|
|
(21), (22) Заявка: 2005124877/09, 04.08.2005
(24) Дата начала отсчета срока действия патента:
04.08.2005
(43) Дата публикации заявки: 10.04.2007
(46) Опубликовано: 10.10.2007
(56) Список документов, цитированных в отчете о поиске:
ДИКСОН Р.К. Широкополосные системы. – М.: Связь, 1979, с.220, рис.7.6. RU 94033437 А, 20.07.1996. RU 2157052 С1, 27.09.2000. RU 2013004 С1, 15.05.1994. SU 936382, 17.06.1982. WO 2005/009034 А1, 27.01.2005. US 4870370, 26.09.1989. US 6285863 В1, 04.09.2001. JP 56107652, 26.08.1981.
Адрес для переписки:
394018, г.Воронеж, ул. Плехановская, 14, ОАО “Концерн “Созвездие”
|
(72) Автор(ы):
Бокк Олег Федорович (RU), Колесниченко Галина Дмитриевна (RU)
(73) Патентообладатель(и):
Открытое акционерное общество “Концерн “Созвездие” (RU)
|
(54) СПОСОБ ОБРАБОТКИ И ПРИЕМНОЕ УСТРОЙСТВО ШИРОКОПОЛОСНЫХ СИГНАЛОВ
(57) Реферат:
Изобретение относится к области радиотехники и может быть использовано в системах связи с широкополосными сигналами. Достигаемый технический результат – уменьшение потерь при оптимальной обработке сигнала за счет снижения диапазона входных напряжений. Для этого усиливают и детектируют входной сигнал, по результатам детектирования оценивают уровень входного сигнала, сравнивают уровень с эталоном, определяют величину коэффициента передачи линейного тракта приемника, необходимую для поддержания уровня, близкого к эталонному. На время оптимальной фильтрации величину коэффициента устанавливают постоянной. Приемное устройство содержит линейный тракт приемника (1), блок амплитудного детектирования (2), ключи (3, 8), блок оптимальной фильтрации (4), блок памяти (5), генератор копии сигнала (6), блок вычисления среднего значения (7), блок сравнения (9), блок преобразования управляющего напряжения (10), формирователь временных интервалов (11). 2 н. и 1 з.п. ф-лы, 3 ил.
Предлагаемое изобретение относится к области радиотехники и может быть использовано в системах связи с широкополосными сигналами.
Как известно из литературы (Радиоприемные устройства / Под ред. В.И.Сифорова. М.: Советское радио, 1974 г.), динамический диапазон сигналов, принимаемых приемником, существенно зависит от расстояния между приемником и передатчиком, условий распространения, помеховой обстановки и т.д. Это означает, что в любом приемнике, имеющем демодулятор чувствительный к изменениям уровня входного сигнала, для реализации оптимальных условий приема необходимо компенсировать изменения уровня высокочастотного сигнала.
Таковым может служить амплитудное ограничение сигнала на входе демодулятора. Но при ограничении амплитуды сигнала на входе приемника псевдослучайного сигнала нарушаются условия оптимального приема, понижается запас помехоустойчивости. Потери могут быть большие, если мешающий сигнал и псевдослучайная несущая когерентны. Действительно, любая нелинейная обработка сигнала на входе коррелятора, осуществляющего активную согласованную фильтрацию с помощью опорной кодовой последовательности, нарушает условия оптимальной обработки сигнала, а также может привести к появлению на входе паразитных сигналов, которые увеличивают существенно уровень помех.
Другим методом компенсации изменения уровня сигнала является кольцо автоматической регулировки усиления (АРУ). Кольцо АРУ поддерживает приблизительно постоянным среднее значение амплитуды сигнала на определенном временном интервале при больших изменениях уровня сигнала на входе (см. Г.И.Тузов. Статистическая теория приема сложных сигналов. М.: Советское радио, 1977 г., В.И.Журавлев. Поиск и синхронизация в широкополосных системах. М.: Радио и связь, 1986 г., В.И.Сифоров. Радиоприемные устройства. Военное издательство Министерства обороны СССР М. 1954 г. Рис.426, Ю.Д.Крисилов Автоматическая регулировка и стабилизация усиления транзисторных схем. М.: Советское радио, 1972 г. рис.5.5 стр.249). В то время как динамический диапазон изменения входных сигналов весьма велик и обычно достигает 60-100 дБ, для нормальной работы оконечных каскадов и выходных устройств диапазон изменения выходных сигналов не должен превышать 3-8 дБ. В противном случае возникает перегрузка, которая может привести не только к искажению передаваемой информации, но и на значительное время вызвать полную потерю чувствительности приемного устройства.
