметокси-4-метилфенил)-2-(метилсульфанил)пиразоло[1,5-a]пиридин-3-ил]-N-тетрагидро-2Н-3-пираниламин (Желтое масло) 1H ЯМР (400 МГц, CDCl3) Пример 184 N-Циклопропилметил-N-[7-(2,4-диметокси-6-метилфенил)-2-(метилсульфанил)пиразоло[1,5-a]пиридин-3-ил]-N-тетрагидро-2Н- 3-пираниламин (Желтое масло) 1H ЯМР (400 МГц, CDCl3) Пример 185 N-Циклопропилметил-N-[7-(2,4-диметокси-6-метилфенил)-2-(метилсульфанил)пиразоло[1,5-a]пиридин-3-ил]-N-тетрагидро-2Н- 4-пираниламин (Желтое масло) 1H ЯМР (400 МГц, CDCl3) Пример 186 N-Циклопропилметил-N-[7-(4-метокси-2,6-диметилфенил)-2-(метилсульфанил)пиразоло[1,5-a]пиридин-3-ил]-N-тетрагидро-2Н- 3-пираниламин (Желтое масло) 1H ЯМР (400 МГц, CDCl3) Пример 187 N-Циклопропилметил-N-[7-(2,6-диметокси-4-метилфенил)-2-(метилсульфанил)пиразоло[1,5-a]пиридин-3-ил]-N-тетрагидро-2Н-4-пиранилметиламин (Желтое масло) 1H ЯМР (400 МГц, CDCl3) Пример 188 N-[7-(2-Метокси-4,6-диметилфенил)-2-(метилсульфанил)пиразоло[1,5-a]пиридин-3-ил]-N-тетрагидро-3-фуранилметил-N-тетрагидро-2Н-4-пираниламин (Белое аморфное вещество) 1H ЯМР (400 МГц, CDCl3) Пример 189 N-Циклопропилметил-N-(3,4-дигидро-2Н-2-пиранилметил)-N-[7-(2-метокси-4,6-диметилфенил)-2- (метилсульфанил)пиразоло[1,5-a]пиридин-3-ил]амин (Желтое масло) 1H ЯМР (400 МГц, CDCl3) Пример 190 N-Циклопропилметил-N-[7-(2-метокси-4,6-диметилфенил)-2-(метилсульфанил)пиразоло[1,5-a]пиридин-3-ил]-N-[(2-метокси-3-пиридил)метил]амин (Желтое масло) 1H ЯМР (400 МГц, CDCl3) Пример 191 N-[7-(2,6-Диметокси-4-метилфенил)-2-(метилсульфанил)пиразоло[1,5-a]пиридин-3-ил]-N-тетрагидро-2Н-4-пиранил-N-тетрагидро-2Н-4-пиранилметиламин (Белое аморфное вещество) 1H ЯМР (400 МГц, CDCl3) Пример 192 N-(2,2-Дифторэтил)-N-[7-(2-метокси-4,6-диметилфенил)-2-(метилсульфанил)пиразоло[1,5-a]пиридин-3-ил]-N-тетрагидро-2Н-4-пираниламин (Белое твердое вещество) 1H ЯМР (400 МГц, CDCl3) Пример 193 N-(2,2-Дифторэтил)-N-[7-(2-метокси-4,6-диметилфенил)-2-(метилсульфанил)пиразоло[1,5-a]пиридин-3-ил]-N-тетрагидро-2Н-4-пиранилметиламин (Коричневое масло) 1H ЯМР (400 МГц, CDCl3) Пример 194 N-Бутил-N-[7-(2,6-диметокси-4-метилфенил)-2-этилпиразоло[1,5-a]пиридин-3-ил]-N-тетрагидро-2Н-4-пиранилметиламин (Желтое масло) 1H ЯМР (400 МГц, CDCl3) Пример 195 N-Циклобутилметил-N-[7-(2,6-диметокси-4-метилфенил)-2-этилпиразоло[1,5-a]пиридин-3-ил]-N-тетрагидро-2Н-4-пиранилметиламин (Желтое масло) 1H ЯМР (400 МГц, CDCl3) Пример 196 N-Циклопропилметил-N-[7-(2-метокси-4,6-диметилфенил)-2-(метилсульфанил)пиразоло[1,5-a]пиридин-3-ил]-N-тетрагидро-2Н-3-пиранилметиламин (Желтое масло) 1H ЯМР (400 МГц, CDCl3) МС (ESI) m/z 466 MH+ Пример 197 N-Циклопропилметил-N-[7-(2,6-диметокси-4-метилфенил)-2-(метилсульфанил)пиразоло[1,5-a]пиридин-3-ил]-N-тетрагидро-2Н-3-пиранилметиламин (Желтое масло) 1H ЯМР (400 МГц, CDCl3) Пример 198 N-Циклопропилметил-N-(5,6-дигидро-2Н-3-пиранилметил)-N-[7-(2-метокси-4,6-диметилфенил)-2- (метилсульфанил)пиразоло[1,5-a]пиридин-3-ил]амин (Желтое масло) 1H ЯМР (400 МГц, CDCl3) МС (ESI) m/z 464 MH+ Пример 199 N-[7-(2-Метокси-4,6-диметилфенил)-2-(метилсульфанил)пиразоло[1,5-a]пиридин-3-ил]-N- (2-оксетанилметил)амин После растворения трет-бутил N-[7-(2-метокси-4,6-диметилфенил)-2-(метилсульфанил)пиразоло[1,5-a]пиридин-3-ил]карбамата (100 мг) в N,N-диметилформамиде (2 мл) добавляли при охлаждении на льду гидрид натрия (60%, 15 мг), смесь перемешивали в течение 30 минут, добавляли 2-оксетанилметил 4-метил-1-бензолсульфонат (70 мг) и смесь перемешивали в течение 1 часа при 40°С. Опять добавляли 2-оксетанилметил 4-метил-1-бензолсульфонат (23 мг) [CAS № 115845-51-7] и гидрид натрия (60%, 5 мг) и смесь перемешивали в течение 1 часа. Добавляли к реакционной смеси воду, проводили экстракцию этилацетатом и экстракт промывали насыщенным раствором соли. После сушки полученного органического слоя над безводным сульфатом магния и фильтрования растворитель удаляли при пониженном давлении с получением неочищенного трет-бутил N-циклопропилметил-N-[7-(2-метокси-4,6-диметилфенил)-2-(метилсульфанил)пиразоло[1,5-a]пиридин-3-ил]-N-(2-оксетанилметил)карбамата. Полученный неочищенный продукт растворяли без очистки в этилацетате (2 мл), добавляли 4 н. раствор (1 мл) хлористо-водородная кислота/этилацетат и смесь перемешивали при комнатной температуре в течение 1 часа. Реакционную смесь нейтрализовали 5 н. водным раствором гидроксида натрия при охлаждении на льду, и затем смесь экстрагировали этилацетатом и органический слой промывали насыщенным раствором соли. После сушки полученного органического слоя над безводным сульфатом магния и фильтрования растворитель удаляли при пониженном давлении и остаток очищали хроматографией на колонке с силикагелем с получением из фракции н-гексан:этилацетат (3:1) указанного в заголовке соединения (8 мг) в виде желтого масла. 1H ЯМР (400 МГц, CDCl3) МС (ESI) m/z 383 MH+ Пример 200 N-Циклопропилметил-N-[7-(2-метокси-4,6-диметилфенил)-2-(метилсульфанил)пиразоло[1,5-a]пиридин-3-ил]-N- (2-оксетанилметил)амин После растворения N-[7-(2-метокси-4,6-диметилфенил)-2-(метилсульфанил)пиразоло[1,5-a]пиридин-3-ил]-N-(2-оксетанилметил)амина (8 мг) в N,N-диметилформамиде (2 мл) добавляли при охлаждении на льду гидрид натрия (60%, 1,6 мг), после чего добавляли циклопропилметилбромид (3,8 мкл) и смесь перемешивали при комнатной температуре в течение 12 часов. Добавляли к реакционной смеси воду, проводили экстракцию этилацетатом и экстракт промывали насыщенным раствором соли. После сушки над безводным сульфатом магния и фильтрования растворитель удаляли при пониженном давлении и остаток очищали хроматографией на колонке с силикагелем с получением из фракции н-гексан:этилацетат (10:1) указанного в заголовке соединения (1,8 мг) в виде желтого масла. 1H ЯМР (400 МГц, CDCl3) Соединение примера 201 синтезировали способом получения примеров 199 и 200. Пример 201 N-Циклопропилметил-N-(1,3-диоксолан-2-илметил)-N-[7-(2-метокси-4,6-диметилфенил)-2-(метилсульфанил)пиразоло[1,5-a]пиридин-3-ил]амин (Желтое масло) 1H ЯМР (400 МГц, CDCl3) MC (ESI) m/z 454 MH+ Пример 202 1-(Циклопропилметил)[7-(2-метокси-4,6-диметилфенил)-2-(метилсульфанил)пиразоло[1,5-a]пиридин-3-ил]амино-2-пропанол (Желтое масло) Циклопропанкарбоксальдегид (0,047 мл) и 3 М серную кислоту (0,21 мл) добавляли к раствору 2-[7-(2-метокси-4,6-диметилфенил)-2-(метилсульфанил)пиразоло[1,5-a]пиридин-3-ил]амино-1-метилэтилбензоата (100 мг) в тетрагидрофуране (0,7 мл) при охлаждении на льду и затем к полученной смеси медленно добавляли при той же самой температуре боргидрид натрия (16 мг). Смесь перемешивали в течение 30 минут при комнатной температуре, после чего добавляли при охлаждении на льду 5 н. водный раствор гидроксида натрия для подщелачивания реакционной смеси. Добавляли к реакционной смеси метанол (2,1 мл), и после кипячения с обратным холодильником в течение 1 часа смесь опять доводили до комнатной температуры, экстрагировали этилацетатом и экстракт промывали насыщенным раствором соли, сушили над безводным сульфатом магния и концентрировали при пониженном давлении. Остаток очищали хроматографией на колонке с силикагелем (этилацетат:н-гексан=1:5) с получением указанного в заголовке соединения (80 мг) в виде желтого масла. 1H ЯМР (400 МГц, CDCl3) Пример 203 1-(Циклопропилметил)[7-(2-метокси-4,6-диметилфенил)-2-(метилсульфанил)пиразоло[1,5-a]пиридин-3-ил]амино-3-фтор-2-пропанол (Коричневатое масло) Гидрат п-толуолсульфоновой кислоты (40 мг) и эпифторгидрин (0,15 мл) [CAS №503-09-3] добавляли к раствору N-циклопропилметил-N-[7-(2-метокси-4,6-диметилфенил)-2-(метилсульфанил)пиразоло[1,5-a]пиридин-3-ил]амина (50 мг) в 1,2-диметоксиэтане (0,40 мл) и смесь кипятили с обратным холодильником в течение 3 часов. После охлаждения до комнатной температуры отгоняли при пониженном давлении растворитель. Полученный остаток очищали хроматографией на колонке с основным силикагелем (этилацетат:н-гексан=1:5) с получением указанного в заголовке соединения (24 мг) в виде коричневатого масла. 