Патент на изобретение №2308452
|
||||||||||||||||||||||||||||||||||||||||||||||||||||||||||||||||||||||||||||||||||||||||||||||||||||||||||||||||||||||
(54) ПРОИЗВОДНЫЕ 5-ЗАМЕЩЕННЫХ АЛКИЛАМИНОПИРАЗОЛОВ В КАЧЕСТВЕ ПЕСТИЦИДОВ
(57) Реферат:
Описываются производные 5-замещенных алкиламинопиразолов формулы (I), где R1 обозначает CN; W обозначает С-галоген; R2 обозначает галоген; R3 обозначает (С1-С3)-галогеналкил, (С1-С3)-галогеналкокси; R4 обозначает водород, (С2-С6)-алкенил, (С2-С6)-алкинил, (С3-С7)-циклоалкил, COR8; А обозначает (С1-С12)-алкилен; R5 обозначает Н, (С3-С6)-алкенил, -(CH2)qR7 или NR10R11; R6 обозначает (С1-С6)-галогеналкил, а также способ уничтожения паразитов в организме животного или на теле животного, пестицидная композиция и применение соединений формулы (I) для приготовления ветеринарного лекарственного средства. Производные 5-замещенных алкиламинопиразолов формулы (I) применяются для уничтожения вредителей, включая насекомых, паукообразных и гельминтов, в т.ч. нематоды. 5 н. и 4 з.п. ф-лы, 12 табл.
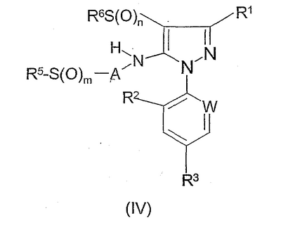
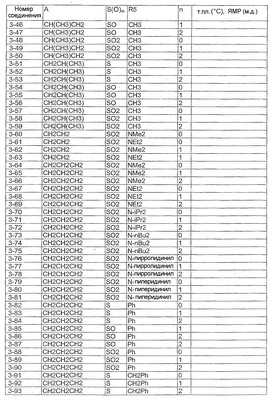
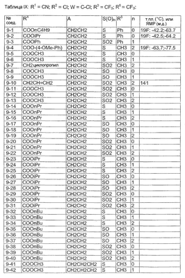
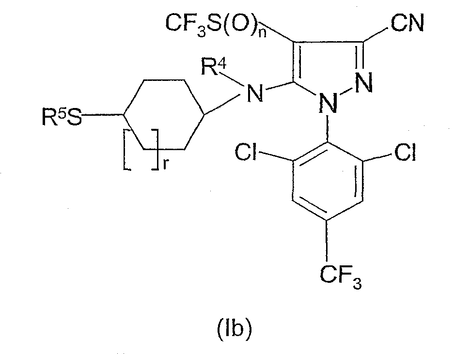
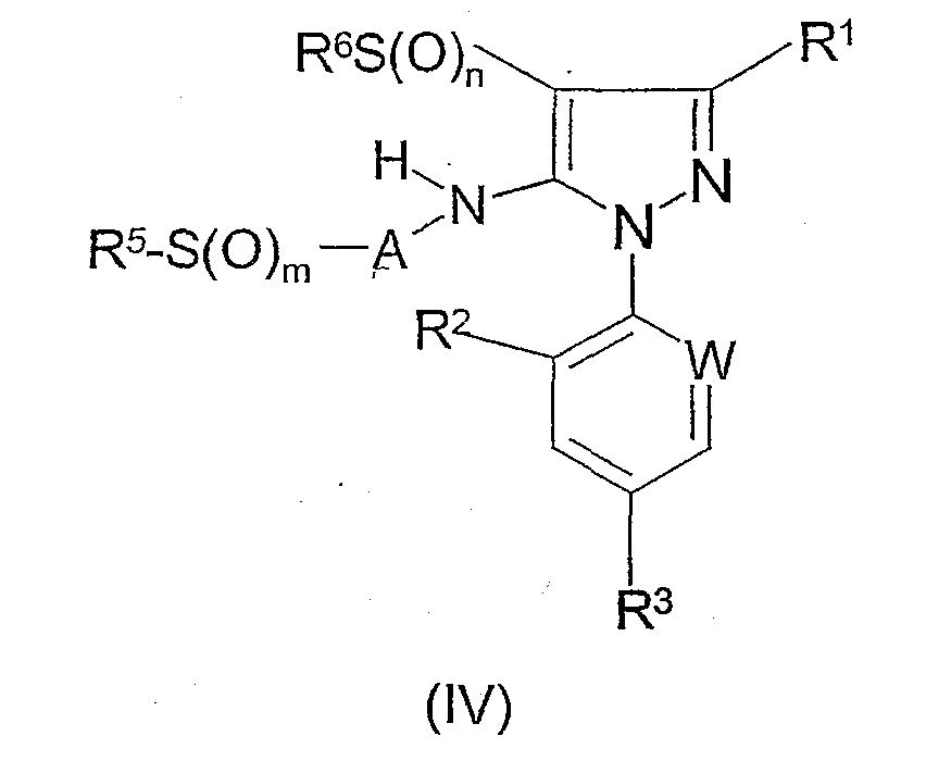
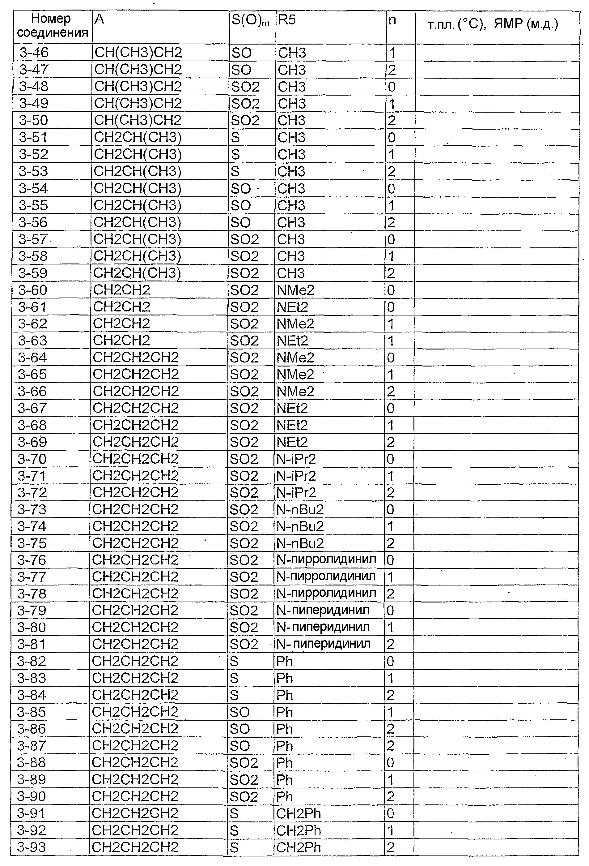
Данное изобретение относится к области уничтожения вредителей (включая насекомых, паукообразных и гельминтов (включая нематоды)) производных 5-замещенных алкиламинопиразолов, к новым соединениям и композициям на их основе и к способам их получения. Уничтожение насекомых, паукообразных и гельминтов с помощью производных 1-арилпиразолов было описано, например, в патентных публикациях WO 93/06089, WO 94/21606, WO 87/03781, ЕР 0295117, ЕР 659745, ЕР 679650, ЕР 201852 и US 5232940. Уничтожение паразитов у животных с помощью производных 1-арилпиразолов было описано, например, в патентных публикациях WO 00/35884, ЕР 0846686, WO 98/24769 и WO 97/28126. Кроме того, в WO 02/066423 описан способ получения производных 1-арилпиразолов. Однако уровень действия и/или продолжительность действия этих соединений, известных из предшествующего уровня техники, не вполне удовлетворительны для всех областей применения, в частности, против некоторых организмов или при использовании низких концентраций. Поскольку современные пестициды должны удовлетворять большому диапазону требований, например, относительно уровня, продолжительности и спектра действия, спектра применимости, токсичности, сочетания с другими активными веществами, сочетания со вспомогательными средствами или синтеза, и, поскольку возможно возникновение резистентности, разработка таких веществ никогда не может расцениваться законченной и постоянно существует высокая потребность в новых соединениях, которые имеют преимущества по сравнению с известными соединениями, по меньшей мере, в отношении некоторых аспектов. Целью данного изобретения является разработка соединений, которые расширяют спектр пестицидов в различных аспектах, в частности, в отношении уничтожения паразитов у животных. Данное изобретение относится к способу уничтожения паразитов в организме животного или на теле животного, предусматривающему введение животному количества, эффективного для уничтожения паразитов производного 5-замещенного алкиламинопиразола формулы (I): где: R1 обозначает CN; W обозначает С-галоген, С-СН3 или N; R2 обозначает водород, галоген или CH3; R3 обозначает (С1-С3)-галогеналкил, (С1-С3)-галогеналкокси или S(O)p-(С1-С3)-галогеналкил; R4 обозначает водород, (С2-С6)-алкенил, (С2-С6)-галогеналкенил, (С2-С6)-алкинил, (С2-С6)-галогеналкинил, (С3-С7)-циклоалкил, СО-(СН2)q-R7, COR8, СО-(СН2)q-R9, -СО-(С1-С4)-алкил-(С1-С6)-алкокси, -СО2-(СН2)q-R7, -СО2R8, -СО2-(СН2)q-R9, -СО2-(С3-С7)-циклоалкил, -СО2-(С1-С4)-алкил-(С3-С7)-циклоалкил, -СО2-(С3-С6)-алкенил, -СО2-(С3-С6)-алкинил, СО-NR10R11, -СН2R7, -СН2R9, OR7, OR8 или OR9; или (С1-С6)-алкил, незамещенный или замещенный одним или несколькими радикалами, выбранными из группы, состоящей из галогена, (С1-С6)-алкокси, (С1-С6)-галогеналкокси, (С3-С7)-циклоалкила, S(O)pR8, СО2-(С1-С6)-алкила, -О(С=О)-(С1-С6)-алкила, NR10COR12, NR10R11, CONR10R11, SO2NR10R11, ОН, CN, NO2, OR7, NR10SO2R8, COR8 и OR9; А обозначает (С1-С12)-алкилен [предпочтительно (С1-С6)-алкилен] или (С1-С12)-галогеналкилен [предпочтительно (С1-С6)-галогеналкилен], в котором 2, 3 или 4 смежных атома углерода необязательно образуют часть (С3-С8)-циклоалкильного кольца, которое является незамещенным или замещено одним или несколькими радикалами, выбранными из группы, состоящей из (С1-С6)-алкила и галогена; или обозначает (С1-С12)-алкилен или (С1-С12)-галогеналкилен, в двух последних упомянутых группах которых метиленовая часть заменена группой, выбранной из -С(=О)-, -C(=NH)-, -O-, -S- и -NR15-, при условии, что эта заменяющая группа не связана с соседней группой S(O)m или атомом N; или обозначает (С2-С12)-алкенилен или (С2-С12)-галогеналкенилен; R5 обозначает Н, (С3-С6)-алкенил, (С3-С6)-галогеналкенил, (С3-С6)-алкинил, (С3-С6)-галогеналкинил, (С3-С7)-циклоалкил, -(СН2)qR7, -(СН2)qR9 или NR10R11, при условии, что для последнего упомянутого радикала m равно 2; или обозначает (С1-С6)-алкил, незамещенный или замещенный одним или несколькими радикалами, выбранными из группы, состоящей из галогена, (С1-С6)-алкокси, (С1-С6)-галогеналкокси, (С3-С6)-алкенилокси, (С3-С6)-галогеналкенилокси, (С3-С6)-алкинилокси, (С3-С6)-галогеналкинилокси, (С3-С7)-циклоалкила, S(O)pR8, CN, NO2, ОН, COR10, NR10COR12, NR10SO2R8, CONR10R11, NR10R11, S(O)pR7, S(O)pR9, OR7, OR9 и СО2R10; или, когда А обозначает (С1-С12)-алкилен или (С1-С12)-галогеналкилен и R5 обозначает (С1-С6)-алкил, незамещенный или замещенный одним или несколькими радикалами-галогенами, один или несколько из атомов углерода R5 могут, вместе с S(O)m и одним или несколькими атомами углерода А, образовывать 5- или 6-членное кольцо; R6 обозначает (С1-С6)-алкил, (С1-С6)-галогеналкил, (С2-С6)-алкенил, (С2-С6)-галогеналкенил, (С2-С6)-алкинил или (С2-С6)-галогеналкинил; R7 обозначает фенил, незамещенный или замещенный одним или несколькими радикалами, выбранными из группы, состоящей из галогена, (С1-С6)-алкила, (С1-С6)-галогеналкила, (С1-С6)-алкокси, (С1-С6)-галогеналкокси, CN, NO2, S(O)pR8, COR11, COR13, CONR10R11, SO2NR10R11, NR10R11, ОН, SO3Н и (С1-С6)-алкилиденимино; R8 обозначает (С1-С6)-алкил или (С1-С6)-галогеналкил; R9 обозначает гетероциклил, незамещенный или замещенный одним или несколькими радикалами, выбранными из группы, состоящей из галогена, (С1-С4)-алкила, (С1-С4)-галогеналкила, (С1-С4)-алкокси, (С1-С4)-галогеналкокси, NO2, CN, СО2-(С1-С6)-алкила, S(O)pR8, ОН и оксо; R10 и R12, каждый, независимо, обозначают Н, (С1-С6)-алкил, (С1-С6)-галогеналкил, (С3-С6)-алкенил, (С3-С6)-галогеналкенил, (С3-С6)-алкинил, (С3-С6)-галогеналкинил, (С3-С6)-циклоалкил, -(С1-С6)-алкил-(С3-С6)-циклоалкил, -(СН2)qR13 или -(СН2)qR9; или R10 и R11 и/или R10 и R12, в каждом случае независимо, вместе с соответствующим присоединенным атомом N образуют пяти- или шестичленное насыщенное кольцо, которое необязательно содержит дополнительный гетероатом в кольце, выбранный из O, S и N, причем это кольцо является незамещенным или замещено одним или несколькими радикалами, выбранными из группы, состоящей из галогена, (С1-С6)-алкила и (С1-С6)-галогеналкила; R11 и R14, каждый, независимо, обозначают Н, (С1-С6)-алкил, (С1-С6)-галогеналкил, (С3-С6)-циклоалкил или -(С1-С6)-алкил-(С3-С6)-циклоалкил; R13 обозначает фенил, незамещенный или замещенный одним или несколькими радикалами, выбранными из группы, состоящей из галогена, (С1-С6)-алкила, (С1-С6)-галогеналкила, (С1-С6)-алкокси, (С1-С6)-галогеналкокси, CN, NO2, S(O)pR8 и NR11R14; R15 обозначает R11 или -(СН2)qR13; m, n и р, каждый, независимо, равны 0, 1 или 2; q равно 0 или 1; и каждый гетероциклил в вышеуказанных радикалах обозначает независимо гетероциклический радикал, имеющий 3-7 атомов кольца и 1, 2 или 3 гетероатома в кольце, выбранных из группы, состоящей из N, O и S; или его пестицидно-приемлемой соли. В следующем аспекте данное изобретение относится к применению соединений формулы (I) и их пестицидно-приемлемых солей для уничтожения паразитов в организме животных и на теле животных. Еще в одном аспекте данное изобретение относится к применению соединений формулы (I) и их пестицидно-приемлемых солей для приготовления ветеринарного лекарственного средства, предпочтительно, для обработки паразитов, в частности, экто- и эндопаразитов, в организме животных и на теле животных. Данное изобретение также охватывает любые стереоизомеры, энантиомеры или геометрические изомеры и их смеси соединений формулы (I). Под термином «пестицидно-приемлемые соли» подразумевают соли, анионы или катионы которых известны и допускаемы в данной области для образования солей для применения в качестве пестицидов. Подходящие соли с основаниями, например, образованные соединениями формулы (I), содержащими карбоксильную группу, включают в себя соли щелочных металлов (например, натрия и калия), щелочно-земельных металлов (например, кальция и магния), аммония и аминов (например, диэтаноламина, триэтаноламина, октиламина, морфолина и диоктилметиламина). Подходящие кислотно-аддитивные соли, например, образованные соединениями формулы (I), содержащими аминогруппу, включают в себя соли с неорганическими кислотами, например, гидрохлориды, сульфаты, фосфаты и нитраты, и соли с органическими кислотами, например, с уксусной кислотой. Когда в формуле (I) m равно 0, термин «соли» включает в себя также соли сульфония, например, галогенидные соли алкил- или бензилсульфония, такие как хлоридные соли метилсульфония. Следует учесть, что вышеуказанные условия включены только по причинам химической нестабильности для конкретно исключенных частей молекул, а не по причине их использования в предыдущем уровне техники. В данном описании, а также в прилагаемой формуле изобретения, вышеуказанные заместители имеют следующие значения: Атом галогена обозначает фтор, хлор, бром или йод. Термин «галоген» («галогено») перед названием радикала обозначает, что этот радикал является частично или полностью галогенированным, то есть замещенным F, Cl, Br или I, в любой комбинации, предпочтительно F или Cl. Алкильные группы и их части (если нет других указаний) могут быть линейными или разветвленными. Выражение «(С1-С6)-алкил» следует понимать как обозначающее неразветвленный или разветвленный углеводородный радикал, имеющий 1, 2, 3, 4, 5 или 6 атомов углерода, такой как, например, радикал метил, этил, пропил, изопропил, 1-бутил, 2-бутил, 2-метилпропил или трет-бутил. Алкильные радикалы, также и в композиционных, составных группах, если нет других указаний, предпочтительно имеют 1-4 атома углерода. «(С1-С6)-галогеналкил» обозначает алкильную группу, упоминаемую в выражении «(С1-С6)-алкил», в которой один или несколько атомов водорода заменены тем же самым числом одинаковых или различных атомов галогена, такую как моногалогеналкил, пергалогеналкил, CF3, CHF2, CH2F, CHFCH3, CF3CH2, CF3CF2, CHF2CF2, CH2FCHCl, CH2Cl, CCl3, CHCl2 или СН2СН2Cl. Выражение «(С1-С12)-алкилен» обозначает неразветвленную или разветвленную насыщенную углеродную цепь, имеющую 1-12 атомов углерода. Выражение «(С1-С12)-галогеналкилен» обозначает неразветвленную или разветвленную насыщенную углеродную цепь, имеющую 1-12 атомов углерода, в которой один или несколько атомов водорода заменены тем же самым числом одинаковых или различных атомов галогена. Выражение «(С2-С12)-алкенилен» обозначает неразветвленную или разветвленную насыщенную углеродную цепь, имеющую 2-12 атомов углерода, которая содержит, по меньшей мере, одну двойную связь, которая может быть расположена в любом положении этого соответствующего ненасыщенного радикала. Выражение «(С1-С6)-алкокси» обозначает алкоксигруппу, углеродная цепь которой имеет значение, приведенное в выражении «(С1-С6)-алкил». «Галогеналкокси» обозначает, например, OCF3, OCHF2, OCH2F, CF3CF2O, OCH2CF3 или OCH2CH2Cl. Выражение «(С2-С6)-алкенил» обозначает неразветвленную или разветвленную нециклическую углеродную цепь, имеющую число атомов углерода, которое соответствует этому указанному диапазону, которая содержит, по меньшей мере, одну двойную связь, которая может быть расположена в любом положении этого соответствующего ненасыщенного радикала. Таким образом, «(С2-С6)-алкенил» обозначает, например, группу винил, аллил, 2-метил-2-пропенил, 2-бутенил, пентенил, 2-метилпентенил или гексенил. Выражение «(С2-С6)-алкинил» обозначает неразветвленную или разветвленную нециклическую углеродную цепь, имеющую число атомов углерода, которое соответствует этому указанному диапазону, которая содержит, по меньшей мере, одну тройную связь, которая может быть расположена в любом положении этого соответствующего ненасыщенного радикала. Таким образом, «(С2-С6)-алкинил» обозначает, например, группу пропаргил, 1-метил-2-пропинил, 2-бутинил или 3-бутинил. Циклоалкильные группы предпочтительно имеют три-семь атомов углерода в кольце и необязательно замещены галогеном или алкилом. В соединениях формулы (I) даны следующие примеры радикалов: Примером алкила, замещенного циклоалкилом, является циклопропилметил; примером алкила, замещенного алкокси, является метоксиметил (СН3ОСН2-); а примером алкила, замещенного алкилтио, является метилтиометил (СН3SCH2-). Группа «гетероциклил» может быть насыщенной, ненасыщенной или гетероароматической; предпочтительно, она содержит один или несколько, в частности, 1, 2 или 3, гетероатомов в гетероциклическом кольце, предпочтительно выбранных из группы, состоящей из N, O и S; она является, предпочтительно, алифатическим гетероциклическим радикалом, имеющим 3-7 атомов кольца, или гетероароматическим радикалом, имеющим 5-7 атомов углерода в кольце. Гетероциклический радикал может быть, например, гетероароматическим радикалом или кольцом (гетероарилом), таким как, например, моно-, би- или полициклическая ароматическая система, в которой, по меньшей мере, 1 кольцо содержит один или несколько гетероатомов, например, пиридил, пиримидинил, пиридазинил, пиразинил, триазинил, тиенил, тиазолил, тиадиазолил, оксазолил, изоксазолил, фурил, пирролил, пиразолил, имидазолил и триазолил, или он может быть частично или полностью гидрированным радикалом, таким как оксиранил, оксетанил, оксоланил (тетрагидрофурил), оксанил, пирролидил, пиперидил, пиперазинил, диоксоланил, оксазолинил, изоксазолинил, оксазолидинил, изоксазолидинил и морфолинил. Группа «гетероциклил» может быть незамещенной или замещенной одним или несколькими радикалами (предпочтительно 1, 2 или 3 радикалами), выбранными из группы, состоящей из галогена, алкокси, галогеналкокси, алкилтио, гидроксила, амино, нитро, карбоксила, циано, алкоксикарбонила, алкилкарбонила, формила, карбамоила, моно- и диалкиламинокарбонила, замещенного амино, такого как ациламино, моно- и диалкиламино, и алкилсульфинила, галогеналкилсульфинила, алкилсульфонила, галогеналкилсульфонила, алкила и галогеналкила и дополнительно также оксо. Оксогруппа может также присутствовать у тех гетероатомов кольца, где возможны различные степени окисления, например, в случае N и S. Термин «вредители» обозначает членистоногих вредителей (артропод) (включая насекомых и паукообразных) и гельминтов (включая нематод). Термин «паразиты» включает в себя всех вредителей, которые живут в организме животного и на теле животного. Предпочтительным классом соединений формулы (I) для применения в данном изобретении являются соединения, в которых: R1 обозначает CN; W обозначает С-галоген; R2 обозначает водород или галоген; R3 обозначает CF3 или OCF3; R4 обозначает водород, (С2-С6)-алкенил, (С2-С6)-галогеналкенил, (С2-С6)-алкинил, (С2-С6)-галогеналкинил, (С3-С7)-циклоалкил, СО2R8, -СН2R7, -СН2R9, OR7, OR8 или OR9; или (С1-С6)-алкил, незамещенный или замещенный одним или несколькими радикалами, выбранными из группы, состоящей из галогена, (С1-С6)-алкокси, (С1-С6)-галогеналкокси, (С3-С7)-циклоалкила, S(O)pR8 и СО2-(С1-С6)-алкила; А обозначает (С1-С6)-алкилен или (С1-С6)-галогеналкилен, в котором 2, 3 или 4 смежных атома углерода необязательно образуют часть (С3-С6)-циклоалкильного кольца, которое является незамещенным или замещено одним или несколькими радикалами, выбранными из группы, состоящей из (С1-С6)-алкила и галогена; R5 обозначает (С3-С6)-циклоалкил, -(СН2)qR7 или (С1-С6)-алкил, незамещенный или замещенный одним или несколькими радикалами, выбранными из группы, состоящей из галогена, (С1-С6)-алкокси, (С1-С6)-галогеналкокси, (С3-С6)-циклоалкила, S(O)pR8 и СО2-(С1-С6)-алкила; или, когда А обозначает (С1-С6)-алкил или (С1-С6)-галогеналкил и R5 обозначает (С1-С6)-алкил или (С1-С6)-галогеналкил, один или несколько из атомов углерода группы R5 могут, вместе с группой S(O)m и одним или несколькими атомами углерода А, образовывать 5- или 6-членное кольцо; R6 и R8, каждый, независимо, обозначают (С1-С6)-алкил или (С1-С6)-галогеналкил; R7 обозначает фенил, незамещенный или замещенный одним или несколькими радикалами, выбранными из группы, состоящей из галогена, (С1-С6)-алкила, (С1-С6)-галогеналкила, (С1-С6)-алкокси, CN, NO2, S(O)pR8 и NR11R12; R9 обозначает гетероциклил, незамещенный или замещенный одним или несколькими радикалами, выбранными из группы, состоящей из галогена, (С1-С4)-алкила, (С1-С4)-галогеналкила и (С1-С4)-алкокси; R11 и R12, одинаковые или различные, обозначают, каждый, водород, (С1-С6)-алкил или (С1-С6)-галогеналкил; m, n и р, каждый, независимо, равны 0, 1 или 2; и q равно 0 или 1. Другим предпочтительным классом соединений формулы (I) для применения в данном изобретении являются соединения, в которых: R1 обозначает CN; W обозначает С-галоген; R2 обозначает галоген; R3 обозначает CF3 или OCF3; R4 обозначает водород, (С2-С6)-алкенил, (С2-С6)-алкинил, (С3-С7)-циклоалкил, -СО2-(С1-С3)-алкил, -СО2-(С3-С6)-циклоалкил, -СО2-(С1-С3)-алкил-(С3-С6)-циклоалкил, -СН2R7 или -СН2R9; или (С1-С4)-алкил, незамещенный или замещенный одним или несколькими радикалами, выбранными из группы, состоящей из галогена, (С1-С3)-алкокси, (С1-С3)-галогеналкокси, (С3-С6)-циклоалкила, S(O)pR8, СО2-(С1-С3)-алкила, -О(С=О)-(С1-С3)-алкила, NR10R11, ОН, CN, NO2, OR7 или OR9; А обозначает (С1-С9)-алкилен или (С1-С9)-галогеналкилен, в котором 2, 3 или 4 смежных атома углерода необязательно образуют часть (С3-С8)-циклоалкильного кольца, которое является незамещенным или замещено одним или несколькими радикалами, выбранными из группы, состоящей из (С1-С6)-алкила и галогена; R5 обозначает (С3-С7)-циклоалкил, -(СН2)qR7; или обозначает (С1-С6)-алкил, незамещенный или замещенный одним или несколькими радикалами, выбранными из группы, состоящей из галогена, (С1-С3)-алкокси, (С1-С4)-галогеналкокси, (С3-С7)-циклоалкила, S(O)pR8, CN, NR10R11, S(O)pR7, S(O)pR9, OR7 и OR9; R6 обозначает (С1-С2)-галогеналкил; R7 обозначает фенил, незамещенный или замещенный одним или несколькими радикалами, выбранными из группы, состоящей из галогена, (С1-С4)-алкила, (С1-С4)-галогеналкила, (С1-С4)-алкокси, (С1-С4)-галогеналкокси, CN, NO2, S(O)pR8, COR11, NR10R11 и ОН; R8 обозначает (С1-С4)-алкил или (С1-С4)-галогеналкил; R9 обозначает гетероциклил, незамещенный или замещенный одним или несколькими радикалами, выбранными из группы, состоящей из галогена, (С1-С4)-алкила, (С1-С4)-галогеналкила и (С1-С4)-алкокси; R10 обозначает Н, (С1-С3)-алкил, (С1-С3)-галогеналкил, (С3-С4)-алкенил, (С3-С4)-алкинил, (С3-С6)-циклоалкил, -(С1-С6)-алкил-(С3-С6)-циклоалкил или -(СН2)qR13; или R10 и R11 вместе с присоединенным атомом N образуют пяти- или шестичленное насыщенное кольцо, которое необязательно содержит дополнительный гетероатом в кольце, выбранный из O, S и N, причем это кольцо является незамещенным или замещено одним или несколькими радикалами, выбранными из группы, состоящей из галогена и (С1-С3)-алкила; R11 и R14, каждый, независимо, обозначают Н, (С1-С3)-алкил, (С1-С3)-галогеналкил, (С3-С6)-циклоалкил или -(С1-С3)-алкил-(С3-С6)-циклоалкил; R13 обозначает фенил, незамещенный или замещенный одним или несколькими радикалами, выбранными из группы, состоящей из галогена, (С1-С3)-алкила, (С1-С3)-галогеналкила, (С1-С3)-алкокси, (С1-С3)-галогеналкокси, CN, NO2, S(O)pR8 и NR11R14; m, n и р, каждый, независимо, равны 0, 1 или 2; q равно 0 или 1; и каждый гетероциклил в вышеуказанных радикалах обозначает независимо гетероароматический радикал, имеющий 5 или 6 атомов кольца и 1, 2 или 3 гетероатома в кольце, выбранных из группы, состоящей из N, O и S. Следующим предпочтительным классом соединений формулы (I) для применения в данном изобретении являются соединения, в которых: R1 обозначает CN; W обозначает С-Cl; R2 обозначает хлор; R3 обозначает CF3 или OCF3; R4 обозначает водород, СО2-(С1-С3)-алкил или (С1-С6)-алкил, незамещенный или замещенный одним или несколькими радикалами, выбранными из группы, состоящей из галогена и (С1-С3)-алкокси; А обозначает (С1-С4)-алкилен; R5 обозначает (С3-С6)-циклоалкил, -(СН2)qR7, (С1-С6)-алкил или (С1-С6)-галогеналкил; или, когда R5 обозначает (С1-С6)-алкил, один или несколько из атомов углерода группы R5 могут, вместе с группой S(O)m и одним или несколькими атомами углерода А, образовывать 5- или 6-членное кольцо; R6 обозначает CF3, CF2Cl, CFCl2, CBrF2 или CHF2; R7 обозначает фенил; m и n, каждый, независимо, равны 0, 1 или 2; и q равно 0 или 1. Следующим предпочтительным классом соединений формулы (I) для применения в данном изобретении являются соединения, в которых: R1 обозначает CN; W обозначает С-Cl; R2 обозначает Cl; R3 обозначает CF3 или OCF3; R4 обозначает водород, (С2-С6)-алкенил, (С2-С6)-алкинил, (С3-С7)-циклоалкил, COR9 (где R9 обозначает тетрагидрофурил), -СОСН2-(С1-С6)-алкокси, -СО2-(С1-С6)-алкил, -СО2-(СН2)q-R7, OR7, OR8 или OR9 (где R9 обозначает пиридил); или (С1-С6)-алкил, незамещенный или замещенный одним или несколькими радикалами, выбранными из группы, состоящей из (С1-С6)-алкокси, (С3-С7)-циклоалкила или S(O)pR8; А обозначает (С1-С6)-алкилен, в котором 2, 3 или 4 смежных атома углерода необязательно образуют часть (С3-С6)-циклоалкильного кольца; R5 обозначает (С3-С6)-алкенил, (С3-С7)-циклоалкил, -(СН2)qR7 или NR10R11, при условии, что для последнего упомянутого радикала Х обозначает SO2; или обозначает (С1-С6)-алкил или (С1-С6)-галогеналкил; R6 обозначает CF3, CF2Cl, CFCl2, CBrF2, CHF2 или CH3; R7 обозначает фенил, незамещенный или замещенный одной или несколькими (С1-С6)-алкоксигруппами; R8 обозначает (С1-С6)-алкил; R10 и R11, одинаковые или различные, обозначают (С1-С6)-алкил; или R10 и R11 вместе с присоединенным атомом N образуют пяти- или шестичленное насыщенное кольцо, которое необязательно содержит дополнительный гетероатом в кольце, выбранный из O, S и N; m и n, каждый, независимо, равны 0, 1 или 2; и q равно 0 или 1. Другим предпочтительным классом соединений формулы (I) для применения в данном изобретении являются соединения, в которых: R1 обозначает CN; W обозначает С-галоген; R2 обозначает водород или галоген; R3 обозначает CF3 или OCF3; R4 обозначает водород, (С2-С6)-алкенил, (С2-С6)-галогеналкенил, (С2-С6)-алкинил, (С2-С6)-галогеналкинил, (С3-С6)-циклоалкил, -СО2-(С1-С6)-алкил или -СН2R7; или (С1-С6)-алкил, незамещенный или замещенный одним или несколькими радикалами, выбранными из группы, состоящей из галогена, (С1-С6)-алкокси, (С1-С6)-галогеналкокси, (С3-С6)-циклоалкила, S(O)pR8 и СО2-(С1-С6)-алкила; А обозначает (С1-С6)-алкилен или (С1-С6)-галогеналкилен, в котором 2, 3 или 4 смежных атома углерода необязательно образуют часть (С3-С6)-циклоалкильного кольца, которое является незамещенным или замещено одним или несколькими радикалами, выбранными из группы, состоящей из (С1-С6)-алкила и галогена; R5 обозначает (С3-С6)-циклоалкил или -(СН2)qR7; или обозначает (С1-С6)-алкил, незамещенный или замещенный одним или несколькими радикалами, выбранными из группы, состоящей из галогена, (С1-С6)-алкокси, (С1-С6)-галогеналкокси, (С3-С6)-циклоалкила, S(O)pR8 и СО2-(С1-С6)-алкила; или, когда А обозначает (С1-С6)-алкилен или (С1-С6)-галогеналкилен и R5 обозначает (С1-С6)-алкил, незамещенный или замещенный одним или несколькими радикалами-галогенами, один или несколько из атомов углерода группы R5 могут, вместе с S(O)m и одним или несколькими атомами углерода А, образовывать 5- или 6-членное кольцо; R6 и R8, каждый, независимо, обозначают (С1-С6)-алкил или (С1-С6)-галогеналкил; R7 обозначает фенил, незамещенный или замещенный одним или несколькими радикалами, выбранными из группы, состоящей из галогена, (С1-С6)-алкила, (С1-С6)-галогеналкила, (С1-С6)-алкокси, CN, NO2, S(O)pR8 и NR10R11; R10 и R11, каждый, независимо, обозначают Н, (С1-С6)-алкил или (С1-С6)-галогеналкил; m, n и р, каждый, независимо, равны 0, 1 или 2; и q равно 0 или 1. Следующим предпочтительным классом соединений формулы (I) для применения в данном изобретении являются соединения, в которых: R1 обозначает CN; W обозначает С-галоген; R2 обозначает галоген; R3 обозначает CF3 или OCF3; R4 обозначает водород, (С2-С6)-алкенил, (С2-С6)-галогеналкенил, (С3-С7)-циклоалкил, (С1-С4)-алкил-(С3-С7)-циклоалкил, -СО2-(С1-С6)-алкил, (С1-С6)-алкил или (С1-С6)-галогеналкил; А обозначает (С1-С12)-алкилен, который является незамещенным или замещен одним или несколькими радикалами, выбранными из группы, состоящей из (С1-С6)-алкила и галогена; R5 обозначает (С1-С6)-алкил; R6 обозначает CF3, CF2Cl, CFCl2, CBrF2 или CHF2; и m и n, каждый, независимо, равны 0, 1 или 2. Кроме того, особенно предпочтительными классами соединений формулы (I) для применения в данном изобретении являются соединения, в которых присутствуют один или несколько из следующих частных случаев: R4 обозначает водород, (С1-С4)-алкил, -СО2-(С1-С4)-алкил, (С3-С4)-алкенил, (С1-С2)-алкил-(С3-С4)-циклоалкил или (С3-С4)-циклоалкил; R5 обозначает (С1-С2)-алкил; и А обозначает (С2-С3)-алкилен. Другим особенно предпочтительным классом соединений для применения в данном изобретении являются соединения, в которых: R1 обозначает CN; R2 обозначает хлор; R3 обозначает CF3; W обозначает С-Cl; R4 обозначает водород, (С1-С4)-алкил, -СО2-(С1-С4)-алкил, (С3-С4)-алкенил, (С1-С2)-алкил-(С3-С4)-циклоалкил или (С3-С4)-циклоалкил; R5 обозначает (С1-С2)-алкил; R6 обозначает CF3; А обозначает (С2-С3)-алкилен; и m и n, каждый, независимо, равны 0, 1 или 2. Более предпочтительным классом соединений формулы (I) для применения в данном изобретении являются соединения, в которых: R1 обозначает CN; R2 обозначает хлор; R3 обозначает CF3 или OCF3; W обозначает С-Cl; R4 обозначает водород или (С1-С6)-алкил; R5 обозначает (С1-С6)-алкил; R6 обозначает CF3; А обозначает (С1-С4)-алкилен и m и n, каждый, независимо, равны 0, 1 или 2. Далее, особенно предпочтительными классами соединений формулы (I) для применения в данном изобретении являются соединения, в которых присутствуют один или несколько из следующих частных случаев: W обозначает C-Cl; R2 обозначает хлор; R3 обозначает CF3 или OCF3; R4 обозначает водород, (С1-С6)-алкил или (С1-С6)-галогеналкил; R5 обозначает (С1-С6)-алкил; R6 обозначает (С1-С3)-галогеналкил (R6 обозначает более предпочтительно CF3); и/или А обозначает (С1-С6)-алкилен (более предпочтительно А обозначает (С2-С3)-алкилен). Некоторые из соединений формулы (I) являются новыми, и следующий частный случай данного изобретения относится, следовательно, к новым соединениям формулы (I). Одним из классов новых производных 5-замещенных алкиламинопиразолов формулы (I) или их пестицидно-приемлемых солей являются соединения, в которых: R1 обозначает CN; W обозначает С-галоген или С-СН3; R2 обозначает водород, галоген или CH3; R3 обозначает (С1-С3)-галогеналкил, (С1-С3)-галогеналкокси или S(O)p-(С1-С3)-галогеналкил; R4 обозначает (С2-С6)-алкенил, (С2-С6)-галогеналкенил, (С2-С6)-алкинил, (С2-С6)-галогеналкинил, (С3-С7)-циклоалкил, СО-(СН2)q-R7, СО-(СН2)q-R9, -СО-(С1-С4)-алкил-(С1-С6)-алкокси, -СО2-(СН2)q-R7, -СО2R8, -СО2-(СН2)q-R9, -СО2-(С3-С7)-циклоалкил, -СО2-(С1-С4)-алкил-(С3-С7)-циклоалкил, -СО2-(С3-С6)-алкенил, -СО2-(С3-С6)-алкинил, CONR10R11, -СН2R7, -СН2R9, OR7, OR8 или OR9; или (С1-С6)-алкил, который замещен одним или несколькими радикалами, выбранными из группы, состоящей из галогена, (С1-С6)-алкокси, (С1-С6)-галогеналкокси, (С3-С7)-циклоалкила, S(O)pR8, СО2-(С1-С6)-алкила, -О(С=О)-(С1-С6)-алкила, NR10COR12, NR10R11, CONR10R11, SO2NR10R11, ОН, CN, NO2, OR7, NR10SO2R8, COR8 и OR9; А обозначает (С1-С12)-алкилен [предпочтительно (С1-С6)-алкилен] или (С1-С12)-галогеналкилен [предпочтительно (С1-С6)-галогеналкилен], в котором 2, 3 или 4 смежных атома углерода необязательно образуют часть (С3-С8)-циклоалкильного кольца, которое является незамещенным или замещено одним или несколькими радикалами, выбранными из группы, состоящей из (С1-С6)-алкила и галогена; или обозначает (С1-С12)-алкилен или (С1-С12)-галогеналкилен, в двух последних упомянутых группах которых метиленовая часть заменена группой, выбранной из -С(=О)-, -C(=NH)-, -O-, -S- и -NR15-, при условии, что эта заменяющая группа не связана с соседней группой S(O)m или атомом N; или обозначает (С2-С12)-алкенилен или (С2-С12)-галогеналкенилен; R5 обозначает Н, (С3-С6)-алкенил, (С3-С6)-галогеналкенил, (С3-С6)-алкинил, (С3-С6)-галогеналкинил, (С3-С7)-циклоалкил, -(СН2)qR7, -(СН2)qR9 или NR10R11, при условии, что для последнего упомянутого радикала m равно 2; или обозначает (С1-С6)-алкил, незамещенный или замещенный одним или несколькими радикалами, выбранными из группы, состоящей из галогена, (С1-С6)-алкокси, (С1-С6)-галогеналкокси, (С3-С6)-алкенилокси, (С3-С6)-галогеналкенилокси, (С3-С6)-алкинилокси, (С3-С6)-галогеналкинилокси, (С3-С7)-циклоалкила, S(O)pR8, CN, NO2, ОН, COR10, NR10COR12, NR10SO2R8, CONR10R11, NR10R11, S(O)pR7, S(O)pR9, OR7, OR9 и СО2R10; или, когда А обозначает (С1-С12)-алкилен или (С1-С12)-галогеналкилен и R5 обозначает (С1-С6)-алкил, незамещенный или замещенный одним или несколькими радикалами-галогенами, один или несколько из атомов углерода R5 могут, вместе с S(O)m и одним или несколькими атомами углерода А, образовывать 5- или 6-членное кольцо; R6 обозначает (С1-С6)-алкил, (С1-С6)-галогеналкил, (С2-С6)-алкенил, (С2-С6)-галогеналкенил, (С2-С6)-алкинил или (С2-С6)-галогеналкинил; R7 обозначает фенил, незамещенный или замещенный одним или несколькими радикалами, выбранными из группы, состоящей из галогена, (С1-С6)-алкила, (С1-С6)-галогеналкила, (С1-С6)-алкокси, (С1-С6)-галогеналкокси, CN, NO2, S(O)pR8, COR11, COR13, CONR10R11, SO2NR10R11, NR10R11, ОН, SO3Н и (С1-С6)-алкилиденимино; R8 обозначает (С1-С6)-алкил или (С1-С6)-галогеналкил; R9 обозначает гетероциклил, незамещенный или замещенный одним или несколькими радикалами, выбранными из группы, состоящей из галогена, (С1-С4)-алкила, (С1-С4)-галогеналкила, (С1-С4)-алкокси, (С1-С4)-галогеналкокси, NO2, CN, СО2-(С1-С6)-алкила, S(O)pR8, ОН и оксо; R10 и R12, каждый, независимо, обозначают Н, (С1-С6)-алкил, (С1-С6)-галогеналкил, (С3-С6)-алкенил, (С3-С6)-галогеналкенил, (С3-С6)-алкинил, (С3-С6)-галогеналкинил, (С3-С6)-циклоалкил, -(С1-С6)-алкил-(С3-С6)-циклоалкил, -(СН2)qR13 или -(СН2)qR9; или R10 и R11 и/или R10 и R12, в каждом случае независимо, вместе с соответствующим присоединенным атомом N образуют пяти- или шестичленное насыщенное кольцо, которое необязательно содержит дополнительный гетероатом в кольце, выбранный из O, S и N, причем это кольцо является незамещенным или замещено одним или несколькими радикалами, выбранными из группы, состоящей из галогена, (С1-С6)-алкила и (С1-С6)-галогеналкила; R11 и R14, каждый, независимо, обозначают Н, (С1-С6)-алкил, (С1-С6)-галогеналкил, (С3-С6)-циклоалкил или -(С1-С6)-алкил-(С3-С6)-циклоалкил; R13 обозначает фенил, незамещенный или замещенный одним или несколькими радикалами, выбранными из группы, состоящей из галогена, (С1-С6)-алкила, (С1-С6)-галогеналкила, (С1-С6)-алкокси, (С1-С6)-галогеналкокси, CN, NO2, S(O)pR8 и NR11R14; R15 обозначает R11 или -(СН2)qR13; m, n и р, каждый, независимо, равны 0, 1 или 2; q равно 0 или 1; и каждый гетероциклил в вышеуказанных радикалах обозначает независимо гетероциклический радикал, имеющий 3-7 атомов кольца и 1, 2 или 3 гетероатома в кольце, выбранных из группы, состоящей из N, O и S. Предпочтительным классом соединений формулы (I) являются соединения, в которых: R1 обозначает CN; W обозначает С-галоген; R2 обозначает водород или галоген; R3 обозначает CF3 или OCF3; R4 обозначает (С2-С6)-алкенил, (С2-С6)-галогеналкенил, (С2-С6)-алкинил, (С2-С6)-галогеналкинил, (С3-С7)-циклоалкил, СО2R8, -СО2-(С3-С6)-алкенил, -СО2-(С3-С6)-алкинил, -СО2-СН2R7, -СН2R9, OR7, OR8 или OR9; или (С1-С6)-алкил, который замещен одним или несколькими радикалами, выбранными из группы, состоящей из