Действие системы АРУ основано на изменении параметров регулирования, а это сопровождается большим разнообразием динамических процессов в системе, которые в значительной степени определяются видом и величиной сигнала.
Работа АРУ основана на том, что среднее значение продетектированного сигнала сравнивается с эталонным напряжением, выделяется средняя величина ошибки, которая служит напряжением регулировки усиления. В АРУ получается напряжение регулирования, содержащее шумовую огибающую. Эта огибающая модулирует входной сигнал и тем самым нарушает условия оптимального приема.
Система АРУ не эффективна при приеме широкополосного сигнала.
Из требований неизменности коэффициента передачи в приемнике за время оптимальной обработки следует, что величина постоянной времени АРУ должна быть значительно больше, чем время оптимальной обработки. Действительно, если уменьшить постоянную времени АРУ, то будет происходить “демодуляция” огибающей шума и, следовательно, нарушение условий оптимального приема. Следует отметить, что из-за значительной задержки в кольце АРУ уменьшение усиления будет происходить не в те моменты времени, когда шум максимален, а с большим опозданием. Похожий процесс будет происходить и при снижении мощности шума: увеличение коэффициента передачи в кольце произойдет с опозданием, причем уровень шума в момент изменения коэффициента передачи не связан с величиной сформировавшей “команду”. Такая работа меняет статистические характеристики шума и, естественно, нарушает условия оптимальной фильтрации.
Значит, система АРУ неэффективна при приеме широкополосного сигнала, так как не обеспечивает неизменности коэффициента передачи в приемнике за время оптимальной обработки.
Наиболее близким к предлагаемому является способ, реализованный в модифицированном приемнике с АРУ, описанный в монографии Р.К.Диксона “Широкополосные системы”, М.: Связь, 1979, с.220, рис 7.6., принятый за прототип.
Способ-прототип заключается в следующем. Сигнал, шум, сосредоточенные по спектру, и импульсные помехи поступают на вход приемника. Эту смесь усиливают на высокой частоте и преобразуют в промежуточную частоту, усиливают и фильтруют на промежуточной частоте. Затем осуществляют оптимальную фильтрацию. Усиленную смесь сигнала и шума перемножают на копию, фильтруют результат перемножения и выделяют информацию. Усиленную и преобразованную по частоте смесь сигнала и шумов одновременно (параллельно) с перемножением детектируют (выделяют огибающую), а затем фильтруют и полученный результат (напряжение) подают на регулировку коэффициента усиления на высокой и промежуточной частотах. Так работает кольцо автоматической регулировки усиления или просто автоматическая регулировка усиления (АРУ).
На первый взгляд наличие АРУ снимает вопрос о построении блока оптимальной фильтрации и демодуляции с динамическим диапазоном до 100 дБ.
Однако изложенное выше традиционное решение имеет существенный недостаток: при большой постоянной времени АРУ ( АРУ) время обнаружения значительно возрастает, так как определяется в основном постоянной времени АРУ ( АРУ> ОПФ, здесь ОПФ – время задержки в оптимальном фильтре, как известно ОПФ равно длительности сигнала Т). При малой постоянной времени (высокое быстродействие кольца АРУ) коэффициент передачи приемного устройства под воздействием шума на отрезке [0, Т] имеет значительные флуктуации, что снижает эффективность работы блока оптимальной фильтрации.
Остановимся подробнее на описании указанного недостатка. Время обнаружения сигнала представляет собой сумму времени срабатывания кольца АРУ и времени оптимального приема ОПФ. Время срабатывания кольца АРУ определяется постоянной времени АРУ и заданной точностью, например, при точности 5% необходимое время 3 АРУ. Если выполнить требование неизменности параметров за время ОПФ, то необходимо выполнить неравенство АРУ> ОПФ и, следовательно, возникают потери времени в несколько раз. Если потребовать малых потерь времени, то есть реализовывать АРУ< ОПФ, неизбежны потери в отношении сигнал/шум на выходе оптимального фильтра из-за паразитной модуляции коэффициента передачи по закону огибающей шума задержанной по времени в цепи АРУ. Таким образом, в первом случае время приема в основном расходуется на “обслуживание цепи АРУ”, а ресурс времени на оптимальную фильтрацию мал. Такой подход на практике может быть применен при длительном приеме сигнала на одной частоте. Однако чаще всего время приема на одной частоте ограничено несколькими периодами псевдослучайной последовательности (Т= и В, где и – длительность элементарного импульса, В – база сигнала).