1H ЯМР (400 МГц, CDCl3) Соединения примеров 204-206 синтезировали способами получения примеров 202 и 203. Пример 204 1-(Циклопропилметил)[7-(2-метокси-4,6-диметилфенил)-2-(метилсульфанил)пиразоло[1,5-a]пиридин-3-ил]амино-3-метокси-2-пропанол (Желтое масло) 1H ЯМР (400 МГц, CDCl3) Пример 205 (2S)-1-(Циклопропилметил)[7-(2-метокси-4,6-диметилфенил)-2-(метилсульфанил)пиразоло[1,5-a]пиридин-3-ил]амино-3-метоксипропан-2-ол (Желтое масло) 1H ЯМР (400 МГц, CDCl3) Пример 206 4-(Циклопропилметил)[7-(2-метокси-4,6-диметилфенил)-2-(метилсульфанил)пиразоло[1,5-a]пиридин-3-ил]амино-2-бутанол (Светло-желтое масло) 1H ЯМР (400 МГц, CDCl3) Пример 207 4-[3-[Ди(циклопропилметил)амино]-2-(метилсульфанил)пиразоло[1,5-a]пиридин-7-ил]-3-метоксибензонитрил После растворения N-[7-(4-бром-2-метоксифенил)-2-(метилсульфанил)пиразоло[1,5-a]пиридин-3-ил]-N,N-дициклопропилметиламина (60 мг) в N,N-диметилформамиде (0,26 мл) добавляли цианид цинка (31 мг) и комплекс тетракис(трифенилфосфин)палладий(0) (23 мг) и смесь нагревали и перемешивали при 95°С в течение 12 часов, после чего охлаждали до комнатной температуры и добавляли этилацетат. После отфильтровывания выпавшей в осадок нерастворимой части проводили экстракцию этилацетатом. Полученный органический слой промывали водой и сушили над безводным сульфатом магния, после чего отгоняли при пониженном давлении растворитель. Полученный остаток очищали хроматографией на колонке с силикагелем (этилацетат:н-гексан=1:8) с получением указанного в заголовке соединения (32 мг) в виде желтого масла. 1H ЯМР (400 МГц, CDCl3) Соединения примеров 208-210 синтезировали способом получения примера 207. Пример 208 4-[3-[(Циклопропилметил)(тетрагидро-3-фуранилметил)амино]-2-(метилсульфанил)пиразоло[1,5-a]пиридин-7-ил]-3-метоксибензонитрил (Желтое аморфное вещество) 1H ЯМР (400 МГц, CDCl3) Пример 209 4-[3-[Ди(циклопропилметил)амино]-2-(метилсульфанил)пиразоло[1,5-a]пиридин-7-ил]-3-метокси-5-метилбензонитрил (Светло-желтые кристаллы) 1H ЯМР (400 МГц, CDCl3) Пример 210 4-[3-[(Циклопропилметил)(тетрагидро-3-фуранилметил)амино]-2-(метилсульфанил)пиразоло[1,5-a]пиридин-7-ил]-3-метокси-5-метилбензонитрил (Светло-желтые кристаллы) 1H ЯМР (400 МГц, CDCl3) Пример 211 5-((Циклопропилметил)[7-(2,6-диметокси-4-метилфенил)-2-(метилсульфанил)пиразоло[1,5-a]пиридин-3-ил]аминометил)-2-фуронитрил Цианид цинка (31 мг) и комплекс тетракис(трифенилфосфин)палладий(0) (52 мг) добавляли к раствору N-[(5-бром-2-фурил)метил]-N-циклопропилметил-N-[7-(2,6-диметокси-4-метилфенил)-2-(метилсульфанил)пиразоло[1,5-a]пиридин-3-ил]амина (122 мг) в смеси N,N-диметилформамида (3 мл) и N-метил-2-пирролидинона (3 мл), и смесь нагревали при 155°С в течение 4 часов. Реакционную смесь охлаждали до комнатной температуры, добавляли воду, смесь экстрагировали этилацетатом, экстракт промывали насыщенным водным раствором гидрокарбоната натрия и насыщенным раствором соли и сушили над безводным сульфатом магния, после чего отгоняли при пониженном давлении растворитель. Остаток подвергали хроматографии на колонке с силикагелем с получением из фракции н-гексан:этилацетат (1:4) указанного в заголовке соединения (23 мг) в виде желтого масла. 1H ЯМР (400 МГц, CDCl3) Пример 212 N,N-Дициклопропилметил-N-[7-[2-метокси-6-метил-4-(1,3-тиазол-2-ил)фенил]-2-(метилсульфанил)пиразоло[1,5-a]пиридин-3-ил]амин После растворения N-[7-(4-бром-2-метокси-6-метилфенил)-2-(метилсульфанил)пиразоло[1,5-a]пиридин-3-ил]-N,N-дициклопропилметиламина (45 мг) в толуоле (0,60 мл) добавляли трибутилстаннилтиазол (52 мг) и комплекс тетракис(трифенилфосфин)палладий(0) (9 мг) и смесь нагревали и перемешивали при 120°С в течение 2 часов, после чего охлаждали до комнатной температуры и добавляли этилацетат. После отфильтровывания выпавшей в осадок нерастворимой части отгоняли при пониженном давлении растворитель. Полученный остаток очищали хроматографией на колонке с силикагелем (этилацетат:н-гексан=1:5) с получением указанного в заголовке соединения (30 мг) в виде белых кристаллов. 1H ЯМР (400 МГц, CDCl3) Соединение примера 213 синтезировали способом получения примера 212. Пример 213 N,N-Дициклопропилметил-N-[7-[2-метокси-6-метил-4- (3-пиридил)фенил]-2-(метилсульфанил)пиразоло[1,5-a]пиридин- 3-ил]амин (Светло-желтое твердое вещество) 1H ЯМР (400 МГц, CDCl3) Пример 214 3-((Циклопропилметил)[7-(2-метокси-4,6-диметилфенил)-2-(метилсульфанил)пиразоло[1,5-a]пиридин-3-ил]аминометил)- 2-пиридинол (Белые кристаллы) После растворения N-циклопропилметил-N-[7-(2-метокси-4,6-диметилфенил)-2-(метилсульфанил)пиразоло[1,5-a]пиридин-3-ил]-N-[(2-метокси-3-пиридил)метил]амина (63 мг) в этаноле (1 мл) добавляли при комнатной температуре 4 н. раствор (1 мл) хлористо-водородная кислота/этилацетат и смесь кипятили с обратным холодильником в течение 3 часов. К реакционной смеси для ее нейтрализации добавляли при охлаждении на льду насыщенный водный раствор гидрокарбоната натрия, и смесь экстрагировали этилацетатом. Полученный органический слой промывали водой и сушили над сульфатом магния, после чего отгоняли при пониженном давлении растворитель. Полученный остаток очищали хроматографией на колонке с силикагелем (этилацетат) с получением указанного в заголовке соединения (49 мг) в виде белых кристаллов. 1H ЯМР (400 МГц, CDCl3) Соединение примера 215 синтезировали способом получения примера 214. Пример 215 3-((Циклопропилметил)[7-(2-метокси-4,6-диметилфенил)-2-(метилсульфанил)пиразоло[1,5-a]пиридин-3-ил]аминометил)-2-пиразинол (Светло-желтые кристаллы) 1H ЯМР (400 МГц, CDCl3) Пример 216 2-[3-[Ди(циклопропилметил)амино]-2-(метилсульфанил)пиразоло[1,5-a]пиридин-7-ил]-3,5-диметилфенол 1 М раствор (0,42 мл) трибромид бора/ дихлорметан добавляли к раствору N,N-дициклопропилметил-N-[7-[2-метокси-4,6-диметилфенил]-2-(метилсульфанил)пиразоло[1,5-a]пиридин-3-ил]амина (35 мг) в дихлорметане (10 мл) при комнатной температуре в атмосфере азота, и смесь перемешивали в течение 10 минут. Реакционную смесь добавляли в ледяную воду, проводили экстракцию этилацетатом, и органический слой промывали насыщенным раствором соли, сушили над безводным сульфатом магния и концентрировали при пониженном давлении. Полученный остаток подвергали хроматографии на колонке с силикагелем с получением из фракции н-гексан:этилацетат (6:1) указанного в заголовке соединения (17 мг) в виде белых кристаллов. 1H ЯМР (400 МГц, CDCl3) МС (ESI) m/z 408 MH+ Пример 217 N,N-Дициклопропилметил-N-[7-(2-этокси-4,6-диметилфенил)-2-(метилсульфанил)пиразоло[1,5-a]пиридин-3-ил]амин После добавления этанола (2 мкл), трифенилфосфина (15 мг) и диэтилазодикарбоксилата (9 мкл) к раствору 2-[3-[ди(циклопропилметил)амино]-2-(метилсульфанил)пиразоло[1,5-a]пиридин-7-ил]-3,5-диметилфенола (15 мг) в тетрагидрофуране (0,45 мл) в атмосфере азота, смесь перемешивали при комнатной температуре в течение ночи. Реакционную смесь добавляли в воду, проводили экстракцию этилацетатом и органический слой промывали насыщенным раствором соли, сушили над безводным сульфатом магния и концентрировали при пониженном давлении. Полученный остаток подвергали хроматографии на колонке с силикагелем с получением из фракции н-гексан:этилацетат (9:1) указанного в заголовке соединения (3,7 мг) в виде желтого масла. 1H ЯМР (400 МГц, CDCl3) Соединения примеров 218-223 синтезировали способом получения примера 217. Пример 218 N,N-Дициклопропилметил-N-[7-[2-(2-фторэтокси)-4,6-диметилфенил]-2-(метилсульфанил)пиразоло[1,5-a]пиридин-3-ил]амин (Желтое масло) 1H ЯМР (400 МГц, CDCl3) Пример 219 N-[7-[2-(Циклопропилметокси)-4,6-диметилфенил)-2-(метилсульфанил)пиразоло[1,5-a]пиридин-3-ил]- N,N-дициклопропилметиламин (Желтое масло) 1H ЯМР (400 МГц, CDCl3) Пример 220 N,N-Дициклопропилметил-N-[7-[2-(2-метоксиэтокси)-4,6-диметилфенил]-2-(метилсульфанил)пиразоло[1,5-a]пиридин-3-ил]амин (Желтое масло) 1H ЯМР (400 МГц, CDCl3) МС (ESI) m/z 466 MH+ Пример 221 N,N-Дициклопропилметил-N-[7-(2-изопропокси-4,6-диметилфенил)-2-(метилсульфанил)пиразоло[1,5-a]пиридин-3-ил]амин (Желтое масло) 1H ЯМР (400 МГц, CDCl3) МС (ESI) m/z 450 MH+ Пример 222 2-[3-[Ди(циклопропилметил)амино]-2-(метилсульфанил)пиразоло[1,5-a]пиридин-7-ил]-3,5-диметилфеноксиметилцианид (Желтое масло) 1H ЯМР (400 МГц, CDCl3) МС (ESI) m/z 447 MH+ Пример 223 N,N-Дициклопропилметил-N-[7-[2,4-диметил-6-(2-тетрагидро-1Н-1-пирролилэтокси)фенил]-2-(метилсульфанил)пиразоло[1,5-a]пиридин-3-ил]амин (Желтое масло) 1H ЯМР (400 МГц, CDCl3) МС (ESI) m/z 505 MH+ Пример 224 N-Циклопропил-N-циклопропилметил-N-[7-(2-метокси-4,6-диметилфенил)-2-(метилсульфанил)пиразоло[1,5-a]пиридин-3-ил]амин После растворения N-циклопропилметил-N-[7-(2-метокси-4,6-диметилфенил)-2-(метилсульфанил)пиразоло[1,5-a]пиридин-3-ил]амина (100 мг) в метаноле (10 мл) добавляли ((1-этоксициклопропил)окси)триметилсилан (60 мкл), уксусную кислоту (298 мкл) и цианоборгидрид натрия (171 мг) и смесь кипятили с обратным холодильником в течение 6 часов. После охлаждения реакционной смеси до комнатной температуры добавляли насыщенный водный раствор гидрокарбоната натрия, проводили экстракцию этилацетатом, и органический слой промывали насыщенным раствором соли. После сушки полученного органического слоя над безводным сульфатом магния и фильтрования растворитель удаляли при пониженном давлении и остаток очищали хроматографией на колонке с силикагелем с получением из фракции н-гексан:этилацетат (10:1) указанного в заголовке соединения (74 мг) в виде желтого масла. 