галогена, (С1-С6)-алкокси, (С1-С6)-галогеналкокси, (С3-С7)-циклоалкила, S(O)pR8 и СО2-(С1-С6)-алкила; А обозначает (С1-С6)-алкилен или (С1-С6)-галогеналкилен, в котором 2, 3 или 4 смежных атома углерода необязательно образуют часть (С3-С6)-циклоалкильного кольца, которое является незамещенным или замещено одним или несколькими радикалами, выбранными из группы, состоящей из (С1-С6)-алкила и галогена; R5 обозначает (С3-С6)-циклоалкил, -(СН2)qR7 или (С1-С6)-алкил, незамещенный или замещенный одним или несколькими радикалами, выбранными из группы, состоящей из галогена, (С1-С6)-алкокси, (С1-С6)-галогеналкокси, (С3-С6)-циклоалкила, S(O)pR8 и СО2-(С1-С6)-алкила; или, когда А обозначает (С1-С6)-алкил или (С1-С6)-галогеналкил и R5 обозначает (С1-С6)-алкил или (С1-С6)-галогеналкил, один или несколько из атомов углерода группы R5 могут, вместе с группой S(O)m и одним или несколькими атомами углерода А, образовывать 5- или 6-членное кольцо; R6 и R8, каждый, независимо, обозначают (С1-С6)-алкил или (С1-С6)-галогеналкил; R7 обозначает фенил, незамещенный или замещенный одним или несколькими радикалами, выбранными из группы, состоящей из галогена, (С1-С6)-алкила, (С1-С6)-галогеналкила, (С1-С6)-алкокси, CN, NO2, S(O)pR8 и NR11R12; R9 обозначает гетероциклил, незамещенный или замещенный одним или несколькими радикалами, выбранными из группы, состоящей из галогена, (С1-С4)-алкила, (С1-С4)-галогеналкила и (С1-С4)-алкокси; R11 и R12, одинаковые или различные, обозначают, каждый, водород, (С1-С6)-алкил или (С1-С6)-галогеналкил; m, n и р, каждый, независимо, равны 0, 1 или 2; и q равно 0 или 1. Другим предпочтительным классом соединений формулы (I) являются соединения, в которых: R1 обозначает CN; W обозначает C-галоген; R2 обозначает водород или галоген; R3 обозначает CF3 или OCF3; R4 обозначает (C2-C6)-алкенил, (C2-C6)-галогеналкенил, (C2-C6)-алкинил, (C2-C6)-галогеналкинил, (C3-C6)-циклоалкил, CO2R8, -CO2-(C3-C6)-алкинил или -CH2R7; или (C1-C6)-алкил, который замещен одним или несколькими радикалами, выбранными из группы, состоящей из галогена, (C1-C6)-алкокси, (C1-C6)-галогеналкокси, (C3-C6)-циклоалкила, S(O)pR8 и CO2-(C1-C6)-алкила; A обозначает (C1-C6)-алкилен или (C1-C6)-галогеналкилен, в котором 2, 3 или 4 смежных атома углерода необязательно образуют часть (C3-C6)-циклоалкильного кольца, которое является незамещенным или замещено одним или несколькими радикалами, выбранными из группы, состоящей из (C1-C6)-алкила и галогена; R5 обозначает (C3-C6)-циклоалкил или -(CH2)qR7; или обозначает (C1-C6)-алкил, незамещенный или замещенный одним или несколькими радикалами, выбранными из группы, состоящей из галогена, (C1-C6)-алкокси, (C1-C6)-галогеналкокси, (C3-C6)-циклоалкила, S(O)pR8 и CO2-(C1-C6)-алкила; или, когда А обозначает (C1-C6)-алкилен или (C1-C6)-галогеналкилен и R5 обозначает (C1-C6)-алкил, незамещенный или замещенный одним или несколькими радикалами-галогенами, один или несколько из атомов углерода группы R5 могут, вместе с группой S(O)m и одним или несколькими атомами углерода А, образовывать 5- или 6-членное кольцо; R6 и R8, каждый, независимо, обозначают (C1-C6)-алкил или (C1-C6)-галогеналкил; R7 обозначает фенил, незамещенный или замещенный одним или несколькими радикалами, выбранными из группы, состоящей из галогена, (C1-C6)-алкила, (C1-C6)-галогеналкила, (C1-C6)-алкокси, CN, NO2, S(O)pR8 и NR10R11; R10 и R11, каждый, независимо, обозначают H, (C1-C6)-алкил или (C1-C6)-галогеналкил; m, n и p, каждый, независимо, равны 0, 1 или 2; и q равно 0 или 1. Другим предпочтительным классом соединений формулы (I) являются соединения, в которых: R1 обозначает CN; W обозначает С-галоген; R2 обозначает галоген; R3 обозначает CF3 или OCF3; R4 обозначает (С2-С6)-алкенил, (С2-С6)-алкинил, (С3-С7)-циклоалкил, -СО2R8, -СО2-(С3-С6)-алкинил, -СО2-(С3-С6)-циклоалкил, -СО2-(С1-С3)-алкил-(С3-С6)-циклоалкил, -СН2R7 или -СН2R9; или (С1-С4)-алкил, который замещен одним или несколькими радикалами, выбранными из группы, состоящей из галогена, (С1-С3)-алкокси, (С1-С3)-галогеналкокси, (С3-С6)-циклоалкила, S(O)pR8, СО2-(С1-С3)-алкила, -О(С=О)-(С1-С3)-алкила, NR10R11, ОН, CN, NO2, OR7 или OR9; А обозначает (С1-С9)-алкилен или (С1-С9)-галогеналкилен, в котором 2, 3 или 4 смежных атома углерода необязательно образуют часть (С3-С8)-циклоалкильного кольца, которое является незамещенным или замещено одним или несколькими радикалами, выбранными из группы, состоящей из (С1-С6)-алкила и галогена; R5 обозначает (С3-С7)-циклоалкил, -(СН2)qR7; или обозначает (С1-С6)-алкил, незамещенный или замещенный одним или несколькими радикалами, выбранными из группы, состоящей из галогена, (С1-С3)-алкокси, (С1-С4)-галогеналкокси, (С3-С7)-циклоалкила, S(O)pR8, CN, NR10R11, S(O)pR7, S(O)pR9, OR7 и OR9; R6 обозначает (С1-С2)-галогеналкил; R7 обозначает фенил, незамещенный или замещенный одним или несколькими радикалами, выбранными из группы, состоящей из галогена, (С1-С4)-алкила, (С1-С4)-галогеналкила, (С1-С4)-алкокси, (С1-С4)-галогеналкокси, CN, NO2, S(O)pR8, COR11, NR10R11 и ОН; R8 обозначает (С1-С4)-алкил или (С1-С4)-галогеналкил; R9 обозначает гетероциклил, незамещенный или замещенный одним или несколькими радикалами, выбранными из группы, состоящей из галогена, (С1-С4)-алкила, (С1-С4)-галогеналкила и (С1-С4)-алкокси; R10 обозначает Н, (С1-С3)-алкил, (С1-С3)-галогеналкил, (С3-С4)-алкенил, (С3-С4)-алкинил, (С3-С6)-циклоалкил, -(С1-С6)-алкил-(С3-С6)-циклоалкил или -(СН2)qR13; или R10 и R11 вместе с присоединенным атомом N образуют пяти- или шестичленное насыщенное кольцо, которое необязательно содержит дополнительный гетероатом в кольце, выбранный из O, S и N, причем это кольцо является незамещенным или замещено одним или несколькими радикалами, выбранными из группы, состоящей из галогена и (С1-С3)-алкила; R11 и R14, каждый, независимо, обозначают Н, (С1-С3)-алкил, (С1-С3)-галогеналкил, (С3-С6)-циклоалкил или -(С1-С3)-алкил-(С3-С6)-циклоалкил; R13 обозначает фенил, незамещенный или замещенный одним или несколькими радикалами, выбранными из группы, состоящей из галогена, (С1-С3)-алкила, (С1-С3)-галогеналкила, (С1-С3)-алкокси, (С1-С3)-галогеналкокси, CN, NO2, S(O)pR8 и NR11R14; m, n и р, каждый, независимо, равны 0, 1 или 2; q равно 0 или 1; и каждый гетероциклил в вышеуказанных радикалах обозначает независимо гетероароматический радикал, имеющий 5 или 6 атомов кольца и 1, 2 или 3 гетероатома в кольце, выбранных из группы, состоящей из N, O и S. Следующим предпочтительным классом соединений формулы (I) являются соединения, в которых: R1 обозначает CN; W обозначает С-Cl; R2 обозначает хлор; R3 обозначает CF3 или OCF3; R4 обозначает СО2-(С1-С3)-алкил или (С1-С6)-алкил, который замещен одним или несколькими радикалами, выбранными из группы, состоящей из галогена и (С1-С3)-алкокси; А обозначает (С1-С4)-алкилен; R5 обозначает (С3-С6)-циклоалкил, -(СН2)qR7, (С1-С6)-алкил или (С1-С6)-галогеналкил; или, когда R5 обозначает (С1-С6)-алкил, один или несколько из атомов углерода группы R5 могут, вместе с группой S(O)m и одним или несколькими атомами углерода А, образовывать 5- или 6-членное кольцо; R6 обозначает CF3, CF2Cl, CFCl2, CBrF2 или CHF2; R7 обозначает фенил; m и n, каждый, независимо, равны 0, 1 или 2; и q равно 0 или 1. Следующим предпочтительным классом соединений формулы (I) являются соединения, в которых: R1 обозначает CN; W обозначает С-галоген; R2 обозначает галоген; R3 обозначает CF3 или OCF3; R4 обозначает (С2-С6)-алкенил, (С2-С6)-галогеналкенил, (С3-С7)-циклоалкил, (С1-С4)-алкил-(С3-С7)-циклоалкил, -СО2-(С1-С6)-алкил или (С1-С6)-галогеналкил; А обозначает (С1-С12)-алкилен, который является незамещенным или замещен одним или несколькими радикалами, выбранными из группы, состоящей из (С1-С6)-алкила и галогена; R5 обозначает (С1-С6)-алкил; R6 обозначает CF3, CF2Cl, CFCl2, CBrF2 или CHF2; и m и n, каждый, независимо, равны 0, 1 или 2. Особенно предпочтительным классом соединений формулы (I) являются соединения, в которых: R1 обозначает CN; R2 обозначает хлор; R3 обозначает CF3; W обозначает С-Cl; R4 обозначает -СО2-(С1-С4)-алкил, (С3-С4)-алкенил, (С1-С2)-алкил-(С3-С4)-циклоалкил или (С3-С4)-циклоалкил (более предпочтительно R4 обозначает -СО2-(С1-С4)-алкил); R5 обозначает (С1-С2)-алкил; R6 обозначает CF3; А обозначает (С2-С3)-алкилен; и m и n, каждый, независимо, равны 0, 1 или 2. Другим классом новых производных 5-замещенных алкиламинопиразолов формулы (I) или их пестицидно-приемлемых солей являются соединения, в которых: R1 обозначает CN; W обозначает С-галоген или С-СН3; R2 обозначает водород, галоген или CH3; R3 обозначает (С1-С3)-галогеналкил, (С1-С3)-галогеналкокси или S(O)p-(С1-С3)-галогеналкил; R4 обозначает водород, (С1-С6)-алкил или COR8; А обозначает (С1-С12)-алкилен [предпочтительно (С1-С6)-алкилен] или (С1-С12)-галогеналкилен [предпочтительно (С1-С6)-галогеналкилен], в котором 2, 3 или 4 смежных атома углерода необязательно образуют часть (С3-С8)-циклоалкильного кольца, которое является незамещенным или замещено одним или несколькими радикалами, выбранными из группы, состоящей из (С1-С6)-алкила и галогена; или обозначает (С1-С12)-алкилен или (С1-С12)-галогеналкилен, в двух последних упомянутых группах которых метиленовая часть заменена группой, выбранной из -С(=О)-, -C(=NH)-, -O-, -S- и -NR15-, при условии, что эта заменяющая группа не связана с соседней группой S(O)m или атомом N; или обозначает (С2-С12)-алкенилен или (С2-С12)-галогеналкенилен; R5 обозначает Н, (С3-С6)-алкенил, (С3-С6)-галогеналкенил, (С3-С6)-алкинил, (С3-С6)-галогеналкинил, (С3-С7)-циклоалкил, -(СН2)qR7, -(СН2)qR9 или NR10R11, при условии, что для последнего упомянутого радикала S(O)m обозначает SO2; или обозначает (С1-С6)-алкил, замещенный одним или несколькими радикалами, выбранными из группы, состоящей из галогена, (С1-С6)-алкокси, (С1-С6)-галогеналкокси, (С3-С6)-алкенилокси, (С3-С6)-галогеналкенилокси, (С3-С6)-алкинилокси, (С3-С6)-галогеналкинилокси, (С3-С7)-циклоалкила, S(O)pR8, CN, NO2, ОН, COR10, NR10COR12, NR10SO2R8, CONR10R11, NR10R11, S(O)pR7, S(O)pR9, OR7, OR9 и СО2R10; или, когда А обозначает (С1-С12)-алкилен или (С1-С12)-галогеналкилен и R5 обозначает (С1-С6)-алкил, замещенный одним или несколькими радикалами-галогенами, один или несколько из атомов углерода R5 могут, вместе с S(O)m и одним или несколькими атомами углерода А, образовывать 5- или 6-членное кольцо; R6 обозначает (С1-С6)-алкил, (С1-С6)-галогеналкил, (С2-С6)-алкенил, (С2-С6)-галогеналкенил, (С2-С6)-алкинил или (С2-С6)-галогеналкинил; R7 обозначает фенил, незамещенный или замещенный одним или несколькими радикалами, выбранными из группы, состоящей из галогена, (С1-С6)-алкила, (С1-С6)-галогеналкила, (С1-С6)-алкокси, (С1-С6)-галогеналкокси, CN, NO2, S(O)pR8, COR11, COR13, CONR10R11, SO2NR10R11, NR10R11, ОН, SO3Н и (С1-С6)-алкилиденимино; R8 обозначает (С1-С6)-алкил или (С1-С6)-галогеналкил; R9 обозначает гетероциклил, незамещенный или замещенный одним или несколькими радикалами, выбранными из группы, состоящей из галогена, (С1-С4)-алкила, (С1-С4)-галогеналкила, (С1-С4)-алкокси, (С1-С4)-галогеналкокси, NO2, CN, СО2-(С1-С6)-алкила, S(O)pR8, ОН и оксо; R10 и R12, каждый, независимо, обозначают Н, (С1-С6)-алкил, (С1-С6)-галогеналкил, (С3-С6)-алкенил, (С3-С6)-галогеналкенил, (С3-С6)-алкинил, (С3-С6)-галогеналкинил, (С3-С6)-циклоалкил, -(С1-С6)-алкил-(С3-С6)-циклоалкил, -(СН2)qR13 или -(СН2)qR9; или R10 и R11 и/или R10 и R12, в каждом случае независимо, вместе с соответствующим присоединенным атомом N образуют пяти- или шестичленное насыщенное кольцо, которое необязательно содержит дополнительный гетероатом в кольце, выбранный из O, S и N, причем это кольцо является незамещенным или замещено одним или несколькими радикалами, выбранными из группы, состоящей из галогена, (С1-С6)-алкила и (С1-С6)-галогеналкила; R11 и R14, каждый, независимо, обозначают Н, (С1-С6)-алкил, (С1-С6)-галогеналкил, (С3-С6)-циклоалкил или -(С1-С6)-алкил-(С3-С6)-циклоалкил; R13 обозначает фенил, незамещенный или замещенный одним или несколькими радикалами, выбранными из группы, состоящей из галогена, (С1-С6)-алкила, (С1-С6)-галогеналкила, (С1-С6)-алкокси, (С1-С6)-галогеналкокси, CN, NO2, S(O)pR8 и NR11R14; R15 обозначает R11 или -(СН2)qR13; m, n и р, каждый, независимо, равны 0, 1 или 2; q равно 0 или 1; и каждый гетероциклил в вышеуказанных радикалах обозначает независимо гетероциклический радикал, имеющий 3-7 атомов кольца и 1, 2 или 3 гетероатома в кольце, выбранных из группы, состоящей из N, O и S. Предпочтительным классом соединений формулы (I) являются соединения, в которых: R1 обозначает CN; W обозначает С-галоген; R2 обозначает водород или галоген; R3 обозначает CF3 или OCF3; R4 обозначает водород, (С1-С6)-алкил или COR8; А обозначает (С1-С6)-алкилен или (С1-С6)-галогеналкилен, в котором 2, 3 или 4 смежных атома углерода необязательно образуют часть (С3-С6)-циклоалкильного кольца, которое является незамещенным или замещено одним или несколькими радикалами, выбранными из группы, состоящей из (С1-С6)-алкила и галогена; R5 обозначает (С3-С6)-циклоалкил, -(СН2)qR7; или обозначает (С1-С6)-алкил, замещенный одним или несколькими радикалами, выбранными из группы, состоящей из галогена, (С1-С6)-алкокси, (С1-С6)-галогеналкокси, (С3-С6)-циклоалкила, S(O)pR8 и СО2-(С1-С6)-алкила; или, когда А обозначает (С1-С6)-алкил или (С1-С6)-галогеналкил и R5 обозначает (С1-С6)-галогеналкил, один или несколько из атомов углерода группы R5 могут, вместе с группой S(O)m и одним или несколькими атомами углерода А, образовывать 5- или 6-членное кольцо; R6 и R8, каждый, независимо, обозначают (С1-С6)-алкил или (С1-С6)-галогеналкил; R7 обозначает фенил, незамещенный или замещенный одним или несколькими радикалами, выбранными из группы, состоящей из галогена, (С1-С6)-алкила, (С1-С6)-галогеналкила, (С1-С6)-алкокси, CN, NO2, S(O)pR8 и NR11R12; R9 обозначает гетероциклил, незамещенный или замещенный одним или несколькими радикалами, выбранными из группы, состоящей из галогена, (С1-С4)-алкила, (С1-С4)-галогеналкила и (С1-С4)-алкокси; R11 и R12, одинаковые или различные, обозначают, каждый, водород, (С1-С6)-алкил или (С1-С6)-галогеналкил; m, n и р, каждый, независимо, равны 0, 1 или 2; и q равно 0 или 1. Другим предпочтительным классом соединений формулы (I) являются соединения, в которых: R1 обозначает CN; W обозначает С-галоген; R2 обозначает водород или галоген; R3 обозначает CF3 или OCF3; R4 обозначает водород, (С1-С6)-алкил или COR8; А обозначает (С1-С6)-алкилен или (С1-С6)-галогеналкилен, в котором 2, 3 или 4 смежных атома углерода необязательно образуют часть (С3-С6)-циклоалкильного кольца, которое является незамещенным или замещено одним или несколькими радикалами, выбранными из группы, состоящей из (С1-С6)-алкила и галогена; R5 обозначает (С3-С6)-циклоалкил или -(СН2)qR7; или обозначает (С1-С6)-алкил, замещенный одним или несколькими радикалами, выбранными из группы, состоящей из галогена, (С1-С6)-алкокси, (С1-С6)-галогеналкокси, (С3-С6)-циклоалкила, S(O)pR8 и СО2-(С1-С6)-алкила; или, когда А обозначает (С1-С6)-алкилен или (С1-С6)-галогеналкилен и R5 обозначает (С1-С6)-алкил, замещенный одним или несколькими радикалами-галогенами, один или несколько из атомов углерода группы R5 могут, вместе с S(O)m и одним или несколькими атомами углерода А, образовывать 5- или 6-членное кольцо; R6 и R8, каждый, независимо, обозначают (С1-С6)-алкил или (С1-С6)-галогеналкил; R7 обозначает фенил, незамещенный или замещенный одним или несколькими радикалами, выбранными из группы, состоящей из галогена, (С1-С6)-алкила, (С1-С6)-галогеналкила, (С1-С6)-алкокси, CN, NO2, S(O)pR8 и NR10R11; R10 и R11, каждый, независимо, обозначают Н, (С1-С6)-алкил или (С1-С6)-галогеналкил; m, n и р, каждый, независимо, равны 0, 1 или 2; и q равно 0 или 1. Другим предпочтительным классом соединений формулы (I) являются соединения, в которых: R1 обозначает CN; W обозначает С-галоген; R2 обозначает галоген; R3 обозначает CF3 или OCF3; R4 обозначает водород, (С1-С6)-алкил или COR8; А обозначает (С1-С9)-алкилен или (С1-С9)-галогеналкилен, в котором 2, 3 или 4 смежных атома углерода необязательно образуют часть (С3-С8)-циклоалкильного кольца, которое является незамещенным или замещено одним или несколькими радикалами, выбранными из группы, состоящей из (С1-С6)-алкила и галогена; R5 обозначает (С3-С7)-циклоалкил, -(СН2)qR7; или