При работе АРУ, когда АРУ< ОПФ, происходит модуляция смеси сигнала и шума по закону, обратному огибающей шума, но смещенному по времени на величину задержки в цепи АРУ. Такое явление приводит к уменьшению или увеличению усиления фактически в произвольные моменты времени и, таким образом, к снижению отношения сигнал/шум на выходе оптимального фильтра, что, естественно, увеличивает вероятность пропуска сигнала и время его обнаружения. Физически влияние модуляции можно объяснить так: в моменты изменения коэффициента передачи меняется амплитуда сигнала, которая была выбрана оптимально, например, при фазовой манипуляции М-последовательностью амплитуда постоянна. Изменение коэффициента передачи приводит к тому, что некоторые участки ПСП подчеркиваются и подавляются другие, таким образом, база сигнала резко уменьшается. Произвольно укороченная, прореженная ПСП теряет ряд своих свойств, например, резко снижается эффективность выделения из шума, а также подавление неосновных корреляционных выбросов.
Остановимся подробнее на энергетических потерях. Пусть на входе детектора АРУ имеется гауссов шум, амплитуда которого распределена по релеевскому закону, и сигнал, мощность которого значительно меньше шума, Uc 2<2 2, здесь UС – амплитуда сигнала, 2 2 – мощность шума. Если учесть малость сигнала, то с высокой степенью точности можно считать, что распределение амплитуды смеси сигнала и шума то же, что и распределение шума. В книге И.С.Гоноровского “Радиотехнические цепи и сигналы”, изд. 3-е, М.: Сов. радио, 1977 г. показано, что среднее значение напряжения на выходе амплитудного детектора Uд.ср=1,25 , а дисперсия д 2=0,43 2. Рассмотрим требования к постоянной времени АРУ на примере полупроводниковых усилителей. Реально, полупроводниковые усилители с регулируемым коэффициентом усиления имеют “задержку” начального напряжения регулирования UАРУН=(2÷2,5)В и обеспечивают регулировку усиления на 60÷80 дБ при возрастании напряжения на (0,3÷0,4)В, т.е. максимальное напряжение регулировки в цепи АРУ достигает величины UАРУК=(2,6÷3,2)В. Таким образом, крутизна регулировки составляет около 100 дБ/В, а изменение коэффициента передачи в четыре раза (6 дБ) произойдет при изменении напряжения на U=(6/100)·(0.3÷0.4)В или U=0,07÷0,08В. Если потребовать, чтобы среднеквадратичное отклонение напряжения детектора АРУ после фильтрации (интегрирования, усреднения), было равно д.ф.= U, то необходимо усреднить число независимых отсчетов, равное N=(0,5(UАРУН+UАРУК))20,43:{1,25 U}2. Для приведенных выше условий легко получить N 130. Требование меньших изменений (флуктуаций) коэффициента передачи в цепи АРУ приводит к значительному увеличению N. Если выбрать U из условия уменьшения изменений еще в два раза, то N увеличится в четыре раза и составит 520.
