|
(21), (22) Заявка: 2004116131/04, 17.10.2002
(24) Дата начала отсчета срока действия патента:
17.10.2002
(30) Конвенционный приоритет:
26.10.2001 (пп.1-12) DE 10152941.4
(43) Дата публикации заявки: 10.11.2005
(46) Опубликовано: 20.10.2007
(15) Информация о коррекции:
Версия коррекции № 1 (
где А означает разветвленную или неразветвленную группу алкилена с 1-6 атомами углерода, которая может иметь, при необходимости, один или несколько заместителей, которые выбирают из группы (групп) гидрокси и атома (атомов) галогена,
Х означает, при необходимости, замещенный остаток имидазолила,
R1, R2 и R3 независимо друг от друга означают атом водорода, алкильную группу с 1-4 атомами углерода, моногидроксиалкильную группу с 1-4 атомами углерода или полигидроксиалкильную группу с 2-6 атомами углерода и
R4 и R5 независимо друг от друга означают атом водорода, алкильную группу с 1-4 атомами углерода, группу алкокси с 1-4 атомами углерода, моногидроксиалкильную группу с 1-4 атомами углерода или полигидроксиалкильную группу с 2-4 атомами углерода или атом галогена.
При этом под кератиновыми волокнами понимают предложенные согласно изобретению мех, шерсть, перья и, в частности, человеческие волосы. Несмотря не то, что предложенные согласно изобретению окислительные красители подходят в первую очередь для окраски кератиновых волокон, ничто в принципе не препятствует их применению в других областях, в частности цветной фотографии.
Так как в предложенных согласно изобретению предшественниках красителей речь идет об аминосоединениях, допускается получение из них обычным способом известных аддитивных солей кислот. Поэтому все показания и необходимый в соответствии с этим объем правовой охраны относятся как к представленным в свободной форме соединениям, так и к их водорастворимым, физиологически приемлемым солям. Такими солями являются, например, гидрохлориды, гидробромиды, сульфаты, фосфаты, ацетаты, пропионаты, цитраты и лактаты. Причем особенно предпочтительными являются гидрохлориды и сульфаты.
Примерами групп алкила с 1-4 атомами углерода, названными в качестве заместителей в предложенных согласно изобретению соединениях, являются группы метила, этила, пропила, изопропила и бутила. Предпочтительными остатками алкила являются этил и метил. Предпочтительными группами алкокси с 1-4 атомами углерода являются группы метокси и этокси. Далее, в качестве предпочтительных примеров моногидроксиалкильной группы с 1-4 атомами углерода называют группы гидроксиметила, 2-гидроксиэтила, 3-гидроксипропила или 4-гидроксибутила. Особенно предпочтительной является группа 2-гидроксиэтила. Особенно предпочтительной полигидроксиалкильной группой с 2-4 атомами углерода является группа 1,2-дигидроксиэтила. Согласно изобретению атомами галогена являются, например, атомы фтора, хлора или брома, наиболее предпочтительными являются атомы хлора.
Предпочтительными являются соединения формулы (I), в которой R1, R2 и R3 означают атом водорода. Далее, предпочтительными являются соединения, в которых R4 и R5 независимо друг от друга означают атом водорода, группу метила, атом хлора или фтора. Особенно предпочтительными являются соединения формулы (I), в которых R4 и R5 означают атом водорода.
Существенным признаком предложенных согласно изобретению соединений формулы (I) является замещенный, при необходимости, остаток имидазолила. В первом предпочтительном варианте осуществления предложенного изобретения группа Х означает, при необходимости, замещенный остаток имидазолила формулы (II)

где R6 означает атом водорода, алкильную группу с 1-4 атомами углерода, моногидроксиалкильную группу с 1-4 атомами углерода, полигидроксиалкильную группу с 2-4 атомами углерода или атом галогена.
В рамках данного варианта осуществления особенно предпочтительны соединения формулы (I), в которых А означает неразветвленную группу алкилена с 2-6 атомам углерода. В рамках данного варианта осуществления особенно предпочтительной группой алкилена является группа триметилена.
Совершенно предпочтительным соединением формулы (I) с остатком имидазолила формулы (II) является (4-аминофенил)(3-(имидазол-1-ил)-пропил)амин (Е2) формулы (IIa)

а также (4-амино-3-метилфенил)(3-(имидазол-1-ил)пропил)амин (Е3) формулы (IIb)

В рамках второго предпочтительно варианта осуществления предложенного изобретения речь идет о, при необходимости, замещенном остатке имидазолила Х и группе формулы (III)

где R7 означает атом водорода, алкильную группу с 1-4 атомами углерода, моногидроксиалкильную группу с 1-4 атомами углерода, полигидроксиалкильную группу с 2-4 атомами углерода или атом галогена. Так как соединения данного варианта осуществления предложенного изобретения представлены в форме таутомерного равновесия, высказывания этого документа относятся к обоим представленным в равновесии таутомерам.
В рамках данного варианта осуществления группа А предпочтительно означает неразветвленную группу алкилена с 1-6 атомами углерода. Особенно предпочтительным примером группы А является группа этилена.
Совершенно предпочтительным соединением формулы (I) с остатком имидазолила формулы (III) является (4-аминофенил)(2-(имидазол-5-ил)этил)амин (Е1) формулы (IIIa)

Наряду с предложенными согласно изобретению соединениями формулы (I), красящие средства могут содержать один или несколько дополнительных предшественников красителя.
Относительно других предшественников красителей, используемых в предложенных согласно изобретению красящих средствах, предложенное изобретение не подлежит никаким ограничениям. Предложенные согласно изобретению красящие средства могут содержать в качестве других предшественников красителей
– предшественники окислительных красителей типа проявителя и/или цветообразователя и
– первичную стадию красителей, аналогичных натуральным, таких как производные индола и индолина,
а также смеси представителей данных групп.
В первом предпочтительном варианте осуществления красящее средство содержит, по крайней мере, один дополнительный проявляющий компонент. В качестве проявляющих компонентов используют обычные первичные ароматические амины с дополнительной, находящейся в пара- или орто-положении, свободной или замещенной гидроксигруппой или аминогруппой, производные диаминопиридина, гетероциклические гидразоны, производные 4-аминопиразолона, а также 2,4,5,6-тетрааминопиримидин и его производные.
Согласно изобретению может быть предпочтительно использование производного п-фенилендиамина или его физиологически приемлемой соли в качестве проявляющих компонентов. Особенно предпочтительными являются производные п-фенилендиамина формулы (Е1)

где G1 означает атом водорода, остаток алкила с 1-4 атомами углерода, остаток моногидроксиалкила с 1-4 атомами углерода, остаток полигидроксиалкила с 2-4 атомами углерода, остаток алкоксиалкила с 1-4 атомами углерода в части алкокси и с 1-4 атомами углерода в части алкила, остаток 4′-аминофенила или остаток алкила с 1-4 атомами углерода, который замещен азотсодержащей группой, остатком фенила или 4′-аминофенила;
G2 означает атом водорода, остаток алкила с 1-4 атомами углерода, остаток моногидроксиалкила с 1-4 атомами углерода, остаток полигидроксиалкила с 2-4 атомами углерода, остаток алкоксиалкила с 1-4 атомами углерода в части алкокси и в части алкила или остаток алкила с 1-4 атомами углерода, который замещен азотсодержащей группой;
G3 означает атом водорода, атом галогена, такой как атом хлора, брома, иода или фтора, остаток алкила с 1-4 атомами углерода, остаток моногидроксиалкила с 1-4 атомами углерода, остаток полигидроксиалкила с 2-4 атомами углерода, остаток гидроксиалкокси с 1-4 атомами углерода, остаток ацетиламиноалкокси с 1-4 атомами углерода, остаток мезиламиноалкокси с 1-4 атомами углерода или остаток карбамоиламиноалкокси с 1-4 атомами углерода;
G4 означает атом водорода, атом галогена или остаток алкила с 1-4 атомами углерода или,
если G3 и G4 находятся в орто-положении друг к другу, то они могут вместе образовывать мостиковую , -алкилендиоксогруппу, такую как, например, этилендиоксигруппу.
Заместителями названных в предложенных согласно изобретению соединениях остатков алкила с 1-4 атомами углерода, являются, например, группы метила, этила, пропила, изопропила и бутила. Предпочтительными остатками алкила являются этил и метил. Согласно изобретению предпочтительными остатками алкокси с 1-4 атомами углерода являются, например, группа метокси или этокси. Далее, предпочтительными примерами группы гидроксиалкила с 1-4 атомами углерода могут быть названы группа гидроксиметила, 2-гидроксиэтила, 3-гидроксипропила или 4-гидроксибутила. Особенно предпочтительной является группа 2-гидроксиэтила. Особенно предпочтительной группой полигидроксиалкила с 2-4 атомами углерода является группа 1,2-дигидроксиэтила. Согласно изобретению атомами галогена являются, например, атомы фтора, хлора или брома, совершенно предпочтительными являются атомы хлора. Согласно изобретению следующие используемые понятия являются производными от приведенных здесь определений. Азотсодержащими группами формулы (Е1) являются, в частности, например, аминогруппы, моноалкиламиногруппы с 1-4 атомами углерода, диалкиламиногруппы с 1-4 атомами углерода, группы триалкиламмония с 1-4 атомами углерода, моногидроксиалкиламиногруппы с 1-4 атомами углерода, имидазолиний и аммоний.
Особенно предпочтительные п-фенилендиамины формулы (Е1) выбирают из п-фенилендиамина, п-толуилендиамина, 2-хлор-п-фенилендиамина, 2,3-диметил-п-фенилендиамина, 2,6-диметил-п-фенилендиамина, 2,6-диэтил-п-фенилендиамина, 2,5-диметил-п-фенилендиамина, N,N-диметил-п-фенилендиамина, N,N-диэтил-п-фенилендиамина, N,N-дипропил-п-фенилендиамина, 4-амино-3-метил-(N,N-диэтил)-анилина, N,N-бис-( -гидроксиэтил)-п-фенилендиамина, 4-N,N-бис-( -гидроксиэтил)-амино-2-метиланилина, 4-N,N-бис-( -гидроксиэтил)-амино-2-хлоранилина, 2-( -гидроксиэтил)-п-фенилендиамина, 2-( , -3-дигидроксиэтил)-п-фенилендиамина, 2-фтор-п-фенилендиамина, 2-изопропил-п-фенилендиамина, N-( -гидроксипропил)-п-фенилендиамина, 2-гидроксиметил-п-фенилендиамина, N,N-диметил-3-метил-п-фенилендиамина, N,N-(этил, -гидроксиэтил)-п-фенилендиамина, N-( , -дигидроксипропил)-п-фенилендиамина, N-(4′-аминофенил)-п-фенилендиамина, N-фенил-п-фенилендиамина, 2-( -гидроксиэтилокси)-п-фенилендиамина, 2-( -ацетиламиноэтилокси)-п-фенилендиамина, N-( -метоксиэтил)-п-фенилендиамина и 5,8-диаминобензо-1,4-диоксана, а также их физиологически приемлемых солей.
Согласно изобретению совершенно предпочтительными производными п-фенилендиамина формулы (Е1) являются п-фенилендиамин, п-толуилендиамин, 2-( -гидроксиэтил)-п-фенилендиамин, 2-( , -дигидроксиэтил)-п-фенилендиамин и N,N-бис-( -гидроксиэтил)-п-фенилендиамин.
Согласно изобретению, кроме того, может быть предпочтительно использование в качестве проявляющих компонентов соединений, которые содержат, по крайней мере, два ароматических ядра, замещенных группами амино и/или гидроксила.
Под двуядерными проявляющими компонентами, использование которых возможно в составе красителя согласно изобретению, могут быть названы, в частности, соединения, которые соответствуют следующей формуле (Е2), а также их физиологически приемлемые соли:

где Z1 и Z2 независимо друг от друга означают остаток гидроксила или NH2, который, при необходимости, замещен остатком алкила с 1-4 атомами углерода, остатком гидроксиалкила с 1-4 атомами углерода и/или мостиком Y, или, при необходимости, является частью мостиковой кольцевой системы,
мостик Y означает группу алкилена с 1-14 атомами углерода, такую как, например, неразветвленная или разветвленная цепь алкилена или кольцо алкилена, которые могут быть прерваны или окончены одной или несколькими азотсодержащими группами и/или одним или несколькими гетероатомами, такими как атомы кислорода, серы или азота, и, возможно, могут быть замещены одним или несколькими остатками гидроксила или алкокси с 1-8 атомами углерода, или означает прямую связь,
G5 и G6 независимо друг от друга означают атом водорода или галогена, остаток алкила с 1-4 атомами углерода, остаток моногидроксиалкила с 1-4 атомами углерода, остаток полигидроксиалкила с 2-4 атомами углерода, остаток аминоалкила с 1-4 атомами углерода или непосредственно соединены с мостиком Y,
G7, G8, G9, G10, G11 и G12 независимо друг от друга означают атом водорода, прямую связь с мостиком Y или остаток алкила с 1-4 атомами углерода,
при условии, что
соединения формулы (Е2) содержат только один мостик Y на молекулу и
соединения формулы (Е2) содержат, по крайней мере, одну аминогруппу, которая имеет, по крайней мере, один атом водорода.
Согласно изобретению заместители, используемые в формуле (Е2), определяют аналогично вышесказанному.
Предпочтительными двуядерными проявляющими компонентами формулы (Е2) являются, в частности, N,N’-бис-( -гидроксиэтил)-N,N’-бис-(4′-аминофенил)-1,3-диаминопропан-2-ол, N,N’-бис-( -гидроксиэтил)-N,N’-бис-(4′-аминофенил)-этилендиамин, N,N’-бис-(4-аминофенил)-тетраметилендиамин, N,N’-бис-( -гидроксиэтил)-N,N’-бис-(4-аминофенил)-тетраметилендиамин, N,N’-бис-(4-метиламинофенил)-тетраметилендиамин, N,N’-диэтил-N,N’-бис-(4′-амино-3′-метилфенил)-этилендиамин, бис-(2-гидрокси-5-аминофенил)-метан, N,N’-бис-(4′-аминофенил)-1,4-диазациклогептан, N,N’-бис-(2-гидрокси-5-аминобензил)-пиперазин, N-(4′-аминофенил)-п-фенилендиамин и 1,10-бис-(2′,5′-диаминофенил)-1,4,7,10-тетраоксадекан и их физиологически приемлемые соли.
Совершенно предпочтительными двуядерными проявляющими компонентами формулы (Е2) являются N,N’-бис-( -гидроксиэтил)-N,N’-бис-(4′-аминофенил)-1,3-диаминопропан-2-ол, бис-(2-гидрокси-5-аминофенил)-метан, N,N’-бис-(4′-аминофенил)-1,4-диазациклогептан и 1,10-бис-(2′,5′-диаминофенил)-1,4,7,10-тетраоксадекан или их физиологически приемлемые соли.
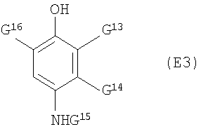
Кроме того, согласно изобретению может быть предпочтительно использование в качестве проявляющих компонентов производного п-аминофенола или его физиологически приемлемой соли. Особенно предпочтительными являются производные п-аминофенола формулы (Е3)

