|
|
(21), (22) Заявка: 2004117545/04, 31.10.2002
(24) Дата начала отсчета срока действия патента:
31.10.2002
(30) Конвенционный приоритет:
07.11.2001 (пп.1-26) US 60/338,312
(43) Дата публикации заявки: 27.05.2005
(46) Опубликовано: 20.10.2007
(56) Список документов, цитированных в отчете о поиске:
HALLI H. et al. APPLIED ORGANOMETALLIC CHEMISTRY. HARLOW, GB, vol.10, no.7, 1996, pages 485-493. WO 01/56553 A2, 09.08.2001. ЕР 0457727 A1, 21.11.1991. H. BREDERECK et al. CHEMISCHE BERICHTE. vol.97, no.12, 1964, pages 3407-3417, 3411. RU 2153494 С2, 27.07.2000.
(85) Дата перевода заявки PCT на национальную фазу:
07.06.2004
(86) Заявка PCT:
EP 02/12164 (31.10.2002)
(87) Публикация PCT:
WO 03/040131 (15.05.2003)
Адрес для переписки:
101000, Москва, М.Златоустинский пер., 10, кв.15, “ЕВРОМАРКПАТ”, пат.пов. И.А.Веселицкой, рег. № 11
|
(72) Автор(ы):
ХОЛИ Роналд Чарлз (US), ЛАБАДИЕ Шарада Шенви (US), ШОГРЕН Эрик Брайан (US), ТАЛАМАС Франсиско Ксавьер (US)
(73) Патентообладатель(и):
Ф.ХОФФМАНН-ЛЯ РОШ АГ (CH)
|
(54) АМИНОПИРИМИДИНЫ И ПИРИДИНЫ
(57) Реферат:
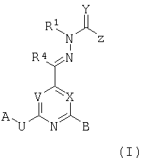
Изобретение относится к новым соединениям общей формулы (I):

в которой один из V или Х означает N, а другой означает CRa, или оба V и Х означают CRa (в котором каждый из Ra независимо представляет собой водород); Y представляет собой О, S; Z представляет собой N(R2)(R3); R1 представляет собой водород, (C1-С10)алкил, (С3-С7)циклоалкил, (С3-С7)циклоалкил-(С1-С6) алкил, (С1-С10)гетероалкил, гетероциклил, гетероциклил(С1-С6)алкил или (C1-С6) алкилен-С(O)R11; R11 представляет собой водород или NR12R13 (в котором R12 и R13 независимо представляют собой (C1-С6)алкил); R2 и R3 представляют собой водород; R4 представляет собой водород, (C1-С6)алкил, (С3-С7)циклоалкил, (С3-С7)циклоалкил-(С1-С6)алкил; фрагмент А представляет собой водород, (С1-С10)алкил, галоген(С1-С6)алкил, (С3-С7)циклоалкил, (С3-С7)циклоалкил-(С1-С6)алкил, (С1-С10)гетероалкил, гетероциклил, гетероциклил (C1-С6) алкил, гетерозамещенный (С3-С7)циклоалкил, арил, арил(С1-С4)алкил, арил(С1-С4)гетероалкил, гетероарил, гетероарил(С1-С4)алкил, гетероарил(С1-С4)гетероалкил или RaRbNC(=X)-, в котором Ra и Rb независимо представляют собой арил, и Х представляет собой S; фрагмент В представляет собой замещенное или незамещенное пятичленное ароматическое кольцо, содержащее по меньшей мере один атом азота и от 0 до 3 дополнительных гетероатомов, причем заместители в кольце В выбирают из группы, состоящей из (С1-С6)алкила; U представляет собой -NR5 -; и R5 представляет собой водород; и фармацевтически приемлемые соли. Изобретение также относится к фармацевтической композиции, и к промежуточным соединениям формулы (I). Технический результат – получение новых биологически активных соединений и фармацевтических композиций на их основе, обладающих ингибирующей активностью в отношении фермента IKK- . 3 н. и 23 з.п. ф-лы.