1H ЯМР (400 МГц, CDCl3) Соединение примера 225 синтезировали способом получения примера 224. Пример 225 N-Циклопропил-N-[7-(2-метокси-4,6-диметилфенил)-2-(метилсульфанил)пиразоло[1,5-a]пиридин-3-ил]-N-тетрагидро- 2-фуранилметиламин (Светло-желтое масло) 1H ЯМР (400 МГц, CDCl3) Пример 226 N3-Циклопропилметил-N3-[7-(2-метокси-4,6-диметилфенил)-2-(метилсульфанил)пиразоло[1,5-a]пиридин-3-ил]никотинамид Триэтиламин (0,038 мл) и гидрохлорид хлорникотиновой кислоты (20 мг) добавляли к раствору N-циклопропилметил-N-[7-(2-метокси-4,6-диметилфенил)-2-(метилсульфанил)пиразоло[1,5-a]пиридин-3-ил]амина (33 мг) в дихлорметане (0,8 мл) при охлаждении на льду, и смесь перемешивали при той же самой температуре в течение 1 часа. Добавляли при охлаждении на льду насыщенный водный раствор гидрокарбоната натрия, проводили экстракцию этилацетатом и экстракт промывали насыщенным раствором соли, сушили над безводным сульфатом магния и концентрировали при пониженном давлении. Остаток очищали хроматографией на колонке с силикагелем (этилацетат:н-гексан=3:2) с получением указанного в заголовке соединения (36 мг) в виде белых кристаллов. 1H ЯМР (400 МГц, CDCl3) Соединение примера 227 синтезировали способом получения примера 226. Пример 227 N1-[7-(2-Метокси-4,6-диметилфенил)-2-(метилсульфанил)пиразоло[1,5-a]пиридин-3-ил]-N1- (3-пиридилметил)-1-циклопропанкарбоксиамид (Белое аморфное вещество) 1H ЯМР (400 МГц, CDCl3) Пример 228 N,N-Дициклопропилметил-N-[7-(2-метокси-4,6-диметилфенил)-2-(метилсульфинил)пиразоло[1,5-a]пиридин-3-ил]амин м-Хлорпербензойную кислоту (234 мг) добавляли к раствору N,N-дициклопропилметил-N-[7-(2-метокси-4,6-диметилфенил)-2-(метилсульфанил)пиразоло[1,5-a]пиридин-3-ил]амина (200 мг) в дихлорметане (10 мл) при 0°С, и смесь перемешивали в течение 2 часов. Добавляли к реакционной смеси воду, проводили экстракцию этилацетатом, экстракт промывали насыщенным водным раствором гидрокарбоната натрия и насыщенным раствором соли и сушили над сульфатом магния, после чего отгоняли при пониженном давлении растворитель. Остаток подвергали хроматографии на колонке с силикагелем (20 г) с получением из фракции н-гексан:этилацетат (1:1) указанного в заголовке соединения (162 мг) в виде светло-желтого масла. 1H ЯМР (400 МГц, CDCl3) Пример 229 N,N-Дициклопропилметил-N-[7-(2-метокси-4,6-диметилфенил)-2-(метилсульфонил)пиразоло[1,5-a]пиридин-3-ил]амин м-Хлорпербензойную кислоту (91 мг) добавляли к раствору N,N-дициклопропилметил-N-[7-(2-метокси-4,6-диметилфенил)-2-(метилсульфинил)пиразоло[1,5-a]пиридин-3-ил]амина (162 мг) в дихлорметане (10 мл) при 0°С, и смесь перемешивали в течение 4 часов. Добавляли к реакционной смеси воду, проводили экстракцию этилацетатом, экстракт промывали насыщенным водным раствором гидрокарбоната натрия и насыщенным раствором соли и сушили над сульфатом магния, после чего отгоняли при пониженном давлении растворитель. Остаток подвергали хроматографии на колонке с силикагелем (10 г) с получением из фракции н-гексан:этилацетат (1:2) указанного в заголовке соединения (9 мг) в виде светло-желтого масла. 1H ЯМР (400 МГц, CDCl3) Пример 230 N,N-Дициклопропилметил-N-[2-метокси-7-(2-метокси-4,6-диметилфенил)пиразоло[1,5-a]пиридин-3-ил]амин 2-Метокси-7-(2-метокси-4,6-диметилфенил)-3-нитрозопиразоло[1,5-a]пиридин (200 мг) суспендировали в этаноле (10 мл), после чего добавляли воду (5 мл), уксусную кислоту (0,5 мл) и цинковый порошок (200 мг), и смесь нагревали и перемешивали при 60°С в течение 1 часа. Реакционную смесь фильтровали, к фильтрату добавляли воду, проводили экстракцию этилацетатом и органический слой промывали насыщенным водным раствором гидрокарбоната натрия и насыщенным раствором соли. Полученный органический слой сушили над безводным сульфатом магния и фильтровали, после чего растворитель удаляли при пониженном давлении с получением 2-метокси-7-(2-метокси-4,6-диметилфенил)пиразоло[1,5-a]пиридин-3-амина в виде неочищенного продукта. Полученный неочищенный продукт растворяли без очистки в тетрагидрофуране (5 мл) и после добавления циклопропанкарбоксиальдегида (0,166 мл) и 3 М водного раствора серной кислоты (0,739 мл) добавляли боргидрид натрия (56 мг) пятью порциями при интенсивном перемешивании на льду и продолжали перемешивание еще 1 час. Добавляли к реакционной смеси насыщенный водный раствор гидрокарбоната натрия, смесь экстрагировали этилацетатом и экстракт промывали насыщенным раствором соли. После сушки над безводным сульфатом магния и фильтрования растворитель удаляли при пониженном давлении и остаток очищали хроматографией на колонке с силикагелем с получением из фракции н-гексан:этилацетат (30:1) указанного в заголовке соединения (240 мг) в виде желтого масла. 1H ЯМР (400 МГц, CDCl3) Соединения примеров 231-236 синтезировали способом получения примера 230. Пример 231 N-[2-Метокси-7-(2-метокси-4,6-диметилфенил)пиразоло[1,5-a]пиридин-3-ил]-N,N-дитетрагидро-2Н-4-пираниламин (Светло-коричневый порошок) 1H ЯМР (400 МГц, CDCl3) Пример 232 N,N-Дициклопропилметил-N-[7-(2,6-диметокси-4-метилфенил)-2-метоксипиразоло[1,5-a]пиридин-3-ил]амин (Белые кристаллы) 1H ЯМР (400 МГц, CDCl3) Пример 233 N,N-Дициклопропилметил-N-[7-(2,4-диметокси-6-метилфенил)-2-метоксипиразоло[1,5-a]пиридин-3-ил]амин (Желтое масло) 1H ЯМР (400 МГц, CDCl3) Пример 234 N-[7-(2-Хлор-6-метокси-4-метилфенил)-2-метоксипиразоло[1,5-a]пиридин-3-ил]-N,N-дициклопропилметиламин (Белые кристаллы) 1H ЯМР (400 МГц, CDCl3) Пример 235 N,N-Дициклопропилметил-N-[2-метокси-7-(4-метокси-2,6-диметилфенил)пиразоло[1,5-a]пиридин-3-ил]амин (Светло-желтые кристаллы) 1H ЯМР (400 МГц, CDCl3) Пример 236 N-[7-(2-Хлор-4-метоксифенил)-2-метоксипиразоло[1,5-a]пиридин-3-ил]-N,N-дициклопропилметиламин (Желтое масло) 1H ЯМР (400 МГц, CDCl3) Пример 237 трет-Бутил N-[7-(2,4-диметокси-6-метилфенил)-2-метоксипиразоло[1,5-a]пиридин-3-ил]карбамат После растворения трет-бутил N-[7-бром-2-метоксипиразоло[1,5-a]пиридин-3-ил]карбамата (300 мг) в 1,2-диметоксиэтане (10 мл) и воде (5 мл) добавляли 6-метил-2,4-диметоксифенилборную кислоту (258 мг), комплекс тетракис(трифенилфосфин)палладий(0) (203 мг) и октагидрат гидроксида бария (415 мг) и смесь нагревали и перемешивали при 80°С в течение 3 часов. Добавляли к реакционной смеси воду, проводили экстракцию этилацетатом и экстракт промывали насыщенным раствором соли. После сушки полученного органического слоя над безводным сульфатом магния и фильтрования растворитель удаляли при пониженном давлении и остаток очищали хроматографией на колонке с силикагелем с получением из фракции н-гексан:этилацетат (5:1) указанного в заголовке соединения (230 мг) в виде коричневого масла. 