где G13 означает атом водорода, атом галогена, остаток алкила с 1-4 атомами углерода, остаток моногидроксиалкила с 1-4 атомами углерода, остаток полигидроксиалкила с 2-4 атомами углерода, остаток алкоксиалкила с 1-4 атомами углерода в части алкокси и 1-4 атомами углерода в части алкила, остаток аминоалкила с 1-4 атомами углерода, остаток гидроксиалкиламино с 1-4 атомами углерода в части алкиламино, остаток гидроксиалкокси с 1-4 атомами углерода, гидроксиалкиламиноалкил с 1-4 атомами углерода в части гидроксиалкила и 1-4 атомам углерода в части аминоалкила или остаток диалкиламиноалкила с 1-4 атомами углерода в части алкиламино и 1-4 атомами углерода в части алкила,
G14 означает атом водорода или атом галогена, остаток алкила с 1-4 атомами углерода, остаток моногидроксиалкила с 1-4 атомами углерода, остаток полигидроксиалкила с 2-4 атомами углерода, остаток алкоксиалкила с 1-4 атомами углерода в части алкокси и 1-4 атомами углерода в части алкила, остаток аминоалкила с 1-4 атомами углерода или остаток цианоалкила с 1-4 атомами углерода,
G15 означает водород, остаток алкила с 1-4 атомами углерода, остаток моногидроксиалкила с 1-4 атомами углерода, остаток полигидроксиалкила с 2-4 атомами углерода, остаток фенила или остаток бензила и
G16 означает водород или атом галогена.
Согласно изобретению заместители, используемые в формуле (Е3), определяют аналогично вышесказанному.
Предпочтительными п-аминофенолами формулы (Е3) являются, в частности, п-аминофенол, N-метил-п-аминофенол, 4-амино-3-метилфенол, 4-амино-3-фторфенол, 2-гидроксиметиламино-4-аминофенол, 4-амино-3-гидроксиметилфенол, 4-амино-2-( -гидроксиэтокси)-фенол, 4-амино-2-метилфенол, 4-амино-2-гидроксиметилфенол, 4-амино-2-метоксиметилфенол, 4-амино-2-аминометилфенол, 4-амино-2-(( -гидроксиэтиламинометил)-фенол, 4-амино-2-( , -дигидроксиэтил)-фенол, 4-амино-2-фторфенол, 4-амино-2-хлорфенол, 4-амино-2,6-дихлорфенол, 4-амино-2-(диэтиламинометил)-фенол, а также их физиологически приемлемые соли.
Совершенно предпочтительными соединениями формулы (Е3) являются п-аминофенол, 4-амино-3-метилфенол, 4-амино-2-аминометилфенол, 4-амино-2-( , -дигидроксиэтил)-фенол и 4-амино-2-(диэтиламинометил)-фенол.
Кроме того, проявляющие компоненты можно выбрать из о-аминофенола и его производных, таких как, например, 2-амино-4-метилфенол, 2-амино-5-метилфенол или 2-амино-4-хлорфенол.
Кроме того, проявляющие компоненты можно выбрать из гетероциклических проявляющих компонентов, таких как, например, производные пиридина, пиримидина, пиразола, пиразолпиримидина и их физиологически приемлемых солей.
Предпочтительными производными пиридина являются, в частности, соединения, которые описаны в заявках на патент Великобритании GB 1026978 и GB 1153196, такие как 2,5-диаминопиридин, 2-(4′-метоксифенил)-амино-3-аминопиридин, 2,3-диамино-6-метоксипиридин, 2-( -метоксиэтил)-амино-3-амино-6-метоксипиридин и 3,4-диаминопиридин.
Предпочтительными производными пиримидина являются, в частности, соединения, которые описаны в немецкой заявке на патент DE 2359399, японской заявке на патент JP 02019576 А2 или в международной заявке на патент WO 96/15765, такие как 2,4,5,6-тетрааминопиримидин, 4-гидрокси-2,5,6-триаминопиримидин, 2-гидрокси-4,5,6-триаминопиримидин, 2-диметиламино-4,5,6-триаминопиримидин, 2,4-дигидрокси-5,6-диаминопиримидин и 2,5,6-триаминопиримидин.
Предпочтительными производными пиразола являются, в частности, соединения, которые описаны в немецких заявках на патент DE 3843892, DE 4133957 и международных заявках на патент WO 97/08969, WO 94/08970, европейской заявке на патент ЕР-740931 и немецкой заявке на патент DE 19543988, такие как 4,5-диамино-1-метилпиразол, 4,5-диамино-1-( -гидроксиэтил)-пиразол, 3,4-диаминопиразол, 4,5-диамино-1-(4′-хлорбензол)-пиразол, 4,5-диамино-1,3-диметилпиразол, 4,5-диамино-3-метил-1-фенилпиразол, 4,5-диамино-1-метил-3-фенилпиразол, 4-амино-1,3-диметил-5-гидразинпиразол, 1-бензил-4,5-диамино-3-метилпиразол, 4,5-диамино-3-трет-бутил-1-метилпиразол, 4,5-диамино-1-трет-бутил-3-метилпиразол, 4,5-диамино-1-( -гидроксиэтил)-3-метилпиразол, 4,5-диамино-1-этил-3-метилпиразол, 4,5-диамино-1-этил-3-(4′-метоксифенил)-пиразол, 4,5-диамино-1-этил-3-гидроксиметилпиразол, 4,5-диамино-3-гидроксиметил-1-метилпиразол, 4,5-диамино-3-гидроксиметил-1-изопропилпиразол, 4,5-диамино-3-метил-1-изопропилпиразол, 4-амино-5-( -аминоэтил)-амино-1,3-диметилпиразол, 3,4,5-триаминопиразол, 1-метил-3,4,5-триаминопиразол, 3,5-диамино-1-метил-4-метиламинопиразол и 3,5-диамино-4-( -гидроксиэтил)-амино-1-метилпиразол.
Предпочтительными производными пиразолпиримидина являются, в частности, производные пиразол[1,5-а]пиримидина следующей формулы (Е4) и его таутомерные формы, поскольку существует таутомерное равновесие:

где G17, G18, G19 и G20 независимо друг от друга означают атом водорода, остаток алкила с 1-4 атомами углерода, остаток арила, остаток гидроксиалкила с 1-4 атомами углерода, остаток полигидроксиалкила с 2-4 атомами углерода, остаток алкоксиалкила с 1-4 атомами углерода в части алкокси и 1-4 атомами углерода в части алкила, остаток аминоалкила с 1-4 атомами углерода, который, при необходимости, может быть защищен остатком ацетилмочевины или остатком сульфонила, остаток алкиламиноалкила с 1-4 атомами углерода в части алкиламино и 1-4 атомами углерода в части алкила, остаток диалкиламиноалкила с 1-4 атомами углерода в части диалкила и с 1-4 атомами углерода в части аминоалкила, причем остатки диалкила, при необходимости, образуют углеродный цикл или гетероцикл с 5 или 6 членами кольца, остаток гидроксиалкиламиноалкила с 1-4 атомами углерода в части гидроксиалкила и 1-4 атомами углерода в части аминоалкила или дигидроксиалкиламиноалкил с 1-4 атомами углерода в части дигидроксиалкила и 1-4 атомами углерода в части аминоалкила,
остатки Х независимо друг от друга означают атом водорода, остаток алкила с 1-4 атомами углерода, остаток арила, остаток гидроксиалкила с 1-4 атомами углерода, остаток полигидроксиалкила с 2-4 атомами углерода, остаток аминоалкила с 1-4 атомами углерода, остаток алкиламиноалкила с 1-4 атомами углерода в части алкиламино и 1-4 атомами углерода в части алкила, остаток диалкиламиноалкила с 1-4 атомами углерода в части диалкила и с 1-4 атомами углерода в части аминоалкила, причем остатки диалкила, при необходимости, образуют углеродный цикл или гетероцикл с 5 или 6 членами кольца, остаток гидроксиалкиламиноалкила с 1-4 атомами углерода в части гидроксиалкила и 1-4 атомами углерода в части аминоалкила или дигидроксиалкиламиноалкил с 1-4 атомами углерода в части дигидроксиалкила и 1-4 атомами углерода в части аминоалкила, остаток амино, остаток алкиламино с 1-4 атомами углерода в части алкила или остаток дигидроксиалкиламино с 1-4 атомами углерода в части гидроксиалкила, атом галогена, группу карбоксильной кислоты или группу сульфоновой кислоты,
i имеет значение 0,1,2 или 3,
р имеет значение 0 или 1,
q имеет значение 0 или 1 и
n имеет значение 0 или 1,
при условии, что
сумма р + q не была равна 0,
если р + q равно 2, то n имеет значение 0, и группы NG17G18 и NG19G20 находятся в положениях (2,3); (5,6); (6,7); (3,5) или (3,7);
если р + q равно 1, то n имеет значение 1, и группы NG17G18 (или NG19G20) и группа ОН находятся в положениях (2,3); (5,6); (6,7); (3,5) или (3,7);
Согласно изобретению заместители, используемые в формуле (Е4), определяют аналогично вышесказанному.
Если пиразол[1,5-а]пиримидин вышестоящей формулы (Е4) содержит гидроксигруппу в одном из положений 2, 5 или 7 кольцевой системы, существует таутомерное равновесие, которое демонстрируют, например, на следующей схеме:

Пиразол[1,5-а]пиримидинами вышеуказанной формулы (Е4) можно называть, в частности:
пиразол[1,5-а]пиримидин-3,7-диамин;
2,5-диметилпиразол[1,5-а]пиримидин-3,7-диамин;
пиразол[1,5-а]пиримидин-3,5-диамин;
2,7-диметилпиразол[1,5-а]пиримидин-3,5-диамин;
3-аминопиразол[1,5-а]пиримидин-7-ол;
3-аминопиразол[1,5-а]пиримидин-5-ол;
2-(3-аминопиразол[1,5-а]пиридин-7-иламино)-этанол;
2-(7-аминопиразол[1,5-а]пиридин-3-иламино)-этанол;
2-[(3-аминопиразол[1,5-а]пиримидин-7-ил)-(2-гидроксиэтил)-амино]-этанол;
2-[(7-аминопиразол[1,5-а]пиримидин-3-ил)-(2-гидроксиэтил)-амино]-этанол;
5,6-диметилпиразол[1,5-а]пиримидин-3,7-диамин;
2,6-диметилпиразол[1,5-а]пиримидин-3,7-диамин;
3-амино-7-диметиламино-2,5-диметилпиразол[1,5-а]пиримидин,
а также их физиологически приемлемые соли и их таутомерные формы, если существует таутомерное равновесие.
Пиразол[1,5-а]пиримидины вышеуказанной формулы (Е4) можно получить, как описано в литературе, путем циклизации аминопиразола или гидразина.
Во втором предпочтительном варианте осуществления предложенные согласно изобретению красители содержат, по крайней мере, один цветообразующий компонент.
В качестве цветообразующих компонентов, как правило, используют производные м-фенилендиамина, нафтолы, резорцин и производные резорцина, пиразолоны и производные м-аминофенола. В качестве цветообразующих веществ пригодными являются, в частности, 1-нафтол, 1,5-, 2,7-и 1,7-дигидроксинафталин, 5-амино-2-метилфенол, м-аминофенол, резорцин, простой резорцинмонометиловый эфир, м-фенилендиамин, 1-фенил-3-метилпиразолон-5, 2,4-дихлор-3-аминофенол, 1,3-бис-(2′,4′-диаминофенокси)-пропан, 2-хлоррезорцин, 4-хлоррезорцин, 2-хлор-6-метил-3-аминофенол, 2-амино-3-гидроксипиридин, 2-метилрезорцин, 5-метилрезорцин и 2-метил-4-хлор-5-аминофенол.
Согласно изобретению предпочтительными цветообразующими компонентами являются следующие:
– м-аминофенол и его производные, такие как, например, 5-амин-2-метилфенол, N-циклопентил-3-аминофенол, 3-амино-2-хлор-6-метилфенол, 2-гидрокси-4-аминофеноксиэтанол, 2,6-диметил-3-аминофенол, 3-трифторацетиламино-2-хлор-6-метилфенол, 5-амино-4-хлор-2-метилфенол, 5-амино-4-метокси-2-метилфенол, 5-(2′-гидроксиэтил)-амино-2-метилфенол, 3-(диэтиламино)-фенол, N-циклопентил-3-аминофенол, 1,3-дигидрокси-5-(метиламино)-бензол, 3-этиламино-4-метилфенол и 2,4-дихлор-3-аминофенол,
– о-аминофенол и его производные,
– м-диаминобензол и его производные, такие как, например, 2,4-дтаминофеноксиэтанол, 1,3-бис-(2′,4′-диаминофенокси)-пропан, 1-метокси-2-амино-4-(2′-гидроксиэтиламино)бензол, 1,3-бис-(2′,4′-диаминофенил)-пропан, 2,6-бис-(2′-гидроксиэтиламино)-1-метилбензол и 1-амино-3-бис-(2′-гидроксиэтил)-аминобензол,
– о-диаминобензол и его производные, такие как, например, 3,4-диаминобензойная кислота и 2,3-диамино-1-метилбензол,
– производные ди- или тригидроксибензола, такие как, например, резорцин, простой резорцинмонометиловый эфир, 2-метилрезорцин, 5-метилрезорцин, 2,5-диметилрезорцин, 2-хлоррезорцин, 4-хлоррезорцин, пирогаллол и 1,2,4-тригидроксибензол,
– производные пиридина, такие как, например, 2,6-дигидроксипиридин, 2-амино-3-гидроксипиридин, 2-амино-5-хлор-3-гидроксипиридин, 3-амино-2-метиламино-6-метоксипиридин, 2,6-дигидрокси-3,4-диметилпиридин, 2,6-дигидрокси-4-метилпиридин, 2,6-диаминопиридин, 2,3-диамино-6-метоксипиридин и 3,5-диамино-2,6-диметоксипиридин,
– производные нафталина, такие как, например, 1-нафтол, 2-метил-1-нафтол, 2-гидроксиметил-1-нафтол, 2-гидроксиэтил-1-нафтол, 1,5-дигидроксинафталин, 1,6-дигидроксинафталин, 1,7-дигидроксинафталин, 1,8-дигидроксинафталин, 2,7-дигидроксинафталин и 2,3-дигидроксинафталин,
– производные морфолина, такие как, например, 6-гидроксибензоморфолин и 6-аминобензоморфолин,
– производные хиноксалина, такие как, например, 6-метил-1,2,3,4-тетрагидрохиноксалин,
– производные пиразола, такие как, например, 1-фенил-3-метилпиразол-5-он,
– производные индола, такие как, например, 4-гидроксииндол, 6-гидроксииндол и 7-гидроксииндол,
– производные пиримидина, такие как, например, 4,6-диаминопиримидин, 4-амино-2,6-дигидроксипиримидин, 2,4-диамино-6-гидроксипиримидин, 2,4,6-тригидроксипиримидин, 2-амино-4-метилпиримидин, 2-амино-4-гидрокси-6-метилпиримидин и 4,6-дигидрокси-2-метилпиримидин, или
– производные метилендиоксибензола, такие как, например, 1-гидрокси-3,4-метилендиоксибензол, 1-амино-3,4-метилендиоксибензол и 1-(2′-гидроксиэтил)-амино-3,4-метилендиоксибензол.
Согласно изобретению особенно предпочтительными цветообразующими компонентами являются 1-нафтол, 1,5-, 2,7-и 1,7-дигидроксинафталин, 3-аминофенол, 5-амино-2-метилфенол, 2-амино-3-гидроксипиридин, резорцин, 4-хлоррезорцин, 2-хлор-6-метил-3-аминофенол, 2-метилрезорцин, 5-метилрезорцин, 2,5-диметилрезорцин и 2,6-дигидрокси-3,4-диметилпиридин.
В качестве первичной стадии аналогичных натуральным красителей предпочтительно используют такие индолы и индолины, которые имеют, по крайней мере, одну гидрокси группу или аминогруппу предпочтительно в качестве заместителя у шестого кольца. Данные группы могут иметь следующие заместители, например, в форме простой этерификации или сложной этерификации гидроксигруппы или алкилирования аминогруппы. Во втором предпочтительном варианте осуществления красители содержат, по крайней мере, одно производное индола и/или индолина.
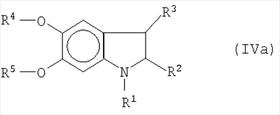
Особенно хорошо пригодными в качестве первичной стадии аналогичных натуральным красителей являются производные 5,6-дигидроксииндолина формулы (IVa)

где независимо друг от друга R1 означает водород, алкильную группу с 1-4 атомами углерода или гидроксиалкильную группу с 1-4 атомами углерода,
R2 означает водород или группу -СООН, причем группа -СООН также может быть представлена в виде соли с физиологически приемлемым катионом,
R3 означает водород или алкильную группу с 1-4 атомами углерода,
R4 означает водород, алкильную группу с 1-4 атомами углерода или группу -CO-R6, в которой R6 означает алкильную группу с 1-4 атомами углерода, и
R5 означает названные для R4 группы,
а также физиологически приемлемые соли этих соединений с органическими или неорганическими кислотами.
Особенно предпочтительными производными индолина являются 5,6-дигидроксииндолин, N-метил-5,6-дигидроксииндолин, N-этил-5,6-дигидроксииндолин, N-пропил-5,6-дигидроксииндолин, N-бутил-5,6-дигидроксииндолин, 5,6-дигидроксииндолин-2-карбоновая кислота, а также 6-гидроксииндолин, 6-аминоиндолин и 4-аминоиндолин.
Среди данной группы особенно выделяют N-метил-5,6-дигидроксииндолин, N-этил-5,6-дигидроксииндолин, N-пропил-5,6-дигидроксииндолин, N-бутил-5,6-дигидроксииндолин, в частности, 5,6-дигидроксииндолин.
Далее, замечательно подходящими в качестве первичной стадии аналогичных натуральным красителей для волос являются производные 5,6-дигидроксииндола формулы (IVb)