Текст описания приведен в факсимильном виде                                                                            
Формула изобретения
1. Соединение формулы (I):

в которой один из V или Х означает N, а другой означает CRa, или оба V и Х означают CRa (в котором каждый из Ra независимо представляет собой водород);
Y представляет собой О, S;
Z представляет собой N(R2)(R3);
R1 представляет собой водород, (С1-С10)алкил, (С3-С7)циклоалкил, (С3-С7)циклоалкил-(С1-С6) алкил, (С1-С10)гетероалкил, гетероциклил, гетероциклил(С1-С6)алкил или (C1-С6) алкилен-С(O)R11;
R11 представляет собой водород или NR12R13 (в котором R12 и R13 независимо представляют собой (С1-С6)алкил);
R2 и R3 представляют собой водород;
R4 представляет собой водород, (С1-С6)алкил, (С3-С7)циклоалкил, (С3-С7)циклоалкил-(С1-С6)алкил;
фрагмент А представляет собой водород, (С1-С10)алкил, галоген(С1-С6)алкил, (С3-С7)циклоалкил, (С3-С7)циклоалкил-(С1-С6)алкил, (С1-С10)гетероалкил, гетероциклил, гетероциклил (С1-С6) алкил, гетерозамещенный (С3-С7)циклоалкил, арил, арил(С1-С4)алкил, арил(С1-С4)гетероалкил, гетероарил, гетероарил(С1-С4)алкил, гетероарил(С1-С4)гетероалкил или RaRbNC(=X)-, в котором Ra и Rb независимо представляют собой арил, Х представляет собой S;
фрагмент В представляет собой замещенное или незамещенное пятичленное ароматическое кольцо, содержащее по меньшей мере один атом азота и от 0 до 3 дополнительных гетероатомов, причем заместители в кольце В выбирают из группы, состоящей из (С1-С6)алкила;
U представляет собой -NR5 -;
R5 представляет собой водород;
и фармацевтически приемлемые соли этого соединения;
где “гетероалкил” означает радикал (С1-С6)алкил, замещенный одним, двумя или тремя заместителями, независимо выбранными из -ORa, -NRbRc и -S(O)nRd (в котором n равно 0, 1 или 2); при этом предполагается, что гетероалкильный радикал присоединяется через атом углерода, входящий в этот гетероалкильный радикал, и Ra представляет собой водород, (С1-С6)алкил, (С3-С7)циклоалкил, (С3-С7)циклоалкил-(С1-С6)алкил, Rb представляет собой водород, Rc представляет собой водород или -S(O)nR’ (где n равно 0, 1 или 2; и в котором R’ представляет собой арил); Rd представляет собой водород (при условии, что n равно 0), (C1-С6)алкил, (С3-С7)циклоалкил, (С3-С7)циклоалкил-(С1-С6)алкил;
“гетероарил” означает моновалентный моноциклический или бициклический радикал, содержащий от 5 до 12 атомов в кольце и содержащий по меньшей мере одно ароматическое кольцо, включающее один, два или три гетероатома, выбранных из N, О или S, при этом остальные атомы в кольце представляют собой С, при этом предполагается, что гетероарильный радикал присоединяется через атом, входящий в ароматическое кольцо, и гетероарильное кольцо является необязательно замещенным независимо одним – четырьмя заместителями, выбранными из (С1-С6)алкила, (С3-С7)циклоалкила, (С3-С7)циклоалкил-(С1-С6)алкила, нитро, гидрокси, амино, моно-(С1-С6)алкиламино, ди(С1-С6)алкиламино;