1H ЯМР (400 МГц, CDCl3) Пример 238 N-Циклопропилметил-N-[7-(4-диметокси-6-метилфенил)-2-метоксипиразоло[1,5-a]пиридин-3-ил]-N-тетрагидро-2-фуранилметиламин После растворения трет-бутил N-[7-(2,4-диметокси-6-метилфенил)-2-метоксипиразоло[1,5-a]пиридин-3-ил]карбамата (50 мг) в N,N-диметилформамиде (2 мл) добавляли при охлаждении на льду гидрид натрия (60%, 15 мг), после чего добавляли 20-тетрагидрофуранилметилхлорид (16 мкл) и смесь перемешивали в течение 3 часов при 60°С в токе азота. Добавляли к реакционной смеси воду, проводили экстракцию этилацетатом и экстракт промывали насыщенным раствором соли. После сушки над безводным сульфатом магния и фильтрования растворитель удаляли при пониженном давлении с получением трет-бутил N-[7-(2,4-диметокси-6-метилфенил)-2-метоксипиразоло[1,5-a]пиридин-3-ил]-N-тетрагидро-2-фуранилметилкарбамата. Полученный неочищенный продукт растворяли без очистки в этилацетате (2 мл), добавляли 4 н. раствор (4 мл) хлористо-водородная кислота/этилацетат, и смесь перемешивали при 40°С в течение 1 часа. Реакционную смесь нейтрализовали 5 н. водным раствором гидроксида натрия при охлаждении на льду, и затем смесь экстрагировали этилацетатом и органический слой промывали водой и насыщенным раствором соли. Органический слой сушили над безводным сульфатом магния и фильтровали, после чего растворитель удаляли при пониженном давлении с получением N-[7-(2,4-диметокси-6-метилфенил)-2-метоксипиразоло[1,5-a]пиридин-3-ил]-N-тетрагидро-2-фуранилметиламина в виде неочищенного продукта. Полученный неочищенный продукт растворяли без очистки в тетрагидрофуране (2 мл), и после добавления циклопропанкарбоксиальдегида (27 мкл) и 3 М водной серной кислоты (0,121 мл) добавляли боргидрид натрия (9 мг) пятью порциями при интенсивном перемешивании на льду и продолжали перемешивание еще 30 минут. Добавляли насыщенный водный раствор гидрокарбоната натрия, проводили экстракцию этилацетатом, отгоняли растворитель, и остаток очищали хроматографией на колонке с силикагелем с получением из фракции н-гексан:этилацетат (5:1) указанного в заголовке соединения (31 мг) в виде желтого масла. 1H ЯМР (400 МГц, CDCl3) Соединения примеров 239-255 синтезировали способами получения примеров 237 и 238. Пример 239 N-Циклопропилметил-N-[2-метокси-7-(2-метокси-4,6-диметилфенил)пиразоло[1,5-a]пиридин-3-ил]-N-тетрагидро-3-фуранилметиламин (Светло-желтое масло) 1H ЯМР (400 МГц, CDCl3) Пример 240 N-[7-(2-Хлор-6-метокси-4-метилфенил)-2-метоксипиразоло[1,5-a]пиридин-3-ил]-N-циклопропилметил-N-тетрагидро-3-фуранилметиламин (Желтое масло) 1H ЯМР (400 МГц, CDCl3) Пример 241 N-[7-(2-Хлор-4-метоксифенил)-2-метоксипиразоло[1,5-a]пиридин-3-ил]-N-циклопропилметил-N-тетрагидро-3-фуранилметиламин (Желтое масло) 1H ЯМР (400 МГц, CDCl3) Пример 242 N-[7-(2-Хлор-4-метоксифенил)-2-метоксипиразоло[1,5-a]пиридин-3-ил]-N-циклопропилметил-N-тетрагидро-2-фуранилметиламин (Желтое масло) 1H ЯМР (400 МГц, CDCl3) Пример 243 N-Циклопропилметил-N-[7-(2,4-диметокси-6-метилфенил)-2-метоксипиразоло[1,5-a]пиридин-3-ил]-N-тетрагидро-3-фуранилметиламин (Светло-желтое масло) 1H ЯМР (400 МГц, CDCl3) Пример 244 N-Циклопропилметил-N-[7-(2,6-диметокси-4-метилфенил)-2-метоксипиразоло[1,5-a]пиридин-3-ил]-N-тетрагидро-3-фуранилметиламин (Желтое аморфное вещество) 1H ЯМР (400 МГц, CDCl3) Пример 245 N-Циклопропилметил-N-[7-(2,6-диметокси-4-метилфенил)-2-метоксипиразоло[1,5-a]пиридин-3-ил]-N-тетрагидро-2-фуранилметиламин (Желтые кристаллы) 1H ЯМР (400 МГц, CDCl3) Пример 246 N-Циклопропилметил-N-[2-метокси-7-(2-метокси-4,6-диметилфенил)пиразоло[1,5-a]пиридин-3-ил]-N-тетрагидро-2-фуранилметиламин (Желтое масло) 1H ЯМР (400 МГц, CDCl3) Пример 247 N-Циклопропилметил-N-[7-(2,6-диметокси-4-метилфенил)-2-метоксипиразоло[1,5-a]пиридин-3-ил]-N-(3-фурилметил)амин (Желтые кристаллы) 1H ЯМР (400 МГц, CDCl3) Пример 248 N-Циклопропилметил-N-[7-(2,6-диметокси-4-метилфенил)-2-метоксипиразоло[1,5-a]пиридин-3-ил]-N-(2-фурилметил)амин (Желтое масло) 1H ЯМР (400 МГц, CDCl3) Пример 249 N-[7-(2-Хлор-6-метокси-4-метилфенил)-2-метоксипиразоло[1,5-a]пиридин-3-ил]-N-циклопропилметил-N-тетрагидро-2-фуранилметиламин (Желтое масло) 1H ЯМР (400 МГц, CDCl3) МС (ESI) m/z 456 MH+ Пример 250 N-[2-Метокси-7-(2-метокси-4,6-диметилфенил)пиразоло[1,5-a]пиридин-3-ил]-N-пропил-N-тетрагидро-3-фуранилметиламин (Желтое масло) 1H ЯМР (400 МГц, CDCl3) Пример 251 N-[2-Метокси-7-(2-метокси-4,6-диметилфенил)пиразоло[1,5-a]пиридин-3-ил]-N-пропил-N-тетрагидро-2-фуранилметиламин (Желтое масло) 1H ЯМР (400 МГц, CDCl3) Пример 252 N-Циклопропилметил-N-[2-метокси-7-(4-метокси-2,6-диметилфенил)пиразоло[1,5-a]пиридин-3-ил]-N-тетрагидро-3-фуранилметиламин (Желтое масло) 1H ЯМР (400 МГц, CDCl3) Пример 253 N-Циклопропилметил-N-7-[2-(фторметокси)-4,6-диметилфенил]-2-метоксипиразоло[1,5-a]пиридин-3-ил-N-тетрагидро-3-фуранилметиламин (Желтое масло) 1H ЯМР (400 МГц, CDCl3) Пример 254 N-Циклопропил-N-[7-(2,6-диметокси-4-метилфенил)-2-метоксипиразоло[1,5-a]пиридин-3-ил]-N-(1,3-диоксолан-2-илметил)амин (Желтое масло) 1H ЯМР (400 МГц, CDCl3) МС (ESI) m/z 454 MH+ Пример 255 N-Циклопропил-N-[7-(2,6-диметокси-4-метилфенил)-2-метоксипиразоло[1,5-a]пиридин-3-ил]-N-[2-(1,3-диоксолан-2-ил)этил]амин (Желтое масло) 1H ЯМР (400 МГц, CDCl3) МС (ESI) m/z 468 MH+ Пример 256 N-Циклопропилметил-N-[2-метокси-7-(2-метокси-4,6-диметилфенил)пиразоло[1,5-a]пиридин-3-ил]-N-тетрагидро-2Н-4-пиранилметиламин После растворения N-циклопропилметил-N-[2-метокси-7-(2-метокси-4,6-диметилфенил)пиразоло[1,5-a]пиридин-3-ил]амина (134 мл) в тетрагидрофуране (10 мл) добавляли тетрагидро-2Н-4-пиранкарбальдегид (131 мг) и триацетоксиборгидрид натрия (243 мг) и смесь перемешивали при комнатной температуре в течение 1 часа. К полученной реакционной смеси добавляли насыщенный водный раствор гидрокарбоната натрия, проводили экстракцию этилацетатом и экстракт промывали насыщенным раствором соли. После сушки над безводным сульфатом магния и фильтрования растворитель удаляли при пониженном давлении и остаток очищали хроматографией на колонке с силикагелем с получением из фракции н-гексан:этилацетат (4:1) указанного в заголовке соединения (120 мг) в виде желтого аморфного вещества. 1H ЯМР (400 МГц, CDCl3) Соединения примеров 257-266 синтезировали способом получения примера 256. Пример 257 N-Циклопропилметил-N-[2-метокси-7-(2-метокси-4,6-диметилфенил)пиразоло[1,5-a]пиридин-3-ил]-N-тетрагидро-2Н-4-пираниламин (Желтое масло) 1H ЯМР (400 МГц, CDCl3) Пример 258 N-[7-(2-Хлор-4-метоксифенил)-2-метоксипиразоло[1,5-a]пиридин-3-ил]-N-циклопропилметил-N-тетрагидро-2Н-4-пираниламин (Желтое масло) 1H ЯМР (400 МГц, CDCl3) Пример 259 N-Циклопропилметил-N-[7-(2,4-диметокси-6-метилфенил)-2-метоксипиразоло[1,5-a]пиридин-3-ил]-N-тетрагидро-2Н-4-пираниламин (Желтое масло) 1H ЯМР (400 МГц, CDCl3) Пример 260 N-Циклопропилметил-N-[7-(2,6-диметокси-4-метилфенил)-2-метоксипиразоло[1,5-a]пиридин-3-ил]-N-тетрагидро-2Н-4-пираниламин (Желтые кристаллы) 1H ЯМР (400 МГц, CDCl3) Пример 261 N-Циклопропилметил-N-[2-метокси-7-(2-метокси-4,6-диметилфенил)пиразоло[1,5-a]пиридин-3-ил]-N-тетрагидро-2Н-3-пираниламин (Желтое масло) 1H ЯМР (400 МГц, CDCl3) Пример 262 N-Циклопропилметил-N-[7-(2,6-диметокси-4-метилфенил)-2-метоксипиразоло[1,5-a]пиридин-3-ил]-N-тетрагидро-2Н-4-пиранилметиламин (Желтые кристаллы) 1H ЯМР (400 МГц, CDCl3) Пример 263 N-[7-(2-Хлор-6-метокси-4-метилфенил)-2-метоксипиразоло[1,5-a]пиридин-3-ил]-N-циклопропилметил-N-тетрагидро-2Н-4-пираниламин (Желтое твердое вещество) 1H ЯМР (400 МГц, CDCl3) МС (ESI) m/z 456 MH+ Пример 264 N-Циклопропилметил-N-[2-метокси-7-(4-метокси-2,6-диметилфенил)пиразоло[1,5-a]пиридин-3-ил]-N-тетрагидро-2Н-4-пираниламин (Желтое масло) 1H ЯМР (400 МГц, CDCl3) Пример 265 N-[2-Метокси-7-(2-метокси-4,6-диметилфенил)пиразоло[1,5-a]пиридин-3-ил]-N-тетрагидро-2Н-4-пиранил-N-тетрагидро-2Н-4-пиранилметиламин (Белое аморфное вещество) 1H ЯМР (400 МГц, CDCl3) Пример 266 N-Циклопропилметил-N-[7-(2,6-диметокси-4-метилфенил)-2-метоксипиразоло[1,5-a]пиридин-3-ил]-N-(1,3-оксазол-2-илметил)амин (Желтое масло) 1H ЯМР (400 МГц, CDCl3) МС (ESI) m/z 449+ Пример 267 N-[7-(2-Метокси-4,6-диметилфенил)-2-(метилсульфанил)пиразоло[1,5-a]пиридин-3-ил]-N-(2-пиридил)амин После растворения [7-(2-метокси-4,6-диметилфенил)-2-(метилсульфанил)пиразоло[1,5-a]пиридин-3-ил]амина (40 мг) в толуоле (1 мл) добавляли 2-бромпиридин (0,013 мл), трет-бутоксид натрия (25 мг) и комплекс (3 мг) дихлорбис(три-о-толилфосфин)палладий и смесь нагревали и перемешивали при 120°С в течение 5 часов. Смесь охлаждали до комнатной температуры, добавляли воду и проводили экстракцию этилацетатом. Органический слой промывали насыщенным раствором соли, сушили над безводным сульфатом магния и концентрировали при пониженном давлении. Полученный остаток очищали хроматографией на колонке с силикагелем с получением из фракции этилацетат:н-гексан (1:2) указанного в заголовке соединения (12 мг) в виде белых кристаллов. 