где независимо друг от друга R1 означает водород, алкильную группу с 1-4 атомами углерода или гидроксиалкильную группу с 1-4 атомами углерода,
R2 означает водород или группу -СООН, причем группа -СООН также может быть представлена в виде соли с физиологически приемлемым катионом,
R3 означает водород или алкильную группу с 1-4 атомами углерода,
R4 означает водород, алкильную группу с 1-4 атомами углерода или группу -CO-R6, в которой R6 означает алкильную группу с 1-4 атомами углерода, и
R5 означает названные для R4 группы,
а также физиологически приемлемые соли этих соединений с органическими или неорганическими кислотами.
Особенно предпочтительными производными индола являются 5,6-дигидроксииндол, N-метил-5,6-дигидроксииндол, N-этил-5,6-дигидроксииндол, N-пропил-5,6-дигидроксииндол, N-бутил-5,6-дигидроксииндол, 5,6-дигидроксииндол-2-карбоновая кислота, 6-гидроксииндол, 6-аминоиндол и 4-аминоиндол.
Среди данной группы особенно выделяют N-метил-5,6-дигидроксииндол, N-этил-5,6-дигидроксииндол, N-пропил-5,6-дигидроксииндол, N-бутил-5,6-дигидроксииндол, а также, в частности, 5,6-дигидроксииндол.
В красителях, применяемых в рамках предложенного согласно изобретению способа, производные индолина и индола могут быть использованы как в виде свободных оснований, так и в форме своих физиологически приемлемых солей с неорганическими или органическими кислотами, например гидрохлоридов, сульфатов или гидробромидов. Такие красители содержат обычно производные индола или индолина в количествах от 0,05 до 10 мас.%, предпочтительно от 0,2 до 5 мас.%.
В следующем варианте осуществления согласно изобретению может быть предпочтительно использование производного индолина или индола в красителях для волос в комбинации с, по крайней мере, одной аминокислотой или олигопептидом. Аминокислотой является предпочтительно -аминокислота; совершенно предпочтительно -аминокислотами являются аргинин, орнитин, лизин, серин и гистидин, в частности аргинин.
Наряду с другими предшественниками красителей предложенные согласно изобретению красящие средства для подцветки могут содержать один или несколько прямых красителей. Прямыми красителями являются обычные нитрофенилендиамины, нитроаминофенолы, азокрасители, антрахиноны или индофенолы. Предпочтительными прямыми красителями являются соединения, известные под международными названиями или торговыми названиями, НС желтый 2, НС желтый 4, НС желтый 5, НС желтый 6, основной желтый 57, НС оранжевый 1, дисперсный оранжевый 3, НС красный 1, НС красный 3, НС красный 13, НС красный BN, основной красный 76, НС голубой 2, НС голубой 12, дисперсный голубой 3, основной голубой 7, основной голубой 26, основной голубой 99, НС фиолетовый 1, дисперсный фиолетовый 1, дисперсный фиолетовый 4, основной фиолетовый 2, основной фиолетовый 14, кислотный фиолетовый 43, дисперсный черный 9, кислотный черный 52, основной коричневый 16 и основной коричневый 17, а также 1,4-бис-( -гидроксиэтил)-амино-2-нитробензол, 3-нитро-4-( -гидроксиэтил)-аминофенол, 4-амино-2-нитродифениламин-2′-карбоновая кислота, 6-нитро-1,2,3,4-тетрагидрохиноксалин, 2-гидрокси-1,4-нафтохинон, гидроксиэтил-2-нитротолуидин, пикраминовая кислота, 2-амино-6-хлор-4-нитрофенол, 4-этиламино-3-нитробензойная кислота и 2-хлор-6-этиламино-1-гидрокси-4-нитробензол.
Предложенные согласно изобретению средства согласно данному варианту осуществления содержат прямые красители предпочтительно в количестве от 0,01 до 20 мас.%, в расчете на все красящее средство.
Кроме того, предложенные согласно изобретению композиции также содержат красители природного происхождения, такие, которые, например, содержатся в красной хне, нейтральной хне, черной хне, цветках ромашки, сандаловом дереве, черном чае, коре крушины, шалфее, синем сандале, корне марены, катеху, Sedre и корне хны.
Нет необходимости в том, чтобы предшественники окислительных красителей или прямые красители являлись соответственно единообразными соединениями. Напротив предложенные согласно изобретению красящие средства, ограниченные способом получения для отдельных красителей, могут содержать дополнительно в определенных количествах другие компоненты, если они не оказывают неблагоприятного влияния на результат окрашивания или по другим причинам, например токсикологическим.
Кроме того, относительно красителей, используемых в предложенных согласно изобретению красящих средствах и оттеночных средствах для волос, обязательна ссылка на монографию Ch. Zviak, Yhe Science of Hair Care, том 7 (стр.248-250; прямые красители), а также том 8 (стр.264-267; предшественники окислительных красителей), выпущенный в виде тома 7 серии “Dermatology” (производитель: Ch., Culnan и Maibach), издательство Marcel Dekker Inc., Нью-Йорк, Базель, 1986, а также “Europäische Inventar der Kosmetik-Rohstoffe”, изданная европейским сообществом, доступная в форме дискет Федерального союза немецких промышленных и коммерческих предприятий для лекарственных средств, рациональных товаров и средств личной гигиены (зарегистрированный союз, Мангейм).
Далее, предложенные согласно изобретению красящие средства могут содержать все, известные для таких композиций, активные вещества, добавки и вспомогательные вещества. В большинстве случаев красящие средства содержат, по крайней мере, одно поверхностно-активное вещество, причем в принципе пригодными являются как анионные, так и цвиттер-ионные, амфолитические, неионные и катионные поверхностно-активные вещества. Однако в большинстве случаев предпочтительно поверхностно-активные вещества выбирают из анионных, цвиттер-ионных или не ионных поверхностно-активных веществ.
В качестве анионных поверхностно-активных веществ подходящими в предложенных согласно изобретению композициях являются все анионные поверхностно-активные вещества, подходящие для использования на человеческом теле. Они отличаются способствующей растворению в воде анионной группой, такой как, например, группа карбоксилата, сульфата, сульфоната или фосфата, и липофильной группой алкила с примерно 10-22 атомами углерода. Дополнительно в молекуле могут присутствовать группы простого гликолевого или полигликолевого эфира, группы сложных эфиров, простых эфиров и группы амидов, а также группы гидроксила. Подходящими анионными поверхностно-активными веществами являются, например, соответственно в форме соли натрия, калия и аммония, а также соли моно-, ди- и триалканоламмония с 2 или 3 атомами углерода в группе алканола, представляющие следующие:
– неразветвленные жирные кислоты с 10-22 атомами углерода (мыла),
– простые эфиры карбоновых кислот формулы R-O-(СН2-СН2О)x -CH2-СООН, в которой R означает неразветвленную алкильную группу с 10-22 атомами углерода и х=0 или 1-16,
– ацилсаркозиды с 10-18 атомами углерода в группе ацила,
– ацилтауриды с 10-18 атомами углерода в группе ацила,
– ацилизетионаты с 10-18 атомами углерода в группе ацила,
– сложные моно- и диалкиловые эфиры сульфоянтарной кислоты с 8-18 атомами углерода в алкильной группе и сложные моноалкилполиоксиэтиловые эфиры сульфоянтарной кислоты с 8-18 атомами углерода в алкильной группе и 1-6 группами оксиэтила,
– неразветвленные алкансульфонаты с 12-18 атомами углерода,
– неразветвленные альфа-олефинсульфонаты с 12-18 атомами углерода,
– сложные метиловые эфиры альфа-сульфожирной кислоты на основе жирных кислот с 12-18 атомами углерода,
– алкилсульфаты и сульфаты алкилполигликолевого эфира формулы R-O(СН2-СН2O)x-SO3Н, в которой R предпочтительно означает неразветвленную алкильную группу с 10-18 атомами углерода и х=0 или 1-12,
– смеси поверхностно-активных гидроксисульфонатов согласно немецкой заявке на патент DE-A-3725030,
– сульфатированные простые гидроксиалилполиэтиленгликолевые и/или гидроксиалкиленпропиленгликолевые эфиры согласно немецкой заявке на патент DE-A-3723354,
– сульфонаты ненасыщенных жирных кислот с 12-24 атомами углерода и 1-6 двойными связями согласно немецкой заявке на патент DE-A-3926344,
– сложные эфиры винной кислоты и лимонной кислоты со спиртами, продукты присоединения примерно 2-15 молекул этиленоксида и/или пропиленоксида к жирным спиртам с 8-22 атомами углерода.
Предпочтительными анионными поверхностно-активными веществами являются алкилсульфаты, сульфаты алкилполигликолевого эфира и простые эфиры карбоновых кислот с 10-18 атомами углерода в алкильной группе и до 12 групп простого гликолевого эфира в молекуле, а также, в частности, соли насыщенных, в частности ненасыщенных карбоновых кислот с 8-22 атомами углерода, такие как масляная кислота, стеариновая кислота, изостеариновая кислота и пальмитиновая кислота.
Неионные поверхностно-активные вещества содержат в качестве гидрофильной группы, например, группу полиола, группу простого полиалкиленгликолевого эфира или комбинацию из группы полиола и группы простого полигликолевого эфира. Такими соединениями являются, например
– продукты присоединения 2-30 моль этиленоксида и/или 0-5 моль пропиленоксида к неразветвленным жирным спиртам с 8-22 атомами углерода, к жирным кислотам с 12-22 атомами углерода и к алкилфенолам с 8-15 атомами углерода в алкильной группе,
– сложные моно- и диэфиры жирных кислот с 12-22 атомами углерода на основе продуктов присоединения 1-30 моль этиленоксида к глицерину,
– алкилмоногликозиды и алкилолигогликозиды с 8-22 атомами углерода и их этоксилированные аналоги, а также
– продукты присоединения 5-60 моль этиленоксида к касторовому маслу и отвержденному касторовому маслу.
Предпочтительными неионными поверхностно-активными веществами являются алкилполигликозиды общей формулы R1O-(Z)x. Данные соединения отличаются следующими параметрами.
Остаток алкила R1 содержит 6-22 атома углерода и может быть как неразветвленным, так и разветвленным. Предпочтительными являются первичные неразветвленные и в положении 2 разветвленные метилом алифатические остатки. Такими остатками алкила являются, например, 1-октил, 1-децил, 1-лаурил, 1-миристил, 1-цетил и 1-стеарил. Особенно предпочтительными являются 1-октил, 1-децил, 1-лаурил, 1-миристил. При использовании так называемых оксоспиртов в качестве исходных веществ преобладают соединения с нечетным числом атомов углерода в алкильной цепи.
Используемые согласно данному изобретению алкилполигликозиды могут содержать, например, только один определенный алкильный остаток R1.
Однако обычно данные соединения получают из натуральных жиров и масел или минеральных масел. В этом случае в качестве алкильных остатков R представлены смеси соответственно исходных соединений или соответственно действительной переработки данных соединений.
Особенно предпочтительными являются такие алкилполигликозиды, у которых R1 состоит
– в основном из алкильных групп с 8-10 атомами углерода,
– в основном из алкильных групп с 12-14 атомами углерода,
– в основном из алкильных групп с 8-16 атомами углерода,
– в основном из алкильных групп с 12-16 атомами углерода.
В качестве сахарного элемента Z возможно использование любых моносахаридов или олигосахаридов. Обычно используют сахара с 5 или 6 атомами углерода, а также соответствующие олигосахариды. Такими сахарами являются, например, глюкоза, фруктоза, галактоза, арабиноза, рибоза, ксилоза, ликсоза, аллоза, альтроза, манноза, гулоза, идоза, талоза и сукроза. Предпочтительными сахарными элементами являются глюкоза, фруктоза, галактоза, арабиноза и сукроза; особенно предпочтительной является глюкоза.
Используемые согласно данному изобретению алкилполигликозиды содержат в разрезе от 1,1 до 5 сахарных элементов. Предпочтительными являются алкилгликозиды, у которых x составляет 1,1-1,4.
Алкилгликозиды наряду со своим поверхностно-активным действием также улучшает фиксацию ароматических компонентов на волосах. Таким образом, специалисты в данной области для получения желаемого действия ароматического масла на волосы путем продолжительной обработки волос предпочтительно используют этот класс веществ в качестве других составляющих предложенных согласно изобретению композиций.
Согласно изобретению также возможно использование алкоксилированных гомологов названных алкилполигликозидов. Данные гомологи могут содержать в среднем до 10 элементов этиленоксида и/или пропиленоксида на один элемент алкилгликозида.
Далее, возможно использование, в частности, в качестве соповерхностно-активных веществ цвиттер-ионных поверхностно-активных веществ. Под цвиттер-ионными поверхностно-активными веществами понимают такие поверхностно-активные соединения, которые в молекуле имеют, по крайней мере, одну группу четвертичного аммония, и, по крайней мере, одну группу -СОО(-) или -SO3 (-). Особенно подходящими цвиттер-ионными поверхностно-активными веществами являются так называемые бетаины, такие как N-алкил-N,N-диметиламмоний-глицинаты, например кокосалкилдиметиламмоний-глицинат, N-ациламинопропил-N,N-диметиламмоний-глицинаты, например кокосациламинопропилдиметиламмоний-глицинат, и 2-алкил-3-карбоксиметил-3-гидроксиэтилимидазолины с соответственно 8-18 атомами углерода в алкильной или ацильной группе, а также кокосациламиноэтилгидроксиэтилкарбоксиметилглицинат. Предпочтительными цвиттер-ионным поверхностно-активным веществом является производное амидов жирных кислот, известное под названием сокамидопропил бетаин (INCI).
Также, в частности, в качестве соповерхностно-активных веществ подходящими являются амфолитические поверхностно-активные вещества. Под амфолитическими поверхностно-активными веществами понимают такие поверхностно-активные соединения, которые кроме алкильной группы с 8-18 атомами углерода или группы ацила содержат в молекуле, по крайней мере, одну свободную аминогруппу и, по крайней мере, одну группу -СООН или -SO3Н и способны к образованию своих солей. Подходящими амфолитическими поверхностно-активными веществами являются, например, N-алкилглицины, N-алкилпропионовые кислоты, N-алкиламиномасляные кислоты, N-алкилиминодипропионовые кислоты, N-гидроксиэтил-N-алкиламидопропилглицины, N-алкилтаурины, N-алкилсаркозины, 2-алкиламинопропионовые кислоты и алкиламиноуксусные кислоты, имеющие соответственно около 8-18 атомов углерода в алкильной группе. Особенно предпочтительными амфолитическими поверхностно-активными веществами являются N-кокосалкиламинопропионат, кокоса-циламиноэтиламинопропионат и ацилсаркозин с 12-18 атомами углерода.
Согласно изобретению в качестве катионных поверхностно-активных веществ используют, в частности, типа соединений четвертичных аминов, сложных четвертичных эфиров и амидоамины.
Предпочтительными соединениями четвертичных аминов являются галогениды аммония, в частности хлориды и бромиды, такие как хлориды алкилтриметиламмония, хлориды диалкилдиметиламмония и хлориды триалкилметиламмония, например хлорид цетилтриметиламмония, хлорид стеарилтриметиламмония, хлорид дистеарилдиметиламмония, хлорид лаурилдиметиламмония, хлорид лаурилдиметилбензиламмония и хлорид трицетилметиламмония, а также соединения имидазолия, известные под названием кватерний-27 и кватерний-83 (INCI). Длинные алкильные цепи вышеназванных поверхностно-активных веществ имеют предпочтительно 10-18 атомов углерода.
При сложных четвертичных эфирах речь идет об известных веществах, которые содержат как, по крайней мере, одну функциональную группу сложного эфира, так и, по крайней мере, одну четвертичную группу аммония в качестве структурного элемента.
Предпочтительными сложными четвертичными эфирами являются кватернированные эфирные соли жирных кислот с триэтаноламином, кватернированные эфирные соли жирных кислот с диэтанолалкиламинами и кватернированные эфирные соли жирных кислот с 1,2-дигидроксипропилдиалкиламинами. Такие продукты выпускаются, например, под торговыми марками Stepantex®, Dehyquart® и Armocare®. Такими сложными четвертичными эфирами являются, например, продукты Armocare® VGH-70, хлорид N,N-бис-(2-пальмитоилоксиэтил)диметиламмония, а также Dehyquart® F-75 и Dehyquart® AU-35.
Алкиламидоамины получают обычно амидированием природных или синтетических жирных кислот и разрезов жирных кислот с диалкиламиноаминами. Согласно изобретению особенно подходящее соединение из этой группы представляет стеарамидопропилдиметиламин, коммерчески доступный под названием Tegoamid® S18.
Следующие, используемые согласно изобретению катионные поверхностно-активные вещества представляют кватернированные гидролизаты протеина.
Согласно изобретению также подходящими являются катионные силиконовые масла, такие как, например, коммерчески доступные продукты Q2-7224 (производитель: Dow Corning, стабилизированный триметилсилиламидиметикон), эмульсия Dow Corning 929 (содержит гидроксиламиномодифицированный силикон, который также обозначается как амидиметикон), SM-2059 (производитель: General Electric), SLM-55067 (производитель: Wacker), а также Abil®-Quat 3270 и 3272 (производитель: Th. Goldschmidt; дичетвертичные полидиметилсилоксаны, Quaternium-80).
Четвертичным сахарным производным, используемым в качестве катионного поверхностно-активного вещества, является, например, торговый продукт Glucquat® 100, согласно номенклатуре INCI “Lauryl Methil Glucetn-10 Hydroxypropyl Dimonium Chloride”.
Под используемыми в качестве поверхностно-активных веществ соединениями с алкильными группами понимают соответственно однородные вещества. Однако, как правило, предпочтительно при получении этих веществ исходными продуктами является натуральное растительное или животное сырье, так что получают смесь веществ с алкильными цепями различной длины, зависящей от соответствующего сырья.
При поверхностно-активных веществах, представляющих продукты присоединения этиленоксида и/или пропиленоксида к жирным спиртам или производные таких продуктов присоединения, возможно использование как продуктов с «нормальным» распределением гомологов, так и с узким распределением гомологов. При этом под «нормальным» распределением гомологов понимают смеси гомологов, которые получают превращением жирных спиртов и алкиленоксида при использовании щелочных металлов, гидроксидов щелочных металлов или алкоголятов щелочных металлов в качестве катализаторов. Узкое распределение гомологов получают же, если в качестве катализаторов используют, например, гидроталциты, соли щелочноземельных металлов простых эфиров карбоновых кислот, оксиды, гидроксиды щелочноземельных металлов или алкоголяты щелочноземельных металлов. Может быть предпочтительным использование продуктов с узким распределением гомологов.
Кроме того, предложенные согласно изобретению красящие средства могут содержать следующие активные вещества, вспомогательные вещества и добавки, такие как, например
– неионные полимеры, такие как, например, сополимеры винилпирролидона/винилакрилата, сополимеры поливинилпирролидона и винилпирролидона/винилацетата и полисилоксаны,
– катионные полимеры, такие как кватернированный простой эфир целлюлозы, полисилоксаны с четвертичными группами, полимеры хлорида диметилдиаллиламмония, сополимеры хлорида акриламиддиметилдиаллиламмония, диэтилсульфатом кватернированные сополимеры диметиламиноэтилметакрилата/винилпирролидона, сополимеры винилпирролидона метохлорида и имдазолиния и кватернированный поливиниловый спирт,
– цвиттер-ионные и амфотерные полимеры, такие как, например, сополимеры акриламидопропила-хлорида триметиламмония/акрилата и сополимеры октилакриламида/метилметакрилата/трет-бутиламиноэтилметакрилата/2-гидроксипропилметакрилата,
– анионные полимеры, такие как, например, полиакриловые кислоты, сшитые полиакриловые кислоты, сополимеры винилацетата/кротоновой кислоты, сополимеры винилпирролидона/винилакрилата, сополимеры винилацетата/бутилмалеата/изоборнилакрилата, сополимеры простого метилвинилового эфира/ангидрида малеиновой кислоты и тройные сополимеры акриловой кислоты/этилакрилата/N-трет-бутилакриламида,
– загустители, такие как агар-агар, гуаровая смола, альгинаты, ксантановая смола, гуммиарабик, камедь стеркулии жгучей, рожковая мука, камедь льняного семени, дексатраны, производные целлюлозы, например метилцеллюлоза, гидроксиалкилцеллюлоза и карбонилметилцеллюлоза, фракции крахмалов и производные, такие как амилоза, амилопектин и декстрины, глины, такие как, например, бентонит или полностью синтетические гидроколлоиды, такие как, например, поливиниловый спирт,
– структурообразователи, такие как малеиновая кислота и молочная кислота,
– соединения для кондиционирования волос, такие как фосфолипиды, например соевый лецитин, яичный лецитин и кефалины,
– протеиновые гидролизаты, в частности гидролизаты эластина, коллагена, кератина, молочного белка, соевого протеина и пшеничного протеина, продукты их конденсации с жирными кислотами, а также кватернизированные протеиновые гидролизаты,
– парфюмерные масла, диметилизосорбит и циклодекстрины,
– растворители и вещества, способствующие растворению, такие как этанол, изопропанол, этиленгликоль, пропиленгликоль, глицерин и диэтиленгликоль,
– активные вещества, улучшающие структуру волос, в частности моносахариды, дисахариды и олигосахариды, такие как, например, глюкоза, галактоза, фруктоза, фруктовый сахар и лактоза,
– кватернированные амины, такие как метил-1-алкиламидоэтил-2-алкилимидазолиний-метосульфат,
– антивспениватели, такие как силикон,
– красители для окрашивания средств,
– активные вещества против отслаивания, такие как пироктон оламин, цинк омадин и климбазол,
– светостабилизаторы, в частности производные бензофенона, производные коричной кислоты и триазины,
– вещества для регулирования значения рН, такие как, например, обычные кислоты, в частности пищевые кислоты и основания,
– активные вещества, такие как аллантоин, пирролидонкарбоновые кислоты и их соли, а также бисаболол,
– витамины, провитамины и первичные стадии витаминов, в частности, групп А, В3, B5, B6, C, E, F и H,
– растительные экстракты из зеленого чая, коры дуба, крапивы, гамамелиса, хмеля, ромашки, корня репейника, хвоща, боярышника, цветков липы, миндаля, алоэ вера, игл ели, конского каштана, сандалового дерева, можжевельника, кокоса, манго, абрикоса, лимона, пшеницы, киви, дыни, апельсина, грейпфрута, шалфея, розмарина, березы, мальвы, сердечника лугового, тимьяна обыкновенного, тысячелистника, тимьяна, мелиссы, стальника полевого, мать-и-мачехи, алтея аптечного, меристемы, женьшеня и имбирного корня,
– холестерин,
– регуляторы консистенции, такие как сложные эфиры сахара, сложные полиоловые эфиры или простые полиолалкиловые эфиры,
– жиры и воски, такие как спермацет, пчелиный воск, горный воск и парафины,
– алканоламиды жирных кислот,
– комплексообразователи, такие как, этилендиаминтетрауксусная кислота (EDTA), нитротриуксусная кислота (NTA), -аланиндиуксусная кислота и фосфоновые кислоты,
– набухающие и проникающие вещества, такие как глицерин, простой пропиленгликольмоноэтиловый эфир, карбонаты, гидрокарбонаты, гуанидины, мочевины, а также первичные, вторичные и третичные фосфаты,
– вещества, обуславливающие помутнение, такие как латекс, сополимеры стирола/ПВП и стирола/акриламида,
– агенты с перламутровым блеском, такие как этиленгликольмоностеарат и этиленгликольдистеарат, а также ПЭГ-3-дистеарат,
– пигменты,
– стабилизаторы для перекиси водорода и других окислителей,
– вспенивающие агенты, такие как смеси пропана-бутана, N2O, простой диметиловый эфир, СО2 и воздух,
– антиокислители.
Относительно других факультативных компонентов, а также используемых количеств этих компонентов обязательная ссылка на известные специалисту в данной области специальные справочники, например, B.Kh.Schrader, Grundlagen und Rezepturen der Kosmetika, 2. Auflage, Hüthig Buch Verlag, Heidelberg, 1989.
Предложенные согласно изобретению средства содержат предшественники красителей предпочтительно в подходящем водном, спиртовом или водно-спиртовом носителе. Для цели окрашивания волос используются такие носители, как, например, кремы, эмульсии, гели или также содержащие поверхностно-активные вещества, пенящиеся растворы, как, например, шампуни, пенные аэрозоли или другие композиции, которые являются подходящими для использования на волосах. Однако также возможно введение предшественников красителей в порошкообразные препаративные формы, а также в препаративные формы в виде таблеток.
Под водно-спиртовыми растворами в рамках предложенного изобретения понимают водные растворы, содержащие от 3 до 70 мас.% спирта с 1-4 атомами углерода, в частности этанол или изопропанол. Предложенные согласно изобретению средства могут содержать дополнительно следующие органические растворители, такие как, например, метоксибутанол, бензиловый спирт, этилдигликоль или 1,2-пропиленгликоль. Причем предпочтительными являются все водорастворимые органические растворители.
Непосредственное окислительное окрашивание волокон может происходить в принципе с кислородом воздуха. Однако предпочтительно использование химического окислителя, особенно в том случае, если наряду с окрашиванием желателен осветляющий эффект на человеческие волосы. В качестве окислителя используют персульфаты, хлориды и, в частности, перекись водорода или их продукты присоединения к мочевине, меламину, а также борату натрия. Однако согласно изобретению окислительный краситель также может быть нанесен на волосы вместе с катализатором, который активирует окисление предшественников красителей, например, посредством кислорода воздуха. Такими катализаторами являются, например, ионы металлов, иодиды, хиноны или определенные ферменты.
Подходящими ионами металлов являются, например, Zn2+, Cu2+, Fe2+, Fe3+, Mn2+, Mn4+, Li+, Mg2+, Ca2+и Al3+. Причем особенно подходящими являются Zn2+, Cu2+и Mn2+. В принципе ионы металлов могут использоваться в форме любой, физиологически приемлемой соли или в форме комплексного соединения. Предпочтительными солями являются ацетаты, сульфаты, галогениды, лактаты и тартраты. Благодаря использованию данных солей металлов возможно как ускорение образования цвета, так и целенаправленное влияние на цветовые нюансы.
Подходящими ферментами являются, например, пероксидазы, которые могут отчетливо усиливать действие небольших количеств перекиси водорода. Далее, согласно изобретению являются подходящими такие ферменты, которые непосредственно окисляют предшественники окислительных красителей с помощью кислорода воздуха, как, например, лакказы, или производят небольшие количества перекиси водорода in situ и таким образом биокаталитически активируют окисление предшественников красителей. Особенно подходящими катализаторами для окисления предшественников красителей являются так называемые оксидоредуктазы с 2 электронами в комбинации со специальными субстратами, например
– пираноза-оксидаза и, например, D-глюкоза или галактоза,
– глюкоза-оксидаза и D-глюкоза,
– глицерин-оксидаза и глицерин,
– пируват-оксидаза и бензвиноградная кислота или ее соли,
– спирт-оксидаза и спирт (МеОН, EtOH),
– лактат-оксидаза и молочная кислота и ее соли,
– тирозиназа-оксидаза и тирозин,
– уриказа и мочевая кислота или ее соли,
– холиноксидаза и холин,
– аминокислота-оксидаза и аминокислоты.
Целесообразно получение непосредственного красителя для волос прямо перед применением путем смешивания композиции окислителя с композицией, содержащей предшественники красителей. Полученный при этом, готовый к применению препарат для окраски волос предпочтительно должен иметь значение рН в пределах от 6 до 12. Особенно предпочтительно применение красителя для волос в слабощелочной окружающей среде. Температура применения может находиться в пределах между 15 и 40°С. После окончания времени воздействия от 5 до 45 минут краситель смывают с окрашенных волос. Дополнительная промывка шампунем не нужна, если используют насыщенный поверхностно-активными веществами носитель, например красящий шампунь.
В частности, при трудно окрашиваемых волосах возможно нанесение на волосы композиции с предшественниками красителей, но без предыдущего смешивания с окислительными компонентами. Затем после окончания времени воздействия от 20 до 30 минут (при необходимости, после дополнительно промывания) наносят окислительные компоненты. Затем после окончания следующего времени воздействия от 10 до 20 минут смывают и при желании дополнительно моют шампунем. При данной форме применения согласно первому варианту, при котором предварительное нанесение красящих предшественников должно вызывать лучшее проникновение в волосы, соответствующее средство устанавливает значение рН около 4-7. Согласно второму варианту вначале добиваются окисления кислородом воздуха, при этом применяемое средство предпочтительно демонстрирует значение рН от 7 до 10. При последующем ускоряющем дополнительном окислении может быть предпочтительно использование подкисляющих растворов пероксидных сульфатов в качестве окислителя.
Вторым объектом предложенного изобретения является применение предложенных согласно изобретению средств для окрашивания кератиновых волокон.
Третьим объектом предложенного изобретения является способ окраски кератиновых волокон, согласно которому предложенное согласно изобретению средство наносят на волосы и после окончания времени воздействия снова смывают.
Четвертым объектом предложенного изобретения являются производные п-фенилендиамина формулы (I)