“гетероциклил” означает насыщенный или ненасыщенный неароматический циклический радикал, содержащий от 3 до 8 атомов в кольце, в котором один или два атома, принадлежащих кольцу, представляют собой гетероатомы, выбранные из О, NR (где R независимо представляет собой водород, (C1-С6)алкил или любой из заместителей, перечисленных ниже), или S(O)n (в котором n равно 0, 1 или 2), причем остальные атомы в кольце представляют собой С; при этом один или два атома С могут быть необязательно заменены карбонильной группой, и кольцо – гетероциклил может быть необязательно замещенным независимо одним, двумя или тремя заместителями, выбранными из (С1-С6)алкила, (С3-С7)циклоалкила, (С3-С7)циклоалкил-(С1-С6)алкила, арил(С1-С6)алкила, галогена, нитро, циано, циано(С1-С6)алкила, (С1-С6)алкокси, -(CR’R”)n-COR (в котором n означает целое число от 0 до 5, R’ и R” независимо представляют собой водород, R представляет собой (С1-С6)алкил, (С3-С7)циклоалкил, (С3-С7)циклоалкил-(С1-С6)алкил), -(CR’R”)n-COOR (n означает целое число от 0 до 5, R’ и R” независимо представляют собой(С1-С6)алкил, и R представляет собой (С1-С6)алкил, (С3-С7)циклоалкил, (С3-С7)циклоалкил-(С1-С6)алкил), -(CR’R”)n-C(=Q)NRaRb (в котором Q представляет собой О или S, n означает целое число от 0 до 5, R’ и R” независимо представляют собой водород или (С1-С6)алкил, и Ra и Rb, независимо друг от друга, представляют собой водород, (С1-С6)алкил, (С3-С7)циклоалкил, (С3-С7)циклоалкил(С1-С6)алкил), или -(CR’R”)n1-S(O)nRd (в котором n1 означает целое число от 0 до 5, Rd означает водород (при условии, что n равно 0), (С1-С6)алкил, (С3-С7)циклоалкил, (С3-С7)циклоалкил-(С1-С6)алкил, амино, моно(С1-С6)алкиламино, ди(С1-С6)алкиламино и n равно 0, 1 или 2);
“арил” означает моновалентный моноциклический или бициклический ароматический углеводородный радикал, содержащий от 6 до 10 атомов в кольце, который необязательно независимо замещен одним – четырьмя заместителями, выбранными из (С1-С6)алкила, (С3-С7)циклоалкила, (С3-С7)циклоалкил-(С1-С6)алкила, циано, циано(С1-С6)алкила, гидрокси, (С1-С6)алкокси, ациламино, галоген(С1-С6)алкила, (С1-С6)гетероалкила, COR (в котором R представляет собой водород, (С1-С6)алкил, (С3-С7)циклоалкил, (С3-С7)циклоалкил-(С1-С6)алкил), -S(O)n-Rd (в котором n равно 0, 1 или 2, и в том случае, когда n равно 0, Rd представляет собой (С1-С6)алкил, (С3-С7)циклоалкил или (С3-С7)циклоалкил(С1-С6)алкил, и когда n равно 1 или 2, Rd представляет собой (С1-С6)алкил, (С3-С7)циклоалкил, (С3-С7)циклоалкил(С1-С6)алкил, амино, моно(С1-С6)алкиламино или ди(С1-С6)алкиламино), -NS(O)2Rf (в котором Rf означает (C1-C6)алкил),-NHCORe (в котором Re означает амино, (С1-С6)алкиламино, ди(С1-С6)алкиламино или (С1-С4)алкокси), -(CR’R”)n-COOR (в котором n означает целое число от 0 до 5, R’ и R” независимо представляют собой водород или (С1-С6)алкил, и R представляет собой (С1-С6)алкил, (С3-С7)циклоалкил, (С3-С7)циклоалкил(С1-С6)алкил), -(CR’R”)n-CONRaRb (в котором n означает целое число от 0 до 5, R’ и R” независимо представляют собой водород или (С1-С6)алкил, и Ra и Rb независимо друг от друга представляют собой водород, (С1-С6)алкил, (С3-С7)циклоалкил, (С3-С7)циклоалкил(С1-С6)алкил);
“ацил” означает группу -C(O)R’, в которой R’ представляет собой (С1-С6)алкил, (С3-С7)циклоалкил, (С3-С7)циклоалкил-(С1-С6)алкил;
“гетерозамещенный циклоалкил” означает группу (С3-С7)циклоалкил, в которой один, два или три атома водорода замещены заместителями, независимо выбранными из группы, состоящей из циано, цианометила, гидрокси, гидроксиметила, (С1-С6)алкокси, ациламино, -SOnR (в котором n равно 0, 1 или 2 и в том случае, когда n равно 0, R представляет собой водород или (С1-С6)алкил и в том случае, когда n равно 1 или 2, R представляет собой (С1-С6)алкил, (С3-С7)циклоалкил, (С3-С7)циклоалкил(С1-С6)алкил, амино, моно-(С1-С6) алкиламино, ди(С1-С6) алкиламино) или -NHSO2R, в котором R представляет собой -(С1-С6)алкил.