1H ЯМР (400 МГц, CDCl3) Пример 268 N-Циклопропилметил-N-[7-(2-метокси-4,6-диметилфенил)-2-(метилсульфанил)пиразоло[1,5-a]пиридин-3-ил]-N-(2-пиридил)амин Указанное в заголовке соединение (4 мг) получали в виде светло-желтых кристаллов таким же способом, как в примере 267, используя N-циклопропилметил-N-[2-этил-7-(2-метокси-4,6-диметилфенил)пиразоло[1,5-a]пиридин-3-ил]амин (50 мг) с Pd2(dba)3CHCl3 в качестве катализатора, а также 2,2′-бис(дифенилфосфино)-1,1′-бинафтил и трет-бутоксид натрия. 1H ЯМР (400 МГц, CDCl3) Соединения примеров 269 и 270 синтезировали способами получения примеров 267 и 268. Пример 269 N-[7-(2,6-Диметокси-4-метилфенил)-2-(метилсульфанил)пиразоло[1,5-a]пиридин-3-ил]-N-пропил-N- (2-пиридил)амин (Светло-желтые кристаллы) 1H ЯМР (400 МГц, CDCl3) Пример 270 N-Циклопропилметил-N-[7-(2,6-диметокси-4-метилфенил)-2-метоксипиразоло[1,5-a]пиридин-3-ил]-N-(2-пиридил)амин (Светло-желтые кристаллы) 1H ЯМР (400 МГц, CDCl3) Пример 271 3-(2,5-Диэтил-1Н-1-пирролил)-7-(2,6-диметокси-4-метилфенил)-2-этилпиразоло[1,5-a]пиридин После растворения 7-(2,6-диметокси-4-метилфенил)-2-этил-3-нитропиразоло[1,5-a]пиридина (600 мг) в смеси этанола (30 мл) и воды (30 мл) добавляли уксусную кислоту (3 мл) и цинковый порошок (600 мг) и смесь перемешивали при 60°С в течение 2 часов. Из полученной реакционной смеси отгоняли при пониженном давлении этанол, после чего к остатку добавляли насыщенный водный раствор гидрокарбоната натрия и этилацетат и смесь экстрагировали этилацетатом. Полученные органические слои объединяли, промывали водой и сушили над безводным сульфатом магния, после чего отгоняли при пониженном давлении растворитель с получением 7-(2,6-диметокси-4-метилфенил)-2-этилпиразоло[1,5-a]пиридин-3-амина (500 мг) в виде неочищенного продукта. Полученный неочищенный 7-(2,6-диметокси-4-метилфенил)-2-этилпиразоло[1,5-a]пиридин-3-амин (160 мг) растворяли в толуоле (50 мл), после чего добавляли 3,6-октандион (1 г) и уксусную кислоту (15 мл) и смесь кипятили с обратным холодильником в течение 4 часов. Из полученной реакционной смеси отгоняли при пониженном давлении толуол, после чего к остатку добавляли насыщенный водный раствор гидрокарбоната натрия и смесь экстрагировали этилацетатом. Экстрагированный органический слой промывали водой и сушили над безводным сульфатом магния и отгоняли при пониженном давлении растворитель. Полученный остаток подвергали хроматографии на колонке с силикагелем с получением из фракции н-гексан:этилацетат (10:1) указанного в заголовке соединения (19 мг) в виде белых кристаллов. 1H ЯМР (400 МГц, CDCl3) Соединения примеров 272-276 синтезировали способом получения примера 25. Пример 272 N3-Циклопропилметил-N3-тетрагидро-3-фуранилметил-7-[6-(диметиламино)-4-метил-3-пиридил]-2-этилпиразоло[1,5-a]пиридин-3-амин (Желтое масло) 1H ЯМР (400 МГц, CDCl3) Пример 273 N3-Циклопропилметил-N3-тетрагидро-3-фуранилметил-7-[6-(диметиламино)-2,4-диметил-3-пиридил]-2- этилпиразоло[1,5-a]пиридин-3-амин (Желтое масло) 1H ЯМР (400 МГц, CDCl3) Пример 274 N-Циклопропилметил-N-(1,3-диоксолан-2-илметил)-N-[2-этил-7-(4-метокси-2,6-диметилфенил)пиразоло[1,5-a]пиридин-3-ил]амин (Желтое масло) 1H ЯМР (400 МГц, CDCl3) Пример 275 N3-Циклопропилметил-N3-(1,3-диоксолан-2-илметил)-7-[6-(диметиламино)-4-метил-3-пиридил]-2-этилпиразоло[1,5-a]пиридин-3-амин (Желтое масло) 1H ЯМР (400 МГц, CDCl3) Пример 276 N3-Циклопропилметил-N3-(1,3-диоксолан-2-илметил)-7-[6-(диметиламино)-2,4-диметил-3-пиридил]- 2-этилпиразоло[1,5-a]пиридин-3-амин (Желтое масло) 1H ЯМР (400 МГц, CDCl3) Соединения примеров 277-286 синтезировали способом получения примера 47. Пример 277 N-[7-(2,6-Диметокси-4-метилфенил)-2-этилпиразоло[1,5-a]пиридин-3-ил]-N-пропил-N-тетрагидро-2Н-4-пиранилметиламин (Желтое масло) 1H ЯМР (400 МГц, CDCl3) Пример 278 N-Бутил-N-[7-(2,6-диметокси-4-метилфенил)-2- этилпиразоло[1,5-a]пиридин-3-ил]-N-тетрагидро-2Н-4-пиранилметиламин (Желтое масло) 1H ЯМР (400 МГц, CDCl3) MC (ESI) m/z 466 MH+ Пример 279 N-Циклобутилметил-N-[7-(2,6-диметокси-4-метилфенил)-2-этилпиразоло[1,5-a]пиридин-3-ил]-N-тетрагидро-2Н-4-пиранилметиламин (Желтое масло) 1H ЯМР (400 МГц, CDCl3) MC (ESI) m/z 478 MH+ Пример 280 N-Бутил-N-[2-этил-7-(2,4,6-триметоксифенил)пиразоло[1,5-a]пиридин-3-ил]-N-тетрагидро-2Н-4-пиранилметиламин (Светло-желтые кристаллы) 1H ЯМР (400 МГц, CDCl3) Пример 281 N-Циклобутилметил-N-[2-этил-7-(2,4,6-триметоксифенил)пиразоло[1,5-a]пиридин-3-ил]-N-тетрагидро-2Н-4-пиранилметиламин (Светло-желтые кристаллы) 1H ЯМР (400 МГц, CDCl3) Пример 282 N-Циклопропилметил-N-[2-этил-7-(2,4,6-триметоксифенил)пиразоло[1,5-a]пиридин-3-ил]-N-тетрагидро-2Н-4-пиранилметиламин (Светло-желтые кристаллы) 1H ЯМР (400 МГц, CDCl3) Пример 283 N-[7-(2,6-Диметокси-4-метилфенил)-2-этилпиразоло[1,5-a]пиридин-3-ил]-N,N-дитетрагидро-2Н-4-пиранилметиламин (Желтое аморфное вещество) 1H ЯМР (400 МГц, CDCl3) Пример 284 N3-Циклопропилметил-N3-тетрагидро-2Н-4-пиранилметил-7-[6-(диметиламино)-4-метил-3-пиридил]-2-этилпиразоло[1,5-a]пиридин-3-амин (Желтое масло) 1H ЯМР (400 МГц, CDCl3) Пример 285 N3-Циклопропилметил-N3-тетрагидро-2Н-4-пиранилметил-7- [6-(диметиламино)-2,4-диметил-3-пиридил]-2- этилпиразоло[1,5-a]пиридин-3-амин (Желтое масло) 1H ЯМР (400 МГц, CDCl3) Пример 286 N-Циклопропилметил-N-[7-(2,4-диметокси-6-метилфенил)-2-этилпиразоло[1,5-a]пиридин-3-ил]-N-тетрагидро-2Н-4-пиранилметиламин (Желтое масло) 1H ЯМР (400 МГц, CDCl3) Соединения примеров 287-292 синтезировали способами получения примеров 102 и 103. Пример 287 N-Циклопропилметил-N-[7-(2-метокси-4,6-диметилфенил)-2-(метилсульфанил)пиразоло[1,5-a]пиридин-3-ил]-N-[(3-метил-5-изоксазолил)метил]амин (Светло-желтое масло) 1H ЯМР (400 МГц, CDCl3) Пример 288 N3-Циклопропилметил-N3-[6-(диметиламино)-2-пиридил]метил-7-(2-метокси-4,6-диметилфенил)-2- (метилсульфанил)пиразоло[1,5-a]пиридин-3-амин (Желтое масло) 1H ЯМР (400 МГц, CDCl3) Пример 289 N-Циклопропилметил-N-(5-изоксазолилметил)-N-[7-(2-метокси-4,6-диметилфенил)-2-(метилсульфанил)пиразоло[1,5-a]пиридин-3-ил]амин (Светло-желтое масло) 1H ЯМР (400 МГц, CDCl3) Пример 290 N-[7-(2,6-Диметокси-4-метилфенил)-2-(метилсульфанил)пиразоло[1,5-a]пиридин-3-ил]-N-(1,3-диоксолан- 2-илметил)-N-пропиламин (Светло-желтые кристаллы) 1H ЯМР (400 МГц, CDCl3) Пример 291 N-Циклопропилметил-N-[7-(2,6-диметокси-4-метилфенил)-2-(метилсульфанил)пиразоло[1,5-a]пиридин-3-ил]-N-(1,3-диоксолан-2-илметил)амин (Светло-желтое масло) 1H ЯМР (400 МГц, CDCl3) Пример 292 N-[7-(2,6-Диметокси-4-метилфенил)-2-(метилсульфанил)пиразоло[1,5-a]пиридин-3-ил]-N-(1,3-диоксолан-2-илметил)-N-тетрагидро-3-фуранилметиламин (Желтое масло) 1H ЯМР (400 МГц, CDCl3) Соединения примеров 293 и 294 синтезировали способом получения примера 159. Пример 293 N-[7-(2,6-Диметокси-4-метилфенил)-2-(метилсульфанил)пиразоло[1,5-a]пиридин-3-ил]-N-(1,3-диоксолан- 2-илметил)-N-тетрагидро-2Н-4-пиранилметиламин (Желтое масло) 1H ЯМР (400 МГц, CDCl3) Пример 294 N-[7-(2,6-Диметокси-4-метилфенил)-2-(метилсульфанил)пиразоло[1,5-a]пиридин-3-ил]-N,N-дитетрагидро-2Н-4-пиранилметиламин (Светло-желтое аморфное вещество) 1H ЯМР (400 МГц, CDCl3) Соединения примеров 295-298 синтезировали способами получения примеров 237 и 238. Пример 295 N-[7-(2,6-Диметокси-4-метилфенил)-2-метоксипиразоло[1,5-a]пиридин-3-ил]-N-(1,3-диоксолан-2-илметил)-N-тетрагидро-3-фуранилметиламин (Желтое масло) 1H ЯМР (400 МГц, CDCl3) Пример 296 N3-Циклопропилметил-N3-тетрагидро-3-фуранилметил-7-[6-(диметиламино)-2,4-диметил-3-пиридил]-2-метоксипиразоло[1,5-a]пиридин-3-амин (Желтое масло) 1H ЯМР (400 МГц, CDCl3) Пример 297 N3-Циклопропилметил-N3-тетрагидро-3-фуранилметил-7-[6-(диметиламино)-4-метил-3-пиридил]-2- метоксипиразоло[1,5-a]пиридин-3-амин (Желтое масло) 1H ЯМР (400 МГц, CDCl3) Пример 298 N-Циклопропилметил-N-(1,3-диоксолан-2-илметил)-N-[2-метокси-7-(4-метокси-2,6-диметилфенил)пиразоло[1,5-a]пиридин-3-ил]амин (Желтое масло) 1H ЯМР (400 МГц, CDCl3) Соединения примеров 299-312 синтезировали способом получения примера 256. Пример 299 N-Бутил-N-[7-(2,6-диметокси-4-метилфенил)-2-метоксипиразоло[1,5-a]пиридин-3-ил]-N-тетрагидро-2Н-4-пиранилметиламин (Желтое масло) 1H ЯМР (400 МГц, CDCl3) Пример 300 N-Циклобутилметил-N-[7-(2,6-диметокси-4-метилфенил)-2-метоксипиразоло[1,5-a]пиридин-3-ил]-N-тетрагидро-2Н-4-пиранилметиламин (Светло-желтые кристаллы) 1H ЯМР (400 МГц, CDCl3) Пример 301 N-[7-(2,6-Диметокси-4-метилфенил)-2-метоксипиразоло[1,5-a]пиридин-3-ил]-N-(1,3-диоксолан-2-илметил)-N-тетрагидро-2Н-4-пиранилметиламин (Желтое масло) 1H ЯМР (400 МГц, CDCl3) Пример 302 N-Бутил-N-[7-(2,6-диметокси-4-метилфенил)-2-метоксипиразоло[1,5-a]пиридин-3-ил]-N-тетрагидро-2Н-4-пираниламин (Желтые кристаллы) 1H ЯМР (400 МГц, CDCl3) Пример 303 N-Циклобутилметил-N-[7-(2,6-диметокси-4-метилфенил)-2-метоксипиразоло[1,5-a]пиридин-3-ил]-N-тетрагидро-2Н-4-пираниламин (Белое аморфное вещество) 1H ЯМР (400 МГц, CDCl3) Пример 304 N-[7-(2-Хлор-4-метоксифенил)-2-метоксипиразоло[1,5-a]пиридин-3-ил]-N-тетрагидро-3-фуранилметил-N-тетрагидро-2Н-4-пираниламин (Светло-желтое аморфное вещество) 1H ЯМР (400 МГц, CDCl3) Пример 305 N-[7-(2-Хлор-4-метоксифенил)-2-метоксипиразоло[1,5-a]пиридин-3-ил]-N-тетрагидро-2Н-4-пиранил-N-тетрагидро-2Н-4-пиранилметиламин (Светло-желтое аморфное вещество) 1H ЯМР (400 МГц, CDCl3) Пример 306 N-Бутил-N-[2-метокси-7-(2,4,6-триметоксифенил)пиразоло[1,5-a]пиридин-3-ил]-N-тетрагидро-2Н-4-пиранилметиламин (Желтое масло) 1H ЯМР (400 МГц, CDCl3) Пример 307 N-Циклобутилметил-N-[2-метокси-7-(2,4,6-триметоксифенил)пиразоло[1,5-a]пиридин-3-ил]-N-тетрагидро-2Н- 4-пиранилметиламин (Желтое масло) 1H ЯМР (400 МГц, CDCl3) Пример 308 N-Циклопропилметил-N-[2-метокси-7-(2,4,6-триметоксифенил)пиразоло[1,5-a]пиридин-3-ил]-N-тетрагидро-2Н- 4-пиранилметиламин (Желтое масло) 1H ЯМР (400 МГц, CDCl3) Пример 309 N3-Циклопропилметил-N3-тетрагидро-2Н-4-пиранилметил-7-[6-(диметиламино)-2,4-диметил-3-пиридил]-2-метоксипиразоло[1,5-a]пиридин-3-амин (Желтое масло) 1H ЯМР (400 МГц, CDCl3) Пример 310 N3-Циклопропилметил-N3-тетрагидро-2Н-4-пиранилметил-7-[6-(диметиламино)-4-метил-3-пиридил]-2-метоксипиразоло[1,5-a]пиридин-3-амин (Желтое масло) 1H ЯМР (400 МГц, CDCl3) Пример 311 N-[7-(2-Хлор-4-метоксифенил)-2-метоксипиразоло[1,5-a]пиридин-3-ил]-N,N-дитетрагидро-2Н-4-пиранилметиламин (Желтое масло) 1H ЯМР (400 МГц, CDCl3) Пример 312 N-Циклопропилметил-N-[7-(2,4-диметокси-6-метилфенил)-2-метоксипиразоло[1,5-a]пиридин-3-ил]-N-тетрагидро-2Н-4-пиранилметиламин (Желтое масло) 1H ЯМР (400 МГц, CDCl3) Соединения примеров 313-314 синтезировали способом получения примера 40. Пример 313 N-Циклопропилметил-N-[2-этил-7-(4-этил-2,6-диметоксифенил)пиразоло[1,5-a]пиридин-3-ил]-N-тетрагидро-3-фуранилметиламин (Желтое масло) 1H ЯМР (400 МГц, CDCl3) Пример 314 N-Циклопропилметил-N-[2-этил-7-(4-этил-2,6-диметоксифенил)пиразоло[1,5-a]пиридин-3-ил]-N-тетрагидро-2Н-4-пиранилметиламин (Желтое масло) 1H ЯМР (400 МГц, CDCl3) В примерах и примерах получения данного описания в качестве исходных веществ могут быть использованы альдегиды, галогенированные соединения и сульфонаты, такие как дигидро-2Н-пиран-3(4Н)он [CAS № 23462-75-1], (R)-3-тетрагидропиранкарбоксиальдегид [CAS № 143810-10-0], (S)-3-тетрагидропиранкарбоксиальдегид [CAS № 141822-85-7], (±)-3-тетрагидропиранкарбоксиальдегид [CAS № 77342-93-9], 3-формил-5,6-дигидро-2Н-пиран [CAS № 13417-49-7], 2-оксазолкарбоксиальдегид [CAS № 65373-52-6], 6-диметиламино-2-пиридинкарбоксиальдегид [CAS № 208110-83-2], 6-диметиламино-3-пиридинкарбоксиальдегид [CAS № 149805-92-5], 3-метил-5-изоксазолметанолметансульфонат [CAS № 96603-41-7], 3-(фенилметокси)-1-бутанол-4-метилбензолсульфонат [CAS № 96556-29-5], [(2-бром-1-метилэтокси)метил]бензол [CAS № 135364-12-4], 5-(бромметил)изоксазол [CAS № 69735-35-9] и тому подобное. [Примеры испытаний] Соединения по настоящему изобретению оценивали по способности к связыванию с рецепторами фактора, высвобождающего кортикотропин (CRFR) и ингибированию продукции цАМФ (cAMP). Методики испытаний и результаты представлены ниже. Пример 1 испытания <Эксперимент по связыванию с CRFR> (1) Приготовление CRFR-экспрессирующих клеток В качестве экспериментального материала для исследования связывания с CRFR использовали мембранную фракцию клетки с высокой экспрессией CRFR1 человека. CRFR-экспрессирующие клетки готовили следующим образом. Ген CRFR1 полной длины получали из библиотеки кДНК мозга человека (QuickCloneТМ, Clontech) с помощью PCR. Полученные фрагменты ДНК встраивали в векторы клонирования и определяли базовые последовательности. кДНК, имеющую правильную базовую последовательность, затем повторно связывали с экспрессирующим вектором (pcDNA3.1ТМ, Invitrogen). CRFR1-экспрессирующий вектор вводили в НЕК293 клетки и резистентные клетки, выросшие в клеточном субстрате, содержащем G418 (1 мг/мл), клонировали путем ограниченного разведения. Из полученных клонированных клеток отбирали клоны с высокой способностью к связыванию между мембранной фракцией и совагином на единицу белка в эксперименте по связыванию, описанном ниже, и использовали для конечного эксперимента. (2) Приготовление мембранной фракции Клонированные клетки, полученные в (1), собирали и разрушали ультразвуковым генератором в буфере для ультразвукового разрушения (D-PBS(-) 10 мМ MgCl2, 2 мМ EGTA). Суспензию, полученную в результате ультразвукового разрушения, центрифугировали (46000×g, 10 минут) и осадок ресуспендировали в буфере для ультразвукового разрушения и повторяли описанную выше процедуру. Конечный осадок затем суспендировали в буфере для связывания (D-PBS(-) 10 мМ MgCl2, 2 мМ EGTA, 1,5% BSA, 0,15 мМ бацитрацин, 1×коктейль-ингибитор протеазы (COMPLETEтм, Boehringer)) использовали в качестве мембранной фракции после доведения концентрации белка до 1,6 мг/мл. (3) Исследование связывания Исследование связывания с совагином проводили в соответствии с протоколом SPAТМ (Amersham Pharmacia) с использованием 96-луночного планшета. Эксперимент проводили согласно инструкции по применению гранул SPA. После выдерживания смеси 40 мг белка мембранной фракции, 0,5 мг SPA гранул и 50 пМ 125I-совагина (Amersham Pharmacia) при комнатной температуре в течение 2 часов в присутствии испытуемого соединения смесь центрифугировали (1000×g, 5 минут) и измеряли радиоактивность каждой лунки прибором TopCountTM (Packard). (4) Вычисление способности к связыванию Радиоактивность нерадиоактивного совагина, добавленного с 1000-кратным избытком, вычитали из каждого значения как неспецифическое связывание и радиоактивность образца без добавления испытуемого вещества (контроль) определяли как 100%, причем каждое значение представляли в процентах (% от контрольного образца). Строили график, откладывая концентрации испытуемого вещества по горизонтальной оси и проценты (% от контроля) по вертикальной оси и для вычисления значения IC50 определяли по графику концентрацию, которая давала 50% значение величины в процентах (% контроля). Пример 2 испытания <Исследование ингибирования продуцирования цАМФ с использованием клеток AtT-20> (1) Методика испытания Клетки AtT-20 представляют собой клеточную линию, происходящую из опухоли гипофиза мыши, реагирующую, как известно, на фактор, высвобождающий кортикотропин (CRF), что приводит к активации внутриклеточной системы аденилатциклазы, продукции циклического АМФ (цАМФ) и высвобождения адренокортикотропного гормона (АСТН) (Biochem. Biophys. Res. Com. 106, 1364-1371, 1982). Для исследования клетки (1×105) суспендировали в D-MEM среде (0,1% FBS) и высевали на 96-луночном планшете, добавляли ингибитор фосфодиэстеразы (IBMX, Calbiochem) до конечной концентрации 1 мМ и культивировали при 37°С 30 минут. Добавляли разведенное испытуемое соединение, продолжали культивирование еще 30 минут при 37°С, добавляли CRF (30 нМ) и продолжали культивирование еще 30 минут при 37°С. Клетки собирали центрифугированием (500×g, 5 минут) и лизировали лизисным буфером (0,2% додецилтриметиламмонийбромид), после чего проводили количественное определение внутриклеточной продукции цАМФ методом HTRF. Для количественного определения цАМФ использовали набор HTRF для cATP (CIS Diagnostics Co., Ltd.). (2) Вычисление ингибирования продуцирования цАМФ Полученные данные обрабатывали следующим образом. Продуцирование цАМФ клетками, к которым был добавлен 30 нМ CRF, определяли как 100% (контроль), а значение для каждого образца представляли в процентах (% от контрольного образца). Строили график, откладывая концентрации испытуемого вещества по горизонтальной оси и проценты (% от контроля) по вертикальной оси, и для вычисления значения IC50 определяли по графику концентрацию, которая давала 50% значение величины в процентах (% контроля). <Результаты испытаний> В примере 1 испытания соединение по настоящему изобретению проявило превосходную связывающую способность в отношении CRFR, значение IC50 находилось в диапазоне 5-5000 нМ. В примере 2 испытания соединение по настоящему изобретению показало превосходное ингибирование CRF-зависимой продукции цАМФ. Некоторые из результатов показаны ниже в таблице 1.