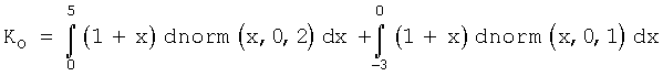
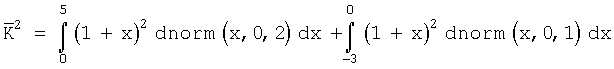
Условие малости постоянной времени АРУ по сравнению с длительностью сигнала можно считать выполненным в первом случае при базах около 1000 (130<1000), во втором случае при базах более 4000 (520<4000). Как видно из приведенных примеров, даже чрезвычайно большие допуски на изменение усиления в цепи АРУ требуют большого количества отсчетов (большой постоянной времени АРУ). Рассчитаем потери в отношении сигнал/шум для первого и второго случая. Для удобства расчетов будем приближенно считать, что по нормальному закону распределен не логарифм коэффициента передачи, а коэффициент передачи. Такое приближение снизит расчетное значение потерь, но сильно упрощает, как сам расчет, так и понимание результатов. Следует отметить, что симметрия плотности вероятностей отклонений логарифма коэффициента передачи приводит к отсутствию симметрии в отклонениях самого коэффициента передачи. Действительно, при изменениях на ±3 дБ (±6 дБ) коэффициент усиления меняется от 0,707 (0,5) до 1,41 (2), т.е. уменьшается на -0,293 (-0,5) и увеличивается на +0,41 (+1). Для учета отмеченного факта введем различные значения дисперсии для уменьшения коэффициента передачи и для его увеличения. Теперь отметим, что сигнал на выходе усилителя с переменным коэффициентом передачи увеличивается прямо пропорционально среднему значению коэффициента передачи, а среднеквадратичное напряжение шума пропорционально среднеквадратичному значению коэффициента передачи. Если определить плотность вероятности отклонения коэффициента передачи от среднего значения как dnorm(x, 0, ), где – дисперсия, то среднее и среднеквадратичное значение коэффициента передачи будут равны:

КО=1,361



Или в децибелах 3.4 дБ. Для второго случая вычисления аналогичны.
.
Приведенный ориентировочный расчет показывает, что, несмотря на большой объем статистики, потери из-за работы АРУ для обоих случаев существенны: 3,4 дБ и 1,7 дБ соответственно.
Недостаток прототипа – недопустимые потери из-за автоматической регулировки усиления при обнаружении широкополосного сигнала.
Предлагается способ обнаружения широкополосного сигнала, свободный от указанных недостатков.
Предлагаемый способ обработки широкополосного сигнала, заключающийся в усилении входного сигнала и его последующей оптимальной фильтрации, согласно изобретению в выделенный отрезок времени до оптимальной фильтрации для обеспечения постоянства уровня входного сигнала в период времени оптимальной обработки, детектируют усиленный входной сигнал, оценивают уровень по результатам детектирования, сравнивают его с эталоном, определяют необходимую для поддержания уровня, близкого к эталонному, величину коэффициента передачи, устанавливают ее постоянной на время оптимальной обработки. Причем корректируют оценку уровня при приеме, т.е. оценивают среднее значение сигнала за время оптимальной фильтрации, сравнивают его со значением, полученным на первом этапе и корректируют результат оптимальной фильтрации и коэффициент передачи по результатам этой оценки за время оптимальной фильтрации.
Предлагаемый способ заключается в следующем. Из общего времени приема выделяется небольшой отрезок, первый этап – ТНАЧ. В течение времени ТНАЧ смесь сигнала и шумов усиливают, преобразуют в промежуточную частоту, фильтруют и усиливают на промежуточной частоте. За упомянутый выше временной отрезок ТНАЧ оптимальная фильтрация не производится, а смесь сигнала и шумов детектируют по амплитуде, проводят статистическую обработку результатов детектирования для получения оценки среднего значения амплитуды смеси. Оценку сравнивают с известной, установленной заранее величиной допустимого входного напряжения оптимального фильтра, которую можно называть эталонной. При всех этих операциях коэффициент усиления смеси сигнала и шумов до детектирования (коэффициент передачи линейного тракта приемника) остается постоянным. Результаты сравнения оценки среднего значения амплитуды с эталонным напряжением показывают превышение средним значением амплитуды допустимого входного напряжения оптимального фильтра, определяют необходимую величину снижения коэффициента передачи линейного тракта приемника. В соответствии с определенной величиной определяют значение управляющего напряжения (тока и т.д.), которое устанавливает коэффициент передачи линейного тракта приемника таким, что оценка среднего значения амплитуды будет близка к эталонному напряжению. Значение управляющего напряжения запоминают и сохраняют на время оптимального приема неизменным. И, кроме того, управляющее напряжение подключают к каскадам с регулируемым коэффициентом передачи, то есть на втором временном этапе устанавливают постоянный коэффициент передачи линейного тракта.
В случае необходимости можно улучшить точность оценки среднего уровня смеси сигнала и шумов. Суть совершенствования состоит в следующем: после первого этапа, на котором проведена оценка среднего значения смеси сигнала и шумов и установлен коэффициент передачи линейного тракта приемника, вводится дополнительный второй этап – отрезок времени равный длительности ПСП, за который происходит уточнение оценки среднего значения полученного на первом этапе и уточнение коэффициента передачи, причем уточнение (коррекция) оценки производится при постоянном коэффициенте усиления, установленном после первого этапа. В течение второго отрезка времени выход линейного тракта подключен к оптимальному фильтру.