2. Соединение по п.1, согласно которому А представляет собой водород, (С1-С10)алкил, (С3-С7)циклоалкил, (С3-С7)циклоалкил-(С1-С6)алкил, (C1-С10)гетероалкил, гетероциклил, гетероциклил(С1-С6)алкил, гетерозамещенный(С3-С7)циклоалкил, арил, арил(С1-С4)алкил, арил(С1-С4)гетероалкил, гетероарил, гетероарил(С1-С4)алкил или гетероарил(С1-С4)гетероалкил;
где “арил” означает моновалентный моноциклический или бициклический ароматический углеводородный радикал, содержащий от 6 до 10 атомов в кольце, который необязательно независимо замещен одним – четырьмя заместителями, выбранными из (С1-С6)алкила, (С3-С7)циклоалкила, (С3-С7)циклоалкил-(С1-С6)алкила, циано, циано(С1-С6)алкила, гидрокси, (С1-С6)алкокси, ациламино, галоген(С1-С6)алкила, (С1-С6)гетероалкила, COR (в этом определении R означает водород, (С1-С6)алкил, (С3-С7)циклоалкил, (С3-С7)циклоалкил-(С1-С6)алкил), -S(O)n-Rd (в котором n равно 0, 1 или 2, и в том случае, когда n равно 0, Rd представляет собой (С1-С6)алкил, (С3-С7)циклоалкил или (С3-С7)циклоалкил(С1-С6)алкил, и в том случае, когда n равно 1 или 2, Rd представляет собой (С1-С6)алкил, (С3-С7)циклоалкил, (С3-С7)циклоалкил(С1-С6)алкил, амино, моно(С1-С6)алкиламино или ди(С1-С6)алкиламино), -(CR’R”)n-COOR (в котором n означает целое число от 0 до 5, R’ и R” независимо представляют собой водород или (С1-С6)алкил, и R представляет собой (С1-С6)алкил, (С3-С7)циклоалкил, (С3-С7)циклоалкил(С1-С6)алкил), или -(CR’R”)n-CONRaRb (в котором n означает целое число от 0 до 5, R’ и R” независимо представляют собой водород или (С1-С6)алкил, и Ra и Rb независимо друг от друга представляют собой водород, (С1-С6)алкил, (С3-С7)циклоалкил, (С3-С7)циклоалкил(С1-С6)алкил);
“гетероалкил” означает (С1-С6)алкильный радикал, замещенный одним, двумя или тремя заместителями, независимо выбранными из -ORa, -NRbRc, и -S(O)nRd (в котором n равно 0, 1 или 2); при этом предполагается, что гетероалкильный радикал присоединяется через атом углерода, входящий в этот гетероалкильный радикал, и Ra представляет собой водород, (С1-С6)алкил, (С3-С7)циклоалкил, (С3-С7)циклоалкил-(С1-С6)алкил, Rb представляет собой водород, Rc представляет собой водород, Rd представляет собой водород (при условии, что n равно 0), (C1-С6)алкил, (С3-С7)циклоалкил, (С3-С7)циклоалкил-(C1-С6)алкил;
“гетерозамещенный циклоалкил” означает (С3-С7)циклоалкильную группу, в которой один, два или три атома водорода замещены заместителями, независимо выбранными из группы, состоящей из циано, гидрокси, (C1-С6)алкокси, ациламино, -SOnR (в котором n равно 0, 1 или 2, и в том случае, когда n равно 0, R представляет собой водород или (C1-С6) алкил и в том случае, когда n равно 1 или 2, R представляет собой (C1-С6) алкил, (С3-С7) циклоалкил, (С3-С7) циклоалкил(C1-С6) алкил, амино, моно-(C1-С6) алкиламино, ди(C1-С6) алкиламино).