Промышленная применимость Как было сказано выше, в соответствии с настоящим изобретением предлагаются новые производные пиразоло[1,5-a]пиридина, обладающие антагонистической активностью в отношении рецепторов CRF, их соли и содержащие их новые фармацевтические композиции. Соединения по настоящему изобретению или их соли обладают сильным антагонизмом к рецепторам CRF и особенно к рецептору CRF1, проявляя при этом низкую токсичность и высокую безопасность, и, следовательно, они очень полезны в качестве лекарственных средств. Соединения по настоящему изобретению и содержащие их фармацевтические композиции полезны для лечения или профилактики заболеваний, связанных с CRF и/или рецепторами CRF, и, в частности, они полезны в качестве средств для лечения или профилактики депрессии и депрессивных симптомов (тяжелая депрессия, эпизодическая депрессия, рецидивирующая депрессия, вызванное депрессией плохое обращение с детьми, послеродовая депрессия и т.д.), мании, страха, расстройства генерализованной тревоги, панического расстройства, фобии, навязчиво-компульсивного расстройства, посттравматического стрессового расстройства, болезни Туретта, аутизма, аффективного расстройства, дистимии, биполярного расстройства, неустойчивой личности, шизофрении, пептической язвы, синдрома раздраженной толстой кишки, язвенного колита, болезни Крона, диареи, запора, послеоперационной непроходимости кишечника, вызванных стрессом желудочно-кишечных расстройств, нервной рвоты и подобного.
Формула изобретения
1. Соединение, представленное общей формулой:
где R1 представляет группу формулы -G1 -R1a (где G1 представляет одинарную связь, кислород, серу, и R1a представляет C1-10 алкил, необязательно замещенный галогеном, или С3-8 циклоалкил); R2, R3 и R4 каждый независимо представляет водород или группу формулы -G20-R20 (где G20 представляет одинарную связь, кислород, серу, сульфинил или сульфонил, и R20 представляет C1-6 алкил, необязательно замещенный 1-3 атомами галогена, или С3-8 циклоалкил); R5 и R6 каждый независимо представляет группу формулы -Х5-Х6-Х7 (где X5 представляет одинарную связь или -СО-, X6 представляет одинарную связь, кислород, C1-10 алкилен, и X7 представляет водород, С1-10 алкил, необязательно замещенный галогеном, C1-6алкокси, гидрокси и ди(С1-6алкил)амино, С3-8 циклоалкил, тетрагидрофуранил, тетрагидротиофенил, дигидропиранил, тетрагидропиранил, диоксоланил, пирролидин-2-онил, дигидрофуран-2-онил, фуранил, необязательно замещенный С1-6алкилом или циано, тиенил, пирролидинил, пиперидинил, необязательно замещенный С1-6алкилом или COC1-6алкилом, оксазолил, изоксазолил, тиазолил, пирролил, пиразолил, морфолинил, диоксанил или пиридил, необязательно замещенный С1-6алкилом, C1-6алкокси, гидрокси и ди(С1-6алкил)амино, оксетанил, необязательно замещенный C1-6алкилом, пиразинил, замещенный гидрокси, и имидазолил, замещенный C1-6алкилом); R5 и R6 могут быть связаны друг с другом с образованием пиррольного кольца, необязательно замещенного C1-6 алкилом; Ar представляет фенил, 1,3-бензодиоксолил, нафтил, пиридил, при условии, что Ar может независимо иметь 1-3 заместителя, выбранных из следующей ниже группы заместителей А: группы формулы V1-V2-V3 (где V1 представляет одинарную связь или С1-6 алкилен, -V2-V3 представляет (1) галоген, (2) циано, (3) C1-6 алкил, необязательно замещенный 1-3 атомами галогена, (4) амино, небязательно замещенный C1-6 алкилом, (5) C1-6 алкокси, необязательно замещенный (а) галогеном, (b) циано, (с) С3-8 циклоалкилом, (d) C1-6 алкокси, (е) пирролилом или (f) фенилом, необязательно замещенным C1-6 алкокси и/или C1-6 алкилом, где C1-6 алкокси и/или C1-6 алкил небязательно замещены галогеном, (6) тиазолил и (7) пиридил); его соль или их гидрат. 2. Соединение, представленное общей формулой:
где R1x представляет метокси, этил или метилтио; R5x и R6x каждый независимо представляет группу формулы -Х6x-Х7x (где Х6x представляет 1,2-этилен или метилен; и X7x представляет водород, C1-10 алкил, необязательно замещенный 1-2 группами, выбранными из C1-6алкокси, гидрокси, галогена и ди (С1-6алкил)амино, С3-8 циклоалкил, тетрагидрофуранил, тетрагидротиофенил, тетрагидропиранил, диоксоланил, фуранил, тиенил, фуранил, необязательно замещенный С1-6алкилом или циано, имидазолил, необязательно замещенный С1-6алкилом, тиазолил, оксазолил, диоксанил, пиридил, необязательно замещенный C1-6алкилом, гидрокси, С1-6алкокси или ди(С1-6алкил)амино, пиперидил, необязательно замещенный C1-6алкилом или СОС1-6алкилом, или тиазолил); и Arx представляет фенил, 1,3-бензодиоксолил, нафтил, пиридил; при условии, что Arx может независимо иметь 1-3 заместителя, выбранных из группы заместителей А, определенной в п.1, его соль или их гидрат. 3. Соединение, представленное общей формулой:
где R1y представляет этил; R5y и R6y каждый независимо представляет группу формулы -Х6y-Х7y– (где Х6y представляет метилен; и Х7y представляет С3-8 циклоалкил или тетрагидрофуранил); и Ary представляет фенил или нафтил; при условии, что Ary может иметь 1-3 группы, выбранные из группы заместителей А, определенной в п.1, его соль или их гидрат. 4. Соединение, представленное общей формулой:
где R1z представляет этил; R5z и R6z каждый независимо представляет группу формулы -Х6z-Х7z (где X6z представляет метилен; и Х7z представляет С3-8 циклоалкил или тетрагидрофуранил); и Arz представляет фенил или нафтил; при условии, что Arz может иметь 1-3 группы, выбранные из следующей ниже группы Аz заместителей; <Группа Аz заместителей>: группа, состоящая из группы формулы -V2z-V3z (где V2z представляет одинарную связь или C1-6 алкилен, и V3z представляет C1-6 алкокси)], его соль или их гидрат. 5. Соединение, представленное общей формулой:
где R1q представляет этил; R5q и R6q каждый независимо представляет группу формулы -Х6q-Х7q– (где Х6q представляет метилен; и X7q представляет С3-8 циклоалкил или тетрагидрофуранил); и Arq представляет фенил; при условии, что Arq может иметь 1-3 группы, выбранные из следующей ниже группы Аq заместителей; <Группа Аq заместителей>: группа, состоящая из группы формулы -V2q-V3q (где V2q представляет одинарную связь или С1-6 алкилен, и V3q представляет C1-6 алкокси), его соль или их гидрат. 6. Соединение по п.1, соль указанного соединения или их гидрат, где R1 представляет группу формулы -G10-R10 (где G10 представляет одинарную связь, метилен, кислород, серу, и R10 представляет C1-6 алкил, необязательно замещенный 1-3 атомами галогена). 7. Соединение по п.6, соль указанного соединения или их гидрат, где R10 представляет метил, этил, н-пропил, изопропил, трифторметил, дифторметил, монофторметил. 8. Соединение по п.1, соль указанного соединения или их гидрат, где R1 представляет метокси. 9. Соединение по п.1, соль указанного соединения или их гидрат, где R1 представляет этил. 10. Соединение по п.1, соль указанного соединения или их гидрат, где R’ представляет метилтио. 11. Соединение по п.1, соль указанного соединения или их гидрат, где R2, R3 и R4 представляют водород. 12. Соединение по п.1, соль указанного соединения или их гидрат, где Ar может иметь 1-3 группы, выбранные из следующей ниже группы заместителей В; <Группа заместителей В>: группа, состоящая из галогена, циано, группы формулы V4-V5 (где V4 представляет одинарную связь, кислород, и V5 представляет C1-6 алкил, необязательно замещенный 1-3 атомами галогена) и группы формулы -N(R5a)R5b (где R5a и R5b каждый независимо представляет водород или C1-6 алкил). 13. Соединение по п.1, соль указанного соединения или их гидрат, где Ar представляет фенил или пиридил, причем Ar может иметь 1-3 группы, выбранные из группы В заместителей в п.12. 14. Соединение по п.12, соль указанного соединения или их гидрат, где группа В заместителей представляет собой группу, состоящую из галогена, циано, C1-6алкила, необязательно замещенного 1-3 атомами галогена, диметиламино и C1-6алкокси, необязательно замещенного 1-3 атомами галогена. 15. Соединение по п.1, соль указанного соединения или их гидрат, где Ar представляет группу формулы:
(где R40 и R41 каждый независимо представляет метокси, этокси, этил, метил, диметиламино или галоген, R42 представляет водород, метокси, метил, диметиламино или галоген и один из Z1 и Z2 представляет метин, а другой представляет азот). 16. Соединение по п.15, соль указанного соединения или их гидрат, где Z1 и Z2 представляют метин. 17. Соединение по п.1, соль указанного соединения или их гидрат, где X5 представляет одинарную связь и X6 представляет одинарную связь, 1,2-этилен или метилен. 18. Соединение по п.1, соль указанного соединения или их гидрат, где X7 представляет водород, C1-10алкил, С3-8циклоалкил, тетрагидрофуранил, тетрагидротиофенил, дигидропиранил, тетрагидропиранил, диоксоланил, пирролидин-2-онил, дигидрофуран-2-онил, фуранил, тиенил, пирролидинил, пиперидил, оксазолил, изоксазолил, тиазолил, пирролил, пиразолил, морфолинил, диоксанил или пиридил. 19. Соединение по п.1, соль указанного соединения или их гидрат, где X7 представляет водород, C1-10алкил, С3-8циклоалкил, тетрагидрофуранил, тетрагидротиофенил, тетрагидропиранил, диоксоланил, фуранил, тиенил, оксазолил, диоксанил, пиридил, пиперидил или тиазолил. 20, Соединение, представленное общей формулой:
где R7a представляет водород, нитро, -NO или NHR7d (где К7d представляет водород, трет-бутоксикарбонил или бензилоксикарбонил); R7c представляет метилен, кислород или серу; и R7b представляет водород, галоген или группу формулы -В(ОН)2; при условии, что в данные выше определения не включены соединения, удовлетворяющие следующим условиям (1), (2) или (3): (1) R7c представляет кислород, R7b представляет водород и R7a представляет водород, нитро, -NO или -NH2, (2) R7c представляет серу, R7b представляет водород и R7a представляет нитро или -NH2 или (3) R7c представляет метилен, R7b представляет водород и R7a представляет -NO, его соль или их гидрат. 21. Соединение по п.20, соль указанного соединения или их гидрат, где R7a и R7b представляют водород. 22. Соединение по п.20, соль указанного соединения или их гидрат, где R7b является водородом или -В(ОН)2. 23. Соединение, представленное общей формулой:
где R5 и R6 определены так же, как R5 и R6 в п.1 соответственно; R7c представляет метилен, кислород или серу; и R7c представляет галоген или группу -В(ОН)2, его соль или их гидрат. 24. Антагонист рецептора фактора, высвобождающего кортикотропин (CRF), содержащий соединение по п.1. 25. Антагонист рецептора фактора, высвобождающего кортикотропин (CRF)-1 или рецептора фактора, высвобождающего кортикотропин (CRF)-2, содержащий соединение по п.1. 26. Средство для лечения или профилактики депрессии, депрессивного симптома, мании, страха, расстройства генерализованной тревоги, панического расстройства, фобий, навязчиво-компульсивного расстройства, посттравматического стрессового расстройства, болезни Туретта, аутизма, аффективного расстройства, дистимии, биполярного расстройства, неустойчивой личности или шизофрении, содержащее соединение по п.1. 27. Средство для лечения или профилактики депрессивного симптома, представляющего собой тяжелую депрессию, эпизодическую депрессию, рецедивирующую депрессию, вызванное депрессией плохое обращение с детьми или послеродовую депрессию, содержащее соединение по п.1. 28. Средство для лечения или профилактики пептической язвы, синдрома раздраженной толстой кишки, язвенного колита, болезни Крона, диареи, запора, послеоперационной непроходимости кишечника, вызванных стрессом желудочно-кишечных расстройств или нервной рвоты, содержащее соединение по п.1. 29. Средство для лечения или профилактики болезни Альцгеймера, старческой деменции Альцгеймера, нейродегенеративного заболевания, многоинфарктной деменции, старческой деменции, нервно-психической анорексии, расстройства принятия пищи, ожирения, диабета, алкогольной зависимости, фармакофилии, симптомов отмены наркотиков, симптомов отмены алкоголя, расстройства сна, бессонницы, мигрени, вызванной стрессом головной боли, головной боли, вызванной сокращением мышц, ишемического поражения нервных клеток, эксцитотоксического поражения нервных клеток, удара, прогрессирующего супрануклеарного паралича, бокового амиотрофического склероза, рассеянного склероза, мышечного спазма, синдрома хронической усталости, психосоциальной карликовости, эпилепсии, травмы головы, повреждения спинного мозга, писчего спазма, спастической кривошеи, синдрома передней лестничной мышцы, первичной глаукомы, синдрома Меньера, расстройства вегетативной регуляции, алопеции, невроза, гипертензии, сердечно-сосудистого нарушения, тахикардии, застойной сердечной недостаточности, гипервентиляционного синдрома, бронхиальной астмы, апневза, синдрома внезапной смерти младенца, воспалительного расстройства, боли, аллергической болезни, импотенции, менопаузального расстройства, нарушения оплодотворения, бесплодия, рака, иммунной дисфункции, вызванной ВИЧ-инфекцией, иммунной дисфункции, вызванной стрессом, геморрагического стресса, синдрома Кушинга, нарушения функции щитовидной железы, энцефаломиелита, акромегалии, недержания или остеопороза, содержащее соединение по п.1. 30. Применение соединения по п.1 или его соли для изготовления антагониста рецептора фактора, высвобождающего кортикотропин (CRF). 31. Применение соединения по п.1 или его соли для изготовления антагониста рецептора фактора, высвобождающего кортикотропин (CRF)-1, или антагониста рецептора фактора, высвобождающего кортикотропин (CRF)-2. 32. Применение соединения по п.1 или его соли для изготовления средства для лечения или профилактики депрессии, депрессивного симптома, мании, страха, расстройства генерализованной тревоги, панического расстройства, фобии, навязчиво-компульсивного расстройства, посттравматического стрессового расстройства, болезни Туретта, аутизма, аффективного расстройства, дистимии, биполярного расстройства, неустойчивой личности, шизофрении, пептической язвы, синдрома раздраженной толстой кишки, язвенного колита, болезни Крона, диареи, запора, послеоперационной непроходимости кишечника, вызванных стрессом желудочно-кишечных расстройств или нервной рвоты. 33. Способ лечения или профилактики заболевания, связанного с рецептором фактора, высвобождающего кортикотропин (CRF), включающий однократное или многократное введение терапевтически эффективной дозы соединения по п.1 или его соли пациенту, страдающему от депрессии, депрессивного симптома, мании, страха, расстройства генерализованной тревоги, панического расстройства, фобии, навязчиво-компульсивного расстройства, посттравматического стрессового расстройства, болезни Туретта, аутизма, аффективного расстройства, дистимии, биполярного расстройства, неустойчивой личности, шизофрении, пептической язвы, синдрома раздраженной толстой кишки, язвенного колита, болезни Крона, диареи, запора, послеоперационной непроходимости кишечника, вызванных стрессом желудочно-кишечных расстройств или нервной рвоты.
|
||||||||||||||||||||||||||||


и CRF2
, из которых, как было установлено, рецепторы CRF2


СО-О-, -О-СО- или -NR3b-, V2 представляет одинарную связь или С1-6 алкилен и V3 и R3b каждый независимо представляет C1-6 алкил, C2-6 алкенил, C2-6 алкинил, C3-8 циклоалкил, C5-8 циклоалкенил, С6-14 арил, 5-14-членную гетероарильную группу, 4-14-членную гетероциклическую группу, водород, галоген, гидроксил, циано, С1-6 алкокси или группу формулы -N(R3с)R3d (где R3c и R3d каждый независимо представляет водород или С1-6 алкил))],






















каждый представляет заместитель, выбранный из группы А заместителей, n представляет целое число 0-2 и m представляет целое число 0-6. Термин «комнатная температура», использованный ниже, относится к интервалу 0-40°С.






















1,26 (т, J=7,6 Гц, 3H), 2,45 (кв, J=7,6 Гц, 2H), 7,16-7,20 (м, 1H), 7,35-7,38 (м, 1H), 7,59-7,63 (м, 1H), 8,53-8,54 (м, 1H).