где А означает разветвленную или неразветвленную группу алкилена с 1-6 атомами углерода, которая может иметь один или несколько заместителей, выбираемых из гидроксигруппы (гидроксигрупп) и атома (атомов) галогена,
Х означает, при необходимости, замещенный остаток имидазолила формулы (III)

R1, R2 и R3 независимо друг от друга означают атом водорода, алкильную группу с 1-4 атомами углерода, моногидроксиалкильную группу с 1-4 атомами углерода или полигидроксиалкильную группу с 2-6 атомами углерода,
R4 и R5 независимо друг от друга означают атом водорода, алкильную группу с 1-4 атомами углерода, алкоксигруппу с 1-4атомами углерода, моногидроксиалкильную группу с 1-4 атомами углерода, полигидроксиалкильную группу с 2-4 атомами углерода или атом галогена и
R7 означает атом водорода, алкильную группу с 1-4 атомами углерода, моногидроксиалкильную группу с 1-4 атомами углерода, полигидроксиалкильную группу с 2-4 атомами углерода или атом галогена.
Особенно предпочтительным производным п-фенилендиамина формулы (I) является (4-аминофенил)(2-(имидазол-5-ил)этил)амин формулы (IIIa).
Примеры осуществления
А. Получение соединений
1. Получение (4-аминофенил)(2-(имидазол-5-ил)этил)амина (Е1)
1.1. Получение (4-нитрофенил)(2-(имидазол-5-ил)этил)амина
В 500 мл трехгорлую колбу помещают 100 мл диметилсульфоксида (ДМСО) и смешивают с 30,9 г триэтиламина, 18,4 г дигидрохлорида гистамина и 14,4 г 1-фтор-4-нитробензола. Композицию перемешивают в течение 10 часов при температуре 80°С, затем смешивают с 20 мл воды и снова перемешивают в течение 3 часов при температуре 80°С. В заключение смесь охлаждают до комнатной температуры и выливают на 1 л льда. Полученный осадок вытягивают и сушат в вакууме при температуре 50°С, при этом получают 20,8 г полупродукта.
Для очистки 20,1 г полупродукта трижды кипятят с соответственно 400 мл ацетона и фильтруют, при этом получают нерастворимый остаток. Объединенные растворы ацетона концентрируют в целом до 400 мл и выкристаллизовывают в течение ночи при температуре 5°С. Полученные кристаллы сушат в вакууме при температуре 50°С.
Выход 15,2 г (65%).
Температура расплава 177-223°С.
1.2. Получение трихлорида (4-аминофенил)(2-(имидазол-5-ил)этил)-
амина (E1)
14,4 г (4-нитрофенил)(2-(имидазол-5-ил)этил)амина растворяют в 400 мл этанола, смешивают с 1,0 г Pd/C (5%-ным) и в вибрационном устройстве, содержащим водород, проводят каталитическое восстановление при комнатной температуре и нормальном давлении. После окончания наводораживания смешивают с 10 мл 2N соляной кислоты, фильтруют и сушат в вакууме досуха. В заключение смесь сушат в вакууме при температуре 50°С.
Выход 18,6 г (96%).
Температура расплава: больше 179°С (разложение).
2. Получение (4-аминофенил)(3-(имидазол-1-ил)пропил)амина (Е2)
2.1. Получение (4-аминофенил)(3-(имидазол-1-ил)пропил)амина
В 500 мл трехгорлую колбу помещают 100 мл ДМСО и смешивают с 10,3 г триэтиламина, 12,8 г 1-(3-аминопропил)имидазола и 14,4 г 1-фтор-4-нитробензола. Композицию перемешивают в течение 12 часов при температуре 80°С, охлаждают до комнатной температуры и затем выливают на 1 л льда. Из полученного маслянистого остатка берут образец, растертый с Н2О. Затравливают полученными таким образом кристаллами и кристаллизуют в течение 1 часа при комнатной температуре. Полученный осадок вытягивают, растирают с H2О, снова вытягивают и дополнительно промывают Н2О. Для очистки полученные таким образом 28 г влажного полупродукта перекристаллизовывают из 250 мл Н2О и 114 мл этанола. Продукт сушат в вакууме при температуре 50°С.
Выход 20,1 г (81%).
Температура расплава 130-132°С.
2.2. Получение трихлорида (4-аминофенил)(3-(имидазол-1-ил)пропил)-амина (Е2)
14,4 г (4-нитрофенил)(3-(имидазолилпропил)амина растворяют в 400 мл этанола, смешивают с 1,5 г Pd/C (5%-ным) и в вибрационном устройстве, содержащим водород, проводят каталитическое восстановление при комнатной температуре и нормальном давлении. После окончания наводораживания смешивают с 130 мл 2N соляной кислоты, фильтруют и сушат в вакууме досуха, причем несколько раз снова растворяют в этаноле. Полученное таким образом масло частично кристаллизуется в течение 4 дней при температуре 5°С. После обработки продукт декантируют простым метил-трет-бутиловым эфиром. В заключение смесь сушат в вакууме при температуре 50°С.
Выход 22,1 г (90%).
Температура расплава больше 231°С (разложение).
3. Получение тригидрохлорида (4-амино-3-метилфенил)(3-(имидазол-1-ил)пропил)амина (Е3)
3.1. Получение (4-нитро-3-метилфенил)(3-(имидазол-1-ил)пропил)амина
В 500 мл трехгорлую колбу помещают 150 мл диметилсульфоксида и смешивают с 22,6 г триэтаноламина (66%-ного), 28,7 г 1-(3-аминопропил)-имидазола и 24,2 г 5-фтор-2-нитротолуола (96%-ного). Композицию перемешивают в течение 17 часов при температуре 80°С. В конце исходную смесь охлаждают до комнатной температуры и выливают на 1 л льда, при этом выпадает желтое масло, которое затем перекристаллизовывают в течение около 1 часа. Полученный таким образом осадок вытягивают, промывают водой и сушат в вакууме при температуре 40°С.
Выход 38 г (98%).
Температура расплава 135-138°С.
3.2. Получение трихлорида (4-амино-3-метилфенил)(3-(имидазол-1-ил)пропил)амина (Е3)
36,4 г N-(3-имидазол-1-илпропил)-4-нитроанилина суспендируют в 400 мл этанола, смешивают с 2,5 г Pd/C (5%-ным) и в вибрационном устройстве, содержащим водород, проводят каталитическое восстановление в течение 3 часов. После окончания наводораживания смешивают с 200 мл разбавленной HCl, осадок фильтруют и фильтрат сушат в вакууме досуха.
Выход 42 г (88%).
Температура расплава 155°С (разложение).
В. Окрашивание
Для приведенных ниже окрашиваний применяют вышеописанные согласно
изобретению проявляющие компоненты Е1, Е2 и Е3.
1. Окрашивания стандартным красящим кремом
Для получения красящего крема 50 г кремовой основы помещают в 250 мл химический стакан и расплавляют при температуре 80°С. Используемая кремовая основа имеет следующую препаративную форму, мас.%:
| Hydrenol® D1 |
17,0 |
| Lorol® tech2 |
4,0 |
| Texapon® NSO3 |
40,0 |
| Dehyton® К4 |
25,0 |
| Eumulgin® B25 |
1,5 |
| Вода |
126 |
1 жирный спирт с 16-18 атомами углерода (INCI-название: цетеариловый спирт) (Cognis),
2 жирный спирт с 16-18 атомами углерода (INCI-название: кокосовый спирт) (Cognis),
3 сульфат простого лаурилового эфира, натриевая соль (около 27% активного вещества; INCI-название: лорет сульфат натрия) (Cognis),
4 ацетобетаин N,N-диметил-N-(С8-18-кокосамидопропил)аммония (около 30% активного вещества; INCI-название: Aqua (вода), сокамидопропил бетаин) (Cognis),
5 цетилстеариловый спирт, содержащий около 20 элементов этиленоксида (INCI-название: цетеарет-20) (Cognis).
Предшественников красителей суспендируют соответственно раздельно в дистиллированной воде или растворяют при нагревании. Затем добавляют аммиак (меньше 1 мл; 25%-ный раствор аммиака) до установления значения рН между 9 и 10. В результате добавления аммиака получают раствор.
Растворенные предшественники красителей последовательно вводят в горячий крем. Затем добавляют 97 г дистиллированной воды и с помощью аммиака устанавливают значение рН 9,5. После добавления 100 г дистиллированной воды исходную смесь перемешивают при пониженной температуре (меньше 30°С), при этом получают однородный крем.
Для различных окрашиваний крем разбавляют, как указано ниже:
Окисление кислородом воздуха: 25 г крема + 25 г дистиллированной воды.
Окисление 1 мас.% Н2O2: 25 г крема + 25 г водного раствора 1 мас.% Н2O2.
Окисление 3 мас.% H2O2: 25 г крема + 25 г водного раствора 3 мас.% Н2O2.
Окисление 9 мас.% Н2O2: 25 г крема + 25 г водного раствора 9 мас.% Н2O2.
В каждую из полученных таким образом композиций помещают прядь волос (седина 80%, вес 330-370 мг). Затем композиции и пряди волос помещают на соответственно часовое стекло и пряди волос хорошо укладывают в красящий крем. Время воздействия составляет 30 минут (±1 минута) при комнатной температуре, затем пряди волос извлекают и промывают водным раствором Texapon® EVR6, до тех пор пока не будет удален избыток краски. Пряди волос сушат на воздухе и их цветовой тон определяют и фиксируют при лампе дневного света (цветовой тестер НЕ240А) (Taschenlexikon der Farben, A.Kornerup u. J.H.Wanscher, 3. unveränderte Auflage 1981, MUSTER-SCHMIDT Verlag; Zürich, Göttingen).
6 натриевая соль сульфата простого лаурилового эфира со специальными добавками (около 34-37% содержания активного вещества; INCI-название: лаурилсульфат натрия, лауретсульфат натрия, лаурамид MIPA, сокамид МЕА, гликоль стеарат, лаурет-10) (Cognis).
Результаты, полученные при исследованиях по окрашиванию волос, приводят в нижеследующих таблицах.
1.1. Окрашивание с использованием цветообразующих компонентов
При следующих окрашиваниях предложенные согласно изобретению проявляющие компоненты используют в молярном отношении 1:1 к цветообразующим компонентам. Используют соответственно 1/400 моль проявляющего или цветообразующего компонента.
Используют следующие цветообразующие компоненты:
К1: резорцин
К2: 3-амино-6-метокси-2-(метиламино)пиридин × 2 HCl
К3: 5-амино-2-метилфенол
К4: 2-амино-3-гидроксипиридин
К5: 1,3-бис-(2,4-диаминофенокси)пропан × 4HCl
К6: 2,7-дигидроксинафталин
К7: 1-гидроксинафталин
1.1.1. Окрашивание при окислении кислородом воздуха
| Цветообразователь |
Проявитель |
| Е1 |
Е2 |
| К1 |
оливково-коричневый |
цвет нуги |
| К2 |
грязно-серый |
оливково-коричневый |
| К3 |
пурпурно-серый |
серо-коричневый |
| К4 |
серо-фиолетовый |
серо-фиолетовый |
| К5 |
серо-голубой |
бледно-голубой |
| К6 |
желтый как лен |
коричнево-оранжевый |
Окрашивание 1%-ным водным раствором H2O2
| Цветообразователь |
Проявитель |
| Е1 |
Е2 |
| К1 |
серо-коричневый |
коричневый как негр |
| К2 |
темно-синий |
темно-синий |
| К3 |
темно-фиолетовый |
темно-фиолетовый |
| К4 |
темно-пурпурный |
темно-пурпурный |
| К5 |
темно-синий |
темно-синий |
| К6 |
бурый |
цвет нутрии |
| К7 |
не определенно |
цвет морской волны |
1.1.2. Окрашивания 3%-ным водным раствором H2O2
| Цветообразователь |
Проявитель |
| Е3 |
| К1 |
оливково-коричневый |
| К2 |
темно-зеленый |
| К3 |
темно-фиолетовый |
| К4 |
цвет тикового дерева |
| К5 |
темно-синий |
| К6 |
оливково-коричневый |
1.1.3. Окрашивания 9%-ным водным раствором H2O2
| Цветообразователь |
Проявитель |
| Е1 |
Е2 |
| К1 |
серо-коричневый |
грязно-коричневый |
| К2 |
синий как чернила |
голубовато-серый |
| К3 |
темно-фиолетовый |
темно-фиолетовый |
| К4 |
красно-коричневый |
темно-коричневый |
| К5 |
темно-синий |
темно-синий |
| К6 |
серый |
оливковый |
1.2. Окрашивания предложенного согласно изобретению проявляющего компонента Е2 с другими проявляющими компонентами, а также цветообразующими компонентами
При следующих окрашиваниях количественные соотношения различных компонентов выбирают таким образом, чтобы соотношение обоих проявляющих компонентов составляло 1:1 и соотношение суммы проявляющих компонентов и цветообразующих компонентов также составляло 1:1. В целом используют соответственно 1/400 моль проявляющих компонентов и 1/400 моль цветообразующих компонентов. Цветообразующие компоненты определены, как указано выше.
Используют следующие другие проявляющие компоненты:
Е4: 1-( -гидроксиэтил)-2,5-диаминобензол · H2SO4
Е5: 3-метил-4-аминофенол
Е6: 2,4,5,6-тетрааминопиримидин · H2SO4
Е7: 1-( -гидроксиэтил)-2,5-диаминопиразол · H2SO4
1.2.1. Окрашивания при окислении кислородом воздуха
| Цветообразователь |
Проявляющие компоненты |
| Е4 |
Е5 |
Е6 |
Е7 |
| К1 |
коричнево-оранжевый |
цвет нуги |
светло-коричневый |
бледно-красный |
| К2 |
серый |
оливково-коричневый |
темно-зеленый |
серо-коричневый |
| К3 |
серо-коричневый |
серо-коричневый |
бледно-фиолетовый |
красно-коричневый |
| К4 |
серо-коричневый |
серый |
серо-коричневый |
серо-коричневый |
| К5 |
голубовато-серый |
голубовато-серый |
темно-синий |
темно-синий |
| К6 |
цвет нуги |
желтый как лен |
серо-коричневый |
цвет нуги |
1.2.2. Окрашивания 1%-ным водным раствором H2O2
| Цветообразователь |
Следующие проявляющие компоненты |
| Е4 |
Е5 |
Е6 |
Е7 |
| К1 |
коричневый как негр |
каштановый |
темно-коричневый |
фиолетово-коричневый |
| К2 |
темно-синий |
темно-зеленый |
зеленый как джунгли |
темно-фиолетовый |
| К3 |
темно-пурпурный |
серо-рубиновый |
темно-фиолетовый |
фиолетово-коричневый |
| К4 |
красно-коричневый |
красно-коричневый |
серо-коричневый |
красный как портвейн |
| К5 |
темно-синий |
темно-синий |
темно-синий |
темно-фиолетовый |
| К6 |
серо-коричневый |
белесый |
бронзовый |
каштановый |
1.2.3. Окрашивания 9%-ным водным раствором H2O2
| Цветообразователь |
Проявляющие компоненты |
| Е4 |
Е5 |
Е6 |
Е7 |
| К1 |
шоколадно-коричневый |
оливково-коричневый |
темно-коричневый |
ярко-коричневый |
| К2 |
голубовато-серый |
зеленый как никель |
темно-зеленый |
темно-фиолетовый |
| К3 |
темно-пурпурный |
серо-рубиновый |
темно-фиолетовый |
фиолетово-коричневый |
| К4 |
сомали |
рыжеватый |
коричневый |
темно-коричневый |
| К5 |
темно-синий |
темно-синий |
темно-синий |
темно-фиолетовый |
| К6 |
нутрия |
белесый |
оливково-коричневый |
оливково-коричневый |
1.3. Окрашивания предложенного согласно изобретению проявляющего компонента Е1 с другими проявляющими компонентами, а также стандартными цветообразующими компонентами
При следующих окрашиваниях количественные соотношения различных компонентов выбирают таким образом, чтобы соотношение обоих проявляющих компонентов составляло 1:1 и соотношение суммы проявляющих компонентов и цветообразующих компонентов также составляло 1:1. В целом используют соответственно 1/400 моль проявляющих компонентов и 1/400 моль цветообразующих компонентов.
Проявляющие компоненты и цветообразующие компоненты определены, как указано выше.
1.3.1. Окрашивания 9%-ным водным раствором H2O2
| Цветообразователь |
Проявляющие компоненты |
| Е4 |
Е5 |
Е6 |
Е7 |
| К1 |
коричневато-бежевый |
серый |
темно-коричневый |
красно-коричневый |
| К2 |
синий как чернила |
темно-зеленый |
оливковый |
темно-синий |
| К3 |
темно-пурпурный |
фиолетово-коричневый |
бургундский красный |
фиолетово-коричневый |
| К4 |
сомали |
рыжеватый |
сомали |
красно-коричневый |
| К5 |
темно-синий |
темно-синий |
темно-зеленый |
темно-фиолетовый |
| К6 |
оливково-коричневый |
оливковый |
оливковый |
оливково-коричневый |
2. Окрашивание красящим кремом, существующим в продаже
Перед применением следующие рецептуры смешивают с окисляющим составом (рецептура 2.14) в массовом соотношении 1:1. Полученные составы наносят соответственно на пряди (Kerling Naturwei ), оставляют на 30 минут при температуре 32°С и затем тщательно промывают.
Рецептура 2.1
| Сырье |
Количество в мас.% |
| смесь жирных спиртов с 12-18 атомами углерода |
6,0 |
| Eumulgin® B2 |
0,5 |
| Texapon® NSO |
10,0 |
| Dehyton® К |
5,0 |
| Polymer JR® 4007 |
0,4 |
| Gafguat® 755 N8 |
0,2 |
| Celquat® L 2009 |
0,2 |
| аскорбиновая кислота |
0,4 |
| сульфат аммония |
0,5 |
| Е2 (согласно изобретению) |
0,14 |
| дигидрохлорид бис-(5-амино-2-гидроксифенил)-метана |
0,031 |
| 4-амино-3-метилфенол |
0,011 |
| 2-амино-3-гидроксипиридин |
0,006 |
| 3-амино-2,4-дихлорфенол |
0,012 |
| тетрагидрохлорид 1,3-бис-(2′,4′-диаминофенокси)-пропана |
0,0004 |
| тетрагидрохлорид 1,3-бис-(2′,4′-диаминофенил)-пропана |
0,0004 |
| резорцин |
0,015 |
| 4-хлоррезорцин |
0,015 |
| 3-аминофенол |
0,003 |
| аммиак, 25%-ный |
рН 9,8 |
| вода |
100 |
| результат окрашивания |
жемчужно-серый |
Рецептура 2.2
| Сырье |
Количество в мас.% |
| смесь жирных спиртов с 12-18 атомами углерода |
6,0 |
| Eumulgin® B2 |
0,5 |
| Texapon® NSO |
10,0 |
| Dehyton® К |
5,0 |
| Polymer JR® 400 |
0,4 |
| Gafguat® 755 N |
0,2 |
| Celquat® L 200 |
0,2 |
| аскорбиновая кислота |
0,4 |
| сульфат аммония |
0,5 |
| Е3 (согласно изобретению) |
1,21 |
| дигидрохлорид бис-(5-амино-2-гидроксифенил)-метана |
1,09 |
| дигидрохлорид 4-амино-2-аминометилфенола |