3. Соединение по п.1 или 2, согласно которому V означает N, Х означает СН.
4. Соединение по п.3, согласно которому Y означает О или S.
5. Соединение по п.3, согласно которому R4 означает водород.
6. Соединение по п.3, согласно которому фрагмент В содержит атом азота в положении, находящемся на расстоянии двух атомов от атома, посредством которого фрагмент В присоединяется к остальной части молекулы.
7. Соединение по п.3, согласно которому фрагмент В является замещенным или незамещенным имидазолилом, замещенным или незамещенным тиазолилом или замещенным или незамещенным триазолилом.
8. Соединение по п.3, согласно которому фрагмент В представляет собой 1-метилимидазол-5-ил, 5-метилимидазол-1-ил, тиазол-5-ил, имидазол-1-ил или 4-метил-1,2,4-триазол-3-ил.
9. Соединение по п.3, согласно которому U означает -NH-.
10. Соединение по п.3, согласно которому Z означает N(R2)(R3).
11. Соединение по п.3, согласно которому Z означает NH2.
12. Соединение по п.3, согласно которому Y означает S.
13. Соединение по п.3, согласно которому R1 означает (С1-С10)алкил, (С1-С10)гетероалкил, гетероциклил(C1-С6)алкил или (C1-С6)алкилен-С(O)R11.
14. Соединение по п.3, в котором фрагмент А означает (С1-С10)алкил, (С3-С7)циклоалкил, (С1-С10 )гетероалкил, гетероциклил, гетероциклил(С1-С6)алкил, гетерозамещенный (С3-С7)циклоалкил, арил, арил(С1-С4)алкил или гетероарил.
15. Соединение по п.1 или 2, согласно которому V означает СН, и Х означает N.
16. Соединение по п.15, в котором Y означает О или S; Z означает NH2; U означает NH.
17. Соединение по п.15, в котором фрагмент А означает (С1-С10)алкил, (С3-С7)циклоалкил, (С1-С10)гетероалкил, гетероциклил, гетероциклил(С1-С6)алкил, гетерозамещенный(С3-С7)циклоалкил, арил, арил(С1-С4)алкил или гетероарил.
18. Соединение по п.15, в котором R1 представляет собой (С1-С10)алкил, (C1-С10)гетероалкил, гетероциклил(С1-С6)алкил или (С1-С6)алкилен-С(O)R11.
19. Соединение по п.15, в котором фрагмент В содержит атом азота в положении, находящемся на расстоянии двух атомов от атома, посредством которого фрагмент В присоединяется к остальной части молекулы.
20. Соединение по п.15, в котором фрагмент В является замещенным или незамещенным имидазолилом, замещенным или незамещенным тиазолилом или замещенным или незамещенным триазолилом.