Итак, на втором этапе происходит измерение уровня смеси сигнала и шума на выходе линейного тракта, сравнение с эталоном, а по результату этого сравнения происходит коррекция коэффициента передачи линейного тракта. Следует отметить, что на втором этапе происходит оптимальный прием сигнала, то есть потерь времени не происходит. Таким образом, при оптимальном приеме не будет потерь, обусловленных работой кольца АРУ, и прием будет действительно оптимальным. Кроме того, во время оптимального приема производится оценка среднего значения амплитуды смеси и по результатам этой оценки опять корректируют коэффициент передачи линейного тракта.
Известны приемные устройства, в которых имеется кольцо АРУ, поддерживающее приблизительно постоянным среднее значение амплитуды сигнала на определенном временном интервале при больших изменениях уровня сигнала на входе (Г.И.Тузов. Статистическая теория приема сложных сигналов. М.: Советское радио, 1977 г., В.И.Журавлев. Поиск и синхронизация в широкополосных системах. М.: Радио и связь, 1986 г.) Но все аналоги имеют общий недостаток – недопустимые потери из-за автоматической регулировки усиления при обнаружении широкополосного сигнала.
Наиболее близким к заявляемому является приемное устройство широкополосного сигнала, описанное в книге «Шумоподобные сигналы в системах передачи информации» под ред. В.Б.Пестрякова (М.: Советское радио, 1973, с.194, рис.6.2.2).
Схема приемного устройства-прототипа приведена на фиг.1, где обозначено:
1 – усилитель высокой частоты (УВЧ);
2 – смеситель;
3 – усилитель промежуточной частоты (УПЧ);
4 – гетеродин;
5 – блок автоматической регулировки усиления (АРУ);
6 – устройство поиска и синхронизации по частоте и задержке;
7 – устройство оптимальной обработки;
8 – перемножители;
9 – генераторы копий сигналов;
10 – интеграторы;
11 – амплитудные детекторы;
12 – стробирующие устройства;
13 – устройство принятия решений;
14 – устройство вторичной обработки информации.
Корреляционные каналы устройства оптимальной обработки могут представлять из себя отдельные каналы системы, в которых неопределенность по частоте и задержке устраняется применением соответствующего числа каналов, отличающихся по частоте и тактовому сдвиг (например, в книге «Шумоподобные сигналы в системах передачи информации» под ред. В.Б.Пестрякова, М.: Советское радио, 1973, с.193, рис.6.2.1).
Для лучшего понимания работы заявляемого устройства, укрупним некоторые узлы прототипа. Объединим блоки УВЧ 1, смесителя 2, гетеродина 4 и УПЧ в линейный тракт приемника. Перемножители 8, интеграторы 10, стробирующие устройства 12, устройство принятия решений 13, устройство вторичной обработки информации 14 и устройство поиска и синхронизации по частоте и задержке 6 объединены в блок оптимальной фильтрации.
Схема укрупненного устройства-прототипа изображена на фиг.2, где обозначено:
1 – линейный тракт приемника;
2 – автоматическая регулировка усиления (АРУ);
3 – блок оптимальной фильтрации;
4 – генератор копий сигнала (ГКС);
5 – блок амплитудного детектирования.
Устройство – прототип содержит.
Вход приемного устройства соединен с входом линейного тракта приемника 1, выход которого соединен с входами блока амплитудного детектирования 5, блока оптимальной фильтрации 3 и АРУ 2. Выход АРУ 2 соединен со вторым входом линейного тракта приемника 1. Выход блока амплитудного детектирования 5 соединен с вторым входом блока оптимальной фильтрации 3, третий вход которого соединен с выходом генератора копий сигнала 4, на вход которого подаются синхроимпульсы. Первый выход блока оптимальной фильтрации 3 соединен с третьим входом линейного тракта приемника 1. Второй выход блока 3 является выходом приемника.
Работает приемное устройство-прототип следующим образом.