0,05 |
| дигидрохлорид 4-амино-2-((диэтиламино)-метил)-фенола |
0,05 |
| 4-амино-3-метилфенол |
0,30 |
| 2-амино-4-метилфенол |
0,02 |
| 2-амино-3-гидроксипиридин |
0,12 |
| 5-амино-4-хлор-2-метилфенол |
0,12 |
| 2-метилрезорцин |
0,24 |
| 4-хлоррезорцин |
0,12 |
| 3-аминофенол |
0,24 |
| 5,6-дигидроксииндолин-гидробромид |
0,06 |
| аммиак, 25%-ный |
рН 9,8 |
| вода |
100 |
| результат окрашивания |
какао-коричневый |
Рецептура 2.3
| Сырье |
Количество в мас.% |
| смесь жирных спиртов с 12-18 атомами углерода |
6,0 |
| Eumulgin® B2 |
0,5 |
| Texapon® NSO |
10,0 |
| Dehyton® К |
5,0 |
| Polymer JR® 400 |
0,4 |
| Gafguat® 755 |
0.2 |
| Celquat® L 200 |
0,2 |
| аскорбиновая кислота |
0,4 |
| сульфат аммония |
0,5 |
| Е1 (согласно изобретению) |
0.03 |
| дигидрохлорид бис-(5-амино-2-гидроксифенил)-метана |
1,36 |
| сульфат п-толуилендиамина |
0,03 |
| дигидрохлорид п-фенилендиамина |
0,03 |
| сульфат 2-(2′-гидроксиэтил)-п-фенилендиамина |
0,7 |
| сульфат N,N-бис-(2′-гидроксиэтил)-п-фенилендиамина |
0,7 |
| 4-амино-3-метилфенол |
0,55 |
| 2-амино-5-метилфенол |
0,01 |
| 2-амино-4-хлорфенол |
0,02 |
| 4-амино-2-хлорфенол |
0,01 |
| 2-амино-3-гидроксипиридин |
0,5 |
| 5-амино-2-метилфенол |
0,03 |
| 5-(2′-гидроксиэтил)-амино-2-метилфенол |
0,01 |
| 3-амино-2-хлор-6-метилфенол |
0,02 |
| 6-гидроксииндол |
0,1 |
| 1,2,3,4-тетрагидро-6-нитрохиноксалин |
0,05 |
| НС Yellow 5 |
0,03 |
| НС Red 1 |
0,01 |
| 4-амино-2-нитродифениламин-2′-карбоновая кислота |
0,01 |
| аммиак, 25%-ный |
рН 9,8 |
| вода |
100 |
| результат окрашивания |
ярко-коричневый |
Рецептура 2.4
| Сырье |
Количество в мас.% |
| смесь жирных спиртов с 12-18 атомами углерода |
10,0 |
| Texapon® K14 S70C10 |
2,5 |
| Plantaren® 1200 UP11 |
2,0 |
| Akypo Soft® 45 NV12 |
12,0 |
| Eutanol® G13 |
1,0 |
| Eumulgin® B114 |
0,5 |
| Eumulgin® B2 |
0,5 |
| Polymer W 3719415 |
2,0 |
| Cosmedia Guar® C26116 |
0,2 |
| Mirapol® A1517 |
0,5 |
| аскорбиновая кислота |
0,4 |
| сульфат аммония |
0,5 |
| Е1 (согласно изобретению) |
0,030 |
| дигидрохлорид бис-(5-амино-2-гидроксифенил)-метана |
0,037 |
| 2-(2′-гидроксиэтил)-п-фенилендиаминсульфат |
0,022 |
| 1-нафтол |
0,015 |
| 2-метил-1-нафтол |
0,022 |
| 1,5-дигидроксинафталин |
0,005 |
| 3-амино-2-метиламино-6-метоксипиридин |
0,003 |
| 2-метилрезорцин |
0,009 |
| аммиак, 25%-ный |
рН 9,8 |
| вода |
100 |
| результат окрашивания |
темно-серый |
Рецептура 2.5
| Сырье |
Количество в мас.% |
| смесь жирных спиртов с 12-18 атомами углерода |
10,0 |
| Texapon® K14 S70C |
2,5 |
| Plantaren® 1200 UP |
2,0 |
| Akypo Soft® 45 NV |
12,0 |
| Eutanol® G |
1,0 |
| Eumulgin® B1 |
0,5 |
| Eumulgin® B2 |
0,5 |
| Polymer W 37194 |
2,0 |
| Cosmedia Guar® C261 |
0,2 |
| Mirapol® A15 |
0,5 |
| аскорбиновая кислота |
0,4 |
| сульфат аммония |
0,5 |
| Е2 (согласно изобретению) |
0,92 |
| дигидрохлорид бис-(5-амино-2-гидроксифенил)-метана |
0,124 |
| п-толуилендиаминсульфат |
0,59 |
| 4-амино-2-аминометилфенолдигидрохлорид |
0,01 |
| 2-амино-3-метилфенол |
0,077 |
| 2,4,5,6-тетрааминопиримидинсульфат |
0,08 |
| 4-гидрокси-2,5,6-триаминопиримидинсульфат |
0,02 |
| 4,5-диамино-1-(2′-гидроксиэтил)-пиразолсульфат |
0,02 |
| 2,7-дигидроксинафтилин |
0,035 |
| 2-амино-3-гидроксипиридин |
0,44 |
| 3-амино-2-метиламино-6-метоксипиридин |
0,002 |
| 2,6-дигидрокси-3,4-диметилпиридин |
0,002 |
| резорцин |
0,12 |
| 2-метилрезорцин |
0,72 |
| 3-аминофенол |
0,007 |
| 4-амино-2-нитродифениламин-2′-карбоновая кислота |
0,05 |
| 2-этиламино-4-нитро-6-хлорфенол |
0,05 |
| аммиак, 25%-ный |
рН 9,8 |
| вода |
100 |
| результат окрашивания |
темно-рубиновый |
Рецептура 2.6
| Сырье |
Количество в мас.% |
| смесь жирных спиртов с 12-18 атомами углерода |
10,0 |
| Texapon® K14 S70C |
2,5 |
| Plantaren® 1200 UP |
2,0 |
| Akypo Soft® 45 NV |
12,0 |
| Eutanol® G |
1,0 |
| Eumulgin® B1 |
0,5 |
| Eumulgin® B2 |
0,5 |
| Polymer W 37194 (Stockhausen) |
2,0 |
| Cosmedia Guar® C261 |
0,2 |
| Mirapol® A15 |
0,5 |
| аскорбиновая кислота |
0,4 |
| сульфат аммония |
0,5 |
| Е3 (согласно изобретению) |
0,03 |
| дигидрохлорид бис-(5-амино-2-гидроксифенил)-метана |
2,40 |
| дигидрохлорид 4-амино-2-((диэтиламино)метил)-фенола |
0,18 |
| 3-амино-2-метиламино-6-метоксипиридин |
2,04 |
| 2,6-дигидрокси-3,4-диметилпиридин |
0,01 |
| 3,5-диамино-2,6-диметоксипиридин |
0,02 |
| 2-этиламино-4-нитро-6-хлорфенол |
0,07 |
| НС Red BN18 |
0,2 |
| 5,6-дигидроксииндолин-гидробромид |
0,12 |
| аммиак, 25%-ный |
рН 9,8 |
| вода |
100 |
| результат окрашивания |
красный как хна |
Рецептура 2.7
| Сырье |
Количество в мас.% |
| смесь жирных спиртов с 12-18 атомами углерода |
8,0 |
| Texapon® NSO |
2,0 |
| Dehyton® К |
1,0 |
| олеат калия |
2,0 |
| изостеарат калия |
2,0 |
| миристиновая кислота |
1,0 |
| Eumulgin® B2 |
0,5 |
| Custofac Diacid® H 24019 |
2,0 |
| Merquat® 55020 |
0,2 |
| Luviquat® FC 37021 |
0,1 |
| Merquat® 28022 |
0,1 |
| Gafquat® HS-10023 |
0,1 |
| аскорбиновая кислота |
0,4 |
| сульфат аммония |
0,5 |
| Е1 (согласно изобретению) |
0,05 |
| дигидрохлорид бис-(5-амино-2-гидроксифенил)-метана |
2,33 |
| 5-амино-2-метилфенол |
0,6 |
| 5-(2′-гидроксиэтил) амино-2-метилфенол |
0,3 |
| 3-амино-2-хлор-6-метилфенол |
0,5 |
| аммиак, 25%-ный |
рН 9,8 |
| Вода |
100 |
| результат окрашивания |
красное золото |
Рецептура 2.8
| Сырье |
Количество в мас.% |
| смесь жирных спиртов с 12-18 атомами углерода |
8,0 |
| Texapon® NSO |
2,0 |
| Dehyton® К |
1,0 |
| олеат калия |
2,0 |
| изостеарат калия |
2,0 |
| миристиновая кислота |
1,0 |
| Eumulgin® B2 |
0,5 |
| Custofac Diacid® H 240 |
2,0 |
| Merquat® 550 |
0,2 |
| Luviquat® FC 370 |
0,1 |
| Merquat® 280 |
0,1 |
| Gafquat® HS-100 |
0,1 |
| аскорбиновая кислота |
0,4 |
| сульфат аммония |
0,5 |
| Е2 (согласно изобретению) |
0,37 |
| дигидрохлорид бис-(5-амино-2-гидроксифенил)-метана |
1,24 |
| п-толуилендиаминсульфат |
0,15 |
| 2-(2′-гидроксиэтил)-п-фенилендиаминсульфат |
0,10 |
| 2-амино-4-метилфенол |
0,01 |
| 4,5-диамино-1-(2′-гидроксиэтилпиразол)сульфат |
0,24 |
| 2,7-дигидроксинафтилин |
0,10 |
| 5-амино-2-метилфенол |
0,15 |
| 5-(2′-гидроксиэтил)-амино-2-метилфенол |
0,44 |
| 5-амино-4-хлор-2-метилфенол |
0,1 |
| резорцин |
0,04 |
| 2-метилрезорцин |
0,08 |
| 4-хлоррезорцин |
0,05 |
| аммиак, 25%-ный |
рН 9,8 |
| вода |
100 |
| результат окрашивания |
каштан |
Рецептура 2.9
| Сырье |
Количество в мас.% |
| смесь жирных спиртов с 12-18 атомами углерода |
8,0 |
| Texapon® NSO |
2,0 |
| Dehyton® К |
1,0 |
| олеат калия |
2,0 |
| изостеарат калия |
2,0 |
| миристиновая кислота |
1,0 |
| Eumulgin® B2 |
0,5 |
| Custofac Diacid® H 240 |
2,0 |
| Merquat® 550 |
0,2 |
| Luviquat® FC 370 |
0,1 |
| Merquat® 280 |
0,1 |
| Gafquat® HS-100 |
0,1 |
| аскорбиновая кислота |
0,4 |
| сульфат аммония |
0,5 |
| Е3 (согласно изобретению) |
0,09 |
| дигидрохлорид бис-(5-амино-2-гидроксифенил)-метана |
0,038 |
| дигидрохлорид п-фенилендиамина |
0,10 |
| дигидрохлорид 4-амино-2-аминометилфенола |
0,3 |
| дигидрохлорид 4-амино-2-((диэтиламин)метил)фенола |
0,8 |
| 5-амино-3-метилфенол |
0,011 |
| 2,4,5,6-тетрааминопиримидинсульфат |
0,80 |
| 4-гидрокси-3,5,6-триаминопиримидинсульфат |
0,08 |
| 2,7-дигидроксинафтилин |
0,33 |
| 5-(2′-гидроксиэтил) амино-2-метилфенол |
0,015 |
| 5-амино-4-хлор-2-метилфенол |
0,030 |
| резорцин |
0,044 |
| 2-метилрезорцин |
0,25 |
| 3-аминофенол |
0,004 |
| 4-амино-2-нитродифениламин-2′-карбоновая кислота |
0,15 |
| 4-амино-3-нитрофенол |
0,25 |
| аммиак, 25%-ный |
рН 9,8 |
| вода |
100 |
| результат окрашивания |
огненно-рыжий |
Рецептура 2.10
| Сырье |
Количество в мас.% |
| смесь жирных спиртов с 12-18 атомами углерода |
8,0 |
| Texapon® NSO |
2,0 |
| Dehyton® К |
1,0 |
| олеат калия |
2,0 |
| изостеарат калия |
2,0 |
| миристиновая кислота |
1,0 |
| Eumulgin® B2 |
0,5 |
| Custofac Diacid® H 240 |
2,0 |
| Merquat® 550 |
0,2 |
| Luviquat® FC 370 |
0,1 |
| Merquat® 280 |
0,1 |
| Gafquat® HS-100 |
0,1 |
| аскорбиновая кислота |
0,4 |
| сульфат аммония |
0,5 |
| Е1 (согласно изобретению) |
0,02 |
| Е2 (согласно изобретению) |
0,02 |
| Е3 (согласно изобретению) |
0,02 |
| дигидрохлорид бис-(5-амино-2-гидроксифенил)метана |
1,47 |
| 4-амино-3-метилфенол |
0,1 |
| 3-амино-2-метиламино-6-метоксипиридин |
0,05 |
| 2,6-дигидрокси-3,4-диметилпиридин |
0,01 |
| 3,5-диамино-2,6-диметоксипиридин |
0,05 |
| 5-амино-2-метилфенол |
0,40 |
| 5-(2′-гидроксиэтил) амино-2-метилфенол |
0,30 |
| 3-амино-2-хлор-6-метилфенол |
0,06 |
| 3-амино-2,4-дихлорфенол |
0,04 |
| 2,4-диаминофеноксиэтанолсульфат |
0,01 |
| тетрагидрохлорид 1,3-бис-(2′,4′-диаминофенокси)-пропана |
0,1 |
| тетрагидрохлорид 1,3-бис-(2′,4′-диаминофенил)-пропана |
0,2 |
| 4-гидроксииндол |
0,1 |
| аммиак, 25%-ный |
рН 9,8 |
| Вода |
100 |
| результат окрашивания |
сомали |
Рецептура 2.11
| Сырье |
Количество в мас.% |
| смесь жирных спиртов с 12-18 атомами углерода |
10,0 |
| Eumulgin® B1 |
1,0 |
| Eumulgin® B2 |
1,0 |
| Texapon® NSO |
3,0 |
| Dehyton® К |
1,0 |
| Akypo® RLM 45 N24 |
3,0 |
| Aminoxid® WS 3525 |
0,5 |
| Merquat® 10026 |
0,05 |
| Merquat® 280 |
0,05 |
| Polymer JR® 400 |
0,05 |
| Mirapol® A 48 |
0,05 |
| Silkall® SL27 |
0,2 |
| сульфат аммония |
0,4 |
| Turpinal® SL28 |
0,2 |
| Nutrilan Keratin® W29 |
1,0 |
| жидкое натриевое стекло 40/42 |
0,5 |
| Е1 (согласно изобретению) |
0,08 |
| 2,4,5,6-тетрааминопиримидинсульфат |
1,0 |
| 2,6-бис-(2′-гидроксиэтиламино)толуол |
0,08 |
| п-толуилендиаминсульфат |
0,10 |
| Отдушка |
0,2 |
| 2-метилрезорцин |
0,59 |
| НС Red В 5430 |
0,05 |
| НС Red BN |
0,05 |
| 1,4-диамино-2-нитробензол |
0,2 |
| Acid Red 52 |
0,05 |
| аммиак, концентрированный |
рН 10 |
| Вода |
100 |
| результат окрашивания |
красный как земляника |
Рецептура 2.12
| Сырье |
Количество в мас.% |
| смесь жирных спиртов с 12-18 атомами углерода |
10,0 |
| Eumulgin® B1 |
1,0 |
| Eumulgin® B2 |
1,0 |
| Texapon® NSO |
3,0 |
| Dehyton® К |
1,0 |
| Akypo® RLM 45 N24 |
3,0 |
| Aminoxid® WS 3525 |
0,5 |
| Merquat® 10026 |
0,05 |
| Merquat® 280 |
0,05 |
| Polymer JR® 400 |
0,05 |
| Mirapol® A48 |
0,05 |
| Silkall® SL27 |
0,5 |
| сульфат аммония |
0,4 |
| Turpinal® SL |
0,2 |
| Nutrilan Keratin® W |
1,0 |
| жидкое натриевое стекло 40/42 |
0,5 |
| Отдушка |
0,2 |
| Е2 (согласно изобретению) |
0,30 |
| п-толуилендиаминсульфат |
0,22 |
| 5-амино-2-метилфенол |
0,25 |
| 5-амино-2-хлор-6-метилфенол |
0,07 |
| Acid Red 33 |
0,05 |
| Вода |
100 |
| аммиак, концентрированный |
pH 10 |
| результат окрашивания |
пурпурный |
Рецептура 2.13
| Сырье |
Количество в мас.% |
| смесь жирных спиртов с 12-18 атомами углерода |
10,0 |
| Eumulgin® B1 |
1,0 |
| Eumulgin® B2 |
1,0 |
| Texapon® NSO |
3,0 |
| Dehyton® К |
1,0 |
| Akypo® RLM 45 N24 |
3,0 |
| Aminoxid® WS 3525 |
0,5 |
| Merquat® 10026 |
0,05 |
| Merquat® 280 |
0,05 |
| Polymer JR® 400 |
0,05 |
| Mirapol® A 48 |
0,05 |
| Silkall® SL27 |
0,5 |
| сульфат аммония |
0,4 |
| Turpinal® SL28 |
0,2 |
| Nutrilan Keratin® W29 |
1,0 |
| жидкое натриевое стекло 40/42 |
0,5 |
| Отдушка |
0,2 |
| Е3 (согласно изобретению) |
0,31 |
| п-толуилендиаминсульфат |
0,16 |
| 4-амино-3-метилфенол |
0,43 |
| 2,7-дигидроксинафталин |
0,02 |
| Резорцин |
0,17 |
| 5-амино-2-метилфенол |
0,14 |
| 4-амино-2-нитродифениламин-2′-карбоновая кислота |
0,05 |
| 6-нитро-1,2,3,4-тетрагидрохиноксалин |
0,03 |
| Rodol® 9R31 |
0,02 |
| аммиак, концентрированный |
рН 10 |
| Вода |
100 |
| результат окрашивания |
рыжеватый |
Рецептура 2.14
| Сырье |
Количество в мас.% |
| дипиколиновая кислота |
0,10 |
| пирофосфат натрия |
0,03 |
| Turpinal® SL |
1,50 |
| Texapon® N2832 |
2,0 |
| Dow Corning® DB 110A33 |
0,07 |
| Aculyn® 3334 |
12,00 |
| перекись водорода, 50%-ная |
12,00 |
| аммиак, 25%-ный |
0,60 |
| Вода |
100 |
Используемые в рамках данных примеров торговые продукты, содержат следующие составляющие:
7 кватернированная гидроксиэтилцеллюлоза (INCI-название: поликватерний-10) (Amerchol),
8 кватернированный сополимер винилпирролидона-диметиламиноэтилметакрилата (около 19-21% содержания активного вещества; INCI-название: поликватерний-11) (ISP),
9 кватернированное производное целлюлозы (INCI-название: поликватериний-4) (National Starch),
10 натриевая соль сульфата простого лаурилмиристилового эфира (около 68-73% содержания активного вещества; INCI-название: мирет сульфат натрия) (Cognis),
11 1,4-глюкозид жирного спирта с 12-16 атомами углерода (около 50-53% содержания активного вещества; INCI-название: лаурилглюкозид, вода) (Cognis),
12 натриевая соль жирного спирта с 12-14 атомами углерода, 4,5-этиленоксида и уксусной кислоты (по крайней мере, 21% содержания активного вещества; INCI-название: натрий лаурет-6 карбоксилат) (Као),
13 2-октилдодециловый спирт (INCI-название: октилдодеканол) (Cognis),
14 цетилстеариловый спирт, содержащий около 12 элементов этиленоксида (INCI-название: цетеарет-12) (Cognis),
15 сополимер на основе натриевой соли акриловой кислоты и хлорида акриламидопропилтриметиламмония, консервированный фенопиром (около 19-21% активного вещества, (INCI-название: сополимер акриламидопропилтримония/акрилата) (Stockhausen),
16 хлорид гурагидроксипропилтриметиламмония (INCI-название: хлорид гуаргидроксипропилтриаммония) (Cognis),
17 дихлорид поли[N-(3-диметиламмоний)пропил]-N’-[3-этиленокси-этилендиметиламмоний)пропил]мочевины (около 64% содержания активного вещества; INCI-название: поликватерний-2) (Rhodia),
18 4-[(3-гидроксипропил)амино]-3-нитрофенол,
19 калиевая соль 4-гексил-5(6)-карбокси-2-циклогексен-1-октановой кислоты (около 41% содержания активного вещества) (Westvaco Chemicals),
20 сополимер хлорида диметилдиаллиламмония-акриламида (около 8,1-9,1% содержания активного вещества; INCI-название: поликватерний-7) (Ondeo-Nalco),
21 сополимер метохлорида винилимидазолия-винилпирролидона (30:70) (около 38-42% содержания активного вещества; INCI-название: поликватерний-16) (BASF),
22 сополимер хлорида диметилдиаллиламмония-акриловой кислоты (около 35% активного вещества в воде; INCI-название: поликватерний-22) (Ondeo-NaIco),
23 сополимер винилпирролидона-хлорида метакриламидопропилтриметиламмония (около 19-21% содержания активного вещества в воде; INCI-название: поликватерний-28) (INCI-название: Gaf Corp.),
24 натриевая соль жирного спирта с 12-14 атомами углерода, 4,5-этиленоксида и уксусной кислоты (около 80-84% содержания активного вещества в воде и NaCl; INCI-название: лаурет-6 карбоксилат натрия) (Као),
25 N,N-диметил-N(С8–18-кокосациламидпропил)амин-N-оксид (около 35% содержания активного вещества в воде; INCI-название: сосамидопропиламин оксид) (Goldschmidt),
26 хлорид полидиметилдиаллиламония (около 40% содержания активного вещества; INCI-название: поликватерний-6) (Ondeo-Nalco),
27 протеин шелка (INCI-название: шелк Serica (Linne) (Ikeda Bussan Kaisha),
28 1-гидроксиэтан-1,1-дифосфоновая кислота (около 58-61% содержания активного вещества в воде; INCI-название: этидроновая кислота, Agua (вода) (Solutia),
29 ферментативно полученный гидролизат из мериносовой шерсти (около 21-23% содержания активного вещества; INCI-название: вода, гидролизованный кератин, феноксиэтанол, метилпарабен, бутилпарабен, этилпарабен, пропилпарабен) (Cognis),
30 4-[(2-гидроксиэтил)амино]-3-нитрофенол (INCI-название: 3-нитро-п-гидроксиэтиламинофенол),
31 2-амино-6-хлор-4-нитрофенол,
32 натриевая соль сульфата простого лаурилового эфира (по крайней мере, 26,5% содержания активного вещества; INCI-название: лаурет сульфат натрия) (Cognis),
33 неионогенная силиконовая эмульсия (10% содержания активного вещества; INCI-название: диметикон) (Dow Corning),
34 акриловый полимер (около 28% содержания активного вещества; INCI-название: акрилатный сополимер) (Rohm % Haas).
Формула изобретения
1. Средство для окрашивания кератиновых волокон, в частности человеческих волос, отличающееся тем, что в косметически приемлемом носителе оно содержит, по крайней мере, одно производное п-фенилендиамина формулы (I),