обозначает (С1-С6)-алкил, замещенный одним или несколькими радикалами, выбранными из группы, состоящей из галогена, (С1-С3)-алкокси, (С1-С4)-галогеналкокси, (С3-С7)-циклоалкила, S(O)pR8, CN, NR10R11 и S(O)pR7; R6 обозначает (С1-С2)-галогеналкил; R7 обозначает фенил, незамещенный или замещенный одним или несколькими радикалами, выбранными из группы, состоящей из галогена, (С1-С4)-алкила, (С1-С4)-галогеналкила, (С1-С4)-алкокси, (С1-С4)-галогеналкокси, CN, NO2, S(O)pR8, COR11, NR10R11 и ОН; R8 обозначает (С1-С4)-алкил или (С1-С4)-галогеналкил; R9 обозначает гетероциклил, незамещенный или замещенный одним или несколькими радикалами, выбранными из группы, состоящей из галогена, (С1-С4)-алкила, (С1-С4)-галогеналкила и (С1-С4)-алкокси; R10 обозначает Н, (С1-С3)-алкил, (С1-С3)-галогеналкил, (С3-С4)-алкенил, (С3-С4)-алкинил, (С3-С6)-циклоалкил, -(С1-С6)-алкил-(С3-С6)-циклоалкил или -(СН2)qR13; или R10 и R11 вместе с присоединенным атомом N образуют пяти- или шестичленное насыщенное кольцо, которое необязательно содержит дополнительный гетероатом в кольце, выбранный из O, S и N, причем это кольцо является незамещенным или замещено одним или несколькими радикалами, выбранными из группы, состоящей из галогена и (С1-С3)-алкила; R11 и R14, каждый, независимо, обозначают Н, (С1-С3)-алкил, (С1-С3)-галогеналкил, (С3-С6)-циклоалкил или -(С1-С3)-алкил-(С3-С6)-циклоалкил; R13 обозначает фенил, незамещенный или замещенный одним или несколькими радикалами, выбранными из группы, состоящей из галогена, (С1-С3)-алкила, (С1-С3)-галогеналкила, (С1-С3)-алкокси, (С1-С3)-галогеналкокси, CN, NO2, S(O)pR8 и NR11R14; m, n и р, каждый, независимо, равны 0, 1 или 2; q равно 0 или 1; и каждый гетероциклил в вышеуказанных радикалах обозначает независимо гетероароматический радикал, имеющий 5 или 6 атомов кольца и 1, 2 или 3 гетероатома в кольце, выбранных из группы, состоящей из N, O и S. Следующим предпочтительным классом соединений формулы (I) являются соединения, в которых: R1 обозначает CN; W обозначает С-Cl; R2 обозначает хлор; R3 обозначает CF3 или OCF3; R4 обозначает водород, (С1-С6)-алкил или COR8; А обозначает (С1-С4)-алкилен; R5 обозначает (С3-С6)-циклоалкил, -(СН2)qR7 или (С1-С6)-галогеналкил; или, когда R5 обозначает (С1-С6)-галогеналкил, один или несколько из атомов углерода группы R5 могут, вместе с группой S(O)m и одним или несколькими атомами углерода А, образовывать 5- или 6-членное кольцо; R6 обозначает CF3, CF2Cl, CFCl2, CBrF2 или CHF2; R7 обозначает фенил; m и n, каждый, независимо, равны 0, 1 или 2; и q равно 0 или 1. Следующим предпочтительным классом соединений формулы (I) являются соединения, в которых: R1 обозначает CN; W обозначает С-галоген; R2 обозначает галоген; R3 обозначает CF3 или OCF3; R4 обозначает водород, (С1-С6)-алкил или COR8; А обозначает (С1-С12)-алкилен, который является незамещенным или замещенным одним или несколькими радикалами, выбранными из группы, состоящей из (С1-С6)-алкила и галогена; R5 обозначает (С1-С6)-галогеналкил; R6 обозначает CF3, CF2Cl, CFCl2, CBrF2 или CHF2; и m и n, каждый, независимо, равны 0, 1 или 2. Особенно предпочтительным классом соединений являются соединения, в которых: R1 обозначает CN; R2 обозначает хлор; R3 обозначает CF3; W обозначает С-Cl; R4 обозначает водород, (С1-С6)-алкил или COR8; R5 обозначает (С1-С2)-галогеналкил; R6 обозначает CF3; А обозначает (С2-С3)-алкилен; и m и n, каждый, независимо, равны 0, 1 или 2. Еще одним классом новых производных 5-замещенных алкиламинопиразолов формулы (I) или их пестицидно-приемлемых солей являются соединения, в которых: R1 обозначает CN; R2 обозначает хлор; R3 обозначает CF3 или OCF3; W обозначает С-Cl; R4 обозначает водород или (С1-С6)-алкил; R5 обозначает (С1-С6)-алкил; R6 обозначает CF3; А обозначает (С1-С4)-алкилен (предпочтительно А обозначает (С2-С3)-алкилен) и m и n, каждый, независимо, равны 0, 1 или 2. Следующим особенно предпочтительным вариантом данного изобретения являются новые производные 5-замещенных алкиламинопиразолов формулы (I) или их пестицидно-приемлемые соли, в которых: R1 обозначает CN; W обозначает С-Cl; R2 обозначает хлор; R3 обозначает CF3; R4 обозначает водород или (С1-С3)-алкил (более предпочтительно R4 обозначает водород или метил); А обозначает -СН2-СН2– или -СН2СН2-СН2-; R5 обозначает (С1-С4)-алкил (более предпочтительно R5 обозначает (С1-С2)-алкил, наиболее предпочтительно R5 обозначает метил); R6 обозначает CF3; и m и n, каждый, независимо, равны 0, 1 или 2. Соединения общей формулы (I) могут быть получены посредством применения или приспособления известных способов (то есть способов, использованных здесь или описанных в химической литературе). В дальнейшем описании способов, когда символы, появляющиеся в формулах, не определены особо, должно быть понятно, что они являются такими, «как определено выше», в соответствии с первым определением каждого символа в данном описании. Согласно частному случаю данного изобретения, соединения формулы (I), где R1, R2, R3, R6, W, A и n являются такими, как определено выше, R4 и R5 являются такими, как определено выше, за исключением водорода, и R4 обозначает Н, могут быть получены взаимодействием соединения формулы (II): где R1, R2, R3, R6, W и n являются такими, как определено выше, и L обозначает удаляемую (отщепляемую) группу, обычно галоген и предпочтительно бром, с соединением формулы (III): где А и m являются такими, как определено выше, и R5 является таким, как определено выше, за исключением водорода. Эту реакцию обычно проводят в присутствии основания, такого как карбонат щелочного металла, например, карбонат калия, в растворителе, таком как диоксан, тетрагидрофуран или N,N-диметилформамид, при температуре от 0 до 100°С (предпочтительно, 0-50°С). Согласно следующему частному случаю данного изобретения соединения формулы (I), где R1, R2, R3, R4, R6, W, А, m и n являются такими, как определено выше, и R4 является таким, как определено выше, за исключением водорода, OR7, OR8 и OR9, R5 является таким, как определено выше, за исключением водорода, могут быть также получены алкилированием или ацилированием соответствующего соединения формулы (IV): где R1, R2, R3, R6, W, А, m и n являются такими, как определено выше, и R5 является таким, как определено выше, за исключением водорода, с соединением формулы (V):
где R4 является таким, как определено выше, за исключением водорода, OR7, OR8 и OR9, и L1 обозначает удаляемую группу, обычно галоген и, предпочтительно, хлор или йод, в случае реакций алкилирования, или предпочтительно хлор, в случае реакций ацилирования. Эту реакцию обычно проводят в присутствии основания, такого как гидрид натрия, в растворителе, таком как диоксан, тетрагидрофуран или N,N-диметилформамид, при температуре от 0 до 100°С (предпочтительно, 0-50°С). Согласно следующему частному случаю данного изобретения, соединения формулы (I), где R1, R2, R3, R4, R6, W, A, m и n являются такими, как определено выше, и R5 является таким, как определено выше, за исключением водорода, могут быть также получены взаимодействием соединения формулы (VI):
где R1, R2, R3, R4, R6, W и n являются такими, как определено выше, с соединением формулы (VII): где m и А являются такими, как определено выше, R5 является таким, как определено выше, за исключением водорода, и L2 обозначает удаляемую группу, обычно галоген, и, предпочтительно, хлор. Эту реакцию обычно проводят в присутствии основания, такого как гидрид натрия, в растворителе, таком как диоксан, тетрагидрофуран или N,N-диметилформамид, при температуре от 0 до 100°С (предпочтительно, 0-50°С). Согласно следующему частному случаю данного изобретения, соединения формулы (I), где R1, R2, R3, R6, W, m и n являются такими, как определено выше, R5 является таким, как определено выше, за исключением водорода, R4 обозначает водород; m равно 0 и А обозначает -СН2-, могут быть получены взаимодействием соединения формулы (VIII): где R1, R2, R3, R6, W и n являются такими, как определено выше, со смесью формальдегида и соединения формулы (IX):
где R5 является таким, как определено выше, за исключением водорода. Эта реакция может проводиться в присутствии или в отсутствие основания, такого как карбонат щелочного металла, например, карбонат калия, в растворителе, таком как диоксан, тетрагидрофуран или N,N-диметилформамид, при температуре от 0 до 100°С (предпочтительно, 0-50°С ). Могут быть использованы различные формы формальдегида, например параформальдегид, когда в реакционной смеси может также присутствовать вода. Согласно следующему частному случаю данного изобретения соединения формулы (I), где R1, R2, R3, R4, R6, А, W и n являются такими, как определено выше, R5 является таким, как определено выше, за исключением водорода, и m равно 0, могут быть получены взаимодействием соединения формулы (Х): где R1, R2, R3, R4, А, W и n являются такими, как определено выше, с соединением формулы (XI): R5-L3 (XI) где R5 является таким, как определено выше, за исключением водорода, и L3 обозначает удаляемую группу, обычно галоген, например, хлор, или алкилсульфонильную группу. Эту реакцию обычно проводят с использованием соли щелочного металла, например, соли натрия, соединения формулы (Х), в инертном растворителе, таком как тетрагидрофуран, при температуре от 0 до 60°С. Согласно следующему частному случаю данного изобретения соединения формулы (I), где R1, R2, R3, R4, R5, R6, А, W и n являются такими, как определено выше, и m равно 0, могут быть также получены взаимодействием соединения формулы (XII): где R1, R2, R3, R4, А, W и n являются такими, как определено выше, и L4 обозначает удаляемую группу, обычно галоген, например, хлор, или алкилсульфонильную группу, с соединением формулы (IX), как определено выше. Эту реакцию обычно проводят в присутствии основания, например, гидрида щелочного металла, такого как гидрид натрия, или алкоксида щелочного металла, такого как трет-бутоксид калия, в инертном растворителе, таком как тетрагидрофуран, при температуре от 0 до 60°С, или карбоната щелочного металла, такого как карбонат калия, в инертном растворителе, таком как ацетон, при температуре от 0°С до температуры дефлегмации растворителя. Согласно следующему частному случаю данного изобретения соединения формулы (I), где R1, R2, R3, R4, R6, W, m и n являются такими, как определено выше, R5 является таким, как определено выше, за исключением водорода, и А обозначает (С2-С12)-алкилен, двухуглеродная цепь которого связывает R5S(O)m– и -NR4-группы, могут быть также получены взаимодействием соединения формулы (VI), приведенного выше, где R1, R2, R3, R4, R6, W и n являются такими, как определено выше, с соединением формулы (XIII): где R5 и m являются такими, как определено выше, и А1 обозначает (С2-С12)-алкенильную группу, в которой двойная связь является смежной с группой R5S(O)m. Эту реакцию обычно проводят в органическом растворителе при температуре от 0 до 200°С (предпочтительно, 0-100°С). Согласно следующему частному случаю данного изобретения, соединения формулы (I), где R1, R2, R3, R4, R6, А, W и n являются такими, как определено выше, R5 обозначает водород и m равно 0, могут быть получены взаимодействием соответствующего соединения формулы (XII), как определено выше, с соединением формулы (XIV): где Ra обозначает (С1-С6)-алкил, с получением соединения формулы (XV): где различные символы являются такими, как определено выше. Эту реакцию обычно проводят в присутствии основания, такого как гидрид щелочного металла, например, гидрид натрия, алкоксида щелочного металла, такого как этоксид натрия, или триэтиламина, в растворителе, таком как диоксан, тетрагидрофуран или N,N-диметилформамид, при температуре от 0 до 100°С. Затем соединение формулы (XV) гидролизуют с получением соответствующего соединения формулы (I), где R5 обозначает Н. Гидролиз обычно проводят с использованием основания, такого как водный аммиак или гидроксид щелочного металла, такой как гидроксид натрия, обычно в присутствии сорастворителя, такого как спирт, например, этанол, при температуре от 0 до 100°С. Альтернативно, гидролиз можно выполнять in situ без выделения (XV). Согласно следующему частному случаю данного изобретения соединения формулы (I), где R1, R2, R3, R4, R5, R6, W и А являются такими, как определено выше, и m и/или n равно 1 или 2, могут быть получены окислением соответствующего соединения, в котором m и/или n равно 0 или 1. Окисление проводят обычно с использованием перкислоты, такой как 3-хлорпербензойная кислота, в растворителе, таком как дихлорметан или 1,2-дихлорэтан, при температуре от 0°С до температуры дефлегмации растворителя. Серия соединений формулы (I), которая может быть синтезирована с использованием вышеописанного способа, может быть также получена параллельным образом, и это может выполняться вручную, или полуавтоматическим, или полностью автоматическим образом. В этом случае, можно, например, автоматизировать процедуру реакции, обработку или очистку продуктов или промежуточных продуктов. В целом, его можно рассматривать как способ, описанный, например, S.H. DeWitt в “Annual Reports in Combinatorial Chemistry and Molecular Diversity: Automated Synthesis”, том 1, издательство Escom 1997, с. 69-77. Ряд коммерчески доступных приборов, например, предоставляемых Stem Corporation, Woodrolfe Road, Tollesbury, Essex, CM9 8SE, England или H+P Labortechnik GmbH, Bruckmannring 28, 85764 Oberschlei Использование вышеуказанных аппаратов ведет к унификации способа, в котором отдельные стадии процесса являются автоматизированными, но между этими стадиями процесса должны выполняться мануальные операции. Этого можно избежать использованием полуинтегрированных или полностью интегрированных систем автоматизации, в которых рассматриваемые автоматические блоки управляются, например, роботами. Такие системы автоматизации могут быть получены, например, от фирмы Zymark Corporation, Zymark Center, Hopkinton, MA 01748, США. Помимо описанного здесь, соединения формулы (I), частично или полностью, могут быть получены твердофазными способами. Для этой цели отдельные промежуточные стадии или все промежуточные стадии этого синтеза или синтеза, приспособленного для проведения рассматриваемого способа, являются связанными с синтетической смолой. Способы синтеза на твердофазных носителях описаны подробно в специальной литературе, например, Barry A. Bunin в “The Combinatorial Index”, Academic Press, 1998. Применение способов синтеза на твердофазных носителях позволяет использовать ряд методов, которые известны из литературы, и которые, в свою очередь, могут выполняться вручную или автоматическим образом. Например, способ «чайного пакетика» («tea-bag method») (Houghten, US 4631211; Houghten et al., Proc. Natl. Acad. Sci, 1985, 82, 5131-5135), в котором используют продукты IRORI, 11149 North Torrey Pines Road, La Jolla, CA 92037, США, может быть полуавтоматическим. Автоматизацию параллельных синтезов на твердофазных носителях успешно выполняют, например, с использованием приборов Argonaut Technologies, Inc., 887 Industrial Road, San Carlos, CA 94070, США или MultiSynTech GmbH, Wullener Feld 4, 58454 Witten, Германия. Получение с использованием способов, описанных здесь, дает соединения формулы (I) в виде серии веществ, которые называют библиотеками. Данное изобретение относится также к библиотекам, которые содержат, по меньшей мере, два соединения формулы (I). Промежуточные продукты формулы (II), где L обозначает хлор, бром или йод, могут быть получены в соответствии с известными способами, например, описанными в ЕР 0295117, посредством диазотирования соответствующего амина формулы (VIII), обычно с использованием алкилнитрита, такого как трет-бутилнитрит, в присутствии подходящего галогенирующего агента, предпочтительно бромоформа, йода или безводного хлорида меди (II), необязательно, в присутствии растворителя, такого как ацетонитрил или хлороформ, при температуре от 0 до 100°С. Некоторые из соединений формулы (IV) и (Х) включены в определение формулы (I) и могут быть получены описанными выше способами, тогда как другие соединения формулы (IV) и (Х) являются известными или могут быть получены известными способами. Соединения формулы (XV) являются новыми и как таковые образуют следующий объект данного изобретения. Соединения формул (II), (III), (V), (VI), (VII), (VIII), (IX), (XI), (XII), (XIII) и (XIV) являются известными или могут быть получены известными способами. Химические примеры Следующие неограничивающие примеры иллюстрируют получение соединений формулы (I). ЯМР-спектры снимали в дейтерохлороформе, если нет других указаний. В нижеследующих примерах количества (также проценты) даны в расчете на массу, если нет других указаний. Пример 1 К раствору 5-бром-1-(2,6-дихлор-4-трифторметилфенил)-3-циано-4-трифторметилсульфонилпиразола (5,0 г, 9,7 ммоль) в 1,4-диоксане (20 мл) и N,N-диметилформамиде (20 мл) добавляли 3-этилтиопропиламин (2,306 г, 19,3 ммоль) и карбонат калия (2,7 г, 19,3 ммоль). Полученную смесь перемешивали при 20°С в течение 2,75 часов, оставляли стоять в течение ночи, затем выливали в смесь воды и дихлорметана. Органическую фазу промывали водой, сушили (сульфат натрия), упаривали и хроматографировали на силикагеле с элюцией смесью гептан-этилацетат (4:1) с получением 1-(2,6-дифхлор-4-трифторметилфенил)-3-циано-5-(3-этилтиопропиламино)-4-трифторметилсульфонилпиразола в виде желтого твердого вещества (соединение с номером 1-14, 4,79 г, выход 86%), т.