Сигнал, пройдя через линейный тракт приемника, состоящий из блока УВЧ, смесителя, гетеродина и УПЧ, усиливается и фильтруется на высокой и промежуточной частотах. С выхода линейного тракта приемника сигнал поступает на АРУ, на блок оптимальной фильтрации и блок амплитудного детектирования. В блоке оптимальной фильтрации при поступлении сигнала и действии помех после перемножения на копии образуются радиоимпульсы длительностью Tc. После интегрирования радиоимпульсы поступают в устройство принятия решения, в котором производится сравнение с выходным напряжением канала, где действует помеха. В устройстве поиска и синхронизации, входящем в состав блока оптимальной фильтрации, вначале осуществляется поиск сигнала по частоте путем перестройки частоты гетеродина линейного тракта приемника по программе до срабатывания поискового порогового устройства. Кроме того, блок поиска и синхронизации по частоте и задержке управляет частотой гетеродина приемника и синхронизирует генераторы копий сигналов, а также выдает импульсы на сброс интеграторов. АРУ, включенное на выходе линейного тракта приемника, обеспечивает компенсацию изменения уровня сигнала.
Для такого типичного приемника введение АРУ позволяет расширить динамический диапазон сигналов, принимаемых приемником, но он имеет существенный недостаток: при большой постоянной времени АРУ время обнаружения значительно возрастает, т.к. определяется в основном постоянной времени АРУ. При быстродействующем АРУ коэффициент передачи приемного устройства под воздействием шума на отрезке [0, Т] имеет значительные флуктуации.
Недостатком устройства-прототипа являются недопустимые потери при обнаружении широкополосного сигнала.
Предлагаемое приемное устройство устраняет указанный недостаток.
Для этого в устройство, содержащее блок оптимальной фильтрации, генератор копий сигналов и последовательно соединенные линейный тракт приемника и блок амплитудного детектирования, согласно изобретению введены последовательно соединенные блок вычисления среднего значения, блок сравнения, блок преобразования, первый ключ, блок памяти, выход которого соединен с входом линейного тракта приемника, второй выход генератора копий сигнала соединен с входом формирователя временных интервалов, выходы которого соединены соответственно со вторыми входами блока памяти и второго ключа, включенного между выходом линейного тракта приемника и входом блока оптимальной фильтрации, выход блока амплитудного детектирования соединен с входом блока вычисления среднего значения.
Схема предлагаемого приемного устройства широкополосного сигнала приведена на фиг.3, где обозначено:
1 – линейный тракт приемника;
2 – блок амплитудного детектирования (выделения огибающей радиочастотного сигнала);
3 – второй ключ;
4 – блок оптимальной фильтрации;
5 – блок памяти;
6 – генератор копии сигнала (ГКС);
7 – блок вычисления среднего значения;
8 – ключ;
9 – блок сравнения;
10 – блок преобразования;
11 – формирователь временных интервалов.
Предлагаемое устройство содержит последовательно соединенные линейный тракт приемника 1, блок амплитудного детектирования 2, блок вычисления среднего значения 7, блок сравнения 9, блок преобразования 10, первый ключ 8 и блок памяти 5, выход которого соединен со вторым входом линейного тракта приемника 1, выход которого через второй ключ 3 соединен с входом блока оптимальной фильтрации 4, второй вход которого соединен с генератором копий сигналов 6, другой выход которого соединен с формирователем временных интервалов 11, выходы которого соединены со вторыми входами второго ключа 3 и блока памяти 5. Выход блока оптимальной фильтрации 4 является выходом приемного устройства.
Работает предлагаемое приемное устройство следующим образом.
На первом этапе приема согласно с временным расписанием, которое определяется формирователем временных интервалов 11, выделяют временной отрезок ТНАЧ, в течение которого смесь сигнала и шумов усиливается и фильтруется на высокой и промежуточной частотах в линейном тракте приемника 1. После этого смесь сигнала и шума подают на блок амплитудного детектирования 2 и на блок оптимальной фильтрации 4 через второй ключ 3, который разомкнут во время первого временного отрезка. В блоке амплитудного детектирования 2 происходит детектирование смеси сигнала и шума (выделение амплитуды этой смеси), а в блоке вычисления среднего значения 7 по статистическим характеристикам амплитуды определяется оценка среднего значения амплитуды за отрезок времени ТНАЧ. Отметим, что вычисление среднего значения (оценки) происходит при постоянном коэффициенте передачи линейного тракта приемника 1. Оценку сравнивают с установленной заранее величиной допустимого входного напряжения оптимального фильтра в блоке сравнения 9, определяют отношение этих напряжений, по величине этого отношения в блоке преобразования находят значение напряжения (тока) регулирования соответствующее снижению усиления в число раз, определенное в блоке сравнения 9. Это значение напряжения (тока) регулирования запоминают в блоке памяти 5 и устанавливают коэффициент передачи линейного тракта таким, что среднее значение амплитуды смеси равно или близко к номинальному напряжению оптимального фильтра. Этим действием заканчивается временной отрезок ТНАЧ и формирователь временных интервалов 11 вырабатывает команду на переход к работе во втором временном отрезке – отрезке оптимального приема Т. На этом временном отрезке ключ 3 замыкается и происходит оптимальный прием сигнала при неизменном значении коэффициента передачи линейного тракта приемника, причем, напряжение на входе оптимального фильтра равно или близко к номинальному напряжению оптимального фильтра.