причем А означает разветвленную или неразветвленную группу алкилена с 1-6 атомами углерода, которая, при необходимости, может иметь один или несколько заместителей, выбираемых из группы(групп) гидрокси и атома(атомов) галогена,
Х означает, при необходимости, замещенный остаток имидазолила, R1, R2 и R3 независимо друг от друга означают атом водорода, алкильную группу с 1-4 атомами углерода, моногидроксиалкильную группу с 1-4 атомами углерода или полигидроксиалкильную группу с 2-6 атомами углерода, и
R4 и R5 независимо друг от друга означают атом водорода, алкильную группу с 1-4 атомами углерода, группу алкокси с 1-4 атомами углерода, моногидроксиалкильную группу с 1-4 атомами углерода, полигидроксиалкильную группу с 2-4 атомами углерода или атом галогена.
2. Средство по п.1, отличающееся тем, что R1, R2 и R3 означают атом водорода.
3. Средство по п.1 или 2, отличающееся тем, что R4 и R5 независимо друг от друга означают атом водорода, группу метила, атом хлора или фтора.
4. Средство по п.3, отличающееся тем, что R4 и R5 означают атом водорода.
5. Средство по одному из пп.1-4, отличающееся тем, что группа Х означает, при необходимости, замещенный остаток имидазолила формулы (II)