21. Соединение по п.2, которое представляет собой
2-(тетрагидропиран-4-илметил)-(2-циклопропиламино-6-(3-метил-3Н-имидазол-4-ил)пиримидин-4-карбальдегид)тиосемикарбазон; или
2-метил-(2-трет-бутиламино-6-(3-метил-3Н-имидазол-4-ил)пиримидин-4-карбальдегид)тиосемикарбазон; или
2-(тетрагидропиран-4-илметил)-(2-(1 -метансульфонилпиперидин-4-иламино)-6-(3-метил-3Н-имидазол-4-ил)пиримидин-4-карбальдегид) тиосемикарбазон; или
2-метил-(2-циклопропиламино-6-(3-метил-3Н-имидазол-4-ил)пиримидин-4-карбальдегид)тиосемикарбазон; или
2-метил-(2-(2-транс-ацетонитрил-циклопропиламино)-6-(3-метил-3Н-имидазол-4-ил)пиримидин-4-карбальдегид)тиосемикарбазон; или
2-метил-(2-(4-N-метилкарбоксамидфениламин)-6-(3-метил-3Н-имидазол-4-ил)-пиримидин-4-карбальдегид)тиосемикарбазон; или
2-метил-(2-[3-(1-гидрокси-этил)-фениламино]-6-(3-метил-3Н-имидазол-4-ил)-пиримидин-4-карбальдегид тиосемикарбазон.
22. Композиция, ингибирующая фермент IKK- , включающая терапевтически эффективное количество соединения согласно любому из пп.1-20 или соль этого соединения, и наполнитель.
23. Соединение по любому из пп.1-21 или соль этого соединения, предназначенные для применения в качестве терапевтически активных веществ, обладающих ингибирующей активностью в отношении фермента IKK- .
24. Соединение по п.23, в комбинации со вторым терапевтическим агентом, выбранным из группы, состоящей из преднизона, дексаметазона, беклометазона, метилпреднизона, бетаметазона, гидрокортизона, метотрексата, циклоспорина, рапамицина, такролимуса, антигистаминных лекарственных средств, ФНО (фактор некроза опухоли) антител, ИЛ-1 (интерлейкин) антител, растворимых ФНО рецепторов, растворимых ИЛ-1 рецепторов, антагонистов ФНО или ИЛ-1 рецепторов, нестероидных противовоспалительных агентов, СОХ-2 (циклооксигеназа) ингибиторов, противодиабетических агентов и противораковых агентов.
25. Соединение формулы:

в которой один из V или Х означает N, а другой означает -CRa, или оба V и Х означают -CRa (в котором каждый из Ra независимо представляет собой водород);
R4 означает водород, (С1-С6)алкил, (С3-С7)циклоалкил, (С3-С7)циклоалкил-алкил;
фрагмент А означает водород, (С1-С10)алкил, галоген(С1-С6)алкил, (C1-С10)гетероалкил, (С3-С7)циклоалкил, (С3-С7)циклоалкил-(С1-С6)алкил, гетероциклил, гетероциклил(С1-С6)алкил, гетерозамещенный(С3-С7)циклоалкил, арил, арил(С1-С4)алкил, арил(С1-С4)гетероалкил, гетероарил, гетероарил(С1-С4)алкил, гетероарил(С1-С4)гетероалкил или RaRbNC(=X)-, в котором Ra и Rb независимо представляют собой арил, и Х означает S;
фрагмент В представляет собой замещенное или незамещенное пятичленное ароматическое кольцо, содержащее по меньшей мере один атом азота и от 0 до 3 дополнительных гетероатомов, причем заместители кольца В выбирают из группы, состоящей (С1-С6)алкила;
U представляет собой -NR5 -;
R5 означает водород.
26. Соединение по п.25, согласно которому V означает N, и Х означает СН; R4 означает водород; фрагмент А означает (С1-С10)алкил, (С3-С7)циклоалкил, (С1-С10)гетероалкил, гетероциклил, гетероциклил(С1-С6)алкил, гетерозамещенный (С3-С7)циклоалкил, арил, арил(С1-С4)алкил или гетероарил; фрагмент В является замещенным или незамещенным имидазолилом, замещенным или незамещенным тиазолилом или замещенным или незамещенным триазолилом; U означает NH.
MM4A – Досрочное прекращение действия патента СССР или патента Российской Федерации на изобретение из-за неуплаты в установленный срок пошлины за поддержание патента в силе
Дата прекращения действия патента: 01.11.2007
Извещение опубликовано: 20.09.2010 БИ: 26/2010
|
|