Таким образом, удается обеспечить работу оптимального приемника в соответствии с теорией, т.е. с постоянными параметрами линейного тракта приемника 1.
Определим выигрыш такого технического решения. Как было показано выше, потери приемника с АРУ при задержке (постоянной времени), составляющей 130 и 520 элементарных импульсов ПСП, составляет 3.4 дБ и 1.7 дБ соответственно. Кроме того, следует учесть потери времени на окончание переходных процессов в кольце АРУ, которое составляет (1-3) АРУ или (130-400) И для первого случая и (520-1560) И для второго. В предлагаемом варианте в худшем случае, когда на входе присутствует только гауссов шум, на выходе детектора огибающая распределена по релеевскому закону со средней U=1.25 ВХ и среднеквадратичным отклонением Д=0,65 ВХ. При объеме статистики 36 оценка средней величины с вероятностью 0,999 будет лежать в интервале 1,25±3,1·0,11=0,92÷1,58, т.е. неточность в определении среднего уровня около ±2,5 дБ. Такая величина значительно меньше динамического диапазона сигналов оптимального фильтра и, естественно, никаких потерь не вызовет. Напомним, что потери устройства-прототипа из-за работы кольца АРУ составляли от 1,7 дБ до 3,4 дБ. Таким образом, если считать базу сигнала равной достаточно большой величие 1000, то затраты на ожидание окончание переходных процессов в кольце АРУ приведут к дополнительным затратам времени на 13%÷15%, что эквивалентно потерям в 0,5-4 дБ. Итак, общий выигрыш составит от 2,2 дБ до 7 дБ.
Из приведенного примера работы легко видеть, что предлагаемое приемное устройство исключает потери при оптимальной фильтрации за счет модуляции кольцом АРУ смеси сигнала и шума, а также имеет высокое быстродействие.
В заключении отметим, что предложенные способ и устройство решают поставленную задачу – снижают диапазон входных напряжений на входе оптимального фильтра, что значительно уменьшает потери при оптимальной обработке сигнала.
Формула изобретения
1. Способ обработки широкополосного сигнала, заключающийся в усилении входного сигнала в линейном тракте приемника и его последующей оптимальной фильтрации, отличающийся тем, что на первом этапе детектируют усиленный входной сигнал, оценивают по результатам детектирования его уровень, сравнивают уровень с эталоном, определяют величину коэффициента передачи линейного тракта приемника, необходимую для поддержания уровня, близкого к эталонному, устанавливают ее постоянной на время оптимальной фильтрации.
2. Способ по п.1, отличающийся тем, что оценивают среднее значение уровня сигнала за время оптимальной фильтрации, сравнивают его со значением, полученным на первом этапе и корректируют коэффициент передачи линейного тракта приемника по результатам этой оценки.
3. Приемное устройство широкополосного сигнала, содержащее блок оптимальной фильтрации, генератор копий сигналов и последовательно соединенные линейный тракт приемника и блок амплитудного детектирования, отличающееся тем, что введены последовательно соединенные блок вычисления среднего значения, блок сравнения, блок преобразования управляющего напряжения, первый ключ, блок памяти, выход которого соединен со вторым входом линейного тракта приемника, второй выход генератора копий сигнала соединен с входом формирователя временных интервалов, выходы которого соединены соответственно со вторыми входами блока памяти и второго ключа, включенного между выходом линейного тракта приемника и входом блока оптимальной фильтрации, второй вход которого соединен с генератором копии сигналов, выход блока амплитудного детектирования соединен с входом блока вычисления среднего значения.
РИСУНКИ
|
|