причем R6 означает атом водорода, алкильную группу с 1-4 атомами углерода, моногидроксиалкильную группу с 1-4 атомами углерода, полигидроксиалкильную группу с 2-4 атомами углерода или атом галогена.
6. Средство по п.5, отличающееся тем, что А означает неразветвленную группу алкилена с 2-6 атомами углерода.
7. Средство по п.6, отличающееся тем, что А означает группу триметилена.
8. Средство по одному из пп.5-7, отличающееся тем, что соединение формулы (I) выбирают из (4-аминофенил)(3-(имидазол-1-ил)пропил)амина и (4-амино-3-метилфенил)(3-(имидазол-1-ил)пропил)амина.
9. Средство по одному из пп.1-4, отличающееся тем, что группа Х означает, при необходимости, замещенный остаток имидазолила формулы (III)

причем R7 означает атом водорода, алкильную группу с 1-4 атомами углерода, моногидроксиалкильную группу с 1-4 атомами углерода, полигидроксиалкильную группу с 2-4 атомами углерода или атом галогена.
10. Средство по п.9, отличающееся тем, что А означает неразветвленную группу алкилена с 1-6 атомами углерода.
11. Средство по п.10, отличающееся тем, что А означает группу этилена.
12. Средство по одному из пп.9-11, отличающееся тем, что соединением формулы (1) является (4-аминофенил)(2-(имидазол-5-ил)этил)амин.
TH4A – Переиздание описания изобретения к патенту Российской Федерации
Причина переиздания: Коррекция в текстах формулы и описания изобретения
Извещение опубликовано: 20.08.2008 БИ: 23/2008
|
|