пл. 80°С. Пример 2 К раствору 1-(2,6-дихлор-4-трифторметилфенил)-3-циано-5-(3-этилтиопропиламино)-4-трифторметилсульфонилпиразола (2,0 г, 3,6 ммоль) в тетрагидрофуране при 20°С в атмосфере азота добавляли гидрид натрия (0,461 г, 60% в масле, 11,5 ммоль) и перемешивали в течение 0,5 часа. Добавляли йодметан (2,065 г, 14,4 ммоль) и смесь перемешивали в течение 4,5 часов при 20°С, затем давали ей стоять в течение 2,5 дней. Эту смесь добавляли к этилацетату и насыщенному раствору хлорида аммония. Органический слой промывали водой и солевым раствором, сушили (сульфат натрия), упаривали и хроматографировали на силикагеле с элюцией смесью гептан-этилацетат (3:1) с получением 1-(2,6-дихлор-4-трифторметилфенил)-3-циано-5-[N-(3-этилтиопропил)-N-метиламино]-4-трифторметилсульфонилпиразола в виде светло-коричневого твердого вещества (соединение с номером 2-14, 1,3 г, выход 57%), т.пл. 89°С. Пример 3 м-Хлорпербензойную кислоту (0,091 г, 77%, 0,4 ммоль) добавляли к раствору 1-(2,6-дихлор-4-трифторметилфенил)-3-циано-5-[N-(3-этилтиопропил)-N-метиламино]-4-трифторметилсульфонилпиразола (0,23 г, 0,4 ммоль) в 1,2-дихлорэтане при 0-5°С. Смесь перемешивали при 0-5°С в течение 0,5 часа, затем выливали в насыщенный раствор бикарбоната натрия и этилацетат. Органический слой промывали солевым раствором, сушили (сульфат натрия), упаривали и хроматографировали на силикагеле с элюцией смесью гептан-этилацетат (1/1 – 3/7) с получением 1-(2,6-дихлор-4-трифторметилфенил)-3-циано-5-[N-(3-этилсульфинилпропил)-N-метиламино]-4-трифторметилсульфонилпиразола в виде светло-коричневого масла (соединение с номером 2-15, 0,186 г, 71%), 19F: -63,8, -78,7. Пример 4 Гидрид натрия (0,172 г, 4,3 ммоль) добавляли к раствору 1-(2,6-дихлор-4-трифторметилфенил)-3-циано-5-N-метиламино-4-трифторметилтиопиразола (1,5 г, 3,4 ммоль) в тетрагидрофуране, охлажденному на бане со смесью воды со льдом. Баню со льдом удаляли и смесь перемешивали при 20°С в течение 0,75 часа и добавляли хлорметилметилсульфид (0,456 г, 4,5 ммоль). Смесь перемешивали при 20°С в течение 6,5 часов и нагревали с обратным холодильником при дефлегмации в течение 2 часов, затем охлаждали и добавляли к насыщенному хлориду аммония и этилацетату. Органический слой промывали водой и солевым раствором, сушили (сульфат натрия), упаривали и хроматографировали на силикагеле с элюцией смесью гептан-этилацетат (9:1) с получением 1-(2,6-дихлор-4-трифторметилфенил)-3-циано-5-[N-метил-N-(метилтиометил)амино]-4-трифторметилтиопиразола в виде светло-желтого масла (соединение с номером 2-25, 0,59 г, выход 35%), 19F: -43,9, -63,7. Пример 5 Гидрид натрия (0,032 г, 60%, 0,8 ммоль) добавляли к раствору 1-(2,6-дихлор-4-трифторметилфенил)-3-циано-5-(3-этилтиопропиламино)-4-трифторметилсульфонилпиразола (0,3 г, 0,54 ммоль) в тетрагидрофуране при 20°С в атмосфере азота. Смесь перемешивали при 20°С в течение одного часа, затем добавляли этилхлорформиат (0,121 г, 1,1 ммоль). Смесь перемешивали при 20°С в течение 5 часов, затем выливали в насыщенный хлорид аммония и этилацетат. Органический слой промывали водой и солевым раствором, сушили (сульфат натрия), упаривали и хроматографировали на силикагеле с элюцией смесью гептан-этилацетат (4:1) с получением 1-(2,6-дихлор-4-трифторметилфенил)-3-циано-5-[N-этоксикарбонил-N-(3-этилтиопропил)амино]-4-трифторметилсульфонилпиразола в виде масла (соединение с номером 3-14, 0,278 г, выход 81%), 19F: -63,9; -77,9. Пример 6 К раствору 3-циано-5-метиламино-1-(2,6-дихлор-4-трифторметилфенил)-4-трифторметилсульфонилпиразола (0,5 г, 1,1 ммоль) в тетрагидрофуране добавляли гидрид натрия (60%, 0,06 г, 1,4 ммоль), затем 2-хлорэтилфенилсульфон (0,27 г, 1,3 ммоль). Смесь нагревали с обратным холодильником при дефлегмации в течение 10 часов. После экстракционной обработки и колоночной хроматографии с элюцией смесью гептан-этилацетат (1:1) получали 1-(2,6-дихлор-4-трифторметилфенил)-3-циано-5-N-(2-фенилсульфонилэтил)-N-метиламино-4-трифторметилсульфинилпиразол (соединение с номером 2-38, 0,26 г), 19F: -64,1; -73,0. Пример 7 К раствору 1-(2,6-дихлор-4-трифторметилфенил)-3-циано-5-(2-фенилтиоэтил)амино-4-трифторметилтиопиразола (0,15 г, 0,27 ммоль) в тетрагидрофуране добавляли этилхлорформиат (58 г, 0,54 ммоль) и диизопропилэтиламин (70 мг, 0,54 ммоль) и 4-диметиламинопиридин (10 мг). Смесь нагревали с обратным холодильником при дефлегмации в течение 1 часа. После экстракционной обработки и колоночной хроматографии с элюцией смесью гептан-этилацетат (1:1) получали 1-(2,6-дихлор-4-трифторметилфенил)-3-циано-5-N-(2-фенилтиоэтил)-N-этоксикарбониламино-4-трифторметилтиопиразол (соединение с номером 3-109, 0,07 г), 19F: -63,7; -70,8. Следующий ссылочный пример иллюстрирует получение промежуточных продуктов, используемых в синтезе в вышеописанных примерах. Ссылочный пример 1 Трет-бутилнитрит (84 мл, 0,662 моль) добавляли к суспензии 5-амино-1-(2,6-дихлор-4-трифторметилфенил)-3-циано-4-трифторметилсульфонилпиразола (100 г, 0,221 моль) в бромоформе (320 мл). Полученную смесь нагревали до 60-70°С в течение 3 часов. Добавляли вторую порцию трет-бутилнитрита (84 мл, 0,662 моль) и смесь перемешивали при 60-70°С еще в течение 2,5 часов. Затем ее охлаждали, промывали гексаном, смесью гексан-толуол и затем фильтровали. Твердое вещество промывали пентаном и сушили в вакууме с получением 5-бром-1-(2,6-дихлор-4-трифторметилфенил)-3-циано-4-трифторметилсульфонилпиразола в виде желтого твердого вещества (96,69 г, выход 79%), т.пл. 142°С. Следующие предпочтительные соединения, представленные в таблицах 1-12, также образуют часть данного изобретения и были получены или могут быть получены в соответствии с вышеописанными примерами 1-7, или вышеописанными общими способами, или аналогично вышеописанным примерам 1-7, или общим способам. В этих таблицах Et обозначает этил, i-Pr обозначает изопропил, n-Bu обозначает н-бутил, t-Bu обозначает трет-бутил, Ph обозначает фенил и 2-THF обозначает 2-тетрагидрофурил. В случаях, когда подстрочные цифры отсутствуют, должно быть понятно, что они подразумеваются, например, СН3 означает СН3. Величины сдвига сигнала 19F-ЯМР-спектров даются в м.д. Номера соединений приведены только для целей ссылки. Таблица I: Соединения формулы (I), в которых заместители имеют следующие значения: R1 = CN, R6 обозначает CF3, R4 обозначает водород, W = С-Cl, R2 = Cl, R3 = CF3. Таблица Х: Соединения формулы (Ia): Таблица XI: Соединения формулы (Ib): Таблица XII: Соединения формулы (Ic): Термин «соединение по данному изобретению» в последующем контексте включает в себя 5-замещенный алкиламинопиразол формулы (I), определенный выше, и его пестицидно-приемлемую соль. В предпочтительном аспекте данного изобретения соединения формулы (I) используют для уничтожения паразитов у животных. Предпочтительно, животным, подлежащим обработке, является домашнее животное-компаньон, такое как собака или кошка. В следующем аспекте данного изобретения соединения формулы (I) или их соли, или композиции используют для приготовления ветеринарного лекарственного средства, предпочтительно, для уничтожения паразитов, в частности, экто- и эндопаразитов, в организме животного и на теле животного. Соединения по данному изобретению и способы их применения являются особенно полезными для борьбы с членистоногими (артроподами) или гельминтами, которые являются вредными для домашних животных или переносят заболевания, или действуют в качестве переносчиков заболеваний домашних животных, например, упомянутых здесь выше, и более конкретно, в борьбе с клещами, клещиками, вшами, блохами, мелкими двукрылыми насекомыми или жалящими, надоедливыми или вызывающими миаз (энтомоз) мухами. Соединения данного изобретения особенно полезны в борьбе с членистоногими или гельминтами, которые присутствуют внутри домашних животных-хозяев или которые питаются в коже, или на коже, или сосут кровь животного, и для этой цели они могут вводиться перорально, парентерально, чрескожно или местно. Композиции, описанные далее, могут быть, в общем, применены к животным, зараженным членистоногими или гельминтами или подвергаемым заражению членистоногими или гельминтами, посредством парентерального, перорального или местного применения композиций, в которых активный ингредиент проявляет немедленное и/или пролонгированное действие на протяжении периода времени против членистоногих или гельминтов, например, включением в пищу или подходящие перорально принимаемые фармацевтические формы, пригодные в пищу приманки, солевые лизунцы, пищевые добавки, наливаемые формы, спреи, ванны, дезинфицирующие растворы, душевые растворы, распылители, дусты, технические жиры, шампуни, кремы, восковые замазки или системы самообработки для сельскохозяйственных животных. Соединения формулы (I) особенно полезны для уничтожения паразитов у животных при пероральном применении, и в следующем предпочтительном аспекте данного изобретения соединения формулы (I) используют для уничтожения паразитов у животных посредством перорального введения. Соединения формулы (I) или их соли могут вводиться до, во время или после приема пищи. Соединения формулы (I) или их соли могут быть смешаны с носителем и/или кормом. Соединение формулы (I) или его соль вводят перорально в определенной дозе животному обычно в диапазоне доз 0,1-500 мг/кг соединения формулы (I) или его соли на килограмм массы тела животного (мг/кг). Частота обработки животного, предпочтительно домашнего животного, подлежащего обработке соединением формулы (I) или его соли, составляет обычно от приблизительно одного раза в неделю до приблизительно одного раза в год, предпочтительно, от приблизительно одного раза каждые две недели до одного раза каждые три месяца. Соединения данного изобретения могут вводиться наиболее выгодным образом с другим паразитицидно эффективным материалом, таким как эндопаразитицид, и/или эктопаразитицид, и/или эндо-эктопаразитицид. Например, такие соединения включают в себя макроциклические лактоны, такие как авермектины или милбемицины, например, ивермектин, пирател или регулятор роста насекомых, такой как луфенурон или метопрен. Согласно следующему объекту данного изобретения, предложен способ борьбы с вредителями в очаге заражения, который предусматривает нанесение эффективного количества соединения формулы (I) или его соли. Для этой цели указанное соединение обычно используют в форме пестицидной композиции (то есть вместе с совместимыми разбавителями или носителями и/или поверхностно-активными агентами, пригодными для применения в пестицидных композициях), например, как описано далее. Одним аспектом данного изобретения, определенным выше, является способ борьбы с вредителями в очаге заражения. Этот очаг включает в себя, например, самого вредителя, место (растение, поле, лес, плодовый сад, водный путь, почву, растительный продукт или т.п.), где вредители обитают или питаются, или место, восприимчивое к будущему заражению вредителем. Таким образом, соединение данного изобретения может быть применено непосредственно к вредителю, к месту, где находится или питается вредитель, или к месту, восприимчивому к будущему заражению вредителем. Как видно из предыдущих применений пестицидов, данное изобретение относится к пестицидно-активным соединениям и способам применения указанных соединений для борьбы с рядом видов вредителей, которые включают в себя: членистоногих (артропод), в частности, насекомых или клещей, или растительных нематод. Таким образом, соединение по данному изобретению может быть выгодно использовано в практических приложениях, например, в ветеринарной медицине или животноводстве, при возделывании полевых или плодоовощных культур, в лесоводстве или в общественном здравоохранении. Соединения по данному изобретению могут быть использованы, например, в следующих приложениях и на следующих вредителях: В области ветеринарной медицины или животноводства или для соблюдения санитарно-гигиенических требований против членистоногих, которые являются внутренними или наружными паразитами у позвоночных животных, в частности, теплокровных позвоночных, например, таких как домашние животные, например, крупный рогатый скот, овцы, козы, лошади, свиньи, домашняя птица, собаки или кошки, например, против Acarina, в том числе таких как клещи (например, мягкие клещи, в том числе виды Argasidae, например, Argas spp. и Ornithodorus spp. (например, Ornithodorus moubata); твердые клещи, в том числе виды Ixodidae, например, Boophilus spp., например, Boophilus microplus, Rhipicephalus spp., например, Rhipicephalus appendiculatus и Rhipicephalus sanguineus; клещики (например, Damalinia spp.); блохи (например, Ctenocephalides spp., например, Ctenocephalides felis (блоха кошачья) и Ctenocephalides canis (блоха собачья)); вши, например, Menopon spp.; Diptera (например, Aedes spp., Anopheles spp., Musca spp., Hypoderma spp.); Hemiptera (полужесткокрылые клопы); Dictyoptera (например, Periplaneta spp., Blatella spp.); Hymenoptera (перепончатокрылые); например, против инфекций желудочно-кишечного тракта, вызываемых паразитическими червями нематодами, например, членами семейства Trichostrongylidae. Для борьбы с почвенными насекомыми, такими как блошка длинноусая, термиты (в частности, для защиты строений), корневые личинки, проволочники, корневые долгоносики, совки, насекомые, подгрызающие растения, корневая тля или червовидные личинки. Они могут быть также использованы для воздействия против растительных патогенных нематод, таких как фитогельминты (галлогельминты), свекловичная нематода, кинжаловидные нематоды, нематоды повреждений или стеблевые или луковичные нематоды, или против клещей. Для борьбы с такими почвенными вредителями, например, блошкой длинноусой, эти соединения предпочтительно наносят на почву или вводят при эффективной норме в почву, в которой посажены сельскохозяйственные культуры или должны быть посажены сельскохозяйственные культуры, или наносят на семена или корни растущих растений. В области общественного здравоохранения эти соединения особенно полезны в борьбе со многими насекомыми, в частности, мухами, обитающими в местах нечистот, или другими вредителями Diptera, такими как домовые мухи, жигалка обыкновенная, львинки, жигалки коровьи малые, оленьи слепни, мелкие двукрылые насекомые (комарики, звонцы), мокрецы, мошки или комары. Для защиты хранящихся продуктов, например, зерновых, в том числе зерна или муки, арахиса, кормов для животных, лесоматериала или вещей домашнего хозяйства, например, ковров и текстильных изделий, соединения данного изобретения применимы против нашествий членистоногих, более конкретно, жуков, в том числе долгоносиков, моли или клещиков, например, Ephestia spp. (мучной моли), Anthrenus spp. (музейных жуков), Tribolium spp. (хрущаков малых мучных), Sitophilus spp. (долгоносиков амбарных) или Acarus spp. (клещей). В борьбе с тараканами, муравьями или термитами или подобными членистоногими вредителями в зараженных домашних или промышленных помещениях или в борьбе с личинками комаров в водопротоках, колодцах, резервуарах или другой проточной или стоячей воде. Для обработки фундаментов, строений или почвы в предупреждении нашествия на постройки термитов, например, Reticulitermes spp., Heterotermes spp., Coptotermes spp. В сельском хозяйстве против имаго, личинок и яиц Lepidoptera (чешуекрылых) (бабочек и молей), например, Heliothis spp., таких как Heliothis virescens (листовертки табачной), Heliothis armigera и Heliothis zea. Против имаго и личинок Coleoptera (жесткокрылых) (жуков), например, Anthonomus spp., например, grandis (долгоносика хлопкового), Leptinotarsa decemlineata (колорадского картофельного жука), Diabrotica spp. (блошки длинноусой). Против Heteroptera (Hemiptera и Homoptera), например, Psylla spp., Bemisia spp., Trialeurodes spp., Aphis spp., Myzus spp., Megoura viciae, Phylloxera spp., Nephotettix spp. (цикадки рисовой), Nilaparvata spp. Против Diptera (двукрылых), например, Musca spp. Против Thysanoptera, таких как Thrips tabaci (трипс табачный). Против Orthoptera, таких как Locusta spp. и Schistocerca spp. (кобылки и сверчки), например, Gryllus spp. и Acheta spp., например, Blatta orientalis, Periplaneta americana, Blatella germanica, Locusta migratoria migratorioides и Schistocerca gregaria. Против ногохвосток, таких как Periplaneta spp. и Blatella spp. (таракановые). Против членистоногих сельскохозяйственного значения, таких как Acaria (клещики), например, Tetranychus spp. и Panonychus spp. Против нематод, которые нападают на растения или деревья, важные для сельского хозяйства, лесные хозяйства или плодоовощные хозяйства, либо непосредственно, либо посредством заражения растений бактериальными, вирусными, микоплазменными или грибковыми заболеваниями. Например, против нематод корневых наростов, таких как Meloidogyne spp. (например, M. incognita). В применении на практике для борьбы с членистоногими, в частности, насекомыми или клещиками, или вредителями-нематодами растений, способ предусматривает, например, нанесение на среду, в которой они растут, эффективного количества соединения данного изобретения. Для такого способа соединение данного изобретения обычно наносят на очаг заражения, в котором заражение членистоногими или нематодами должно контролироваться, в эффективной норме в диапазоне приблизительно 2 г – приблизительно 1 кг активного соединения на гектар обрабатываемого очага заражения. При идеальных условиях, в зависимости от вредителя, который должен быть уничтожен, более низкая норма может давать адекватную защиту. С другой стороны, неблагоприятные погодные условия, устойчивость конкретного вредителя или другие факторы могут требовать применения активного ингредиента в более высоких нормах. Оптимальная норма зависит обычно от ряда факторов, например, от типа вредителя, подлежащего уничтожению, типа или стадии роста зараженного растения, расстояний между рядками или также от способа нанесения. Предпочтительно диапазон эффективных норм активного соединения составляет от приблизительно 10 г/га до приблизительно 400 г/га, более предпочтительно от приблизительно 50 г/га до приблизительно 200 г/га. Когда вредитель передается через почву, активное соединение, обычно в приготовленной композиции, распределяют равномерно на площади, подлежащей обработке (то есть, например, разбросным внесением или ленточным внесением) любым подходящим способом и наносят при нормах от приблизительно 10 г/га до приблизительно 400 г/га активного ингредиента, более предпочтительно от приблизительно 50 г/га до приблизительно 200 г/га активного ингредиента. При нанесении в виде погружения корней для проростков или капельного орошения для растений жидкий раствор или суспензия содержит от приблизительно 0,075 до приблизительно 1000 мг активного ингредиента/л, предпочтительно от приблизительно 25 до приблизительно 200 мг активного ингредиента/л. Нанесение может производиться, если желательно, на поле или на район возделывания сельскохозяйственных культур в целом или в тесной близости от семян или растения, подлежащих защите от нападения вредителей. Соединение по данному изобретению может вымываться в почву разбрызгиванием с водой на эту площадь или может быть оставлено для природного действия осадков. Во время или после нанесения приготовленное в виде композиции соединение может быть, если желательно, распределено механически в почве, например, плужной обработкой почвы, дискованием или с использованием цепного шлейфа. Нанесение может производиться перед посадкой, при посадке, после посадки, но до того, как произойдет прорастание, или после прорастания. Соединение по данному изобретению и способы борьбы с вредителями с его использованием являются очень важными в защите полевых, кормовых культур, культур на плантациях, в оранжереях, плодоовощных культур и виноградников, декоративных растений или деревьев на плантациях или в лесных хозяйствах, например: злаков (таких как пшеница и рис), хлопчатника, овощей (таких как перцы), полевых культур (таких как сахарная свекла, соя или масличный рапс), культур лугопастбищных угодий или кормовых культур (таких как кукуруза или сорго), культур плодоовощных хозяйств или садов (таких как имеющие косточковые или односемянные плоды культуры или цитрусовые культуры), декоративных растений, цветов или овощей или кустарников в оранжереях или в садах или парках, или лесных деревьев (как листопадных садовых деревьев, так и вечнозеленых деревьев) в лесах, на плантациях или в питомниках. Соединения по данному изобретению являются также ценными в защите лесоматериала (леса на корню, поваленного леса, пиломатериала, хранящегося лесоматериала или строительного лесоматериала) от нападения, например, пилильщиков или жуков-вредителей или термитов. Они имеют применения в защите хранящихся продуктов, таких как зерновые, плоды, орехи, пряности или табак, либо в целом виде, либо размолотых или компаундированных в продукты, от нападений моли, жуков, клещей или долгоносика. Они защищают также хранящиеся продукты животных, такие как кожи, волосы или перья в природной или переработанной форме (например, в виде ковров или тканей), от нападения моли или жуков-вредителей, а также хранящегося мяса, рыбы или зерна от нападения жуков, клещей или мух. Композиции, описанные далее для нанесения на растущие культуры или очаги возделывания сельскохозяйственных культур или для применения в виде протравливания семян, могут обычно использоваться альтернативно для защиты хранящихся продуктов, домашних вещей, имущества или, в целом, зон окружающей среды. Подходящие способы нанесения соединений данного изобретения включают в себя: для растущих культур в виде спреев для листьев (например, в виде спреев для внесения в бороздки), дустов, гранул, туманов или пен или также в виде суспензий мелкоизмельченных или инкапсулированных композиций в виде обработок почвы или корней жидкими пропитываниями, порошками, гранулами, окуриваниями или пенами; для семян сельскохозяйственных культур через применение в виде протравливаний семян жидкими взвесями или порошками; для окружающей среды в целом или в конкретных местоположениях, где могут таиться вредители, в том числе в хранящихся продуктах, лесоматериалах, домашних вещах или домашних или промышленных строениях, в виде опрыскиваний, туманов, порошков, дымов, восковых замазок, лаков, гранул или приманок, или в виде капельных подач в водные протоки, колодцы, резервуары или другие виды проточной или стоячей воды. Соединения формулы (I) могут быть использованы для борьбы с вредными организмами в посевах известных генетически сконструированных растений или генетически сконструированных растений, которые еще должны быть разработаны. Как правило, трансгенные растения характеризуются особенно выгодными свойствами, например, устойчивостью к конкретным агентам защиты посева, устойчивостью к болезням растений или патогенам болезней растений, таким как конкретные насекомые или микроорганизмы, например, грибы, бактерии или вирусы. Другие важные свойства относятся, например, к собранному материалу в отношении количества, качества, способности сохраняться при хранении состава и специфических компонентов. Так, известны трансгенные растения, в которых содержание крахмала является увеличенным, или качество крахмала является измененным, или в которых собранный материал имеет отличающийся состав жирных кислот. Применение в экономически важных трансгенных посевах полезных растений и декоративных растений является предпочтительным, например, для зерновых, таких как пшеница, ячмень, рожь, овес, просо, рис, кассава (маниок) и кукуруза, или также для посевов сахарной свеклы, хлопчатника, сои, масличного рапса, картофеля, томата, горохов и других типов овощей. При применении в трансгенных посевах, в частности, посевах, которые имеют устойчивость к насекомым, часто наблюдают эффекты, кроме действий против вредных организмов, которые должны наблюдаться в других посевах, которые являются специфическими для применения в рассматриваемых трансгенных посевах, например, измененный или специфически расширенный спектр вредителей, которые могут быть уничтожены, или измененные нормы применения, которые могут быть использованы для нанесения. Таким образом, данное изобретение относится также к применению соединений формулы (I) для борьбы с вредными организмами в посевах трансгенных растений. Согласно следующему объекту данного изобретения предложена пестицидная композиция, содержащая одно или несколько соединений данного изобретения, определенных выше, вместе, и предпочтительно гомогенно диспергированная в них, с одним или несколькими пестицидно-приемлемыми разбавителями или носителями и/или поверхностно-активными агентами [то есть разбавителями или носителями и/или поверхностно-активными агентами типа, обычно признанного в данной области в качестве пригодного для применения в пестицидных композициях, которые являются совместимыми с соединениями данного изобретения]. На практике соединения по данному изобретению наиболее часто являются компонентом композиций. Эти композиции могут быть использованы для борьбы с членистоногими (артроподами), особенно насекомыми, или растительными нематодами или клещами. Эти композиции могут быть композициями любого типа, известного в данной области, пригодными для нанесения на желаемого вредителя в любых помещениях или находящейся внутри помещений или на открытом воздухе зоне. Эти композиции содержат, по меньшей мере, одно соединение данного изобретения в качестве активного ингредиента в комбинации или в ассоциации с одним или несколькими другими совместимыми компонентами, которые являются, например, твердыми или жидкими носителями или разбавителями, адъювантами, поверхностно-активными агентами или т.п., для предполагаемого применения и которые являются приемлемыми в области агрономии или медицины. Эти композиции, которые могут быть приготовлены любым известным в данной области образом, также образуют часть данного изобретения. Соединения по данному изобретению, в их коммерчески доступных композициях и в формах применения, приготовленных из этих композиций, могут присутствовать в смесях с другими активными веществами, такими как инсектициды, аттрактанты, стерилянты, акарициды, нематициды, фунгициды, регуляторы роста или гербициды. Эти пестициды включают в себя, например, фосфорные эфиры, карбаматы, эфиры карбоновых кислот, формамидины, соединения олова и вещества, продуцируемые микроорганизмами. Предпочтительными компонентами в смесях являются компоненты: 1. из группы соединений фосфора ацефат, азаметифос, азинфос-этил, азинфос-метил, бромофос, бромофос-этил, кадусафос (F-67825), хлорэтоксифос, хлорфенвинфос, хлормефос, хлорпирифос, хлорпирифос-метил, деметон, деметон-S-метил, деметон-S-метилсульфон, диалифос, диазинон, дихлорвос, дикротофос, диметоат, дисульфотон, EPN, этион, этопрофос, этримфос, фамфур, фенамифос, фенитриотион, фенсульфотион, фентион, флупиразофос, фонофос, формотион, фостиазат, гептенофос, изазофос, изотиоат, изоксатион, малатион, метакрифос, метамидофос, метидатион, салитион, мевинфос, монокротофос, налед, ометоат, оксидеметон-метил, паратион, паратион-метил, фентоат, форат, фосалон, фосфолан, фосфокарб (BAS-301), фосмет, фосфамидон, фоксим, пиримифос, пиримифос-этил, пиримифос-метил, профенофос, пропафос, проэтамфос, протиофос, пираклофос, пиридапентион, хиналфос, сулпрофос, темефос, тербуфос, тебупиримфос, тетрахлорвинфос, тиометон, триазофос, трихлорфон, вамидотион; 2. из группы карбаматов аланикарб (ОК-135), алдикарб, 2-втор-бутилфенилметилкарбамат (ВРМС), карбарил, карбофуран, карбосульфан, клоэтокарб, бенфуракарб, этиофенкарб, фуратиокарб, HCN-801, изопрокарб, метомил, 5-метил-м-куменилбутирил(метил)карбамат, оксамил, пиримикарб, пропоксур, тиодикарб, тиофанокс, 1-метилтио(этилиденамино)-N-метил-N-(морфолинотио)карбамат (UC 51717), триазамат; 3. из группы эфиров карбоновых кислот акринатрин, аллетрин, альфаметрин, 5-бензил-3-фурилметил(Е)-(1R)-цис-2,2-диметил-3-(2-оксотиолан-3-илиденметил)циклопропанкарбоксилат, бета-цилутрин, альфа-циперметрин, бета-циперметрин, биоаллетрин, биоаллетрин ((S)-циклопентилизомер), биоресметрин, бифентрин, (RS)-1-циано-1-(6-фенокси-2-пиридил)метил-(1RS)-транс-3-(4-трет-бутилфенил)-2,2-диметилциклопропанкарбоксилат (NCI 85193), циклопротрин, цифлутрин, цигалотрин, цититрин, циперметрин, цифенотрин, дельтаметрин, эмпентрин, эсфенвалерат, фенфлутрин, фенпропатрин, фенвалерат, флуцитринат, флуметрин, флувалинат (D-изомер), имипротрин (S-41311), лямбда-цигалотрин, перметрин, фенотрин (®-изомер), праллетрин, пиретрин (природные продукты), ресметрин, тефлутрин, тетраметрин, тета-циперметрин, тралометрин, трансфлутрин, зета-циперметрин (F-56701); 4. из группы амидинов амитраз, хлордимеформ; 5. из группы соединений олова цигексатин, фенбутатин оксид; 6. другие абамектин, ABG-9008, ацетамиприд, ацехиноцил, Anagrapha falcitera, AKD-1022, AKD-3059, ANS-118, азадирахтин, Bacillus thuringiensis, Beauveria bassianea, бенсултап, бифеназат, бинапакрил, BJL-932, бромопропилат, BTG-504, BTG-505, бупрофезин, камфехлор, картап, хлорбензилат, хлорфенапир, хлорфлуазурон, 2-(4-хлорфенил)-4,5-дифенилтиофен (UBI-T 930), хлорфентезин, хлорпроксифен, хлормафенозид, клотианидин, 2-нафтилметилциклопропанкарбоксилат (Ro12-0470), циромазин, диаклоден (тиаметоксам), диафентиурон, DBI-3204, этил-2-хлор-N-(3,5-дихлор-4-(1,1,2,3,3,3-гексафтор-1-пропилокси)фенил)карбамоил)-2-карбоксимидат, DDT, дикофол, дифлубензурон, N-(2,3-дигидро-3-метил-1,3-тиазол-2-илиден)-2,4-ксилидин, дигидроксиметилдигидроксипирролидин, динобутон, динокап, диофенолан, бензоат эмамектина, эндосульфан, этипрол (сульфетипрол), этофенпрокс, этоксазол, феназахин, феноксикарб, фипронил, флуазурон, флумит (флуфензин, SZI-121), 2-фтор-5-(4-(4-этоксифенил)-4-метил-1-пентил)дифениловый эфир (MTI 800), вирусы гранулеза и ядерного полиэдроза, фенпироксимат, фентиокарб, флукрипирим, флубензимин, флуброцитринат, флуциклоксурон, флуфеноксурон, флуфензин, флуфенпрокс, флупроксифен, гамма-НСН, галфенозид, галофенпрокс, гексафлумурон (DE-473), гекситиазокс, HOI-9004, гидраметилнон (АС 217300), IKI-220, индоксакарб, ивермектин, L-14165, имидаклоприд, индоксакарб (DPX-MP062), канемит (AKD-2023), луфенурон, М-020, М-020, метоксифенозид, милбемектин, NC-196, неэмгард, нидинотерфуран, нитенпирам, 2-нитрометил-4,5-дигидро-6Н-тиазин (DS 52618), 2-нитрометил-3,4-дигидротиазол (SD 35651), 2-нитрометилен-1,2-тиазинан-3-илкарбамальдегид (WL 108477), новалурон, пиридарил, пропаргит, протрифенбут, пиметрозин, пиридабен, пиримидифен, пирипроксифен, NC-196, NC-1111, NNI-9768, новалурон (MCW-275), OK-9701, ОК-9601, OK-9602, OK-9802, R-195, RH-0345, RH-2485, RYI-210, S-1283, S-1833, SI-8601, силафлуофен, силомадин (CG-177), спиносад, спиродиклофен, SU-9118, тебуфенозид, тебуфенпирад, тефлубензурон, тетрадифон, тетрасул, тиаклоприд, тиоциклам, тиаметоксам, толфенпирад, триазамат, триэтоксиспиносин А, трифлумурон, вербутин, верталек (микотал), YI-5301. Приведенные выше компоненты для комбинаций являются известными активными веществами, многие из которых описаны в Ch.R. Worthing, S.B. Walker, The Pesticide Manual, 12th Edition, British Crop Protection Council, Farnham 2000. Дозы эффективного применения соединений, используемых в данном изобретении, могут варьироваться в широких пределах, в частности, в зависимости от природы подлежащего уничтожению вредителя или от степени заражения, например, посевов этими вредителями. В общем, композиции данного изобретения содержат обычно приблизительно 0,05 – приблизительно 95 мас.% одного или более активных ингредиентов в соответствии с данным изобретением, необязательно приблизительно 1 – приблизительно 95 % одного или более твердых или жидких носителей, приблизительно 0,1 – приблизительно 50% одного или более других совместимых компонентов, таких как поверхностно-активные агенты или т.п. В данном случае термин «носитель» означает органический или неорганический ингредиент, природный или синтетический, с которым комбинируют активный ингредиент для облегчения его нанесения, например, на растение, на семена или в почву. Таким образом, этот носитель является обычно инертным и он должен быть приемлемым (например, агрономически приемлемым, в частности, для обрабатываемого растения). Носитель может быть твердым веществом, например, глинами, природными или синтетическими силикатами, диоксидом кремния, смолами, восками, твердыми удобрениями (например, солями аммония), измельченными природными минералами, такими как каолины, глины, тальк, мел, кварц, аттапульгит, монтмориллонит, бентонит или диатомовая земля, или измельченными синтетическими минералами, такими как диоксид кремния, глинозем (оксид алюминия) или силикаты, в частности, силикаты алюминия или магния. В качестве твердых носителей для гранул подходящими являются следующие: раздробленные или фракционированные природные горные породы, такие как кальцит, мрамор, пемза, сепиолит и доломит; синтетические гранулы из неорганической или органической муки; гранулы из органического материала, такого как опилки, скорлупа кокосового ореха, стержни кукурузных початков, листовые обертки кукурузы или стебли табака; кизельгур, трикальцийфосфат, порошкообразная пробка или активированный уголь; водорастворимые полимеры, смолы, воски; или твердые удобрения. Такие твердые композиции могут, если желательно, содержать один или более совместимых увлажняющих, диспергирующих, эмульгирующих или красящих агентов, которые, когда они являются твердыми веществами, могут также служить в качестве разбавителя. Носитель может быть также жидким, например: вода, спирты, в частности, бутанол или гликоль, а также их простые или сложные эфиры, в частности, ацетат метилгликоля; кетоны, в частности, ацетон, циклогексанон, метилэтилкетон, метилизобутилкетон или изофорон; фракции нефти, такие как парафиновые или ароматические углеводороды, в частности, ксилены или алкилнафталины; минеральные или растительные масла; алифатические хлорированные углеводороды, в частности, трихлорэтан или метиленхлорид; ароматические хлорированные углеводороды, в частности, хлорбензолы; водорастворимые или сильно полярные растворители, такие как диметилформамид, диметилсульфоксид или N-метилпирролидон; ожиженные газы; или т.п., или их смесь. Поверхностно-активным агентом может быть эмульгирующий агент, диспергирующий агент или увлажняющий агент ионогенного или неионогенного типа или смесь таких поверхностно-активных агентов. Среди них находятся, например, соли полиакриловых кислот, соли лигносульфоновых кислот, соли фенолсульфоновых или нафталинсульфоновых кислот, поликонденсаты этиленоксида с жирными спиртами, или жирными кислотами, или жирными эфирами, или жирными аминами, замещенные фенолы (в частности, алкилфенолы или арилфенолы), соли эфиров сульфоянтарной кислоты, производные таурина (в частности, алкилтаураты), фосфорные эфиры спиртов или поликонденсатов этиленоксида с фенолами, эфиры жирных кислот с полиолами, или сульфатные, сульфонатные, или фосфатные функциональные производные вышеназванных соединений. Присутствие, по меньшей мере, одного поверхностно-активного агента является обычно существенным, когда активный ингредиент и/или инертный носитель являются лишь слаборастворимыми в воде или не являются водорастворимыми, а агентом-носителем композиции для нанесения является вода. Композиции по данному изобретению могут дополнительно содержать другие добавки, такие как адгезивы и красители. В этих композициях могут быть использованы такие адгезивы, как карбоксиметилцеллюлоза или природные, или синтетические полимеры в форме порошков, гранул или сеток, такие как аравийская камедь, поливиниловый спирт или поливинилацетат, природные фосфолипиды, такие как цефалины или лецитины, или синтетические фосфолипиды. Могут быть использованы красители, такие как неорганические пигменты, например: оксиды железа, оксиды титана или берлинская лазурь; органические красители, такие как ализариновые красители, азокрасители или металлфталоцианиновые красители; или микроэлементы, такие как соли железа, марганца, бора, меди, кобальта, молибдена или цинка. Таким образом, для их сельскохозяйственного применения соединения данного изобретения находятся обычно в форме композиций, которые находятся в различных твердых или жидких формах. Твердыми формами композиций, которые могут быть использованы, являются опудривающие порошки (с содержанием соединения данного изобретения в диапазоне до 80%), смачивающиеся порошки или гранулы (в том числе вододиспергируемые гранулы), в частности, гранулы, получаемые экструзией, прессованием, пропитыванием гранулярного носителя или гранулированием с использованием в качестве исходного материала порошка (причем содержание соединения данного изобретения в этих смачивающихся порошках или гранулах находится между приблизительно 0,5 и приблизительно 80%). Твердые гомогенные или гетерогенные композиции, содержащие одно или несколько соединений данного изобретения, например, гранулы, шарики, брикеты или капсулы, могут быть использованы для обработки стоячей или проточной воды на протяжении некоторого периода времени. Сходный эффект может достигаться с использованием капельной или прерывистой подачи диспергируемых в воде концентратов, как описано здесь. Жидкие композиции включают в себя, например, водные или неводные растворы или суспензии (такие как эмульгируемые концентраты, эмульсии, текучие материалы, дисперсии или растворы) или аэрозоли. Жидкие композиции также включают в себя, в частности, эмульгируемые концентраты, дисперсии, эмульсии, текучие материалы, аэрозоли, смачивающиеся порошки (или порошки для распыления), сухие текучие материалы или пасты в качестве форм композиций, которые являются жидкими или предназначены для образования жидких композиций при нанесении, например, в виде водных спреев (в том числе с низким или сверхнизким объемом) или в виде туманов или аэрозолей. Жидкие композиции, например, в форме эмульгируемых или растворимых концентратов, содержат наиболее часто приблизительно 5 – приблизительно 80 мас.% активного ингредиента, тогда как эмульсии или растворы, которые являются готовыми для нанесения, содержат, в этом случае, приблизительно 0,01 – приблизительно 20% активного ингредиента. Кроме растворителя, эмульгируемые или растворимые концентраты могут содержать, когда это требуется, приблизительно 2 – приблизительно 50% подходящих добавок, таких как стабилизаторы, поверхностно-активные агенты, смачивающие агенты, ингибиторы коррозии, красители или адгезивы. Эмульсии любой требуемой концентрации, которые являются особенно подходящими для нанесения, например, на растения, могут быть получены из этих концентратов разбавлением водой. Эти композиции включены в объем композиций, которые могут быть использованы в данном изобретении. Эмульсии могут быть в форме эмульсий типа вода-в-масле или типа масло-в-воде и они могут иметь густую консистенцию. Жидкие композиции по данному изобретению могут быть использованы, кроме обычных сельскохозяйственных применений, например, для обработки субстратов или мест, зараженных или имеющих риск заражения членистоногими (или другими вредителями, уничтожаемыми соединениями данного изобретения), в том числе помещений, зон хранения или обработки на открытом воздухе или внутри помещений, контейнеров или оборудования или непроточной или проточной воды. Все эти водные дисперсии или эмульсии, или смеси для разбрызгивания могут наноситься, например, на посевы любыми подходящими способами, в основном опрыскиванием, при нормах, которые обычно имеют порядок приблизительно 100 – приблизительно 1200 литров смеси для опрыскивания на гектар, но могут быть более высокими или более низкими (например, с низким или сверхнизким объемом) в зависимости от необходимости или способа нанесения. Соединение или композиции данного изобретения удобным образом наносят на растительность и, в частности, на корни или листья, имеющие вредителей, которые должны быть устранены. Другим способом нанесения соединений и композиций данного изобретения является нанесение химизацией, то есть внесением композиции, содержащей активный ингредиент, в поливную (оросительную) воду. Это орошение может быть орошением из дождевального аппарата для лиственных пестицидов или оно может быть почвенным орошением или подземным орошением для почвы или для системных пестицидов. Концентрированные суспензии, которые могут наноситься опрыскиванием, готовят таким образом, чтобы получить стабильный жидкий продукт, который не оседает (тонкое измельчение) и обычно содержит приблизительно 10 – приблизительно 75 мас.% активного ингредиента, приблизительно 0,5 – приблизительно 30% поверхностно-активных агентов, приблизительно 0,1 – приблизительно 10% тиксотропных агентов, приблизительно 0 – приблизительно 30% подходящих добавок, таких как противовспенивающие агенты (пеногасители), ингибиторы коррозии, стабилизаторы, смачивающие агенты (пенетранты), адгезивы, и, в качестве носителя, воду или органическую жидкость, в которой данный активный ингредиент является слаборастворимым или нерастворимым. Некоторые органические твердые вещества или неорганические соли могут быть растворены в носителе для предотвращения оседания или действия в качестве антифризов для воды. Смачивающиеся порошки (или порошок для распыления) обычно готовят таким образом, что они содержат приблизительно 10 – приблизительно 80 мас.% активного ингредиента, приблизительно 20 – приблизительно 90% твердого носителя, приблизительно 0 – приблизительно 5% увлажняющего агента, приблизительно 3 – приблизительно 10% диспергирующего агента и, в случае необходимости, приблизительно 0 – приблизительно 80% одного или нескольких стабилизаторов и/или других добавок, таких как смачивающие агенты (пенетранты), адгезивы, агенты против слеживания, красители или т.п. Для получения этих смачивающихся порошков активный ингредиент тщательно смешивают в подходящем смесителе с дополнительными веществами, которые могут быть импрегнированы на пористом наполнителе и измельчены с использованием мельницы или другой подходящей машины для измельчения. Это дает смачивающиеся порошки, которые имеют предпочтительную смачиваемость и суспендируемость. Они могут быть суспендированы в воде с получением любой желаемой концентрации и эту суспензию можно использовать очень выгодным образом, в частности, для нанесения на листву растений. Эти «вододиспергируемые гранулы (WG)» (гранулы, которые являются легко диспергируемыми в воде) имеют составы, которые являются по существу близкими к составу смачивающихся порошков. Они могут быть приготовлены гранулированием композиций, описанных для смачивающихся порошков, либо мокрой грануляцией (контактированием тонкоизмельченного активного ингредиента с инертным наполнителем и небольшим количеством воды, например, 1-20 мас.% или с водным раствором диспергирующего агента или связывающего агента, с последующей сушкой и просеиванием), или сухим способом (прессованием с последующим измельчением и просеиванием). Нормы и концентрации приготовленных композиций могут варьироваться в зависимости от способа нанесения или характера композиций или их применения. В общих чертах, композиции для нанесения для уничтожения членистоногих или нематодных растительных вредителей содержат обычно приблизительно 0,00001 – приблизительно 95 мас.%, более предпочтительно приблизительно 0,0005 – 50 мас.%, одного или нескольких соединений данного изобретения или всех активных ингредиентов (то есть соединений данного изобретения вместе с другими веществами, токсичными в отношении членистоногих или растительных нематод, синергистами, микроэлементами или стабилизаторами). Фактические используемые композиции и их норма применения будут выбираться для достижения желаемого действия (действий) фермером, животноводом, практикующим медицинским или ветеринарным врачом, техником (оператором) по уничтожению вредителей или другим лицом, с квалификацией в данной области. Твердые или жидкие композиции для местного нанесения на животных, на лесоматериалы, хранящиеся продукты или вещи домашнего хозяйства содержат обычно приблизительно 0,00005 – приблизительно 90 мас.%, более предпочтительно приблизительно 0,001 – приблизительно 10 мас.%, одного или нескольких соединений данного изобретения. Для перорального или парентерального введения, в том числе чрескожного введения, животным твердых или жидких композиций, эти композиции обычно содержат приблизительно 0,1 – приблизительно 90 мас.%, одного или нескольких соединений данного изобретения. Содержащие лекарственное средство корма обычно содержат приблизительно 0,001 – приблизительно 3 мас.%, одного или нескольких соединений данного изобретения. Концентраты или добавки для смешивания с кормами обычно содержат приблизительно 5 – приблизительно 90 мас.%, предпочтительно приблизительно 5 – приблизительно 50 мас.%, одного или нескольких соединений данного изобретения. Минеральные солевые лизунцы обычно содержат приблизительно 0,1 – приблизительно 10 мас.%, одного или нескольких соединений формулы (I) или их пестицидно-приемлемых солей. Дусты или жидкие композиции для применения к крупному рогатому скоту, вещам, помещениям или зонам на открытом воздухе могут содержать приблизительно 0,0001 – приблизительно 15 мас.%, более часто приблизительно 0,005 – приблизительно 2,0 мас.%, одного или нескольких соединений данного изобретения. Подходящими концентрациями в обрабатываемых водах являются приблизительно 0,0001 м.д. – приблизительно 20 м.д., более предпочтительно приблизительно 0,001 м.д. – приблизительно 5,0 м.д. одного или нескольких соединений данного изобретения, и они могут использоваться терапевтически в рыбоводстве с подходящими периодами обработки. Съедобные приманки могут содержать приблизительно 0,01 – приблизительно 5 мас.%, предпочтительно приблизительно 0,01 – приблизительно 1,0 мас.%, одного или нескольких соединений данного изобретения. При введении позвоночным парентеральным, пероральным или чрескожным способом или другими способами доза соединений данного изобретения будет зависеть от вида, возраста или здоровья позвоночного и от природы и степени его фактического или потенциального заражения членистоногими вредителями или гельминтами. Для перорального или парентерального введения обычно является подходящей доза для одного введения приблизительно 0,1 – приблизительно 100 мг, предпочтительно приблизительно 2,0 – приблизительно 20,0 мг на кг массы тела животного или дозы приблизительно 0,01 – 20,0 мг, предпочтительно приблизительно 0,1 – приблизительно 5,0 мг на кг массы тела животного в день для лекарственного средства пролонгированного высвобождения. Посредством использования композиций или приспособлений для пролонгированного высвобождения суточные дозы, требуемые на протяжении периода месяцев, могут комбинироваться и вводиться животным один раз. Следующие далее ПРИМЕРЫ 2А-2М иллюстрируют композиции для применения против членистоногих, в частности, клещей и насекомых, или против нематод растений, которые содержат в качестве активного ингредиента соединения данного изобретения, такие как описанные в препаративных примерах. Каждая из композиций, описанных в ПРИМЕРАХ 2А-2М, может быть разбавлена с получением разбрызгиваемой композиции в концентрациях, подходящих для применения в поле. Общие химические описания ингредиентов (для которых все из следующих процентов даются в виде массовых процентов), используемые в примерах композиций 2А-2М ниже, являются следующими:
ПРИМЕР 2А Водорастворимый концентрат готовят со следующим составом:
К раствору Этилана ВСР, растворенного в части N-метилпирролидона, добавляют активный ингредиент при нагревании и перемешивании до растворения. Полученный раствор доводят до объема остатком растворителя. ПРИМЕР 2В Эмульгируемый концентрат (ЕС) готовят со следующим составом:
Первые три компонента растворяют в N-метилпирролидоне и затем к раствору добавляют Солвессо 150 до получения конечного объема. ПРИМЕР 2С Смачивающийся порошок (WP) готовят со следующим составом:
Эти ингредиенты смешивают и измельчают в молотковой мельнице до порошка с размером частиц менее 50 микрон. ПРИМЕР 2D Водно-текучую форму готовят со следующим составом:
Эти ингредиенты однородно смешивают и измельчают в бисерной мельнице до получения среднего размера частиц, меньшего, чем 3 микрона. ПРИМЕР 2Е Концентрат эмульгируемой суспензии готовят со следующим составом:
Эти ингредиенты однородно смешивают и измельчают в бисерной мельнице до получения среднего размера частиц, меньшего, чем 3 микрона. ПРИМЕР 2F Диспергируемую в воде гранулу готовят со следующим составом:
Эти ингредиенты смешивают, микронизируют в струйной мельнице и затем гранулируют в ротационном грануляторе посредством обрызгивания водой (до 10%). Полученные гранулы сушат в сушилке с кипящим слоем для удаления избытка воды. ПРИМЕР 2G Порошок-дуст готовят со следующим составом:
Эти ингредиенты однородно смешивают и затем измельчают по мере необходимости для получения тонкодисперсного порошка. Этот порошок может наноситься на очаг заражения членистоногими, например, отвалы отходов, хранящиеся продукты или вещи домашнего хозяйства, или на животных, зараженных или находящихся при риске заражения членистоногими, для уничтожения членистоногих посредством проглатывания ими порошка. Подходящие способы для распределения пылящего порошка на очаг заражения членистоногими включают в себя механические воздуходувки, ручные встряхивающие устройства или устройства для самообработки крупного рогатого скота. ПРИМЕР 2Н Съедобную приманку готовят со следующим составом:
Эти ингредиенты однородно смешивают и формуют, как это необходимо, в форму приманки. Эта съедобная приманка может быть распределена в очаге заражения, например, в домашних или промышленных помещениях, например, в кухнях, больницах или магазинах, или в зонах на открытом воздухе, зараженных членистоногими, например, муравьями, саранчой, тараканами или блохами, для уничтожения этих членистоногих посредством проглатывания ими этой приманки. ПРИМЕР 2I Форму раствора готовят со следующим составом:
Активный ингредиент растворяют в диметилсульфоксиде при перемешивании или нагревании, как это необходимо. Этот раствор может вводиться чрескожно или нанесением посредством выливания на домашних животных, зараженных членистоногими, или, после стерилизации фильтрованием через политетрафторэтиленовую мембрану (размер пор 0,22 микрометров), парентеральной инъекцией, при норме применения от 1,2 до 12 мл раствора на 100 кг массы тела животного. ПРИМЕР 2J Смачивающийся порошок готовят со следующим составом:
Этилан ВСР абсорбируют на Аэросил, который затем смешивают с другими ингредиентами и измельчают в молотковой мельнице с получением смачивающегося порошка, который может быть разбавлен водой до концентрации 0,001-2 мас.% активного соединения и нанесен на очаг заражения членистоногими, например, личинками двукрылых или нематодами растений, опрыскиванием или на домашних животных, зараженных или имеющими риск заражения членистоногими, опрыскиванием или погружением или пероральным введением в питьевой воде для уничтожения членистоногих. ПРИМЕР 2К Болюсную композицию медленного высвобождения формуют из гранул, содержащих следующие компоненты в варьирующихся процентных количествах (подобно тому, как это описано для предыдущих композиций), в зависимости от потребности: Активный ингредиент Агент плотности Агент медленного высвобождения Связывающее вещество Однородно смешанные ингредиенты формуют в гранулы, которые прессуют в шарик (болюс) с удельной плотностью 2 или более. Он может вводиться перорально жвачным домашним животным для удерживания в сетке-рубце (втором и первом отделах желудка жвачных животных) для получения непрерывного медленного высвобождения активного соединения на протяжении пролонгированного периода времени для уничтожения заражения жвачных домашних животных артроподами. ПРИМЕР 2L Композиция медленного высвобождения в форме гранул, шариков, брикетов или т.п. может быть приготовлена со следующим составом:
Эти компоненты смешивают и затем формуют в подходящие формы экструзией из расплава или формованием. Эта композиция применима, например, для добавления в стоячую воду или для изготовления ошейников или бирок для прикрепления к домашним животным для уничтожения вредителей посредством медленного высвобождения активного ингредиента. ПРИМЕР 2М Диспергируемую в воде гранулу готовят со следующим составом:
Эти ингредиенты смешивают в виде 45% взвеси (суспензии) с водой, измельчают с использованием мельницы мокрого помола до размера частиц 4 микрон и затем сушат распылительной сушкой для удаления воды. СПОСОБЫ ПРИМЕНЕНИЯ ПЕСТИЦИДОВ Следующие характерные тест-процедуры с использованием соединений данного изобретения проводили для определения паразитицидной и пестицидной активности соединений данного изобретения. СПОСОБ А: Способ скрининга для испытания системности соединений против Ctenocephalides felis (блохи кошачьей) Тест-контейнер наполняли 10 имаго Ctenocephalides felis. Стеклянный цилиндр закрывали на одном конце парафильмом и помещали на верхнюю часть тест-контейнера. Затем раствор тест-соединения пипетировали в бычью кровь и добавляли в этот стеклянный цилиндр. Обработанные Ctenocephalides felis удерживали в этом искусственном собачьем тесте (кровь 37°С, относительная влажность 40-60%; Ctenocephalides felis 20-22°С, относительная влажность 40-60%) и оценку выполняли при 24 и 48 часах после нанесения. Номера соединений 1-2, 1-8, 1-9, 1-10, 1-14, 1-15, 1-16, 1-17, 1-19, 1-34, 1-35, 1-36, 1-37, 1-38, 1-39, 1-40, 2-2, 2-8, 2-9, 2-10, 2-14, 2-16, 2-17, 2-19, 2-35, 2-36 и 3-19 давали, по меньшей мере, 90% уничтожение Ctenocephalides felis при тест-концентрации 5 м.д. или менее. СПОСОБ В: Скрининг с Diabrotica undecimpunctata (южной блошкой длинноусой) За два дня перед нанесением семена кукурузы замачивали в воде в теплых условиях для индукции быстрого прорастания. За один день перед нанесением, яйца Diabrotica undecimpunctata переносили на одну половину Японской фильтровальной бумаги, помещенной в пластиковую чашку Петри. После этого проросшее семя кукурузы помещали на увлажненную подушечку рядом с этой фильтровальной бумагой. На это яйцо осторожно пипетировали три капли из 200 микролитров раствора тест-соединения. Остальной раствор помещали на кукурузу и затем эту чашку Петри закрывали. Обработанные яйца в чашках Петри выдерживали в климатических камерах в течение 6 дней. Эффективность соединения (процент мертвых яиц и/или личинок в сравнении с необработанным контролем) оценивали спустя 6 дней после нанесения с использованием бинокулярного микроскопа. Номера соединений 1-17, 1-19, 1-35, 1-36, 1-38, 1-39, 2-9, 2-19, 2-35 и 2-36 давали по меньшей мере 90% уничтожение Diabrotica undecimpunctata при тест-концентрации 10 м.д. СПОСОБ С: Скрининг с Nephotettix cinciceps (цикадкой рисовой) Листья 12 растений риса, имеющих длину стеблей 8 см, погружали на 5 секунд в водный раствор приготовленного в виде готовой формы тест-соединения. После стекания этого раствора растения риса, обработанные таким образом, помещали в чашку Петри и заселяли приблизительно 20 личинками (стадии L3) Nephotettix cinciceps. Чашку Петри закрывали и затем выдерживали в климатической камере (16 часов света в сутки, 25°С, относительная влажность 40-60%). После 6 дней выдерживания определяли смертность в процентах личинок цикадок. Номера соединений 1-8, 1-9, 1-19, 1-35, 1-37, 2-2, 2-8, 2-19 и 2-36 давали по меньшей мере 98% смертность личинок Nephotettix cinciceps при тест-концентрации 100 м.д. СПОСОБ D: Способ скрининга для испытания контактной активности против Ctenocephalides felis (блохи кошачьей) Растворы тест-соединений помещали по каплям на фильтровальную бумагу, сушили и эту фильтровальную бумагу помещали в тест-пробирки и заражали 10 имаго Ctenocephalides felis. Обработанные Ctenocephalides felis выдерживали в климатической камере (26°С, относительная влажность 80%) и процентную эффективность оценивали спустя 24 часа и 48 часов после нанесения в сравнении с необработанным контролем. Номера соединений 1-2, 8-2 и 8-10 давали, по меньшей мере, 70% контактное уничтожение Ctenocephalides felis при тест-концентрации 1000 м.д. СПОСОБ Е: Способ скрининга для испытания контактной активности против Rhipicephalus sanguineus (клеща собачьего коричневого) Растворы тест-соединений помещали по каплям на фильтровальную бумагу, сушили и эту фильтровальную бумагу помещали в тест-пробирки и заражали 20-30 личинками (L1) Rhipicephalus sanguineus и эти пробирки закрывали зажимом. Обработанные Rhipicephalus sanguineus выдерживали в климатической камере (25°С, относительная влажность 90%) и процентную эффективность оценивали спустя 24 часа после нанесения в сравнении с необработанным контролем. Номера соединений 1-2, 3-3, 8-8, 8-10 и 8-22 давали, по меньшей мере, 70% контактное уничтожение Rhipicephalus sanguineus при тест-концентрации 100 м.д.
Формула изобретения
1. Способ уничтожения паразитов в организме животного или на теле животного, предусматривающий введение этому животному эффективного для уничтожения паразитов количества производного 5-замещенного алкиламинопиразола формулы (I):
где R1 обозначает CN; W обозначает С-галоген; R2 обозначает галоген; R3 обозначает (С1-С3)-галогеналкил, (С1-С3)-галогеналкокси; R4 обозначает водород, (С2-С6)-алкенил, (С2-С6)-алкинил, (С3-С7)-циклоалкил, COR8, CO-(CH2)q-R9, -СО-(С1-С4)-алкил-(С1-С6)-алкокси, -СО2-(CH2)q-R7, CO2R8, -CH2R7, OR8; или (С1-С6)-алкил, замещенный одним радикалом, выбранным из группы, состоящей из галогена, (С1-С6)-алкокси, (С3-С7)-циклоалкила; А обозначает (С1-С12)-алкилен; R5 обозначает Н, (С3-С6)-алкенил, -(CH2)qR7 или NR10R11, при условии, что для последнего упомянутого радикала m равно 2; или обозначает (С1-С6)-алкил, незамещенный; или, когда А обозначает (С1-С12)-алкилен и R5 обозначает (С1-С6)-алкил, незамещенный или замещенный одним или несколькими радикалами-галогенами, один или несколько из атомов углерода R5 могут, вместе с S(O)m и одним или несколькими атомами углерода А, образовывать тетрагидротиенил; R6 обозначает (С1-С6)-галогеналкил; R7 обозначает фенил, незамещенный или замещенный (С1-С6)-алкокси; R8 обозначает (С1-С6)-алкил; R9 обозначает незамещенный тетрагидрофуранил; R10 обозначает (С1-С6)-алкил; и R11 обозначает (С1-С6)-алкил; m, n и р, каждый независимо, равны 0, 1 или 2; q равно 0 или 1; и или их пестицидно приемлемые соли. 2. Способ по п.1, где символы и индексы в формуле (I) имеют следующие значения: R1 обозначает CN; W обозначает С-Cl; R2 обозначает хлор; R3 обозначает CF3 или OCF3; R4 обозначает водород, CO2-(С1-С3)-алкил или (С1-С6)-алкил, незамещенный или замещенный одним радикалом, выбранным из группы, состоящей из галогена и (С1-С3)-алкокси; А обозначает (С1-С4)-алкилен; R5 обозначает -(CH2)qR7, (С1-С6)-алкил или (С1-С6)-галогеналкил; или, когда R5 обозначает (С1-С6)-алкил, один или несколько из атомов углерода группы R5 могут, вместе с группой S(O)m и одним или несколькими атомами углерода А, образовывать тетрагидротиенил; R6 обозначает CF3, CF2Cl, CFCl2, CBrF2 или CHF2; R7 обозначает фенил; m и n, каждый, независимо, равны 0, 1 или 2; и q равно 0 или 1. 3. Способ по п.1, где символы и индексы в формуле (I) имеют следующие значения: R1 обозначает CN; W обозначает С-Cl; R2 обозначает Cl; R3 обозначает CF3 или OCF3; R4 обозначает водород, (С2-С6)-алкенил, (С2-С6)-алкинил, (С3-С7)-циклоалкил, COR8, CO-(CH2)q-R9, -СО-(С1-С4)-алкил-(С1-С6)-алкокси, -CO2-(CH2)q-R7, CO2R8, -CH2R7, OR8; или (С1-С6)-алкил, замещенный одним радикалом, выбранным из группы, состоящей из галогена, (С1-С6)-алкокси, (С3-С7)-циклоалкила; А обозначает (С1-С6)-алкилен; R5 обозначает (С3-С6)-алкенил, -(CH2)qR7 или NR10R11, при условии, что для последнего упомянутого радикала m равно 2; или обозначает (C1-С6)-алкил или (С1-С6)-галогеналкил; R6 обозначает CF3, CF2Cl, CFCl2, CBrF2, CHF2; R7 обозначает фенил, незамещенный или замещенный (С1-С6)-алкокси; R8 обозначает (С1-С6)-алкил; R10 обозначает (С1-С6)-алкил; R11 обозначает (С1-С6)-алкил; m и n, каждый, независимо, равны 0, 1 или 2; q равно 0 или 1. 4. Производные 5-замещенных алкиламинопиразолов формулы (I):
где R1 обозначает CN; W обозначает С-галоген; R2 обозначает галоген; R3 обозначает (С1-С3)-галогеналкил, (C1-C3)-галогеналкокси; R4 обозначает водород, (С2-С6)-алкенил, (С2-С6)-алкинил, (С3-С7)-циклоалкил, COR8, CO-(CH2)q-R9, -СО-(С1-С4)-алкил-(С1-С6)-алкокси, -СО2-(CH2)q-R7, CO2R8, -CH2R7, OR8; или (С1-С6)-алкил, замещенный одним радикалом, выбранным из группы, состоящей из галогена, (С1-С6)-алкокси, (С3-С7)-циклоалкила; А обозначает (С1-С12)-алкилен; R5 обозначает Н, (С3-С6)-алкенил, -(CH2)qR7 или NR10R11, при условии, что для последнего упомянутого радикала m равно 2; или обозначает (C1-С6)-алкил, незамещенный; или, когда А обозначает (С1-С12)-алкилен и R5 обозначает (С1-С6)-алкил, незамещенный или замещенный одним или несколькими радикалами-галогенами, один или несколько из атомов углерода R5 могут, вместе с S(O)m и одним или несколькими атомами углерода А, образовывать тетрагидротиенил; R6 обозначает (С1-С6)-галогеналкил; R7 обозначает фенил, незамещенный или замещенный (С1-С6)-алкокси; R8 обозначает (С1-С6)-алкил; R9 обозначает незамещенный тетрагидрофуранил; R10 обозначает (С1-С6)-алкил; R11 обозначает (С1-С6)-алкил; m, n и р, каждый независимо, равны 0, 1 или 2; q равно 0 или 1; или их пестицидно приемлемые соли. 5. Производные 5-замещенных алкиламинопиразолов формулы (I) по п.4, где R1 обозначает CN; W обозначает С-галоген; R2 обозначает галоген; R3 обозначает (С1-С3)-галогеналкил, (С1-С3)-галогеналкокси; R4 обозначает водород, (С1-С6)-алкил или COR8; А обозначает (С1-С12)-алкилен; R5 обозначает Н, (С3-С6)-алкенил, -(CH2)qR7 или NR10R11, при условии, что для последнего упомянутого радикала S(O)m обозначает SO2; или обозначает (С1-С6)-алкил, незамещенный; или, когда А обозначает (C1-C12)-алкилен и R5 обозначает (С1-С6)-алкил, замещенный одним или несколькими радикалами-галогенами, один или несколько из атомов углерода R5 могут, вместе с S(O)m и одним или несколькими атомами углерода А, образовывать тетрагидротиенил; R6 обозначает (С1-С6)-галогеналкил; R7 обозначает фенил, незамещенный или замещенный (С1-С6)-алкокси; R8 обозначает (С1-С6)-алкил; R9 обозначает незамещенный тетрагидрофуранил; R10 обозначает (С1-С6)-алкил; R11 обозначает (С1-С6)-алкил; m и n, каждый, независимо, равны 0, 1 или 2; q равно 0 или 1. 6. Производные 5-замещенных алкиламинопиразолов формулы (I) по п.4, где R1 обозначает CN; R2 обозначает хлор; R3 обозначает CF3 или OCF3; W обозначает С-Cl; R4 обозначает водород или (С1-С6)-алкил; R5 обозначает (С1-С6)-алкил; R6 обозначает CF3; А обозначает (С2-С3)-алкилен и m и n, каждый, независимо, равны 0, 1 или 2, или их пестицидно приемлемые соли. 7. Применение соединений формулы (I) и их пестицидно приемлемых солей по любому из пп.4-6 для уничтожения паразитов в организме животного и на теле животного. 8. Применение соединений формулы (I) и их пестицидно приемлемых солей по любому из пп.4-6 для приготовления ветеринарного лекарственного средства. 9. Пестицидная композиция для применения против членистоногих, содержащая соединение формулы (I) или его пестицидно приемлемую соль, определенное в любом из пп.4-6, вместе с пестицидно приемлемым разбавителем или носителем и/или поверхностно-активным агентом.
PC4A – Регистрация договора об уступке патента СССР или патента Российской Федерации на изобретение
Прежний патентообладатель:
(73) Патентообладатель:
Договор № РД0043669 зарегистрирован 21.11.2008
Извещение опубликовано: 10.01.2009 БИ: 01/2009
|
||||||||||||||||||||||||||||||||||||||||||||||||||||||||||||||||||||||||||||||||||||||||||||||||||||||||||||||||||||||

















heim, Germany или Radleys, Shirehill, Saffron Walden, Essex, England, могут быть использованы для параллельного осуществления этой реакции и обработки. Для параллельной очистки соединений формулы (I) или промежуточных продуктов, образующихся во время получения, могут быть использованы, среди прочих, хроматографические аппараты, например, аппараты ISCO, Inc., 4700 Superior Street, Lincoln, NE 68504, США.


























